Issue |
A&A
Volume 512, March-April 2010
|
|
---|---|---|
Article Number | A10 | |
Number of page(s) | 13 | |
Section | Stellar structure and evolution | |
DOI | https://doi.org/10.1051/0004-6361/200913556 | |
Published online | 19 March 2010 |
Evolution of massive AGB stars
III. the thermally pulsing super-AGB phase![[*]](/icons/foot_motif.png)
L. Siess1,2
1 - Institut d'Astronomie et d'Astrophysique, Université Libre
de Bruxelles, ULB, CP 226, 1050 Brussels, Belgium
2 - Centre for Stellar and Planetary Astrophysics, School of
Mathematical Sciences, Monash University, Victoria 3800, Australia
Received 27 October 2009 / Accepted 15 December 2009
Abstract
Aims. We present the first simulations of the full
evolution of super-AGB stars through the entire thermally pulsing AGB
phase. We analyse their structural and evolutionary properties and
determine the first SAGB yields.
Methods. Stellar models of various initial masses
and metallicities were computed using standard physical assumptions
which prevents the third dredge-up from occurring. A postprocessing
nucleosynthesis code was used to compute the SAGB yields, to quantify
the effect of the third dredge-up (3DUP), and to assess the
uncertainties associated with the treatment of convection.
Results. Owing to their massive oxygen-neon core,
SAGB stars suffer weak thermal pulses, have very short interpulse
periods and develop very high temperatures at the base of their
convective envelope (up to K),
leading to very efficient hot bottom burning. SAGB stars are
consequently heavy manufacturers of 4He, 13C,
and 14N. They are also able to inject
significant amounts of 7Li, 17O,
25Mg, and 26,27Al in the
interstellar medium. The 3DUP mainly affects the CNO yields, especially
in the lower metallicity models. Our post-processing simulations also
indicate that changes in the temperature at the base of the convective
envelope, which would result from a change in the efficiency of
convective energy transport, have a dramatic impact on the yields and
represent another major source of uncertainty.
Key words: stars: AGB and post-AGB - stars: evolution - nuclear reactions, nucleosynthesis, abundances - stars: abundances
1 Introduction
In the past decade, new SAGB models have been computed that address specific aspects of their peculiar evolution, such as the propagation of the carbon-burning flame (e.g. Garcia-Berro et al. 1997; Siess 2006), the effects of overshooting (Gil-Pons et al. 2007), semiconvection (Poelarends et al. 2008), or thermohaline mixing (Siess 2009). The start of electron captures reactions in the oxygen-neon (ONe) core and the URCA process have also been investigated (Ritossa et al. 1999), and non-solar models were computed and their main properties analysed (e.g. Gil-Pons et al. 2005; Siess 2007). But none of these works have thoroughly study the thermally pulsing super-AGB (TP-SAGB) phase or released yields for these stars.
Although the main structural features of their evolution seems
to be
reasonably well understood, their fate is still highly uncertain. The
main
reasons are ascribed to our poor knowledge of the mass loss rate and
third-dredge-up properties that control how much mass can be removed
during the post-carbon burning evolution
(Poelarends
et al. 2008; Gil-Pons et al. 2007; Siess 2007).
If the envelope is lost before electron
capture reactions are activated in the core, an ONe white dwarf forms,
otherwise the core collapses and a neutron star forms. The critical
core
mass corresponding to this evolutionary bifurcation is 1.37
(Nomoto 1984).
Available stellar models also show a large scatter in the mass
range of
SAGB stars, which by definition, is bracketed between
(the
minimum mass for carbon ignition) and
(the minimum mass above
which the star proceeds through all nuclear-burning stages up to the
formation of an iron core). The differences between these simulations
come
from the treatment of mixing and the difficulty of current models for
determining the extent of the convective core, especially during the
central
helium-burning phase. For example, applying a moderate overshooting at
the
edge of the convective core shifts the entire SAGB mass range down by
2
(Gil-Pons
et al. 2007; Siess 2007). Our conservative
treatment of convective boundaries
(application of the strict Schwarzschild criterion and absence of
numerical
diffusion at the convective boundaries) provides an upper limit to the
SAGB
stars, which in our case range between 8 and 11
.
Despite the uncertainties affecting the determination of
and
,
standard IMFs still predict a large number of SAGB
stars. Indeed, according to the Salpeter IMF, there are as many stars
in
the mass range 7-11 as massive stars with M>11
.
But despite their
importance, they have been neglected in galactic chemical evolution
models
mainly because of the lack of stellar yields. This absence of data is
largely caused by the appalling amount of CPU time that is required to
follow
their full evolution. As discussed in this paper, the omission of
this large stellar population may have significant effects on the
galactic evolution of 7Li, 13C,
and 14N.
The goal of this paper is to provide the first yields for SAGB stars and describe some properties of their TP-SAGB evolution. The paper is organised as follows: in the next section, the main physical ingredients of the stellar evolution code and some general model properties are presented. Then in Sect. 3 we describe the structural evolution during the thermally pulsing phase. Section 4 analyses the nucleosynthesis, both in the pulse and in the envelope. The yields are derived in Sect. 5 along with uncertainties. The implications of SAGB for the chemical evolution of globular clusters is mentioned in Sect. 6, and the paper ends with a general discussion.
2 The models
The models presented in this paper are computed with the same version
of
STAREVOL as described in Siess
(2007) and with the following main
physical assumptions: Vassiliadis
& Wood (1993) mass loss rate with no metallicity
dependence, the Schwarzschild criterion to delineate the convective
boundaries, and the absence of extra-mixing beyond the convective
boundaries that, in our case, prevents the third dredge-up and use of a
constant mixing length parameter .
These models do not
include core overshooting. Details about the network and nuclear
reaction
rates can be found in Siess
& Arnould (2008). The initial composition is scaled
to solar according to the Grevesse
et al. (1996) mixture. Concerning the
treatment of mixing, we assume instantaneous mixing of all chemical
species
in the convective zones. In these regions, the nucleosynthesis is
computed
in the one-zone approximation with mass-averaged reaction rates. As
shown
in Siess & Arnould (2008),
this treatment remains a good approximation but
prevents the accurate determination of the 7Li abundance.
Computation of SAGB stars requires specific rezoning
strategies, during both
the flame propagation (Siess 2006)
and the interpulse phase where a
high spatial resolution is needed at the base of the convective
envelope. In this very thin region of a few 10-5
(see
Sect. 3.1
and Fig. 3),
the main variables
show very steep gradients, and rezoning is quite intense, inevitably
generating some numerical noise. In addition to constantly re-adapting
the
grid points to the moving H-burning shell, the composition of the
envelope
is also homogenised in each model, bringing protons where they should
not
really be present. Although the one-zone approximation used to treat
the
nucleosynthesis in the convective zone gives the right energy
budget
, it introduces small
oscillations in
the nuclear energy production which reflects in an irregular behaviour
of
as illustrated in Fig. 2.
Increasing the spatial
resolution at the base of the envelope or the constraints on the
timestep
reduces this numerical artifact, but the effects are always very small
(variations in
never exceed <
).
The calculation of SAGB models is extremely time-consuming. A
typical model
comprises
1200 -
2500 numerical shells, the number increasing during
the thermal pulse. During the interpulse period, the time step is
primarily
constrained by H burning and by the requirement that no more
than 5% of
protons are depleted in any shell between two consecutive models.
Because
all SAGB stars undergo very efficient hot bottom burning (HBB) with
temperatures in the H-burning shell (HBS) as high as
K,
the
time step becomes very short, of the order of
10-3
- 10-2 yr
during the interpulse. As a consequence, more than
time
steps were required in some simulations, representing more than
6 months
CPU on a powerful desktop. It should also be emphasised that all the
models
presented in this paper fail to converge near the tip of the SAGB,
mostly
because of the density inversion in the surface layers of the star but
this
is a well known (and unsolved!) problem that may be associated with
H recombination (Wagenhuber
& Weiss 1994).
3 The thermally pulsing super-AGB phase
We resume the evolution where it was stopped at the end of Siess (2007), after
the completion of the second dredge-up when carbon burning is powering
off. Similarly to their lower mass counterparts, our stellar models
enter
an early-SAGB phase during which the He-burning shell (HeBS) becomes
thinner and gets closer to the HBS as the core contracts. The nuclear
energy production is progressively transferred from the HeBS to the
HBS,
which now supplies more than
of the stellar luminosity. At that
stage, the conditions (Yoon
et al. 2004; Schwarzschild & Härm 1965)
are met for the
development of recurrent thermal instabilities in the HeBS and the star
enters the TP-SAGB (Fig. 1).
It is worth noticing that, following
the second dredge-up and up to the first pulse, the temperature at the
base
of the convective envelope increases significantly from a few 107 K
up to
K.
![]() |
Figure 1:
Evolution of the He (
|
Open with DEXTER |
![]() |
Figure 2:
Structural evolution of a 10.5 |
Open with DEXTER |
Figure 2
illustrates a typical pulse-interpulse cycle in a
10.5 ,
Z=0.02 model. The structural evolution is
similar to that of
a lower mass AGB star with alternate H/He-burning phases. However,
because
of the relative weakness of the thermal pulses (
in
this model), the surface luminosity is almost unaffected by the
He-shell
instability. Most of the energy released by the pulse is absorbed in
the
layers located at the base of the convective envelope, and the
expansion
produces a partial extinction of the H-burning shell (in
Fig. 2
). After the
decay of the He-shell
instability, the star enters the quiescent interpulse phase where
efficient
H-burning extends into the convective envelope and provides more
than 85%
of the surface luminosity. Along the AGB, the star suffers intense mass
loss with values up to a few 10-4
.
With the progressive expulsion
of the envelope, both the surface luminosity and mass loss rate
decline,
progressively revealing the core.
3.1 Structure of TP-SAGB stars
![]() |
Figure 3:
Internal structure of an 8.5 |
Open with DEXTER |










3.2 The thermal pulse properties
After the second dredge-up (2DUP), H re-ignites and when enough helium
has
accumulated in the intershell, the He luminosity starts to oscillate.
The
first instabilities are weak (
)
and rapidly evolve into fully
developed convective thermal pulses.
As shown in Fig. 4, the strength
of the He-shell flash
(
)
initially increases rapidly as the mass extent of the convective
pulse (
)
grows. After a few thousand years, core contraction has
significantly slowed down, the slope of the
curves becomes
much shallower, and
reaches an extremum. The stabilisation of the core
also marks the transition to an asymptotic regime where the main
properties
of the SAGB star are now evolving more slowly. In this regime,
continues to increase but at a modest rate
and
slowly declines as the core grows. For a given composition, the
mass of the convective instability thus decreases with age and with
increasing initial mass. Quantitatively,
varies between 10-5 and
for M decreasing from 10.5 to 7.5
.
This is 2
to 3 orders of magnitude smaller than in a 3
AGB stars.
SAGB are also characterised by the occurrence of weak thermal
pulses. To
understand the origin of this behaviour, we compare in
Fig. 5
the profiles of relevant quantities in the pulse
region of a 3 and 10
at different epochs during the development of
the instability. From this plot we see that in the SAGB the temperature
is
higher but the degeneracy (
)
and the ratio of gas pressure to total
pressure (
)
are smaller compared to AGB stars. These conditions
contribute to making the thermal instability weaker in SAGB stars
(Yoon et al. 2004).
Indeed with a lower degeneracy and larger
,
the
pressure response to a temperature perturbation is faster and stronger
(
)
so less energy can accumulate. Besides, when
the temperature is higher, the dependence of the nuclear reaction rate
on T is less (parameter
in Yoon et al. 2004)
so the runaway is
less violent. All these factors concur to abbreviate and weaken the
thermal pulse provided the conditions for shell instability are met, in
particular the relative thinness of the HeBS (parameter
in Yoon et al. 2004).
Although the HeBS is thinner in SAGB stars (
in our 10
star compared to
in the 3
model), it is also located at a
smaller radius (
vs.
). The
result is that
is very similar between these models so the shell
is not any stabler in SAGB stars.
![]() |
Figure 4:
Evolution of the pulse duration (
|
Open with DEXTER |
The pulse duration (
)
is weakly dependent on the initial stellar
composition. It is primarily determined by the core mass and steadily
decreases during the evolution. To a reasonably good approximation, we
find that
![]() |
(1) |
where



The highest temperature reached at the base of the pulse (
)
increases
during the TP-SAGB phase and reaches
K
in the most massive
models. Such temperatures may have some interesting nucleosynthetic
implications for the s-process (see Sect. 4.1).
For a given core mass,
is an increasing function of metallicity. The
strength of the pulse depends on the temperature in the HeBS, so it is
stronger in stars of the same core mass with higher Z.
It should also be
recalled that stars with a higher initial metal content develop smaller
convective cores during central H and He burning and start their
TP-SAGB
phase at a lower core mass (e.g. Siess
2007). Consequently, for a
given core mass, a more metal-rich star has a more massive envelope
which
imposes a stronger compressional heating at the base of the He burning
shell.
![]() |
Figure 5:
Physical conditions in the He-burning shell during a thermal pulse in a
10 |
Open with DEXTER |
The overlap factor ,
where
is the mass of the previous pulse that is engulfed in the
next pulse of mass
,
increases rapidly until the star
reaches its asymptotic regime and then decreases slowly. In the
asymptotic
regime, there is a good, almost linear, anti-correlation between
and the
pulse strength
.
In stars with a higher core mass (i.e.
),
the overlap is smaller and
increases with increasing pulse
mass. The overlap factor is quite important for the s-process
nucleosynthesis because it controls the amount of s-process elements
that
can be exposed to multiple irradiations in the convective pulse.
However,
the magnitude and evolution of
strongly depend on the 3DUP
efficiency.
3.3 The interpulse phase
After the decay of the thermal pulse, the HBS reignites and the star
enters
the interpulse phase. In the asymptotic regime, the relation between
the
interpulse (
)
and pulse (
)
durations is given, to a good
approximation, by
![]() |
(2) |
where


The minimum HeBS luminosity during the interpulse phase (
)
is strongly anti-correlated with the pulse luminosity
,
and
to very good accuracy we have the following relation

Therefore, the weaker the He burning during the interpulse, the stronger the subsequent flash (see also Mowlavi 1995). During the ascent of the AGB phase,

The intershell mass is also a decreasing function of time, the
consequence of
the increasing gravitational pull of the growing core. The H and
He burning
shells are thus getting thinner and closer to each other. The mass
accreted
on the He-buffer during the interpulse
varies between
in our considered models, which is 2 orders of magnitude lower
than in a typical 3
star where
.
At the beginning of the TP-SAGB phase, the temperature at the
base of the
convective envelope (
)
increases rapidly as a result of a strong core
contraction subsequent to the quenching of C burning. When the star
enters
its full amplitude regime,
starts to decline slowly with the
reduction of the envelope mass (
). Near the end of the
evolution, when
,
drops more abruptly,
bringing hot bottom burning to a stop. Generally, stars of a given core
mass develop higher envelope temperatures when the metallicity
decreases
because, at the time the comparison is made, more metal poor stars have
a
more massive envelope, but this conclusion is somewhat dependent on the
assumed mass loss rate.
After a rapid increase at the beginning of the TP-SAGB phase,
the core
growth rate
remains almost constant despite a continuous decline
in
.
Apparently the reduction of the nuclear-burning efficiency is
compensated by the decline in the surface luminosity so the variation
of
is small. For the mass and metallicity ranges covered by our
models, we find
.
The core growth rate increases with core mass but there is no
obvious dependence on
.
For a given composition, more massive stars
also have higher
.
We note, however, a strong anti-correlation
between this quantity and the radius of the bottom of the convective
envelope, reflecting the direct influence of the gravitational pull.
The activation of HBB produces the break down of the classical
Paczynski (1970) core
mass-luminosity (
)
relation
(Bloecker
& Schoenberner 1991; Bloecker 1995; Lattanzio 1992).
As shown by Refsdal &
Weigert (1970) and
Tuchman et al. (1983),
the existence of an
relation requires an inert transition region
below the convective envelope where the luminosity
remains constant and where the temperature, pressure, density, and
radius
present a steep dependence on the mass coordinate. In stars
experiencing
HBB, this transition region is absent because H burning extends into
the
convective envelope. In this circumstance, the properties of the core
cannot be decoupled from those of the envelope. The additional
production
of nuclear energy generated at the base of the envelope makes the star
more
luminous and departs significantly from the classical
relation as illustrated
in the bottom panel of Fig. 6. The surface
luminosity reaches a
peak value when
is also at its maximum and then declines during most of
the TP-SAGB evolution as the envelope mass shrinks. Eventually HBB
stops
and a classical
relation can be recovered. Similar behaviour was also
reported by Marigo
et al. (1998) in their massive (
)
AGB
models.
![]() |
Figure 6:
Evolution of the interpulse period (
|
Open with DEXTER |
Table 1: General properties of the TP-SAGB models.
The core mass at the first thermal pulse (





The properties of our 10,
Z=0.02 star compare quite well with the
model computed by Ritossa
et al. (1996): the core mass (1.21
vs.
1.188
in this work), pulse duration (1.5 yr vs. 1.23 yr),
pulse mass
(
vs.
)
and temperature
(
K vs.
K),
as well as the envelope
temperature (
K) and overlap
factor (0.23 vs. 0.25)
are very similar. Our core growth rate (
vs.
)
is, however, slightly higher and the interpulse
duration consequently shorter in our models (120 yr vs.
200 yr). The origin of
these differences is hard to assess given the many differences between
these simulations in terms of both the constitutive physics (EOS,
opacities, nuclear rates), physical prescriptions (MLT, mass loss rate,
etc.) and numerics. At the beginning of the TP-SAGB phase, the envelope
composition of the 10
model of Ritossa et al.
(1996) is slightly
different for ours because of the different initial composition (they
start
with Y=0.28 and Z=0.02 while we
use Y=0.27 and Z=0.018) and
because of the
depth of the 2DUP, which allows a larger helium enrichment in their
model
(Y=0.397 vs. 0.387 in our models). Either way, these
abundances will be
largely reshaped during the thermally pulsing SAGB phase, especially
since
the Ritossa et al.
(1996) model experiences 3DUP.
We present in Table 1
selected properties of the evolution of our
SAGB models. The first and second columns identify the star by its
initial
mass and metallicity, Cols. 3-5 present the core mass (
), stellar
mass (
)
and envelope temperature (
)
at
the first thermal, Cols. 6-10 give the average pulse duration
(
), the
highest HeBS luminosity (
),
the maximum extent of the
He-driven convective zone (
),
the maximum
temperature at the base of the pulse (
)
and the
mean overlap factor (
), Cols. 11-13
present the average
interpulse duration (
),
mean core growth rate (
)
and final core
mass (
),
and Cols. 14-19 the mean envelope
temperature defined as
where
the integral starts from the time of the first thermal pulse, maximum
envelope temperature, as well as the period (
)
during which
,
the stellar age at the first thermal
pulse (
), the duration (
)
of the TP-SAGB phase
(time started from the first thermal pulse), and the number of computed
thermal pulses (
). This number has to be
compared with the
total number of pulses that are estimated from our postprocessing
calculations and specified in Tables 2-6 (only available at
the CDS) by
.
4 Nucleosynthesis and surface abundance evolution
At the end of the main sequence, SAGB stars with metallicities Z>
0.001experience the 1DUP. The main chemical signature is a surface
enrichment in
14N and 13C concomitant
with a decrease in 12C and
15N resulting in a 12C/13C
ratio of 20
(Siess 2007). As far as the
CNO are concerned, the signatures of the
2DUP are very similar to those of the 1DUP but because convection is
able
to penetrate deeper into the interior, the products of the NeNa and
MgAl
chains are also mixed in the envelope. As a result, the 2DUP is
responsible
for a very strong envelope enrichment in helium and, to a lower extend,
of
23Na. The dredge-out phenomenon, which occurs in
the most massive
SAGB stars at the end of carbon burning (Iben et al. 1997; Siess 2006),
also
increases the envelope abundances of 4He and 12C
significantly and at the end if this event the star becomes C-rich
(C/O > 1).
In the next section, we describe the nucleosynthesis taking place in the pulse and analyse how the composition inherited from the first and second dredge-ups is modified during the TP-SAGB phase.
![]() |
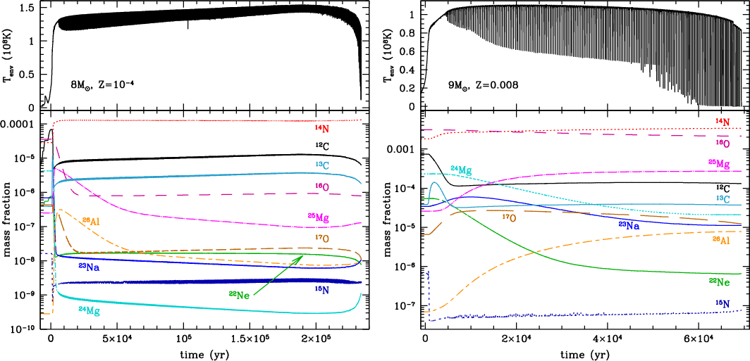
Figure 7:
Evolution of |
Open with DEXTER |
4.1 Pulse composition and nucleosynthesis
The energetics of the pulse is driven by He burning and mainly leads to the production of 12C and 16O. However, the conversion of helium is incomplete and at the time of the 3DUP, the typical intershell composition is 4He:12C:16O = 0.66:0.31:0.02. The intershell composition, and primarily the abundances of 12C and 16O, depends on the pulse temperature and on the treatment of mixing. For instance, Boothroyd & Sackmann (1988) find in their standard AGB models 4He:12C:16O = 0.76:0.22:0.02 in agreement with our values. Herwig et al. (1997), who included in their simulations some overshooting below the pulse, find a substantially different composition with 4He:12C:16O = 0.25:0.50:0.25.
The pulse ingests large amounts of 14N,
which was produced by HBB, and
converts it into 22Ne after successive -captures
through
the reactions 14N(
)18O(
). The high temperature
reached
at the base of the convective pulse (
K)
allows
an efficient burning of 22Ne via the (
,
n) and (
)
channels
leading to the synthesis of 25,26Mg. Above
K,
the 22Ne(
,
n) reaction becomes an important neutron source, and
neutron densities as high as 1011
can be achieved in the hottest
pulses. The released neutrons participate into the nucleosynthesis of
heavy
s-elements but also contribute to the production of 17O
and
23Na after (n,
)
reactions on 16O and 22Ne,
respectively. Note that 17O and 13C
reach equilibrium
abundances between their production by (n,
)
reactions on 12C and
16O, respectively, and their destruction by (
,
n)
reactions. 14N is an efficient neutron poison
that leads to the
production of protons via 14N(n,p) reactions.
The released protons
then participates into the fluorine production through the following
chain of
reactions 18O(p,
)15N(
)19F.
Not all the 15N
is produced by the previous reaction as some was present in the HBS.
Above
K,
fluorine is destroyed by 19F(
,
p)22Ne,
so its production is very weak in SAGB stars.
At the end of the short-lived thermal pulse, for K,
the neutron irradiation amounts to a
mbarn-1.
This is less than what is required from the weak
s-process component occurring in the He-burning convective core of
massive
stars (
mbarn-1,
Raiteri et al. 1991)
and much less
than what is expected from the radiative s-process nucleosynthesis
operating during the interpulse of low and intermediate mass stars
where
the neutron source is provided by 13C(
,
n) reactions and where
mbarn-1.
Because of this small neutron exposure, the
production of s-process elements in the convective pulse is expected to
be
small, but this may be compensated for by the large number of
irradiations. Additional studies are required to clarify this aspect.
4.2 Evolution of the envelope abundances
The absence of extra mixing at the edge of the convective boundaries
prevents the development of 3DUP episodes in our simulations.
Therefore,
after the 2DUP, the evolution of the surface abundances is caused
solely by
the action of hot bottom burning, the efficiency of which is mainly
governed by the temperature at the base of the convective envelope. To
illustrate the main nucleosynthetic features of TP-SAGB stars, we base
our
analysis on two distinct and somewhat extreme stars showing large
differences in the initial composition, pulse number, and envelope
temperatures. Namely, we will discuss the case of a 8 ,
Z=10-4 and
a 9
,
Z=0.008 where the evolution of the surface
abundances of
selected elements is reproduced in Fig. 7.
After a sharp increase in the temperature at the base of the
convective
envelope following the completion of the 2DUP, the CNO cycles are
activated. 12C is largely converted into 14N,
and the
12C/13C ratio reaches its
equilibrium value close to 3-4.
15N is also efficiently destroyed while 17O
is
produced. Above
K,
16O is efficiently depleted by
(p,
)
reactions, and in some hot models the C/O ratio becomes more that
unity. The star then becomes carbon rich, or more exactly, oxygen poor.
We
emphasise that this observational characteristic is not the result of a
carbon enrichment but rather of efficient oxygen depletion.
When the temperature approaches K,
protons get involved in
the NeNa chain. 22Ne is efficiently depleted to
the benefit of
23Na. Below
K,
23Na(p,
)
is faster than
23Na(p,
)
and the NeNa-burning chain cycles, allowing equilibrium
abundances to be reached among the involved nuclides. Above
K,
the channel to the MgAl chain opens and the efficient destruction
of 24Mg favours the production of the heavier
magnesium isotopes as
well as of 26,27Al. However, at the very high
temperatures (
K)
seen in our 8
,
Z=10-4 model, 25Mg
and 26,27Al are also destroyed and 28Si
is produced. In
short, very efficient HBB is responsible for a large production of
14N, 17O, 25Mg
and 26,27Al. Note also that in
the coolest stellar envelopes, such as the 9
,
Z=0.008 shown in
Fig. 7,
the envelope is removed before substantial
23Na depletion could occur.
It is worth emphasizing that HBB operates in an extremely thin
region at
the base of the convective envelope engulfing at most a few
10-5 .
In this region where most of the luminosity is produced,
the density drops from
10
down
to 10-4
(Fig. 3).
At the bottom of the envelope, the mixing timescale
is shorter than the nuclear timescale associated with the main
reactions
(for details see Siess &
Arnould 2008), thus allowing fresh material from the
upper part of the envelope to continuously feed the actively burning
shells.
5 SAGB yields
Yields were computed using the post-processing code described in
Siess & Arnould (2008).
This program inputs the results of the evolutionary
calculations (in practice the run of ,
luminosity, effective
temperature and radius) and a representative envelope structure (taken
during the interpulse) to recompute the evolution of the abundances in
the
convective zone. The equations of nucleosynthesis are solved
simultaneously
with the diffusion equation where the convective diffusion coefficient
is
given
where
is the convective velocity
provided by the MLT and
the mixing length. This
method reproduces the full computation quite accurately (to within
<
)
and enables calculation of the 7Li yields.
This
postprocessing code allows us to analyse the impact of nuclear reaction
rates uncertainties and to assess the effects associated with the third
dredge-up and with the treatment of convection. This program was also
used
to calculate the final TP-SAGB evolution, as all our simulations ended
before the envelope was completely removed. In the final evolution
towards
the white dwarf, we
assume that
continues to decrease linearly with the envelope mass
(
)
down to a temperature of
K
when the envelope mass
reaches 0.7
and then remains constant. The exact final value of
is not important as it is always below the minimum temperature for
HBB activation. For the mass loss rate, we also consider a linear
decrease in
with
,
the value of
being estimated from the last computed
models. These parametrisations reproduce the decrease in
and
found in the more evolved SAGB models computed by Doherty
et al. (2010, in preparation).
5.1 Sources of uncertainties
Many aspects of stellar modelling may affect the determination of the
stellar yields. Among them are the efficiency of the 3DUP, which
remains
highly uncertain and critically dependent on the assumed mixing
processes
operating at the base of the envelope. This situation is further
complicated in the case of SAGB stars where nuclear burning is vigorous
at the convective border. This is quite unfortunate because the
3DUP has a strong impact on the yields because it allows the products
of the
pulse nucleosynthesis to reach the envelope and eventually be expelled
into
the interstellar medium. In our post-processing calculations, we
assumed a
constant 3DUP efficiency
to maximise the effects and an
intershell composition given by 4He:12C:16O = 0.66:0.31:0.02.
As mentioned in Siess &
Arnould (2008), the feedback of the 3DUP
pollution on the evolutionary properties of the envelope is not taken
into
account in our postprocessing code. The results should thus be regarded
as
qualitative, especially at low metallicity where the modification of
the
envelope composition by the 3DUP can be large. A new grid of SAGB
models
experiencing 3DUP is currently running (Doherty et al. 2010,
in prep.), and they will
allow us to better quantify this effect.
Also crucial is the description of convection. As already
shown by
Sackmann & Boothroyd (1991)
and more recently by Ventura
& D'Antona (2005a), changing the
mixing length parameter
or adopting a different formalism for
convection can have a strong impact on the AGB evolution. In
particular,
when a higher value of
is adopted or when the full spectrum of
turbulence (Canuto &
Mazzitelli 1991) is used, the stellar luminosity and
the mass loss rate are higher. As a consequence the duration of the
TP-SAGB
phase is shorter and the pollution by the 3DUP episodes reduced. But
changing
also modifies the thermal structure of the envelope and
thus the efficiency of HBB. To simulate this effect (Siess & Arnould 2008),
we
artificially scaled the temperature profile so that
is increased or
decreased by
10%.
This change in
is also accompanied by a
corresponding change in the mass loss rate so when HBB is more
efficient,
the mass loss rate is also increased because of the addition nuclear
luminosity generated in the envelope. We arbitrarily increased
by
the same factor as
.
We are aware of the limitations of this approach
and emphasise again that these results should be taken with caution and
not
at face value.
The effects of nuclear reaction rates uncertainties are briefly discussed and the consequences of changing the mass loss rate also investigated. In the latter case, the feedback from changing the mass loss rate on the structure is not considered, so the conclusions of this analysis will again remain very qualitative. Nevertheless, such simulations provide us with a basic understanding on how the yields depend on these various parameters. We also emphasise that these effects are not independent and may act jointly.
5.2 Yields results
In this section, we define the yield Yk
of species k by
![]() |
(3) |
where


Hydrogen is depleted during HBB and the higher ;
i.e., the more massive
and the more metal poor the star, the lower the H yield. By
increasing the amount of 12C, the 3DUP also
enhances H destruction
by the CN cycle as its burning timescale is inversely proportional to
the
carbon abundance.
3He is efficiently destroyed by HBB.
The yields are negative and
decreases with decreasing mass and metallicity. This is mainly a
consequence of a longer TP-SAGB duration. Variation in
has a weak
impact on the 3He yields because this element
burns at much lower
temperatures than those found at the envelope base of SAGB stars.
Following the 2DUP, the surface 4He
enrichment continues during the
TP-SAGB phase and mass fractions as high as 0.4 may be reached
in the
envelope. It is interesting to note that the effects of 3DUP episodes
are
quite strong because of the combined effects of dredging-up He-rich (
intershell material and catalysing H destruction by enhancing the
envelope 12C mass fraction.
The extreme enrichment seen in the Z=10-4
models with 3DUP is clearly
not realistic and stems from the limitation of our models, which do not
take the feedback of these mixing episodes into account on the stellar
structure. Nevertheless, the massive helium production, already present
after the 2DUP, was invoked to explain the puzzling HB morphologies and
multiple main sequences observed in some globular clusters (Pumo et al. 2008).
7Li is produced during the TP-SAGB
phase by the Cameron & Fowler
(1971)
mechanism and subsequently destroyed by 7Li(p, )
when 3He
is no longer present in the envelope. The 7Li
production
can be quite large given the mass of the envelope, and in the most
massive
and most metal-rich SAGB stars that experience the strongest winds, a
substantial amount of 7Li can be released in
the interstellar medium
before it is destroyed. Values of
as high as 5 are
achieved during
the TP-SAGB phase. The 7Li yield is positive in
our higher mass
SAGB models. In the lower metallicity stars, the mass loss rate is
weaker,
and when 7Li has reached its maximum value and
starts to burn,
little mass has yet been ejected. This results in negative 7Li
yields for stars with Z
< 10-3 and
.
As emphasised by
Travaglio et al. (2001),
the lithium yields strongly depend on the assumed mass loss
rate. Although AGB stars are thought not to contribute
significantly to the
galactic Li content (Romano
et al. 2001,1999)
,
the exact implication of SAGB stars remains to be
assessed by detailed chemical evolution models.
With increasing initial mass, the star begins its TP-SAGB
phase with a
higher envelope carbon abundance (see Table 5 of Siess 2007). In our
standard models without 3DUP, the 12C yields
are negative, except in
the most massive and metal poorest stars where the 2DUP enrichment
cannot
be erased by HBB. But the 12C yields strongly
depend on the
efficiency of the 3DUP, especially in the lowest metallicity stars
where
its mass fraction in the envelope is initially very low. Simulating the
3DUP in the postprocessing calculations can increase the 12C
yields
by more than one order of magnitude. The relative increase in the
12C yields due to the 3DUP is greater in lower
mass stars where HBB
is less efficient despite the fact that these
stars start their TP-SAGB evolution with a lower 12C
content.
Accounting for possible variations in
introduces additional
uncertainties, but these effects are smaller than those associated with
the
3DUP pollution. As expected, higher temperatures favour 12C
depletion. More metal-poor SAGB stars achieve higher
values
mainly because of the lower initial carbon abundance.
The high value of
in SAGB stars forces the CN cycle to operate at
equilibrium (13C/12C
4)
so the 13C yields follow
the same trend as the 12C ones: they increase
with increasing
initial stellar mass and decreasing metallicity. The production of
13C is substantial in SAGB stars, and the main
uncertainties also
arise from the action of the 3DUP, which further enhances its envelope
abundance as a result of 12C(p,
)
reactions.
14N is massively produced in the
TP-SAGB envelope by HBB, and the
dependence of
on mass and composition are similar to those of
13C. Third dredge-up episodes increase the
surface 14N
abundance as a result of CN processing. This primary
source of 14N
becomes
the dominant yield component, but it is also very dependent on the
characteristics of the 3DUP (efficiency as well as intershell
composition).
Interestingly, 15N and 18O
yields depend on the treatment of
mixing as the nuclear timescale associated with (p, )
reactions
become comparable to the convective turnover timescale. Using a
simplified
approach that neglects the coupling between convective transport and
nuclear
burning overestimates the 15N and 18O
destruction by more
than one order of magnitude. The 18O yields are
always negative
and the 15N yields are positive in the
metal-poor stars with
.
As a general trend,
increases with the initial mass.
With
exceeding
108 K,
the ON cycle nearly operates at
equilibrium and with increasing temperatures, 16O
is further
converted into 17O and 14N.
In the absence of 3DUP, the
16O yields decrease with increasing mass and
and with
decreasing metallicity. The 3DUP feeds the envelope with 16O,
and the
enrichment is stronger at lower metallicity where the contrast between
the
envelope and dredged-up material compositions is more pronounced.
Despite
this primary injection from the intershell,
remains negative
in SAGB stars.
17O is significantly produced by the ON cycle in
SAGB stars. This
represents another strong signature of efficient HBB.
Despite some modest production in the thermal pulse, 19F is subsequently destroyed by proton captures at the base of the hot convective envelope. 19F yields remain always negative.
The evolution of species involved in the Ne-Na and Mg-Al
chains has been
discussed in detail in Siess
& Arnould (2008) in the context of SAGB stars and we
refer the reader to this publication for details. In short, given the
very
high temperatures encountered at the base of the SAGB envelope (
K),
there is strong leakage into the MgAl chains favouring the
production of 25Mg and 26,27Al.
In the hottest models,
26Mg production is by-passed by
26Al(p,
)27Si(
)27Al.
We also confirm the
results of Karakas &
Lattanzio (2003) and Denissenkov
& Herwig (2003) that the production of
heavy magnesium isotopes by HBB always leads to higher 25Mg.
The
3DUP enriches the envelope with 22Ne and 25,26Mg
and at low
metallicity (
)
the effects are even stronger than those
induced by changing
.
Overall, the yields of 25Mg and
26,27Al are positive, and the 22Ne,
23Na, and
24,26Mg ones negative. 20Ne
is almost unaltered while
21Ne is efficiently burnt in the envelope.
To get a better feeling for how the 3DUP affects the surface
abundances, we
performed additional simulations where its efficiency was set to
(instead of 0.8), while keeping the same intershell
composition.
Decreasing the 3DUP efficiency reduces the amount of intershell
material
that is diluted in the envelope after each pulse and increases the core
growth rate, which shortens the duration of the TP-SAGB phase. However,
in
realistic simulations this point may be wrong because of the
feedback from the 3DUP pollution on the envelope structure and on the
mass
loss rate. In the framework of our model, we find the anticipated
result
that when
is smaller, the envelope enrichment in 12C and
its CNO by-products (13C, 14N,
17O) as well as
22Ne and 23Na is less.
The yields of 4He, 7Li,
and of the Mg isotopes seem to be less affected by a change in
.
We also note that a modification of the 3DUP efficiency has a
greater impact on the more metal-poor stars. In our simulations, the
12,13C and 14N yields
are reduced by a factor of
2
when
decreases from 0.8 to 0.3 (see Tables 3
and 4 available at
the CDS).
Using the Iliadis
et al. (2001) reaction rates instead of the default
Angulo et al. (1999)
rates affects the production of the Ne, Mg, and Al
isotopes. The faster 23Na(p, )
rate of Iliadis et al.
(2001) favours the
leakage into the MgAl chain and accentuates the sodium depletion. As
mentioned in Siess & Arnould
(2008), the abundances of 24Mg and
26Mg are weakly affected by this change in
nuclear reaction
rates. But to correctly estimate the effects of the nuclear
uncertainties,
one should consider a more systematic approach like those developed by
Iliadis et al. (2002),
Stoesz & Herwig (2003),
or Izzard et al. (2007).
Concerning the
operation of the NeNa and MgAl chains, Izzard
et al. (2007) show that in
intermediate-mass stars experiencing strong HBB, the uncertainties on
the
nuclear cross section make the determination of the sodium and
aluminium
yields particularly unreliable. They report variations in 26Al
and
23Na up to two orders of magnitude, of more than
one dex for
24Mg and 27Al, and by a
factor between 2 and 7 for
20Ne and 21Ne. However,
in the case of SAGB stars, the
nuclear uncertainties are generally much smaller because of the higher
value of
(Siess & Arnould 2008).
Of course, this does not remove all
uncertainties, but at least they are expected to be smaller in our
stars.
Increasing the mass loss rate has the first effect of reducing
the duration
of the TP-SAGB phase and the exposition of the envelope material to
HBB. As
a consequence, more 7Li and 12,13C
can survive H burning, so
less 4He and 14N are
produced. Most of the elements involved
in the NeNa and MgAl chains are also less exposed to nuclear burning
and
their yields are slightly higher when
is higher. The
25,26Mg enhancements are stronger at lower
metallicity. But the mass
loss rate also influences the thermal structure of the envelope and
modifies the burning conditions at the base of the envelope, as well as
the
duration of the interpulse and the number of thermal
pulses. Ventura & D'Antona
(2005b) show that increasing
decreases the
12C yields because in this case, their stellar
models experience
fewer 3DUPs. For the other elements and in particular for 14N,
16O and 23Na, our
synthetic simulations qualitatively agree with
their self consistent models, producing the same abundance dependence
on
.
Tables 2-6 presenting the yields are available in the
electronic version of
the paper and can also be retrieved from the author's web
page. Table 2
presents the standard yields, Tables 3 and 4 the
yields computed with a
3DUP efficiency of
and 0.3, and Tables 5 and 6 the yields
computed by increasing and decreasing
by
,
respectively.
The number of thermal pulses experienced by the star (
)
is
specified in the third row. All the yields were computed using the
postprocessing code considering the full coupling between the nuclear
burning and the diffusive mixing.
6 Implication for globular cluster evolution
SAGB may also play an important role in the chemical evolution of
GCs. These stellar clusters are characterised by C-N, Li-Na, O-Na, and
Mg-Al
anticorrelations that are seen both in RGB and main sequence turn-off
stars (for a review Gratton 2007).
Stars within a given cluster show
a remarkable homogeneity in the heavy elements abundances (Fe-group and
-elements),
along with an almost constant C+N+O abundance. These
chemical peculiarities, which are not seen in field stars, can be
explained
in terms of hydrogen burning at high temperature
(Denissenkov
& Denissenkova 1990; Kudryashov & Tutukov 1988).
Currently, the most plausible scenario for
explaining these abundance patterns refers to the self-enrichment
scenario in
which an earlier stellar population contaminated the material out of
which
the presently observed stars formed. Fast-rotating massive stars
(Decressin et al. 2007),
as well as massive AGB stars undergoing efficient HBB
(Ventura et al. 2001),
have been identified as potential candidates. Both
models have their pros and cons (e.g. Charbonnel
2007), and we will try to
see in this section how the SAGB stars fit in this scenario. Our models
have to comply with basically three main observational constraints:
(i) the
C+N+O should remain roughly constant (within a factor of 2);
(ii) O-depletion is accompanied by Na-enhancement; and
(iii) Al is largely
produced. Putting aside the fast-rotating massive-star paradigm, only
AGB
stars in the narrow mass range 5-6
are able to achieve an
encouraging agreement with the observations (Ventura
& D'Antona 2008) provided
these stellar models include the highest cross section for the
22Ne(p,
)
reaction and an efficient convective energy transport
(either by using the FST formulation for convection or a high value for
the
parameter
in the MLT). We stress, however, that if rotational mixing
is included in the stellar models, this massive AGB stars scenario does
not
work. The reason is the transport of primary 12C
and
16O by shear turbulence outside the convective
core during central
He burning. During the subsequent 2DUP the convective envelope swept
through these layers and brings large amounts of carbon and
oxygen to the surface, raising the C+N+O by up to 2 dex, in
sharp contrast to current observations.
As far as the nucleosynthesis is concerned, SAGB models behave
very much
the same as massive AGB stars and thus have to face the same problems.
In
our standard non-rotating models, the absence of 3DUP maintains the sum
[(C + N + O)/Fe] constant, oxygen
depletion can be very efficient (down to ), Al is
produced (
)
if
is not
too high but the case of
23Na is more problematic. 23Na
is efficiently depleted in the
envelope, and the absence of 3DUP prevents its production by proton
capture
on the dredged-up 22Ne. Therefore, our more
O-depleted models are
also the most Na-poor. We are currently computing new SAGB models
(Doherty et al. 2010, in prep.) where the 3DUP is activated.
If the carbon enrichment
is not too great, such that the C+N+O remains almost constant, we may
be able to
achieve a better agreement with the GC observations. These aspects will
be
addressed in detail in a forthcoming paper.
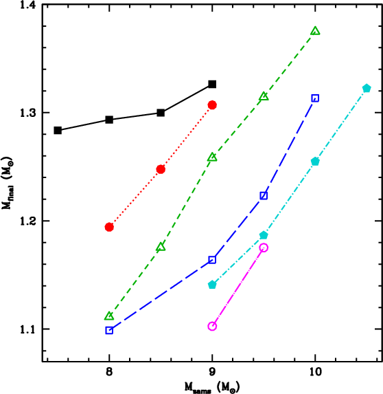
![]() |
Figure 8:
Theoretical initial-final mass relation for the models computed with Z=0.0001
(black square), 0.001 (red filled circle), 0.004 (green open triangle),
0.008 (blue open square), 0.02 (cyan filled pentagon), and Z=0.04
(magenta open circle). As outlined in the text, |
Open with DEXTER |
![]() |
Figure 9:
Stellar yields |
Open with DEXTER |
7 Discussion and summary
A direct output of our simulations is the first estimate of the
theoretical
initial-final mass relation for SAGB stars. The results
(Fig. 8),
however, remain largely uncertain given the overwhelming impact of core
overshooting that can virtually shift the SAGB
mass range down by 2 .
We also emphasise that, with our
conservative treatment of the convective boundaries (see
Sect. 1),
the initial SAGB mass should be regarded as an
upper limit. The final mass (
)
is also dependent on the mass loss and
core growth rates (Poelarends
et al. 2008; Siess 2007). For a given initial
mass,
increases with decreasing metallicity because metal-poor stars develop
a
more massive convective core during central He burning. On the
observational side, massive white dwarfs with
have
been observed (e.g. Kepler
et al. 2007; Nalezyty & Madej 2004),
but determining the
progenitor mass is difficult and highly uncertain. The observation of a
peak in the WD mass distribution around 1.2
(Liebert et al. 2005)
supports SAGB progenitors, although other channels involving accretion
onto
a CO white dwarf in a close binary evolution or binary mergers cannot
be
discarded. Furthermore, ONe WD are surrounded by an He-free shell and
might be difficult to identify and to differentiate from a CO WD.
Throughout this study, convection appeared at the centre of
many of our
interrogations and was the source of many uncertainties. Because
convection determines the temperature at the base of the envelope and
fixes
the extend of the stellar envelope, it directly affects the yields, as
well
as the mass loss rate, and in the end the fate of the SAGB star. As
mentioned previously, all our models encounter converge problems near
the
tip of the SAGB because of a large density inversion in the ionisation
layers. In a substantial fraction of the envelope radius, radiation
pressure dominates and locally the adiabatic index
falls below
the critical value of 4/3. In addition or most likely as a
consequence of
these structural features, these evolved models display very high
convective velocities (
). In the external layers of
the envelope,
reaches
70-80%
of the sound speed
and never gets
lower than
.
The fact of using a constant
for the
mixing length parameter, based on a solar calibration, is obviously not
appropriate anymore. Hydrodynamical simulations of the envelope of
giant
stars (Brun
& Palacios 2009; Freytag et al. 2002; Woodward
et al. 2003) have clearly established
that many of the assumptions on which the MLT is based are violated,
thus
casting doubt on the reliability of this formalism in giant
stars. Suspicions are also raised when trying to determine the location
of
the convective boundaries when active nuclear burning is operating at
the
base of the envelope. Our poor knowledge of convection presently limits
our
understanding of the structural and chemical evolution of SAGB stars.
Only
direct multidimensional simulations as courageously undertaken by
Dearborn et al. (2006),
Herwig et al. (2006),
Meakin & Arnett (2007),
Palacios & Brun (2008),
Mocák et al. (2009)
and others will eventually clarify these critical aspects.
According to the Salpeter IMF, SAGB stars are quite numerous
so one would
expect to see their chemical imprint on the galactic chemical evolution
(GCE). In particular the large production of nitrogen and 13C
should
show up after the extinction of the first SAGB population. Given that
the SAGB lifetime
is
yr, they are not
expected to participate into the GCE
before
.
Chiappini
et al. (2006,2005) show that below that
metallicity, fast-rotating massive stars can explain the large
production
of primary 14N observed in very metal-poor
stars. However, her
models have problems accounting for the high N/O ratios that are
present
around
(see Fig. 9 of Ekström
et al. 2008), a region
that corresponds precisely to the mass range of SAGB stars. This may be
one
of the signatures of their chemical pollution. But we also know that
SAGB
stars release substantial amounts of 13C. If
correctly taken into
account, their contribution may lower the 12C/13C
ratio to
the value observed in metal-poor stars (Chiappini
et al. 2008). Consistent
chemical evolution models that include realistic SAGB yields are needed
to
clarify their real impact on the GCE.
In summary, the evolution of thermally pulsing SAGB stars is
very similar
to that of intermediate mass stars. The main differences are the
frequency
and the strength of the instabilities, which are respectively much
shorter
and weaker than in their lower mass counterparts. Owing to their
massive
ONe cores, the internal structure of the TP-SAGB stars is hotter,
favouring
the 22Ne(,
n) reaction at the base of the pulse and very efficient
HBB in the envelope. We showed that SAGB stars are heavy producers of
14N, 13C, as well as of 17O,
25Mg,
26,27Al and in some cases of 7Li.
They also produce a
significant amount of 4He, and these signatures
may have imprinted
the early chemical evolution of galaxies and globular clusters. We
emphasise that SAGB yields suffer large uncertainties, mainly from the
treatment of convection, which determines the efficiency of HBB and the
properties of the 3DUP, which strongly impact the CNO yields,
especially in
the most metal poor stars. In the near future, we will released new set
of
SAGB yields based on SAGB models that experience efficient 3DUPs
(Doherty et al. 2010, in prep.). These new models
with help evaluate the impact of
SAGB stars on the chemical evolution of our galaxies and globular
clusters.
L.S. wishes to express his deepest gratitude to John Lattanzio for providing him the opportunity to spend 5 months in a very stimulating and friendly scientific environment. He also thanks his colleagues from CSPA for their warm hospitality. This research was supported under Australian Research Council's Discovery Projects funding scheme (project number DP0877317), by the Communauté française de Belgique - Actions de Recherche Concertées, and by the FNRS. L.S. is an FNRS research associate.
References
- Angulo, C., Arnould, M., Rayet, M., et al. 1999, Nucl. Phys. A, 656, 3 [NASA ADS] [CrossRef] [Google Scholar]
- Bloecker, T. 1995, A&A, 297, 727 [NASA ADS] [Google Scholar]
- Bloecker, T., & Schoenberner, D. 1991, A&A, 244, L43 [NASA ADS] [Google Scholar]
- Boothroyd, A. I., & Sackmann, I.-J. 1988, ApJ, 328, 653 [NASA ADS] [CrossRef] [Google Scholar]
- Brun, A. S., & Palacios, A. 2009, ApJ, 702, 1078 [NASA ADS] [CrossRef] [Google Scholar]
- Cameron, A. G. W., & Fowler, W. A. 1971, ApJ, 164, 111 [Google Scholar]
- Canuto, V. M., & Mazzitelli, I. 1991, ApJ, 370, 295 [NASA ADS] [CrossRef] [Google Scholar]
- Charbonnel, C. 2007, in Why Galaxies Care About AGB Stars: Their Importance as Actors and Probes, ed. F. Kerschbaum, C. Charbonnel, & R. F. Wing, ASP Conf. Ser., 378, 416 [Google Scholar]
- Chiappini, C., Matteucci, F., & Ballero, S. K. 2005, A&A, 437, 429 [NASA ADS] [CrossRef] [EDP Sciences] [Google Scholar]
- Chiappini, C., Hirschi, R., Meynet, G., et al. 2006, A&A, 449, L27 [NASA ADS] [CrossRef] [EDP Sciences] [Google Scholar]
- Chiappini, C., Ekström, S., Meynet, G., et al. 2008, A&A, 479, L9 [NASA ADS] [CrossRef] [EDP Sciences] [Google Scholar]
- Dearborn, D. S. P., Lattanzio, J. C., & Eggleton, P. P. 2006, ApJ, 639, 405 [NASA ADS] [CrossRef] [Google Scholar]
- Decressin, T., Meynet, G., Charbonnel, C., Prantzos, N., & Ekström, S. 2007, A&A, 464, 1029 [NASA ADS] [CrossRef] [EDP Sciences] [Google Scholar]
- Denissenkov, P. A., & Denissenkova, S. N. 1990, Sov. Astron. Lett., 16, 275 [NASA ADS] [Google Scholar]
- Denissenkov, P. A., & Herwig, F. 2003, ApJ, 590, L99 [NASA ADS] [CrossRef] [Google Scholar]
- Ekström, S., Meynet, G., Chiappini, C., Hirschi, R., & Maeder, A. 2008, A&A, 489, 685 [NASA ADS] [CrossRef] [EDP Sciences] [Google Scholar]
- Freytag, B., Steffen, M., & Dorch, B. 2002, Astron. Nachr., 323, 213 [NASA ADS] [CrossRef] [EDP Sciences] [Google Scholar]
- Garcia-Berro, E., Ritossa, C., & Iben, I. J. 1997, ApJ, 485, 765 [NASA ADS] [CrossRef] [Google Scholar]
- Gil-Pons, P., Suda, T., Fujimoto, M. Y., & García-Berro, E. 2005, A&A, 433, 1037 [NASA ADS] [CrossRef] [EDP Sciences] [Google Scholar]
- Gil-Pons, P., Gutiérrez, J., & García-Berro, E. 2007, A&A, 464, 667 [NASA ADS] [CrossRef] [EDP Sciences] [Google Scholar]
- Gratton, R. G. 2007, in From Stars to Galaxies: Building the Pieces to Build Up the Universe, ed. A. Vallenari, R. Tantalo, L. Portinari, & A. Moretti, ASP Conf. Ser., 374, 147 [Google Scholar]
- Grevesse, N., Noels, A., & Sauval, A. J. 1996, in Cosmic Abundances, ed. S. S. Holt, & G. Sonneborn, ASP Conf. Ser., 99, 117 [Google Scholar]
- Herwig, F., Bloecker, T., Schoenberner, D., & El Eid, M. 1997, A&A, 324, L81 [NASA ADS] [Google Scholar]
- Herwig, F., Freytag, B., Hueckstaedt, R. M., & Timmes, F. X. 2006, ApJ, 642, 1057 [NASA ADS] [CrossRef] [Google Scholar]
- Iben, I. J., Ritossa, C., & Garcia-Berro, E. 1997, ApJ, 489, 772 [NASA ADS] [CrossRef] [Google Scholar]
- Iliadis, C., Champagne, A., José, J., Starrfield, S., & Tupper, P. 2002, ApJS, 142, 105 [Google Scholar]
- Iliadis, C., D'Auria, J. M., Starrfield, S., Thompson, W. J., & Wiescher, M. 2001, ApJS, 134, 151 [NASA ADS] [CrossRef] [Google Scholar]
- Izzard, R. G., Lugaro, M., Karakas, A. I., Iliadis, C., & van Raai, M. 2007, A&A, 466, 641 [NASA ADS] [CrossRef] [EDP Sciences] [Google Scholar]
- Karakas, A. I., & Lattanzio, J. C. 2003, PASA, 20, 393 [Google Scholar]
- Kepler, S. O., Kleinman, S. J., Nitta, A., et al. 2007, MNRAS, 375, 1315 [NASA ADS] [CrossRef] [Google Scholar]
- Kudryashov, A. D., & Tutukov, A. V. 1988, Astronomicheskij Tsirkulyar, 1525, 11 [NASA ADS] [Google Scholar]
- Lattanzio, J. C. 1992, PASA, 10, 120 [NASA ADS] [Google Scholar]
- Liebert, J., Bergeron, P., & Holberg, J. B. 2005, ApJS, 156, 47 [NASA ADS] [CrossRef] [Google Scholar]
- Marigo, P., Bressan, A., & Chiosi, C. 1998, A&A, 331, 564 [NASA ADS] [Google Scholar]
- Meakin, C. A., & Arnett, D. 2007, ApJ, 667, 448 [NASA ADS] [CrossRef] [Google Scholar]
- Mocák, M., Müller, E., Weiss, A., & Kifonidis, K. 2009, A&A, 501, 659 [NASA ADS] [CrossRef] [EDP Sciences] [Google Scholar]
- Mowlavi, N. 1995, Ph. D. Thesis, Université Libre de Bruxelles, Belgium [Google Scholar]
- Nalezyty, M., & Madej, J. 2004, A&A, 420, 507 [NASA ADS] [CrossRef] [EDP Sciences] [Google Scholar]
- Nomoto, K. 1984, ApJ, 277, 791 [NASA ADS] [CrossRef] [Google Scholar]
- Paczynski, B. 1970, Acta Astron., 20, 47 [NASA ADS] [Google Scholar]
- Palacios, A., & Brun, A. S. 2008, in ed. L. Deng, & K. L. Chan, IAU Symp., 252, 175 [Google Scholar]
- Poelarends, A. J. T., Herwig, F., Langer, N., & Heger, A. 2008, ApJ, 675, 614 [NASA ADS] [CrossRef] [Google Scholar]
- Pumo, M. L., D'Antona, F., & Ventura, P. 2008, ApJ, 672, L25 [NASA ADS] [CrossRef] [Google Scholar]
- Raiteri, C. M., Busso, M., Picchio, G., & Gallino, R. 1991, ApJ, 371, 665 [NASA ADS] [CrossRef] [Google Scholar]
- Refsdal, S., & Weigert, A. 1970, A&A, 6, 426 [NASA ADS] [Google Scholar]
- Ritossa, C., Garcia-Berro, E., & Iben, I. J. 1996, ApJ, 460, 489 [NASA ADS] [CrossRef] [Google Scholar]
- Ritossa, C., García-Berro, E., & Iben, I. J. 1999, ApJ, 515, 381 [NASA ADS] [CrossRef] [Google Scholar]
- Romano, D., Matteucci, F., Molaro, P., & Bonifacio, P. 1999, A&A, 352, 117 [NASA ADS] [Google Scholar]
- Romano, D., Matteucci, F., Ventura, P., & D'Antona, F. 2001, A&A, 374, 646 [NASA ADS] [CrossRef] [EDP Sciences] [Google Scholar]
- Sackmann, I.-J., & Boothroyd, A. I. 1991, ApJ, 366, 529 [NASA ADS] [CrossRef] [Google Scholar]
- Schwarzschild, M., & Härm, R. 1965, ApJ, 142, 855 [NASA ADS] [CrossRef] [Google Scholar]
- Siess, L. 2006, A&A, 448, 717 [NASA ADS] [CrossRef] [EDP Sciences] [Google Scholar]
- Siess, L. 2007, A&A, 476, 893 [NASA ADS] [CrossRef] [EDP Sciences] [Google Scholar]
- Siess, L. 2009, A&A, 497, 463 [NASA ADS] [CrossRef] [EDP Sciences] [Google Scholar]
- Siess, L., & Arnould, M. 2008, A&A, 489, 395 [NASA ADS] [CrossRef] [EDP Sciences] [Google Scholar]
- Stoesz, J. A., & Herwig, F. 2003, MNRAS, 340, 763 [NASA ADS] [CrossRef] [Google Scholar]
- Travaglio, C., Randich, S., Galli, D., et al. 2001, ApJ, 559, 909 [NASA ADS] [CrossRef] [Google Scholar]
- Tuchman, Y., Glasner, A., & Barkat, Z. 1983, ApJ, 268, 356 [NASA ADS] [CrossRef] [Google Scholar]
- Vassiliadis, E., & Wood, P. R. 1993, ApJ, 413, 641 [NASA ADS] [CrossRef] [Google Scholar]
- Ventura, P., & D'Antona, F. 2005a, A&A, 431, 279 [NASA ADS] [CrossRef] [EDP Sciences] [Google Scholar]
- Ventura, P., & D'Antona, F. 2005b, A&A, 439, 1075 [NASA ADS] [CrossRef] [EDP Sciences] [Google Scholar]
- Ventura, P., & D'Antona, F. 2008, A&A, 479, 805 [NASA ADS] [CrossRef] [EDP Sciences] [Google Scholar]
- Ventura, P., D'Antona, F., Mazzitelli, I., & Gratton, R. 2001, ApJ, 550, L65 [NASA ADS] [CrossRef] [Google Scholar]
- Ventura, P., D'Antona, F., & Mazzitelli, I. 2002, A&A, 393, 215 [NASA ADS] [CrossRef] [EDP Sciences] [Google Scholar]
- Wagenhuber, J., & Groenewegen, M. A. T. 1998, A&A, 340, 183 [NASA ADS] [Google Scholar]
- Wagenhuber, J., & Weiss, A. 1994, A&A, 290, 807 [NASA ADS] [Google Scholar]
- Woodward, P. R., Porter, D. H., & Jacobs, M. 2003, in 3D Stellar Evolution, ed. S. Turcotte, S. C. Keller, & R. M. Cavallo, ASP Conf. Ser., 293, 45 [Google Scholar]
- Yoon, S.-C., Langer, N., & van der Sluys, M. 2004, A&A, 425, 207 [NASA ADS] [CrossRef] [EDP Sciences] [Google Scholar]
Footnotes
- ... phase
- Tables 2 to 6 are only available in electronic form at the CDS via anonymous ftp to cdsarc.u-strasbg.fr (130.79.128.5) or via http://cdsweb.u-strasbg.fr/cgi-bin/qcat?J/A+A/512/A10
- ...
budget
- This was checked by running test simulations where mixing and nucleosynthesis were coupled.
- ...
- By definition
where the abundances of Li and H are by number.
- ...
) - Travaglio et al. (2001) reach a different conclusion, but their results are criticised by Ventura et al. (2002).
- ... primary
- Primary elements are those that are directly synthesised from H and He and that do not depend on the initial composition.
- ...
page
- http://www-astro.ulb.ac.be/ siess/
All Tables
Table 1: General properties of the TP-SAGB models.
All Figures
![]() |
Figure 1:
Evolution of the He (
|
Open with DEXTER | |
In the text |
![]() |
Figure 2:
Structural evolution of a 10.5 |
Open with DEXTER | |
In the text |
![]() |
Figure 3:
Internal structure of an 8.5 |
Open with DEXTER | |
In the text |
![]() |
Figure 4:
Evolution of the pulse duration (
|
Open with DEXTER | |
In the text |
![]() |
Figure 5:
Physical conditions in the He-burning shell during a thermal pulse in a
10 |
Open with DEXTER | |
In the text |
![]() |
Figure 6:
Evolution of the interpulse period (
|
Open with DEXTER | |
In the text |
![]() |
Figure 7:
Evolution of |
Open with DEXTER | |
In the text |
![]() |
Figure 8:
Theoretical initial-final mass relation for the models computed with Z=0.0001
(black square), 0.001 (red filled circle), 0.004 (green open triangle),
0.008 (blue open square), 0.02 (cyan filled pentagon), and Z=0.04
(magenta open circle). As outlined in the text, |
Open with DEXTER | |
In the text |
![]() |
Figure 9:
Stellar yields |
Open with DEXTER | |
In the text |
Copyright ESO 2010
Current usage metrics show cumulative count of Article Views (full-text article views including HTML views, PDF and ePub downloads, according to the available data) and Abstracts Views on Vision4Press platform.
Data correspond to usage on the plateform after 2015. The current usage metrics is available 48-96 hours after online publication and is updated daily on week days.
Initial download of the metrics may take a while.