Issue |
A&A
Volume 512, March-April 2010
|
|
---|---|---|
Article Number | A43 | |
Number of page(s) | 7 | |
Section | The Sun | |
DOI | https://doi.org/10.1051/0004-6361/200913482 | |
Published online | 26 March 2010 |
The role of aerodynamic drag in propagation of interplanetary coronal mass ejections
B. Vrsnak1 - T. Zic1 - T. V. Falkenberg2 - C. Möstl3,4 - S. Vennerstrom2 - D. Vrbanec1
1 - Hvar Observatory, Faculty of Geodesy, University of Zagreb, Kaciceva 26, 10000 Zagreb, Croatia
2 -
National Space Institute, Technical University of Denmark, Juliane Maries vej 30, 2100 København, Denmark
3 -
Space Research Institute, Austrian Academy of Sciences, Schmiedlstrasse 6, 8042 Graz, Austria
4 -
Institute for Physics, University of Graz, Universitätsplatz 5, 8010 Graz, Austria
Received 15 October 2009 / Accepted 17 December 2009
Abstract
Context. The propagation of interplanetary coronal mass
ejections (ICMEs) and the forecast of their arrival on Earth is one of
the central issues of space weather studies.
Aims. We investigate to which degree various ICME parameters
(mass, size, take-off speed) and the ambient solar-wind parameters
(density and velocity) affect the ICME Sun-Earth transit time.
Methods. We study solutions of a drag-based equation of motion
by systematically varying the input parameters. The analysis is focused
on ICME transit times and 1 AU velocities.
Results. The model results reveal that wide ICMEs of low masses
adjust to the solar-wind speed already close to the sun, so the
transit time is determined primarily by the solar-wind speed. The
shortest transit times and accordingly the highest 1 AU velocities
are related to narrow and massive ICMEs (i.e. high-density
eruptions) propagating in high-speed solar wind streams. We apply the
model to the Sun-Earth event associated with the CME of
25 July 2004 and compare the results with the outcome of the
numerical MHD modeling.
Key words: Sun: coronal mass ejections (CMEs) - solar-terrestrial relations - solar wind - magnetohydrodynamics (MHD) - Sun: corona
1 Introduction
Interplanetary coronal mass ejections (ICMEs) are drivers of major geomagnetic storms
(cf. Gosling et al. 1990; Koskinen & Huttunen 2006; Zhang et al. 2003, and references therein), so predicting their arrivals on Earth
is one of the central issues of space weather. For this purpose, various forecasting methods were
developed based either on the empirical/statistical relationships
(e.g. Gopalswamy et al. 2000; Michaek et al. 2004; Vrsnak & Zic 2007), analytical propagation models
(e.g. Cantó et al. 2005; Lara & Borgazzi 2009; Vrsnak & Gopalswamy 2002; Borgazzi et al. 2009; Smart & Shea 1985; Vrsnak & Zic 2007), or numerical MHD simulations
(e.g. Smith et al. 2009; Odstrcil et al. 2004; González-Esparza et al. 2003; Manchester et al. 2004; Taktakishvili et al. 2009). Performances of these forecasting
procedures were analyzed in a number of validation studies
(e.g. Dryer et al. 2004; Smith et al. 2009; Taktakishvili et al. 2009; Feng et al. 2009; Oler 2004; Cho et al. 2003; McKenna-Lawlor et al. 2006), showing that the current
prediction accuracy ranges around 10 h and that sometimes errors can be even larger than one day.
There are several lines of evidence indicating that the dynamics of the ICMEs is dominated by the ``aerodynamic'' drag (e.g. Manoharan 2006; Gopalswamy et al. 2000; Tappin 2006; Vrsnak & Gopalswamy 2002; Vrsnak et al. 2008; Gopalswamy et al. 2001; Yashiro et al. 2004; Vrsnak & Zic 2007). Taking into account the physical properties of the drag (e.g. Cargill 2004; Cargill et al. 1996; Vrsnak et al. 2004; Vrsnak 2001a), it can be presumed that the ICME kinematics depend on speed, mass, and size as well as on the ambient solar-wind density and velocity. Thus the transit time depends intrinsically on a number of parameters, which causes uncertainties in forecasting the ICME arrival. In this paper we analyze to which degree various input parameters affect the outcome of a simple drag-based equation of motion, i.e., we try to find the most relevant quantities for the ICME-arrival forecast. In Sect. 2 we describe the model, the results are presented in Sect. 3, and in Sect. 4 we apply the model to a specific event, to compare the results with the outcome of the numerical MHD simulation.
2 The model
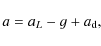
Generally, the CME dynamics are governed by the Lorentz force, the gravity, and the aerodynamic
drag (e.g. Cargill 2004; Chen 1989), i.e., the net acceleration can be written as
![]() |
(1) |
where aL, g, and

Furthermore, we assume that beyond the heliocentric distance of
the contribution of
the term aL - g becomes negligible (Vrsnak 2001b; Vrsnak & Gopalswamy 2002; Vrsnak et al. 2004), implying
.
The drag acceleration can be expressed in the form (see e.g. Cargill 2004; Cargill et al. 1996; Vrsnak et al. 2004)
where v is the CME velocity and w represents the ambient solar wind speed. According to Eq. (2), CMEs decelerate if v>w, or accelerate if v<w. The parameter

![]() |
(3) |
where


![]() |
(4) |
where




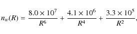
For the solar wind density we employ the empirical model derived by Leblanc et al. (1998)
where the number density n is expressed in cm-3 and the heliocentric distance is given in units of the solar radius,

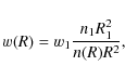
Given the function n(R), the solar wind speed is defined by the equation of continuity
![]() |
(6) |
where the subscript ``1'' represents the values at 1 AU. Here, we assume that the solar wind speed w and the solar wind density n depend only on the heliocentric distance R, i.e. that the flow is purely radial.
Since
and
,
Eq. (2) substituted by Eqs. (3)-(6)
represents a differential equation which can be easily solved numerically. Thus, the interplanetary
dynamics of our model-CME is determined by the parameters m,
,
n1, and w1, as well as
by the ICME take-off speed v0, which defines the initial condition: we take that at t=0 the
CME is located at R=20, with the velocity v0.
Note that at distances beyond R=20 the first term on right-hand-side of Eq. (5) can be
neglected. Furthermore, at such distances the solar-wind speed is already very close to its
asymptotic value, since the main contribution in Eq. (5) comes from the third term,
,
i.e.,
3 Results
In the next subsection we illustrate how the CME kinematics depend on the parameters v0, m,
,
n1, and w1. In Sect. 3.2 we focus on the 1 AU transit-time and the 1 AU speed. In all
examples we apply
(for a discussion see Cargill 2004). Note that the parameters m,
,
n1, and
appear in Eq. (2) in the form
.
Thus any combination of these parameters that gives the same value of the parameter k results in the same solution, which means basically that we have to combine only three parameters, k, v0, and w1. Nevertheless, we will present our results as a function of m,
,
and n1 to stay closer to the specific observable quantities.
3.1 Kinematics
In Figs. 1a and b the ICME velocity is presented as a function of time and distance,
respectively. We stop the calculation at 1 AU, so the x-coordinate of the last point of the
v(t) curves in Fig. 1a defines the ICME transit time TT and the y-coordinate
represents the 1 AU speed v1. The take-off velocity v0 at R0=20 (i.e., at t=0) is taken
to be v0=200 and 1000 km s-1. The 1 AU solar-wind speed and the ICME angular width are
fixed to w1=400 km s-1 and rad. The black-bold line (v0=1000 km s-1) and
black-thin line (v0=200 km s-1) are calculated for the ICME mass m=1012 kg, whereas
the gray-bold line represents the outcome for v0=1000 km s-1 and m=4
1012 kg. The latter option, m=4
1012 kg with
rad, also corresponds to e.g. m=1012 kg with
rad, since
.
The dashed line indicates w1=400 km s-1 but also approximately represents v(t) for the case v0=400 km s-1, since at R>20
the solar-wind speed is already quite close to its asymptotic value,
implying that the CME acceleration is negligible (
).
In Fig. 1c we show the acceleration as a function of distance for the same set of parameters
as in Figs. 1a and b. Note that for v0=200 km s-1 the CME accelerates, for
v0=400 km s-1 it moves with
,
and for v0=1000 km s-1 the CME
decelerates. Such a behavior is consistent with measurements based on the coronagraphic data
(see, e.g. Vrsnak et al. 2004). Moreover, the values at
are consistent with typical
accelerations measured in this distance range.
Comparing the two kinematical curves for v0=1000 km s-1, we find that the lower-mass CME
is decelerated much more effectively than the massive one. Consequently, low-mass CMEs travel most
of their way to the Earth practically at the solar wind speed. Given that the same results would be
obtained for equal masses but different angular width ,
Fig. 1 also implicitly shows
that wide CMEs are decelerated much more effectively than the narrow ones. Analogously, CMEs
propagating through a higher-density solar wind (larger n1) are more affected by the drag. Thus,
the shortest transit times can be achieved only by fast, massive, and relatively narrow CMEs
(implying also high densities), especially when propagating in high speed solar wind streams of low
density. The described behavior is fully consistent with the empirical relationships reported by
Vrsnak & Zic (2007) and Vrsnak et al. (2008).
![]() |
Figure 1:
CME kinematics calculated for the solar wind speed w1=400 km s-1 (dashed line): a) velocity as a function of time; b) velocity as a function of distance;
c) acceleration as a function of distance. Thin line represents v0=200 km s-1 and m=1012 kg, black-bold line v0=1000 km s-1 and m=1012 kg, bold-gray line v0=1000 km s-1 and m=4 |
Open with DEXTER |
3.2 1 AU transit times and velocities
Calculations described in Sect. 3.1 were performed over the parameter space to evaluate the 1 AU
transit times, TT, and the ICME velocity at 1 AU, v1, as a function of v0, m, ,
n1, and w1. In Figs. 2a and b we present the dependencies TT(v0) and
v1(v0),
for different solar wind speeds w1 and fixed values
and m=1012 kg. As already
mentioned, the outcome is the same for e.g.
and m=4
1012 kg, or
and four times lower solar wind density and consequently for any combination that gives the same value of the parameter k.
As expected, transit times become longer for lower solar wind
speeds. Note also that for the considered set of parameters, the
transit time TT is affected more by the solar wind speed than by the CME take-off speed v0.
This is primarily due to the fast adjustment of the
CME velocity to the ambient solar wind speed in the case of high-k events (wide/low mass CMEs).
To emphasize the importance of the solar wind speed for high-k CMEs we show in Figs. 3a and b the dependencies TT(w1) and v1(w1), calculated by applying a wide range of take-off speeds v0. The presented graphs clearly illustrate that transit times and 1 AU speeds of high-k CMEs depend much more on w1 than on v0.
The influence of the take-off speed becomes greater for CMEs of larger masses (or equivalently
narrower CMEs, which propagate in low density solar wind). In Figs. 4a and b we show the
dependencies TT(v0) and
v1(v0) for different values of ,
and the solar-wind speed of
w1=400 km s-1. The graph shows that for narrow CMEs (low-k events), the transit time
becomes much more dependent on the initial speed than it was in the case of broad CMEs (high-kevents). The same holds for the 1 AU speed.
The conclusions about ``low-k'' versus ``high-k'' CMEs based in Figs. 2-4 are directly quantified by graphs presented in Figs. 5a and b. Here we show how the transit time and 1 AU speed depend on the CME width (or equivalently the CME mass), where we have fixed the solar wind speed to w1=400 km s-1 and applied various take-off speeds v0. Figure 5 clearly shows that for wide CMEs (equivalently, low-mass CMEs) the transit time and the 1 AU speed do not depend significantly on the take-off speed v0. The initial speed is relevant only for low-k events, i.e., narrow and massive CMEs.
The strong influence of the solar wind speed on the transit time straightforwardly explains the
so-called ``Brueckner's 80-h rule'' (
h in most events; Brueckner et al. 1998). In the majority of events, the CME segments that hit Earth propagate through the slow solar wind
(
km s-1). Figure 3 shows that under such circumstances a typical
transit time for an ``average'' CME (v0=300-500 km s-1; see e.g. Yashiro et al. 2004)
ranges between 60 and 100 h. Furthermore, our results show that the shortest transit times
(
day; for a discussion see Gopalswamy et al. 2005) can be achieved only by massive CMEs of
a very high initial speed (v0>2000 km s-1). In addition, such a CME has to move through
high-speed solar wind streams and the Lorentz force has to act over long distances to postpone the
drag-dominated phase until the solar wind density becomes low.
Finally it should be noted that throughout this section we were using the CME mass m and the
angular width
as basic parameters, primarily because they can be estimated from the
observations. However, the drag parameter
can also be expressed in the form
![]() |
(7) |
where V and

![]() |
Figure 2:
a) Transit time TT presented as a function of the ICME take-off speed v0, calculated for |
Open with DEXTER |
![]() |
Figure 3:
a) Transit time TT presented as a function of the solar wind speed w1, calculated for |
Open with DEXTER |
![]() |
Figure 4:
a) Transit time TT presented as a function of the ICME take-off speed v0, calculated for w1=400 km s-1, m=1012 kg, and different values of |
Open with DEXTER |
![]() |
Figure 5:
a) Transit time TT presented as a function of the angular size of the CME, |
Open with DEXTER |
4 An example and comparison with numerical results
4.1 Application of the model to the CME of 25 July 2004
To demonstrate the application of the model, we utilize observations of
the halo CME of 25 July 2004 (first appearance in the LASCO field-of-view at 14:54 UT). This was one of the Sun-Earth events
foreseen for a detailed interdisciplinary study in the frame of the European FP-7 project SOTERIA
(Solar-Terrestrial Investigations and Archives; http://soteria-space.eu/). We have chosen
this event, associated with the
nT geomagnetic storm on 27 July 2007, because of
a relatively simple global situation, yet including the presence of the solar wind high speed
stream. A brief description of the event was presented by Yousef et al. (2005b,a).
The CME was launched from the active region NOAA 10652 and was associated with a 1F/M1 flare
located at n08w33. This long duration flare started at 14:20 UT, after a series of
impulsive compact flares occurring over a period of two hours. The 1-8 Å soft X-ray flux
peaked at
15:20 UT, and during the decay phase, the Solar X-ray Imager (SXI; Pizzo et al. 2005) onboard the GOES satellite showed a huge cusped post-eruption loop-system
south of NOAA 10652, revealing that the eruption occurred in between NOAA 10652 and NOAA 10653.
In the LASCO field of view the CME had an approximately constant velocity of v=1330 km s-1, reaching the heliocentric distance of R=20 at 17:28 UT. Below we express the time in the ``day-of-year'' form, DOY, so the CME was at R=20 at DOY=207.73.
The 1 AU data measured by the Advanced Composition Explorer (ACE) and Wind spacecrafts reveal the
arrival of the ICME-associated shock at
DOY=208.94, which is 1.2 days (28.8 h) after the CME
take-off. According to the measured magnetic field pattern, the leading edge of the ICME arrived at
0.02. Thus the ICME transit time from R=20 was TT=1.36 days or 32.6 h. The 1 AU ICME speed, defined as the peak velocity within the magnetic cloud, was
v1=1000
20 km s-1.
To explicitly solve the equation of motion we need to know the
CME mass and angular width as well
as the solar wind speed and density at 1 AU. The
CME brightness in calibrated base-difference LASCO images is
dependent on the number of Thompson-scattering electrons, which
provides an estimate of the CME mass (for details see e.g. Vourlidas et al. 2000). The mass reported in the LASCO online
catalog (http://cdaw.gsfc.nasa.gov/CME_list/; Yashiro et al. 2004) for our CME equals m = 1.1 1013 kg.
The angular width of a halo CME can be estimated from its shape by assuming the cone model
geometry. Applying the method proposed by Xie et al. (2004) we get
rad. On the
other hand, inspecting the CME-associated coronal dimming, the angular width can be estimated as
1.5 rad. The minimum angular width can be also estimated from the source region
location and the demand that it results in the halo CME, or more-or-less equivalently, that it
encounters the Earth. Given the associated-flare location, from this demand we get
.
Inspecting the in situ data we find that the solar wind speed ahead of ICME (DOY=108-109) was characterized by a high speed, w1=600-650 km s-1, and relatively low density, n1=2-2.5 cm-3. However, we find no Alfvénic fluctuations, implying that this was probably not a high-speed stream originating from an equatorial coronal hole, but more likely a consequence of a weak ICME. Indeed, we find a pattern indicating a rotation of the magnetic field vector, which suggests a small/weak magnetic cloud. On the other hand we find a typical high speed stream behind our ICME (after DOY=110) characterized by the density n1=0.5-1 cm-3and the flow speed w1=650-700 km s-1. The stream has its origin in the equatorial coronal hole located eastward of the CME source site, passing over the central meridian on 26 July (for spatial/temporal relationship between coronal holes and high speed streams see e.g. Vrsnak et al. 2007, and references therein). Thus, considering the situation ahead and behind the ICME, we use w1=650 km s-1.
Given the presented observations/measurements we take for the model input
- v0=1330 km s-1 at R0=20;
-2.6 rad;
- m = 1.1
1013 kg;
- w1=650 km s-1;
- n1=0.5-2.5 cm-3, corresponding to 14-3 times lower density than in the model of Leblanc et al. (1998).









Table 1:
Summary of calculated transit times
and 1 AU velocities
.
Inspecting Table 1, one finds that the values of
and n1 employed in the model runs
cover a broad range of values of the parameter
,
changing almost by a factor of 30. Such a wide range of k should compensate for uncertainties in determining the CME mass and
the true (deprojected) CME speed, as well as possible deviations from
.
From Table 1 we find that the time window of calculated transit times is only 13 h: we
get the limits TT=29-42 h, corresponding to v1=1270-770 km s-1, respectively.
The best match (
h) is obtained for: a)
rad, determined from the observations using the CME cone-model and the measured high-speed stream density of
n1=0.5 cm-3; b) the lower-limit width,
rad, and the upper-limit solar-wind
density n1=2.5 cm-3. The largest deviation,
h, is found for the extreme
combination
rad and n1=2.5 cm-3. Other combinations of
and n1 give
deviations of a few hours only.
To conclude, the largest deviations that could be expected in the real-time forecasting in this
particular event (since from the coronal hole data we would know about the presence of the high
speed stream) are
h and
h, corresponding to
km s-1 and
km s-1, respectively.
![]() |
Figure 6: Comparison of the ENLIL results (smooth thin line) and the ACE in situ measurements (noisy thick line). Note signatures of the solar wind high-speed stream after DOY=210. Vertical full and dashed line indicate the shock and the leading edge of the ICME, respectively. |
Open with DEXTER |
4.2 Comparison with the numerical model ENLIL
Since our analytical drag-based model can describe only the propagation of the ICME body and thus cannot reproduce the propagation of the ICME-driven shock, it is instructive to combine our results with the outcome of the numerical heliospheric MHD code ENLIL, which allows the simulation of the solar wind conditions based on the photospheric magnetogram input (http://ccmc.gsfc.nasa.gov/models/Code_description.pdf; Odstrcil & Pizzo 1999; Odstrcil et al. 2004). A version called ``ENLIL-with-cone'' allows inserting a CME cloud at the inner boundary of ENLIL (21.5 solar radii) and tracing its propagation through the background solar wind. The model runs are available on request at http://ccmc.gsfc.nasa.gov/, courtesy of the CCMC (Community Coordinated Modelling Center) at the NASA Goddard Space Flight Center.
In the ENLIL-with-cone, the initial-state CME is defined only as a density/velocity/temperature perturbation in the background solar wind, thus lacking the magnetic field specification within the CME body. Consequently, the evolution of the ICME itself is largely artificial, but the propagation of the ICME driven shock is not affected significantly by this drawback. Thus, we will focus primarily to the shock arrival time, meaning that a combination of our model and ENLIL should provide information on both the ICME and the shock.
In Fig. 6 we show the outcome of the ENLIL model run for the following model parameters:
- cloud start date: 2004-07-25;
- cloud start time: 17:49 UT;
- co-latitude:
(
= north,
= south);
- longitude:
(
= east,
= earth);
- cone radius (i.e., cone half-angle):
;
- initial cloud velocity: v=1330 km s-1;
- solar wind input velocity w=650 km s-1;
- solar wind input density
cm-3;
- solar wind input temperature
MK;
- CME density enhancement factor
;
- CME temperature enhancement factor
.



5 Discussion and conclusion
Our analysis has shown that the ICME transit time and the 1 AU speed depend significantly on all considered parameters: the ICME take-off speed, mass, and width and also the solar wind speed and density. However, there are two limiting cases where the situation simplifies, which is essential for the space weather forecasting.
On one side, there are low-mass and broad ICMEs (i.e., low-density ICMEs), whose transit time is
determined primarily by the solar wind speed since the ICME adjusts to the solar wind already very
close to the sun. The strong dependence of the transit time on the solar wind speed explains the
so-called ``Brueckner's 80-h rule'' (
h in most events; Brueckner et al. 1998).
On the other hand, in the case of massive and narrow ICMEs, the transit time and the 1 AU speed are
determined mostly by the ICME take-off speed. The shortest transit times like day
can be achieved only by massive CMEs of a very high initial speed (v0>2000 km s-1).
Furthermore, such an ICME has to move through high-speed solar wind streams of low
density.
From the point of view of the space weather forecasting, it is important that the input parameters required for any ICME propagation model are available in real time. For our model these parameters can be obtained from coronagraphic observations of the ICME take-off. From LASCO data we can estimate the CME mass (Vourlidas et al. 2000) as well as its speed and width (Xie et al. 2004). The EUV observations of coronal changes associated with the eruption can help to also estimate the width too. On the other hand, tracking of equatorial coronal holes in EUV or soft X-ray images provides us with characteristics of high-speed streams in the background solar wind (Vrsnak et al. 2007). The solar wind speed and density can be also estimated by applying numerical procedures (e.g. Arge & Pizzo 2000). Although all of these estimates are of a limited accuracy, they should provide an estimate of the ICME arrival time with an uncertainty of several hours, at least in rather simple situations like that in the event of 25-27 July 2004.
Finally, we note that one of the major assumptions of the presented model is that the ICME propagates through a uniform solar wind flow, which is far from being realistic. Even in the simplest situation without any equatorial coronal holes, any ICME event will propagate through a bi-modal solar wind, which will result in a significant deformation of the ICME shape. The nose of ICME will move through a slow/dense solar wind, whereas the ICME flanks will travel through a faster and less dense solar wind. As a result of this interaction, the ICME will get a distinct concave shape, where the ICME segments close to the ecliptic plane will lag behind segments at higher heliocentric latitudes (cf. Odstrcil et al. 2004).
In a situation where the slow-wind region is confined to the near-ecliptic latitudes, this effect does not complicate the ICME-arrival prediction, since we know that the Earth will be hit by the ICME segment that travels through the slow solar wind, which can straightforwardly be used as the calculation input. The off-ecliptic segments travel faster, but that does not matter for the forecasting, since we are interested only in the ICME arrival at Earth. However, a similar effect is expected in the presence of equatorial coronal holes, which create streams of fast wind also in the ecliptic plane. Of course this complicates the prediction, since one has to estimate whether the Earth-directed ICME segment is affected by such a stream. In this situation it is inevitable to consult models which describe the background solar wind, and estimate if the Earth-directed ICME segment will travel predominantly through a slow or the fast solar wind stream.
AcknowledgementsThe research leading to the results presented in this paper has received funding from European Community's Seventh Framework Programme (FP7/2007-2013) under grant agreement No. 218816. C.M. thanks the Austrian Science Foundation (Fonds zur Förderung der wissenschaftlichen Forschung) for support under project P20145-N16. We are grateful to the LASCO/SoHO, ACE, Wind teams for their open data policy, and to the Community Coordinated Modeling Center at the NASA Goddard Flight Center for carrying out ENLIL runs for the 25 July 2004 event.
References
- Arge, C. N., & Pizzo, V. J. 2000, J. Geophys. Res., 105, 10465 [NASA ADS] [CrossRef] [Google Scholar]
- Borgazzi, A., Lara, A., Echer, E., & Alves, M. V. 2009, A&A, 498, 885 [NASA ADS] [CrossRef] [EDP Sciences] [Google Scholar]
- Brueckner, G. E., Howard, R. A., Koomen, M. J., et al. 1995, Sol. Phys., 162, 357 [NASA ADS] [CrossRef] [Google Scholar]
- Brueckner, G. E., Delaboudiniere, J.-P., Howard, R. A., et al. 1998, Geophys. Res. Lett., 25, 3019 [Google Scholar]
- Cantó, J., González, R. F., Raga, A. C., et al. 2005, MNRAS, 357, 572 [NASA ADS] [CrossRef] [Google Scholar]
- Cargill, P. J. 2004, Sol. Phys., 221, 135 [NASA ADS] [CrossRef] [Google Scholar]
- Cargill, P. J., Chen, J., Spicer, D. S., & Zalesak, S. T. 1996, J. Geophys. Res., 101, 4855 [Google Scholar]
- Chen, J. 1989, ApJ, 338, 453 [NASA ADS] [CrossRef] [Google Scholar]
- Cho, K.-S., Moon, Y.-J., Dryer, M., et al. 2003, J. Geophys. Res., Space Phys., 108, 1445 [Google Scholar]
- Dryer, M., Smith, Z., Fry, C. D., et al. 2004, Space Weather, 2, 9001 [Google Scholar]
- Feng, X. S., Zhang, Y., Sun, W., et al. 2009, J. Geophys. Res., Space Phys., 114, 1101 [Google Scholar]
- Fisher, R. R., & Munro, R. H. 1984, ApJ, 280, 428 [Google Scholar]
- González-Esparza, J. A., Lara, A., Pérez-Tijerina, E., Santillán, A., & Gopalswamy, N. 2003, J. Geophys. Res., Space Phys., 108, 1039 [Google Scholar]
- Gopalswamy, N., Lara, A., Lepping, R. P., et al. 2000, Geophys. Res. Lett., 27, 145 [NASA ADS] [CrossRef] [Google Scholar]
- Gopalswamy, N., Lara, A., Yashiro, S., Kaiser, M. L., & Howard, R. A. 2001, J. Geophys. Res., 106, 29207 [NASA ADS] [CrossRef] [Google Scholar]
- Gopalswamy, N., Yashiro, S., Liu, Y., et al. 2005, J. Geophys. Res., Space Phys., 110, 9 [Google Scholar]
- Gosling, J. T., Bame, S. J., McComas, D. J., & Phillips, J. L. 1990, Geophys. Res. Lett., 17, 901 [NASA ADS] [CrossRef] [Google Scholar]
- Koskinen, H. E. J., & Huttunen, K. E. J. 2006, Space Sci. Rev., 124, 169 [NASA ADS] [CrossRef] [Google Scholar]
- Lara, A., & Borgazzi, A. I. 2009, in IAU Symp., ed. N. Gopalswamy, & D. F. Webb, 257, 287 [Google Scholar]
- Leblanc, Y., Dulk, G. A., & Bougeret, J.-L. 1998, Sol. Phys., 183, 165 [NASA ADS] [CrossRef] [Google Scholar]
- Manchester, W. B., Gombosi, T. I., Roussev, I., et al. 2004, J. Geophys. Res., Space Phys., 109, 2107 [Google Scholar]
- Manoharan, P. K. 2006, Sol. Phys., 235, 345 [NASA ADS] [CrossRef] [Google Scholar]
- McKenna-Lawlor, S. M. P., Dryer, M., Kartalev, M. D., et al. 2006, J. Geophys. Res., Space Phys., 111, 11103 [Google Scholar]
- Micha▯ek, G., Gopalswamy, N., & Yashiro, S. 2003, ApJ, 584, 472 [NASA ADS] [CrossRef] [Google Scholar]
- Micha▯ek, G., Gopalswamy, N., Lara, A., & Manoharan, P. K. 2004, A&A, 423, 729 [NASA ADS] [CrossRef] [EDP Sciences] [Google Scholar]
- Odstrcil, D., & Pizzo, V. J. 1999, J. Geophys. Res., 104, 28225 [Google Scholar]
- Odstrcil, D., Riley, P., & Zhao, X. P. 2004, J. Geophys. Res., Space Phys., 109, 2116 [Google Scholar]
- Oler, C. 2004, Space Weather, 2, 8001 [Google Scholar]
- Pizzo, V. J., Hill, S. M., Balch, C. C., et al. 2005, Sol. Phys., 226, 283 [NASA ADS] [CrossRef] [Google Scholar]
- Schwenn, R., dal Lago, A., Huttunen, E., & Gonzalez, W. D. 2005, Ann. Geophys., 23, 1033 [NASA ADS] [CrossRef] [Google Scholar]
- Smart, D. F., & Shea, M. A. 1985, J. Geophys. Res., 90, 183 [NASA ADS] [CrossRef] [Google Scholar]
- Smith, Z. K., Dryer, M., McKenna-Lawlor, S. M. P., et al. 2009, J. Geophys. Res., Space Phys., 114, 5106 [Google Scholar]
- Taktakishvili, A., Kuznetsova, M., MacNeice, P., et al. 2009, Space Weather, 7, 3004 [Google Scholar]
- Tappin, S. J. 2006, Sol. Phys., 233, 233 [NASA ADS] [CrossRef] [Google Scholar]
- Vourlidas, A., Subramanian, P., Dere, K. P., & Howard, R. A. 2000, ApJ, 534, 456 [Google Scholar]
- Vrsnak, B. 2001a, Sol. Phys., 202, 173 [NASA ADS] [CrossRef] [Google Scholar]
- Vrsnak, B. 2001b, J. Geophys. Res., 106, 25249 [Google Scholar]
- Vrsnak, B., & Gopalswamy, N. 2002, J. Geophys. Res., Space Phys., 107, 1019 [Google Scholar]
- Vrsnak, B., & Zic, T. 2007, A&A, 472, 937 [NASA ADS] [CrossRef] [EDP Sciences] [Google Scholar]
- Vrsnak, B., Ruzdjak, D., Sudar, D., & Gopalswamy, N. 2004, A&A, 423, 717 [Google Scholar]
- Vrsnak, B., Temmer, M., & Veronig, A. M. 2007, Sol. Phys., 240, 315 [Google Scholar]
- Vrsnak, B., Vrbanec, D., & Calogovic, J. 2008, A&A, 490, 811 [Google Scholar]
- Xie, H., Ofman, L., & Lawrence, G. 2004, J. Geophys. Res., Space Phys., 109, 3109 [Google Scholar]
- Xue, X. H., Wang, C. B., & Dou, X. K. 2005, J. Geophys. Res., Space Phys., 110, 8103 [Google Scholar]
- Yashiro, S., Gopalswamy, N., Michalek, G., et al. 2004, J. Geophys. Res., Space Phys., 109, 7105 [Google Scholar]
- Yousef, S., El Nawawy, M. S., El-Nazer, M., & Yousef, M. 2005a, in Coronal and Stellar Mass Ejections, ed. K. Dere, J. Wang, & Y. Yan, IAU Symp., 226, 477 [Google Scholar]
- Yousef, S., El-Nazer, M. M., & Bebars, A. 2005b, in Coronal and Stellar Mass Ejections, ed. K. Dere, J. Wang, & Y. Yan, IAU Symp., 226, 145 [Google Scholar]
- Zhang, J., Dere, K. P., Howard, R. A., & Bothmer, V. 2003, ApJ, 582, 520 [Google Scholar]
- Zhao, X. P., Plunkett, S. P., & Liu, W. 2002, J. Geophys. Res., Space Phys., 107, 1223 [Google Scholar]
Footnotes
- ... LASCO
- The Large Angle Spectroscopic Coronagraph (LASCO; Brueckner et al. 1995)
All Tables
Table 1:
Summary of calculated transit times
and 1 AU velocities
.
All Figures
![]() |
Figure 1:
CME kinematics calculated for the solar wind speed w1=400 km s-1 (dashed line): a) velocity as a function of time; b) velocity as a function of distance;
c) acceleration as a function of distance. Thin line represents v0=200 km s-1 and m=1012 kg, black-bold line v0=1000 km s-1 and m=1012 kg, bold-gray line v0=1000 km s-1 and m=4 |
Open with DEXTER | |
In the text |
![]() |
Figure 2:
a) Transit time TT presented as a function of the ICME take-off speed v0, calculated for |
Open with DEXTER | |
In the text |
![]() |
Figure 3:
a) Transit time TT presented as a function of the solar wind speed w1, calculated for |
Open with DEXTER | |
In the text |
![]() |
Figure 4:
a) Transit time TT presented as a function of the ICME take-off speed v0, calculated for w1=400 km s-1, m=1012 kg, and different values of |
Open with DEXTER | |
In the text |
![]() |
Figure 5:
a) Transit time TT presented as a function of the angular size of the CME, |
Open with DEXTER | |
In the text |
![]() |
Figure 6: Comparison of the ENLIL results (smooth thin line) and the ACE in situ measurements (noisy thick line). Note signatures of the solar wind high-speed stream after DOY=210. Vertical full and dashed line indicate the shock and the leading edge of the ICME, respectively. |
Open with DEXTER | |
In the text |
Copyright ESO 2010
Current usage metrics show cumulative count of Article Views (full-text article views including HTML views, PDF and ePub downloads, according to the available data) and Abstracts Views on Vision4Press platform.
Data correspond to usage on the plateform after 2015. The current usage metrics is available 48-96 hours after online publication and is updated daily on week days.
Initial download of the metrics may take a while.