Issue |
A&A
Volume 512, March-April 2010
|
|
---|---|---|
Article Number | A7 | |
Number of page(s) | 15 | |
Section | Extragalactic astronomy | |
DOI | https://doi.org/10.1051/0004-6361/200913474 | |
Published online | 18 March 2010 |
Observations of the Large Magellanic Cloud with Fermi
A. A. Abdo1,2 - M. Ackermann3 - M. Ajello3 - W. B. Atwood4 - L. Baldini5 - J. Ballet6 - G. Barbiellini7,8 - D. Bastieri9,10 - B. M. Baughman11 - K. Bechtol3 - R. Bellazzini5 - B. Berenji3 - R. D. Blandford3 - E. D. Bloom3 - E. Bonamente12,13 - A. W. Borgland3 - J. Bregeon5 - A. Brez5 - M. Brigida14,15 - P. Bruel16 - T. H. Burnett17 - S. Buson10 - G. A. Caliandro14,15 - R. A. Cameron3 - P. A. Caraveo18 - J. M. Casandjian6 - C. Cecchi12,13 - Ö. Çelik19,20,21 - A. Chekhtman1,22 - C. C. Cheung19 - J. Chiang3 - S. Ciprini12,13 - R. Claus3 - J. Cohen-Tanugi23 - L. R. Cominsky24 - J. Conrad25,26,27 - S. Cutini28 - C. D. Dermer1 - A. de Angelis29 - F. de Palma14,15 - S. W. Digel3 - E. do Couto e Silva3 - P. S. Drell3 - R. Dubois3 - D. Dumora30,31 - C. Farnier23 - C. Favuzzi14,15 - S. J. Fegan16 - W. B. Focke3 - P. Fortin16 - M. Frailis29 - Y. Fukazawa32 - P. Fusco14,15 - F. Gargano15 - D. Gasparrini28 - N. Gehrels19,33 - S. Germani12,13 - G. Giavitto34 - B. Giebels16 - N. Giglietto14,15 - F. Giordano14,15 - T. Glanzman3 - G. Godfrey3 - E. V. Gotthelf35 - I. A. Grenier6 - M.-H. Grondin30,31 - J. E. Grove1 - L. Guillemot30,31 - S. Guiriec36 - Y. Hanabata32 - A. K. Harding19 - M. Hayashida3 - E. Hays19 - D. Horan16 - R. E. Hughes11 - M. S. Jackson25,26,37 - P. Jean41 - G. Jóhannesson3 - A. S. Johnson3 - R. P. Johnson4 - T. J. Johnson19,33 - W. N. Johnson1 - T. Kamae3 - H. Katagiri32 - J. Kataoka38,39 - N. Kawai38,40 - M. Kerr17 - J. Knödlseder41 - M. L. Kocian3 - M. Kuss5 - J. Lande3 - L. Latronico5 - M. Lemoine-Goumard30,31 - F. Longo7,8 - F. Loparco14,15 - B. Lott30,31 - M. N. Lovellette1 - P. Lubrano12,13 - G. M. Madejski3 - A. Makeev1,22 - F. Marshall19 - P. Martin42 - M. N. Mazziotta15 - W. McConville19,33 - J. E. McEnery19 - C. Meurer25,26 - P. F. Michelson3 - W. Mitthumsiri3 - T. Mizuno32 - A. A. Moiseev20,33 - C. Monte14,15 - M. E. Monzani3 - A. Morselli43 - I. V. Moskalenko3 - S. Murgia3 - P. L. Nolan3 - J. P. Norris44 - E. Nuss23 - T. Ohsugi32 - N. Omodei5 - E. Orlando42 - J. F. Ormes44 - D. Paneque3 - D. Parent30,31 - V. Pelassa23 - M. Pepe12,13 - M. Pesce-Rollins5 - F. Piron23 - T. A. Porter4 - S. Rainò14,15 - R. Rando9,10 - M. Razzano5 - A. Reimer45,3 - O. Reimer45,3 - T. Reposeur30,31 - S. Ritz4 - A. Y. Rodriguez46 - R. W. Romani3 - M. Roth17 - F. Ryde37,26 - H. F.-W. Sadrozinski4 - D. Sanchez16 - A. Sander11 - P. M. Saz Parkinson4 - J. D. Scargle47 - A. Sellerholm25,26 - C. Sgrò5 - E. J. Siskind48 - D. A. Smith30,31 - P. D. Smith11 - G. Spandre5 - P. Spinelli14,15 - J.-L. Starck6 - M. S. Strickman1 - A. W. Strong42 - D. J. Suson49 - H. Tajima3 - H. Takahashi32 - T. Tanaka3 - J. B. Thayer3 - J. G. Thayer3 - D. J. Thompson19 - L. Tibaldo9,6,10 - D. F. Torres50,46 - G. Tosti12,13 - A. Tramacere3,51 - Y. Uchiyama52,3 - T. L. Usher3 - V. Vasileiou19,20,21 - C. Venter19,53 - N. Vilchez41 - V. Vitale43,54 - A. P. Waite3 - P. Wang3 - P. Weltevrede55 - B. L. Winer11 - K. S. Wood1 - T. Ylinen37,56,26 - M. Ziegler4
1 - Space Science Division, Naval Research Laboratory, Washington, DC
20375, USA
2 - National Research Council Research Associate, National Academy of
Sciences, Washington, DC 20001, USA
3 - W. W. Hansen Experimental Physics Laboratory, Kavli Institute for
Particle Astrophysics and Cosmology, Department of Physics and SLAC
National Accelerator Laboratory, Stanford University, Stanford, CA
94305, USA
4 - Santa Cruz Institute for Particle Physics, Department of Physics
and Department of Astronomy and Astrophysics, University of California
at Santa Cruz, Santa Cruz, CA 95064, USA
5 - Istituto Nazionale di Fisica Nucleare, Sezione di Pisa, 56127 Pisa,
Italy
6 - Laboratoire AIM, CEA-IRFU/CNRS/Université Paris Diderot, Service
d'Astrophysique, CEA Saclay, 91191 Gif-sur-Yvette, France
7 - Istituto Nazionale di Fisica Nucleare, Sezione di Trieste, 34127
Trieste, Italy
8 - Dipartimento di Fisica, Università di Trieste, 34127 Trieste, Italy
9 - Istituto Nazionale di Fisica Nucleare, Sezione di Padova, 35131
Padova, Italy
10 - Dipartimento di Fisica ``G. Galilei'', Università di Padova, 35131
Padova, Italy
11 - Department of Physics, Center for Cosmology and Astro-Particle
Physics, The Ohio State University, Columbus, OH 43210, USA
12 - Istituto Nazionale di Fisica Nucleare, Sezione di Perugia, 06123
Perugia, Italy
13 - Dipartimento di Fisica, Università degli Studi di Perugia, 06123
Perugia, Italy
14 - Dipartimento di Fisica ``M. Merlin'' dell'Università e del
Politecnico di Bari, 70126 Bari, Italy
15 - Istituto Nazionale di Fisica Nucleare, Sezione di Bari, 70126
Bari, Italy
16 - Laboratoire Leprince-Ringuet, École polytechnique, CNRS/IN2P3,
Palaiseau, France
17 - Department of Physics, University of Washington, Seattle, WA
98195-1560, USA
18 - INAF-Istituto di Astrofisica Spaziale e Fisica Cosmica, 20133
Milano, Italy
19 - NASA Goddard Space Flight Center, Greenbelt, MD 20771, USA
20 - Center for Research and Exploration in Space Science and
Technology (CRESST), NASA Goddard Space Flight Center, Greenbelt, MD
20771, USA
21 - University of Maryland, Baltimore County, Baltimore, MD 21250, USA
22 - George Mason University, Fairfax, VA 22030, USA
23 - Laboratoire de Physique Théorique et Astroparticules, Université
Montpellier 2, CNRS/IN2P3, Montpellier, France
24 - Department of Physics and Astronomy, Sonoma State University,
Rohnert Park, CA 94928-3609, USA
25 - Department of Physics, Stockholm University, AlbaNova, 106 91
Stockholm, Sweden
26 - The Oskar Klein Centre for Cosmoparticle Physics, AlbaNova, 106 91
Stockholm, Sweden
27 - Royal Swedish Academy of Sciences Research Fellow, funded by a
grant from the K. A. Wallenberg Foundation
28 - Agenzia Spaziale Italiana (ASI) Science Data Center, 00044
Frascati (Roma), Italy
29 - Dipartimento di Fisica, Università di Udine and Istituto Nazionale
di Fisica Nucleare, Sezione di Trieste, Gruppo Collegato di Udine,
33100 Udine, Italy
30 - Université de Bordeaux, Centre d'Études Nucléaires Bordeaux
Gradignan, UMR 5797, 33175 Gradignan, France
31 - CNRS/IN2P3, Centre d'Études Nucléaires Bordeaux Gradignan, UMR
5797, 33175 Gradignan, France
32 - Department of Physical Sciences, Hiroshima University,
Higashi-Hiroshima, Hiroshima 739-8526, Japan
33 - University of Maryland, College Park, MD 20742, USA
34 - Istituto Nazionale di Fisica Nucleare, Sezione di Trieste, and
Università di Trieste, 34127 Trieste, Italy
35 - Columbia Astrophysics Laboratory, Columbia University, New York,
NY 10027, USA
36 - University of Alabama in Huntsville, Huntsville, AL 35899, USA
37 - Department of Physics, Royal Institute of Technology (KTH),
AlbaNova, 106 91 Stockholm, Sweden
38 - Department of Physics, Tokyo Institute of Technology, Meguro City,
Tokyo 152-8551, Japan
39 - Waseda University, 1-104 Totsukamachi, Shinjuku-ku, Tokyo,
169-8050, Japan
40 - Cosmic Radiation Laboratory, Institute of Physical and Chemical
Research (RIKEN), Wako, Saitama 351-0198, Japan
41 - Centre d'Étude Spatiale des Rayonnements, CNRS/UPS, BP 44346,
31028 Toulouse Cedex 4, France
42 - Max-Planck Institut für extraterrestrische Physik, 85748 Garching,
Germany
43 - Istituto Nazionale di Fisica Nucleare, Sezione di Roma ``Tor
Vergata'', 00133 Roma, Italy
44 - Department of Physics and Astronomy, University of Denver, Denver,
CO 80208, USA
45 - Institut für Astro- und Teilchenphysik and Institut für
Theoretische Physik, Leopold-Franzens-Universität Innsbruck, 6020
Innsbruck, Austria
46 - Institut de Ciencies de l'Espai (IEEC-CSIC), Campus UAB, 08193
Barcelona, Spain
47 - Space Sciences Division, NASA Ames Research Center, Moffett Field,
CA 94035-1000, USA
48 - NYCB Real-Time Computing Inc., Lattingtown, NY 11560-1025, USA
49 - Department of Chemistry and Physics, Purdue University Calumet,
Hammond, IN 46323-2094, USA
50 - Institució Catalana de Recerca i Estudis Avançats, Barcelona, Spain
51 - Consorzio Interuniversitario per la Fisica Spaziale (CIFS), 10133
Torino, Italy
52 - Institute of Space and Astronautical Science, JAXA, 3-1-1
Yoshinodai, Sagamihara, Kanagawa 229-8510, Japan
53 - North-West University, Potchefstroom Campus, Potchefstroom 2520,
South Africa
54 - Dipartimento di Fisica, Università di Roma ``Tor Vergata'', 00133
Roma, Italy
55 - Australia Telescope National Facility, CSIRO, Epping NSW 1710,
Australia
56 - School of Pure and Applied Natural Sciences, University of Kalmar,
391 82 Kalmar, Sweden
Received 15 October 2009 / Accepted 22 December 2009
Abstract
Context. The Large Magellanic Cloud (LMC) is to date
the only normal external galaxy that has been detected in high-energy
gamma rays. High-energy gamma rays trace particle acceleration
processes and gamma-ray observations allow the nature and sites of
acceleration to be studied.
Aims. We characterise the distribution and sources
of cosmic rays in the LMC from analysis of gamma-ray observations.
Methods. We analyse 11 months of continuous
sky-survey observations obtained with the Large Area Telescope aboard
the Fermi Gamma-Ray Space Telescope and compare it to tracers of the
interstellar medium and models of the gamma-ray sources in the LMC.
Results. The LMC is detected at 33
significance. The integrated >100 MeV photon flux of
the LMC amounts to
ph cm-2 s-1
which corresponds to an energy flux of
erg cm-2 s-1,
with additional systematic uncertainties of
16%. The analysis reveals the massive star
forming region 30 Doradus as a bright source of gamma-ray
emission in the LMC in addition to fainter emission regions found in
the northern part of the galaxy. The gamma-ray emission from the LMC
shows very little correlation with gas density and is rather correlated
to tracers of massive star forming regions. The close confinement of
gamma-ray emission to star forming regions suggests a relatively short
GeV cosmic-ray proton diffusion length.
Conclusions. The close correlation between
cosmic-ray density and massive star tracers supports the idea that
cosmic rays are accelerated in massive star forming regions as a result
of the large amounts of kinetic energy that are input by the stellar
winds and supernova explosions of massive stars into the interstellar
medium.
Key words: acceleration of particles - cosmic rays - Magellanic Clouds - gamma rays: galaxies
1 Introduction
Since the early days of high-energy gamma-ray astronomy, it has been
clear that the
gamma-ray flux received on Earth is dominated by emission from the
Galactic disk
(Clark et al. 1968).
This emission is believed to arise from cosmic-ray interactions with
the interstellar medium, which at gamma-ray energies 100 MeV
are dominated by the decay of
produced in collisions between cosmic-ray nuclei and the interstellar
medium (Pollack & Fazio 1963).
Further contributions are from cosmic-ray electrons undergoing inverse
Compton scattering
off interstellar soft photons and Bremsstrahlung losses within the
interstellar medium.
Gamma-ray observations thus have the potential to map cosmic-ray
acceleration sites in our Galaxy, which may ultimately help to identify
the sources of cosmic-ray acceleration.
Nearby galaxies have some advantages as targets for studies of
cosmic-ray physics and have
the advantage of being viewed from outside, and so line of sight
confusion, which complicates studies of emission from the Galactic
disk, is diminished.
This advantage is, however, somewhat offset by the limitations by the
angular resolution and sensitivity of the instrument.
The Large Magellanic Cloud (LMC) is thus an excellent target for
studying the link between cosmic-ray acceleration and gamma-ray
emission since the galaxy is nearby (
kpc; Pietrzynski
et al. 2009; Matsunaga et al. 2009),
has a large angular extent of
,
and is seen at a small inclination angle of
(Van der Marel
2006; Kim
et al. 1998),
which avoids source confusion.
In addition, the LMC is relatively active, housing many supernova
remnants, bubbles
and superbubbles, and massive star-forming regions that are all
potential sites
of cosmic-ray acceleration (Cesarsky & Montmerle 1983;
Binns
et al. 2007; Biermann 2004).
The EGRET telescope aboard the Compton Gamma-Ray Observatory (CGRO, 1991-2000) was the first to detect the LMC (Sreekumar et al. 1992), which has remained the only normal galaxy besides our Milky Way that has been seen in high-energy gamma rays. Due to EGRET's limited angular resolution and limited sensitivity, details of the spatial structure of the gamma-ray emission could not be resolved, yet the observations showed some evidence that the spatial distribution is consistent with the morphology of radio emission. The observations also allowed determining the integral gamma-ray flux from the LMC, which was shown to be consistent with expectations based on a model using the principles of dynamic balance and containment (Fichtel et al. 1991). From the agreement with this model, Sreekumar et al. (1992) conclude that the level of cosmic rays in the LMC is comparable to that in our Galaxy.
The Large Area Telescope (LAT) aboard Fermi is now for the first time providing the capabilities to go well beyond the study of the integrated gamma-ray flux from the LMC (Digel et al. 2000; Weidenspointner et al. 2007). Thanks to its excellent sensitivity and good angular resolution, we are able to spatially resolve the structure of the gamma-ray emission, allowing us to provide a detailed mapping of the cosmic-ray density in the galaxy. In the spectral domain, our data allow for detailed comparisons with cosmic-ray interaction models and can be used to search for spectral variations over the galaxy. In the timing domain, we are able to assess contributions from flaring sources and can search for pulsations from energetic pulsars in the galaxy that may contribute to the total emission (Hartmann et al. 1993; Harding 1981).
In this paper we present our first in-depth analysis of the LMC galaxy based on 11 months of continuous sky survey observations performed with Fermi/LAT. We put particular emphasis on determining the spatial distribution of the gamma-ray emission, which, as we will show, reveals the distribution of cosmic rays in the galaxy. We also search pulsations from energetic pulsars that may contribute to a non-negligible level to the overall emission.
2 Observations
2.1 Data preparation
The characteristics and performance of the LAT aboard Fermi
are described in detail by Atwood
et al. (2009).
The data used in this work amount to 274.3 days of continuous
sky survey observations
over the period
August 8 2008-July 9 2009
during which a total exposure of
cm2 s
(at 1 GeV)
has been obtained for the LMC.
Events satisfying the standard low-background event
selection (``Diffuse'' events; Atwood
et al. 2009) and coming from zenith angles
<
(to greatly reduce the contribution by Earth albedo gamma rays)
were used.
To further reduce the effect of Earth albedo backgrounds, the time
intervals
when the Earth was appreciably within the field of view (specifically,
when
the centre of the field of view was more than
from the zenith)
were excluded from this analysis.
Furthermore, time intervals when the spacecraft was within the South
Atlantic Anomaly were also excluded.
We further restricted the analysis to photon energies above
200 MeV; below this energy,
the effective area in the ``Diffuse class'' is relatively small and
strongly dependent on energy.
For the analysis we selected all events within a rectangular
region-of-interest
(ROI) of size
centred on
and aligned in equatorial coordinates.
All analysis was performed using the LAT Science Tools package, which
is available from the Fermi Science Support Center, using P6_V3
post-launch instrument response functions (IRFs).
These take into account pile-up and accidental coincidence effects in
the
detector subsystems that were not considered in the definition of the
pre-launch
IRFs.
2.2 Data selection and background modelling
At the Galactic latitude of the LMC (
),
the gamma-ray background is
a combination of extragalactic and Galactic diffuse emissions and
some residual instrumental background.
The extragalactic component comprises resolved sources, which often can
be associated with known blazars (Abdo
et al. 2009b), and a diffuse component, which is
attributed
to unresolved sources and eventually intrinsically diffuse processes (Dermer 2007;
Strong
et al. 2004a).
The latest LAT collaboration-internal source list that has been derived
from 11 months of
survey data (comparable to the data volume used in this analysis)
contains 542 sources for
latitudes
,
corresponding to a source density of 86 sources sr-1.
Our ROI covers a solid angle of 0.12 sr, so we expect
about 10 resolved background sources in our field.
Among those, 1-2 should spatially overlap with the LMC if we assume the
galaxy's diameter
is between
and
.
![]() |
Figure 1:
Gaussian kernel (
|
Open with DEXTER |
Within the ROI but outside the boundaries of the LMC we found a total
of 6 significant point sources, compatible with expectations
(cf. Table 1).
For all of them we found counterparts in the CRATES catalogue of
flat-spectrum radio sources
(Healey et al. 2007)
using the procedure described in Abdo
et al. (2009a),
making them good candidates for being background blazars.
Searching for background sources within the LMC boundaries is more
difficult due to possible confusion with local emission maxima of the
galaxy's diffuse emission.
Background blazars may however reveal themselves by their flaring
activity, hence
we searched for any excess emission above the time averaged level on a
monthly
basis (cf. Sect. 2.4).
We found evidence for a flaring source during month 4 of our
dataset (MJD 54777.8-54808.2)
near 30 Doradus, and thus we excluded the data within this
time interval from our analysis.
This results in a dataset that corresponds to 248.7 days of
continuous sky survey observations
during which a total exposure of
cm2 s
(at 1 GeV)
was obtained for the LMC.
Table 1: Point sources included in the background model.
We then modelled background gamma-ray emission within the ROI
using components for the diffuse Galactic and the extragalactic and
residual instrumental backgrounds and the 6 blazars.
The Galactic component was based on the LAT standard diffuse background
model
gll_iem_v02
for which we kept the overall normalisation as a free parameter.
The extragalactic and residual instrumental backgrounds were combined
into a single
component which has been taken as being isotropic.
The spectrum of this component was determined by fitting an isotropic
component
together with a model of the Galactic diffuse emission and point
sources to the data.
Also here we left the overall normalisation of the component as a free
parameter.
The 6 background blazars were modelled as point sources with
power-law spectral shapes.
The positions of the blazars were fixed to those given in the CRATES
catalogue
(Healey et al. 2007)
and are given in Table 1.
The flux and spectral power-law index of each source were left as free
parameters of our background model and their values were determined
from likelihood analysis.
2.3 Spatial distribution
2.3.1 Counts map
To investigate the spatial distribution of gamma-ray emission toward
the LMC we first binned all photons into a counts map of size
centred on
and
aligned in equatorial coordinates.
Figure 1
shows the counts map before (left panel) and after (right panel)
subtraction of the background model.
The background subtracted map confirms that diffuse Galactic
and isotropic backgrounds as well as the 6 background blazars
are properly removed by our treatment.
The only remaining feature is extended emission that is spatially
confined to within the LMC
boundaries which we trace by the iso column density contour H cm-2of
neutral hydrogen in the LMC (Kim
et al. 2003).
The total number of excess 200 MeV-20 GeV photons
above the background in the LMC area
amounts to
1550 counts
whereas the background in the same area amounts to
2440 counts.
With these statistics, the extended gamma-ray emission from the LMC can
be
resolved into several components.
The brightest emission feature is located near
,
which is close to the massive star-forming region 30 Doradus
(30 Dor)
that houses the two Crab-like pulsars PSR J0540-6919 and
PSR J0537-6910 (Marshall et al. 1998;
Seward
et al. 1984).
Excess gamma-ray emission is also seen toward the north and the west of
30 Dor.
These bright regions are embedded into a more extended and diffuse glow
that
covers an area of approximately
.
To further illustrate the emission structure we show profiles of the
counts map
in Fig. 2
along
(top panel) and
(bottom panel) and we provide
an adaptively smoothed image of the 30 Dor region in
Fig. 3.
![]() |
Figure 2: Profiles of the observed number of counts along Right Ascension ( top) and Declination ( bottom) of the LMC region for the energy range 200 MeV-20 GeV. The solid lines show the corresponding profiles of the background model. The red arrow indicates the location of 30 Dor. |
Open with DEXTER |
2.3.2 Geometrical models
Out next step was to assess the spatial distribution of the LMC
emission using simple
parametrised geometrical models of the gamma-ray intensity
distribution.
We assumed power-law spectral distributions for all models and kept the
total flux and power law index as free parameters.
We adjusted the spatial and spectral parameters of the models using a
binned maximum likelihood analysis with spatial bins of
and 60 logarithmically spaced energy bins covering the energy
range 200 MeV-20 GeV.
For each model we computed the so-called Test Statistic
(TS), which is defined as twice the difference between the
log-likelihood
that is obtained by fitting the model on top of the background model to
the data, and
the log-likelihood
that is obtained by fitting the background model only,
i.e.
.
Under the hypothesis that the background model satisfactorily explains
our data, TS follows the
distribution with p degrees of freedom,
where p is the number of additional free
parameters in the maximisation of
with respect to those used in the maximisation of
(Cash 1979).
For example, for a single source on top of the background model with
free position, flux and spectral power law index we have p=4.
First, we examined whether the gamma-ray emission from the LMC
can be explained with a
combination of individual point sources.
For this purpose we added successive point sources to our model and
optimised their
locations, fluxes and spectral indices by maximising the likelihood of
the model.
We stopped this procedure once the TS improvement after adding
a further point source
dropped below 25.
This happened after we added a 6th point source to our model which
resulted in a TS improvement of only 21.9, corresponding to a
detection significance of for this source.
Table 2
provides the maximum likelihood positions and fluxes for the
5 significant point sources, and gives also the TS improvement
(
TS) that is
achieved in each of the successive steps.
Adding up
TS
for all sources provides a total TS of 1089.3 for this model,
corresponding
to a detection significance of
(p=20).
We refer to the point source model as PS.
![]() |
Figure 3:
Zoom into a |
Open with DEXTER |
Table 2: Parameters of the point source model PS.
Second, instead of using point sources we repeated the
procedure with 2D Gaussian shaped
intensity profiles to build a geometrical model that is more
appropriate for extended and diffuse emission structures.
We again stopped the successive addition of 2D Gaussian shaped
sources once the TS
improvement after adding a further source dropped below 25.
This occurred after two 2D Gaussian shaped sources have been
added to the model.
Table 3
lists the maximum likelihood positions, Gaussian widths
and
fluxes for the two significant 2D Gaussian sources.
Similar to the point sources, the column
TS quotes the TS improvements
in each of
the successive steps.
The total TS amounts to 1122.6 for this model, corresponding
to a detection significance of
(p=10).
We refer to this model from now on as 2DG.
Adding a 3rd 2D Gaussian shaped source improved the TS by only
21.9, corresponding
to a detection significance of
for this source (p=5).
We note that this 3rd 2D Gaussian source is located at
with a 95% containment radius of
,
and that it formally is consistent with a point source (
).
Using our standard source association procedure (Abdo
et al. 2009a) we found the blazar
CRATES J051636-723707 as a possible counterpart of this
source, suggesting
the presence of a background blazar within the boundaries of the LMC
(see also Sect. 2.5).
Table 3: Parameters of the 2D Gaussian sources model 2DG.
To illustrate how well the models fit the data we show in
Fig. 4
the model
counts map and the residual counts that are left in the ROI after
subtracting the PS or
2DG model from the data.
The colour scale and dynamic range of the residual maps has been chosen
identical to that of the right panel of Fig. 1 to allow the
comparison of the residuals before and after subtraction of the LMC
model.
Apparently, only very few residual counts are left in the LMC area
after subtraction of either of the two models from the data
(however a significant negative residual at the position of S1
indicates an overestimation
of the flux in the PS model in this area).
None of the peaks in the residuals is statistically significant (
)
as a point source (for the PS model) or a 2D Gaussian shaped
extended source (for the 2DG model).
![]() |
Figure 4:
Gaussian kernel (
|
Open with DEXTER |
The PS and 2DG models have in common that they both comprise a strong
source located at
in the 30 Dor region
(S1 for PS and G2 for 2DG).
We indicate the location uncertainties for these sources as circles in
Fig. 3.
We also show the locations of the powerful star cluster R 136
and of the two Crab-like
pulsars PSR J0540-6919 and PSR J0537-6910.
From this figure it becomes clear that S1 in the PS model does not
coincide with any of these objects.
We confirm this observation by moving S1 to the locations of
either PSR J0540-6919, PSR J0537-6910 or
R 136, which leads to a significant TS reduction
of 21.0 (
)
for the position of PSR J0540-6919,
28.3 (
)
for the position of PSR J0537-6910, and 31.1 (
)
for the position of R 136.
Thus, none of the 3 sources can explain the observed gamma-ray
emission from
30 Dor alone.
We come to the same conclusion when we replace G2 in the 2DG
model by a point source
at any of the 3 locations.
To search for evidence of point source emission from
PSR J0540-6919, PSR J0537-6910 or R 136 on
top
of the diffuse emission, we added point sources at the respective
positions to the 2DG model.
Adding any of the sources led to only marginal TS improvements
of 0.5 ()
for PSR J0540-6919,
0 (
)
for PSR J0537-6910, and 0.1 (
)
for R 136.
Adding all three sources together marginally improved the TS
by 0.5 (
).
Thus, we found no evidence for point source emission from any of the
3 sources on top
of the diffuse emission that is modelled by G2.
When we replaced G2 by a combination of 3 point
sources located at the positions
of PSR J0540-6919, PSR J0537-6910 and R 136
we obtained a TS of 1113.4, which still is smaller by
than
the TS obtained for the 2DG model.
Obviously, the gamma-ray emission from 30 Dor is better
described by a single
2D Gaussian shaped extended source than by a combination of point
sources
situated at the locations of PSR J0540-6919,
PSR J0537-6910 and R 136.
2.3.3 Gas templates
To test specific hypotheses about the spatial distribution of the gamma-ray intensity we compared our data to spatial templates that trace the interstellar matter distribution in the LMC. The reasoning behind this comparison is that gamma-rays are expected to primarily arise from interactions between cosmic rays and the interstellar medium (Ozel & Fichtel 1988), and we thus may obtain a measurement of the cosmic-ray density variations from the gamma-ray to gas ratio.
Most of the gas in the LMC is found in form of neutral atomic
hydrogen and helium
(Staveley-Smith et al.
2003) while
in mass is in form of molecular clouds (Fukui
et al. 2008) and about
in mass is in form of ionized hydrogen (Kennicutt
et al. 1995).
For the atomic hydrogen component (H I) we used the map of Kim et al. (2003) that is
based
on a combination of aperture synthesis and multibeam data from ATCA and
Parkes observations.
We converted this map into hydrogen column densities assuming optically
thin emission
or by applying an optical depth correction under the assumption of
uniform spin temperature of either 40 K, 60 K or
125 K (Marx-Zimmer
et al. 2000).
Bernard et al. (2008)
suggested the presence of an additional dark gas component in the LMC
which correlates well with the distribution of the observed H
I.
Thus, if this dark gas component indeed exists it should be
morphologically well described by the H I templates.
For the molecular hydrogen component (H2) we
used the CO map of the LMC
obtained with the NANTEN telescope (Fukui
et al. 2008) which we converted into molecular
hydrogen column densities using a constant CO intensity to H2 column
density conversion factor
H2 cm-2/(K km s-1)
(Fukui et al. 2008).
For the ionized hydrogen component we used the full-sky composite H
map
of Finkbeiner (2003)
which we converted into ionized hydrogen column densities
using
which
assumes a gas temperature of 8000 K and an electron density
of
cm-3
(cf. Eq. (6) of Bernard
et al. 2008).
In addition to the individual templates for the interstellar gas phases
we also fitted
a template of the total gas column density
to the data that we derived by adding together the column densities
of H I, H2, and H
II.
Furthermore, we also fitted the linear combination
to the data
with independent scaling factors and power law indices for each
component.
The TS values and detection significances that are obtained by
maximum likelihood fitting are summarized in Table 4, where we also
give the corresponding
results for the geometrical models PS and 2DG for reference.
Fitting the optically thin H I and H2
maps resulted in TS values that are considerably
worse than those obtained for the geometrical models.
Applying the optical depth correction to the H I data
slightly improved the
fit with a maximum TS of 835
that is reached for spin temperatures of
40 K-60 K, yet still, this TS is considerably worse
than that of the geometrical models.
Apparently, the H I and H2 maps
provide rather poor fits to the data, indicating that the distribution
of gamma rays does not follow the distribution of neutral hydrogen in
the LMC.
Table 4: Comparison of maximum likelihood model fitting results (see text for a description of the models).
Luks & Rohlfs (1992)
proposed that the neutral hydrogen in the LMC is confined into two
separate
structural features (dubbed ``D'' and ``L'' components), and we tested
whether gamma-ray emission is possibly only correlated to one of these
H I components.
We did this by separating the H I data of Kim
et al. (2003) into two maps covering the
heliocentric
radial velocity intervals km s-1
(L) and
km s-1
(D) that roughly separate the two components
(see Fig. 4 of Luks &
Rohlfs 1992).
Fitting both maps simultaneously with independent scaling factors and
power law indices
to our data only marginally improved the fit upon
the
gas map (
).
We therefore conclude that the gamma-ray emission does also not follow
the distribution
of either the D or the L component identified by Luks & Rohlfs (1992).
The H II map, on the other hand, gave a TS that is
very close to that of the PS and 2DG models.
Fitting the total hydrogen column densities, i.e. model ,
gave a rather low
TS, close to that obtained for the H I and H2
templates alone.
This result is explained by the preponderance of atomic hydrogen in the
LMC which means that the maps of total hydrogen and H I are
very similar.
Fitting a linear combination of the three gas phases,
i.e. model
,
gave basically the same TS value that is obtained for the H
II template alone.
In this case, H II is in fact the only significant model
component in the fit while
the maximum likelihood fluxes for the other components are negligible.
The H II map thus provided the best fit among all of
the gas maps to the LAT data.
Figure 4
shows the model counts map for the H II template and the
corresponding residual counts map, which apparently is similar to the
residual maps that we obtain for the geometrical models.
A search for point-like or extended emission on top of the H
II template did not reveal any significant additional signal (
).
The H II map is characterised by a strong emission peak near
30 Dor which is attributed
to the intense ionizing radiation of the massive stars in this highly
active region.
To test whether the fits are mainly driven by this peak of ionizing
flux, we repeated the template
map analysis by adding the source G2 which describes the
emission from 30 Dor in the
2DG model as an additional component to our background model.
The flux and spectral index of this component were kept as free
parameters.
At the same time, we modified the gas maps by setting all pixels within
a circular region of
around
to
zero which removed any peak associated to 30 Dor from the
templates (in particular,
the bright peak of ionizing flux in 30 Dor is now removed).
In that way, we considerably reduced the impact of the gamma-ray
emission from 30 Dor
on the fit of the gas templates.
Table 5: Comparison of maximum likelihood model fitting results after inclusion of the source G2 in the background model.
We summarise the results of this analysis in Table 5, where the
prime
in the model names indicates that the 30 Dor emission has been
removed from the
gas templates.
The TS values are now considerably reduced since
now includes the
G2 source that accounts for gamma-ray emission from
30 Dor.
Consequently, TS now measures the significance of gamma-ray emission
that exists in addition to that seen towards 30 Dor in the
LMC.
To recognise this change in the definition we label the corresponding
column in Table
5 by TS
.
Globally, however, we found the same trend as before:
the H II template provided the best fit to the data while the
H I and H2 templates
resulted in significantly smaller TS
values.
We thus conclude that the morphology of the gamma-ray emission from the
LMC
is not well explained by the distribution of neutral gas in that
galaxy, irrespectively of whether the emission from 30 Dor is
taken into account.
A template based on the distribution of ionized hydrogen as measured by
the H
emission describes the spatial distribution of the gamma-ray emission
in the LMC
considerably better than the distribution of neutral gas.
2.4 Variability
As we noted earlier (cf. Sect. 2.2), our data indicated possible flaring activity within the LMC boundaries during month 4 (MJD 54 777.8-54 808.2) of the observation interval, and we excluded the data of this month from our analysis. Now with reliable spatial templates for the LMC gamma-ray emission at hand (the 2DG model and the H II gas map), we reconsidered the time variability of the gamma-ray emission in the LMC area.
First, we considered the time-variability of the integrated
gamma-ray emission from the LMC.
For this purpose we fitted the 2DG model and the H II gas map
to the data on a monthly, 2 weeks and weekly basis using a power law to
describe the source spectrum.
We fixed the power law spectral index to the average value that we
obtain from fitting
the 2DG model or the H II gas map to all data excluding
month 4.
Figure 5
shows the monthly lightcurve that we obtain using the H II
gas map.
Fitting the lightcurve with a constant flux level (solid line) resulted
in
for 10 degrees of freedom, which corresponds to a probability
of
for the flux being
constant.
Obviously, the flux measured during month 4
(MJD 54 777.8-54 808.2) from the LMC
is significantly larger than the flux measured for the remaining
period.
Similar results were obtained when we perform the variability analysis
on time scales of
2 weeks (
for 23 degrees of freedom,
probability for constant flux) and
1 week (
for 47 degrees of freedom,
probability for constant flux).
Using the 2DG models instead of the H II gas map gave
comparable results.
![]() |
Figure 5: Monthly lightcurve for gamma-ray emission from the LMC obtained using the H II gas map. The 4th month of data that was excluded from our analysis is indicated by an open symbol and grey colour. The solid line indicates the average flux over the full 11 months of data that is obtained by assuming a power law spectral shape for the emission. |
Open with DEXTER |
As next step we tried to localise any flaring source (and in particular
the one that occurred
during month 4) by fitting a point source with free position, flux and
spectral power law index on top of the 2DG model and the
H II gas map to each of the 11 monthly datasets.
We fixed the flux and spectral index of the 2DG model and
H II gas map to the values
that we obtained from the fit to all data excluding month 4.
This analysis revealed that month 4 is the only period where a point
source is detected
significantly (TS > 25) on top of the LMC
models within the galaxy's boundaries.
Using the H II map as template for the LMC, we localised the
source at
with a 95% containment radius of
and
a detection significance of
(TS = 30.1),
while with the 2DG model we found
with a 95% containment radius of
,
and a detection significance of
(TS = 29.3).
Obviously, the choice of the LMC model had a negligible impact on the
maximum
likelihood location of the source.
We show the larger localisation error circle obtained with the
2DG model in Fig. 3,
which illustrates that the flaring source is located near
30 Dor and that it is close to the maximum gamma-ray intensity
observed from the LMC.
Independent on the LMC model, we found an integrated
>100 MeV photon flux of
ph cm-2 s-1
for the flaring source during month 4 and obtained a maximum
likelihood power law
spectral index of
.
The spectral index is rather steep and compatible with the softest
indices that are typically
found for flat-spectrum radio quasars (FSRQs) (Abdo
et al. 2009b).
FSRQs tend to show also the largest variabilities among all source
classes detected by
LAT (Abdo
et al. 2009a,b) which makes them good
candidates for flaring sources.
Using the source association procedure described by Abdo et al. (2009a), we
searched for
plausible counterparts of the flaring source.
We did not find a plausible counterpart in any of our standard blazar
or AGN catalogues.
The only object that fulfilled our association criterion was
RX J0546.8-6851 which is listed in
the Magellanic Cloud high-mass X-ray binary catalogue of Liu et al. (2005).
However, the nature of this source that has been discovered by the Einstein
Observatory (Wang
et al. 1991) is not yet established.
So far, no companion star has been identified for
RX J0546.8-6851, and following
Kahabka et al. (2001)
the source could also be an active galactic nucleus.
It is thus conceivable that the flaring source detected by LAT during
month 4 is not physically
associated with the LMC, but is rather a yet unidentified background
blazar that by chance is located near the line of sight toward
30 Dor.
2.5 Blazars in the field of the LMC
As we noted earlier (cf. Sect. 2.2), we expect to find 1-2 gamma-ray blazars within the boundaries of the LMC in our dataset. Identification of these blazars would be possible if they were flaring during the observation period (see the previous section), yet a substantial fraction of the blazars seen by the LAT do not show any significant time variability (Abdo et al. 2009b). Blazars are thus difficult to recognize if they spatially concur with gamma-ray emission from the LMC. Nevertheless, we can try to spot blazar candidates by searching for point source emission that spatially coincides with the locations of blazars.
For this purpose we searched for counterparts for any of the point sources in the PS model. Using our standard source association procedure (Abdo et al. 2009a) we did not find any blazar candidate coincident with any of the sources of the PS model.
As next step, we simultaneously fitted point sources at the
positions of all CRATES blazars
(Healey et al. 2007)
that are found within a radius of
around the centre of the LMC,
which we assumed here to be
,
in addition to the 2DG model and the H II template
to the data.
The fluxes and the spectral power law indices of all sources were left
as free parameters
of the fit.
We found a total of 36 CRATES sources within the selection region of
which one
(CRATES J060106-703606) was already part of our background model
(see Table 1).
This left us with 35 CRATES blazars in the field.
As expected from our previous searches for significant point sources
above the 2DG model and the H II template
(cf. Sects. 2.3.2
and 2.3.3),
none of these blazars was significantly detected (
).
However, two sources had a formal detection significance above
:
CRATES J051636-723707 (
), and
CRATES J053524-673430 (TS =12.4).
The locations of these blazars are overplotted together with those of
all other CRATES sources
in the LMC field over the residual map for the 2DG model in
Fig. 6.
CRATES J051636-723707 appeared to be point like and had
already been associated in
Sect. 2.3.2
as plausible counterpart of the 3rd 2D Gaussian in the 2DG model
analysis.
Figure 6
clearly shows that this source is associated with a peak in the
observed
counts maps.
CRATES J053524-673430, in contrast, is not associated with any emission
peak but is rather
situated in the centre of an extended emission feature.
Fitting a 2D Gaussian shaped emission profile at the location
of CRATES J053524-673430
suggested indeed that the emission is extended (
),
making the blazar an
unlikely counterpart of the gamma-ray emission in that area.
CRATES J051636-723707 seems to be thus the only plausible blazar
candidate in the field
of the LMC.
We note, however, that although many of the LAT high-latitude sources have counterparts in the CRATES catalogue, there is still a non-negligible population of unassociated high-latitude sources in the LAT source list that may consist of yet unknown (or unidentified) blazars. Some of the residuals seen in Fig. 6 could indeed arise from such blazars, yet their emission does not appear to significantly contribute to the overall emission from the LMC region.
![]() |
Figure 6:
Gaussian kernel (
|
Open with DEXTER |
2.6 Pulsar lightcurves
As we noted earlier (cf. Sect. 2.3 and Fig. 3), the peak of gamma-ray emission that we see toward 30 Dor is spatially close to the locations of the powerful young pulsars PSR J0540-6919 and PSR J0537-6910, which both are potential sources of high-energy gamma rays. By searching for their pulsations in our data we can assess if the pulsars indeed contribute to the observed emission. We used for this search ephemerides that have been obtained from concurrent RXTE observations (Marshall, private communication) and that cover the time intervals MJD 54651-55015 for PSR J0540-6919 and MJD 54710-54714, 54751-54771, and 54885-54897 for PSR J0537-6910. Only data within these time intervals have been used for the analysis. Gamma-ray photon arrival times were referred to the solar-system barycentre and pulse phases were assigned using the standard pulsar timing software TEMPO2 (Hobbs et al. 2006).
Figure 7
shows the lightcurves that we obtained by selecting photons within
a radius of
around the nominal pulsar locations for the energy range
200 MeV-20 GeV.
For PSR J0540-6919 our data may indicate the presence of
pulsations, but the H-test statistic amounts
to only 10.1 which corresponds to a detection significance
of
for
the pulsations.
For PSR J0537-6910 the lightcurve is featureless and an H-test
gives
3.2 corresponding to a detection significance of
.
Thus, neither pulsar is detected significantly in our data which is in
line with our
previous finding (cf. Sect. 2.3.2) that
the gamma-ray emission from
30 Dor cannot be satisfactorily described by point source
emission from the pulsars.
![]() |
Figure 7:
Lightcurves obtained for PSR J0540-6919 ( left)
and PSR J0537-6910 ( right) for the
energy range 200 MeV-20 GeV using an event selection
radius of |
Open with DEXTER |
2.7 Spectrum
So far, all analysis has been done by assuming that the spectrum of the
LMC emission components
is well described by power laws.
To determine the spectrum of the gamma-ray emission from the LMC
independently of any assumption on the spectral shape, we fitted our
data in 6 logarithmically spaced energy bins covering the
energy range 200 MeV-20 GeV.
We obtained the total spectrum of the LMC by fitting the H II
template to the data.
We also obtained separate spectra for the LMC disk and for
30 Dor by fitting the 2DG model to the data.
Here, G1 is taken to represent the LMC disk emission while G2 is taken
to represent the emission from 30 Dor.
The results are shown in Fig. 8.
The spectra are relatively flat below a few GeV (
)
and show evidence
for a break or cut off above that energy.
Table 6: Maximum likelihood spectral fit results.
To determine the integrated gamma-ray flux of the spectra we
fitted exponentially cut off power law spectral models of the form
to
the data.
We made these fits by means of a binned maximum likelihood analysis
over the energy range 200 MeV-20 GeV.
This analysis is more reliable than fitting the spectra of
Fig. 8
directly since it
accounts for the Poissonian statistic of the data.
The resulting spectral shapes are shown as lines in Fig. 8 and spectral
fit parameters are given in Table 6.
Integrated fluxes are derived for energies above 100 MeV and
200 MeV by integrating the
spectral model numerically from the lower boundary up to
500 GeV.
The >100 MeV fluxes are mainly given for comparison
with the former measurements done
by EGRET.
Since we restricted our analysis to photons >200 MeV
the extrapolation down to 100 MeV
introduces an additional systematic uncertainty that for the photon
flux can reach up to
(cf. Table 6).
We also determined the significance of the spectral cut off by
computing the TS difference
between fitting a simple power law and fitting an exponentially cut off
power law for each
component.
3 Discussion
3.1 Comparison to EGRET
Sreekumar et al. (1992)
reported the first detection of the LMC in high-energy gamma rays
based on 4 weeks of data collected with the EGRET telescope aboard CGRO.
They obtained an integrated >100 MeV flux of
ph cm-2 s-1
for the LMC from their data which is in reasonable agreement with our
value of
ph cm-2 s-1
that we obtained from spectral model fitting.
The 3rd EGRET catalogue (Hartman
et al. 1999) gives positions, fluxes and power law
spectral indices for point sources detected during 4 years of EGRET
observations
and locates the LMC emission at
with a 95% containment radius
of
,
close to our maximum likelihood location for S1 in the PS model
or G2 in the 2DG model, and consistent with the location of
30 Dor.
The >100 MeV photon flux in the 3rd EGRET
catalogue amounts to
ph cm-2 s-1,
which is significantly lower than our value.
The assumption of a single point source for the EGRET catalogue
analysis may
have led to an underestimation of the flux from the extended LMC
galaxy.
On the other hand, our >100 MeV flux is based on
power-law extrapolation from our
measurement >200 MeV which could lead to overestimation
at lower
energies.
The 3rd EGRET catalogue quotes a power law spectral index of
for
the LMC which is consistent with our value.
In particular, fitting the total LMC emission with a simple power law
instead of an exponentially cut off power law we obtain
,
consistent with the value obtained from EGRET data.
Thus, globally, our results are in line with those found
earlier by EGRET, yet we benefit from
a much better photon statistics,
an improved angular resolution and spectral coverage up to at least
10 GeV.
3.2 On the origin of gamma rays from 30 Doradus
Although it was already obvious from EGRET observations that the LMC
was an
extended source, only the Fermi/LAT data allow now
for the first time to clearly resolve the LMC and to localise the
emission maximum near the 30 Dor massive star forming region.
Even if we cannot establish either of the pulsars
PSR J0540-6919 or PSR J0537-6910 as the source of the
gamma-ray emission toward 30 Dor (cf. Sects. 2.3.2
and 2.6),
the indication of possible pulsations from PSR J0540-6919 is a
challenging possibility.
If further observations of the LMC by Fermi/LAT
confirm the detection of pulsations, this would be the first time that
a pulsar outside our own Galaxy were detected
in gamma rays.
We are aware that the H.E.S.S. collaboration has announced
the detection of the pulsar wind nebula of PSR J0537-6910 at
TeV energies, yet so far we do not find
evidence for gamma-ray emission from that source in our data.
![]() |
Figure 8: Spectrum of the LMC emission obtained by fitting spatial model maps in 6 logarithmically spaced energy bins covering the energy range 200 MeV-20 GeV. Black dots show the total spectrum obtained by fitting the H II gas map, red squares and blue triangles show the spectra for the LMC disk and for 30 Dor, respectively, obtained using the 2DG model. Error bars include statistical and systematic uncertainties. The lines show the results obtained by fitting exponentially cut off power law spectral models to the data using maximum likelihood fits. |
Open with DEXTER |
As the gamma-ray emission from 30 Dor is not dominated by
pulsars, cosmic-ray interactions with the ambient interstellar medium
and radiation fields are plausibly the origins of the
observed emission.
In this case, the small size of the emission region puts stringent
constraints on the diffusion length of GeV cosmic-ray protons.
For source G2 we find an extent of
and a
confidence
level upper limit of
,
which at the distance of the LMC corresponds to
linear dimensions of 170 pc and 270 pc, respectively.
This is extremely small compared to expectations.
Gamma-ray observations of our own Galaxy suggest in fact a
Galactocentric cosmic-ray emissivity gradient that is much smaller than
that of the distribution of supernova remnants
or pulsars, which has been taken as evidence for large-scale cosmic-ray
diffusion in our Galaxy
(Strong
et al. 1988; Bloemen et al. 1984a; Strong &
Mattox 1996; Bloemen et al. 1984b,1986).
In addition, the low average gas density that is encountered by cosmic
rays as determined
from cosmic-ray isotope ratios indicates that the particles spend a
considerable fraction of their lifetimes outside the plane of the
Galaxy, suggesting a cosmic-ray halo that extends to scale heights of
4-6 kpc above the galactic plane (Moskalenko
et al. 2004).
On the other hand, Fichtel &
Kniffen (1984) have shown that the gamma-ray data are also
compatible with a tight coupling of cosmic rays to the matter, and Strong et al. (2004b)
suggest that neglecting a possible strong Galactocentric gradient in
the CO-to-H2 conversion factor has led in the
past to an underestimation of the
Galactic cosmic-ray gradient.
Thus, observations may also be compatible with a short cosmic-ray
diffusion length
in our own Galaxy.
Galactic studies are however hampered by our position within the Galactic plane, which does not allow for an unambiguous correlation of the gamma-ray emissivity with Galactic star forming regions, making estimates of cosmic-ray diffusion rather uncertain. Our observations of the LMC provide for the first time a much clearer picture about the link between possible cosmic-ray acceleration sites and gamma-ray emission, and suggest that both are tightly connected. 30 Dor would thus be the most powerful cosmic-ray acceleration site in the LMC, which would be no surprise as it is one of the most active starburst regions in the entire Local Group of galaxies (Pineda et al. 2009).
3.3 Gamma rays from cosmic-ray interactions
The gamma-ray emission from cosmic-ray interactions with the interstellar medium and radiation field is expected to be intrinsically diffuse in nature. Indeed, our analysis suggests that the gamma-ray emission from the LMC does not originate in a small number of individual point sources. By adding successively point sources to our model (cf. Sect. 2.3.2) we formally detected 5 significant point sources (model PS), but we found a model with less components that results in a higher TS value when we allow for the source components to be extended (model 2DG). It is thus more likely that the LMC emission is indeed diffuse in nature, or alternatively, composed of a large number of unresolved and faint sources that can not be detected individually by Fermi/LAT.
From here on we thus make the assumption that the gamma-ray
emission from the LMC indeed originates from cosmic-ray interactions
with the interstellar gas and the stellar radiation field, and we
discuss the implications of this assumption in light of our
observations.
In particular we test the 2 extreme hypotheses that
(1) all gamma-ray emission from the LMC is attributed to diffuse
emission from cosmic-ray
interactions, and
(2) only the emission from component G1 in the 2DG model
arises from cosmic-ray
interactions, while the gamma rays from 30 Dor (or
component G2 in the 2DG model)
originate from other sources.
Hypothesis 2 is mainly motivated by the particular nature of
30 Dor, and we want to examine
how our conclusions are altered when we exclude this source from our
considerations.
Note that in this case, only
of the integrated LMC flux is attributed to cosmic-ray
interactions while for hypothesis 1 we assume that
of the LMC flux is due
to cosmic rays.
Using these two hypotheses (which we call from here on
and
)
we computed the average integrated >100 MeV gamma-ray
emissivity per hydrogen atom of the LMC using
where












Table 7:
Results of the gamma-ray emissivity analysis of the LMC for hypotheses
and
.
Depending on the hypothesis we make, the average gamma-ray
emissivity of the LMC is between 2 to
4 times
smaller than the >100 MeV emissivity of
ph s-1 sr-1 H-atom-1
that has been determined by Fermi/LAT for the local
interstellar medium of our
own Galaxy (Abdo et al. 2009c).
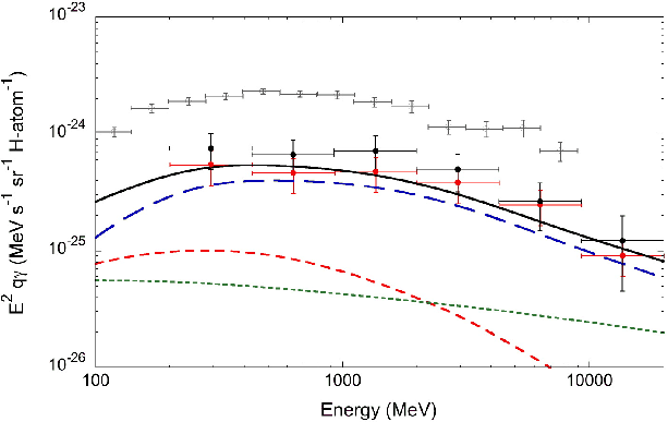
We illustrate this difference in Fig. 9,
where we compare the
differential gamma-ray emissivity of the local interstellar medium
(cf. Fig. 5 of Abdo
et al. 2009c)
to that of the LMC.
Following Eq. (1),
we derived the differential gamma-ray emissivity by dividing our
spectra by
H-atom cm-2 sr.
For
we used the spectrum derived using the H II gas map for the
total emission from
the LMC (black dots), while for
we used the LMC disk spectrum obtained using component G1 of
model 2DG (red dots)
We compared the differential gamma-ray emissivities to a
one-zone model of cosmic-ray interactions with the interstellar medium
that takes into account
decay following proton-proton interactions, Bremsstrahlung from
cosmic-ray electrons and inverse Compton scattering of cosmic-ray
electrons on LMC
optical and infrared photons and cosmic microwave background photons.
We calculated the
production by proton-proton interactions following the prescription of Kamae et al. (2006).
We used the cosmic-ray proton, electron and positron spectra presented
in Abdo et al. (2009c)
for the local Galactic environment.
The scaling factor (
)
of our model with respect to the data, which we refer to as the
cosmic-ray
enhancement factor, is thus a direct measure of the average LMC
cosmic-ray density with respect to that in the vicinity of the Earth.
The
and Bremsstrahlung emissivities were calculated by assuming the average
LMC metallicity to be Z=0.4
(Westerlund 1997).
We applied a corresponding nuclear enhancement factor of
to the
emissivities
(Mori 2009) and took the total
hydrogen mass of the LMC to be
.
The inverse Compton component was calculated using the method described
by Blumenthal & Gould
(1970) using the optical and infrared interstellar radiation
fields from Porter et al.
(2008) that we rescaled according to the stellar luminosity
density and the observed infrared emission (Bernard
et al. 2008), respectively.
![]() |
Figure 9:
Differential average gamma-ray emissivity for |
Open with DEXTER |
Fitting this spectral model to our data using a binned maximum
likelihood analysis gave an average cosmic-ray enhancement factor of
for
,
and of
for
(cf. Table 7).
Systematic errors due to uncertainties in the effective area of the
instrument amount to
.
An additional systematic error of
to
comes from the uncertainty in the total gas mass of the LMC, which
largely dominates the statistical and systematic
measurements errors.
![]() |
Figure 10:
Integrated >100 MeV emissivity maps of the LMC in units
of
10-27 ph s-1 sr-1 H-atom-1
for |
Open with DEXTER |
Fichtel et al. (1991)
estimated the cosmic-ray enhancement factor to be
by comparing the synchrotron radiation of the LMC to that of the Milky
Way (cf. their Fig. 3).
We also computed the synchrotron emission in our model under the
assumption that the
cosmic-ray proton to electron ratio in the LMC and the electron
spectrum are the same than those measured in the local interstellar
medium (Abdo et al. 2009c).
We further took the thickness of the emitting region to be
2 kpc and assumed a magnetic
field of 5
G
(Pohl 1993).
Our predicted synchrotron flux is in good agreement with the observed
non-thermal flux
quoted by Klein et al. (1989).
Fichtel et al. (1991),
however, assumed a higher non-thermal flux for the LMC compared to the
observations of Klein et al.
(1989), which may explain why their
is in excess of our
model.
Pavlidou & Fields
(2001) followed another approach and predicted
from a comparison
of the supernova rate in the LMC to that in our Galaxy, yet they
considered also higher values
due to the large uncertainties that are inherent to the estimates of
supernova rates.
Their estimate relies further on the assumption that the cosmic-ray
containment in the LMC is similar to that in our own Galaxy, which is
not necessarily fulfilled since cosmic rays may escape
fairly rapidly into intergalactic space because of the small size of
the LMC
(Ginzburg & Ptuskin 1985).
Our value, which is slightly above the estimate of Pavlidou & Fields (2001),
suggests however that
cosmic-ray escape from the LMC is not more important than for our own
Galaxy.
This is in line with the relatively small proton diffusion length that
we inferred from the
compactness of the 30 Dor source (cf. Sect. 3.2).
3.4 The sites of cosmic-ray acceleration in the LMC
To reveal the sites of cosmic-ray acceleration in the LMC we mapped the
cosmic-ray density variations in the galaxy by computing the gamma-ray
emissivity
as function of position.
We did this by generating a background subtracted counts map for
,
and a background
and G2 model subtracted counts map for
that we divided by the
map after
convolution of the latter with the LAT instrumental response function.
We normalised
to a total LMC hydrogen mass of
that takes into account the possible presence of dark gas that is not
seen in radio surveys
of H I (see Sect. 3.3).
We adaptively smoothed (Ebeling
et al. 2006) the counts maps and used the resulting
smoothing
kernel distribution to smooth also the convolved
map before the division to reveal significant structures at all
possible scales, while suppressing the noise that arises from the
limited photon counting statistics.
The resulting emissivity maps are shown in Fig. 10.
We superimpose on the images the interstellar gas distribution, as
traced by
,
convolved with the LAT instrumental response function, and also show
the locations of potential particle acceleration sites, such as
pulsars, supernova remnants, Wolf-Rayet stars and supergiant shells.
Figure 10
reveals that the cosmic-ray density varies considerably
over the disk of the LMC.
The gamma-ray emissivity is highest in 30 Dor and the northern
part of the galaxy, while the southern part and in particular the dense
ridge of gas south of 30 Dor seems basically
devoid of cosmic rays.
The large variations in
confirm our earlier findings (cf. Sect. 2.3.3)
that the gamma-ray emission correlates little with the gas density in
the LMC, and this is irrespective of whether we consider
30 Dor to be part of the emission
(left panel versus right panel).
The most striking variation is found along the gas ridge that runs over
along
which coincides with the most prominent region of
12CO emission tracing giant molecular clouds in
the LMC (Fukui et al. 1999).
Roughly
of the total gas mass in the LMC is confined into this ridge (Luks & Rohlfs 1992), and if
the cosmic-ray density were uniform over the LMC (or at least over the
ridge area) the entire ridge should be a source of high-energy gamma
rays.
This, however, is obviously not the case.
Cosmic rays apparently do not penetrate into the southern part of the
ridge, which is an
additional argument in favour of a short GeV cosmic-ray proton
diffusion length in the LMC.
Figure 10
suggests further that the cosmic-ray density correlates
with massive star forming tracers, and in particular Wolf-Rayet stars
and supergiant shells.
This correlation is particularly striking if we assume that the
emission from 30 Dor is originating in the same physical
process as the rest of the LMC emission (
).
If we exclude 30 Dor from the comparison (
)
the correlation becomes less striking, yet still, most of the cosmic
rays are found in regions that are rich in Wolf-Rayet stars and that
are located near supergiant shells.
This finding is corroborated by the good fit of the H II gas
map (which is probably the most
direct tracer of massive star forming regions within a galaxy), even if
the 30 Dor emission
is discarded from the analysis (cf. Sect. 2.3.3).
Thus, the gamma-ray emissivity maps of the LMC support the idea that cosmic rays are accelerated in massive star forming regions as a result of the large amounts of kinetic energy that are input by the stellar winds and supernova explosions of massive stars into the interstellar medium. Our data reveal a relatively tight confinement of the gamma-ray emission to star forming regions, which suggests a relatively short diffusion length for GeV protons.
4 Conclusions
Observations of the LMC by Fermi/LAT have for the
first time provided a detailed
map of high-energy gamma-ray emission from that galaxy.
Our analysis revealed the massive star forming region
30 Doradus as bright source of
gamma-ray emission in the LMC in addition to fainter emission regions
found in the northern
part of the galaxy.
So far, we could not identify any point source contributions to the
emission from the
30 Dor region, and in particular we did not significantly
detect pulsations from the energetic Crab-like pulsars
PSR J0540-6919 and PSR J0537-6910, although the
lightcurve of the former
indicates variability at the level.
Cosmic-ray interactions with the interstellar medium and radiation
field seem thus the
most plausible origin for the observed gamma-ray emission from
30 Dor.
The gamma-ray emission from the LMC shows very little correlation with gas density. A much better correlation is seen between gamma-ray emission and massive star forming regions, as traced by the ionizing gas, Wolf-Rayet stars and supergiant shells, and we take this as evidence for cosmic-ray acceleration in these regions. The close confinement of gamma-ray emission to star forming regions implies a relatively small GeV cosmic-ray protons diffusion length.
Continuing observations of the LMC with Fermi/LAT in the upcoming years will provide the photon statistics to learn more about the origin of the gamma-ray emission from that galaxy. Better statistics will help in identifying more individual emission components and may help to separate true point sources from the more diffuse emission that we expect from cosmic-ray interactions. In particular, 1-2 years of additional exposure should allow the question of the contribution of PSR J0540-6919 to the gamma-ray emission from 30 Dor to be answered, and should also allow clearly establishing the pulsar wind nebulae contributions at higher energies.
AcknowledgementsThe Fermi LAT Collaboration acknowledges generous ongoing support from a number of agencies and institutes that have supported both the development and the operation of the LAT as well as scientific data analysis. These include the National Aeronautics and Space Administration and the Department of Energy in the United States, the Commissariat à l'Energie Atomique and the Centre National de la Recherche Scientifique/Institut National de Physique Nucléaire et de Physique des Particules in France, the Agenzia Spaziale Italiana and the Istituto Nazionale di Fisica Nucleare in Italy, the Ministry of Education, Culture, Sports, Science and Technology (MEXT), High Energy Accelerator Research Organization (KEK) and Japan Aerospace Exploration Agency (JAXA) in Japan, and the K. A. Wallenberg Foundation, the Swedish Research Council and the Swedish National Space Board in Sweden. Additional support for science analysis during the operations phase is gratefully acknowledged from the Istituto Nazionale di Astrofisica in Italy and the and the Centre National d'Études Spatiales in France.
References
- Abdo, A. A., Ackermann, M., Ajello, M., et al. 2009a, ApJS, 183, 46 [CrossRef] [Google Scholar]
- Abdo, A. A., Ackermann, M., Ajello, M., et al. 2009b, ApJ, 700, 597 [Google Scholar]
- Abdo, A. A., Ackermann, M., Ajello, M., et al. 2009c, ApJ, 703, 1249 [Google Scholar]
- Atwood, W. B., Abdo, A. A., Ackermann, M., et al. 2009, ApJ, 697, 1071 [NASA ADS] [CrossRef] [Google Scholar]
- Bernard, J.-P., Reach, W. T., Paradis, D., et al. 2008, AJ, 136, 919 [NASA ADS] [CrossRef] [Google Scholar]
- Binns, W. R., Wiedenbeck, M. E., Arnould, M., et al. 2007, SSRv, 130, 439 [Google Scholar]
- Biermann, P. L. 2004, New Astron. Rev., 48, 41 [NASA ADS] [CrossRef] [Google Scholar]
- Bloemen, J. B. G. M., Blitz, L., & Hermsen, W. 1984a, ApJ, 279, 136 [NASA ADS] [CrossRef] [Google Scholar]
- Bloemen, J. B. G. M., Bennett, K., Bignami, G. F., et al. 1984b, A&A, 135, 12 [NASA ADS] [Google Scholar]
- Bloemen, J. B. G. M., Strong, A. W., Blitz, L., et al. 1986, A&A, 154, 25 [NASA ADS] [Google Scholar]
- Blumenthal, G. R., & Gould, R. J. 1970, Rev. Mod. Phys., 42, 237 [NASA ADS] [CrossRef] [Google Scholar]
- Breysacher, J., Azzopardi, M., & Testor, G. 1999, A&AS, 137, 117 [NASA ADS] [CrossRef] [EDP Sciences] [Google Scholar]
- Cash, W. 1979, ApJ, 228, 939 [NASA ADS] [CrossRef] [Google Scholar]
- Cesarsky, C. J., & Montmerle, T. 1983, SSRv, 36, 173 [Google Scholar]
- Clark, G. W., Garmire, G. P., & Kraushaar, W. L. 1968, ApJ, 153, 203 [NASA ADS] [CrossRef] [Google Scholar]
- Dermer, C. D. 2007, AIPC, 921, 122 [Google Scholar]
- Digel, S. W., Moskalenko, I., Ormes, J. F., et al. 2000, AIP, 528, 449 [Google Scholar]
- Ebeling, H., White, D. A., & Rangarajan, F. V. N. 2006, MNRAS, 368, 65 [NASA ADS] [Google Scholar]
- Fichtel, C. E., & Kniffen, D. A. 1984, A&A, 134, 13 [NASA ADS] [Google Scholar]
- Fichtel, C. E., Özel, M. E., Stone, R. G., & Sreekumar, P. 1991, ApJ, 374, 134 [NASA ADS] [CrossRef] [Google Scholar]
- Finkbeiner, D. 2003, ApJS, 146, 407 [NASA ADS] [CrossRef] [Google Scholar]
- Fukui, Y., Mizuno, N., Yamaguchi, R., et al. 1999, PASJ, 51, 745 [NASA ADS] [CrossRef] [Google Scholar]
- Fukui, Y., Kawamura, A., & Minamidani, T. 2008, ApJS, 178, 56 [NASA ADS] [CrossRef] [Google Scholar]
- Ginzburg, V. L., & Ptuskin, V. S. 1985, Soviet Sci. Rev. E: Astrophys. Space Phys., 4, 161 [Google Scholar]
- Harding, A. 1981, ApJ, 247, 639 [NASA ADS] [CrossRef] [Google Scholar]
- Hartmann, D. H., Brown, L. E., & Schnepf, N. 1993, ApJ, 408, L13 [NASA ADS] [CrossRef] [Google Scholar]
- Hartman, R. C., Chen, A. W., Deines-Jones, P., et al. 1999, ApJS, 123, 79 [NASA ADS] [CrossRef] [Google Scholar]
- Healey, S. E., Romani, R. W., Taylor, G. B., et al. 2007, ApJS, 171, 61 [NASA ADS] [CrossRef] [Google Scholar]
- Hobbs, G., Edwards, R., & Manchester, R. 2006, ChJAS, 6, 198 [Google Scholar]
- Kahabka, P., de Boer, K. S., & Brüns, C. 2001, A&A, 371, 816 [NASA ADS] [CrossRef] [EDP Sciences] [Google Scholar]
- Kamae, T., Karlsson, N., Mizuno, T., Abe, T., & Koi, T. 2006, ApJ, 647, 692 [NASA ADS] [CrossRef] [Google Scholar]
- Kennicutt, R. C., Bresolin, F., Bomans, D. J., Bothun, G. D., & Thompson, I. B. 1995, AJ, 109, 594 [NASA ADS] [CrossRef] [Google Scholar]
- Kim, S., Staveley-Smith, L., Dopita, M. A., et al. 1998, ApJ, 503, 674 [NASA ADS] [CrossRef] [Google Scholar]
- Kim, S., Staveley-Smith, L., Dopita, M. A., et al. 2003, ApJS, 148, 473 [NASA ADS] [CrossRef] [Google Scholar]
- Klein, U., Wielebinski, R., Haynes, R. F., & Malin, D. F. 1989, A&A, 211, 280 [NASA ADS] [Google Scholar]
- Liu, Q. Z., van Paradijs, J., & van den Heuvel, E. P. J. 2005, A&A, 442, 1135 [NASA ADS] [CrossRef] [EDP Sciences] [Google Scholar]
- Luks, Th., & Rohlfs, K. 1992, A&A, 263, 41 [NASA ADS] [Google Scholar]
- Manchester, R. N., Hobbs, G. B., Teoh, A., & Hobbs, M. 2005, AJ, 129, 1993 [NASA ADS] [CrossRef] [Google Scholar]
- Marshall, F. E., Gotthelf, E. V., Zhang, W., Middleditch, J., & Wang, Q. D. 1998, ApJ, 499, L179 [NASA ADS] [CrossRef] [Google Scholar]
- Marx-Zimmer, M., Herbstmeier, U., Dickey, J. M., et al. 2000, A&A, 354, 787 [NASA ADS] [Google Scholar]
- Matsunaga, N., Feast, M. W., & Menzies, J. W. 2009, MNRAS, 397, 933 [NASA ADS] [CrossRef] [Google Scholar]
- Mori, M. 2009, Astropart. Phys., 31, 341 [NASA ADS] [CrossRef] [Google Scholar]
- Moskalenko, I. V., Strong, A. W., & Reimer, O. 2004, in Cosmic Gamma-Ray Sources, ed. K. S. Cheng, & G. E. Romero (Dordrecht: Kluwer), Astrophys. Space Sci. Libr., 304, 279 [Google Scholar]
- Ozel, M. E., & Fichtel, C. E. 1988, ApJ, 335, 135 [NASA ADS] [CrossRef] [Google Scholar]
- Pavlidou, V., & Fields, B. D. 2001, ApJ, 558, 63 [NASA ADS] [CrossRef] [Google Scholar]
- Pietrzynski, G., Thompson, I. B., Graczyk, D., et al. 2009, ApJ, 697 862 [NASA ADS] [CrossRef] [Google Scholar]
- Pineda, J. L., Ott, J., Klein, U., et al. 2009, ApJ, 703, 736 [NASA ADS] [CrossRef] [Google Scholar]
- Pohl, M. 1993, A&A, 279, 17 [Google Scholar]
- Pollack, J. B., & Fazio, G. G. 1963, Phys. Rev., 131, 2684 [NASA ADS] [CrossRef] [Google Scholar]
- Porter, T. A., Moskalenko, I. V., Strong, A. W., Orlando, E., & Bouchet, L. 2008, ApJ, 682, 400 [NASA ADS] [CrossRef] [Google Scholar]
- Seward, F. D., Harnden, F. R., & Helfand, D. J. 1984, ApJ, 287, L19 [NASA ADS] [CrossRef] [Google Scholar]
- Sreekumar, P., Bertsch, D. L., Dingus, B. L., et al. 1992, ApJ, 400, L67 [NASA ADS] [CrossRef] [Google Scholar]
- Staveley-Smith, L., Kim, S., Calabretta, M. R., Haynes, R. F., & Kesteven, M. J. 2003, MNRAS, 339, 87 [NASA ADS] [CrossRef] [Google Scholar]
- Strong, A. W., & Mattox, J. R. 1996, A&A, 308, 21 [Google Scholar]
- Strong, A. W., Bloemen, J. B. G. M., Dame, T. M., et al. 1988, A&A, 207, 1 [NASA ADS] [Google Scholar]
- Strong, A. W., Moskalenko, I., & Reimer, O. 2004a, ApJ, 613, 956 [Google Scholar]
- Strong, A. W., Moskalenko, I., Reimer, O., Digel, S., & Diehl, R. 2004b, A&A, 422, L47 [Google Scholar]
- Van der Marel, R. P. 2006, in The Local Group as an Astrophysical Laboratory, ed. M. Livio, & T. M. Brown (Cambridge University Press), 47 [Google Scholar]
- Wang, Q., Hamilton, T., Helfand, D. J., & Wu, X. 1991, ApJ, 374, 475 [NASA ADS] [CrossRef] [Google Scholar]
- Weidenspointner, G., Lonjou, V., & Knödlseder, J. 2007, AIP, 921, 498 [NASA ADS] [CrossRef] [Google Scholar]
- Westerlund, B. E. 1997, The Magellanic Clouds, Cambridge Astrophysics, 29 [Google Scholar]
Footnotes
- ...
- Corresponding to
.
- ...
gll_iem_v02
- The model can be downloaded from http://fermi.gsfc.nasa.gov/ssc/data/access/lat/BackgroundModels.html
- ...
area
- We use a square region
centred on
to extract these numbers.
- ...
- Fitting the G2 source as the only component to the data resulted in
. We can thus formally convert TS
into TS using TS =TS
.
- ...
- Which corresponds to
for p=2.
- ... statistics
- The total number of counts we attribute to the LMC amounts to
1550 photons while the 3rd EGRET catalogue quotes a total of 192 counts obtained during 4 years of observations.
- ... announced
- The detection has been announced at the 31
International Cosmic-Ray Conference in
ódz 2009, however no details about source flux and spectrum are yet publicly available.
- ...
- For a distance of 50 kpc to the LMC
H-atom cm-2 sr corresponds to a total H I mass of
.
All Tables
Table 1: Point sources included in the background model.
Table 2: Parameters of the point source model PS.
Table 3: Parameters of the 2D Gaussian sources model 2DG.
Table 4: Comparison of maximum likelihood model fitting results (see text for a description of the models).
Table 5: Comparison of maximum likelihood model fitting results after inclusion of the source G2 in the background model.
Table 6: Maximum likelihood spectral fit results.
Table 7:
Results of the gamma-ray emissivity analysis of the LMC for hypotheses
and
.
All Figures
![]() |
Figure 1:
Gaussian kernel (
|
Open with DEXTER | |
In the text |
![]() |
Figure 2: Profiles of the observed number of counts along Right Ascension ( top) and Declination ( bottom) of the LMC region for the energy range 200 MeV-20 GeV. The solid lines show the corresponding profiles of the background model. The red arrow indicates the location of 30 Dor. |
Open with DEXTER | |
In the text |
![]() |
Figure 3:
Zoom into a |
Open with DEXTER | |
In the text |
![]() |
Figure 4:
Gaussian kernel (
|
Open with DEXTER | |
In the text |
![]() |
Figure 5: Monthly lightcurve for gamma-ray emission from the LMC obtained using the H II gas map. The 4th month of data that was excluded from our analysis is indicated by an open symbol and grey colour. The solid line indicates the average flux over the full 11 months of data that is obtained by assuming a power law spectral shape for the emission. |
Open with DEXTER | |
In the text |
![]() |
Figure 6:
Gaussian kernel (
|
Open with DEXTER | |
In the text |
![]() |
Figure 7:
Lightcurves obtained for PSR J0540-6919 ( left)
and PSR J0537-6910 ( right) for the
energy range 200 MeV-20 GeV using an event selection
radius of |
Open with DEXTER | |
In the text |
![]() |
Figure 8: Spectrum of the LMC emission obtained by fitting spatial model maps in 6 logarithmically spaced energy bins covering the energy range 200 MeV-20 GeV. Black dots show the total spectrum obtained by fitting the H II gas map, red squares and blue triangles show the spectra for the LMC disk and for 30 Dor, respectively, obtained using the 2DG model. Error bars include statistical and systematic uncertainties. The lines show the results obtained by fitting exponentially cut off power law spectral models to the data using maximum likelihood fits. |
Open with DEXTER | |
In the text |
![]() |
Figure 9:
Differential average gamma-ray emissivity for |
Open with DEXTER | |
In the text |
![]() |
Figure 10:
Integrated >100 MeV emissivity maps of the LMC in units
of
10-27 ph s-1 sr-1 H-atom-1
for |
Open with DEXTER | |
In the text |
Copyright ESO 2010
Current usage metrics show cumulative count of Article Views (full-text article views including HTML views, PDF and ePub downloads, according to the available data) and Abstracts Views on Vision4Press platform.
Data correspond to usage on the plateform after 2015. The current usage metrics is available 48-96 hours after online publication and is updated daily on week days.
Initial download of the metrics may take a while.