Issue |
A&A
Volume 512, March-April 2010
|
|
---|---|---|
Article Number | A17 | |
Number of page(s) | 6 | |
Section | Extragalactic astronomy | |
DOI | https://doi.org/10.1051/0004-6361/200913611 | |
Published online | 23 March 2010 |
Prominent spiral arms in the gaseous outer galaxy disks
1 - Dipartimento di Fisica, Università degli Studi di Milano,
via Celoria 16, 20133 Milano, Italy
2 -
Dipartimento di Fisica, Università di Pisa, Largo Bruno
Pontecorvo 3, 56127 Pisa, Italy
Received 5 November 2009 / Accepted 11 December 2009
Abstract
Context. Several spiral galaxies, as beautifully exhibited
by the case of NGC 6946, display a prominent large-scale spiral
structure in their gaseous outer disk. Such structure is often thought
to pose a dynamical puzzle, because grand-design spiral structure is
traditionally interpreted as the result of density waves carried mostly
in the stellar disk.
Aims. Here we argue that the outer spiral arms in the cold gas
outside the bright optical disk actually have a natural interpretation
as the manifestation of the mechanism that excites grand-design spiral
structure in the main, star-dominated body of the disk: the excitation
is driven by angular momentum transport to the outer regions through
trailing density waves outside the corotation circle that can penetrate
beyond the Outer Lindblad Resonance in the gaseous component of the
disk.
Methods. Because of conservation of the density wave action,
these outgoing waves are likely to become more prominent in the outer
disk and eventually reach nonlinear amplitudes. To calculate the
desired amplitude profiles, we make use of the theory of dispersive
waves.
Results. If the conditions beyond the optical radius allow for
an approximate treatment in terms of a linear theory, we show that
fitting the observed amplitude profiles leads to a quantitative test on
the density of the disk material and thus on the dark matter
distribution in the outer parts of the galaxy.
Conclusions. This study is thus of interest to the general problem of the disk-halo decomposition of rotation curves.
Key words: galaxies: spiral - galaxies: structure - galaxies: halos - galaxies: kinematics and dynamics
1 Introduction
Deep HI observations of nearby galaxies have led to the discovery of a number of important phenomena that are changing our views of the structure and dynamics of galaxies. These include the existence in early-type galaxies of regular and radially extended HI disks (Oosterloo et al. 2007a), the presence in spiral galaxies of extraplanar gas characterized by slow rotation (for NGC 891 see Oosterloo et al. 2007b; for NGC 2403, see Fraternali et al. 2002), and the properties of small-scale structures in the HI distribution (for NGC 6946, see Boomsma et al. 2008). One interesting related discovery is the existence of regular and prominent spiral arms in the gaseous outer disk, well outside the bright optical disk (Shostak & van der Kruit 1984; Dickey et al. 1990; Kamphuis 1993; for NGC 2915, see Meurer et al. 1996; for NGC 3741, see Begum et al. 2005). In this respect, a particularly impressive example is given by the case of NGC 6946 (Boomsma 2007; Boomsma et al. 2008, see Fig. 1), where a spectacular set of gaseous arms can be traced all the way out, with a significant degree of regularity and symmetry even if the outer disk is clearly lopsided and characterized by a fragmentary structure; the outer arms also appear to contain stars (see Ferguson et al. 1998, who also analyze the interesting cases of NGC 628 and NGC 1058; and Sancisi et al. 2008).
The study of spiral structure in galaxies has received great attention in the past. It is now generally thought that grand-design structure is the manifestation of density waves, mostly carried by the stellar component of galaxy disks. A general framework for the interpretation of the observed morphologies, based on a density wave theory, has received significant support from the observations of spiral galaxies in the near-infrared (see Bertin & Lin 1996, and references therein). It might thus appear as a puzzle to find well-organized spiral patterns in the outer disk, in a region where stars are practically absent.
The above-mentioned deep HI studies also serve as interesting
probes in view of defining an appropriate visible matter - dark
halo decomposition of the gravitational field in galaxies. In
particular, the studies of prominent spiral arms in the gaseous
outer disks have raised two issues that separately point to the
question of whether the outer disk is light or heavy. On the one
hand, concerns have been raised about the applicability in this
region of the criterion for the onset of star formation proposed
by Kennicutt (1989), which relies on a threshold on the
axisymmetric stability parameter
.
Accordingly, light disks with low
should be unable to
make new stars; but in the outer parts the disk might be flared
and three-dimensional effects may change the picture significantly
(in this regard, see also the comments by Ferguson et al.
1998). On the other hand, there is widespread belief (see Sancisi et al. 2008, p. 212) that light
disks should be unable to support a spiral structure (see Toomre
1981; Athanassoula et al. 1987; criticism against this belief can
be found e.g. in the article by Bertin et al. 1989a).
In general, the arguments often put forward in favor of a maximum-disk decomposition of the rotation curves of spiral galaxies (starting with van Albada & Sancisi 1986) still await a decisive measurement to remove the remaining degeneracy that characterizes such a decomposition. Some projects, like the ``disk mass project'' (Verheijen et al. 2004, 2007), aim at making full use of three-dimensional gas and stellar dynamical data so as to decompose the field, much like in the classical problem of the disk thickness in the solar neighborhood (Oort 1932; Bahcall 1984; Kuijken & Gilmore 1989; Crézé et al. 1998; Holmberg & Flynn 2000, 2004). Dark halos are generally thought to be made of collisionless dark matter and to have spheroidal shape, but it would be important to have direct proof that the outer disk of spiral galaxies is indeed light, as opposed to the possibility that the disk is heavy because of large amounts of molecular material (Pfenniger et al. 1994; see also Revaz et al. 2009).
One interesting aspect of galactic dynamics is that models for the interpretation of observed structures generally offer independent diagnostics of the overall mass distribution. In this paper we will present one more example of this general aspect of dynamics. Indeed, we will propose a model for the observed spiral structure in the outer disk and then will show how the model can be tested and applied to probe the structure of the outer disk in relation with the problem of the amount and distribution of dark matter.
![]() |
Figure 1: Total HI distribution of NGC 6946 superimposed to its optical image; courtesy of Filippo Fraternali (see Boomsma et al. 2008). |
Open with DEXTER |
In passing we note that in principle one might test the properties of the final model (i.e., disk-dark matter decomposition) identified by our technique in specific cases against the expectations of non-Newtonian theories of gravity such as MOND; but of course, a discussion within MOND of the full problem including the behavior of density waves is currently not available.
The picture presented in this paper is the following. Global spiral modes are driven by the transfer of angular momentum to the outer regions (see Bertin et al. 1989a,b and references therein; see also Lynden-Bell & Kalnajs 1972; Bertin 1983). Outside the corotation circle, the transfer is performed by short trailing waves. At the outer Lindblad resonance, these outgoing waves are fully absorbed in the stellar disk (Mark 1971, 1974), but only partially absorbed in the gaseous component (Pannatoni 1983; Haass 1983), so that the signal can penetrate beyond this resonance and propagate in the HI disk, if present. The outer spiral arms are thus interpreted as the natural extension in the outer disk of the short trailing waves that are responsible for exciting the global spiral structure in the star-dominated main body of the galaxy disk. The amplitude profile of these outer arms should simply follow the requirements dictated by the conservation of wave action (Shu 1970; Dewar 1972). Because of this conservation, the amplitude of the outer arms is expected to increase with radius in the regions where the inertia of the disk becomes smaller and smaller, much like ocean waves can reach high amplitudes when moving close to the shore. In these outer regions the density wave is thus carried by the gas, but the stars present would collectively respond and some new stars may be born because of the gas compression which follows the gaseous arms.
Of course, galaxies such as NGC 6946 or NGC 628 and the blue compact dwarf NGC 2915 are very different objects; each case should thus be studied separately in detail, and each individual object may have its own special character. Here we wish to offer one quantitative reference frame for a common mechanism that should operate in general in the outer parts of galaxy disks.
A fully nonlinear, three-dimensional analysis of the properties of density waves in the HI outer disk is not available, but we can hope that under suitable conditions an approximate description based on the laws of conservation of wave action for low-amplitude density waves is viable. In any case, it should be tested against the observations. Since fitting the data requires assumptions on the density associated with the spiral arms and the density associated with the fluid basic state, a test of this scenario would be able to tell how much mass in the outer disk is present in the form of molecular gas.
2 Physical model and calculation of the amplitude profiles
We refer to a grand-design spiral galaxy dominated by a global
mode with m arms and a pattern frequency
and
consider for simplicity a barotropic fluid model of an
infinitesimally thin disk as an idealized representation of the
gaseous outer regions of the galaxy. In terms of standard polar
cylindrical coordinates
,
let
be the disk mass density,
the
fluid velocity field, and c the effective sound speed of the
fluid. The quantity
is the differential
rotation. As a measure of the distance from the corotation radius,
we then refer to the dimensionless quantity
,
where
is the epicyclic frequency. Below
subscript 0 refers to the axisymmetric basic state of
the disk and subscript 1 to the perturbation on this
equilibrium associated with the large-scale spiral structure. In
the notation just introduced, the relevant axisymmetric stability
parameter is defined as
.
According to the general picture of the modal theory of spiral
structure (see Bertin & Lin 1996, and references therein),
the global mode is associated with an outgoing (short) trailing
wave outside the corotation circle. In general, for a normal spiral
mode the corotation circle is expected to occur at the edge of the
optical disk (i.e., at
,
with h the
exponential scale of the stellar disk), while for a barred spiral
mode the corotation circle is expected to occur just outside the
tip of the bar, in the middle of the optical disk, at
.
In the gaseous outer disk the outgoing trailing
wave can penetrate beyond the outer Lindblad resonance (which
occurs at the radius
where
). This section is
aimed at calculating the amplitude profile of the spiral arms in
the outer regions for
.
In this region the
calculation of the amplitude profile is particularly simple,
while the properties of the spiral structure out to
are determined by the processes that govern the main body
of the disk (see Bertin & Lin 1996).
In the linear theory of density waves, the calculation can be
performed in a straightforward manner by imposing the conservation
of the density of wave action (see Shu 1970; Dewar 1972; Bertin
1983). Mathematically this is equivalent to carrying out the
analysis that leads to the standard algebraic dispersion relation
for density waves
,
with
(where the radial wavenumber
is associated with the
pitch angle of the spiral arms,
), to the next
order in the WKB expansion (e.g., see Bertin 2000, Chapter 17.3;
see Eqs. (17.2), (17.22), (17.28), (17.30), and (17.42)).
In particular, the linear density wave analysis of a zero-thickness
barotropic fluid disk is best carried out in terms of the enthalpy
perturbation
.
The WKB asymptotic analysis then leads to a Schroedinger-like equation of the form
where for tightly wound density waves the function g is given approximately by
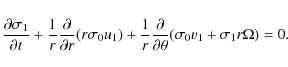
The function u in Eq. (1) is defined in terms of the function h1 in such a way that the amplitudes of the two functions are related as
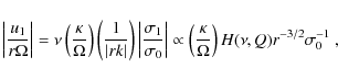
The WKB analysis of the turning-point equation for u shows that away from the turning points the amplitude of u must scale as

where
![]() |
(5) |
The proportionality constant is independent of r. Thus Eq. (4) provides the desired expression for the amplitude profile of the density wave in the outer regions.
In order to complete the description of the amplitude profiles of
the spiral arms, we may then consider the linearized continuity
equation:
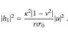
Since the vorticity equation shows that
![$v_1 = (i/\nu)
[\kappa/(2 \Omega)] u_1$](/articles/aa/full_html/2010/04/aa13611-09/img36.png)
![]() |
(7) |
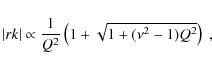
By inserting here the solution for k associated with the (short) trailing wave branch,
we find
with
![]() |
(10) |
Again, the proportionality factor is independent of r. Note that the first part of Eq. (9) is an equality, not a proportionality relation. In other words, the scale in the velocity amplitude u1 is uniquely determined by the scale in the amplitude of the density wave

2.1 Effects of the flaring of the outer disk
The analysis described previously can be generalized to include
the effects of the finite thickness of the disk. In the discussion of
the dynamics of selfgravitating disks, these effects are often
ignored, but may actually play an important role; in our case,
significant effects would be naturally expected if the disk is flared in the outer
parts, as often observed. Qualitatively, these
effects should become significant for short waves when the
wavelength of the density wave becomes comparable to the thickness
of the disk; in terms of local stability, finite-thickness effects
are known to be stabilizing, because they effectively ``dilute''
the gravity field. Quantitatively, they are approximately
incorporated by the following dispersion relation (see Vandervoort
1970; Yue 1982):
where z0 represents the disk thickness (defined in a way that the disk surface density



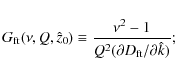
The modification of the dispersion relation with respect to the standard one used earlier in Sect. 2 changes the expression of the trailing wave-branch that carries angular momentum outwards


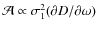
From the general theory of dispersive waves, we know that the flux
of density wave action is
,
with the group velocity
and the wave action density
.
Thus we have
.
In the derivation reported in the first
part of the section the factor
enters
in the conservation Eq. (4) as
,
with the latter
derivative evaluated from the zero-thickness dispersion relation
on the short trailing wave-branch (8).
Therefore, the desired conservation equation in the finite
thickness case becomes
where now we have
here the partial derivative is evaluated at

The corresponding expression for the amplitude profile in the
velocity field is obtained from Eq. (9) by replacing
with
,
with
In the following subsection it will be shown that flaring effects are under control and do not significantly change the general predictions of the zero-thickness theory.
2.2 A simple reference model
To test the overall picture we may consider the following simple
reference model. We refer to a two-armed spiral structure (m =
2) in an outer disk characterized by a flat rotation curve, so
that
,
,
and
.
To be specific, we will assume
that
,
in terms of the exponential scale h of the
(inner) stellar disk. Thus the outer Lindblad resonance will occur
at
.
Therefore, at
we are
outside the circle associated with the outer Lindblad resonance,
in a region where we expect the disk to be gas dominated, so that
beyond this radius we may proceed to apply our fluid model.
As a further simplification, we take the conservative case in
which
.
This corresponds to
a very gentle decline of the gas density profile. (For faster
declining profiles we expect that the relative strength of the
spiral amplitude should be more pronounced as we move outwards
(cf. Eq. (4)) and thus give rise to a stronger
effect.) In our
simple reference model, the gas density is then proportional to
the differential rotation, so that we find
and
.
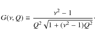
In a zero-thickness disk the
pitch angle of the spiral arms depends only on
and Q within the adopted reference model, because (cf.
Eq. (8))
where the proportionality constant is independent of the radius. In this case we are thus left to discuss the dependence Q = Q(r). There are observational indications (cf. Boomsma et al. 2008, Fig. 6) that the gas velocity dispersion is steadily declining in the outer disk, while in the present simple model the quantity


In conclusion, the present simple zero-thickness model is characterized by
,
,
and
.
By applying Eqs. (8), (4), and
(9) we can proceed to
calculate the desired profiles i(r),
,
and
.
In the finite thickness case, the wavenumber for short trailing
waves
is obtained from the dispersion
relation Eq. (11), which can also be used to
calculate the two relevant quantities
and
.
The remaining point that requires
discussion is the radial dependence of the two functions
and Q = Q(r).
As to the vertical thickness of the outer disk, it can be shown (see Appendix A in Bertin & Lodato 1999) for our reference
model, which is characterized by
and
,
that in
each of the two opposite limits of a totally selfgravitating disk
and of a non-selfgravitating layer the thickness behaves as
,
so that taking
constant is a reasonable
choice. In addition, since we refer to a fluid, the
relevant velocity dispersion tensor is isotropic (
cr = cz =
c), so that there is a one-to-one relation between the value of
Q and the value of
that we are going to take; let us
denote this relation by
.
On the other
hand we should assume that
the disk is at marginal stability, i.e.
(see Eq. (15.22) in Bertin 2000) for a proper comparison with the zero-thickness reference
model described earlier in this subsection. By combining the above
requirements into
we get a unique value for the pair
,
as demonstrated in Fig. 2. With this
determination we can calculate the desired profiles i(r),
,
and
for the finite
thickness model from Eqs. (11), (14), (15), and
(13).
![]() |
Figure 2:
For our simple reference fluid model with
|
Open with DEXTER |
The results of this analysis are illustrated in Fig. 3 in the
radial interval
6 h < r < 10 h. In this figure we assumed
that at r = 6 h the relative amplitude of the density wave is
and that the pitch angle of the spiral
structure at this inner location is 15 degrees. The figure shows
that even for the presently assumed very gentle decline of the gas
density distribution the amplitude of the spiral wave steadily
increases with the radius. Note that in the two limits of a totally
selfgravitating disk and a non-selfgravitating disk the
finite-thickness effects do not change the general picture;
similar results and a similar conclusion have been checked to hold
using a dispersion relation alternative to
Eq. (11), in which the dilution of the
gravitational term
is exponential rather
than rational.
![]() |
Figure 3:
Relative amplitude
profiles of the spiral arms in
terms of
density
|
Open with DEXTER |
3 Discussion and conclusions
HI observations of the gaseous outer regions provide measurements
of the HI gas density
,
of the rotation curve
,
and of the turbulent velocity
,
which we
identify with c. We argue that the actual disk density is
traced by the atomic hydrogen, so that
.
In the simplest model we take
,
i.e. take that
the outer disk just contains the relevant proportion of helium.
For the following discussion, we assume that the thickness
z0 of the gaseous outer disk is not well constrained by the
observations, since we wish to consider objects with prominent
observed spiral arms and therefore galaxies that are not edge-on.
On the other hand, instead of considering the thickness profile
z0 = z0(r) as an additional free function of the problem, we
refer to a self-consistent estimate of such profile, which is
readily available (e.g., see Appendix A in Bertin & Lodato 1999
and Sect. 2.2 in the present paper).
Clearly, if the linear theory is viable, the basic
relations are over-constrained by the data, since we only have
some leverage on the precise value of
(which then sets
the form of the function
)
and basically no other free
parameters. Note that the morphology, or a suitable Fourier
decomposition of the observed structure, would identify the
dominant value of m and the pitch angle i(r), i.e., the
function k(r). The linear theory makes specific predictions like Eqs. (8), (4), and
(9) (or the corresponding equations recorded in
Sect. 2.1 for the study that includes the effects of finite
thickness). Much as for the classical tests of the density wave
theory (for M81, see Visser 1977), we hope that the various
observed quantities all agree reasonably well with
the theoretical expectations.
Suppose that we started from a straightforward comparison with the observations on the basis of the linear theory described in the first part of Sect. 2. If this attempt turned out to be unsatisfactory, we would have three possibilities to interpret the data.
- (i)
- One possibility would be to make use of an HI fraction fconstant, but significantly larger than unity. Physically, a
choice of this kind would correspond to imagining a heavier outer
gaseous disk, which would still be in proportion to the observed HI disk and
thus have little relevance for the overall problem of dark matter.
For given values of
and
, this would allow us to reduce the value of the wavenumber scale
and of the axisymmetric stability parameter Q while leaving the relative density amplitude
unchanged on the left hand side of Eq. (4). Except for a small adjustment through the functions G and H, such a constant f would have little or no effect on the fits to the observed amplitude profiles dictated by Eqs. (4) and (9).
- (ii)
- A second possibility would be to make use of a free function f = f(r) with the general requirement that f > 1.4. This would correspond to imagining that significant amounts of dark matter would be in the thin disk, possibly in molecular form, with a distribution different from that of the cold atomic hydrogen. This leads in the direction of an alternative picture (with respect to the standard picture of a spheroidal halo) for the general problem of dark matter (e.g., see Pfenniger et al. 1994). Clearly a nonconstant HI fraction f(r) would change the character of the observed amplitude profiles predicted by Eqs. (4) and (9).
- (iii)
- Finally, it may well be that the model developed above, which relies on the predictions of a linear theory, turns out to be inadequate. In other words, we should develop a model in which the role of the nonlinearities associated with the finite amplitude observed in the prominent spiral arms is properly taken into account.

Finally, given the picture provided by the simple reference model described in Sect. 2.2, we argue that for those galaxies in which the outer gaseous disk density declines too sharply, the nonlinear effects that would rapidly take place because of the sharp increase in relative amplitude of the density waves may actually tend to break the grand design outer structure and result in turbulent dissipation, as often argued in the physical discussion of the outer boundary condition for the establishment of global spiral modes (e.g., see Bertin & Lin 1996, p. 222).
AcknowledgementsWe wish to thank Renzo Sancisi, Rosemary Wyse, and Jay Gallagher for pointing out the interest in this problem and for several stimulating discussions, and Filippo Fraternali and Giuseppe Lodato for a number of useful comments. Special thanks to Filippo Fraternali for providing us with Fig. 1.
References
- Athanassoula, E., Bosma, A., & Papaioannou, S. 1987, A&A, 179, 23 [NASA ADS] [Google Scholar]
- Bahcall, J. N. 1984, ApJ, 276, 156 [NASA ADS] [CrossRef] [Google Scholar]
- Begum, A., Chengalur, J. N., & Karachentsev, I. D. 2005, A&A, 433, L1 [NASA ADS] [CrossRef] [EDP Sciences] [Google Scholar]
- Bertin, G. 1983, A&A, 127, 145 [NASA ADS] [Google Scholar]
- Bertin, G. 2000, Dynamics of Galaxies (Cambridge: Cambridge University Press) [Google Scholar]
- Bertin, G., & Lin, C. C. 1996, Spiral structure in galaxies: a density wave theory (Cambridge: The MIT Press) [Google Scholar]
- Bertin, G., & Lodato, G. 1999, A&A, 350, 694 [NASA ADS] [Google Scholar]
- Bertin, G., Lin, C. C., Lowe, S. A., & Thurstans, R. P. 1989a, ApJ, 338, 78 [NASA ADS] [CrossRef] [Google Scholar]
- Bertin, G., Lin, C. C., Lowe, S. A., & Thurstans, R. P. 1989b, ApJ, 338, 104 [NASA ADS] [CrossRef] [Google Scholar]
- Boomsma, R. 2007, PhD Thesis, Groningen University [Google Scholar]
- Boomsma, R., Oosterloo, T. A., Fraternali, F., van der Hulst, J. M., & Sancisi, R. 2008, A&A, 490, 555 [NASA ADS] [CrossRef] [EDP Sciences] [Google Scholar]
- Crézé, M., Chereul, E., Bienaymé, O., & Pichon, C. 1998, A&A, 329, 920 [NASA ADS] [Google Scholar]
- Dewar, R. L. 1972, ApJ, 174, 301 [NASA ADS] [CrossRef] [Google Scholar]
- Dickey, J. M., Hanson, M. M., & Helou, G. 1990, ApJ, 352, 522 [Google Scholar]
- Ferguson, A. M. N., Wyse, R. F. G., Gallagher, J. S., & Hunter, D. A. 1998, ApJ, 506, L19 [Google Scholar]
- Fraternali, F., van Moorsel, G., Sancisi,R., & Oosterloo, T. 2002, AJ, 123, 3124 [NASA ADS] [CrossRef] [Google Scholar]
- Haass, J. 1983, ed. E. Athanassoula (Dordrecht: Reidel), IAU Symp., 100, 121 [Google Scholar]
- Holmberg, J., & Flynn, C. 2000, MNRAS, 313, 209 [NASA ADS] [CrossRef] [Google Scholar]
- Holmberg, J., & Flynn, C. 2004, MNRAS, 352, 440 [NASA ADS] [CrossRef] [Google Scholar]
- Kamphuis 1993, PhD Thesis, Groningen University [Google Scholar]
- Kennicutt, R. C. Jr. 1989, ApJ, 344, 685 [NASA ADS] [CrossRef] [Google Scholar]
- Kuijken, K. H., & Gilmore, G. 1989, MNRAS, 239, 571 [NASA ADS] [CrossRef] [Google Scholar]
- Lynden-Bell, D., & Kalnajs, A. J. 1972, MNRAS, 157, 1 [NASA ADS] [CrossRef] [Google Scholar]
- Mark, J. W-K. 1971, Proc. Natl. Acad. Sci. USA, 68, 2095 [NASA ADS] [CrossRef] [Google Scholar]
- Mark, J. W-K. 1974, ApJ, 193, 539 [NASA ADS] [CrossRef] [Google Scholar]
- Meurer, G. R., Carignan, C., Beaulieu, S. F., & Freeman, K. C. 1996, AJ, 111, 1551 [NASA ADS] [CrossRef] [Google Scholar]
- Oort, J. H. 1932, Bull. Astron. Inst. Netherlands, 6, 249 [Google Scholar]
- Oosterloo, T. A., Morganti, R., Sadler, E. M., van der Hulst, T., & Serra, P. 2007a, A&A, 465, 787 [NASA ADS] [CrossRef] [EDP Sciences] [Google Scholar]
- Oosterloo, T., Fraternali, F., & Sancisi, R. 2007b, AJ, 134, 1019 [NASA ADS] [CrossRef] [Google Scholar]
- Pannatoni, R. F. 1983, Geophys. Astrophys. Fluid Dyn., 24, 165 [Google Scholar]
- Pfenniger, D., Combes, F., & Martinet, L. 1994, A&A, 285, 79 [NASA ADS] [Google Scholar]
- Revaz, Y., Pfenniger, D., Combes, F., & Bournaud, F. 2009, A&A, 501, 171 [NASA ADS] [CrossRef] [EDP Sciences] [Google Scholar]
- Sancisi, R., Fraternali, F., Oosterloo, T., & van der Hulst, T. 2008, A&ARv, 15, 189 [NASA ADS] [CrossRef] [EDP Sciences] [Google Scholar]
- Shostak, G. S., & van der Kruit, P. C. 1984, A&A, 132, 20 [NASA ADS] [Google Scholar]
- Shu, F. H. 1970, ApJ, 160, 99 [Google Scholar]
- Toomre, A. 1981, The structure and evolution of normal galaxies, ed. S. M. Fall & D. Lynden-Bell (Cambridge: Cambridge University Press), 111 [Google Scholar]
- van Albada, T. S., & Sancisi, R. 1986, Phil. Trans. R. Soc. London A. 320, 447 [Google Scholar]
- Vandervoort, P. O. 1970, ApJ, 161, 87 [NASA ADS] [CrossRef] [Google Scholar]
- Verheijen, M. A. W., Bershady, M. A., Andersen, D. R., et al. 2004, Astron. Nachr., 325, 151 [NASA ADS] [CrossRef] [Google Scholar]
- Verheijen, M. A. W., Bershady, M. A., Swaters, R. A., Andersen, D. R., & Westfall, K. B. 2007, Island Universes, ed. R. S. de Jong (Berlin: Springer) , 95 [Google Scholar]
- Visser, H. C. D. 1977, PhD Thesis, Groningen University [Google Scholar]
- Yue, Z. Y. 1982, Geophys. Astrophys. Fluid Dyn., 20, 1 [NASA ADS] [CrossRef] [Google Scholar]
Footnotes
- ...
- also at Scuola Normale Superiore, Piazza dei Cavalieri 7, 56125 Pisa, Italy; as of October 2009, at Institute of Astronomy, Madingley Road, Cambridge CB3 0HA, UK
All Figures
![]() |
Figure 1: Total HI distribution of NGC 6946 superimposed to its optical image; courtesy of Filippo Fraternali (see Boomsma et al. 2008). |
Open with DEXTER | |
In the text |
![]() |
Figure 2:
For our simple reference fluid model with
|
Open with DEXTER | |
In the text |
![]() |
Figure 3:
Relative amplitude
profiles of the spiral arms in
terms of
density
|
Open with DEXTER | |
In the text |
Copyright ESO 2010
Current usage metrics show cumulative count of Article Views (full-text article views including HTML views, PDF and ePub downloads, according to the available data) and Abstracts Views on Vision4Press platform.
Data correspond to usage on the plateform after 2015. The current usage metrics is available 48-96 hours after online publication and is updated daily on week days.
Initial download of the metrics may take a while.