Issue |
A&A
Volume 512, March-April 2010
|
|
---|---|---|
Article Number | A64 | |
Number of page(s) | 6 | |
Section | Astrophysical processes | |
DOI | https://doi.org/10.1051/0004-6361/200913805 | |
Published online | 02 April 2010 |
Upstream ions converting into downstream pick-up ions: the effect of shock-decelerated frozen-in fields
H.-J. Fahr - M. Siewert
Argelander Institut für Astronomie der Universität Bonn, Abteilung f. Astrophysik und Extraterrestrische Forschung, Auf dem Huegel 71, 53121 Bonn, Germany
Received 4 December 2009 / Accepted 30 December 2009
Abstract
Context. Observations by Voyager-2 at the crossing of the
solar wind termination shock have led to unexpected discoveries, such
as the downstream solar wind protons still having Mach numbers higher
than 1 and temperatures, though increased by a factor of about 30,
nevertheless being much lower than those expected from classical MHD
shock theory. Though our earlier semi-kinetic theories of the ion
passage over the termination shock, in which the conservation of the
magnetic ion moment was required, provided interesting insights into
the detailed microphysics occurring at the shock, our predictions for
the downstream ion pressure and temperature in view of observations
were both too low.
Aims. Here we improve on our earlier theoretical approach by
introducing a so-called ``effective magnetic moment'' by which we not
only take into account the increase in the magnetic field magnitude
over the shock, but we also respect that the ions comoving with the
bulk of the plasma flow gyrate around a decelerated frozen-in field.
Methods. We derive a differential equation for the behaviour of
the perpendicular pressure across the shock, which accounts for the
conservation of the newly derived effective magnetic moment, and
generalises the results of earlier studies. The resulting differential
equation is then solved analytically.
Results. With this new concept of conservation of the newly
introduced ``effective magnetic moment'' we arrive at interesting new
relations between upstream and downstream ion pressures and
temperatures which now nicely represent the recent Voyager-2 results.
Key words: shock waves - magnetohydrodynamics (MHD) - plasmas - solar wind
1 Introduction
For a complete description of the ion passage over the solar wind termination shock the standard set of MHD shock relations as given, e.g., by Baumjohann & Treumann (1996), Gombosi (1998), or Diver (2001) is insufficient, because the entropy generation at the shock is not specified. If anisotropic temperatures are admitted in the shock relations (Hudson 1970), this clearly becomes evident from the corresponding set of MHD shock relations being unclosed and does not permit the determination of unequivocal downstream MHD plasma properties (see Vogl et al. 2003; Liu et al. 2007; Erkaev et al. 2000; Génot 2008 or Treumann 2009). Thus, as a way out of this problem, several papers theoretically studied the passage of the solar wind ions over the heliospheric termination shock in a semikinetic treatment (Fahr & Siewert 2006; Siewert & Fahr 2008; Fahr & Verscharen 2008; Verscharen & Fahr 2008).
Starting with the additional requirement that ions at the shock passage have to conserve two CGL-typical invariants (Chew et al. 1956), Siewert & Fahr (2008) demonstrated that the kinetic properties of the downstream plasma flow can be fixed and the set of corresponding MHD shock relations can be closed (Siewert & Fahr 2009; Fahr & Siewert 2007,2008). Based on these results, Fahr & Chalov (2008) demonstrated that these kinetic aspects of the plasma passage over the termination shock can be used to arrive at a multi-fluid MHD description of the shock transition in which all downstream plasma properties are fixed. In their two-fluid approach describing solar wind ions and pick-up ions as separate fluids, they were able to show that the conservation of the first CGL invariant (i.e., the ion magnetic moment) is already sufficient to understand the Voyager-2 observations performed at the shock crossing events (Richardson et al. 2008), namely that the downstream solar wind ions remain supersonic, while the entropized upstream kinetic solar wind energy predominantly reappears in the downstream energy of suprathermal ions (i.e., pick-up ions). This theory nevertheless has a small shortcoming reducing its beauty, namely it delivers too small a temperature increase in the downstream solar wind protons by a factor of about 3, which according to Voyager-2 temperature measurements, however, should be of the order of 10.
To more adequately describe this temperature increase one
seriously needs to consider that at the passage of the upstream ions to
the downstream side of the shock, gyrating ions convected with the
plasma bulk flow and the frozen-in magnetic field do not only recognize
the increase in the magnitude of the condensed magnetic field in the
bulk flow direction, but also the deceleration of comoving field lines,
i.e. of their gyrocenters, which clearly brings them into an overshoot
condition. The particle's velocity modification caused by magnetic
moment conservation was studied by both Fahr & Siewert (2008) and Siewert & Fahr (2008),
while the additional effect of the gyrocenter deceleration is studied
in this publication. Focusing on an MHD approach to the problem, the
particles will gain the overshoot velocity of
in the form of additional gyrating speed, meaning that the bulk of the
upstream ions have to compensate for this velocity loss by an
additional increase in downstream gyrational motions. However, this
simple approach does not yet take into account the local gyrophase,
which, because of the vector properties of the velocities, may lead to
a smaller acceleration in a gyroaveraged description. In this paper, we
study a more detailed approach to this overshoot effect.
The physics behind this is very similar to the conventional pick-up ion physics in the inner heliosphere (see e.g., Fahr 1973; Rucinski et al. 1993; Paresce et al. 1973; Holzer & Leer 1973; Vasyliunas & Siscoe 1976; Moebius et al. 1998 or Mall 2000), where ions newly created in the inner heliosphere from slow interplanetary atoms start gyrating with keV-energies around the wind-convected magnetic field lines, simply because these frozen-in lines pass over them with solar wind velocities of the order of 400 km s-1. A comparable system related to the heliospheric bowshock and astrophysical boundary layers was studied by Bzowski et al. (2006), who e.g., described overshooting of oxygen ions at the outer bow shock of the solar system.
Therefore, if the shock represents a sufficiently abrupt spatial
structure, there appears a need to conserve the - what one could call -
``total magnetic moment'',
,
connected with the total perpendicular ion motion, adequately including overshoot velocities
(see also Bzowski et al. 2006). As we consider further below, this could perhaps best be respected by requiring that (see also Bzowski et al. 2006)
where



2 Magnetic moment conservation in an accelerated reference frame
2.1 The magnetic moment
Throughout literature, there is a large amount of different derivations of the conservation of the magnetic moment, some of which depend on quite restricted physical asumptions. Therefore, we begin by laying out our arguments by noting that the magnetic moment conservation is a very general concept, which is not restricted to single particle plasma physics or even MHD.
We begin by assuming a system composed of one individual charged particle of mass m, charge e and velocity ,
gyrating in a background magnetic field. In the reference frame of the
``guiding center'' (i.e., the center of the circular gyrational
motion), the following equation of motion is valid:
![]() |
(2) |
In this equation, the induced electric field

![]() |
(3) |
This relation follows directly from Maxwells equations.
To derive the specific form of the induced electric field, we consider the contour integral
![]() |
(4) |
which may be expressed using the gyroradius

![]() |
(5) |
This finally leads to the expression
![]() |
(6) |
Therefore, the energy gain per unit of time provided by the induced electric field is given by
![]() |
(7) |
and the mass-normalised force acting on the gyrating particle is given by
Taking the classical magnetic moment conservation
![]() |
(9) |
and evaluating the differentiation trivially leads to the same result, i.e. the conservation of the magnetic moment may be interpreted as the energy gain of an individual charged particle gyrating in a bulk-convected magnetic field due to an induced electric field modifying the gyrational motion. This identification does not require any specific plasma-physical assumptions and is therefore valid in MHD, gas-kinetic theory and even for single particles without the explicit presence of any kind of many-particle theory.
In the remaining parts of this study, we use various reference
frames, including one that is not inertial, but co-convected with the
ion plasma across an MHD shock. In this configuration, the magnetic
field is co-convected with the plasma flowing with a velocity U, which allows us to introduce a spatial gradient,
Because of the frozen-in field property of MHD, this approach allows the bulk motion of ions perpendicular to the magnetic field, caused by a separation between the bulk flow velocity U and the perpendicular velocity


2.2 The generalised magnetic moment and the transition layer of MHD shock waves
An MHD shock wave has a rather unique configuration. Despite being
classified as an MHD phenomenon that appears in the solutions of the
MHD equations, it is a physical region where a pure MHD approach fails.
This is because the MHD equations predict a discontinuous behaviour,
where all classical MHD properties spontaneously (and discontinuously)
jump to different quantities. This abrupt behaviour strongly suggests
that the magnetic moment - which is strongly tied to gyrational motion
- may not be conserved due to the characteristic timescale for the
plasma crossing from the upstream to the downstream sides of the shock
most probably being much shorter than the gyrational timescale,
.
Instead of a slow modification of the individual particle velocities
governed by the magnetic field (as required by MHD), the local gyrating
particles are suddenly faced with an overshooting configuration, where
a deceleration of the magnetic field lines by
needs to lead to a similar increase in the individual gyrating particle velocites by the order of
to conserve the total momentum flow. This will automatically modify the
two velocity components associated with the gyrational motion,
and
in a very nonlinear way, invalidating the concept of gyrational motion,
since the particle trajectories will no longer be closed until they
reach the downstream side of the shock where MHD again takes over. In
addition, this will also modify the bulk energy flow, which, however,
is more complicated to evaluate since the bulk kinetic energy is
proportional to the square of the individual particle velocities. To
summarise, it may be expected that, unlike assumed earlier by e.g., Fahr & Siewert (2006) and Siewert & Fahr (2008), the magnetic moment may need to be replaced by a different quantity that also takes into account overshooting contributions.
This idea is strongly supported by Voyager-2 observations of the solar wind termination shock obtained by Richardson et al. (2008), where it was found that, although the overall MHD compression ratio x may be reproduced well by a kinetically modified two-component model (Fahr & Chalov 2008), the observed temperature (or pressure) increase in solar wind protons was larger by about one magnitude than the temperature increase predicted by a kinetic model based on the conservation of the magnetic moment. Since temperature is equivalent to internal particle motion, this strongly implies that a much larger amount of energy is converted into thermal degrees of freedom, for which the idea presented earlier in this section provides a very probable and straightforward physical explanation.
2.3 Differential kinetic energy flux conservation in the plasma bulk frame
A full treatment of the overshoot condition requires a kinetic,
per-particle approach, followed by an MHD limit of the resulting
equations. Since we are mainly interested here in the MHD side of the
problem, we begin by studying this problem with a different approach,
based on simpler physical concepts. In a first step, independent the
shock structure, we simply consider gyrating ions in the solar rest
frame (SF, i.e., a frame at rest with respect to the Sun), a plasma
bulk flow with a velocity
and a frozen-in magnetic field
perpendicular to
(i.e., the Archimedian interplanetary field at solar distances greater than 5 AU).
We begin by considering the differential number density of gyrotropically distributed ions,
![]() |
(11) |
In the SF, these ions possess an instantaneous velocity vector of

![]() |
= | ![]() |
|
![]() |
(12) |
Assuming a gyrotropic distribution function in the bulk frame (i.e.,


This is the relevant amount of energy stored in the perpendicular degrees of freedom. In the absence of pitch-angle particle-particle scattering processes, this kinetic energy may only be coupled to the magnetic field, for example via the conservation of the magnetic moment.
In a rest frame comoving with the solar wind (SWF), the energy flow is given by
Now, in an inertial plasma flow (i.e., a SWF that is neither accelerated nor decelerated), the difference between these two energy flows may be normalized away. However, in a decelerated SWF (which appears in the presence of shock waves or general bulk velocity fluctuations), a mechanism must be introduced to convert energy from the bulk to thermal kinetic energies, as well as to electromagnetic field energy. This suggests that Eqs. (13) and (14) are connected by the relation
![]() |
(15) |
On the other hand, this suggests that, in an accelerated reference frame with

![]() |
(16) |
where the functions

We note that the bulk-velocity-related term does not correspond to a separate gyrational motion. It must instead be interpreted as a completing term that takes into account complicated microphysical configurations such as the overshooting condition, which may locally break the closed gyational motions into epicyclic motions.
2.4 Total energy flux conservation in the plasma bulk frame
In the SF, two types of energy fluxes need to be taken into account. First, there is the total kinetic energy flux (Eq. (13)), and integration of this fraction leads to the total contribution
Integrating this expression leads to
This is the total kinetic energy flux produced by the velocity components perpendicular to the magnetic field. Formally, one should also require to add the energy flow connected with motions parallel to the magnetic field (Hudson 1970),
![]() |
(19) |
however, this expression is constant because of the conservation of the second CGL invariant, which leads to

The final participating, relevant energy flow term is the magnetic energy flux of the frozen-in magnetic field,
which, taken together with Eq. (18), then leads to the conserved total energy flux

This result may be interpreted as a Rankine-Hugoniot-like relation,
![]() ![]() |
(22) |
that is not restricted to shocks only but also applies to general plasma flows with a varying bulk velocity in the bulk flow direction. We now solve this equation for


Where

![]() |
(24) |
and

To evaluate Eq. (23)
for the case of the Voyager-2 crossing of the solar wind termination
shock in quantitative terms, we start from observational data provided
by Richardson et al. (2008) and Burlaga et al. (2008).
On the basics of both papers, one can conclude that during the VOY-2
TS1 crossing, an upstream proton Mach number in the range
is most likely observationally. In addition, the upstream plasma
beta-value (including pick-up ions) is indicative of a low beta plasma
with
(see Burlaga et al. 2008).
Furthermore, the compression ratio at the shock-ramp (not including the
shock precursor compression) leads to values in the range 2.4
.
With these values, i.e., s=2.5,
,
and
, Eq. (23) predicts that
![]() |
(25) |
For the corresponding downstream/upstream proton temperatures, one finds
Taking the proton temperatures found just upstream of the shock ramp of


Interestingly, this result is very similar to a relation given by Erkaev et al. (2000), who used the perpendicular momentum flow conservation to derive the downstream perpendicular pressure. They found that
which may be transformed into similar nomenclature as Eq. (23). Using the definition

This result differs from Eq. (23), which is unsurprising, since Erkaev et al. (2000) did not use any conservation properties to close the set of MHD jump conditions; instead, they pointed out that the anisotropic jump conditions are underdetermined, and that one of the downstream properties had to be kept as a free parameter. Therefore, it would have been more surprising if no difference between both approaches would have emerged.
2.5 Properties of the modified pressure relation
We now perform a parameter study, extracting information on how the
pressure jump depends upon the upstream parameters. Equation (23) shows the dependence on the three parameters
,
,
and the downstream compression ratio s,
the third of which in turn is an implicit function of the two previous
upstream parameters. Therefore, the pressure jump depends only upon two
parameters, while the compression ratio as a function of the upstream
parameters must be derived separately. For the perpendicular shock, Fahr & Siewert (2009)
derived an analytical relation for a configuration where the classical
magnetic moment is conserved, and that does not apply to this case. We
instead follow a different approach based on the newly derived
relations.
Using the Voyager compression ratio of
,
we vary the remaining parameters to study the possible range of
physical upstream parameters for this specific compression ratio. Since
both the plasma beta and the sonic Mach number are not derivable from
the Voyager plasma data (Richardson et al. 2008), this will allow us to study how much variation is allowed by the theoretical modeling of the problem. Using Eqs. (23) and (26), it follows that
Inserting the observed compression ratio then leads to
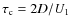
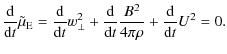
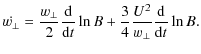
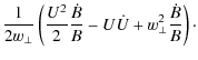
Representative plots of this equation are given in Fig. 1, which clearly exhibits multiple points. First, a significant temperature increase requires rather large plasma beta values and large sonic Mach numbers. The overall temperature increase easily reaches values greater than 10, smaller gains being restricted to a very narrow region in parameter space. In this figure, we have also indicated the observed solar wind temperature jump ( T2/T1)VOY2 and the sonic Mach number inferred from Richardson et al. (2008) (


Physically, the Mach number sensitivity corresponds to a strongly
supersonic plasma, which in turn may be interpreted as a large amount
of bulk kinetic energy being available for conversion into internal
(thermal) degrees of freedom. In contrast, the other requirement which
corresponds to ,
is less trivial. Since the plasma beta is defined as the ratio of thermal pressure to magnetic pressure, i.e.,
,
its influence corresponds to a comparably weak magnetic field, which
may be in conflict with the basic requirements of MHD related to the
assumption of frozen-in fields and field-controlled bulk flows. On the
other hand, the transition layer of any shock wave is not an ideal MHD
system, and therefore, this result infers that the mechanism by which
MHD is broken inside the transition layer might actually result in a
locally increased plasma beta value, which would allow
particle-particle scattering processes to gain dominance.
![]() |
Figure 1:
The downstream/upstream temperature ratio for an observed compression ratio of s=2.5, the temperature ratio
|
Open with DEXTER |
2.6 A per-particle interpretation of the energy conservation request
From the integrated energy flow invariant (Eq. (17)),
one may choose to introduce a per-particle invariant using the
following procedure. We begin by introducing a per-particle variant of
the total constant energy flow
,
![]() |
(31) |
where

![]() |
= | ![]() |
|
= | ![]() |
(32) |
The property

![]() |
(33) |
where


![]() |
(34) |
Rearranging this equation then infers that
![]() |
(35) |
and further that
![]() |
(36) |
At a perpendicular shock with strictly frozen-in fields, there are multiple relations that allow us to simplify this expression, namely


![]() |
= | ![]() |
|
= | ![]() |
||
= | ![]() |
(37) |
Comparing this with Eq. (8), one can immediately see that this new result does not result in a term proportional to


One point worth noting is that these two explanations do not conflict with each other; numerical studies of MHD shocks (Chalov & Fahr 2009) infer that after the classical MHD transition layer (which may produce a downstream pressure anisotropy), a consecutive second layer might follow where the initially generated pressure anisotropy is reduced by mirror or firehose instabilities. This second layer demonstrates all kind of nonlinear processes, such as plasma-wave scattering; since plasma waves are completely absent from the conventional MHD description of the shock, this would offer a natural way of introducing the additional physics seemingly required by the system (see Fahr & Siewert 2007).
To compare this result with the more intuitive approach presented in the introduction (Eq. (1)), we now study the message from this generalised invariant, by deriving
![]() |
(38) |
After evaluating this expression, we obtain
![]() |
(39) |
and further
![]() |
= | ![]() |
|
= | ![]() |
(40) |
Making use again of the conservation of the magnetic flux (

![]() |
(41) |
Substituting back the expression

![]() |
(42) |
In this equation, the first term is equivalent to the classical magnetic moment conservation, while the second term is a correction for the non-ideal physics applicable to the transition layer of the shock.
3 Conclusions
In our theoretical description of the plasma passage from the
upstream to the downstream side of the solar wind termination shock
developed here, it has not explicitly been taken into account that the
plasma close to the shock is a multi-fluid plasma and that to correctly
predict the downstream plasma properties it is of strong relevance
which Alfvenic Mach numbers
,
sonic Mach numbers
,
and beta values
prevail on the upstream side. All of these characteristic numbers,
however, are strongly influenced by the presence of suprathermal ions,
such as pick-up ions in the keV-energy range.
These ions unfortunately cannot be observationally monitored by the Voyager-1/-2 instrumentations due to a lack of 1-keV energy detectors. Our shock relation derived in Eq. (23) thus cannot be reliably evaluated, but must be kept open with respect to the uncertainties in the knowledge of suprathermal ion properties.
One way of improving on this momentarily disappointing scientific
situation is to choose instead a multi-fluid description of the shock
in which ion populations centered around different thermal energies are
treated as independent fluids. These multi-fluid approaches can at
least show, how much influence higher-energetic populations have in
forming the main shock ramp profile. In their two-fluid description of
the shock passage, Fahr & Chalov (2008) demonstrated that the relatively low compression ratio seen at the Voyager-2 TS crossing, i.e.,
,
is easily understood with the effect of suprathermal pick-up ions
(PUIs) in lowering the effective upstream sonic Mach number. That the
solar wind protons at the passage over this PUI-modulated shock also
reappear on the downstream side still as a supersonic fluid, can be
understood in the framework of a thermodynamical and dynamical coupling
of different ion fluids. Chalov & Fahr (2009)
extended their earlier two-fluid shock model to a three-fluid model
including shock-generated anomalous cosmic ray ions as an additional
fluid. In the framework of this extended MHD approach, the well
documented precursor phenomenon seen at the Voyager-2 shock crossing
(see Richardson et al. 2008) also has a natural explanation.
However, whenever one can start from a predetermined knowledge of the shock compression ratio s, taken directly from either Voyager data or a multifluid theory which delivers s as a function of the upstream Alfvenic Mach numbers
,
sonic Mach numbers
,
and beta values
,
it is possible to derive the ion temperature jump presented in Eq. (26).
This is the proof that different ion populations behave separately at
their passage over a predetermined shock. However, the structure of the
transition layer is determined by the joint action of all ion
populations that count in terms of momentum and energy carriers.
References
- Baumjohann, W., & Treumann, R. A. 1996, Basic space plasma physics (London: Imperial College Press) [Google Scholar]
- Burlaga, L. F., Ness, N. F., Acuna, M. H., et al. 2008, Nature, 454, 75 [NASA ADS] [CrossRef] [PubMed] [Google Scholar]
- Bzowski, M., Fahr, H.-J., & Grzedzielski, S. 2006, ASTRA, 2, 1 [NASA ADS] [Google Scholar]
- Chalov, S. V., & Fahr, H.-J. 2009, solar Wind 12, Saint Malo, in print [Google Scholar]
- Chew, G. F., Goldberger, M. L., & Low, F. E. 1956, Proc. R. Soc. London A, 236, 112 [Google Scholar]
- Diver, D. A. 2001, A Plasma Formulary for Physics, Technology and Astrophysics (Hoboken, New Jersey: John Wiley) [Google Scholar]
- Erkaev, N. V., Vogl, D. F., & Biernat, H. K. 2000, J. Plasma Physics, 64, 561 [Google Scholar]
- Fahr, H.-J., 1973, Sol. Phys., 30, 193 [NASA ADS] [CrossRef] [Google Scholar]
- Fahr, H.-J., & Chalov, S. V. 2008, A&A, 490, L35 [NASA ADS] [CrossRef] [EDP Sciences] [Google Scholar]
- Fahr, H.-J., & Siewert, M. 2006, A&A, 458, 13 [NASA ADS] [CrossRef] [EDP Sciences] [Google Scholar]
- Fahr, H.-J., & Siewert, M. 2007, ASTRA, 3, 21 [NASA ADS] [CrossRef] [Google Scholar]
- Fahr, H.-J., & Siewert, M. 2008, A&A, 484, L1 [NASA ADS] [CrossRef] [EDP Sciences] [Google Scholar]
- Fahr, H.-J., & Siewert, M. 2009, ApJ, 693, 281 [NASA ADS] [CrossRef] [Google Scholar]
- Fahr, H.-J., & Verscharen, D. 2008, A&A, 487, L21 [NASA ADS] [CrossRef] [EDP Sciences] [Google Scholar]
- Génot, V. 2008, ApJ, 687, L119 [NASA ADS] [CrossRef] [Google Scholar]
- Gombosi, T. I. 1998, Physics of the Space Environment (New York: Cambridge University Press) [Google Scholar]
- Holzer, T. E., & Leer, E. 1973, Ap&SS, 24, 335 [NASA ADS] [CrossRef] [Google Scholar]
- Hudson, P. D. 1970, Planet. Space Sci., 18, 1611 [NASA ADS] [CrossRef] [Google Scholar]
- Liu, Y., Richardson, J. D., Belcher, J. W., & Kasper, J. C. 2007, ApJ, 659, L65 [NASA ADS] [CrossRef] [Google Scholar]
- Mall, U. 2000, in The Outer Heliosphere: Beyond the Planets (Copernicus Society), 156 [Google Scholar]
- Moebius, E., Rucinski, D., Lee, M. A., & Isenberg, P. A. 1998, J. Geophys. Res., 103, 257 [NASA ADS] [CrossRef] [Google Scholar]
- Paresce, F., Fahr, H.-J., & Lay, G. 1973, J. Geophys. Res., 86, 1038 [Google Scholar]
- Richardson, J. D., Kasper, J. C., Wang, C., Belcher, J. W., & Lazarus, A. J. 2008, Nature, 454, 63 [NASA ADS] [CrossRef] [PubMed] [Google Scholar]
- Rucinski, D., Fahr, H.-J., & Grzedzielski, S. 1993, Planet. Space Sci., 41, 773 [NASA ADS] [CrossRef] [Google Scholar]
- Siewert, M., & Fahr, H.-J. 2008, A&A, 485, 327 [NASA ADS] [CrossRef] [EDP Sciences] [Google Scholar]
- Siewert, M., & Fahr, H.-J. 2009, A&A, 501, 407 [NASA ADS] [CrossRef] [EDP Sciences] [Google Scholar]
- Treumann, R. A. 2009, A&ARv, 17, 409 [NASA ADS] [Google Scholar]
- Vasyliunas, V. M., & Siscoe, G. L. 1976, J. Geophys. Res., 81, 1247 [NASA ADS] [CrossRef] [Google Scholar]
- Verscharen, D., & Fahr, H.-J. 2008, A&A, 487, 723 [NASA ADS] [CrossRef] [EDP Sciences] [Google Scholar]
- Vogl, D. F., Langmayr, D., Erkaev, N. V., et al. 2003, Planet. Space Sci., 51, 715 [NASA ADS] [CrossRef] [Google Scholar]
All Figures
![]() |
Figure 1:
The downstream/upstream temperature ratio for an observed compression ratio of s=2.5, the temperature ratio
|
Open with DEXTER | |
In the text |
Copyright ESO 2010
Current usage metrics show cumulative count of Article Views (full-text article views including HTML views, PDF and ePub downloads, according to the available data) and Abstracts Views on Vision4Press platform.
Data correspond to usage on the plateform after 2015. The current usage metrics is available 48-96 hours after online publication and is updated daily on week days.
Initial download of the metrics may take a while.