Issue |
A&A
Volume 513, April 2010
|
|
---|---|---|
Article Number | A8 | |
Number of page(s) | 10 | |
Section | Cosmology (including clusters of galaxies) | |
DOI | https://doi.org/10.1051/0004-6361/200811066 | |
Published online | 13 April 2010 |
ARCRAIDER II: Arc search in a sample of non-Abell clusters![[*]](/icons/foot_motif.png)
W. Kausch1 - S. Schindler1 - T. Erben2 - J. Wambsganss3 - A. Schwope4
1 - Institut für Astrophysik, University of Innsbruck,
Technikerstr. 25, 6020 Innsbruck, Austria
2 -
Argelander-Institut für Astronomie (AIfA), University of Bonn,
Auf dem Hügel 71, 53121 Bonn, Germany
3 -
Astrophysikalisches Rechen-Institut und Universität Heidelberg, Mönchhofstr. 12-14, 16120 Heidelberg, Germany
4 -
Astrophysikalisches Institut Potsdam (AIP), An der Sternwarte 16, 14482 Potsdam, Germany
Received 1 October 2008 / Accepted 6 January 2010
Abstract
Aims. We present a search for gravitational arcs in a unique sample of X-ray luminous, medium redshift clusters of galaxies.
Methods. The sample of clusters is called ARCRAIDER, is based on
the ROSAT Bright Survey (RBS) and fulfils the following criteria: (a)
X-ray luminosity
erg/s (0.5-2 keV band), (b) redshift range
,
(c) classified as clusters in the RBS, (d) not a member of the Abell
catalogue and, finally, (e) visible from the ESO sites La Silla/Paranal
(declination
).
Results. In total we found more than 35 (giant) arc/arclet
candidates, including a possible radial arc, one galaxy-galaxy lensing
event and a possible quasar triple image in 14 of the
21 clusters of galaxies. Hence 66% of the sample members are
possible lenses.
Key words: gravitational lensing: strong - cosmology: observation - galaxies: clusters: general
1 Introduction
Gravitational lensing techniques have become a blooming branch in astrophysics in the past with wide ranges of applications. In particular, the existence of strongly lensed objects offers the possibility to study the lenses, to investigate high redshift objects in more detail and can even be used for cosmological researches. Therefore systematic searches for gravitational arcs may provide an invaluable basis for those studies. Successful arc searches were already carried out by several authors, e.g. Bolton et al. (2008), Hennawi et al. (2008), Estrada et al. (2007), Sand et al. (2005), Luppino et al. (1999), Le Fevre et al. (1994), Smail et al. (1991) or Lynds & Petrosian (1989).
A particular application for systematic arc searches is the statistical approach to arc frequencies, called arc statistics. Arc statistics investigate the probability of lensing events of specified properties. These probabilities depend on a large number of factors, e.g. the number density of sources and lenses, their properties, and the cosmological model.
Among the first to carry out arc statistic simulations in a
cosmological context were Bartelmann et al. (2003, henceforth
B98,1998). They compared the frequency of
arcs occurring in different cosmological models. Their main result
was that the predicted number of arcs varies by orders of magnitudes
between different cosmologies. In particular, the predicted frequency
of arcs in the currently favoured CDM model is about one order of
magnitude too low compared to the estimated arc counts derived from
observations. This led to lively discussions on the reasons for that
discrepancy, as the
CDM cosmology is widely supported by different
observations, for example type I supernovae
(Perlmutter et al. 1999; Riess et al. 1998), or cosmic microwave background
observations (see e.g. Spergel et al. 2003; Pryke et al. 2002; Hanany et al. 2000).
Therefore arc statistics simulations were refined by several authors:
Flores et al. (2000) and Meneghetti et al. (2000) investigated with
different methods whether contributions of individual cluster
galaxies enlarge the cross section significantly. However, both
found that cluster members do not increase the arc frequency
significantly (
,
Flores et al. 2000). Additional effects of source ellipticities and sizes were investigated in detail by Keeton (2001), Oguri (2002) and Oguri et al. (2003).
![]() |
Figure 1:
Left: seeing histogram. As arc(lets) are often faint and thin
structures, it is important to observe under good seeing conditions.
The majority of our observations were performed with a seeing better
than 1
|
Open with DEXTER |
The predictions on the lensing efficiency of simulated
clusters performed by Dalal et al. (2004) agree very well with observations based on the Einstein Medium Sensitivity Survey
(henceforth EMSS, Luppino et al. 1999). They also found a strong dependency of about one order of magnitude of the cross section on the viewing angle of the
cluster, which is caused by triaxiality and shallow density cusps of
their simulated clusters.
While B98 assumed a constant source distance of
Wambsganss et al. (2004) showed that the
lensing probability is a strong function of the source redshift,
which was confirmed by Li et al. (2005). Varying the source redshift
yields a much higher optical depth, hence the predicted arc
frequency is significantly higher. Using only
sources
Wambsganss et al. (2004) confirm the results of B98. Torri et al. (2004) investigated the
influence of the dynamical state of galaxy clusters on arc
statistics. They revealed that during merger processes the caustics
change significantly, increasing the number of long and thin arcs by
one order of magnitude. Another factor was introduced by
Puchwein et al. (2005): they investigated the influence of the
intracluster gas and its properties on the lensing efficiency
and find a considerable impact under certain physical conditions.
In particular, cooling and star formation processes may contribute
to the lensing cross section by steepening the mass profile.
Numerical simulations nowadays show that the number of arcs for a CDM
cosmology roughly agrees with observations. However, a direct
comparison is hardly possible as all simulations are based on idealised
situations. In
particular observers have to deal with observational effects like
seeing,
limiting magnitude, instrumental properties,... Which are not taken
into account in the simulations at all. The reason is that those
observational effects are not yet modelled properly, as they concern
a wide range of different effects. For example, observations are
usually based on a set of individual images, which are stacked on
one single final frame. All images are unavoidably taken under
slightly different conditions, hence the final frame contains a
mixture of all individual image properties. The final effect of such
a mixture is hard to judge. In particular, blurring due to different
seeing conditions may affect the length-to-width ratio as well as
the length of an arc, leading to different morphology detections.
The first attempt taking observational effects into account was done
by Horesh et al. (2005). They compared a sample of ten galaxy clusters
based on HST observations (Smith et al. 2005) with simulations
including some observational effects. Although the observed sample
is very small and based on Abell clusters only, they found an agreement
between arc frequency predictions for
CDM cosmology and the used
observations.
We present a sample of galaxy clusters, which is particularly suited for arc statistics. In Sect. 2
we first describe the cluster sample in detail, its selection criteria,
the observations and the data treatment, followed by a report on the
methods used
(Sect. 3). The results of the arc search are
presented in Sect. 4, a summary and conclusion is
given in Sect. 5. Throughout this paper we use a
standard CDM cosmology with
km s-1 Mpc-1,
,
and
.
2 The ARCRAIDER project
2.1 Selection criteria
ARCRAIDER stands for ARCstatistics with X-RAy lumInous meDium rEdhift galaxy clusteRs and
is an ongoing long term project. It is based on the ROSAT Bright
Survey (Schwope et al. 2000, henceforth RBS) and aimed at arc statistic
studies. The RBS is a compilation of the brightest sources in the
ROSAT All Sky Survey (Voges et al. 1999) with high galactic latitudes
(
)
and a PSPC count rate of >0.2 s-1. From this
sample we selected objects fulfilling the criteria:
- classified as a cluster of galaxies;
- a redshift of
;
- X-ray luminosity
erg/s (0.5-2 keV band);
- visible from the ESO sites La
Silla/Paranal (declination
);
- not a member of the Abell catalogue (Abell et al. 1989).


Table 1: Overview of the sample (see Schwope et al. 2000).
Table 2: Overview of the observations.
2.2 Observations
The total number of the sample is 21 galaxy clusters, which were usually observed under good seeing condition (median seeing value 0.87





The data reduction was performed with the help of the GaBoDS pipeline. This software package was especially designed for multi-chip imagers and performs the basic reduction, superflatting and fringe correction, astrometric and photometric calibration and, finally, the coaddition. For more details on the used algorithms we refer the interested reader to Erben et al. (2005) and Erben & Schirmer (2003).
The astrometric reference frame was tied to the USNO-A2 catalogue (Monet et al. 1998a,b), the photometric calibration was done with the STETSON standards (Stetson 2000). All magnitudes are given in the Vega system.
For nights where no standard star observations were observed we took the standard zero points given on the SUSI2 homepage after investigating the photometric conditions of these nights with the help of WFI observations.
Where available we also used HST data taken from the archive. This concerns the clusters RBS-0436,
RBS-0651
,
RBS-0864
and RBS-1748
,
which were observed during snapshot programmes (filter:
;
PID: 10881, P.I. Smith, ACS,
s;
PID: 8301, P.I.: Edge, WFPC2,
s). We used the calibrated images from the Hubble Legacy Archive
mainly to identify possible arcs, as those images are well-suited due
to their missing atmospheric blurring, even in spite of the very short
exposure times.
Table 3: Table with measured limiting magnitude values.
3 Methods
3.1 Determination and photometry of the arc candidates
One of the main issues of the ARCRAIDER project at this stage is the search for gravitational arcs. As arcs are difficult to detect, we have to focus on the most important criteria. In ground-based observations usually only arcs tangentially aligned with respect to the mass centre are visible. Radial arcs are often too thin and too faint structures in the vicinity of bright central galaxies of clusters. In addition, arcs and their counter images have the same spectra and redshifts of the order of

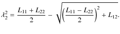
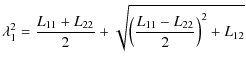
To determine the length-to-width ratio l/w to be used as selection criterion we follow an ansatz by Lenzen et al. (2004) and
the SExtractor Manual (Bertin 2005) and define the l/w ratio by
calculating the eigenvalues
and
of the second order
moment of the light distribution Lkl (note that
L12=L21):
Although neither the length l nor the width w are equal to their counterparts





Though a lot of useful information (e.g. length-to-width ratio,
location/orientation with respect to the BCG...) is contained in the
catalogues, it is insufficient to restrict the search to object
catalogues only. In several cases arcs merge apparently with foreground
objects and can
therefore be missed or are simply too faint to be detected. Hence an
arc search is best performed by visual inspection of deep images and
not restricted to catalogues only. We use the following
selection criteria for arc candidates: (a) they are tangentially
aligned,
and, (b) in a distance of <
,
both with respect to the
central cluster galaxy, and (c) show a length-to-width ratio of
(measured with SExtractor, see Sect. 3.2 for more details).
We additionally assigned the arc candidates to two classes (A, and B). Class A denotes a high probability of being a lensed object, whereas B type objects are of low probability, but not excludable lensing features. This separation is primarily meant to be as priority list for subsequent observations.
All magnitudes were determined with SExtractor in
double image mode using MAG_AUTO with the following parameters for all
clusters: DETECT_MINAREA = 3, effective GAIN =
.
The GAIN
is 2 for WFI and 2.25 for SUSI2. We also took
galactic extinction E(B-V) into account based on values by Schlegel et al. (1998),
in spite of the low values due to the high galactic latitude bias
introduced by the RBS catalogue. The separation of stars and galaxies
was done using CLASS_STAR <0.95.
Additional information about the arc candidates can be derived from their colour information. We have compared the (V-R) colours of the arcs with the average colour of the five brightest cluster members (see Table 9). As lensed objects are highly redshifted galaxies of various types, their colour usually differs from the main lensing cluster members. Except for three of them (RBS-0238: B2; RBS-0651: B3; RBS-1460: B1) all candidates show different colours than the five brightest cluster members, which indicates their non-cluster membership.
![]() |
Figure 2:
Comparison of various gravitational arcs seen with five different imagers: WFI@ESO2.2m (filter
|
Open with DEXTER |
3.2 Morphology of the arc candidates/mass estimates
At first glance the chosen limit of the length-to-width ratio




Except for object 1e, which is by far the smallest and faintest, the
length-to-width ratio measurements on the ground based images roughly
agrees (see Table 5). However, it is clearly visible that the l/w is dramatically higher in the HST frame, which is shown by a blurring factor BF of down to 0.4.
This means that the influence of atmospheric blurring is highly
dominant over other factors like different spatial sampling (pixel
scale), or exposure times. Hence the fraction of missed arc candidates
is minimized with an assumed limit of the ground based length-to-width
ratio
for arc determination. However, the contamination by cluster or
foreground elongated objects is increased. Thus a spectroscopic
confirmation of the arc candidates is mandatory in the future.
We can also use the position of the arcs to roughly estimate the
mass of the lensing galaxy assuming it is a part of an Einstein
ring. As we do not know the distance to the background galaxy we
only get a rough estimate of the mass within the Einstein ring by
assuming
,
the upper/lower limits are
estimated by assuming
.
Due to the large number of assumptions we concentrate on A class candidates only.
Table 4: Technical data of the images in Fig. 2.
Table 5: Measured l/w of the arcs shown in Fig. 2.
4 Results and discussion
4.1 Individual clusters
The ARCRAIDER sample includes several clusters with distinct arc like features (see the Appendix for the images). Table 9 shows a list of all measurable photometric and morphologic quantities of the arc candidates. They are usually named by their classification (see Sect. 3.1) followed by a running number. The distances are measured from the cluster centres (hereafter ``cc''), the given masses are assumed as being masses within an Einstein radius of the A class candidates with a source redshift zs=1, the errors are calculated using
In particular RBS-0325, RBS-0651, RBS-0653, RBS-0864 (Kausch et al. 2007) and RBS-1316 (RXJ1347-1145, see e.g. Halkola et al. 2008; Bradac et al. 2005) show features, which are very probably lensed objects. Apart from that several small arclet candidates, the B-typed objects, can be found in various clusters of the sample, but it is unlikely that they are lenses. In addition we found a galaxy-galaxy lensing candidate in RBS-0312, a candidate for a radial arc in RBS-0325 (see Figs. A.1c and d, respectively), and a possible multi-imaged quasar in RBS-1712 (Fig. A.3c).
4.2 Correlation of the X-ray luminosity and the number of arc candidates
A correlation between the X-ray luminosity and the number of arcs is expected, because the X-ray luminosity correlates with the mass of the cluster (Schindler 1999; Reiprich & Böhringer 1999) and the probability to detect arcs increases with the cluster mass. Dividing the sample into classes with the X-ray luminosity intervals I: [


Seven of the 14 ARCRAIDER lensing cluster candidates show B-type objects only, and six at least one class A type. Additionally
are really impressive lensing clusters (RBS-0653 and RBS-1316), containing a large number of candidates and giant arcs.
Table 6:
Sample divided into three classes I, II, and III, with respect to the X-ray luminosity .
Table 7: The three X-ray luminosity classes of the EMSS cluster sample. See text for more details.
Table 8: Mean values of the X-ray luminosity classes (see Tables 7 and 6, respectively).
Table 9: List of the photometric and morphologic quantities of measurable arcs and arc candidates, except for RBS-0864 (see Kausch et al. 2007) and RBS1316 (RXJ1347-1145, see Bradac et al. 2005). See text for more details.
4.3 Comparison with the EMSS sample
Several other arc searches have been carried out by various groups (e.g. Sand et al. 2005; Hennawi et al. 2008; Estrada et al. 2007; Bolton et al. 2008). However, a direct comparison with those studies is hampered by considerable differences between the studies e.g. in the selection criteria of the cluster samples, photometric depth, or chosen instruments.The only comparable search for gravitational arcs in clusters of galaxies was performed by Luppino et al. (1999), who searched for strong lensing features in 38 X-ray selected clusters taken from the EMSS (Gioia et al. 1990; Stocke et al. 1991).
In total they discovered 16 clusters with arcs and arc candidates,
including eight systems with giant arcs. 60% of their clusters
exceeding
erg s-1 (0.3-3.5 keV band) inhabitate giant arcs and none of the 15 clusters with
erg s-1 (same band) shows any strong lensing feature candidate.
Due to the similarities in the samples we can roughly compare the
fraction of clusters inhabitating gravitational arcs between both
samples. Because of the uncertainties in the arc determination we only
take clusters into account, which show arcs, which are very probably
strong lensing features. Hence, we use only type A arcs for our RBS sample (see Sect. 3.2), for the EMSS sample we use giant arcs and arcs without a question mark in the last column of Table 1 in Luppino et al. (1999) and additionally only select clusters with a comparable redshift (
).
For this comparison we also divided the EMSS sample members into three
classes of similar number counts with respect to the X-ray luminosity
(see Table 7), which was transferred to the 0.5-2.0 keV band with the online
PIMMS-Tool.
![]() |
Figure 3:
Comparison of the lensing cluster fractions in the EMSS sample (dashed line) (Luppino et al. 1999) and the RBS sample (solid line). For both samples we used only the most secure arc candidates (see Sect. 4.3). The dots mark the mean values of the X-ray luminosity within the corresponding |
Open with DEXTER |
Figure 3
shows a comparison of the lensing cluster fraction in the EMSS and the
RBS sample, respectively. The dots mark the mean value of the X-ray
luminosity of the clusters within the class (see Tables 6 and 7) of the corresponding sample (see Table 8). The error bars in x-direction denote the limits of the corresponing
class, in the y-direction the errors are assumed to be
1 cluster with missed or misinterpreted arcs, respectively.
Surprisingly, the agreement between the samples is not as good as one
one would expect for two similar samples. Both are strictly selected by
,
except that the luminosity cut is much higher in the RBS sample.
However, the discrepancy between the two samples could be caused by the
momentary skipping of the Abell clusters (
of the clusters in class I,
in class II, and
in class III).
Although the Abell clusters are selected by visible light luminosity
only, the omitting excludes several famous prominent lensing clusters
(Abell 2204, Abell 2667, Abell 1835, Abell 1689, see e.g. Sand et al. 2005; Broadhurst et al. 2005).
5 Summary
We present a systematic search for gravitational arcs in a unique sample of X-ray-luminous, medium redshifted galaxy clusters. The search is based on deep ground based images taken with ESO telescopes under good seeing conditions (usually <

The next step in the ARCRAIDER project is the analysis of the currently excluded Abell clusters belonging to this sample and spectroscopic follow-up observations of the arc candidates to confirm their lensing nature. Including these missing clusters and observations the ARCRAIDER sample is by far the largest for future arc statistic studies.
AcknowledgementsThis work is supported by the Austrian Science Foundation (FWF) project number 15868.
References
- Abell, G. O., Corwin, H. G., & Olowin, R. P. 1989, ApJS, 70, 1 [NASA ADS] [CrossRef] [EDP Sciences] [Google Scholar]
- Bartelmann, M., Huss, A., Colberg, J. M., Jenkins, A., & Pearce, F. R. 1998, A&A, 330, 1 [NASA ADS] [Google Scholar]
- Bartelmann, M., Meneghetti, M., Perrotta, F., Baccigalupi, C., & Moscardini, L. 2003, A&A, 409, 449 [NASA ADS] [CrossRef] [EDP Sciences] [Google Scholar]
- Bertin, E. 2005, SExtractor v2.4 User's Manual [Google Scholar]
- Bolton, A. S., Burles, S., Koopmans, L. V. E., et al. 2008, ApJ, 682, 964 [NASA ADS] [CrossRef] [Google Scholar]
- Bradac, M., Erben, T., Schneider, P., et al. 2005, A&A, 437, 49 [NASA ADS] [CrossRef] [EDP Sciences] [Google Scholar]
- Broadhurst, T., Benítez, N., Coe, D., et al. 2005, ApJ, 621, 53 [NASA ADS] [CrossRef] [Google Scholar]
- Dalal, N., Holder, G., & Hennawi, J. F. 2004, ApJ, 609, 50 [NASA ADS] [CrossRef] [Google Scholar]
- Erben, T., & Schirmer, M. 2003, GaBoDS Pipeline Documentation Ver. 0.5 [Google Scholar]
- Erben, T., Schirmer, M., Dietrich, J. P., et al. 2005, Astron. Nachr., 326, 432 [NASA ADS] [CrossRef] [Google Scholar]
- Estrada, J., Annis, J., Diehl, H. T., et al. 2007, ApJ, 660, 1176 [NASA ADS] [CrossRef] [Google Scholar]
- Flores, R. A., Maller, A. H., & Primack, J. R. 2000, ApJ, 535, 555 [NASA ADS] [CrossRef] [Google Scholar]
- Gioia, I. M., Maccacaro, T., Schild, R. E., et al. 1990, ApJS, 72, 567 [NASA ADS] [CrossRef] [Google Scholar]
- Halkola, A., Hildebrandt, H., Schrabback, T., et al. 2008, A&A, 481, 65 [NASA ADS] [CrossRef] [EDP Sciences] [Google Scholar]
- Hanany, S., Ade, P., Balbi, A., et al. 2000, ApJ, 545, L5 [NASA ADS] [CrossRef] [Google Scholar]
- Hennawi, J. F., Gladders, M. D., Oguri, M., et al. 2008, AJ, 135, 664 [NASA ADS] [CrossRef] [Google Scholar]
- Horesh, A., Ofek, E. O., Maoz, D., et al. 2005, ApJ, 633, 768 [NASA ADS] [CrossRef] [Google Scholar]
- Jähne, B. 2002, Digitale Bildverarbeitung, 5th edn. (Springer) [Google Scholar]
- Kausch, W., Gitti, M., Erben, T., & Schindler, S. 2007, A&A, 471, 31 [NASA ADS] [CrossRef] [EDP Sciences] [Google Scholar]
- Keeton, C. R. 2001, ApJ, 562, 160 [NASA ADS] [CrossRef] [Google Scholar]
- Le Fevre, O., Hammer, F., Angonin, M. C., Gioia, I. M., & Luppino, G. A. 1994, ApJ, 422, L5 [NASA ADS] [CrossRef] [Google Scholar]
- Lenzen, F., Schindler, S., & Scherzer, O. 2004, A&A, 416, 391 [NASA ADS] [CrossRef] [EDP Sciences] [Google Scholar]
- Li, G.-L., Mao, S., Jing, Y. P., et al. 2005, ApJ, 635, 795 [NASA ADS] [CrossRef] [Google Scholar]
- Luppino, G. A., Gioia, I. M., Hammer, F., Le Fèvre, O., & Annis, J. A. 1999, A&AS, 136, 117 [Google Scholar]
- Lynds, R., & Petrosian, V. 1989, ApJ, 336, 1 [NASA ADS] [CrossRef] [Google Scholar]
- Meneghetti, M., Bolzonella, M., Bartelmann, M., Moscardini, L., & Tormen, G. 2000, MNRAS, 314, 338 [NASA ADS] [CrossRef] [Google Scholar]
- Monet, D. B. A., Canzian, B., & Dahn, C. 1998a, VizieR Online Data Catalog, 1252, 0 [Google Scholar]
- Monet, D. B. A., Canzian, B., Dahn, C., et al. 1998b, VizieR Online Data Catalog, 1252, 0 [Google Scholar]
- Oguri, M. 2002, ApJ, 573, 51 [NASA ADS] [CrossRef] [Google Scholar]
- Oguri, M., Lee, J., & Suto, Y. 2003, ApJ, 599, 7 [NASA ADS] [CrossRef] [Google Scholar]
- Perlmutter, S., Aldering, G., Goldhaber, G., et al. 1999, ApJ, 517, 565 [NASA ADS] [CrossRef] [Google Scholar]
- Pryke, C., Halverson, N. W., Leitch, E. M., et al. 2002, ApJ, 568, 46 [Google Scholar]
- Puchwein, E., Bartelmann, M., Dolag, K., & Meneghetti, M. 2005, A&A, 442, 405 [Google Scholar]
- Reiprich, T. H., & Böhringer, H. 1999, Astron. Nachr., 320, 296 [Google Scholar]
- Riess, A. G., Filippenko, A. V., Challis, P., et al. 1998, AJ, 116, 1009 [NASA ADS] [CrossRef] [Google Scholar]
- Sand, D. J., Treu, T., Ellis, R. S., & Smith, G. P. 2005, ApJ, 627, 32 [NASA ADS] [CrossRef] [Google Scholar]
- Schindler, S. 1999, A&A, 349, 435 [NASA ADS] [Google Scholar]
- Schlegel, D. J., Finkbeiner, D. P., & Davis, M. 1998, ApJ, 500, 525 [NASA ADS] [CrossRef] [Google Scholar]
- Schwope, A., Hasinger, G., Lehmann, I., et al. 2000, Astron. Nachr., 321, 1 [NASA ADS] [CrossRef] [Google Scholar]
- Smail, I., Ellis, R. S., Fitchett, M. J., et al. 1991, MNRAS, 252, 19 [NASA ADS] [Google Scholar]
- Smith, G. P., Kneib, J.-P., Smail, I., et al. 2005, MNRAS, 359, 417 [NASA ADS] [CrossRef] [Google Scholar]
- Spergel, D. N., Verde, L., Peiris, H. V., et al. 2003, ApJS, 148, 175 [NASA ADS] [CrossRef] [Google Scholar]
- Stetson, P. B. 2000, PASP, 112, 925 [NASA ADS] [CrossRef] [Google Scholar]
- Stocke, J. T., Morris, S. L., Gioia, I. M., et al. 1991, ApJS, 76, 813 [NASA ADS] [CrossRef] [Google Scholar]
- Torri, E., Meneghetti, M., Bartelmann, M., et al. 2004, MNRAS, 349, 476 [NASA ADS] [CrossRef] [Google Scholar]
- Voges, W., Aschenbach, B., Boller, T., et al. 1999, A&A, 349, 389 [NASA ADS] [Google Scholar]
- Wambsganss, J., Bode, P., & Ostriker, J. P. 2004, ApJ, 606, L93 [NASA ADS] [CrossRef] [Google Scholar]
Appendix A: Cluster images
![]() |
Figure A.1:
Images of all clusters with arc candidates (R-band filter except the three colour composite). The possible strong lensing features are marked by boxes, labelled with ``A'', and ``B'' (see Sect. 3.1).
``SUSI2bin1'' (``SUSI2bin2'') denotes that the |
Open with DEXTER |
![]() |
Figure A.2:
Same as Fig. A.1. |
Open with DEXTER |
![]() |
Figure A.3: same as Fig. A.1. |
Open with DEXTER |
Footnotes
- ... clusters
- Based on observations made with ESO Telescopes at the La Silla or Paranal Observatories under programme IDs 60.A-9123(G), 65.O-0425, 67.A-0444(A), 067.A-0095(B), 67.A-0427(A), 68.A-0255(A), 69.A-0010(A), 169.A-0595(G), 072.A-0083(A), and 073.A-0050(A). Also based on observations made with the NASA/ESA Hubble Space Telescope, and obtained from the Hubble Legacy Archive, which is a collaboration between the Space Telescope Science Institute (STScI/NASA), the Space Telescope European Coordinating Facility (ST-ECF/ESA) and the Canadian Astronomy Data Centre (CADC/NRC/CSA).
- ... homepage
- http://www.ls.eso.org/lasilla/sciops/ntt/susi/docs/SUSIphot.html
- ... Archive
- http://hla.stsci.edu/
- ...
PIMMS-Tool
- http://heasarc.nasa.gov/Tools/w3pimms.html
All Tables
Table 1: Overview of the sample (see Schwope et al. 2000).
Table 2: Overview of the observations.
Table 3: Table with measured limiting magnitude values.
Table 4: Technical data of the images in Fig. 2.
Table 5: Measured l/w of the arcs shown in Fig. 2.
Table 6:
Sample divided into three classes I, II, and III, with respect to the X-ray luminosity .
Table 7: The three X-ray luminosity classes of the EMSS cluster sample. See text for more details.
Table 8: Mean values of the X-ray luminosity classes (see Tables 7 and 6, respectively).
Table 9: List of the photometric and morphologic quantities of measurable arcs and arc candidates, except for RBS-0864 (see Kausch et al. 2007) and RBS1316 (RXJ1347-1145, see Bradac et al. 2005). See text for more details.
All Figures
![]() |
Figure 1:
Left: seeing histogram. As arc(lets) are often faint and thin
structures, it is important to observe under good seeing conditions.
The majority of our observations were performed with a seeing better
than 1
|
Open with DEXTER | |
In the text |
![]() |
Figure 2:
Comparison of various gravitational arcs seen with five different imagers: WFI@ESO2.2m (filter
|
Open with DEXTER | |
In the text |
![]() |
Figure 3:
Comparison of the lensing cluster fractions in the EMSS sample (dashed line) (Luppino et al. 1999) and the RBS sample (solid line). For both samples we used only the most secure arc candidates (see Sect. 4.3). The dots mark the mean values of the X-ray luminosity within the corresponding |
Open with DEXTER | |
In the text |
![]() |
Figure A.1:
Images of all clusters with arc candidates (R-band filter except the three colour composite). The possible strong lensing features are marked by boxes, labelled with ``A'', and ``B'' (see Sect. 3.1).
``SUSI2bin1'' (``SUSI2bin2'') denotes that the |
Open with DEXTER | |
In the text |
![]() |
Figure A.2:
Same as Fig. A.1. |
Open with DEXTER | |
In the text |
![]() |
Figure A.3: same as Fig. A.1. |
Open with DEXTER | |
In the text |
Copyright ESO 2010
Current usage metrics show cumulative count of Article Views (full-text article views including HTML views, PDF and ePub downloads, according to the available data) and Abstracts Views on Vision4Press platform.
Data correspond to usage on the plateform after 2015. The current usage metrics is available 48-96 hours after online publication and is updated daily on week days.
Initial download of the metrics may take a while.