Issue |
A&A
Volume 512, March-April 2010
|
|
---|---|---|
Article Number | A78 | |
Number of page(s) | 14 | |
Section | Cosmology (including clusters of galaxies) | |
DOI | https://doi.org/10.1051/0004-6361/200913279 | |
Published online | 08 April 2010 |
Spitzer deep and wide
legacy mid- and far-infrared number counts and lower limits of cosmic
infrared background![[*]](/icons/foot_motif.png)
M. Béthermin1 - H. Dole1 - A. Beelen1 - H. Aussel2
1 - Institut d'Astrophysique Spatiale (IAS), Bt. 121, 91405 Orsay,
France; Université Paris-Sud 11 and CNRS (UMR8617)
2 - Laboratoire AIM, CEA/DSM-CNRS-Université Paris Diderot,
IRFU/Service d'Astrophysique, Bt. 709, CEA-Saclay, 91191 Gif-sur-Yvette
Cedex, France
Received 11 September 2009 / Accepted 5 January 2010
Abstract
Context. We aim to place stronger lower limits on
the cosmic infrared background (CIB) brightness at 24 m,
70
m
and 160
m
and measure the extragalactic number counts at these wavelengths in a
homogeneous way from various surveys.
Aims. Using Spitzer legacy data
over 53.6 deg2 of various depths, we
build catalogs with the same extraction method at each wavelength.
Completeness and photometric accuracy are estimated with Monte-Carlo
simulations. Number count uncertainties are estimated with a
counts-in-cells moment method to take galaxy clustering into account.
Furthermore, we use a stacking analysis to estimate number counts of
sources not detected at 70 m and 160
m. This method is validated by simulations. The
integration of the number counts gives new CIB lower limits.
Methods. Number counts reach 35 Jy,
3.5 mJy and 40 mJy at 24
m,
70
m,
and 160
m,
respectively. We reach deeper flux densities of 0.38 mJy
at 70, and 3.1 at 160
m with a stacking analysis. We confirm the number
count turnover at 24
m
and 70
m,
and observe it for the first time at 160
m at about 20 mJy, together with a
power-law behavior below 10 mJy. These mid- and far-infrared
counts: 1) are homogeneously built by combining fields of different
depths and sizes, providing a legacy over about three orders of
magnitude in flux density; 2) are the deepest to date at 70
m and
160
m;
3) agree with previously published results in the common measured flux
density range; 4) globally agree with the Lagache et al.
(2004) model, except at 160
m, where the model slightly overestimates the
counts around 20 and 200 mJy.
Results. These counts are integrated to estimate new
CIB firm lower limits of
2.29-0.09+0.09 nW m-2 sr-1,
5.4-0.4+0.4 nW m-2 sr-1,
and 8.9-1.1+1.1 nW m-2 sr-1
at 24 m,
70
m,
and 160
m,
respectively, and extrapolated to give new estimates of the CIB due to
galaxies of 2.86-0.16+0.19 nW m-2 sr-1,
6.6-0.6+0.7 nW m-2 sr-1,
and 14.6-2.9+7.1 nW m-2 sr-1,
respectively. Products (point spread function, counts, CIB
contributions, software) are publicly available for download at
http://www.ias.u-psud.fr/irgalaxies/
Key words: cosmology: observations - diffuse radiation - galaxies: statistics - galaxies: evolution - galaxies: photometry - infrared: galaxies
Table 1: Size, 80% completeness flux density, and calibration scaling factor (see Sect. 2.1) of the used fields.
1 Introduction
The extragalactic background light (EBL) is the relic emission of all
processes of structure formation in the Universe. About half of this
emission, called the Cosmic Infrared Background (CIB) is emitted in the
8-1000 m
range, and peaks around 150
m. It is essentially due to the star formation (Kashlinsky
2005; Hauser
et al. 1998; Hauser & Dwek 2001; Fixsen
et al. 1998; Puget et al. 1996; Lagache
et al. 1999,2005; Gispert et al. 2000).
The CIB spectral energy distribution (SED) is an important
constraint for the infrared galaxies evolution models (e.g. Pearson
& Khan 2009; Le Borgne et al. 2009;
Lagache
et al. 2004; Valiante et al. 2009;
Franceschini
et al. 2010; Rowan-Robinson 2009). It gives
the budget of infrared emission since the first star. The distribution
of the flux of sources responsible for this background is also a
critical constraint. We propose to measure the level of the CIB and the
flux distribution of the sources at 3 wavelengths (24 m,
70
m
and 160
m).
In the 1980's, the infrared astronomical satellite (IRAS) and
COBE/DIRBE performed the first mid-infrared (MIR) and far-infrared
(FIR) full-sky surveys. Nevertheless, the detected sources were
responsible for a very small part of the CIB. Between 1995
and 1998, the ISO (infrared space observatory) performed
deeper observations of infrared galaxies. Elbaz
et al. (2002) resolved into the source more than
half of the CIB at 15 m. At larger wavelengths, the sensitivity and
angular resolution was not sufficient to resolve the CIB (Dole et al. 2001).
The Spitzer space telescope (Werner et al. 2004),
launched in 2003, has performed deep infrared observations on wide
fields. The multiband imaging photometers for Spitzer
(MIPS) (Rieke et al. 2004)
mapped the sky at 24 m,
70
m
and 160
m.
About 60% of the CIB was resolved at 24
m (Papovich et al. 2004)
and at 70
m
(Frayer et al. 2006).
Because of confusion (Dole
et al. 2003), only about 7% were resolved
at 160
m
(Dole et al. 2004).
Dole et al. (2006)
managed to resolve most of the 70
m and 160
m by stacking 24
m sources.
The cold mission of Spitzer is over, and lots of data are now public. We present extragalactic number counts built homogeneously by combining deep and wide fields. The large sky surface used significantly reduces uncertainties on number counts. In order to obtain very deep FIR number counts, we used a stacking analysis and estimate the level of the CIB in the three MIPS bands with them.
2 Data, source extraction and photometry
2.1 Data
We took the public Spitzer mosaics from different observation
programs: the GOODS/FIDEL (PI: M. Dickinson), COSMOS (PI: D. Sanders)
and SWIRE (PI: C. Lonsdale). We used only the central part of each
field, which was defined by a cut of 50% of the median
coverage for SWIRE fields and 80% for the other. The total
area covers 53.6 deg2, 45.5 deg2,
42.9 deg2 at 24
m,
70
m
and 160
m
respectively. The surface of the deep fields (FIDEL, COSMOS) is about
3.5 deg2. Some fields were not used at
all wavelengths for different reasons: There is no public release of
FIDEL CDFS data at 160
m; the pixels of the EGS 70
m are not
square; XMM is not observed at 70 and 160
m.
Table 1
summarises the field names, sizes and completenesses.
In 2006, new calibration factors were adopted for MIPS (Gordon
et al. 2007; Stansberry et al. 2007;
Engelbracht
et al. 2007). The conversion factor from
instrumental unit to MJy/sr is 0.0454 (resp. 702 and 41.7) at
24 m
(resp. 70
m
and 160
m).
The COSMOS GO3 and SWIRE (released 22 Dec. 2006) mosaics were
generated with the new calibration. The FIDEL mosaics were obtained
with other factors at 24
m and 160
m (resp. 0.0447 and 44.7). The
70
m
and 160
m
COSMOS mosaics were color corrected (see Sect. 2.3).
Consequently we applied a scaling factor (see Table 1) before the
source extraction to each mosaic to work on a homogeneous sample of
maps (new calibration and no color correction).
2.2 Source extraction and photometry
The goal is to build homogeneous number counts with well-controlled systematics and high statistics. However, the fields present various sizes and depths. We thus employed a single extraction method at a given wavelength, allowing the heterogeneous datasets to combine in a coherent way.
2.2.1 Mid-IR/far-IR differences
The MIR (24 m)
and FIR (70
m
and 160
m)
maps have different properties: in the MIR, we observe lots of faint
blended sources; in the FIR, due to confusion (Dole
et al. 2004), all these faint blended sources are
only seen as background fluctuations. Consequently, we used different
extraction and photometry methods for each wavelength. In the MIR, the
priority is the deblending: accordingly we took the SExtractor (Bertin & Arnouts 1996)
and PSF fitting. In the FIR, we used efficient methods with strong
background fluctuations: wavelet filtering, threshold detection and
aperture photometry.
2.2.2 Point spread function (PSF)
The 24 m empirical
PSF of each field is generated with the IRAF (image reduction and
analysis facility
)
DAOPHOT package (Stetson 1987)
on the 30 brightest sources of each map. It is normalized in a
12 arcsec radius aperture. Aperture correction (1.19) is
computed with the S Tiny Tim
(Krist 2006) theoretical
PSF for a constant
spectrum. The difference of correction between a
and a
spectrum is less than 2%. So, the hypothesis on the input
spectrum is not critical for the PSF normalization.
At 70 m
and 160
m,
we built a single empirical PSF from the SWIRE fields. We used the
Starfinder PSF extraction routine (Diolaiti
et al. 2000), which median-stacks the brightest
non-saturated sources (100 mJy < S70 < 10 Jy
and 300 mJy < S160 < 1 Jy).
Previously, fainter neighboring sources were subtracted with a first
estimation of the PSF. At 70
m (resp. 160
m), the normalization is done in a
35 arcsec (resp. 80 arcsec) aperture, with a sky
annulus between 75 arcsec and 125 arcsec (resp.
150 arcsec and 250 arcsec); the aperture correction
was 1.21 (resp. 1.20). The theoretical signal in the
sky annulus and the aperture correction were computed with the S Tiny
Tim Spitzer PSF for a constant
spectrum. These parameters do not vary more than 5% with the
spectrum of sources. Pixels that were affected by the temporal median
filtering artifact, which was sometimes present around bright sources,
were masked prior to these operations.
2.2.3 Source extraction and photometry
At 24 m, we
detected sources with SExtractor. We chose a Gaussian filter
(gauss_5.0_9x9.conv) and a background filter of the size of
pixels. The detection and analysis thresholds were tuned for each
field. We performed PSF fitting photometry with the DAOPHOT allstar
routine. This routine is very efficient for blended sources flux
measurement.
At 70 m
and 160
m,
we applied the a-trou wavelet filtering (Starck
et al. 1999) on the maps to remove the large scale
fluctuations (10 pixels) on which we performed the source detection
with a threshold algorithm (Dole et al. 2004,2001).
The threshold was tuned for each field. Photometry was done by aperture
photometry on a non filtered map at the positions found on the wavelet
filtered map. At 70
m,
we used 10 arcsec aperture radius and a 18 arcsec to
39 arcsec sky annulus. At 160
m, we used an aperture of 20 arcsec and
a 40 arcsec to 75 arcsec annulus. Aperture
corrections were computed with the normalized empirical PSF: 3.22 at
70
m
and 3.60 at 160
m. In order to estimate the uncertainty on this
correction, aperture corrections were computed using five PSF built on
five different SWIRE fields. The uncertainty is 1.5% at 70
m and 4.5%
at 160
m.
2.3 Color correction
The MIPS calibration factors were calculated for a
10 000 K blackbody (MIPS Data Handbook 2007). However, the galaxies
SED are different and the MIPS photometric bands are large (
).
Thus, color corrections were needed. We used (like Shupe et al. (2008) and
Frayer et al. (2009))
a constant
spectrum at 24
m,
70
m
and 160
m.
Consequently, all fluxes were divided by 0.961, 0.918 and
0.959 at 24
m,
70
m
and 160
m
due to this color correction. Another possible convention is
.
This convention is more relevant for the local sources at 160
m, whose
spectrum decreases quickly with wavelength. Nevertheless, the
redshifted sources studied by stacking are seen at their peak of the
cold dust emission, and their SED agrees better with the constant
convention. The difference of color correction between these two
conventions is less than 2%, and this choice is thus not
critical. We consequently chose the constant
convention to more easily compare our results with Shupe et al. (2008) and
Frayer et al. (2009).
3 Catalog properties
3.1 Spurious sources
![]() |
Figure 1:
Flux distribution of sources extracted from normal (solid
line) and flipped (dash line) maps, at
70 |
Open with DEXTER |
Our statistical analysis may suffer from spurious sources. We have to
estimate how many false detections are present in a map and what their
flux distribution is. To do so, we built a catalog with the flipped
map. To build this flipped map, we multiplied the values of the pixels
of the original map by a factor of -1. Detection and
photometry parameters were exactly the same as for normal catalogs. At
24 m,
there are few spurious sources (<
)
in bins brighter than the 80% completeness limit flux density.
At 70
m
and 160
m,
fluctuations of the background due to unresolved faint sources are
responsible for spurious detections. Nevertheless, the ratio between
detected source numbers and fake source numbers stayed reasonable
(below 0.2) down to the 80% completeness limit (see
the example of FIDEL CDFS at 70
m in Fig. 1).
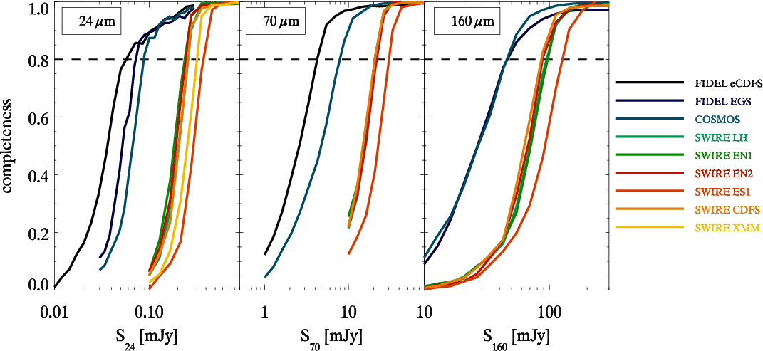
3.2 Completeness
![]() |
Figure 2:
Completeness at 24 |
Open with DEXTER |
The completeness is the probability to extract a source of a given
flux. To estimate it, we added artificial sources (based on empirical
PSF) on the initial map and looked for a detection in a
2 arcsec radius at 24 m around the initial position (8 arcsec
at 70
m
and 16 arcsec at 160
m).
This operation was done for different fluxes with a Monte-Carlo
simulation. We chose the number of artificial sources in each
realization in a way that they have less than 1% probability
to fall at a distance shorter than 2 PSF FWHM (full width at
half maximum). The completeness is plotted in Fig. 2, and
the 80% completeness level is reported in Table 1.
3.3 Photometric accuracy
The photometric accuracy was checked with the same Monte-Carlo
simulation. For different input fluxes, we built histograms of measured
fluxes and computed the median and scatter of these distributions. At
lower fluxes, fluxes are overestimated and errors are larger. These
informations were used to estimate the Eddington bias (see next
section). The photometric accuracy at 70 m in FIDEL CDFS is plotted as an example in
Fig. 3.
We also compared our catalogs with published catalogs. At
24 m,
we compared it with the GOODS CDFS catalog of Chary
et al. (2004), and the COSMOS catalog of LeFloc'h et al. (2009).
Their fluxes were multiplied by a corrective factor to be compatible
with the
= constant
convention. Sources were considered to be the same if they are
separated by less than 2 arcsec. We computed the standard
deviation of the distribution of the ratio between our and their
catalogs. In a 80-120
bin in the CDFS, we found a dispersion of 19%. In a
150-250
bin in COSMOS, we found a scatter of 13%. The offset
is +3% with COSMOS catalog and -1% with GOODS catalog.
At 70 and 160
m, we compared our catalogs with the COSMOS and
SWIRE team ones. In all cases, the scatter is less than 15%,
and the offset is less than 3%. At all wavelengths and for all
fields, the offset is less than the calibration uncertainty.
3.4 Eddington bias
![]() |
Figure 3:
Ratio between measured flux and input flux computed from Monte Carlo
simulations at 70 |
Open with DEXTER |
![]() |
Figure 4:
Eddington bias: ratio between the number of detected sources and the
number of input sources at 70 |
Open with DEXTER |
When sources become fainter, photometric errors increase. In addition,
fainter sources are more numerous than brighter ones (in general d
).
Consequently, the number of sources in faint bins are overestimated.
This is the classical Eddington bias (Eddington 1913,1940).
The example of FIDEL CDFS at 70
m is plotted in Fig. 4.
To correct for this effect at 70 m and
160
m,
we estimated a correction factor for each flux bin. We generated an
input flux catalog with a power-law distribution (r
= 1.6 at 70
m,
r = 3 at 160
m). We took into account completeness and
photometric errors (coming from Monte-Carlo simulations) to generate a
mock catalog. We then computed the ratio between the number of mock
sources found in a bin and the number of input sources. This task was
done for all fields. This correction is more important for
large r (at 160
m). At
24
m,
thanks to the PSF fitting, the photometric error is more reduced and
symmetrical. Less faint sources are thus placed in brighter flux bins.
Because of this property and the low r
(about 1.45), this correction can be ignored for 24
m counts.
4 Number counts
4.1 Removing stars from the catalogs
To compute extragalactic number counts at 24 m, we
removed the stars with the K-[24]
< 2 color criterion and identification procedure following Shupe et al. (2008).
The K band magnitudes were taken from the
2MASS catalog (Skrutskie
et al. 2006). We ignored the star contribution at
70
m
and 160
m,
which is negligible (<1% in all used flux density bins)
according to the DIRBE Faint Count model (Arendt
et al. 1998).
4.2 24
m number
counts
![]() |
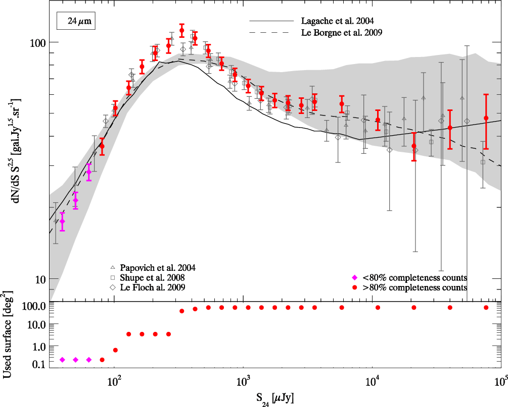
Figure 5:
Differential number counts at 24 |
Open with DEXTER |
Table 2:
Differential number counts at 24 m.
We counted the number of extragalactic sources for each field
and in each flux bin. We subtracted the number of spurious detections
(performed on the flipped map). We divided by the completeness. As a
next step, the counts of all fields were combined together with a mean
weighted by field size. Actually, a weighting by the number of sources
in each field overweighs the denser fields and biases the counts.
Counts from a field were combined only if the lower end of the flux bin
was larger then or equal to the 80% completeness. We thus
reached 71 Jy
(71
Jy
to 90
Jy
bin) in the counts. However, to probe fainter flux densities, we used
the data from the deepest field (FIDEL eCDFS) between a 50
and 80% completeness, allowing us to reach 35
Jy.
Our number counts are plotted in Fig. 5 and are written
in Table 2.
We also plot data from Papovich
et al. (2004), Shupe
et al. (2008) and LeFloc'h
et al. (2009), and model predictions from Lagache et al. (2004)
and Le Borgne et al.
(2009). The Papovich
et al. (2004) fluxes are multiplied by a factor
1.052 to take into account the update in the calibration, the color
correction and the PSF. This correction of flux also implies a
correction on number counts, according to:
![]() |
(1) |
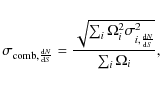
where Si is the initial flux, Sf is the corrected flux and c the corrective factor ( Sf = c Si). A correction of the flux thus corresponds to a shift in the abscissa (factor c) and in the ordinate (factor c1.5). Papovich et al. (2004) do not subtract stars and thus overestimate counts above 10 mJy. We have a very good agreement with their work below 10 mJy. We also have a very good agreement with Shupe et al. (2008). The LeFloc'h et al. (2009) fluxes are multiplied by 1.05 to take into account a difference of the reference SED: 10 000 K versus constant

The Lagache
et al. (2004)
and Le Borgne et al.
(2009)
generally agree well with the data, in particular on the faint end
below 100
Jy,
and on the position of the peak around 300
Jy. However,
the Lagache et al. (2004)
model slightly underestimates (about 10%) the counts above
200
Jy.
The Le Borgne et al.
(2009) model is flatter than the data, and agrees reasonably
well above 600
Jy.
Table 3:
Differential number counts at 70 m.
4.3 70
m number
counts
Table 4:
Differential number counts at 160 m.
is the uncertainty taking into account clustering (see Sect. 4.5).
![]() |
Figure 6:
Differential number counts at 70 |
Open with DEXTER |
Counts in the flux density bins brighter than the 80% completeness
limit were obtained in the same way as at 24 m
(Fig. 6
and Table 3).
In addition, they were corrected from the Eddington bias (cf.
Sect. 3.4).
We reached about 4.9 mJy at 80% completeness (4.9 to
6.8 bin). We used CDFS below 80% completeness limit
to probe fainter flux density level. We cut these counts at
3.5 mJy. At this flux density, the spurious rate
reached 50%. We used a stacking analysis to probe fainter flux
density levels (cf. Sect. 5).
We can see breaks in the counts around 10 mJy and 20 mJy. These breaks appear between points built with a different set of fields. Our counts agree with earlier works of Dole et al. (2004), Frayer et al. (2006) and Frayer et al. (2009). However, these works suppose only a Poissonian uncertainty, which underestimates the error bars (see Sect. 4.5). Our data also agree well with these works. The Lagache et al. (2004) model agrees well with our data. The Le Borgne et al. (2009) model gives a reasonable fit, despite an excess of about 30% between 3 mJy and 10 mJy.
4.4 160
m number
counts
![]() |
Figure 7:
Differential number counts at 160 |
Open with DEXTER |
The 160 m
number counts were obtained exactly in the same way as at 70
m. We used
COSMOS and EGS to probe counts below the 80% completeness
limit. We reached 51 mJy at 80% completeness
(51 mJy to 66 mJy bin) and 40 mJy for
the 50% spurious rate cut (Fig. 7 and
Table 4).
We used a stacking analysis to probe fainter flux density levels (cf.
Sect. 5).
Our counts agree with the earlier works of Dole et al. (2004) and Frayer et al. (2009). We find like Frayer et al. (2009) that the Lagache et al. (2004) model overestimates the counts by about 30% above 50 mJy (see the discussion in Sect. 7.2). On the contrary, the Le Borgne et al. (2009) model underpredicts the counts by about 20% between 50 mJy and 150 mJy.
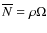
4.5 Uncertainties on number counts including clustering
Shupe et al. (2008) showed that the SWIRE field-to-field variance is significantly higher than the Poisson noise (by a factor of three in some flux bins). They estimated their uncertainties on number counts with a field bootstrap method. We used a more formal method to deal with this problem.
The uncertainties on the number counts are Poissonian only if sources are distributed uniformly. But, actually, the infrared galaxies are clustered. The uncertainties must thus be computed taking into account clustering. We first measured the source clustering as a function of the flux density with the counts-in-cells moments (c-in-c) method (Szapudi 1998; Peebles 1980; Blake & Wall 2002). We then computed the uncertainties knowing these clustering properties of the sources, the source density in the flux density bins and the field shapes. The details are explained in the Appendix A.
This statistical uncertainty can be combined with the Spitzer calibration uncertainty (Gordon et al. 2007; Stansberry et al. 2007; Engelbracht et al. 2007) to compute the total uncertainty on differential number counts.
5 Deeper FIR number counts using a stacking analysis
5.1 Method
The number counts derived in Sect. 4 show that
down to the 80% completeness limit, the source surface density
is 24100 deg-2, 1200 deg-2,
and 220 deg-2 at 24, 70, and
160 m,
respectively, i.e. 20 times (resp. 110 times) higher at
24
m
than at 70
m
(resp. 160
m).
These differences can be explained by the angular resolution decreasing
with increasing wavelength, thus increasing confusion, and the noise
properties of the detectors. There are thus many 24
m sources
without detected FIR counterparts. If we want to probe deeper into the
FIR number counts, we can take advantage of the information provided by
the 24
m
data, namely the existence of infrared galaxies not necessarily
detected in the FIR, and their positions.
We used a stacking analysis (Dole
et al. 2006) to determine the FIR/MIR color as a
function of the MIR flux. With this information, we can convert MIR
counts into FIR counts. The stacking technique consists in piling up
very faint far-infrared galaxies which are not detected individually,
but are detected at 24 m. For this purpose, it makes use of the
24
m
data prior to tracking their undetected counterpart at 70
m and
160
m,
where most of the bolometric luminosity arises. This method was used by
Dole et al. (2006),
who managed to resolve the FIR CIB using 24
m sources
positions, as well many other authors (e.g Dye et al. (2006); Pascale
et al. (2009); Wang et al. (2006); Serjeant
et al. (2004); Dye et al. (2009); Marsden
et al. (2009); Devlin et al. (2009)).
To derive the 70 m or 160
m versus 24
m color, we stacked the FIR maps (cleaned of
bright sources) at the positions of the 24
m sources
sorted by flux, and performed aperture photometry (same parameters as
in Sect. 2).
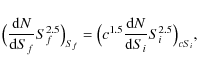
We thus get
where





We checked that f is a smooth monotonic
function, in agreement with the expectation that the color varies
smoothly with the redshift and the galaxy emission properties. Assuming
that the individual sources follow this relation exactly, the FIR
number counts could be deduced from
![]() |
(3) |
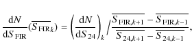
In practice, the two first terms are discrete. In addition, the last term is computed numerically in the same S24 bin, using the two neighboring flux density bins (k-1 and k+1). We finally get
where

![]() |
(5) |
Our method is still valid under the condition

To obtain a better signal to noise ratio, we cleaned the
resolved bright sources from the FIR maps prior to stacking. We used 8 S24
bins per decade. We stacked a source only if the coverage was more than
half of the median coverage of the map. Uncertainties on the FIR mean
flux were estimated with a bootstrap method. Furthermore, knowing the
uncertainties on the 24 m number counts and the mean S24
fluxes, we deduced the uncertainties on the FIR number counts according
to Eq. (4).
At 70 m,
we used the FIDEL eCDFS (cleaned at S70>10 mJy)
and the COSMOS (cleaned at S70>50 mJy)
fields. At 160
m,
we used 160
m
the GTO CDFS (cleaned at S160>60 mJy),
the COSMOS (cleaned at S160>100 mJy)
and the SWIRE EN1 (no clean to probe the S160>20 mJy
sources) fields.
5.2 Validation on simulations
We used the Fernandez-Conde
et al. (2008) simulations
to validate our method. These simulations are based on the Lagache et al. (2004)
model, and include galaxy clustering. We employed 20 simulated
mock catalogs of a 2.9 deg2 field each,
containing about 870 000 mock sources each. The simulated maps
have the same pixel size as the actual Spitzer mosaics (1.2
,
4
,
and 8
at 24
m,
70
m,
and 160
m,
resp.) and are convolved with our empirical PSF. A constant standard
deviation Gaussian noise was added. We applied the same method as for
the real data to produce stacking number counts. At 160
m, for bins
below 15 mJy, we cleaned the sources brighter than
50 mJy. Figure 8
shows 160
m
number counts from the mock catalogs down to S160=1 mJy
(diamond) and the number counts deduced from the stacking analysis
described in the previous section (triangle). The error bars on the
figure are the standard deviations of the 20 realization.
There is a good agreement between the stacking counts and the classical
counts (better than 15%). Nevertheless, we observed a
systematic bias, intrinsic to the method, of about 10% in some
flux density bins. We thus combined this 10% error with the
statistical uncertainties to compute our error bars. We also validated
the estimation of the statistical uncertainty in the stacking counts:
we check that the dispersion of the counts obtained by stacking, coming
from different realizations, was compatible with our estimation of
statistical uncertainties. The results are the same at 70
m.
![]() |
Figure 8:
Simulated number counts at 160 |
Open with DEXTER |
5.3 Results
At 70 m,
the stacking number counts reach 0.38 mJy (see Fig. 6 and Table 5). The last
stacking point is compatible with the Frayer
et al. (2006) P(D) constraint. The stacking points
also agree very well with the Lagache
et al. (2004) model. The Le
Borgne et al. (2009) model predicts slightly too
many sources in 0.3 to 3 mJy range. The turnover
around 3 mJy and the power law behavior of the faint counts (
), observed by Frayer et al. (2006)
are confirmed with a better accuracy.
At 160 m,
the stacking counts reach 3.1 mJy (see Fig. 7 and
Table 6).
We observed for the first time a turnover at about 20 mJy, and
a power-law decrease at smaller flux densities. The stacking counts are
lower than the Lagache
et al. (2004) model around 20 mJy
(about 30%). Below 15 mJy, the stacking counts agree
with this model. The Le Borgne
et al. (2009) model agree quite well with our points
below 20 mJy. The results at 160
m will be
discussed in Sect. 7.2.
Table 5:
Stacking extragalactic number counts at 70 m.
Table 6:
Stacking extragalactic number counts at 160 m.
6 New
lower limits and estimates of the CIB at 24
m,
70
m
and 160
m
6.1 24
m CIB: lower
limit and estimate
By integrating the measured 24 m number counts between 35
Jy and
0.1 Jy, we can estimate a lower value of the CIB at this
wavelength. The counts were integrated with a trapeze method. We
estimated the uncertainty on the integral by adding (on 10000
realisations) a random Gaussian error to each data point with the
given by the count uncertainties taking into account clustering. We
then added the 4% calibration error of the instrument (Engelbracht et al. 2007).
We found 2.26-0.09+0.09 nW m-2 sr-1.
The very bright source counts (
S24
> 0.1 Jy) are supposed to be euclidian (d
).
We used the three brightest points to estimate
.
We found a contribution to the CIB of
nW m-2 sr-1.
Consequently, very bright sources extrapolation is not critical for the
CIB estimation (1% of CIB). The contribution of S24
> 35
Jy
is thus
nW m-2 sr-1
(cf. Table 7).
We might have wanted to estimate the CIB value at 24 m. To do so,
we needed to extrapolate the number counts on the faint end. Below 100
Jy, the
number counts exhibit a power-law behavior (Fig. 5). We assumed
that this behavior (of the form d
)
still holds below 35
Jy.
r and
are determined using the four faintest bins. We found
(compatible with
of Papovich et al. 2004).
Our new estimate of the CIB at 24
m due to infrared galaxies is thus
nW m-2 sr-1.
The results are plotted in Fig. 9. We conclude
that resolved sources down to
Jy account
for 80% of the CIB at this wavelength.
![]() |
Figure 9:
Cumulative contribution to the surface brightness of the 24 |
Open with DEXTER |
Table 7: Summary of CIB results found in this article.
6.2 70
m
and 160
m
CIB: lower limit and estimate
At 70 m
and 160
m,
the integration of the number counts was done in the same way as at
24
m,
except for the stacking counts, which are correlated. To compute the
uncertainties on the integral, we added (on 10 000
realizations) a Gaussian error simultaneously to the three quantities
and completely recomputed the associated stacking counts: 1- the mean
density flux given by the stacking; 2- the 24
m number
counts; 3- the mean 24
m flux density. At 70
m, and
160
m,
the calibration uncertainty is 7% (Gordon
et al. 2007) and 12% (Stansberry et al. 2007),
respectively. We estimated the CIB surface brightness contribution of
resolved sources (
S70
> 3.5 mJy and S160
> 40 mJy) of
3.1-0.2+0.2 nW m-2 sr-1
and 1.0-0.1+0.1 nW m-2 sr-1.
The contribution of S70>0.38 mJy
and S160>3.1 mJy
is 5.4-0.4+0.4 nW m-2 sr-1
and 8.9-1.1+1.1 nW m-2 sr-1,
respectively.
Below 2 mJy at 70 m, and 10 mJy at 160
m, the
stacking counts are compatible with a power-law. Like at 24
m, we
assumed that this behavior can be extrapolated and determined the law
with the five faintest bins at 70
m, and the four faintest at 160
m. We found
a slope
at 70
m,
and
at 160
m.
The slope of the number counts at 70
m is compatible with the Frayer et al. (2006)
value (
). The slope at 160
m is
measured for the first time. Our new estimate of the CIB at 70
m and
160
m
due to infrared galaxies is thus
6.6-0.6+0.7 nW m-2 sr-1,
and 14.6-2.9+7.1 nW m-2 sr-1,
respectively. We conclude that resolved and stacking-studied
populations account for 82% and 62% of the CIB at
70
m
and 160
m,
respectively. These results are summarized in Table 7, and
Figs. 10
and 11.
![]() |
Figure 10:
Cumulative contribution to the surface brightness of the 70 |
Open with DEXTER |
7 Discussion
7.1 New lower limits of the CIB
The estimations of CIB based on number counts ignore a potential diffuse infrared emission like dust in galaxy clusters (Montier & Giard 2005). The extrapolation of the faint source counts supposes no low luminosity population, like population III stars or faint unseen galaxies. Accordingly, this type of measurement can provide in principle only a lower limit.
At 24 m,
Papovich et al. (2004)
found 2.71.1-0.7 nW m-2 sr-1
using the counts and the extrapolation of the faint source counts. We
agree with this work and significantly reduced the uncertainties on
this estimation. Dole et al.
(2006) found a contribution of
nW m-2 sr-1
for
Jy sources
(after dividing their results by 1.12 to correct an aperture error in
their photometry at 24
m). Our analysis gives
nW m-2 sr-1
for a cut at 60
Jy,
which agrees very well. Rodighiero
et al. (2006) gave a total value of
2.6 nW m-2 sr-1,
without any error bar. Chary
et al. (2004) found
nW m-2 sr-1,
by integrating sources between 20 and 1000
Jy (we find
for the same interval).
At 70 m,
using the number counts in the ultra deep GOODS-N and a P(D) analysis, Frayer et al. (2006)
found a S70
> 0.3 mJy source contribution to the 70
m CIB of
nW m-2 sr-1.
Using the stacking counts, we found
nW m-2 sr-1
for the same cut, in excellent agreement and with improved
uncertainties. In Dole
et al. (2006), the contribution at 70
m of the S24
< 60
Jy
sources was computed with an extrapolation of the 24
m number
counts and the 70/24 color. They found
nW m-2 sr-1,
but the uncertainty on the extrapolation took only into account the
uncertainty on the 70/24 color and not the uncertainty on the
extrapolated 24
m
contribution, and was thus slightly underestimated. This is in agrees
with our estimation.
At 160 m
they found with the same method,
nW m-2 sr-1
(a corrective factor of 1.3 was applied due to an error on the
map pixel size). This estimation is a little bit higher than our
estimation, and can be explained by a small contribution (of the order
of 15%) of the source clustering (Bavouzet
2008).
Our results can also be compared with direct measurements made
by absolute photometers. These methods are biased by the foreground
modeling, but do not ignore the extended emission. Fixsen et al. (1998)
found a CIB brightness of
at 160
m,
in excellent agreement with our estimation (
14.6-2.9+7.1 nW m-2).
From the discussion in Dole
et al. (2006) (Sect. 4.1), the Lagache et al. (2000)
DIRBE WHAM (FIRAS calibration) estimation at 140
m and
240
m
of 12 nW m-2 sr-1
and 12.2 nW m-2 sr-1
can be also compared with our value at 160
m. A more
recent work of Odegard
et al. (2007) found 25.0
6.9
and 13.6
2.5 nW m-2 sr-1
at 140
m
and 240
m
respectively (resp. 15
5.9 nW m-2 sr-1
and 12.7
1.6 nW m-2 sr-1
with the FIRAS scale). Using ISOPHOT data, Juvela
et al. (2009) give an estimation of the CIB surface
brightness between 150
m and 180
m of 20.25
6.0
5.6 nW m-2 sr-1.
![]() |
Figure 11:
Cumulative contribution to the surface brightness of the 160 |
Open with DEXTER |
![]() |
Figure 12:
Current measurement of the extragalactic background light spectral
energy distribution from 100 nm to 1mm, with the cosmic
optical background (COB, |
Open with DEXTER |
The total brightness due to infrared galaxies at 160 m
corresponds to the total CIB level at this wavelength. We thus have
probably resolved the CIB at this wavelength. Nevertheless, the
uncertainties are relatively large, and other minor CIB contributors
cannot be excluded.
In addition, upper limits can be deduced indirectly from
blazar high energy spectrum. Stecker
& de Jager (1997) gave an upper limit of
4 nW m-2 sr-1
at 20 m
using Mkn 421. Renault
et al. (2001) found an upper limit of
4.7 nW m-2 sr-1
between 5 and 15
m with Mkn 501. This is consistent with our lower
limit at 24
m.
An update of the synthetic EBL SED of Dole
et al. (2006) with the new BLAST (balloon-borne
large-aperture submillimeter telescope) lower limits from Devlin et al. (2009)
and our values is plotted in Fig. 12. The BLAST lower
limits are obtained by stacking of the Spitzer 24 m sources at
250
m,
350
m
and 500
m
(Marsden
et al. 2009; Devlin et al. 2009).
7.2 160
m number
counts
At most, we observed a 30% overestimation of the Lagache et al. (2004)
model compared to the 160 



The Le Borgne
et al. (2009) model slightly overpredicts faint
160 m
sources, probably because of the presence of too many galaxies at high
redshift; this trend is also seen at 70
m. With our number counts as new constraints,
their inversion should give more accurate parameters.
Herschel was successfully launched on May
14th, 2009 (together with Planck). It will observe
infrared galaxies between 70 m and 500
m with an improved sensitivity. It will be
possible to directly observe the cold dust spectrum of high-z ULIRG
(ultra luminous infrared galaxy) and medium-z LIRG (luminous infrared
galaxy). PACS (Photodetectors Array Camera and Spectrometer) will make
photometric surveys in three bands centred on 70
m,
100
m
and 160
m.
Herschel will allow us to resolve a significant
fraction of the background at these wavelengths (Lagache et al. 2003; Le Borgne
et al. 2009). SPIRE (spectral and photometric
imaging receiver) will observe around 250
m,
350
m
and 500
m,
and will be quickly confusion limited. In both cases, the stacking
analysis will allow us to probe fainter flux density levels, as it is
complementary to Spitzer and BLAST.
8 Conclusion
With a large sample of public Spitzer extragalactic
maps, we built new deep, homogeneous, high-statistics number counts in
three MIPS bands at 24 m, 70
m and 160
m.
At 24 m,
the results agree with previous works. These counts are derived from
the widest surface ever used at this wavelength (53.6 deg2).
Using these counts, we give an accurate estimation of the galaxy
contribution to the CIB at this wavelength (
2.86-0.16+0.19 nW m-2 sr-1).
At 70 m,
we used the stacking method to determine the counts below the detection
limit of individual sources, by reaching 0.38 mJy, allowing us
to probe the faint flux density slope of differential number counts.
With this information, we deduced the total contribution of galaxies to
the CIB at this wavelength (
).
At 160 m,
our counts reached 3 mJy with a stacking analysis. We
exhibited for the first time the maximum in differential number counts
around 20 mJy and the power-law behavior below
10 mJy. We deduced the total contribution of galaxies to the
CIB at this wavelength (
). Herschel
will likely probe flux densities down to about 10 mJy at this
wavelength (confusion limit, Le
Borgne et al. (2009)).
The uncertainties on the number counts used in this work take carefully into account the galaxy clustering, which is measured with the ``counts-in-cells'' method.
We presented a method to build very deep number counts with
the information provided by shorter wavelength data (MIPS 24 m) and a
stacking analysis. This tool could be used on Herschel
SPIRE data with a PACS prior to probe fainter flux densities in the
submillimetre range.
We publicly release on the website http://www.ias.u-psud.fr/irgal/, the following products: PSF, number counts and CIB contributions. We also release a stacking library software written in IDL.
AcknowledgementsWe wish to acknowledge G. Lagache, who has generated simulations used in this work. We acknowledge J.L. Puget, G. Lagache, D. Marcillac, B. Bertincourt, A. Penin and all members of the cosmology group of IAS for their comments and suggestions. We wish to thank the members of ANR D-SIGALE for their valuable comments, in particular D. Le Borgne for providing us an electronic version of his model. We also thank E. Le Floc'h for quickly providing us the table of his counts. This work is based in part on archival data obtained with the Spitzer Space Telescope, which is operated by the Jet Propulsion Laboratory, California Institute of Technology under a contract with NASA. Support for this work was provided by an award issued by JPL/Caltech. This publication makes use of data products from the Two Micron All Sky Survey, which is a joint project of the University of Massachusetts and the Infrared Processing and Analysis Center/California Institute of Technology, funded by the National Aeronautics and Space Administration and the National Science Foundation.
Appendix A: Uncertainties on number counts including clustering
A.1 Counts-in-cells moments
We consider a clustered population with a surface density .
The expected number of objects in a field of the size
is
.
In the Poissonian case, the standard deviation around this value
is
.
For a clustered distribution, the standard deviation
is given by (Wall & Jenkins
2003)
The expected value of y is given by (Peebles 1980)
![]() |
(A.2) |
where

A.2 Measuring source clustering as a function of flux density
We assume the classical power law description
with an index
.
So, y depends only on A and on the shape of the
field:
The uncertainty on y is given by (Szapudi 1998):
![]() |
(A.4) |
To measure






![]() |
(A.5) |
The fit of


The measured exponent in A.6 of






![]() |
Figure A.1:
Amplitude of the auto correlation as a function of the flux density of
the sources at 24 |
Open with DEXTER |
A.3 Compute uncertainties due to clustering
With this model of
and the field shape, we compute y (Eq. (A.3)). Assuming
(N to be the number of detected sources in a given
field and flux density bin), we deduce
from Eq. (A.1),
and consequently the error bar on the number counts for a single field.
To compute the final uncertainty on the combined counts, we
use the following relation
![]() |
(A.7) |
where



![]() |
Figure A.2:
Relative error on the number count as a function of the field size. We
have chosen A = 0.019 and |
Open with DEXTER |
A.4 Discussion about clustering and number count uncertainties
For a clustered distribution of sources, the uncertainties on the number counts are driven by two quadratically combined terms (Eq. (A.1)): a Poissonian term







Consequently uncertainties decrease very slowly in the the
clustering regime. Averaging many small independent fields gives more
accurate counts than a big field covering the same surface. For
example, in the clustering regime, if a field of 10 deg2
has a relative uncertainty of 0.2, the relative uncertainty is
0.2/
for the mean of ten fields of this size, and
for a single field of 100 deg2.
Consequently, if one studies the counts only, many small fields give
better results than one very large field. But, this is not optimal if
one studies the spatial properties of the galaxies, which requires
large fields.
References
- Arendt, R. G., Odegard, N., Weiland, J. L., et al. 1998, ApJ, 508, 74 [Google Scholar]
- Bavouzet, N. 2008, Ph.D. Thesis, Université Paris-Sud 11 http://tel.archives-ouvertes.fr/tel-00363975/ [Google Scholar]
- Bertin, E., & Arnouts, S. 1996, A&AS, 117, 393 [NASA ADS] [CrossRef] [EDP Sciences] [Google Scholar]
- Blake, C., & Wall, J. 2002, MNRAS, 337, 993 [NASA ADS] [CrossRef] [Google Scholar]
- Chary, R., Casertano, S., Dickinson, M. E., et al. 2004, ApJS, 154, 80 [NASA ADS] [CrossRef] [Google Scholar]
- Devlin, M. J., Ade, P. A. R., Aretxaga, I., et al. 2009, Nature, 458, 737 [NASA ADS] [CrossRef] [PubMed] [Google Scholar]
- Diolaiti, E., Bendinelli, O., Bonaccini, D., et al. 2000, A&AS, 147, 335 [NASA ADS] [CrossRef] [EDP Sciences] [Google Scholar]
- Dole, H., Gispert, R., Lagache, G., et al. 2001, A&A, 372, 364 [NASA ADS] [CrossRef] [EDP Sciences] [Google Scholar]
- Dole, H., Lagache, G., & Puget, J.-L. 2003, ApJ, 585, 617 [NASA ADS] [CrossRef] [Google Scholar]
- Dole, H., Le Floc'h, E., Pérez-González, P. G., et al. 2004, ApJS, 154, 87 [NASA ADS] [CrossRef] [Google Scholar]
- Dole, H., Lagache, G., Puget, J.-L., et al. 2006, A&A, 451, 417 [NASA ADS] [CrossRef] [EDP Sciences] [MathSciNet] [Google Scholar]
- Dye, S., Eales, S. A., Ashby, M. L. N., et al. 2006, ApJ, 644, 769 [NASA ADS] [CrossRef] [Google Scholar]
- Dye, S., Ade, P. A. R., Bock, J. J., et al. 2009, ApJ, 703, 285 [NASA ADS] [CrossRef] [Google Scholar]
- Eddington, A. S. 1913, MNRAS, 73, 359 [Google Scholar]
- Eddington, Sir, A. S. 1940, MNRAS, 100, 354 [NASA ADS] [CrossRef] [Google Scholar]
- Elbaz, D., Cesarsky, C. J., Chanial, P., et al. 2002, A&A, 384, 848 [NASA ADS] [CrossRef] [EDP Sciences] [Google Scholar]
- Engelbracht, C. W., Blaylock, M., Su, K. Y. L., et al. 2007, PASP, 119, 994 [NASA ADS] [CrossRef] [Google Scholar]
- Fernandez-Conde, N., Lagache, G., Puget, J.-L., & Dole, H. 2008, A&A, 481, 885 [NASA ADS] [CrossRef] [EDP Sciences] [Google Scholar]
- Fixsen, D. J., Dwek, E., Mather, J. C., Bennett, C. L., & Shafer, R. A. 1998, ApJ, 508, 123 [NASA ADS] [CrossRef] [Google Scholar]
- Franceschini, A., Rodighiero, G., Vaccari, M., Marchetti, L., & Mainetti, G. 2010, A&A, accepted [arXiv:0906.4264] [Google Scholar]
- Frayer, D. T., Huynh, M. T., Chary, R., et al. 2006, ApJ, 647, L9 [NASA ADS] [CrossRef] [Google Scholar]
- Frayer, D. T., Sanders, D. B., Surace, J. A., et al. 2009, AJ, 138, 1261 [NASA ADS] [CrossRef] [Google Scholar]
- Gispert, R., Lagache, G., & Puget, J. L. 2000, A&A, 360, 1 [NASA ADS] [Google Scholar]
- Gordon, K. D., Engelbracht, C. W., Fadda, D., et al. 2007, PASP, 119, 1019 [NASA ADS] [CrossRef] [Google Scholar]
- Hauser, M. G., & Dwek, E. 2001, ARA&A, 39, 249 [NASA ADS] [CrossRef] [Google Scholar]
- Hauser, M. G., Arendt, R. G., Kelsall, T., et al. 1998, ApJ, 508, 25 [NASA ADS] [CrossRef] [Google Scholar]
- Juvela, M., Mattila, K., Lemke, D., et al. 2009, A&A, 500, 763 [NASA ADS] [CrossRef] [EDP Sciences] [Google Scholar]
- Kashlinsky, A. 2005, Phys. Rep., 409, 361 [NASA ADS] [CrossRef] [Google Scholar]
- Krist, J. 2006, Tiny Tim/Spitzer User's Guide [Google Scholar]
- Lagache, G., Abergel, A., Boulanger, F., Désert, F. X., & Puget, J.-L. 1999, A&A, 344, 322 [NASA ADS] [Google Scholar]
- Lagache, G., Haffner, L. M., Reynolds, R. J., & Tufte, S. L. 2000, A&A, 354, 247 [Google Scholar]
- Lagache, G., Dole, H., & Puget, J.-L. 2003, MNRAS, 338, 555 [NASA ADS] [CrossRef] [Google Scholar]
- Lagache, G., Dole, H., Puget, J.-L., et al. 2004, ApJS, 154, 112 [NASA ADS] [CrossRef] [Google Scholar]
- Lagache, G., Puget, J.-L., & Dole, H. 2005, ARA&A, 43, 727 [NASA ADS] [CrossRef] [Google Scholar]
- Le Borgne, D., Elbaz, D., Ocvirk, P., & Pichon, C. 2009, A&A, 504, 727 [NASA ADS] [CrossRef] [EDP Sciences] [Google Scholar]
- LeFloc'h, E., Aussel, H., Ilbert, O., et al. 2009, ApJ, 703, 222 [NASA ADS] [CrossRef] [Google Scholar]
- Marsden, G., Ade, P. A. R., Bock, J. J., et al. 2009, ApJ, 707, 1729 [NASA ADS] [CrossRef] [Google Scholar]
- Montier, L. A., & Giard, M. 2005, A&A, 439, 35 [NASA ADS] [CrossRef] [EDP Sciences] [Google Scholar]
- Odegard, N., Arendt, R. G., Dwek, E., et al. 2007, ApJ, 667, 11 [Google Scholar]
- Papovich, C., Dole, H., Egami, E., et al. 2004, ApJS, 154, 70 [NASA ADS] [CrossRef] [Google Scholar]
- Pascale, E., Ade, P. A. R., Bock, J. J., et al. 2009, ApJ, 707, 1740 [NASA ADS] [CrossRef] [Google Scholar]
- Pearson, C., & Khan, S. A. 2009, MNRAS, 399, L11 [NASA ADS] [CrossRef] [Google Scholar]
- Peebles, P. J. E. 1980, The large-scale structure of the universe [Google Scholar]
- Puget, J.-L., Abergel, A., Bernard, J.-P., et al. 1996, A&A, 308, L5 [NASA ADS] [Google Scholar]
- Renault, C., Barrau, A., Lagache, G., & Puget, J.-L. 2001, A&A, 371, 771 [NASA ADS] [CrossRef] [EDP Sciences] [Google Scholar]
- Rieke, G. H., Young, E. T., Engelbracht, C. W., et al. 2004, ApJS, 154, 25 [NASA ADS] [CrossRef] [Google Scholar]
- Rodighiero, G., Lari, C., Pozzi, F., et al. 2006, MNRAS, 371, 1891 [NASA ADS] [CrossRef] [Google Scholar]
- Rowan-Robinson, M. 2009, MNRAS, 394, 117 [NASA ADS] [CrossRef] [Google Scholar]
- Serjeant, S., Mortier, A. M. J., Ivison, R. J., et al. 2004, ApJS, 154, 118 [NASA ADS] [CrossRef] [Google Scholar]
- Shupe, D. L., Rowan-Robinson, M., Lonsdale, C. J., et al. 2008, AJ, 135, 1050 [NASA ADS] [CrossRef] [Google Scholar]
- Skrutskie, M. F., Cutri, R. M., Stiening, R., et al. 2006, AJ, 131, 1163 [NASA ADS] [CrossRef] [Google Scholar]
- Stansberry, J. A., Gordon, K. D., Bhattacharya, B., et al. 2007, PASP, 119, 1038 [NASA ADS] [CrossRef] [Google Scholar]
- Starck, J. L., Aussel, H., Elbaz, D., Fadda, D., & Cesarsky, C. 1999, A&AS, 138, 365 [Google Scholar]
- Stecker, F. W., & de Jager, O. C. 1997, ApJ, 476, 712 [NASA ADS] [CrossRef] [Google Scholar]
- Stetson, P. B. 1987, PASP, 99, 191 [NASA ADS] [CrossRef] [Google Scholar]
- Szapudi, I. 1998, ApJ, 497, 16 [NASA ADS] [CrossRef] [Google Scholar]
- Valiante, E., Lutz, D., Sturm, E., Genzel, R., & Chapin, E. 2009, ApJ, 701, 1814 [NASA ADS] [CrossRef] [Google Scholar]
- Wall, J. V., & Jenkins, C. R. 2003, Practical Statistics for Astronomers [Google Scholar]
- Wang, W.-H., Cowie, L. L., & Barger, A. J. 2006, ApJ, 647, 74 [NASA ADS] [CrossRef] [Google Scholar]
- Werner, M. W., Gallagher, D. B., & Irace, W. R. 2004, Adv. Space Res., 34, 600 [NASA ADS] [CrossRef] [Google Scholar]
Footnotes
- ... background
- Counts and CIB contributions are only available in electronic form at the CDS via anonymous ftp to cdsarc.u-strasbg.fr (130.79.128.5) or via http://cdsweb.u-strasbg.fr/cgi-bin/qcat?J/A+A/512/A78
- ... mosaics
- from the Spitzer Science Center website: http://data.spitzer.caltech.edu/popular/
- ... facility
- http://iraf.noao.edu/
- ... S Tiny Tim
- http://ssc.spitzer.caltech.edu/archanaly/contributed/stinytim/
- ... 2007
- http://ssc.spitzer.caltech.edu/mips/dh/
- ...Lagache et al. (2004)
- Lagache et al. (2004) model used a
CDM cosmology with
,
and h = 0.71.
- ...Le Borgne et al. (2009)
- Le Borgne et al. (2009) model used a
CDM cosmology with
,
and h = 0.7.
- ... simulations
- Publicly available at http://www.ias.u-psud.fr/irgalaxies/
All Tables
Table 1: Size, 80% completeness flux density, and calibration scaling factor (see Sect. 2.1) of the used fields.
Table 2:
Differential number counts at 24 m.
Table 3:
Differential number counts at 70 m.
Table 4:
Differential number counts at 160 m.
is the uncertainty taking into account clustering (see Sect. 4.5).
Table 5:
Stacking extragalactic number counts at 70 m.
Table 6:
Stacking extragalactic number counts at 160 m.
Table 7: Summary of CIB results found in this article.
All Figures
![]() |
Figure 1:
Flux distribution of sources extracted from normal (solid
line) and flipped (dash line) maps, at
70 |
Open with DEXTER | |
In the text |
![]() |
Figure 2:
Completeness at 24 |
Open with DEXTER | |
In the text |
![]() |
Figure 3:
Ratio between measured flux and input flux computed from Monte Carlo
simulations at 70 |
Open with DEXTER | |
In the text |
![]() |
Figure 4:
Eddington bias: ratio between the number of detected sources and the
number of input sources at 70 |
Open with DEXTER | |
In the text |
![]() |
Figure 5:
Differential number counts at 24 |
Open with DEXTER | |
In the text |
![]() |
Figure 6:
Differential number counts at 70 |
Open with DEXTER | |
In the text |
![]() |
Figure 7:
Differential number counts at 160 |
Open with DEXTER | |
In the text |
![]() |
Figure 8:
Simulated number counts at 160 |
Open with DEXTER | |
In the text |
![]() |
Figure 9:
Cumulative contribution to the surface brightness of the 24 |
Open with DEXTER | |
In the text |
![]() |
Figure 10:
Cumulative contribution to the surface brightness of the 70 |
Open with DEXTER | |
In the text |
![]() |
Figure 11:
Cumulative contribution to the surface brightness of the 160 |
Open with DEXTER | |
In the text |
![]() |
Figure 12:
Current measurement of the extragalactic background light spectral
energy distribution from 100 nm to 1mm, with the cosmic
optical background (COB, |
Open with DEXTER | |
In the text |
![]() |
Figure A.1:
Amplitude of the auto correlation as a function of the flux density of
the sources at 24 |
Open with DEXTER | |
In the text |
![]() |
Figure A.2:
Relative error on the number count as a function of the field size. We
have chosen A = 0.019 and |
Open with DEXTER | |
In the text |
Copyright ESO 2010
Current usage metrics show cumulative count of Article Views (full-text article views including HTML views, PDF and ePub downloads, according to the available data) and Abstracts Views on Vision4Press platform.
Data correspond to usage on the plateform after 2015. The current usage metrics is available 48-96 hours after online publication and is updated daily on week days.
Initial download of the metrics may take a while.