Issue |
A&A
Volume 512, March-April 2010
|
|
---|---|---|
Article Number | A1 | |
Number of page(s) | 14 | |
Section | Extragalactic astronomy | |
DOI | https://doi.org/10.1051/0004-6361/200913526 | |
Published online | 17 March 2010 |
J004457+4123 (Sharov 21): not a remarkable nova in M 31 but a background quasar with a spectacular UV flare
H. Meusinger1 - M. Henze2 - K. Birkle3,4 - W. Pietsch2 - B. Williams5 - D. Hatzidimitriou6,7 - R. Nesci8 - H. Mandel4 - S. Ertel9 - A. Hinze10 - T. Berthold11
1 - Thüringer Landessternwarte Tautenburg, Sternwarte 5, 07778
Tautenburg, Germany
2 -
Max-Planck-Institut für extraterrestrische Physik, Giessenbachstraße,
85748 Garching, Germany
3 -
Max-Planck-Institut für Astronomie, Königstuhl 17, 69117
Heidelberg, Germany
4 -
ZAH, Landessternwarte Heidelberg, Königstuhl 12,
Universität Heidelberg, 69117 Heidelberg, Germany
5 -
Department of Astronomy, Box 351 580, University of Washington,
Seattle, WA 98195, USA
6 -
Department of Astrophysics, Astronomy and Mechanics, Faculty of
Physics, University of Athens, Panepistimiopolis, 15784 Zografos,
Athens, Greece
7 -
IESL, Foundation for Research and Technology, 71110 Heraklion,
Crete, Greece
8 -
Department of Physics, University of Roma La Sapienza, Rome, Italy
9 -
Institut für Theor. Physik und Astrophysik,
Christian-Albrechts-Universität zu Kiel,
Leibnizstraße 15, 24118 Kiel, Germany
10 -
Astronomisches Institut,
Universität Bern,
Sidlerstraße 5, 3012 Bern, Switzerland
11 -
Sternwarte Sonneberg,
Sternwartestr. 32,
96515 Sonneberg, Germany
Received 22 October 2009 / Accepted 18 December 2009
Abstract
Aims. We announce the discovery of a quasar behind the disk
of M 31, which was previously classified as a remarkable nova in
our neighbour galaxy. It is shown here to be a quasar with a single
strong flare where the UV flux has increased by a factor of 20.
The present paper is primarily aimed at the remarkable outburst of
J004457+4123 (Sharov 21), with the first part focussed on the
optical spectroscopy and the improvement in the photometric database.
Methods. We exploited the archives of photographic plates and
CCD observations from 15 wide-field telescopes and performed targetted
new observations. In the second part, we try to fit the flare by models
of (1) gravitational microlensing due to a star in M 31 and (2) a
tidal disruption event (TDE) of a star close to the supermassive black
hole of the quasar.
Results. Both the optical spectrum and the broad band spectral
energy distribution of Sharov 21 are shown to be very similar to
that of normal, radio-quiet type 1 quasars. We present photometric
data covering more than a century and resulting in a long-term light
curve that is densely sampled over the past five decades. The
variability of the quasar is characterized by a ground state with
typical fluctuation amplitudes of 0.2 mag around
,
superimposed by a singular flare of
2 yr
duration (observer frame) with the maximum at 1992.81. The total energy
in the flare is at least three orders of magnitudes higher than the
radiated energy of the most luminous supernovae, provided that it comes
from an intrinsic process and the energy is radiated isotropically. The
profile of the flare light curve is asymmetric showing in particular a
sudden increase before the maximum, whereas the decreasing part can be
roughly approximated by a t-5/3 power law. Both properties appear to support the standard TDE scenario where a
giant star was shredded in the tidal field of a
black hole. The short fallback time derived from the observed light
curve requires an ultra-close encounter where the pericentre of the
stellar orbit is deep within the tidal disruption radius. This simple
model neglects, however, the influence of the massive accretion disk,
as well as general-relativistic effects on the orbit of the tidal
debris. Gravitational microlensing probably provides an alternative
explanation, although the probability of such a high amplification
event is very low.
Key words: quasars: general - quasars: individual: J004457+4123 - galaxies: individual: M 31 - gravitational lensing: micro - black hole physics
1 Introduction
Temporal variability is one of the most conspicuous properties for several classes of interesting astrophysical objects. Owing to the unprecedented combination of sky coverage and photometric accuracy, discoveries from the Large Synoptic Survey Telescope (LSST), the Panoramic Survey Telescope and Rapid Response System (Pan-STARRS), the Palomar-QUEST (PQ) survey, or the Palomar Transient Factory (PTF) will provide great advances in the understanding of variable processes, especially of rare transient phenomena (Gezari et al. 2008; Strubbe & Quataert 2009; Quimby et al. 2009). However, given the nature of the problem, the creation of the observational database for investigating the variability on long time scales in the reference frame of the source, as is the case for quasars, takes a long time. This also holds for recurrent events, e.g. novae, with intrinsically shorter time scales where it is necessary to cover also the wide gaps between the single events. Presently, data mining in archives, most notably in the plate archives from large Schmidt telescopes, remains the only approach if the light curves have to cover a time interval of decades in the rest frame, at least for high-redshift quasars.
In the context of the search for and the identification of optically variable star-like sources in the field of the bright Local Group spiral galaxy M 31 (Pietsch et al. 2005a; Henze et al. 2008), our interest was pointed toward the apparent nova J004457+4123, originally discovered by Nedialkov et al. (1996) and described in more detail by Sharov et al. (1998). The light curve presented by these authors clearly shows a strong bump with a maximum brightening by more than 3 mag in the year 1992 while the source remained constant both in the 23 years before and the 5 years after. Sharov et al. suggest that it is a ``remarkable nova'' in M 31, but underscore that it ``differs dramatically from typical representatives of this class of objects''. Following the terminology of these authors (nova 21), we denote the object as J004457+4123 throughout this paper. A possible X-ray counterpart was first discussed by Pietsch et al. (2005b), who searched for supersoft X-ray counterparts of optical novae in M 31 and identified Sharov 21 with the source [PFH2005] 601 of their catalogue of XMM-Newton EPIC X-ray sources (Pietsch et al. 2005a) and with the hard ROSAT source [SHL2001] 306 from the catalogue of Supper et al. (2001). Based on the hardness of the X-ray source and the peculiar optical light curve, Pietsch et al. (2005b) speculate that Sharov 21 ``may not be a nova at all''. Here we present, for the first time, optical follow-up spectroscopy which reveals Sharov 21 to be a quasar.
From the very beginning of the investigation of active galactic nuclei (AGN), variability is known to be a diagnostic property of this object class and has been successfully used as a criterion for the selection of quasar candidates in a number of studies (e.g., Kron & Chiu 1981; Majewski et al. 1991; Hawkins & Véron 1993; Meusinger et al. 2002, 2003; Rengstorf et al. 2004). AGN originally misclassified as variable stars are neither unprecedented nor unexpected. The most famous case is the prototypical blazar BL Lac, discovered by Cuno Hoffmeister in 1930. However, the misclassification of a luminous quasar as a nova is highly remarkable because it indicates a singular, strong outburst which points toward a rare and interesting transient phenomenon.
It has long been understood that the observed flux variations of AGNs hold keys to the structure of the radiation source. The physical mechanisms behind these fluctuations are however still poorly understood. Frequently discussed scenarios for the origin of the observed optical/UV broad-band long-term (non-blazar) variability related to massive or supermassive black holes in galaxy centres include various processes such as instabilities and non-linear oscillations of the accretion disk (Taam & Lin 1984; Abramovicz et al. 1989; Honma et al. 1991; Kawaguchi et al. 1998), multiple supernovae in the starburst environment (Terlevich et al. 1992; Cid Fernandes et al. 1997), microlensing of the accretion disk or the broad line region by compact foreground objects (Chang & Refsdal, 1979; Irwin et al. 1989; Hawkins 1993; Schneider 1993; Lewis & Irwin 1996; Zackrisson et al. 2003), the disruption of a star which passes within the tidal radius of the supermassive black hole (Hills 1975; Rees 1988, 1990; Komossa & Bade 1999; Komossa & Meritt 2008; Gezari et al. 2008), star-star collisions in the dense circumnuclear environment (Torricelli-Ciamponi et al. 2000), and interactions of the components in a supermassive binary black hole (Sillanpää et al. 1988; Lehto & Valtonen 1996; Katz 1997; Liu & Chen 2007).
The present paper is aimed at the highly peculiar light curve of the
quasar Sharov 21 which is worth detailed investigation.
We present the optical spectrum and a significantly improved
light curve and discuss possible scenarios for the strong outburst.
The observations are described in Sect. 2. The spectrum and other
basic properties are analysed in Sect. 3.
The outburst is the subject of Sect. 4.
Two models are discussed in detail: gravitational microlensing and
a stellar tidal disruption event; alternative scenarios are briefly
summarized as well. Section 5 gives the conclusions.
Standard cosmological parameters
H0=71 km s-1 Mpc
are used throughout the paper.
2 Observational data
2.1 Spectroscopy
The optical spectrum was obtained with the Double Imaging Spectrograph (DIS)
on the 3.5-m telescope at Apache Point Observatory (APO) in New Mexico, USA
during a campaign to follow-up X-ray sources in M 31.
Two exposures were taken for a total of 4 500 s.
For the blue spectral range (3200 to 5500 Å), the B 400 reflectance
grating was used with a dispersion of 1.85 Å per pixel yielding a nominal
resolution of about 7 Å in combination with a 1
5 entrance slit.
The R 300 grating, with a dispersion of 2.26 Å per pixel, gives a resolution
of 8 Å for the red part (5000 to 10 100 Å). The spectra were
taken at UT 0300 on 2007-11-09. The observing conditions were excellent
through the night.
The spectra were reduced, wavelength calibrated, and flux calibrated using the standard IRAF routines (ccdproc, identify, sunsfunc, apextract, apall). Wavelength calibration was performed using HeNeAr lamp exposures taken just before the object exposures, and flux calibration was performed using a spectrum of the spectrophotometric standard star BD+28-4211.
2.2 Optical photometry: long-term light curve
The light curve published by Sharov et al. (1998) is based on
B band observations taken with four telescopes between 1969.0 and 1997.7
with a good coverage of the outburst phase. The present study is aimed at an extended
and better sampled long-term light curve.
We exploited several data archives and combined the results with the data available
in the literature. In addition, targetted new observations for another 16 epochs in
the years 2006 to 2009 were taken with the CCD Schmidt camera of the Tautenburg 2 m telescope
and with the focal reducer camera CAFOS at the
2.2 m telescope on Calar Alto, Spain.
Most of the archival photographic plates were digitized in the frame of the present work
using the Tautenburg Plate Scanner (Brunzendorf & Meusinger, 1999)
for the Tautenburg Schmidt plates, the high-quality commercial scanner at the Asiago
observatory (Barbieri et al. 2003) for the Asiago plates, and the Microtek
ScanMaker 9800XL for the Sonneberg astrograph plates.
The Calar Alto plates were scanned for the Heidelberg Digitized Astronomical
Plates (HDAP) project using a Heidelberger Druckmaschinen Nexscan F4100 professional
scanner and are available from the German Astrophysical Virtual Observatory
(GAVO)
.
Table 1: Observational material for the construction of the light curve.
A summary of all used observations from the last six decades is given in
Table 1
(CFHT = Canada France Hawaii Telescope,
INT = Isaac Newton Telescope,
WFS = wide-field survey).
is the total number of all single
exposures,
the number of epochs in the light curve where the quasar
has been measured. The last column gives the source of the photometric reduction:
(1) this work;
(2) Vilardell et al. (2006);
(3) Monet al al. (2003);
(4) Massey et al. (2006);
(5) Sharov et al. (1998).
Altogether, the light curve data pool contains more than 1 100
single observations from 15 telescopes.
Included are the B magnitudes published by Sharov et al. (1998)
for 84 epochs, by the Local Group Galaxies Survey (LGGS; Massey et al. 2006)
for 2 epochs, and by Vilardell et al. (2006) binned
here into 6 epochs.
For the other observations, the photometric reduction
was done in the frame of the present study.
We used the Source Extractor
package (Bertin 1996) for object selection, background correction,
and relative photometry, and the LGGS catalogue for the photometric calibration.
The reduction was performed under ESO MIDAS.
Because of the strongly inhomogeneous background across the disk of M 31
(Henze et al. 2008), the photometric calibration was done locally
on a
subimage around Sharov 21 where typically
calibration stars from the LGGS were identified. Note that
the magnitudes given by Sharov et al. (1998) have also been derived
from standard stars close to the target.
The blue magnitude for the Palomar POSS 1 plate (1953-10-09) is taken from
the USNO-B1.0 catalogue (Monet et al. 2003) whereas the magnitudes
given there for the POSS 2 plate do not agree with the impression from the
visual inspection of the images. We re-reduced the image cutouts from the
Digitized Sky Survey (DSS2) and derived
and
.
An early deep plate taken with the 1.2 m Samuel Oschin Telescope on 1948-09-29
is shown in the Hubble Atlas of Galaxies (Sandage 1961). The visual
inspection shows that Sharov 21 is detected with
.
With very few exceptions the observations were made through filters reproducing
the Johnson UBVR system.
About 80% of the data points in the light curve are from
observations in the B band.
From several pairs of observations, taken at nearly the same epoch
but with different filters, we derive relations between
colour indices and the B band magnitude. The results (Fig. 3)
are used to obtain B from observations in the other bands.
Because quasar variability is usually not achromatic (see Sect. 3),
such colour relations are more suitable than single-epoch colour indices.
Photographic magnitudes
from blue sensitive emulsions without filter
were transformed by
.
There are two basic limitations with regard to the final set of data. First, with B>20 for most of the time, Sharov 21 is too faint to be detected in every plate archive. A high fraction of observations yields therefore upper limits only. In other cases the detections are close to the plate limit resulting in relatively large photometric errors. Second, the epochs of the observations are not regularly distributed but show strong clustering. We stacked the images taken with the same telescope within typically several days to a few weeks applying a quality-weighting factor (Froebrich & Meusinger 2000) to obtain deeper images with improved signal-to-noise ratio. This procedure was not applied however for the outburst phase in 1992 where we are interested in a high temporal resolution.
The final light curve (Fig. 1) comprises magnitudes at 221 detection
epochs but still suffers from several gaps. In particular, no data are available
for the early rising phase of the outburst between March and August 1992. We checked
the Wide Field Plate Datebase
but found no entries for this time.
Also the search in the plate archives of the Baldone Schmidt telescope
(Alksnis et al. 1998)
and of the 100/300 cm Schmidt telescope of the Kvistaberg Observatory
revealed no observations of M 31 during that time.
![]() |
Figure 1: Long-term B light curve from the data summarized in Table 1 (symbols plus error bars; no photometric errors available for the data from Sharov et al. 1998). Dotted vertical lines: upper limits from images on which the object is not detected. For lucidity, only a small fraction of the upper limit data is shown. |
Open with DEXTER |
Table 2: Detection limits on plates taken before 1950.
It is useful to check also older historical observations of the Sharov 21
field which are not deep enough to detect the quasar in its faint stage but
would allow discovering a previous outburst.
Table 2 lists those observations from the
40/200 cm Bruce double-astrograph and the 72 cm Waltz reflector of
the Landessternwarte Heidelberg-Königstuhl (LHK) with
.
A reproduction of a plate taken in 1901 with the 24 inch reflector at Yerkes observatory
is shown by Hubble (1929); from the visual inspection we estimate
a detection threshold
.
Each of these observations excludes the
occurrence of a flare similar to that of 1992 for at least several tens
of days around their dates of exposure.
3 General properties of Sharov 21
In Sect. 3.4 below we demonstrate that the previous classification of Sharov 21 as a remarkable nova in M 31 has to be rejected. Our optical spectrum, presented below, clearly reveals the source to be a quasar. The most important properties of this quasar are summarized in Table 3. t1/2 is the time interval for the decline from maximum flux to half the maximum. Remarks: (1) position from LGGS; (2) ground state/maximum; (3) observer frame/quasar rest frame; (4) based on C IV line; (5) mean value for the ground state.
Table 3: Basic properties of Sharov 21 (remarks: see text).
3.1 Optical light curve and general remarks on variability
The light curve from the data discussed in Sect. 2 is shown in
Fig. 1.
Sharov et al. (1998) note that the quasar was ``nearly constant from 1969
through 1991 with
and returned to this value one or two years after
the outburst''. Compared with the original data from Sharov et al., we
(1) basically confirm their finding; (2) extend the covered time
interval by about one decade in each time direction; and (3) fill some broad gaps
(e.g., between the years 1984 and 1990 and between the beginning
of 1993 and 1994). Based on the better sampling of our data,
including the upper limits, the possibility of outbursts in intervals that
were not covered by observations is thus significantly reduced. Hence, we conclude
that the light curve can be divided into (a) the faint state
(with
),
which can be considered as the ground state, and (b) a single outburst, or flare,
lasting
2 yr (JD
)
where the quasar was 3.3 mag brighter in the maximum.
The flare (Fig. 2) shows a slightly asymmetric
profile with three phases:
(1) a gradual increase between JD
2 448 500 and 2 448 880
with a gap in the light curve between March and August 1992, followed by
(2) an abrupt rise to the maximum at
JD
2 448 918, and (3) a quasi-exponential decline to the ground state
at JD
2 449 300. The interpretation of the
outburst will be the subject of Sect. 4.
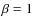
![]() |
Figure 2: The light curve in the outburst. Open symbols: uncertain data, dashed lines: upper limits, dotted horizontal line: ground state. |
Open with DEXTER |
To evaluate the variability in the ground state we compare Sharov 21
with quasars from the Tautenburg-Calar Alto Variability and Proper
Motion Survey (VPMS; Meusinger et al. 2002, 2003).
For Sharov 21 we have a B standard deviation
mag from the Tautenburg data
(0.26 mag from all data).
For the VPMS quasars with similar redshifts (
)
and
comparable (extinction-corrected) mean magnitudes
(
)
we have
mag in the VPMS field around M 3
(8 quasars) and 0.29 mag in the field around M 92 (6 quasars).
We conclude that the flux variability of Sharov 21, in its ground state,
is not unusually strong.
![]() |
Figure 3: Colour indices of Sharov 21 as a function of its B magnitude from quasi-simultaneous observations in both bands. |
Open with DEXTER |
Variations of the B band flux of Sharov 21 are correlated with colour changes.
The observed relations (Fig. 3) are qualitatively in
agreement with the typical properties of quasars. A hardening of the optical/UV
continuum during the bright phase is indicated by multi-frequency monitoring of
selected AGNs
(Cutri et al. 1985;
Edelson et al. 1990;
Paltani & Courvoisier 1994)
as well as by statistical studies of AGN ensemble variability
(Di Clemente et al. 1996;
Cristiani et al. 1997;
Trèvese et al. 2001;
Vanden Berk et al. 2004).
This trend has been confirmed also by multi-epoch spectroscopy of quasars from the Sloan
Digital Sky Survey (SDSS) where it was shown that the emission lines are considerably less
variable than the continuum, being stronger in the faint stage, relative to the continuum,
than in the bright phase (Wilhite et al. 2005).
For Sharov 21, the U band is dominated by the
strong Lyman /N V line (Fig. 5).
The contribution of the C IV line to the
flux in the B band is much smaller, and the other bands are nearly
pure continuum. The colour indices B-V and B-R are hence
expected to become bluer when the quasar becomes brighter, while
U-B becomes redder at the same time. Wilhite et al. present
the colour differences between the bright and the faint phase as a
function of redshift (their Fig. 14) indicating that
has a local minimum at
while
has a peak at the
same redshift. Sesar et al. (2007) found a similar result from the
multi-epoch photometric data of quasars in the SDSS stripe 82 with respect
to the g and r bands. In an ongoing study of quasar variability in the SDSS
stripe 82 (Meusinger et al., in preparation) we confirmed the relation shown
by Sesar et al. and derived corresponding relations for the other bands which are
in line with the results from Wilhite et al. (2005).
3.2 Position behind M 31
Figure 4 reveals that Sharov 21 is seen through the disk of M 31.
The ellipses represent the D25 isophotes of M 31, M 32, and NGC 205,
respectively, according to the RC3 (de Vaucouleurs et al. 1991).
For a distance of 750 kpc for M 31 (Vilardell et al 2006; their table 1),
an inclination angle
,
and a position angle of the major axis of
from the RC3, its projected distance from the centre of 26
(5.7 kpc) corresponds
to a galactocentric distance of R = 16 kpc in the midplane of M 31.
A radius of
30 kpc is a realistic assumption for the extent of the
bright disk (e.g.
Racine 1991;
Ferguson et al. 2002;
Irwin et al. 2005).
The ``Catalogue of Quasars and Active Galactic
Nuclei (12th Ed.)'' (Véron-Cetty & Véron 2006)
lists only three quasars within 100
from the centre of M 31.
However, Sharov 21 is, to our knowledge, the first quasar detected behind
the disk of M 31.
![]() |
Figure 4: Map of the known quasars in the M 31 field. Open squares: quasars from Véron-Cetty & Véron (2006), framed asterisk: Sharov 21. |
Open with DEXTER |
3.3 Foreground reddening
A foreground spiral galaxy is expected to produce a substantial
reddening of a background quasar (Östman et al. 2006).
The ``Galactic Dust Extinction
Service''
of the NASA/IPAC Infrared Science Archive,
which is based on the method pioneered by Schlegel et al. (1998),
provides
E(B-V)=0.20 mag for the position of
Sharov 21. Individual reddening values for a large set of
globular clusters in M 31 were derived by Barmby et al. (2000)
and Fan et al. (2008) yielding
mag
for the six clusters within 6
from Sharov 21.
The reddening of the quasar must be stronger since only a fraction of the
clusters is expected to be located behind the disk of M 31.
Finally, a simple model for the radial dependence of the extinction in M 31
derived by Hatano et al (1997) yields
AB = 0.68; i.e.,
E(B-V)=0.17 mag for the standard Milky Way extinction curve
(Savage & Mathis 1979), which seems to be valid also for M 31
(Barmby 2000). Here we adopt
E(B-V)=0.20 mag for the total
foreground reddening of Sharov 21.
3.4 Optical spectrum
The optical spectrum is shown in Fig. 5.
For comparison the composite spectrum of ``normal'' quasars from the
Sloan Digital Sky Survey (SDSS; Vanden Berk et al. 2001)
is plotted (thin smooth curve) shifted to the redshift of Sharov 21,
the spectra are normalized at
Å.
We derived a redshift of z=2.109 both from the fit of the SDSS composite
and directly from the wavelengths of the narrow components of the
Lyman
and N V lines.
Compared with the SDSS composite Sharov 21 has a redder continuum.
We de-reddened the spectrum for foreground (z=0) extinction adopting
the Milky Way extinction curve. Good agreement with the mean SDSS
quasar spectrum is found for
E(B-V) = 0.2 mag (Fig. 5,
bottom), which is perfectly in line with the reddening value from the
NASA/IPAC Infrared Science Archive (see above).
The de-reddened spectrum of Sharov 21 is that of a typical type 1 quasar.
There is no evidence of unusual spectral features indicating a peculiar
nature of Sharov 21. Compared with the SDSS composite the reddening
corrected spectrum shows a stronger Fe bump at
Å (observer frame) which points
towards a relatively high Eddington ratio (Dong et al. 2009).
The C III]
Å line appears slightly weaker,
but note that the line coincides with the Na I foreground
absorption at
Å. We notice further a weak
unidentified absorption line at the position of the
Å line.
![]() |
Figure 5: Observed ( top) and foreground extinction-corrected ( bottom) optical spectrum of Sharov 21 (observer frame), not corrected for telluric absorption. |
Open with DEXTER |
3.5 Other wavelength regimes
M 31 has been observed at radio wavelengths both as part of larger surveys and as the
focus of dedicated programmes (see e.g., Gelfand et al. 2004; their Table 1).
In no case, a radio counterpart was detected at the position of Sharov 21.
With a flux density limit of 0.15 mJy, the VLA survey by Braun (1990)
is the deepest one at 20 cm continuum (1.465 GHz). At lower radio frequencies
a deep survey of the M 31 field was performed by
Gelfand et al. (2004, 2005)
with the VLA yielding a flux density limit of 3 mJy at 325 MHz.
Within
from Sharov 21, the 325 MHz catalogue
lists the sources GLG 043, 045, 050, and 051.
However, with d>1
all four radio sources are obviously
not related to Sharov 21.
The non-detection in the Braun survey implies an
upper limit for the radio-loudness parameter R,
i.e. the ratio of the 5 GHz radio flux density to the 2500 Å optical
flux density in the quasar rest frame (Stocke et al. 1992),
log
for a radio spectral index
and
log
for
.
With the threshold
log
for radio-loud AGNs (e.g., White et al. 2000)
Sharov 21 is not a radio-loud flat-spectrum quasar.
We re-analysed the archival XMM-Newton and ROSAT data. For computing fluxes from instrument
dependent count rates, we used an absorbed power-law model with a generic photon index of
1.7 (see also Pietsch et al. 2005a). We adopted the foreground
extinction of
E(B-V)=0.20 mag, derived form the optical data, which
translates to a
of
cm-2
following Predehl et al. (1995). Based on this spectral model, we
used the source count rates given by Pietsch et al. (2005a) for
[PFH2005] 601 in the XMM-Newton observation 0151580401 (2003-02-06) to estimate
an unabsorbed flux of (
)
10-14 erg s-1 cm-2
in the (0.2-10.0) keV band and the monochromatic flux
Jy
at
Hz.
The ROSAT data of the Sharov 21 field consists of 12 observations with the
Position Sensitive Proportional Counter (PSPC) and 3 observations with the High Resolution
Imager (HRI). The data analysis was done under ESO MIDAS within the EXSAS context. We
performed source detection around the position of Sharov 21 on the original event files
and computed count rates and 3
upper limits for all observations. There is just
one 3
detection of an X-ray source in the data set, identical with [SHL2001] 306,
which is supplemented by upper limits for the rest of the observations. The flux estimated
from the detection is consistent, within the errors, with the XMM-Newton data. Although
the ROSAT observations were performed around JD 2 449 000, i.e. during the decline of the UV
flare, no significant X-ray variability is detected. Note however, that the only ROSAT
detection is a very faint off-axis PSPC detection and due to the large positional error
circle of this instrument we can not assume a doubtless correlation with [PFH2005] 601.
![]() |
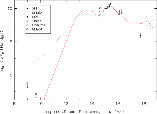
Figure 6:
SED of Sharov 21 in the restframe (open symbols with downward arrows: upper limits).
For comparison the mean SED (Elvis et al. 1994) is shown
for radio-quiet (solid) and radio-loud quasars (dotted),
normalized at |
Open with DEXTER |
We also checked images from the Deep Imaging Survey with the Galaxy Evolution Explorer
(GALEX) in the near ultraviolet (
Å) and in the far
ultraviolet (
Å), but no counterpart could be
identified within a radius of
5
.
For detections in the near infrared we searched
in the 2MASS catalogue (Skrutskie et al. 2006), again without a
clear-cut identification of a counterpart. From simple
statistics of the sources around the position of Sharov 21 a flux limit of
1
Jy is estimated for the ultraviolet bands and of 0.25 mJy in the K band.
In Fig. 6 we compare the extinction-corrected
broad band spectral energy distribution (SED)
of Sharov 21 with the mean SED for normal, nonblazar quasars from Elvis et al.
(1994).
3.6 Black hole mass and Eddington ratio
The black hole mass is estimated from the C IV line width as a measure of proxy for the velocity dispersion of the broad emission line gas in combination with a radius-luminosity (R-L) relationship for the emission region. Significant progress has been achieved over the last years with the calibration of the R-L relation (Vestergaard 2002, 2009; Corbett et al. 2003; Warner et al. 2003; Peterson et al. 2004; Vestergaard & Peterson 2006).
We use equation (8) from Vestergaard & Peterson (2006)
which is based on the line dispersion
and the monochromatic continuum luminosity
at 1 350 Å.
Following the method outlined by Peterson et al. (2004) and
Vestergaard & Peterson (2006) we obtain
km s-1.
The luminosity of the continuum at
Å (restframe) is derived from
the extinction-corrected mean B band flux in the ground state after
correction for the contribution from the emission lines (
%)
and assuming a standard power-law continuum
with
.
We find
erg s-1
which finally yields a black hole mass of
.
Vestergaard & Peterson (2006) give
a standard deviation of
dex for the scaling relation.
Allowing further for the uncertainties of
the line width and of the continuum luminosity, the total uncertainty
of
is roughly a factor of 3.
Adopting the bolometric correction
from Richards et al. (2006; their Fig. 12), the
monochromatic luminosity from above corresponds to
erg s
and to an Eddington ratio
for the ground state.
The overwhelming majority of SDSS quasars with
radiate at between 10% and 100% of their Eddington luminosity
(see Vestergaard 2009) with a narrow
interval at high luminosities (Kollmeier et al. 2006;
Shen et al. 2008; Onken and Kollmeier 2008).
According to Onken and Kollmeier, quasars with
and
are characterized by
whereas
is smaller and shows a broader distribution for low-luminosity AGNs.
Gavignaud et al. (2008) find
over the interval
.
As can be seen from their Fig. 4, a value of
is relatively high but not unusual for
quasars of the redshift and luminosity of Sharov 21. However,
in the maximum of the outburst, where the B band flux is a factor of
20 higher, the luminosity of Sharov 21 corresponds to a highly
super-Eddington regime.
It has been questioned for a couple of reasons whether the mass estimates from scaling relations over-predict the black hole masses by about an order of magnitude. For arguments in favour of the mass estimates we refer to the discussion by Vestergaard (2004). In addition we note that a significantly lower black hole mass would require an unusually high Eddington ratio for Sharov 21.
4 The outburst
4.1 Sharov 21-like UV flares are rare
UV Flux variations by one or a few magnitudes are observed both in low-luminosity
AGNs like NGC 5548 (Ulrich et al. 1997, and references therein)
or in blazars (Sect. 4.4).
Contrary to the burst of Sharov 21, the B band flux of high redshift
radio-quiet quasars typically varies by a few tenths of a magnitude
as is observed in the ground state of Sharov 21.
The second remarkable difference is the fact that the strong activity of
our quasar is limited to a short time interval of 1 year (observer frame).
During the remaining
47 yr covered by the light curve (i.e., the ground state),
the mean flux variation is a factor of
16 smaller than the
maximum fluctuation in the outburst. In contrast, both strongly variable
low-luminosity AGNs like NGC 5548 and optically violently variable (OVV)
quasars show a more or less steady up and down variation.
![]() |
Figure 7:
Comparison of the variability of Sharov 21 with the VPMS quasars.
Top: maximum fluctuation
|
Open with DEXTER |
To get an idea how usual or unusual the outburst of Sharov 21 is,
we first consider the light curves of the quasars from the Variability and
Proper Motion Survey (VPMS;
Meusinger et al. 2002, 2003).
The time baseline of the observations is nearly the same
(from 1960 to 2008) as for Sharov 21, the numbers of observations
per quasar are however much lower, typically
50. The VPMS
quasar sample is highly complete down to
.
Among the 321 AGNs
in the VPMS there are 10 AGNs with maximum fluctuations
mag. For the majority
of them (80%), the variability
is characterized by a more or less monotonic variation over the time
baseline. Only for two AGNs the maximum fluctuations
can be attributed to burst-like features. One is the strongly variable
object CC Boo, a Seyfert galaxy at z=0.17 (Margon and Deutsch 1997),
the other one is a radio-quiet quasar at z = 1.08.
However, with
mag and 2.50 mag, respectively,
the burst amplitudes are considerably smaller than for Sharov 21 and
there are strong fluctuations also in other parts of the light curves.
In Fig. 7 we compare variability properties of
Sharov 21 with those of the VPMS quasars. The top panel shows the
maximum fluctuation amplitude versus standard deviation of the B magnitudes
in the ground state for Sharov 21, compared with 98 VPMS quasars
of comparable redshifts (
). As we cannot reasonably
distinguish between a ground state and a higher state for the majority
of the quasars we simply use the standard deviation of all data in the
light curve as a proxy. (A natural consequence is the increase of
with the maximum amplitude.) The light curves of the two strongly variably
VPMS quasars marked by open squares in Fig. 7
are clearly dominated by smooth long-term variations over decades.
A popular statistical tool for the investigation of quasar variability
is the first order structure function
(e.g., Simonetti et al. 1985;
Kawaguchi et al. 1998)
where
is the time-lag between two observations in the quasar
restframe and the angular brackets denote the time-average.
The structure function represents a sort of running
variance (as a function of the time-lag) and contains therewith
information about the time scales of the involved variability
processes. The most important conclusion from Fig. 7 is
that the flare of Sharov 21 is singular and without comparison
in the long-term variability data of the VPMS quasar sample.
Excellent data for the statistical study of quasar variability has been provided
from stripe 82 of the Sloan Digital Sky Survey (SDSS)
for 104 quasars in five colour bands over
7 years
(e.g., Sesar et al. 2007).
Using the SDSS quasar catalogue (Schneider et al. 2007)
we identified 8311 quasars in the Light and Motion Curve Catalogue
(LMCC; Bramich et al. 2008) from
249 square degrees
of the SDSS stripe 82. No high-redshift quasars with z>2
were found with amplitudes in the
u and g bands >1.5 mag. Allowing for the whole redshift range,
the two SDSS quasars with the highest amplitudes in the g band are
SDSS J001130.0+005751.8 (z = 1.49) and
SDSS J211817.37+001316.8 (z = 0.46)
with
and 2.7 mag, respectively.
Both are bright polarized flat-spectrum radio sources
(Jackson et al. 2007; Sowards-Emmerd et al. 2005)
and their variability is hence characterized by blazar activity
(Sect. 4.4). Interestingly, both
show (1) a trend of reddening when they become brighter
and (2) a trend of increasing intrinsic variability
(for definition see Sesar et al. 2007) with increasing wavelength.
Such a behaviour is opposite to typical radio-quiet quasars and also
to Sharov 21 (Sect. 3.1).
Results from the Palomar-QUEST Survey were recently presented by
Bauer et al. (2009). 3 113 objects were identified in
7 200 square degrees with fluctuation amplitudes >0.4 mag on time scales up to
3.5 yr. There are only a few objects showing maximum amplitudes
>2 mag up to 3.7 mag; all of them are blazars. Nearly all of the 14 800
spectroscopically identified quasars in the data base
have jumps <1 mag; the highest value is 1.8 mag.
4.2 A microlensing event?
As the flare of Sharov 21 appears to be a singular feature in the long light curve, it is tempting to speculate that it originates from a rare event. Here we first discuss microlensing.
Chang and Refsdal (1979) first suggested that the flux of a (macrolensed) quasar can be affected by a star crossing close to the line of sight with time scales of the order of a few months to several years. On the observational side, quasar microlensing was first identified by Irwin et al. (1989). Since then, considerable progress has been made in microlensing simulations, and observations of significant microlensing have been reported in a number of systems (e.g., Pelt et al 1998; Koopmans et al. 2000; Chae et al. 2001; Wisotzki et al. 2003, 2004; Chartas et al. 2004; Eigenbrod et al. 2006; Paraficz 2006; Sluse et al. 2007).
![]() |
Figure 8:
The crowded field towards Sharov 21 on the
10
|
Open with DEXTER |
Sharov 21 is seen through M 31, the high star density close to the
line of sight is illustrated by Fig. 8.
The quasar is the brightest, slightly elongated object in the centre,
all other objects are most likely stars in M 31. Note also that the
quasar appears slightly elongated which points towards an object at a distance
0
5. Unfortunately, there are no archival
Hubble Space Telescope observations of the field. Extensive imaging was performed
with the WFPC2 in 2008 to create an accurate map of M 31 microlensing
(PI: A. Crotts) where Sharov 21 is, however, several
arcseconds out of the field. A deep image of the field
was taken with Subprime-Cam at the 8 m Subaru telescope in 2004, but
the quasar lies exactly in the gap between the two adjacent fields 6 and 7.
From the M 31 mass model (Geehan et al. 2006)
we estimate a stellar column density of
pc-2towards the quasar. This value is
smaller than the critical
surface density
with
and
,
where
and
are the angular distances of the source and the lense,
respectively, G is the gravitational constant.
The optical depth, i.e. the probability for the quasar to fall into the Einstein
radius of a star in M 31, is
.
In the case of quasar microlensing by stars in a foreground galaxy with
high optical depth the lenses do not act individually and the
light curve is complex. For low optical depth (
),
however, microlensing can be studied in the single-star approximation
(Paczynski 1986), which is applied here. More precisely,
the assumptions are made that both the
lens and the source are point-like and that the relative motion of the lens is
linear. Then the light curve is given by the magnification
where u(t) is the angular distance between source and lens in units of the Einstein angle













The transverse velocity is determined by the motion of the lens in M 31,
the proper motion of M 31 with respect to the barycentre of the Local Group (LG),
the motion of the Sun around the Galactic centre, the motion of the Galaxy
around the Local Group barycentre, and the motion of the LG relative
to the cosmic microwave background (CMB). Since the first two effects are poorly
constrained, we consider here for simplicity only the velocity of the
LG with respect to the CMB. With
km s-1 towards
(Loeb & Narayan 2008) we have
km s-1.
![]() |
Figure 9:
Light curve |
Open with DEXTER |
For the simplifying assumption that all lenses have the same mass and velocity,
the Einstein radius crossing time
is constant and the event rate for quasar microlensing is estimated by
(e.g., Mao 2008),
where
is the number
of quasars. Given
20 quasars with B < 20 per square degree
and a surface area of
2 square degrees within the 25 mag isophote
of M 31, we have
and
per century.
Hence, the discovery of a microlensed, faint quasar behind M 31 over an interval
of half a century is not unlikely.
When the tranverse velocity and the distances are fixed,
the maximum amplification is determined by the impact parameter
and the time scale
is determined by
.
For
km s-1 the
light curve is best fitted with
and
(Fig. 9, top). A higher velocity requires a higher stellar
mass. The fit is not perfect because the observed light curve shows
a weak but clearly indicated asymmetry (Fig. 2)
which hints on deviations from the single-lens hypothesis.
Therefore we add a second lens which moves with the same
but
crosses the line of sight
180 days earlier. For simplicity, each component is
treated as a single star, the light curve is computed via the multiplicative
magnification approximation (Vietri & Ostriker 1983)
.
A good fit to the shoulder in the light curve
between 400 and 50 days before the maximum is achieved for
if
km s-1 and
if
km s-1, respectively, with
in both cases
(Fig. 9).
The projected linear separation of the two lenses is
35 AU. Both the
mass ratio and the separation are not atypical of a binary star.
Although microlensing by stars in M 31 appears to be a plausible explanation
for the flare of Sharov 21, there are serious objections.
First, the probability for magnification as strong as in Sharov 21 is
very low. With regard to his model with
,
Paczynski (1986) points out
that ``appreciable increases in intensity are there once per millennium ...
there is not much hope in detecting intensity changes due to microlensing
at such low optical depth''.
Second, colour index variations are expected in the case
of quasar microlensing (Wambsganss & Paczynski 1991;
Yonehara et al. 2008) if the source appears extended.
For the point source-point lens constellation, however, an
achromatic light curve is expected. Here, the source
can be considered point-like, but B-R was considerably smaller in the
flare compared to the faint state (Fig. 3).
Third, as the angular separation of the two lenses is
,
the magnification pattern is expected to be more complex then for the
single-star approximation. Detailed modelling with a more consistent treatment
of the binary lens problem is clearly necessary but is beyond the scope of
the present paper. It will be particularly interesting to see if such models
find a natural interpretation for the steep rise of the flux before the peak.
4.3 A stellar tidal disruption event?
An alternative process which is rare and produces a strong UV/X-ray flare
is the disruption of a star by the strong tidal forces of a massive black hole
(Lidskii & Ozernoi 1979; Rees 1988, 1990).
Tidal disruption events (TDEs) were discussed so far mainly in the context of
dormant black holes in non-AGN galaxies or in low-luminosity AGNs
(e.g., Phinney 1989; Rees 1990)
and, more recently, of recoiling black holes
(Komossa & Meritt 2008). At least a fraction of low-luminosity AGNs
appears to be powered by stellar tidal disruptions
(Komossa et al. 2004;
Milosavljevic et al. 2006). For high-luminosity AGNs
the situation is more complicated. TDEs are expected to be
rare for black hole masses higher than a critical mass
where the
gravitation (Schwarzschild) radius,
,
exceeds the tidal disruption
radius of solar mass stars so that such stars are swallowed whole without disruption
(Hills 1975; see also Chen et al. 2008;
Gezari et al. 2008). On the other hand,
it seems possible that a massive, self-gravitating accretion disk
brings more stars into loss-cone orbits and enhances therefore the tidal
disruption rate (Syer et al. 1991; Donley et al. 2002).
Until now, about a dozen TDE candidates in non-AGN galaxies have been found
from X-ray surveys
(Komossa 2002;
Komossa et al. 2009;
Esquej 2007, 2008;
Cappelluti et al. 2009) and also in the UV/Optical
(Renzini et al. 1995;
Gezari et al. 2006, 2008).
None of the events detected so far were found to be related to a high-luminosity AGN.
Such a detection would be interesting because it provides an opportunity
to check the basic tidal disruption theory as their predictions generally depend on
which can be estimated independently in this case.
However, as noted by Gezari et al. (2008), the existence of various
mechanisms for the UV variability of quasars makes the interpretation of a UV
flare subject to careful analysis. In particular it is necessary to make sure
that the observed flare is not just a more or less usual feature in a strongly
variable light curve.
The theoretical frame for the interpretation of TDEs has been set with the pioneering work by
Hills (1975),
Lacy et al. (1982),
Rees (1988),
Phinney et al. (1989),
Evans & Kochanek (1989),
and more recently by, among others,
Magorrian & Tremaine (1999),
Ulmer (1999),
Ayal et al. (2000),
Ivanov & Novikov (2001),
Menou & Quataert (2001),
Li et al. (2002),
Bogdanovic et al. (2004),
Wang & Merritt (2004),
Chen et al. (2008),
Lodato et al. (2008).
We start with a short summary of the basic theory.
A star of mass
and radius
,
originally in hydrostatic
equilibrium and on a parabolic orbit, passing at the time
within the tidal disruption radius
of the black hole will be torn apart by the tidal forces. The change in the black hole potential over the star will produce a spread in the specific energy of the gas. After the encounter, the gas particles will have a considerably widened energy distribution. Following Rees (1988), about half of the mass has negative energy and is thus gravitationally bound to the black hole, the other half is unbound and will be ejected from the system. The bound elements move in highly excentric elliptical orbits of the size







This scenario implicates two important conclusions for the light curve. First, if the energy distribution is uniform the mass return rate is determined by the relation between energy and period of the orbit

![]() |
(4) |
where


As another consequence, the time
the most-tightly bound material needs to fall back to
is directly related to the mass of the black hole
with



![]() |
Figure 10:
Stellar radius
|
Open with DEXTER |
In what follows, we shall check whether the total energy in the outburst of the Sharov 21
light curve, the decline of the outburst, and the time scales are consistent with the
TDE scenario. The energy release in the flare is related to the mass of the star,
![]() |
(6) |
where
















With
,
and
fixed, the stellar radius is
constrained by Eq. (3) for a given black hole mass
.
In Fig. 10 (top), the resulting
combinations
are compared with the stellar models from Salasnich et al.
(2000).
For
we find
and
which excludes main-sequence stars but not giants. For such giants, the tidal
radius is clearly out of the gravitation radius,
,
of the black hole (Fig. 10, middle), whereas main-sequence stars
of this mass range are again excluded as
.
![]() |
Figure 11:
Top: linear regression of the decline from the maximum in
the double-logarithmic presentation of the light curve in the
quasar restframe for the
|
Open with DEXTER |
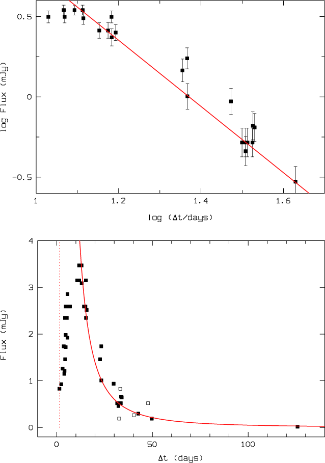
In order to check whether the decline from the maximum follows the
`standard'
-law we perform linear regressions of
log
as a function of log
(Fig. 11).
Whereas the onset of the flare at t0 is defined by the
strong increase in the light curve at JD
,
the beginning of the
tidal disruption,
,
has to be considered as a free parameter.
The resulting slope
depends on
with
(days).
The observed light curve is reasonably fitted by a power law with
for
days and
is shallower at the beginning of the burst, as predicted by Lodato et al.
(2008).
The bottom panel of Fig. 10 shows the fallback time
as a function of
for different values of the penetration factor
.
Note that
from Eq. (5)
is independent of
because
for given
(Eq. (3)).
The short observed return time requires
for
.
With
for
and
,
the fundamental condition
is matched for
.
Guillochon et al. (2009) present highly resolved three-dimensional
simulations of a tidally disrupted
solar-type star approaching a
black hole with
,
i.e.
.
Their results deviate from the case
used in previous simulations. In particular, the simulated light curve shows
a phase of smooth increase before the abrupt rise to the maximum, which is
qualitatively in agreement with the behaviour of Sharov 21
(Fig. 2).
The TDE scenario for the flare of Sharov 21 is supported by
(1) total energy in the outburst,
(2) the shape of the light curve, and
(3) the time scale of the event.
However, it must be noticed that the standard TDE theory refers
to inactive black holes. The presence of a massive, self-gravitating accretion
disk is expected to have a significant effect on the dynamics of the stellar
tidal debris. Moreover, the description of the stellar orbit
for an encounter with the pericentre at only a few
requires a fully general-relativistic treatment which is, however, beyond the
scope of this paper.
One may argue that the probability for the
capture of a
giant star by a supermassive black hole
is very low. Though this is certainly true, we emphasize that Sharov 21-like quasar
flares are obviously extremely rare. Moreover it is worth mentioning
(1) the high star formation rates and
(2) the high fraction of massive stars in quasar host galaxies.
It has been suggested for a long time that a luminous AGN phase is
accompanied with or follows after an intense starburst,
especially when both kinds of activity are induced by a galaxy merger
(e.g., Sanders et al. 1988;
Granato et al. 2004;
Springel et al. 2005).
Lutz et al. (2008) derived strong evidence of the presence of intense star
formation (up to
yr-1) from Spitzer PAH
detections in 12 type 1 quasar host galaxies at
.
Also from Spitzer IRS
observations, Shi et al. (2009) derived star formation rates on the
level of luminous infrared galaxies (
yr-1)
for a complete sample of 57 type-1 quasar hosts at
.
This high star formation activity appears to be concentrated in the circumnuclear
region. In nearby Seyfert galaxies nuclear starbursts have been observed within <100 pc
from the AGN (e.g., Davies et al. 2007; Watabe et al.
2008). It is likely that more luminous AGNs are accompanied by more
luminous starbursts (Kawakatu & Wada 2008).
The `radius of influence' of the black hole is
,
where
is the velocity dispersion
of the surrounding stellar population. The
-
relation from
Merritt & Ferrarese (2001) yields
pc for
.
The typical distance a
giant can travel with a velocity
during its lifetime is
1 kpc.
(Note that the
-
relationship is not a strong
function of redshift up to
;
Shields et al. 2003.)
Moreover, the central region of a galaxy provides a peculiar environment for star formation as is indicated by the high number of supergiants in our Galactic centre (e.g., Krabbe et al. 1991; Najarro et al. 1994; Martins et al. 2007; Mauerhahn et al. 2007) with nearly a hundred massive stars within the central parsec. Strong tidal forces, mass segregation, and other peculiar conditions may result in a relatively high Jeans mass for collapsing cloud cores (Morris & Serabyn 1996) and in a top-heavy initial mass function (Figer et al. 2002; Paumard et al. 2006; Bartko et al. 2009).
Gopal-Krishna et al. (2008) argue that the gas from TDEs may be a major
factor for the abortion of radio jets in quasars. If the radio loudness is
related to
,
as seems to be indicated by observations, the
radio-loudness dichotomy can be explained by the existence of a critical
black hole mass for the tidal disruption of solar type stars. As noted by these
authors, the tidal disruption of giant stars is then required to explain the
association of a few radio-quiet quasars with black holes of high masses.
4.4 Other interpretations
In the pioneering work of Cannon et al. (1968, 1971),
the class of quasars with variability amplitudes of the order of one magnitude and
with often rapid fluctuations were called optically violently variables (OVVs).
OVV AGNs are all radio-loud and their strong variability is believed
to be due to relativistic beaming (Gaskell & Klimek 2003, and
references therein). According to the current zoology of AGN types, OVVs
constitute a subtype of blazars, i.e. of jet-dominated active galaxies viewed
close (
)
to the axis of a relativistic jet
(Urry & Padovani 1995). Viewing the jet almost directly head-on
results in a great magnification of variations in the flux from the jet.
Blazars vary dramatically on a wide range of time scales from hours to years.
In this context, the colour dependence of the variability found for the two
strongest variable OVV quasars from the SDSS S82 (Sect. 4.1) can
be easily understood assuming that the spectral energy distribution is dominated
by the synchrotron peak in the radio and infrared. This is the case for
low-peaked BL Lac objects and is typical also for flat-spectrum radio quasars:
When the synchrotron emission from the jet makes a significant contribution
which increases with wavelength,
the optical spectrum becomes redder when the jet is brighter and the variability
is stronger at longer wavelengths.
Here we argue that Sharov 21 is not an OVV quasar in the ``classical'' sense:
(1) The strong flux variation is limited to one single event,
there is no evidence of strong variability on a wide range of time scales.
(2) The spectral behaviour of the variability is typical of
radio-quiet quasars (Sect. 4.1).
(3) Sharov 21 is not radio-loud.
Variability of non-blazar AGNs has been attributed to various processes like oscillations in the accretion flow (Igumenshchev & Abramovicz 1999) or in the jet (Hughes et al. 1998). Both models produce quasi-periodic features in the light curve where the maxima have approximately the same widths as the intervals in between, which is contrary to what we see in Sharov 21. Avalanche flows in the accretion disk provide another explanation (Tekeuchi et al. 1995). The profile of a single flare in simulated light curves (Kawaguchi et al. 1998) is characterized by a gradual increase in brightness followed by a sudden decline. It is not clear whether the rapid increase to the maximum can be explained by such a model.
An alternative explanation of AGN variability is based on the superposition of
uncorrelated events such as supernova explosions (Terlevich 1992),
star collisions (Courvoisier et al. 1996;
Torricelli-Ciamponi et al. 2000), or colliding clumps in a
clumpy accretion flow (Courvoisier & Türler 2005).
First, we compare the energy in the flare of Sharov 21 with the radiated energy
of supernovae. SN 2006gy has been considered the most luminous supernova with a
total radiated energy
erg
(Smith et al. 2007; Ofek et al. 2007).
For the flare of Sharov 21 we estimate
erg,
dependent on the spectral energy distribution, hence
.
It was the aim of the collision scenario to explain both the ultraviolet
emission and its variability. As a modified version, such events could be
rare and contribute flares to a continuum source the emission and variability
of which are dominated by other processes.
In fact, the star collision scenario is distantly related to
the TDE model. The maximum amplitudes of the flares in the light curves
presented by Torricelli-Ciamponi et al. are much too low compared to
Sharov 21. However it remains to be tested if the model parameters
can be adjusted to fit our light curve.
In another class of models strong flares are explained by processes in binary black
holes. Lehto & Valtonen (1996) suggest a model where they
associate the quasi-periodic outbursts of the OVV quasar OJ 287 to the times when
the secondary crosses the accretion disk of the primary black hole. When
this happens the secondary pierces a channel through the disk, the gas is heated
in the channel, flows out, and radiates strongly. The model was demonstrated to be
successful for OJ 287 (Valtonen et al. 2008). Other models attribute
radiative outbursts to the tidal perturbation of the accretion flow due to
the secondary (Sillanpää et al. 1988), or the
sweeping of a processing relativistic beam across the line of sight, in analogy
to SS 433 (Katz 1997; Liu & Chen 2007).
OJ 287 is the best-studied quasar with a quasi-periodicity in the light curve.
Its outbursts come in 12 yr intervals corresponding to 9 yr in the restframe.
Our light curve covers, in the restframe, only 10 yr
before the outburst and
5 yr after.
If orbital time scales longer than about one decade are
not atypical of supermassive black hole
binaries, it cannot be excluded that the flare of Sharov 21 is related to such a
process. It would be important to
find more historical observations in plate archives which yield
an extension of the light curve further back. This however is much more difficult than
for OJ 287 which is
5 mag brighter than Sharov 21.
Finally, we briefly mention the possibility that the quasar was by chance superposed by a nova in M 31. This hypothesis was tested already by Sharov et al. (1998). From the measurement of the position before, during, and after the flare they find that the derived coordinates are in excellent agreement with each other and conclude that the flaring object is ``coincident with the star that was visible at its place in 1982-1997''.
5 Summary and conclusions
Sharov 21, originally discovered by Nedialkov et al. (1996),
was previously classified as a remarkable nova in M 31 (Sharov et al.
1998). Here we have shown that it is a
typical type 1 quasar at z = 2.109
seen through the disk of M 31 and showing an exceptionally strong UV flare.
We created a significantly improved long-term light curve based on
archival data, data from the literature, and targetted new observations.
Compared to the original data given by Sharov et al.,
the new light curve has a 20 yr longer baseline and a better sampling.
Altogether, more than 103 single exposures from 15 wide field telescopes
are included resulting
in detections at 221 epochs from 1948 to 2009, with a relatively good
time coverage after 1961. The data material is completed by a large
number of observations without detection of the quasar but with useful upper
brightness limits for the time interval from 1900 to 2009.
Based on this data, we subdivide the light curve in two phases:
a rather quiet ground state with
for at least 98% of the time and a strong outburst in 1992 with an increase
of the UV flux by a factor
20.The variability in the ground state does
not significantly differ from that of other radio-quiet quasars of comparable
redshift and luminosity. A black hole mass of
is estimated
from the C IV line,
corresponding to an Eddington
ratio of
0.6 for the ground state.
By the comparison with
8000 quasars in the stripe 82 of the
SDSS on a 7 yr-baseline (Bramich et al. 2008)
and more than 300 VPMS quasars (Meusinger et al. 2002,
2003) with light curves having a time-baseline comparable to Sharov 21
we have demonstrated that the strong UV flare of Sharov 21
is very unusual for radio-quiet high-redshift quasars.
We conclude that such a rare feature
is the result of a rare event. As such
we suggest two scenarios: (1) gravitational microlensing due
to a star in M 31 and (2) a tidal disruption event (TDE) of a star close
to the supermassive black hole of the quasar.
In the TDE scenario, the total energy in the outburst can be explained by
the disruption of a
giant star if we ``optimistically''
assume that half of the disrupted star is accreted to the
black hole and
20% of the accreted energy can be radiated away.
The flare profile shows a sudden increase to the maximum followed
by a decline which is reasonably fitted by the
power law
predicted by the standard TDE model. The short time span between the
beginning of the tidal disruption and the beginning of the flare,
days, requires an ultra-close encounter
with
corresponding to a stellar orbit with the pericentre
at only a few
.
The present study has not taken
general-relativistic effects into account. Moreover, it is unclear how the
TDE scenario is affected by the presence of a massive accretion disk.
Microlensing by a star in M 31 is a plausible alternative explanation.
Though the detection of a microlensed quasar behind M 31 over
half a century is not unlikely, high-amplification events
corresponding to the flare of Sharov 21 are very rare.
We apply the point source-point lens approximation to model the light curve.
Assuming a transverse velocity of 300 km s-1, an acceptable fit
is achieved for a low-mass binary with
and
.
The observed light curve of Sharov 21 is roughly fitted by either of the two
scenarios, but more detailed modelling is necessary to decide if the flare
can be reproduced accurately.
Finally, we cannot exclude that the flare is part of a quasi-periodic
activity similar to OJ 287 (Valtonen et al. 2008) on an intrinsic
time scale of
10 yr.
The remarkable quasar Sharov 21 obviously merits further efforts, both for the
completion of the light curve and for its modelling.
Finally, we notice that there is an interesting application of Sharov 21-like flares. Projects like PTF, Pan-STARRS, and LSST will probably discover several such events. Due to their enormous luminosity and long time scale in the observer frame, such flares can provide background light sources for intervening matter and create thus interesting opportunities for high-resolution spectroscopy of matter at large distances. This argument has been presented by Quimby et al. (2009) in the context of the brightest supernovae from the PTF but holds even more for quasar flares comparable to that one of Sharov 21.
AcknowledgementsThe anonymous referee is greatly acknowledged for his constructive criticism which helped to improve the paper. We thank S. Komossa for helpful comments on an earlier draft version of this paper and A. Kann, S. Klose, M. Röder, S. Schulze, and B. Stecklum for contributing observations with the Tautenburg Schmidt CCD camera. We are grateful to M. Demleitner, Astronomisches Rechen-Institut, Heidelberg, for installing and managing the HDAP data base as part of GAVO, to G. Langer and L. Siegwald, LSW HD, for scanning the Heidelberg and Calar Alto plates, and to O. Stahl, LSW HD, for manifold support, particularly with data handling. The HDAP project is financed by the Klaus Tschira Foundation, Heidelberg under contract no. 00.071.2005. The Tautenburg plate scanner was financially supported by the Deutsche Forschungsgesellschaft under grants Me1350/3 and Me1350/8. M.H. acknowledges support from the BMWI/DLR, FKZ 50 OR 0405. This research draws upon data provided by Philip Massey as distributed by the NOAO Science Archive. NOAO is operated by the Association of Universities for Research in Astronomy (AURA), Inc. under a cooperative agreement with the National Science Foundation. We make also use of data obtained from the Isaac Newton Group Archive which is maintained as part of the CASU Astronomical Data Centre at the Institute of Astronomy, Cambridge, and used observations taken with the Canada-France-Hawaii Telescope (CFHT) which is operated by the National Research Council of Canada, the Institut National des Sciences de l'Univers of the Centre National de la Recherche Scientifique of France, and the University of Hawaii. Some of the data presented in this paper were obtained from the Multimission Archive at the Space Telescope Science Institute (MAST). STScI is operated by the Association of Universities for Research in Astronomy, Inc., under NASA contract NAS5-26555. Support for MAST for non-HST data is provided by the NASA Office of Space Science via grant NAG5-7584 and by other grants and contracts.
References
- Abramovicz, M. A., Szuszkiewicz, E., & Wallinder, F. 1989, in Theory of Accretion Discs, ed. F. Meyer, W. J. Duschl, J. Frank & E. Meyer-Hofmeister (London: Kluwer Academic Publications), 141 [Google Scholar]
- Alksnis, A., Balklavs, A., Eglitis, I., & Paupers, O. 1998, Baltic Astron., 7, 653 [NASA ADS] [Google Scholar]
- Ayal, S., Livio, M., & Piran, T. 2000, ApJ, 545, 772 [NASA ADS] [CrossRef] [Google Scholar]
- Barbieri, C., Omizzolo, A., & Rampazzi, F. 2003, Mem. S.A.It., 74, 430 [NASA ADS] [Google Scholar]
- Barmby, P., Huchra, J., Brodie, J., et al. 2000, AJ, 119, 727 [NASA ADS] [CrossRef] [Google Scholar]
- Bartko, H., Martins, F., Trippe, S., et al. 2010, ApJ, 708, 834 [NASA ADS] [CrossRef] [Google Scholar]
- Bauer, A., Baltay, C., Coppi, P., et al. 2009, ApJ, 705, 46 [NASA ADS] [CrossRef] [Google Scholar]
- Bertin, E., & Arnouts, S. 1996, A&AS 117, 393 [NASA ADS] [CrossRef] [EDP Sciences] [Google Scholar]
- Bogdanovic, T., Eracleous, M., Mahadevan, S., et al. 2004, ApJ, 610, 707 [NASA ADS] [CrossRef] [Google Scholar]
- Bramich, D. M., Vidrih, S., Wyrzykowski, L., et al. 2008, MNRAS, 386, 887 [NASA ADS] [CrossRef] [Google Scholar]
- Braun, R. 1990, ApJS, 72, 761 [NASA ADS] [CrossRef] [Google Scholar]
- Brunzendorf, J., & Meusinger, H. 1999, A&AS, 139, 141 [Google Scholar]
- Cannon, R. D., Penston, M. V., & Penston, M. J. 1968, Nature, 217, 340 [NASA ADS] [CrossRef] [Google Scholar]
- Cannon, R. D., Penston, M. V., & Brett, R. A. 1971, MNRAS, 152, 79 [NASA ADS] [Google Scholar]
- Cappelluti, N., Ajello, M., Rebusco, P., et al. 2009, A&A, 495, L9 [Google Scholar]
- Chae, K. H., Turnshek, D. A., Schulte-Ladbeck, R. E., et al. 2001, ApJ, 561, 653 [NASA ADS] [CrossRef] [Google Scholar]
- Chang, K., & Refsdal, S. 1979, Nature, 282, 261 [Google Scholar]
- Chartas, G., Eracleous, M., Algol, E., et al. 2004, ApJ, 606, 78 [NASA ADS] [CrossRef] [Google Scholar]
- Chen, X., Liu, F. K., & Magorrian, J. 2008, ApJ, 676, 54 [NASA ADS] [CrossRef] [Google Scholar]
- Cid Fernandes, R., Terlevich, R., & Aretxaga, I. 1997, MNRAS, 289, 318 [NASA ADS] [Google Scholar]
- Corbett, E. A., Croom, S. M., Boyle, B. J., et al. 2003, MNRAS, 343, 705 [NASA ADS] [CrossRef] [Google Scholar]
- Courvoisier, T. J.-L., & Türler, M. 2005, A&A, 444, 417 [NASA ADS] [CrossRef] [EDP Sciences] [Google Scholar]
- Courvoisier, T. J.-L., Paltani, S., & Walter, R. 1996, 308, A&A 308, L17 [Google Scholar]
- Cristiani, S., Trentini, S., La Franca, F., & Andreani, P. 1997, A&A, 321, 123 [NASA ADS] [Google Scholar]
- Cutri, R. M., Wisniewski, W. Z., Rieke, G. H., & Lebofsky, M. J. 1985, ApJ, 296, 423 [NASA ADS] [CrossRef] [Google Scholar]
- Davies, R. I., Mueller Sánchez, F., Genzel, R., et al. 2007, ApJ, 671, 1388 [NASA ADS] [CrossRef] [Google Scholar]
- de Vaucouleurs, G., de Vaucouleurs, A., Corwin, H. G., et al. 1991, Third Reference Catalogue of Bright Galaxies (New York: Springer) [Google Scholar]
- Di Clemente, A., Giallongo, E., Natali, G., et al., 1996, ApJ, 463, 466 [NASA ADS] [CrossRef] [Google Scholar]
- Dong, X., Wang, J., Wang, T., et al. 2009, [arXiv:0903.5020], unpublished [Google Scholar]
- Donley, J. L., Brandt, W. N., Eracleous, M. J., & Boller, Th. 2002, AJ, 124, 1398 [Google Scholar]
- Edelson, R. A., Krolik, J. H., & Pike, G. F. 1990, ApJ, 359, 86 [NASA ADS] [CrossRef] [Google Scholar]
- Eigenbrod, A., Courbin, F., Dye, S., et al. 2006, A&A, 451, 747 [NASA ADS] [CrossRef] [EDP Sciences] [Google Scholar]
- Elvis, M., Wilkes, B., McDowell, J., et al. 1994, ApJS, 95, 1 [NASA ADS] [CrossRef] [Google Scholar]
- Esquej, R. D., Saxton, R. D., Freyberg, M. J., et al. 2007, A&A, 462, L49 [NASA ADS] [CrossRef] [EDP Sciences] [Google Scholar]
- Esquej, P., Saxton, R. D., Komossa, S., et al. 2008, A&A, 489, 543 [NASA ADS] [CrossRef] [EDP Sciences] [Google Scholar]
- Evans, C. R., & Kochanek, C. S. 1989, ApJ, 346, L13 [NASA ADS] [CrossRef] [Google Scholar]
- Fan, Z., Ma, J., de Grijs, R., & Zhou, X. 2008, MNRAS, 385, 1973 [NASA ADS] [CrossRef] [Google Scholar]
- Ferguson, A. M. N., Irwin, M. J., Ibata, R. A., et al. 2002, AJ, 124, 1452 [NASA ADS] [CrossRef] [Google Scholar]
- Figer, D. F., Najarro, F., Gilmore, D., et al. 2002, ApJ, 581, 202 [Google Scholar]
- Froebrich, D., & Meusinger, H. 2000, A&AS, 145, 229 [Google Scholar]
- Gaskell, C. M., & Klimek, E. S. 2003, Astron. Astrophys. Trans., 22, 661 [NASA ADS] [CrossRef] [Google Scholar]
- Gavignaud, I., Wisotzki, L., Bongiorno, A., et al. 2008, A&A, 492, 637 [NASA ADS] [CrossRef] [EDP Sciences] [Google Scholar]
- Geehan, J. J., Fardal, M. A., Babul, A., & Guhathakurta, P. 2006, MNRAS, 366, 996 [NASA ADS] [CrossRef] [Google Scholar]
- Gelfand, J. D., Lazio, T. J. W., & Gaensler, B. M. 2004, ApJS, 155, 89 [NASA ADS] [CrossRef] [Google Scholar]
- Gelfand, J. D., Lazio, T. J. W., & Gaensler, B. M. 2005, ApJS, 159, 242 [NASA ADS] [CrossRef] [Google Scholar]
- Gezari, S., Martin, D. C., Milliard, B., et al. 2006, ApJ, 653, L25 [NASA ADS] [CrossRef] [Google Scholar]
- Gezari, S., Basa, S., Martin, D. C., et al. 2008, ApJ, 676, 944 [NASA ADS] [CrossRef] [Google Scholar]
- Gopal-Krishna, Mangalam A., & Wiita, P. J. 2008, ApJ, 680, L13 [NASA ADS] [CrossRef] [Google Scholar]
- Guillochon, J., Ramirez-Ruiz, E., Rosswog, S., & Kasen, D. 2009, ApJ, 705, 844 [NASA ADS] [CrossRef] [Google Scholar]
- Granato, G. L., de Zotti, G., Silva, L., et al. 2004, ApJ, 600, 580 [Google Scholar]
- Hatano, K., Branch, D., Fisher, A., & Starrfield, S. 1997, ApJ, 487, L45 [NASA ADS] [CrossRef] [Google Scholar]
- Hawkins, M. R. S. 1993, Nature, 366, 242 [NASA ADS] [CrossRef] [Google Scholar]
- Hawkins, M. R. S., & Véron, P. 1993, MNRAS, 260, 202 [NASA ADS] [CrossRef] [Google Scholar]
- Henze, M., Meusinger, H., & Pietsch, W. 2008, A&A, 477, 67 [NASA ADS] [CrossRef] [EDP Sciences] [Google Scholar]
- Hills, J. G. 1975, Nature, 254, 27 [Google Scholar]
- Honma, F., Matsumoto, R., & Kato, S. 1991, PASJ, 43, 147 [NASA ADS] [Google Scholar]
- Hubble, E., 1929, ApJ, 69, 103 [NASA ADS] [CrossRef] [Google Scholar]
- Hughes, P. A., Aller, H. D., & Aller, M. F. 1998, ApJ, 503, 662 [NASA ADS] [CrossRef] [Google Scholar]
- Igumenshchev, I. V., & Abramowicz, M. A. 1999, MNRAS, 303, 309 [NASA ADS] [CrossRef] [Google Scholar]
- Irwin, M. J., Webster, R. L., Hewett, P. C., et al. 1989, AJ, 98, 1989 [NASA ADS] [CrossRef] [Google Scholar]
- Irwin, M. J., Ferguson, A. M. N., Ibata, R. A., et al. 2005, ApJ, 628, L105 [NASA ADS] [CrossRef] [MathSciNet] [Google Scholar]
- Ivanov, P. B., & Novikov, I. D. 2001, ApJ, 549, 467 [NASA ADS] [CrossRef] [Google Scholar]
- Jackson, N., Battye, R. A., Browne, I. W. A., et al. 2007, MNRAS, 376,371 [NASA ADS] [CrossRef] [Google Scholar]
- Katz, J. I. 1997, ApJ, 478, 527 [NASA ADS] [CrossRef] [Google Scholar]
- Kawaguchi, T., Mineshige, S., Umemura, M., & Turner, E. L. 1998, ApJ, 504, 671 [NASA ADS] [CrossRef] [Google Scholar]
- Kawakatu, N., & Wada, K. 2008, ApJ, 681, 73 [NASA ADS] [CrossRef] [Google Scholar]
- Kollmeier, J. A., Onken, C. A., Kochanek, C. S., et al. 2006, ApJ, 648, 128 [NASA ADS] [CrossRef] [Google Scholar]
- Komossa, S. 2002, in Lighthouses of the Universe, ed. M. Gilfanov, R. A. Sunyaev, & E. Churazov (Berlin: Springer), 436 [Google Scholar]
- Komossa, S., & Bade, N. 1999, A&A, 343, 775 [NASA ADS] [Google Scholar]
- Komossa, S., & Merritt, D. 2008, ApJ, 683, L21 [NASA ADS] [CrossRef] [Google Scholar]
- Komossa, S., Halpern, J., Schartel, N., et al. 2004, ApJ, 603, L17 [NASA ADS] [CrossRef] [Google Scholar]
- Komossa, S., Zhou, H., Rau, A., et al. 2009, ApJ, 701, 105 [NASA ADS] [CrossRef] [Google Scholar]
- Koopmans, L. V. E., de Bruyn, A. G., Xauthopoulos, E., & Fassnacht, C. D. 2000, A&A, 356, 391 [NASA ADS] [Google Scholar]
- Krabbe, A., Genzel, R., Drapatz, S., & Rotaciuc, V. 1991, ApJ, 382, L19 [NASA ADS] [CrossRef] [Google Scholar]
- Kron, R. G., & Chiu L.-T. G. 1981, PASP, 93, 397 [NASA ADS] [CrossRef] [Google Scholar]
- Lacy, J. H., Townes, C. H., & Hollenbach, D. J. 1982, ApJ, 262, 120 [NASA ADS] [CrossRef] [Google Scholar]
- Lewis, G. F., & Irwin, M. J. 1996, MNRAS, 283, 225 [NASA ADS] [Google Scholar]
- Li, L.-X., Narayan, R., & Menou, K. 2002, ApJ, 576, 753 [NASA ADS] [CrossRef] [Google Scholar]
- Litskii, V. V., & Ozernoi, L. M. 1979, AZh Pis'ma, 5, 28 [Google Scholar]
- Liu, F. K., & Chen, X. 2007, ApJ, 671, 1272 [Google Scholar]
- Lehto, H. J., & Valtonen, M. J. 1996, ApJ, 460, 207 [NASA ADS] [CrossRef] [Google Scholar]
- Lodato, G., King, A. R., & Pringle, J. E. 2009, MNRAS, 392, 332 [NASA ADS] [CrossRef] [Google Scholar]
- Loeb, A., & Narayan, R. 2008, MNRAS, 386, 2221 [Google Scholar]
- Lutz, D., Sturm, E., Tacconi, L. J., et al. 2008, ApJ, 684, 853 [Google Scholar]
- Magorrian, J., & Tremaine, S. 1999, MNRAS, 309, 447 [NASA ADS] [CrossRef] [Google Scholar]
- Majewski, S. R., Munn, J. A., Kron, R. G., et al., 1991, in The space distribution of quasars, ed. D. Crampton (San Francisco), ASP Conf. Ser., 21, 66 [Google Scholar]
- Mao, S. 2008, in The 12th International Conference and ANGLES Microlensing Workshop, ed. E. Kerins, S. Mao, N. Rattenbury, & L. Wyrzykowski, published online at SISSA Proceedings of Science, 2 [Google Scholar]
- Margon, B., & Deutsch, E. W. 1997, PASP, 109, 673 [NASA ADS] [CrossRef] [Google Scholar]
- Massey, P., Olson, K. A. G., Hodge, P. W., et al. 2006, AJ, 131, 2478 [NASA ADS] [CrossRef] [Google Scholar]
- Martins, F., Genzel, R., Hillier, D. J., et al. 2007, A&A, 468, 233 [NASA ADS] [CrossRef] [EDP Sciences] [Google Scholar]
- Mauerhahn, J. C., Muno, M. P., & Morris, M. 2007, ApJ, 662, 574 [NASA ADS] [CrossRef] [Google Scholar]
- Menou, K., & Quataert, E. 2001, ApJ, 562, L137 [NASA ADS] [CrossRef] [Google Scholar]
- Merritt, D., & Ferrarese, L. 2001, ApJ, 547, 140 [NASA ADS] [CrossRef] [Google Scholar]
- Meusinger, H., Scholz, R.-D., Irwin, M., & Lehmann, H. 2002, A&A, 392, 851 [NASA ADS] [CrossRef] [EDP Sciences] [Google Scholar]
- Meusinger, H., Brunzendorf, J., & Laget, M. 2003, Astron. Nachr., 324, 474 [NASA ADS] [CrossRef] [Google Scholar]
- Miloslavljevic, M., Merritt, D., & Ho, L. C. 2006, ApJ, 652, 120 [NASA ADS] [CrossRef] [Google Scholar]
- Monet, D. G., Levine, S. E., Canzian, B., et al. 2003, AJ, 125, 984 [NASA ADS] [CrossRef] [Google Scholar]
- Morris, M., & Serabyn, E. 1996, ARA&A, 34, 645 [NASA ADS] [CrossRef] [Google Scholar]
- Najarro, F., Hillier, D. J., Kudritzki, R. P., et al. 1994, A&A, 285, 573 [NASA ADS] [Google Scholar]
- Nedialkov, P. L., Kurtev, R. G., Tikhonov, N. A., & Ivanov, G. R. 1996, Inf. Bull. Var. Stars, 4411 [Google Scholar]
- Ofek, E. O., Cameron, P. B., Kasliwal, M. M., et al. 2007, ApJ, 659, L13 [CrossRef] [Google Scholar]
- Onken, C. A., & Kollmeier, J. A. 2008, 689, ApJ, L13 [Google Scholar]
- Östman, L., Goobar, A., & Mörtsell, E. 2006, A&A, 450,971 [NASA ADS] [CrossRef] [EDP Sciences] [Google Scholar]
- Paczynski, B., 1986, ApJ, 301, 503 [NASA ADS] [CrossRef] [Google Scholar]
- Paltani, S., & Courvoisier, T. J.-L. 1994, A&A, 291, 74 [NASA ADS] [Google Scholar]
- Paraficz, D., Hjorth, J., Burud, I., et al. 2006, A&A, 455, L1 [NASA ADS] [CrossRef] [EDP Sciences] [Google Scholar]
- Paumard, T., Genzel, R., Martins, F., et al. 2006, ApJ, 643, 1011 [NASA ADS] [CrossRef] [Google Scholar]
- Pelt, J., Schild, R., Refsdal, S., & Stabell, R. 1998, A&A, 336, 829 [NASA ADS] [Google Scholar]
- Peterson, B. M., Ferrarese, L., Gilbert, K. M., et al. 2004, ApJ, 613, 682 [NASA ADS] [CrossRef] [Google Scholar]
- Phinney, E. S. 1989, in The Center of the Galaxy, ed. M. Morris (Dordrecht: Kluwer), IAU Symp., 136, 543 [Google Scholar]
- Pietsch, W., Fliri, J., Freyberg, M. J., et al. 2005a, A&A, 442, 879 [NASA ADS] [CrossRef] [EDP Sciences] [Google Scholar]
- Pietsch, W., Freyberg, M. J., & Haberl, F. 2005b, A&A, 434, 483 [NASA ADS] [CrossRef] [EDP Sciences] [Google Scholar]
- Predehl, P., & Schmitt, J. H. M. M. 1995, A&A, 293, 889 [NASA ADS] [Google Scholar]
- Quimby, R. M., Kulkarni, S. R., Kasliwal, M. M., et al. 2010, [arXiv:0910.0059], Nature, submitted [Google Scholar]
- Racine, R. 1991, AJ, 101, 865 [NASA ADS] [CrossRef] [Google Scholar]
- Rees, M. J. 1988, Nature, 333, 523 [NASA ADS] [CrossRef] [Google Scholar]
- Rees, M. J. 1990, Science, 247, 817 [NASA ADS] [CrossRef] [Google Scholar]
- Rengstorf, A. W., Mufson, S. L., Abad, C., et al. 2004, ApJ, 606, 741 [NASA ADS] [CrossRef] [Google Scholar]
- Renzini, A., Greggio, L., di Serego-Alighieri, S., et al. 1995, Nature, 378, 39 [NASA ADS] [CrossRef] [Google Scholar]
- Richards, G. T., Lacy, M., Storrie-Lombardi, L. J., et al. 2006, ApJS, 166, 470 [NASA ADS] [CrossRef] [Google Scholar]
- Salasnich, B., Girardi, L., Weiss, A., & Chiosi, C. 2000, A&A, 361, 1023 [NASA ADS] [Google Scholar]
- Sandage, A. 1961, The Hubble Atlas of Galaxies (Washington D.C.: Carnegie Inst. of Washington) [Google Scholar]
- Sanders, D. B., Soifer, B. T., Elias, J. H., et al. 1988, ApJ, 325, 74 [NASA ADS] [CrossRef] [Google Scholar]
- Savage, B. D., & Mathis, J. S. 1979, ARA&A, 17, 73 [NASA ADS] [CrossRef] [Google Scholar]
- Schlegel, D. J., Finkbeiner, D. P., & Davis, M. 1998, ApJ, 500, 525 [NASA ADS] [CrossRef] [Google Scholar]
- Schneider, D. P., Hall, P. B., Richards, G. T., et al. 2007, AJ, 134, 102 [NASA ADS] [CrossRef] [Google Scholar]
- Schneider, P. 1993, A&A, 279, 1 [NASA ADS] [Google Scholar]
- Sesar, B., Ivezic, Z., Lupton, R. H., et al. 2007, AJ, 134, 2236 [NASA ADS] [CrossRef] [Google Scholar]
- Sharov, A. S., Alksnis, A., Nedialkov, P. L., et al. 1998, Astron. Lett., 24, 445 [NASA ADS] [Google Scholar]
- Shen, Y., Greene, J. E., Strauss, M. A., et al. 2008, ApJ, 680, 169 [NASA ADS] [CrossRef] [Google Scholar]
- Shi, Y., Rieke, G. R., Ogle, P., et al. 2010, ApJ, 703, 1107 [Google Scholar]
- Shields, G. A., Gebhardt, K., Salviander, S., et al. 2003, ApJ, 583, 124 [NASA ADS] [CrossRef] [Google Scholar]
- Sillanpää, A., Haarala, S., Valtonen, M. J., et al. 1988, ApJ, 325, 628 [NASA ADS] [CrossRef] [Google Scholar]
- Simonetti, J. H., Cordes, J. M., & Heeschen, D. S. 1985, ApJ, 296, 46 [NASA ADS] [CrossRef] [Google Scholar]
- Skrutskie, M. F., Cutri, R. M., Stiening, R., et al. 2006, AJ, 131, 1163 [NASA ADS] [CrossRef] [Google Scholar]
- Sluse, D., Claeskens, J.-F., Hutsemékers, D., et al. 2007, A&A, 468, 885 [NASA ADS] [CrossRef] [EDP Sciences] [Google Scholar]
- Smith, N., Li, W, Foley, R. J., et al. 2007, ApJ, 666, 1116 [NASA ADS] [CrossRef] [Google Scholar]
- Sowards-Emmerd, D., Romani, R. W., Michelson, P. F., et al. 2005, ApJ, 626, 95 [NASA ADS] [CrossRef] [Google Scholar]
- Springel, V., Di Matteo, T., & Hernquist, L. 2005, MNRAS, 361, 776 [NASA ADS] [CrossRef] [Google Scholar]
- Stocke, J. T., Morris, S. L., Weymann, R. J., & Foltz, C. B. 1992, ApJ, 396, 487 [NASA ADS] [CrossRef] [Google Scholar]
- Strubbe, L. E., & Quataert, E. 2009, MNRAS, 400, 2070 [NASA ADS] [CrossRef] [Google Scholar]
- Supper, R., Hasinger, G., Lewin, W. H. G., et al. 2001, A&A, 373, 63 [NASA ADS] [CrossRef] [EDP Sciences] [Google Scholar]
- Syer, D., Clarke, C. J., & Rees, M. J. 1991, MNRAS, 250, 505 [NASA ADS] [CrossRef] [Google Scholar]
- Taam, R. E., & Lin, D. N. C. 1984, ApJ, 287, 761 [NASA ADS] [CrossRef] [Google Scholar]
- Takeuchi, M., Mineshige, S., & Negoro, H. 1995, PASJ, 47, 617 [NASA ADS] [Google Scholar]
- Terlevich, R., Tenorio-Tagle, G., Franco, J., & Melnick, J. 1992, MNRAS, 255, 713 [NASA ADS] [CrossRef] [Google Scholar]
- Torricelli-Ciamponi, G., Foellmi, C., Courvoisier, T. J.-L., & Paltani, S. 2000, A&A, 358, 57 [NASA ADS] [Google Scholar]
- Trèvese, D., Kron, R. G., & Bunone, A. 2001, ApJ, 551, 103 [NASA ADS] [CrossRef] [Google Scholar]
- Tsvetkov, M. K., Stavrev, K. Y., Tsvetkova, K. P., et al. 1997, VizieR On-line Catalog: VI/90 [Google Scholar]
- Ulmer, A. 1999, ApJ, 514, 180 [NASA ADS] [CrossRef] [Google Scholar]
- Ulrich, M.-H., Maraschi, L., & Urry, C. M. 1997, ARA&A, 35, 445 [NASA ADS] [CrossRef] [Google Scholar]
- Urry, C. M., & Padovani, P. 1995, PASP, 107, 803 [NASA ADS] [CrossRef] [Google Scholar]
- Valtonen, M. J., Lehto, H. J., Nilsson, K., et al. 2008, Nature, 452, 851 [NASA ADS] [CrossRef] [PubMed] [Google Scholar]
- Vanden Berk, D. E., Richards, G. T., Bauer, A., et al. 2001, AJ, 122, 549 [NASA ADS] [CrossRef] [Google Scholar]
- Vanden Berk, D. E., Wilhite, B. C., Kron, R. G., et al. 2004, ApJ, 601, 692 [NASA ADS] [CrossRef] [Google Scholar]
- Vilardell, F., Ribas, I., & Jordi, C. 2006, A&A, 459, 321 [NASA ADS] [CrossRef] [EDP Sciences] [Google Scholar]
- Véron-Cetty, M.-P., & Véron, P. 2006, A&A, 455, 773 [NASA ADS] [CrossRef] [EDP Sciences] [Google Scholar]
- Vestergaard, M., 2002, ApJ, 571, 733 [NASA ADS] [CrossRef] [Google Scholar]
- Vestergaard, M., 2004, ApJ, 601, 676 [NASA ADS] [CrossRef] [Google Scholar]
- Vestergaard, M., 2009, in 2007 STScI Spring Symposium Black Holes, ed. M. Livio & A. M. Koekemoer (Cambridge University Press), in press, [arXiv:0904.2615v1] [Google Scholar]
- Vestergaard, M., & Peterson, B. M. 2006, ApJ, 641, 689 [NASA ADS] [CrossRef] [Google Scholar]
- Vietri, M., & Ostriker, J., P. 1983, ApJ, 267, 488 [NASA ADS] [CrossRef] [Google Scholar]
- Wambsganss, J., & Paczynski, B. 1991, AJ, 102, 864 [NASA ADS] [CrossRef] [Google Scholar]
- Wang, J., & Merritt, D. 2004, ApJ, 600, 149 [NASA ADS] [CrossRef] [Google Scholar]
- Warner, C., Hamann, F., & Dietrich, M. 2003, ApJ, 596, 72 [NASA ADS] [CrossRef] [Google Scholar]
- Watabe, Y., Kawakatu, N., & Imanishi, M. 2008, ApJ, 677, 895 [NASA ADS] [CrossRef] [Google Scholar]
- White, R. L., Becker, R. H., & Gregg, M. D. 2000, ApJS, 126, 133 [NASA ADS] [CrossRef] [Google Scholar]
- Wilhite, B. C., Vanden Berk, D. E., Kron, R., G., et al. 2005, ApJ, 633, 638 [NASA ADS] [CrossRef] [Google Scholar]
- Wisotzki, L., Becker, T., Christensen, L., et al. 2003, A&A, 408, 455 [NASA ADS] [CrossRef] [EDP Sciences] [Google Scholar]
- Wisotzki, L., Schechter, P. L., Chen, H.-W., et al. 2004, A&A, 419, 31 [Google Scholar]
- Yonehara, A., Hirashita, H., & Richter, P. 2008, A&A, 478, 95 [NASA ADS] [CrossRef] [EDP Sciences] [Google Scholar]
- Zackrisson, E., Bergvall, N., Marquart, T., & Helbig, P. 2003, A&A, 408, 17 [NASA ADS] [CrossRef] [EDP Sciences] [Google Scholar]
Footnotes
- ... Alto
- The Calar Alto Observatory of the Centro Astronómico Hispano Alemán, Almería, Spain, is operated jointly by the Max-Planck-Institut für Astronomie and the Instituto de Astrofísica de Andalucía (CSIC).
- ...
(GAVO)
- http://dc.zah.uni-heidelberg.de
- ... Datebase
- Both the WFPDB version available via VizieR, (Tsvetkov et al. 1997), and the updated version available via the search browser developed in Sofia (http://draco.skyarchive.org/search) were used.
- ...
Service''
- http://irsa.ipac.caltech.edu/applocations/DUST/
- ... field
- See
http://www.xray.mpe.mpg.de/cgi-bin/rosat/seq-browser
All Tables
Table 1: Observational material for the construction of the light curve.
Table 2: Detection limits on plates taken before 1950.
Table 3: Basic properties of Sharov 21 (remarks: see text).
All Figures
![]() |
Figure 1: Long-term B light curve from the data summarized in Table 1 (symbols plus error bars; no photometric errors available for the data from Sharov et al. 1998). Dotted vertical lines: upper limits from images on which the object is not detected. For lucidity, only a small fraction of the upper limit data is shown. |
Open with DEXTER | |
In the text |
![]() |
Figure 2: The light curve in the outburst. Open symbols: uncertain data, dashed lines: upper limits, dotted horizontal line: ground state. |
Open with DEXTER | |
In the text |
![]() |
Figure 3: Colour indices of Sharov 21 as a function of its B magnitude from quasi-simultaneous observations in both bands. |
Open with DEXTER | |
In the text |
![]() |
Figure 4: Map of the known quasars in the M 31 field. Open squares: quasars from Véron-Cetty & Véron (2006), framed asterisk: Sharov 21. |
Open with DEXTER | |
In the text |
![]() |
Figure 5: Observed ( top) and foreground extinction-corrected ( bottom) optical spectrum of Sharov 21 (observer frame), not corrected for telluric absorption. |
Open with DEXTER | |
In the text |
![]() |
Figure 6:
SED of Sharov 21 in the restframe (open symbols with downward arrows: upper limits).
For comparison the mean SED (Elvis et al. 1994) is shown
for radio-quiet (solid) and radio-loud quasars (dotted),
normalized at |
Open with DEXTER | |
In the text |
![]() |
Figure 7:
Comparison of the variability of Sharov 21 with the VPMS quasars.
Top: maximum fluctuation
|
Open with DEXTER | |
In the text |
![]() |
Figure 8:
The crowded field towards Sharov 21 on the
10
|
Open with DEXTER | |
In the text |
![]() |
Figure 9:
Light curve |
Open with DEXTER | |
In the text |
![]() |
Figure 10:
Stellar radius
|
Open with DEXTER | |
In the text |
![]() |
Figure 11:
Top: linear regression of the decline from the maximum in
the double-logarithmic presentation of the light curve in the
quasar restframe for the
|
Open with DEXTER | |
In the text |
Copyright ESO 2010
Current usage metrics show cumulative count of Article Views (full-text article views including HTML views, PDF and ePub downloads, according to the available data) and Abstracts Views on Vision4Press platform.
Data correspond to usage on the plateform after 2015. The current usage metrics is available 48-96 hours after online publication and is updated daily on week days.
Initial download of the metrics may take a while.