Issue |
A&A
Volume 512, March-April 2010
|
|
---|---|---|
Article Number | A58 | |
Number of page(s) | 6 | |
Section | Extragalactic astronomy | |
DOI | https://doi.org/10.1051/0004-6361/200913587 | |
Published online | 01 April 2010 |
X-ray power law spectra in active galactic nuclei
W. Ishibashi1,2 - T. J.-L. Courvoisier1,2
1 - ISDC Data Centre for Astrophysics, ch. d'Ecogia 16, 1290 Versoix, Switzerland
2 - Geneva Observatory, Geneva University, ch. des Maillettes 51, 1290 Sauverny, Switzerland
Received 3 November 2009 / Accepted 11 January 2010
Abstract
X-ray spectra of active galactic nuclei (AGN) are usually described as power law spectra, characterized by the spectral slope
or photon index
.
Here we discuss the X-ray spectral properties within the framework of
clumpy accretion flows, and estimate the power law slope as a function
of the source parameters.
We expect harder spectra in massive objects than in less massive
sources, and steeper spectra in higher accretion rate systems.
The predicted values of the photon index cover the range of spectral
slopes typically observed in Seyfert galaxies and quasars.
The overall trends are consistent with observations, and may account
for the positive correlation of the photon index with Eddington ratio
(and the possible anticorrelation with black hole mass) observed in
different AGN samples.
Spectral properties are also closely related to variability properties.
We obtain that shorter characteristic time scales are associated with
steeper spectra. This agrees with the observed ``spectral-timing''
correlation.
Key words: accretion, accretion disks - radiation mechanisms: general - galaxies: active - X-rays: galaxies
1 Introduction
Hard X-ray spectra of active galactic nuclei (AGN) are usually
decomposed into an underlying primary power law, a Compton reflection
hump and an iron line. The power law component, of the form
,
is characterized by the spectral slope
or photon index
.
Power law photon indices have been measured in different AGN samples, with typical values lying in the
range (Page et al. 2005; Piconcelli et al. 2005; Reeves & Turner 2000; Nandra & Pounds 1994).
The relationship between power law slope and source parameters like
black hole mass and accretion rate, has been extensively analyzed for
different AGN samples. The photon index is found to be anticorrelated
with black hole mass in samples drawn from the Palomar Green (PG)
survey (Piconcelli et al. 2005; Porquet et al. 2004), but this anticorrelation seems to disappear in higher luminosity objects (Shemmer et al. 2006).
A positive correlation between photon index and Eddington ratio
was reported in several papers (Shemmer et al. 2006; Piconcelli et al. 2005; Shemmer et al. 2008; Porquet et al. 2004).
But non-monotonic trends of the photon index on source parameters were also suggested (Kelly et al. 2008).
A difference in the power law slope was observed in different AGN
classes, in particular Seyfert 2 galaxies are found to have harder
spectra than Seyfert 1
galaxies (Zdziarski et al. 2000,1995).
Furthermore, Zdziarski et al. (1999) reported a significant correlation between reflection component and power law slope in Seyfert galaxies.
More recently, a ``spectral-timing'' correlation was discovered in AGNs (Papadakis et al. 2009), suggesting a close connection between X-ray spectral and variability properties.
The physical process at the origin of X-ray emission is assumed to be Comptonization of seed photons by energetic electrons in a hot plasma cloud. The observed X-ray spectra are indeed well represented by Comptonization models (Titarchuk 1994, and references therein). Titarchuk & Lyubarskij (1995) showed that power law spectra are the exact solution of the radiative kinetic equation and give an analytical solution for the spectral slope, valid without restriction on plasma physical parameters.
Here, we study the X-ray spectral properties within the framework of our cascades of shocks model, previously discussed (Ishibashi & Courvoisier 2009a; Courvoisier & Türler 2005,
hereafter Paper I).
In this picture, radiation is emitted as a result of shocks between
elements (clumps) within the inhomogeneous accretion flow.
Optically thick shocks give rise to optical/UV photons, which are later
upscattered by hot electrons in optically thin shocks. These second
generation shocks are responsible for the X-ray emission. Here we
compute the X-ray power law index
as a function of the object parameters in our model and compare it with
observations. In particular, we study the relationship between X-ray
spectral slope and source physical parameters, black hole mass and
accretion rate. We also discuss X-ray spectral properties in connection
with the X-ray variability properties analyzed in a previous paper (Ishibashi & Courvoisier 2009b, hereafter Paper II).
The present paper is organized as follows. We recall the main relevant features of our cascades of shocks model in Sect. 2. In Sect. 3 we compute analytical estimates of the power law index. A comparison of our results with observations is given in Sect. 4. We analyze the relationship between X-ray spectral and variability properties in Sect. 5. We discuss resulting implications and other more speculative aspects in Sect. 6. The main results are summarized in the Conclusion.
2 Cascades of shocks in clumpy accretion flows
We consider the accretion flow onto the central black hole to be very
inhomogeneous and model it as formed by individual clumps of matter
interacting with one another. At a typical distance of 100 Schwarzschild radii, clumps of mass
g move at the local free-fall velocity
cm/s (where
,
and the radial distance is expressed in units of the Schwarzschild radius,
).
The interaction between two such clumps and the resulting shock leads
to a gas cloud in rapid expansion, similar to a supernova explosion.
The shock occurs in optically thick conditions and a fraction
of the kinetic energy of the colliding clumps is converted into
radiative energy. As a result, optical/UV emission is radiated at the
photosphere of the expanding cloud. The photospheric radius is given by
![]() |
(1) |
In the inner regions of the object, expanding clouds overlap with one another, leading this time to optically thin shocks. In these shocks, electrons gain energy through Coulomb collisions with hot protons and cool through Compton emission. Seed photons for Compton cooling are provided by optical/UV photons emitted in the optically thick event. The average electron energy is set by the balance between Coulomb heating and Compton cooling rates:
![]() |
(2) |
The resulting electron temperature is of a few hundred keV, and thus Compton cooling of the hot electrons gives rise to X-ray emission.
In Paper I, we distinguished two classes of objects, Class S and
Class Q, depending on the volume filling factor of the expanding clouds
with respect to the local region size. The volume filling factor
was defined as
![]() |
(3) |
Class Q objects have large black hole mass (








We further defined two subcases, Cases A and B, comparing the electron
accretion and radiation time scales. The separation depends on whether
the ratio of the Compton cooling time (
)
over the local dynamical time (
)
is smaller or greater than unity.
In Class S, this condition can be written as (see Eq. (22) in Paper I)
![]() |
(4) |
We see that the time scale condition translates into a condition on the ratio of accretion rate to central mass,


![]() |
(5) |
where

Case A is defined by the condition
,
and Case B by the opposite condition,
.
In other words, for a given black hole mass, there are two cases
divided into lower accretion rate (Case A) and higher accretion
rate (Case B) systems. As shown in Paper I, the time scale
condition implies that only Case A is appropriate for Class Q
objects.
In Paper II, we introduced a characteristic X-ray time
scale and calculated that its dependence on black hole mass and
accretion rate is of the form
![]() |
(6) |
The model time scale is thus shorter for small black hole mass and/or high accretion rate. We have shown that this model dependence on black hole mass and accretion rate is in excellent agreement with the empirical relation obtained by McHardy et al. (2006).
3 Estimation of the power law spectral slope
The spectral shape of the X-ray emission, and in particular the value of the spectral slope, is determined by two plasma physical parameters: the electron temperature and the medium optical depth. The dimensionless electron temperature is defined as![]() |
(7) |
and is given by the balance between Coulomb heating and Compton cooling rates. The optical depth of the cloud is given by
where


We compute the power law spectral slope using estimates of the
electron temperature and optical depth obtained within our model. We
follow Titarchuk & Lyubarskij (1995) who give the exact analytical solution for the spectral index without restriction on plasma temperature and optical depth.
In the non-relativistic limit the spectral slope is given by
where the parameter

where the coefficient

3.1 Class S
The electron temperature in Class S was calculated in Paper I and is on the order of
We also estimated the typical electron density, which we parametrize here as

In Case A, the cooling time scale is longer than the dynamical
time scale, and the size of the upscattering region is therefore given
by the size of the shock region,
.
In Case B, the cooling time scale is shorter than the dynamical
time scale, the size of the Comptonization region is then given by the
distance over which electrons travel at the local free-fall speed
during the cooling time,
.
The optical depths for the two cases are obtained with Eq. (8)
We can now use these estimates of the optical depth to compute the parameter


![]() |
(14) |
![]() |
(15) |
We see that the power law spectrum is steeper in Case B (


We recall that Case A and Case B are distinguished by the time scale condition, expressed in terms of the
parameter, which may be considered as a measure of the Eddington ratio
.
We thus have two cases: the lower
case (Case A) and the higher
case
(Case B). Steeper spectra are predicted in the latter case, where
the optical depth decreases with increasing accretion rate for a given
black hole mass. Thus an object accreting at the Eddington limit can
have a very steep spectrum, with a photon index around
.
3.2 Class Q
The electron temperature in Class Q was also estimated in Paper I and is on the order of
![]() |
(16) |
The upscattering region size is roughly given by


with an appropriate parametrization of the electron density




4 Comparison with observations
4.1 Power law index range
X-ray power law spectra have been studied for a long time, and photon
indices in the hard energy band have been measured in different AGN
samples. Nandra & Pounds (1994) found a mean X-ray photon index in the range
for a sample of 27 Seyfert galaxies, based on Ginga observations.
Reeves & Turner (2000) analyzed a large
sample of 62 quasars (35 radio-loud and 27 radio-quiet) and
observe that the majority of quasars have a photon index in the range
.
Similar values are found for a sample of 40 quasars
(35 radio-quiet and 5 radio-loud), observed with XMM-Newton, from
the Palomar Green Bright Quasar Survey (PG BQS), with an average hard
X-ray power law index of
for the radio-quiet sub-sample (Piconcelli et al. 2005).
Thus observations indicate that the X-ray power law index spans a limited range, roughly between 1.5 and 2.5 (Shemmer et al. 2006,2008).
Combining Class S and Class Q objects, we obtain power law indices in the range
,
covering the typically observed values.
4.2 Dependence of the photon index on source parameters
The relationship between X-ray spectral slope, black hole mass and
Eddington ratio has been studied by many authors. The hard X-ray photon
index is observed to be correlated with the Eddington ratio and to
anticorrelate with the black hole mass in a sample of 21 low-redshift
Palomar Green quasars (Porquet et al. 2004).
The trend indicating a steepening of the observed spectrum for lower
black hole mass and higher accretion rates is confirmed for a larger
sample of PG quasars (Piconcelli et al. 2005).
Shemmer et al. (2006) analyzed a sample
of 30 moderate-to-high luminosity radio-quiet AGNs and reported a
significant correlation between the hard X-ray photon index and
normalized accretion rate (
), while they observed that the
anticorrelation
disappears when including the high-luminosity objects. Thus they argued
that the hard X-ray photon index depends primarily on the accretion
rate. This conclusion was reinforced by Shemmer et al. (2008), who suggested that the photon index
may be used as an accretion rate indicator.
Similar results, i.e. a
correlation and a weaker
anticorrelation, have been obtained in larger samples from the Sloan
Digital Sky Survey (SDSS), but with some caveats related to emission
lines used for the black hole mass estimates (Risaliti et al. 2009; Kelly et al. 2008).
Summarizing, observations tend to agree on the strong correlation
between hard X-ray photon index and some form of accretion rate, while
a weaker anticorrelation between
and black hole mass cannot be ruled out.
In our picture, smaller optical depths and hence steeper spectra are
expected in higher accretion rate systems (Case B) compared with
lower accretion rate objects (Case A). This agrees with the
observed
correlation.
Furthermore, very steep spectra (
)
are expected for low-mass objects accreting at high accretion rates
(Case B). Extremely steep spectra are in fact observed in the
particular class of Narrow-line Seyfert 1 (NLS 1) galaxies,
which are believed to be powered by small black holes accreting at
rates close to the Eddington limit. Therefore extreme Case B
objects might be associated with NLS 1 galaxies.
5 Relationship between X-ray spectral and variability properties
5.1 Characteristic variability time scale
X-ray spectral properties can be linked with X-ray variability properties.
The temporal structure is often analyzed in terms of the power spectral density (PSD).
The power spectrum is modeled by a power law of the form
,
where
is the temporal frequency.
A break is observed in the power spectrum at a given break frequency,
.
The associated time scale,
,
represents a characteristic X-ray time scale.
It is well known that narrow-line Seyfert 1 galaxies (NLS 1)
have higher break frequencies, or equivalently shorter characteristic
time scales, than broad-line galaxies (BLS 1) of the same mass. It
has been argued that for the same black hole mass, the break frequency
should be 20 times higher in NLS 1 galaxies than in BLS 1 objects (Papadakis 2004), suggesting that the break time scale might depend on additional parameters.
This led McHardy et al. (2006)
to propose a scaling relationship in which the characteristic time
scale has an explicit dependence on both black hole mass and accretion
rate. The observational relationship is of the form
![]() |
(18) |
where



Nikoajuk et al. (2009) raised the
possibility that the dependence of the variability properties on the
accretion rate might not be continuous. They instead suggest a bimodal
distribution, with BLS 1 and NLS 1 belonging to two distinct
populations (with a scaling factor differing by a factor of 20).
This bimodal behavior is attributed to a bimodal dependence on the soft
X-ray spectral slope rather than to a dependence on accretion rate.
In our picture, NLS 1 galaxies could be associated with
the highest accretion rate Case B objects, while BLS 1
objects having lower accretion rates might be linked with Case A
sources.
But the transition between the two cases will probably not result in a
bimodal distribution in the variability properties.
Moreover, the distinction between the two cases is related to the
accretion rate (through the
parameter), differing from the interpretation suggested by Nikoajuk et al. (2009).
5.2 ``Spectral-timing'' relation
![]() |
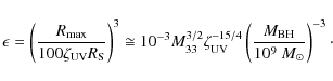
Figure 1:
Power law photon index |
Open with DEXTER |

In Paper II, we studied the X-ray variability properties within
our model, focusing on Class S objects since timing analyses are mainly
performed on local Seyfert 1 galaxies. We derived a characteristic
X-ray time scale of the form
d.
The model time scale is shorter for small black hole mass and/or high accretion rate.
The predicted dependence on black hole mass and accretion rate of the form
precisely reproduces the empirical relation
of McHardy et al. (2006).
In Case B, the optical depth decreases with increasing accretion rate (Eq. (13)),
and we obtain steeper spectra for high accretion rate objects, whereas
in Case A we do not have an explicit dependence on the accretion
rate parameter (Eq. (12)).
However, we recall that Case A is formed by lower accretion rate systems (Case A is indeed defined by the condition
),
which tend to have longer characteristic time scales.
In Case B, the characteristic time scale and the optical depth are
related through their dependence on black hole mass and accretion rate.
With Eq. (9), we can thus plot the spectral slope
or equivalently the photon index
as a function of the characteristic time scale for a given electron temperature (Fig. 1).
We note that Case B objects with steeper spectra are associated with shorter characteristic time scales and vice versa.
Case A objects would be confined towards higher values of
with a scatter around a characteristic
value.
Combining the above results, we obtain that the characteristic time scale is shorter and the spectrum steeper in higher accretion rate systems. This agrees with the observed ``spectral-timing'' relation. The shortest characteristic time scale along with the steepest spectrum should be obtained in the case of a low-mass object accreting at a high rate. Such extreme properties are indeed observed in NLS 1 galaxies. Thus black hole mass and accretion rate seem to determine both the X-ray variability and spectral properties.
6 Discussion
6.1 The
relation and the unification scenario
The correlation between photon index
and accretion rate, expressed in terms of the Eddington ratio
,
has been confirmed in numerous studies.
The usual interpretation of the
correlation is that an enhancement in the accretion rate leads to an
increase in the seed photon emission, which in turn leads to efficient
cooling and steeper spectra.
In our picture, the cooling time scale is shorter than the dynamical
time scale in the higher accretion rate regime (Case B), and thus
Compton cooling of the hot electrons is very efficient.
According to the unified model of AGNs, the distinction between
type 1 and type 2 objects is given by the orientation of the
obscuring torus with respect to the observer (Antonucci 1993).
In this scenario, high-energy spectra should be similar in both
type of objects since the absorption by the molecular torus should
not affect high energy spectra above 20-30 keV, unless the source
is Compton-thick. However, a difference in high-energy spectra has been
observed between Seyfert type 1 and type 2 objects, with
Seyfert 2 galaxies having harder spectra than Seyfert 1
galaxies (Zdziarski et al. 2000,1995).
Deluit & Courvoisier (2003) analyzed hard
X-ray spectra of Seyfert galaxies observed with BeppoSAX/PDS and found
differences between type 1 and type 2 sources that cannot
only be explained with orientation effects.
More recently, Middleton et al. (2008) report softer spectra in Seyfert 1 galaxies (
)
compared with Seyfert 2 galaxies (
).
In addition, they found a difference in the mean Eddington ratio, with
type 1 objects having higher values than type 2 sources. Thus
the authors argue that the steeper spectra observed in Seyfert 1
galaxies may be attributed to an intrinsic softening with increasing
accretion rate, consistent with the overall
correlation.
This difference in Eddington ratios between type 1 and type 2
objects has been also confirmed in a larger sample of 71 Seyfert
galaxies observed with INTEGRAL (Beckmann et al. 2009).
The difference between type 1 and type 2 objects would then
be given by the difference in their mean accretion rate, and the two
Seyfert sub-classes would belong to two different accretion rate
regimes. If this interpretation is correct, we might identify different
model cases with different observed categories, based on the accretion
rate parameter.
The lower accretion rate Seyfert 2 objects could then be
associated with Class S, Case A objects, while the higher
accretion rate Seyfert 1 galaxies might be linked with Class S,
Case B objects. But other authors claim the difference in spectral
slope between type 1 and type 2 objects is not significant
and compatible within uncertainties, when considering more complex
model fitting (Beckmann et al. 2009).
It then seems that the exact value of the spectral slope depends on the
complexities of the model used to fit the data, and the issue remains
still open.
6.2 The
relation and the radio-loudness dichotomy
While the
correlation seems secure, the dependence of the photon index on black hole mass is less clear.
A number of studies report an anticorrelation between
and
(Piconcelli et al. 2005; Porquet et al. 2004), but this anticorrelation has been claimed to disappear when including high-luminosity objects (Shemmer et al. 2006).
The
anticorrelation is confirmed in a large sample of 153 radio-quiet AGNs when using the
line as a black hole mass estimator, but an opposite trend is found when using the CIV line (Kelly et al. 2008).
Indeed the use of some emission lines as black hole mass estimators has
been questioned, in particular it has been argued that the CIV line is not a reliable mass estimator (Risaliti et al. 2009).
Thus the
anticorrelation cannot be ruled out and seems still significant, although clearly weaker than the
relation.
Here we obtain harder spectra in Class Q (
)
than in Class S (
)
objects.
Thus if the
anticorrelation is real, the predicted hardening of the spectrum with
increasing black hole mass is consistent with observations.
A systematic difference in the X-ray spectral slope, related to the
radio-loudness of the source, has been known for a long time.
Radio-loud objects have harder spectra (
)
than radio-quiet sources (
)
(Piconcelli et al. 2005; Page et al. 2005; Reeves & Turner 2000).
The flatter spectra observed in radio-loud AGNs are usually attributed
to an enhanced X-ray emission from the jet component. Note however that
variability analysis in 3C 273 has shown no correlation between X-ray
emission and radio-mm emission from the jet (Soldi et al. 2008).
On the other hand, a connection between radio-loudness and black hole
mass has also been observed. Analyzing a sample of PG quasars, Laor (2000) noted that nearly all objects with
are radio-loud, while sources with
are radio-quiet. He thus suggested a radio-loudness bimodality related to black hole mass.
This implies that the difference in
between radio-loud and radio-quiet objects may also be related to a
difference in their respective black hole mass. The association of
radio-loud objects with massive black holes is confirmed in larger
samples from the Sloan Digital Sky Survey (McLure & Jarvis 2004).
The above results imply that X-ray spectra should be harder in
radio-loud, hence more massive objects, a trend in agreement with the
anticorrelation. The fact that radio-loudness seems to be restricted to
objects with central masses larger than a critical value points toward
a still unknown relation between jet activity and black hole mass.
However, it is clear that other parameters like accretion rate and
black hole spin are required to account for the jet activity.
6.3 The reflection component
A Compton reflection component creating a hump above the underlying power law, with a peak around 30 keV is often observed in the X-ray spectra of AGNs. This spectral component is usually interpreted as due to reflection of hard X-ray photons off a cold optically thick medium, such as the accretion disk and/or the obscuring torus.
Reeves & Turner (2000) observe that the amount of reflection is much weaker in luminous, high-redshift objects compared with lower-luminosity Seyfert galaxies. Indeed no Compton reflection hump has been detected in a sample of 29 high-redshift quasars observed with XMM-Newton (Page et al. 2005). Similarly, Shemmer et al. (2008) found no significant reflection component in most of their high-redshift, high-luminosity sources. It seems that the importance of the Compton reflection component declines with increasing luminosity, i.e. it is weaker in high-luminosity quasars than in low-luminosity Seyfert galaxies. This trend cannot be uniquely attributed to Doppler boosting of the jet component, since the effect is observed in both radio-loud and radio-quiet sources.
In our picture, the reflection component can be discussed in terms of
the volume filling factor of the expanding clumps. We predict a weak
reflection component in Class Q objects, in which the volume filling
factor of the optically thick clouds is very small (
),
while a stronger reflection component is expected in the less massive
Class S objects, where the covering fraction is close to unity (
).
This behavior is qualitatively consistent with the observed decline in
importance of the reflection component with increasing luminosity of
the source.
In addition, the importance of the reflection component seems to be related to the X-ray spectral shape: a significant correlation between power law slope and amount of reflection has been observed in Seyfert galaxies (Zdziarski et al. 1999). Softer spectra are associated with a strong reflection component, while less reflection is observed in objects with harder spectra. In general, Seyfert galaxies are characterized by quite soft spectra together with large reflection. Such properties are expected in Class S objects, which we have identified with Seyfert galaxies. If the correlation between spectral slope and amount of reflection holds for higher-luminosity objects, then Class Q objects might be associated with sources having hard spectra and weak reflection.
7 Conclusion
We have studied the X-ray spectral properties within the clumpy
accretion flow scenario. In this picture, X-rays are directly emitted
as a consequence of the Compton cooling process of hot electrons in the
optically thin shocks. We compute the power law photon index using
estimates of the electron temperature and optical depth derived within
our model and obtain values of
corresponding to the typically measured values.
The predicted trends of the photon index with black hole mass and accretion rate may reproduce the observed
and
relations.
Spectral and variability properties are closely related, with steeper
spectra being associated with shorter characteristic time scales. In
our picture, such ``spectral-timing'' relation is derivedin a natural
way, through the dependence on source parameters. Thus both X-ray
spectral and variability characteristics seem to be mainly determined
by two parameters, black hole mass and accretion rate.
References
- Antonucci, R. 1993, ARA&A, 31, 473 [Google Scholar]
- Beckmann, V., Soldi, S., Ricci, C., et al. 2009, A&A, 505, 417 [NASA ADS] [CrossRef] [EDP Sciences] [Google Scholar]
- Courvoisier, T. J.-L., & Türler, M. 2005, A&A, 444, 417 [NASA ADS] [CrossRef] [EDP Sciences] [Google Scholar]
- Deluit, S., & Courvoisier, T. J.-L. 2003, A&A, 399, 77 [NASA ADS] [CrossRef] [EDP Sciences] [Google Scholar]
- Ishibashi, W., & Courvoisier, T. J.-L. 2009a, A&A, 495, 113 [NASA ADS] [CrossRef] [EDP Sciences] [Google Scholar]
- Ishibashi, W., & Courvoisier, T. J.-L. 2009b, A&A, 504, 61 [NASA ADS] [CrossRef] [EDP Sciences] [Google Scholar]
- Kelly, B. C., Bechtold, J., Trump, J. R., Vestergaard, M., & Siemiginowska, A. 2008, ApJS, 176, 355 [NASA ADS] [CrossRef] [Google Scholar]
- Laor, A. 2000, ApJ, 543, L111 [NASA ADS] [CrossRef] [Google Scholar]
- McHardy, I. M., Koerding, E., Knigge, C., Uttley, P., & Fender, R. P. 2006, Nature, 444, 730 [NASA ADS] [CrossRef] [PubMed] [Google Scholar]
- McLure, R. J., & Jarvis, M. J. 2004, MNRAS, 353, L45 [NASA ADS] [CrossRef] [Google Scholar]
- Middleton, M., Done, C., & Schurch, N. 2008, MNRAS, 383, 1501 [NASA ADS] [CrossRef] [Google Scholar]
- Nandra, K., & Pounds, K. A. 1994, MNRAS, 268, 405 [NASA ADS] [CrossRef] [Google Scholar]
- Niko▯ajuk, M., Czerny, B., & Gurynowicz, P. 2009, MNRAS, 394, 2141 [NASA ADS] [CrossRef] [Google Scholar]
- Page, K. L., Reeves, J. N., O'Brien, P. T., & Turner, M. J. L. 2005, MNRAS, 364, 195 [NASA ADS] [CrossRef] [Google Scholar]
- Papadakis, I. E. 2004, MNRAS, 348, 207 [NASA ADS] [CrossRef] [Google Scholar]
- Papadakis, I. E., Sobolewska, M., Arevalo, P., et al. 2009, A&A, 494, 905 [NASA ADS] [CrossRef] [EDP Sciences] [Google Scholar]
- Piconcelli, E., Jimenez-Bailón, E., Guainazzi, M., et al. 2005, A&A, 432, 15 [NASA ADS] [CrossRef] [EDP Sciences] [Google Scholar]
- Porquet, D., Reeves, J. N., O'Brien, P., & Brinkmann, W. 2004, A&A, 422, 85 [NASA ADS] [CrossRef] [EDP Sciences] [Google Scholar]
- Reeves, J. N., & Turner, M. J. L. 2000, MNRAS, 316, 234 [NASA ADS] [CrossRef] [Google Scholar]
- Risaliti, G., Young, M., & Elvis, M. 2009, ApJ, 700, L6 [NASA ADS] [CrossRef] [Google Scholar]
- Shemmer, O., Brandt, W. N., Netzer, H., Maiolino, R., & Kaspi, S. 2006, ApJ, 646, L29 [NASA ADS] [CrossRef] [Google Scholar]
- Shemmer, O., Brandt, W. N., Netzer, H., Maiolino, R., & Kaspi, S. 2008, ApJ, 682, 81 [NASA ADS] [CrossRef] [Google Scholar]
- Soldi, S., Türler, M., Paltani, S., et al. 2008, A&A, 486, 411 [NASA ADS] [CrossRef] [EDP Sciences] [Google Scholar]
- Titarchuk, L. 1994, ApJ, 434, 570 [NASA ADS] [CrossRef] [Google Scholar]
- Titarchuk, L., & Lyubarskij, Y. 1995, ApJ, 450, 876 [NASA ADS] [CrossRef] [Google Scholar]
- Zdziarski, A. A., Johnson, W. N., Done, C., Smith, D., & McNaron-Brown, K. 1995, ApJ, 438, L63 [NASA ADS] [CrossRef] [Google Scholar]
- Zdziarski, A. A., Lubinski, P., & Smith, D. A. 1999, MNRAS, 303, L11 [NASA ADS] [CrossRef] [Google Scholar]
- Zdziarski, A. A., Poutanen, J., & Johnson, W. N. 2000, ApJ, 542, 703 [NASA ADS] [CrossRef] [Google Scholar]
All Figures
![]() |
Figure 1:
Power law photon index |
Open with DEXTER | |
In the text |
Copyright ESO 2010
Current usage metrics show cumulative count of Article Views (full-text article views including HTML views, PDF and ePub downloads, according to the available data) and Abstracts Views on Vision4Press platform.
Data correspond to usage on the plateform after 2015. The current usage metrics is available 48-96 hours after online publication and is updated daily on week days.
Initial download of the metrics may take a while.