Issue |
A&A
Volume 512, March-April 2010
|
|
---|---|---|
Article Number | A86 | |
Number of page(s) | 4 | |
Section | Stellar structure and evolution | |
DOI | https://doi.org/10.1051/0004-6361/200913716 | |
Published online | 09 April 2010 |
Axions and the pulsation periods of variable white dwarfs revisited
(Research Note)
J. Isern1,2 - E. García-Berro2,3 - L. G. Althaus3,4 - A. H. Córsico4,5
1 - Institut de Ciències de l'Espai (CSIC),
Facultat de Ciències,
Campus UAB,
08193 Bellaterra,
Spain
2 -
Institut d'Estudis Espacials de Catalunya,
c/ Gran Capità 2-4,
08034 Barcelona, Spain
3 -
Departament de Física Aplicada,
Escola Politècnica Superior de Castelldefels,
Universitat Politècnica de Catalunya,
Avda. del Canal Olímpic s/n, 08860
Castelldefels, Spain
4 -
Facultad de Ciencias Astronómicas y Geofísicas,
Universidad Nacional de la Plata
Paseo del Bosque, s/n,
(1900), La Plata,
Argentina
5 -
Instituto de Astrofísica La Plata, CONICET, Argentina
Received 23 November 2009 / Accepted 16 January 2010
Abstract
Context. Axions are the natural consequence of the
introduction of the Peccei-Quinn symmetry to solve the strong CP
problem. All the efforts to detect such elusive particles have failed
up to now. Nevertheless, it has been recently shown that the luminosity
function of white dwarfs is best fitted if axions with a mass of a few
meV are included in the evolutionary calculations.
Aims. Our aim is to show that variable white dwarfs can provide
additional and independent evidence about the existence of axions.
Methods. The evolution of a white dwarf is a slow cooling
process that translates into a secular increase of the pulsation
periods of some variable white dwarfs, the so-called DAV and DBV types.
Since axions can freely escape from such stars, their existence would
increase the cooling rate and, consequently, the rate of change of the
periods as compared with the standard ones.
Results. The present values of the rate of change of the
pulsation period of G117-B15A are compatible with the existence of
axions with the masses suggested by the luminosity function of white
dwarfs, in contrast with previous estimations. Furthermore, it is shown
that if such axions indeed exist, the drift of the periods of pulsation
of DBV stars would be noticeably perturbed.
Key words: elementary particles - white dwarfs - stars: oscillations
1 Introduction
One of the long-standing problems of the standard model of particles is the question of why charge and parity can be violated in weak interactions and not in strong interactions. This is the so-called strong CP problem. One of the possible solutions consists in the introduction of a new symmetry, the Peccei-Quinn symmetry or PQ symmetry, which automatically accounts for the problem (Peccei & Quinn 1977a,b). The spontaneous breaking of this symmetry gives rise to the existence of a new particle called axion, which can couple to photons, electrons and baryons with a strength that depends on their mass and on the specific way in which the PQ symmetry is implemented. The two most popular implementations are the KVSZ model (Kim 1979; Shifman et al. 1980), where the axions couple with photons and hadrons, and the DFSZ model (Dine et al. 1981; Zhitnisky 1980) where they also couple to electrons.
From the first moment that the problem was formulated, a huge effort aimed to directly detect these elusive particles, or at least to constrain their properties using astrophysical and cosmological arguments, was undertaken. Among the experiments looking for a direct detection we mention ADMX and CAST - see Steffen (2009) for a synthetic description. Excellent reviews about the properties of axions and the corresponding astrophysical and cosmological searches can be found in Kim & Carosi (2010), Raffelt (2007, 1996, 1990), Khlopov (1999) and Turner (1990).
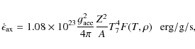
White dwarfs represent the final evolutionary stages of low- and intermediate-mass stars. Since they are strongly degenerate and do not have nuclear sources, their evolution is just a gravothermal process of cooling. The simplicity of these objects, the fact that the physical processes necessary to understand them are well identified, although not always well known, and the impressive existing observational background make these stars extremely useful laboratories to test new ideas in physics (Isern & García-Berro 2008). In particular, Isern et al. (2008, 2009) found that the best fit to their luminosity function is obtained when axions of the appropriate mass are included in the calculations. We note that in this case only DFSZ axions were taken into account, since electron bremsstrahlung is the dominant process in white dwarf interiors.
The axion emission rate under these conditions is given by
(Nakagawa et al. 1987, 1988):
![]() |
(1) |
where F takes into account the Coulomb plasma effects, T7 is the temperature in units of 107 K, Z and A are the atomic and mass numbers of the plasma components, respectively, and


Notice that strictly speaking, the shape of the white dwarf
luminosity function can be equally well fitted invoking the existence
of any hypothetical light boson or axion-like particle able to couple
to electrons with a strength
.
However,
since axions have a solid theoretical justification, we will use this
term all along the paper. The relationship between this coupling
constant and the mass of the axion is given by
![]() |
(2) |
where




Taken at face value, the result of Isern et al. (2009) can be
considered as the first indirect proof that axions of the DFSZ type
indeed exist. However, before accepting this asseveration some
conditions have to be fullfiled: i) Different and independent
evolutionary codes must provide the same result; ii) there is no
conventional way to account for the presently observed slope of the
white dwarf luminosity function; iii) there is no contradiction
with other well established astrophysical or cosmological phenomena;
and iv) there are some phenomena that are better explained if the
axion hypothesis is adopted. Concerning this last point, it is
important to realize that the value of the mass of the axion found in
Isern et al. (2009) is close to the upper limit obtained from
astrophysical constraints. This means that axions with this mass will
not dramatically change our current understanding of stellar
evolution, but instead some subtle changes that accurate observations
could detect and quantify would be apparent. The case of the white
dwarf luminosity function is just an example. The drift of the
pulsation periods of variable white dwarfs, the topic of this paper,
is another one that will be discussed in the following sections. We
note however that this is not the case of core collapse supernovae,
where axions with this mass can drain an important amount of
gravitational energy and modify the process of collapse/explosion.
Unfortunately, the nucleon-axion interaction, which is dominant in
supernovae, is not well understood and deserves additional work that
is out of the scope of this paper. Finally note as well that if
was small, the mass of the axion would be higher than
the values quoted here and, consequently, the interaction axion-photon
would be strengthened. This could be used to rule out our results
or to constrain the values that
can adopt.
2 Results and discussion
During the process of cooling, white dwarfs experience several phases
of pulsational instability powered by the -mechanism and the
``convective driving'' mechanism (Winget & Kepler 2008). Depending on
their location in the Hertzsprung-Russell diagram and their
atmospheric composition they are called pulsating PG1159 or GW Vir
stars, which includes stars with a surrounding nebula (the PNNV stars)
and stars without nebula (the DOV stars) at
K and He-, C-, and O-dominated atmospheres, DBV or V777 Her
stars, with
K and He-dominated atmospheres,
and DAV or ZZ Ceti stars, with
K and
H-dominated atmospheres. All of them display multiperiodic pulsations
with periods in the range of 100 to 1000 s, although PNNV stars can
pulsate with periods as long as 3000 s. The length of these periods
clearly indicates that these objects are experiencing g-mode
non-radial pulsations, where the main restoring force is gravity -
see Winget & Kepler (2008) for a recent review.
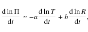
One of the main characteristics of g-mode pulsations is that they
experience a secular drift that can be used to test the white dwarf
cooling theory. This secular drift can be approximately described by
![]() |
(3) |
where a and b are constants of the order of unity that depend on the details of the model, and R and T are the stellar radius and the temperature at the region of period formation, respectively (Baglin & Heyvaerts 1969; Winget et al. 1983). This equation reflects the fact that as the star cools down, the degeneracy of the plasma increases, the buoyancy decreases, the Brunt-Väisälä frequency becomes lower and, as a consequence, the spectrum of pulsations gradually shifts to lower frequencies. At the same time, since the star contracts, the radius decreases and the frequency tends to increase. In general, DAV and DBV stars are already so cool that the radial term is negligible and the change of the period of pulsation can be directly related to the change in the core temperature of the star. The timescales involved are of the order of





These properties allow us to build a simple relationship
(Isern et al. 1992; Isern & García-Berro 2008) to estimate the influence
of an extra sink of energy, like axions, on the period drift of
variable white dwarfs:
where the suffix ``model'' refers to those models built using standard physics.
G117-B15A is a ZZ Ceti star (McGraw & Robinson 1976) with a dominant
period of pulsation of 215 s. This star, in an exceptional
observational effort, has been observed for more than 30 years to
obtain the secular evolution of the pulsation period. Kepler et al. (1991a,b), after
15 years of observations, found a
secular drift of
s/s that was more than a factor of two larger than the
expected value in the case of a normal carbon-oxygen white dwarf. In
order to account for this discrepancy, Isern et al. (1992) proposed
the introduction of an extra cooling term due to axions. The mass of
the axions necessary to fit this discrepancy was 8.5 meV. Later on,
the analysis of additional ten years of observations provided a value
of
s/s (Kepler
et al. 2000), closer to the value predicted by the standard theory of
evolution of white dwarfs. A detailed seismological analysis
(Córsico et al. 2001) found a drift
s/s, where the main sources of uncertainty
were due to the mode identification, the mass of the star, the
chemical profile and the effective temperature. This value suggested
that it was no longer necessary to invoke axions to account for the
observed cooling rate of white dwarfs, but at the same time the
uncertainties were large enough to prevent ruling out their
existence. It is important to realize here that the values obtained
with Eq. (4) agreed well with those obtained from
the accurate numerical calculations of Córsico et al. (2001). A new
analysis including additional five years of observations gave
s/s (Kepler et al. 2005),
a value that overlaps with the theoretical values obtained by
Córsico et al. (2001) and is marginally compatible with the axion
luminosity obtained if the axion mass suggested by the luminosity
function of white dwarfs,
4 meV is adopted. Finally, in a
recent release that includes yet another five years of observations, Kepler
(2009) obtained
s/s.
Adopting the proper motion correction of Kepler et al. (2005), we obtain
s/s, a value that is consistent with the existence of the extra cooling term suggested by the
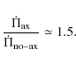
luminosity function. Figure 1 displays the evolution of
the measured value of
with time. The jumps between the
different observational values reflect the introduction of
corrections, like the proper motion correction, and the fact that the
phase of the periodicity is affected by a jitter caused by
low-amplitude modes, contamination by G117-B15B, the companion star,
use of different
telescopes and apertures...that are not well understood yet
(Kepler, private communication).
![]() |
Figure 1: Evolution of the measurement of the period drift of G117-B15A. Lines represent the theoretical values obtained by Córsico et al. (2001) - solid line - and Bischoff-Kim et al. (2008) - dashed-dotted line (for the case of a thin envelope) and dashed line (for the case of a thick envelope). The nominal uncertainties of these models are 1.15, 0.26 and 0.17 respectively, in the units of the figure. |
Open with DEXTER |
Table 1 displays the axion luminosity and mass necessary to
fit the observations when several white dwarf pulsational models are
adopted (the values in brackets correspond to the observational
uncertainties). The values of the first row, labeled model C, were
obtained using Eq. (4), the model of G117-B15A that best fits
the data (Córsico et al. 2001) and the previously mentioned axion
emission rates of Nakagawa et al. (1987, 1988). It is important
to realize here that in a completely
independent analysis, Bischoff-Kim et al. (2008) identified two
possible asteroseismological models of G117-B15A, one with a thin
hydrogen envelope and the other with a relatively thick hydrogen
envelope, with
s/s and
s/s, respectively. Both values are
smaller than the measured ones and indicate that an additional sink of
energy is necessary. Table 1 shows the luminosity and the
mass of the axions necessary to account for the most recent data of
Kepler (2009) assuming a temperature of the core of
K in both cases.
Recently, Mukadam et al. (2009) analyzed R 548 (ZZ Ceti itself)
and found that its mass lies between 0.55 and
,
while the mass of the hydrogen envelope is
and
that the best prediction for the rate of change of the period is
s/s. These results are
fully consistent with the values obtained for G117-B15A and with those
displayed in Table 1.
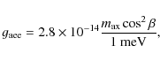
The pulsation properties of DBV stars can provide an additional test
to the axion hypothesis. Since these stars have a hotter core than
that of DA white dwarfs, the neutrino luminosity can no longer be
neglected. and the influence of axions on the pulsation period drift is
smaller than that expected for DA white dwarfs. For instance, a DB
white dwarf of
,
an effective temperature
K and a core temperature
has a luminosity of
and a
neutrino luminosity
.
If an
axion mass of 5 meV is assumed, the axion luminosity amounts
and the corresponding secular
change of the pulsation period would be
![]() |
(5) |
Note that because of the strong dependence of the different luminosities on the core temperature, this prediction is very sensitive to the position in the instability strip and on the particular parameters of the star under study. The only case of DB variable white dwarf that is currently being studied is EC20058-5234 (Sullivan 2009), but unfortunately a rate of period change is not yet available for this star.
Table 1: Axion luminosities and axion masses necessary to account for the observed drift of the period of pulsation of G117-B15A.
3 Conclusions
It has been shown that white dwarf variable G117-B15As present value
of the secular rate of change of the period of pulsation,
s/s (Kepler 2009), is consistent with
the predictions of the theoretical models, as was anticipated by
Isern et al. (1992), if an additional source of cooling like axion
emission is included. This result is corroborated by the completely
independent analysis of the same star done by Bischoff-Kim et al.
(2008), using the measured rate of period change (
s/s) obtained previously (Kepler et al. 2005). This means
that the conclusion of Córsico et al. (2001) that it was
unnecessary to introduce an additional cooling source is no longer valid
when the new observational data are taken into account. This is an
important result, as asteroseismological observations of white dwarfs
seem to give
additional and independent support to the claim of Isern et al. (2008, 2009) that the white dwarf luminosity function is better fitted if an
additional cooling provided by axions with a mass of a few meV is
included in the calculations.
It has also been shown that since the core temperatures of DBV stars
are higher, the secular drift of the pulsation period of these stars is
strongly enhanced by the axion emission. In particular, if axion
emmisivity is computed using the mass obtained from the best fit to
the luminosity function of white dwarfs and included in the
calculations, the secular rate of period change increases by 50%, although the exact value depends on the core temperature and,
consequently, on their position in the DB variability strip.
Finally, it is worthwhile to emphasize the importance of continued obervations of G117-B15A and R 548. It is also important to enlarge the number of stars with observed period drifts and the measurement of these drifts in hotter variables like DBV white dwarfs. Finally, it is also important to improve the asteroseismological models. All these actions would undoubtely contribute to solve the problem of axions.
AcknowledgementsThis work was supported by the MCINN grants AYA08-1839/ESP and AYA2008-04211-C02-01 and the AGAUR grants SGR1002/2009 and SGR315/2009 of the Generalitat de Catalunya and by the European Union FEDER funds. LGA also acknowledges a PIV grant of the AGAUR of the Generalitat de Catalunya.
References
- Baglin, A., & Heyvaerts, J. 1969, Nature, 222, 1258 [NASA ADS] [CrossRef] [Google Scholar]
- Bischoff-Kim, A., Montgomery, M. H., & Winget, D. E. 2008, ApJ, 675, 1512 [NASA ADS] [CrossRef] [Google Scholar]
- Córsico, A. H., Benvenuto, O. G., Althaus, L. G., Isern, J., & García-Berro, E. 2001, New Astr., 6, 197 [Google Scholar]
- Dine, M., Fishler, W., & Srednicki, M. 1981, Phys. Lett. B, 104, 199 [NASA ADS] [CrossRef] [Google Scholar]
- Isern, J., & García-Berro, E. 2008, Mem. SAIT, 79, 545 [NASA ADS] [Google Scholar]
- Isern, J., Hernanz, M., & García-Berro, E. 1992, ApJ, 392, L23 [NASA ADS] [CrossRef] [Google Scholar]
- Isern, J., García-Berro, E., Torres, S., & Catalán, S. 2008, ApJ, 682, L109 [NASA ADS] [CrossRef] [Google Scholar]
- Isern, J., Catalán, S., & García-Berro, E. 2009, J. Phys. Conf. Ser., 172, 012005 [Google Scholar]
- Kepler, S. O. 2009, in New Advances in Helio an Asteroseismology, IAU Joint Discussion 11, XXVII IAU General Assembly (Rio de Janeiro) [Google Scholar]
- Kepler, S. O., Kanaan, A, Winget, D. et al. 1991a, in White Dwarfs, ed. G. Vauclair, & E. Sion (Dordrecht: Kluwer), NATO Adv. Sci. Institutes (ASI) Ser. C, 336, 143 [Google Scholar]
- Kepler, S. O., Winget, D. E., Nather, R. E., et al. 1991b, ApJ, 378, L45 [NASA ADS] [CrossRef] [Google Scholar]
- Kepler, S. O., Mukadam, A., Winget, D. E., et al. 2000, ApJ, 534, L185 [NASA ADS] [CrossRef] [PubMed] [Google Scholar]
- Kepler, S. O., Costa, J. E. S., Castanheira, B. G., Mukadam, A. S., & Sullivan, D. J. 2005, ApJ, 634, 1311 [Google Scholar]
- Khlopov, M. Yu. 1999, Cosmoparticle Physics (Singapore: World Scientific) [Google Scholar]
- Kim, J. E. 1979, Phys. Rev. Lett., 43, 103 [NASA ADS] [CrossRef] [Google Scholar]
- Kim, J. E., & Carosi, G. 2010, Rev. Mod. Phys., 82, 557 [NASA ADS] [CrossRef] [Google Scholar]
- McGraw, J. T., & Robinson, E. L. 1976, ApJ, 205, L155 [NASA ADS] [CrossRef] [Google Scholar]
- Mukadam, A. S., et al. 2009, J. Phys. Conf. Ser., 172, 012074 [NASA ADS] [CrossRef] [Google Scholar]
- Nakagawa, M., Kohyama, Y., & Itoh, N. 1987, ApJ, 322, 291 [NASA ADS] [CrossRef] [Google Scholar]
- Nakagawa, M., Adachi, T., Kohyama, Y., & Itoh, N. 1988, ApJ, 326, 241 [NASA ADS] [CrossRef] [Google Scholar]
- Peccei, R. D., & Quinn, H. 1977a, Phys. Rev. D, 16, 1791 [NASA ADS] [CrossRef] [Google Scholar]
- Peccei, R. D., & Quinn, H. 1977b, Phys. Rev. Lett., 38, 1440 [NASA ADS] [CrossRef] [Google Scholar]
- Raffelt, G. G. 1990, Phys. Rep., 198, 1 [NASA ADS] [CrossRef] [Google Scholar]
- Raffelt, G. G. 1996, Stars as Laboratories for Fundamental Physics (Cambridge: Cambridge University Press) [Google Scholar]
- Raffelt, G. G. 2007, J. Phys. A: Math. Theor., 40, 6607 [NASA ADS] [CrossRef] [Google Scholar]
- Shifman, M. A., Vainshtein, A. I., & Zakharov, V. I. 1980, Nucl. Phys. B, 166, 43 [Google Scholar]
- Steffen, F. D. 2009, Eur. Phys. J., C59, 557 [Google Scholar]
- Sullivan, D. J. 2009, J. of Phys: Conf. Ser., 172, 012070 [NASA ADS] [CrossRef] [Google Scholar]
- Turner, M. S. 1990, Phys. Rev., 197, 67 [Google Scholar]
- Zhitniskii, A. P. 1980, Sov. J. Nucl., 31, 260 [Google Scholar]
- Winget, D. E., Hansen, C. J., & Van Horn, H. M. 1983, Nature, 303, 781 [NASA ADS] [CrossRef] [Google Scholar]
- Winget, D. E., & Kepler, S. O. 2008, ARA&A, 46, 157 [NASA ADS] [CrossRef] [EDP Sciences] [Google Scholar]
All Tables
Table 1: Axion luminosities and axion masses necessary to account for the observed drift of the period of pulsation of G117-B15A.
All Figures
![]() |
Figure 1: Evolution of the measurement of the period drift of G117-B15A. Lines represent the theoretical values obtained by Córsico et al. (2001) - solid line - and Bischoff-Kim et al. (2008) - dashed-dotted line (for the case of a thin envelope) and dashed line (for the case of a thick envelope). The nominal uncertainties of these models are 1.15, 0.26 and 0.17 respectively, in the units of the figure. |
Open with DEXTER | |
In the text |
Copyright ESO 2010
Current usage metrics show cumulative count of Article Views (full-text article views including HTML views, PDF and ePub downloads, according to the available data) and Abstracts Views on Vision4Press platform.
Data correspond to usage on the plateform after 2015. The current usage metrics is available 48-96 hours after online publication and is updated daily on week days.
Initial download of the metrics may take a while.