Issue |
A&A
Volume 513, April 2010
|
|
---|---|---|
Article Number | A49 | |
Number of page(s) | 8 | |
Section | Stellar structure and evolution | |
DOI | https://doi.org/10.1051/0004-6361/200911862 | |
Published online | 23 April 2010 |
New seismic analysis of the exoplanet-host star
Arae
M. Soriano - S. Vauclair
Laboratoire d'Astrophysique de Toulouse-Tarbes - UMR 5572 - Université de Toulouse - CNRS, 14 Av. E. Belin, 31400 Toulouse, France
Received 17 February 2009 / Accepted 15 January 2010
Abstract
Aims. We present detailed modelling of the exoplanet-host star
Arae, using a new method for the asteroseismic analysis, and taking
into account the new value recently derived for the Hipparcos parallax.
The aim is to obtain precise parameters for this star and its internal
structure, including constraints on the core overshooting.
Methods. We computed new stellar models in a wider range than
Bazot et al. (2005, A&A, 440, 615), with various chemical
compositions ([Fe/H] and Y), with or without overshooting at
the edge of the core. We computed their adiabatic oscillation
frequencies and compared them to the seismic observations. For each set
of chemical parameters, we kept the model which represented the best
fit to the echelle diagram. Then, by comparing the effective
temperatures, gravities and luminosities of these models with the
spectroscopic error boxes, we were able to derive precise parameters
for this star.
Results. First we find that all the models which correctly fit
the echelle diagram have the same mass and radius, with an uncertainty
of the order of one percent. Second, the final comparison with
spectroscopic observations leads to the conclusion that besides its
high metallicity,
Arae has a high helium abundance of the order of Y = 0.3. Knowing this allows finding precise values for all the other parameters, mass, radius and age.
Arg5.
Key words: stars: oscillations - stars: interiors - stars: individual:
Arae - planetary systems - stars: evolution - stars: abundances
1 Introduction
Asteroseismology of solar type stars is a powerful tool which can lead
to the precise determination of the stellar parameters when associated
with spectroscopic observations. Special tools have been developped for
this purpose, which help constraining the internal structure of the
stars from the observable acoustic frequencies. In previous papers
(e.g. Vauclair et al. 2008),
we developped a systematic way of comparing models with observations.
First, for each set of chemical composition [Fe/H] and Y,
we compute evolutionary tracks and for each mass the model which best
fits the observed large separation is derived. Then we keep only the
model that also best fits the observed echelle diagram. We finally have
a set of models correctly fitting the seismic data, with different
abundances. Interestingly enough, all these models have the same mass
and radius, and of course the same log g (see Vauclair et al. 2008, for the star Hor). All these models are placed in a log g - log
diagram,
together with the observed spectroscopic boxes. Finally we only keep
the models which satisfy all the constraints, including seismology and
spectroscopy. In this way, precise values of the stellar parameters are
found.
Here we test this method on the exoplanet-host star
Arae (HD 160691). This G3 IV-V type star is at the centre of a four-planets system:
Arae b, a 1.7
planet with an eccentric orbit (e = 0.31) and a period
days (Butler et al. 2000; Jones et al. 2002);
Arae c, a 14
planet with
days. (Santos et al. 2004b);
Arae d, recently discovered by Pepe et al. (2007), with a period
days and a mass of 0.52
;
Arae e, a long period planet (
years) with a mass of 1.81
(Jones et al. 2002; McCarthy et al. 2004; Pepe et al. 2007).
The star's overmetallicity has been established by many groups of observers: Bensby et al. (2003), Laws et al. (2003), Santos et al. (2004a), Santos et al. (2004b) and Fischer & Valenti (2005) (see Table 1).
Arae
was observed with the HARPS spectrometer at La Silla Observatory during
eight nights in June 2004 to obtain radial velocity time series. The
analysis of these data led to the discovery of up to 43 frequencies
that could be identified with p-modes of degrees
to 3 (Bouchy et al. 2005). A detailed modelling was given by Bazot et al. (2005).
They computed models with two different assumptions that could explain
the observed overmetallicity: overabundance of metals in the original
interstellar cloud or accretion of planetary material onto the star.
They tried to obtain evidence of the origin of
Arae's overmetallicity. The results were not conclusive in that
respect, as the differences were not large enough to decide between the
two scenarii. Later on, other evidences were obtained that the observed
overmetallicity in exoplanet host stars must be original, not due to
accretion (see Castro et al. 2009).
We computed new models, testing various values of the original
metallicity and helium abundance. We compared the parameters of these
models with those obtained from spectroscopy, and introduced the new
value of the Hipparcos parallax, as given by van Leeuwen (2007).
We also analysed models with overshooting at the edge of the stellar
core. In some of these models, negative small separations appear so
that there is a crossing point in the echelle diagram for the lines
.
This effect was specially discussed in Soriano & Vauclair (2008),
who showed that all solar type stars go through a stage where the small
separations become negative in the observable range of frequencies.
Here, we present a direct application of this theoretical effect, which
is used to constrain core overshooting.
Table 1:
Effective temperatures, gravities, and metal abundances observed for
Arae. [Fe/H] ratios are given in dex.
2 Stellar parameters
2.1 Spectroscopic constraints
In Bazot et al. (2005),
the effective temperatures and luminosities of the models were the
first parameters used for comparisons with the observations. We now
prefer to compare the models with the spectroscopic observations in a
more consistent way, by using the ``triplets''
,
log g
and [Fe/H]. These three parameters are indeed consistently given be the
same observers, while the luminosities are obtained in a different way,
using Hipparcos parallaxes. Here we compare the luminosities as a
second step. For this reason, we do not use exactly the same set of
references as given by Bazot et al. (2005), as we only keep those which give constraints on the surface gravity (see Table 1).
2.2 The luminosity of
Arae
The visual magnitude of
Arae is V=5.15 (SIMBAD Astronomical data base). Van Leeuwen (2007) carried out a new analysis of the Hipparcos data. He derived a new value of the parallax of
Arae:
mas, which is lower than the first one derived by Perryman et al. (1997) and has a reduced error. Using this new value, we deduced an absolute magnitude of
.
From Table 1, we have an average value of effective temperature for
Arae of
= 5800
100 K. Using the tables of Flower (1996), we obtained
for the bolometric correction.
With a solar absolute magnitude of
(Lejeune et al. 1998), we deduced for
Arae a luminosity of log (L/
.
This value is lower than the one derived by Bazot et al. (2005) in their analysis of this star, namely log (L/
.
2.3 Seismic constraints
The star
Arae was observed with the HARPS spectrograph, dedicated to the search
for exoplanets by the means of precise radial velocity measurements.
HARPS is installed on the 3.6 m-ESO telescope at la Silla
Observatory, Chile.
These measurements led to the identification of 43 p-modes of degrees
to
with frequencies between 1.3 and 2.6 mHz (Bouchy et al. 2005). The frequency resolution of the time-series was 1.56
Hz, and the uncertainty on the oscillation modes has been evaluated to 0.78
Hz. The mean large separation between two modes of consecutive order, computed in the observed range of frequencies, is
90
Hz, with an uncertainty of 1.1
Hz.
The small separations present variations which are clearly visible in
the echelle diagram. Their average value in the observed range of
frequencies is
Hz.
3 Evolutionary tracks and models
We computed evolutionary tracks with the TGEC code (Hui Bon Hoa 2008; Richard et al. 1996), with the OPAL equations of state and opacities (Rogers & Nayfonov 2002; Iglesias & Rogers 1996) and the NACRE nuclear reaction rates (Angulo et al. 1999). For all models, the microscopic diffusion was included as in Paquette et al. (1986) and Michaud et al. (2004).
The treatment of the convection is done in the framework of the mixing
length theory and the mixing length parameter is adjusted as in the
Sun:
(Richard et al. 2004). We also computed cases with
and
to test the corresponding uncertainties. We found that for 1.10
and
,
the track is very close to that of 1.12
and
.
On the other side, the 1.10
and
track is close to the 1.08
and
one. This was taken into account in the determination of the uncertainties on the final results (Sect. 5).
From the literature, we found two values for the metallicity of
Arae: [Fe/H] = 0.29 (Laws et al. 2003, Fischer & Valenti 2005) and [Fe/H] = 0.32 (Bensby et al. 2003;
Santos et al. 2004a, b). For each value of [Fe/H], we first
computed two series of evolutionary tracks for two different values of
the helium abundance:
- a helium abundance increasing with Z as given by the Isotov & Thuan (2004) law for the chemical evolution of the galaxies: we label this value
;
- a solar helium abundance
= 0.2714.
The results obtained in the log g - log
and log (L/
) - log
planes are displayed in Fig. 1.
Each graph corresponds to one value of the metallicity. On each graph,
the five error boxes are plotted, but those that correspond to the same
value of [Fe/H] as given by the groups of observers are drawn in
thicker lines.
![]() |
Figure 1:
Evolutionary tracks in the log g - log
|
Open with DEXTER |
We then computed two similar series including overshooting at the edge
of the convective core. Here overshooting is simply described as an
extension of the convective core by a length
,
where
is the overshooting parameter, and
the pressure scale height. In these two series, the overshooting parameter is fixed at
= 0.2 (Fig. 6). Finally, we tested more precisely the seismic constraints on overshooting by varying
in small steps between 0.0 and 0.2 for models of masses 1.1
(Fig. 7).
4 Seismic tests and results
4.1 Models without overshooting
We computed the adiabatic oscillation frequencies for a large number of
models along each evolutionary track with the PULSE code (Brassard
& Charpinet 2008). These frequencies were computed for degrees
to
,
and for radial orders typically ranging from 4 to 100. For each
track, we selected the model that has a mean large separation of
90
Hz, computed in the same frequency range as the observed one. We plotted on each graph (Fig. 1) the corresponding iso-
90
Hz line. The parameters of these models are given in Tables 2 to 5. We can check that all the models that fit the same large separation present the same value of the parameter g/R or M/R3 where g, M and R are respectively the gravity, mass and radius of the star.
This is because the large separation approximately varies like c/R, where c represents the mean sound velocity in the star, which itself approximately varies like
.
With the usual scaling for the stellar temperature
,
we obtain that (c/R)2 varies like M/R3, independently of the chemical composition.
Note in Fig. 1 that the iso-
90
Hz lines never cross Laws et al. (2003) or Santos et al. (2004a) error boxes. Models with
= 90
Hz have a value of log g much lower than the one derived by these two groups of observers.
Table 2:
Characteristics of some overmetallic models with [Fe/H] = 0.32 and .
Kjeldsen et al. (2008)
discussed possible corrections on the frequencies due to near-surface
effects. They gave a parametrisation formula including three
parameters, in which two of them can be deduced from the third one. As
this parameter is unknown, they suggest using the same value for all
solar type stars as deduced for the Sun in a first approximation. They
find that the induced shifts increase with the frequency values, so
that it can slightly modify the computed mean large separation,
according to the frequency range. In our echelle diagrams for
Arae, the models and the observations correctly fit when we do detailed mode to mode comparisons (Fig. 4).
We conclude that these near-surface effects are negligible in the
observed range of frequencies, i.e. at least up to 2.3 mHz.
For each value of [Fe/H] and Y we searched, among the models which fit a mean large separation of 90 Hz,
the one which also gives the best fit to the observational echelle
diagram. In order to find this ``best model'', we performed a
minimization for the echelle diagram of the models. Tables 2 to 5 show the parameters of some models close to the minimum of
.
We used the expression
![]() |
(1) |
where




![]() |
Figure 2:
Evolution of the |
Open with DEXTER |
For all sets of chemical composition, the
values present a minimum for models of mass M = 1.10
,
radius
cm, and gravity log g = 4.21 (Fig. 2). These models represent the four ``best models'', one for each couple ([Fe/H], Y). Their echelle diagrams are displayed in Fig. 3.
For a better visibility of the figures, we give the observed mode
frequencies separately and the modelled ones as lines. It is remarkable
that their masses, radii and thus gravities are identical and has
important consequences, which will be discussed below.
Table 3:
Characteristics of some overmetallic models with [Fe/H] = 0.29 and .
Table 4:
Characteristics of some overmetallic models with [Fe/H] = 0.32 and .
Table 5:
Characteristics of some overmetallic models with [Fe/H] = 0.29 and .
![]() |
Figure 3:
Echelle diagrams for the best models with a metallicity of [Fe/H] = 0.29 ( upper panels) and [Fe/H] = 0.32 ( lower panels), and an helium abundance |
Open with DEXTER |
They all lie at the beginning of the subgiant branch. For ,
for both values of the metallicity, the models computed along the
evolutionay track have a convective core during the main sequence phase
which disappears at the present stage, leaving a helium core with sharp
edges. Models with a solar helium abundance
do not develop a convective core during their evolution, they have a helium core with sharp boundaries.
For a fixed value of [Fe/H], the age of the best model decreases when the helium abundance increases (compare respectively Tables 2 and 4 and Tables 3 and 5). This is due to the difference in the evolutionary time scales according to the value of Y. The main sequence time scale increases for increasing helium abundance. As can be seen in Fig. 1, for a given value of [Fe/H] the effect of a smaller helium abundance is to move the models to lower effective temperatures. For a given value of Y, the models are cooler for a higher metallicity.
We plotted these four models in a log g - log
plane, together with the spectroscopic error boxes (Fig. 5). We clearly see that models with the lower helium abundance
(models 2
and 4) lie outside the spectroscopic error boxes. Their effective
temperatures are too low compared to the values derived by the
spectroscopists. On the other hand, the models computed with a high
helium content (models 1 and 3) lie right inside the error
boxes: their external parameters correspond to those derived by
spectroscopy. These are also the models with the lowest
(see Tables 2 to 5). The luminosities of all these models agree with that derived from the Hipparcos parallax, namely log (L/
)
(Sect. 2.2). The echelle diagram for the best model 3 is also presented in Fig. 4 in more detail, with all the observed and modelled oscillation modes given separately.
These models differ from the overmetallic model proposed by Bazot et al. (2005), which corresponded to a more massive star (1.18 )
on the main sequence. One of the reasons for this difference is related to the fact that in Bazot et al. (2005)
the luminosity was the basic parameter used for comparisons, and that
its value has been modified. The present analysis is more precise and
consistent in the comparison with the observations.
Another reason for the different results obtained here is related to the helium content of the star. We find that only models with a high helium value (Y = 0.30) correctly reproduce all the observations. The helium abundance, which was kept as a free parameter by Bazot et al. (2005), is now well constrained. This determination of Y represents an important improvement.
Interestingly enough the case of Arae is different from that of
Hor, discussed by Vauclair et al. (2008). The asteroseismic study of
Hor showed that its helium abundance was low (Y = 0.255), contrary to that of
Arae.
These two different results have interesting implications for the
details of the nuclear processes which lead to the observed
overmetallicity. This will be discussed in the conclusion.
![]() |
Figure 4:
Echelle diagram for the best model with a metallicity of [Fe/H] = 0.32 and a helium abundance |
Open with DEXTER |
4.2 Constraints on core overshooting
4.2.1 Models with
= 0.20
The observational echelle diagram presents characteristic variations
in the small separations. We were particularly interested in the fact
that around mHz the lines
and
come close to each other, so that the small separation is smaller than average. In a previous paper (Soriano & Vauclair 2008) we noticed that the small separations between
and
may vanish and become negative in stars at the end of the main sequence
phase due to their helium cores. In this case there is a crossing point
in the echelle diagram, with an inversion between
and
modes at high frequencies.
![]() |
Figure 5:
Representation of the five spectroscopic error boxes presented in Table 1 for the two values of metallicity: [Fe/H] = 0.29 (filled circles): Laws et al. (2003), Fischer & Valenti (2005); and [Fe/H] = 0.32 (filled triangles): Bensby et al. (2003), Santos et al. (2004a,b). The open symbols represent the four best models described in Table 2. They correspond to the two values of metallicities given above and to two different values of helium abundances: |
Open with DEXTER |
Here we wanted to check whether adding an overshooting layer at the
edge of the convective core could lead to such an effect and reproduce
the observed echelle diagram in a different way.
We tried to find a model that could fit the observational echelle
diagram and present a crossing point between the lines -
at a frequency close to 2 mHz.
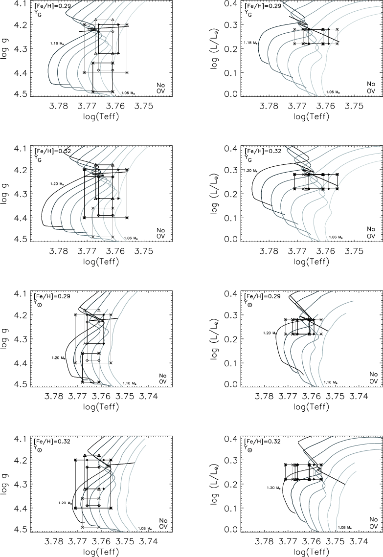
![]() |
Figure 6:
Evolutionary tracks in the log g - log
|
Open with DEXTER |
We computed evolutionary tracks with an overshooting parameter
= 0.20 for the two values of metallicity: [Fe/H] = 0.29 and 0.32, the two values of helium abundance:
and
,
and for masses ranging from 1.06 to 1.20
(Fig. 6). As for the cases without overshooting, we picked up the models with a large separation of 90
Hz and draw curves of iso large separations.
In all these models, a convective core develops, even for masses smaller than 1.10 .
Models with masses ranging from 1.06 to 1.14
lie at the end of the main sequence. They have a high central helium abundance
,
between 0.8 and 0.9. Most of these models present a crossing point between the
and
curves in the observed frequency range. However, as can be seen on the example shown in Fig. 8 (upper-left panel), the computed lines do not reproduce the observed ones.
Models with masses higher than 1.14 correspond
to younger stars, still on the main sequence. Their convective core is
well developped, but their helium-content
is not high enough to induce a discontinuity in the sound speed profile
and so to obtain negative small separations in the considered range of
frequencies. There is no crossing point in their echelle diagram. These
models do not fit the observational echelle diagram either, as can be
seen in the example in Fig. 8 (upper-right panel).
These results show that the observed frequencies in
Arae cannot be interpreted in terms of a crossing point between the
and
curves. This is consistent with the interpretation of the doublets observed in the
curve in terms of rotational splitting (Bouchy et al. 2005). In this framework, the upper part of this curve could not be misinterpreted as
frequencies.
As overshooting with
= 0.20
is excluded, we decided to test smaller overshooting parameters to
obtain a strong constraint on the possibility of overshooting in this
star.
4.2.2 Constraints on the overshoot parameter
We computed new evolutionary tracks for models with 1.10







![]() |
Figure 7:
Evolutionary tracks for models of 1.10 |
Open with DEXTER |
The more overshooting is added at the edge of the stellar core, the
more the evolutionary time scales are increased, as can be seen in
Fig. 7.
The developpement of the convective core is increased during a longer
main sequence phase. The models that have a mean large separation of
90 Hz are not in the same evolutionary stage, depending on the value of
,
and they do not have the same internal structure. Models with
< 0.002 are at the beginning of the subgiant branch, as are models without overshooting. When
increases,
with a value between 0.002 and 0.10, the models are in the phase of
contraction of the convective core. And finally, for
>
0.10, the models are at the end of the main sequence. This difference
of evolutionary stages explains that the central helium abundance is
lower for models with a higher overshooting parameter.
Table 6:
Characteristics of the overmetallic models of 1.10 ,
[Fe/H] = 0.32, for several values of the oovershooting parameter.
![]() |
Figure 8:
Echelle diagram for overmetallic models with overshooting: 1.06 |
Open with DEXTER |
We studied the evolution of the oscillation frequencies when
increases. For small values of overshooting (
= 0.001 and
= 0.002), there is no visible influence on the oscillations frequencies.
For
= 0.005, the reduced
is a little higher (
)
than for the model without overshooting. We can see on the echelle diagram (Fig. 8, middle-left panel) that the lines
-
are closer for high frequencies. For
= 0.01, these lines cross at
= 2.6 mHz, as can be seen in the echelle diagram (Fig. 8, middle-right panel). The
has increased: 1.73.
For higher values of
(
> 0.01), the crossing point appears for lower frequencies decreasing for increasing
(Fig. 8, lower panels). Their
value
is high (2.45 and 3.04, respectively). These models do not fit the
observations. We conclude from these computations that the overshooting
parameter is small in
Arae, less than 0.01.
Let us recall however that in these computations overshooting is simply treated as an extension of the convective core. We have demonstrated that the seismic analysis of stars is able to give precise constraints on their central mixed zone. This does not exclude other kinds of mild macroscopic motions, plumes for instance, provided they do not lead to complete mixing.
5 Summary and discussion
This new analysis of the star
The procedure we use may be summarized as follows.
- We need at least the identification of
, 1 and 2 observational modes, and hopefully also
as in the present paper.
- Detailed comparisons of observed and computed modes are necessary. Global values of the so-called large and small separations are not precise enough to derive these parameters. The comparisons of detailed frequencies are needed to take into account the fluctuations and modulations induced by the internal structure of the star, in particular by the central mixed zone.
- In this framework, we first compare models and observations in the log g - log
plane. We may check that whatever the chemical composition, models with the same large separation have the same value of the M/R3 ratio, as predicted by the asymptotic theory.
- We then go further, by computing for various chemical compositions (Y, [Fe/H]) the model which fits the best the observed echelle diagram, using a
minimization process.
- One of the most important results at this stage, which was already pointed out for the case of the star
Hor by Vauclair et al. (2008), is that these best models, obtained for various chemical compositions, all have the same mass, radius, and thus gravity. With this method, mass and radius are obtained with one percent uncertainty. On the other hand, the age of the star still depends on the chemical composition, basically the helium value.
- Then we compare the position of these best models with the spectroscopic error boxes in the log g - log
diagram. This leads to the best choice of the chemical composition. In particular, we now constrain the Y value, which represents an important improvement compared to previous studies.
- Finally we check that the luminosity of the best of all models is compatible with that derived from the apparent magnitude and the Hipparcos parallax.
The parameters found for Arae are given in Table 7. The uncertainties have been tentatively evaluated by allowing a possible
increase
of 0.1 for each set of models and an uncertainty of 0.1 on the mixing
length parameter. They take into account that all computations done
with various sets of chemical parameters converge on the same model
values. One must keep in mind however that these uncertainties do not
include systematic effects which would occur if stellar physics was
strongly modified (new opacities, new nuclear reaction rates, new
equation of state, etc.).
Table 7:
Parameters of Arae.
The new model is different from that given in Bazot et al. (2005). Apart from the constraint on the Y
value, the basic reason is that in this previous paper the comparisons
were only based on the stellar luminosity, which was misleading due to
the Hipparcos parallax, which was later modified. Also the method used
at that time was not as precise as the one we now use. Note that the
scaling of parameters may lead to wrong results for stars in which the
seismic modes cannot be precisely identified . This is the case for
example for the mass proposed by Kallinger et al. (2010) for the star Arae, which is much too large (1.23
).
We also performed an analysis of the size of the mixed core by testing the implications of overshooting on the mode frequencies. We found a strong constraint on the possibility of core overshooting, treated as an extension of convection: the size of this extension must be less than 0.5% of the pressure scale height (overshooting parameter). This does not exclude other kinds of mild boundary effects at the edge of the core, provided that they do not lead to strong mixing.
At the present time, we were able to perform this deep seismic
analysis on two solar type stars hosting planets, both with a large
metallicity (about twice solar): Hor (Vauclair et al. 2008) and
Arae (this paper). In both cases, precise stellar parameters could be
obtained. We found however an important difference between these two
overmetallic stars.
In Hor,
the helium abundance is low, even lower than the solar value, in
accordance with the helium value determined forthe Hyades stellar
cluster. As other observational parameters also coincide, we concluded
that
Hor
is an ejected member of the Hyades. The reason why the helium abundance
is so low in these stars while the metallicity is high is still a
mystery, although it certainly depends on the mass of the stars that
polluted the original nebula.
In Arae,
on the other hand, the helium abundance is large, as expected from the
usual laws for the chemical evolution of galaxies (Isotov & Thuan 2004). This star was formed in a nebula which suffered normal pollution from stars with proportional yields of helium and metals.
Seismology can lead to precise values of helium abundances in solar type stars, where helium cannot be directly derived from spectroscopy. This represents a success, quite apart from all other results and constraints, and will be of importance for the study of the chemical evolution of our Galaxy.
References
- Angulo C., Arnould M., Rayet M., et al. 1999, Nuclear Physics A, 656, 3 http://pntpm.ulb.ac.be/Nacre/nacre.htm [CrossRef] [Google Scholar]
- Bazot, M., Vauclair, S., Bouchy, F., & Santos, N. C. 2005, A&A, 440, 615 [NASA ADS] [CrossRef] [EDP Sciences] [Google Scholar]
- Bensby, T., Feltzing, S., & Lundström, I. 2003, A&A, 410, 527 [NASA ADS] [CrossRef] [EDP Sciences] [Google Scholar]
- Bouchy, F., Bazot, M., Santos, N. C., Vauclair, S., & Sosnowska, D. 2005, A&A, 440, 609 [NASA ADS] [CrossRef] [EDP Sciences] [Google Scholar]
- Brassard, P., & Charpinet, S. 2008, Ap&SS, 316, 107 [NASA ADS] [CrossRef] [Google Scholar]
- Butler, R. P., Tinney, C. G., Marcy, G. W., et al. 2001, ApJ, 555, 410 [NASA ADS] [CrossRef] [Google Scholar]
- Castro, M., Vauclair, S., Richard, O., & Santos, N. C. 2009, A&A, 494, 663 [NASA ADS] [CrossRef] [EDP Sciences] [Google Scholar]
- Fischer, D. A., & Valenti, J. A. 2005, ApJ, 622, 1102 [NASA ADS] [CrossRef] [Google Scholar]
- Flower, P. J. 1996, ApJ, 469, 355 [NASA ADS] [CrossRef] [Google Scholar]
- Hui-Bon-Hoa, A. 2008, Ap&SS, 316, 55 [NASA ADS] [CrossRef] [Google Scholar]
- Iglesias, C. A., & Rogers, F. J. 1996, ApJ, 464, 943 [NASA ADS] [CrossRef] [Google Scholar]
- Isotov, Y. I., & Thuan, T. X. 2004, ApJ, 602, 200 [CrossRef] [Google Scholar]
- Jones, H. R. A., Butler, R. P., Marcy, G. W., et al. 2002, MNRAS, 337, 1170 [NASA ADS] [CrossRef] [Google Scholar]
- Kallinger, T., Weiss, W. W., Barban C., et al. 2010, A&A, 509, A77 [NASA ADS] [CrossRef] [EDP Sciences] [Google Scholar]
- Kjeldsen, H., Bedding, T. R., & Christensen-Dalsgaard, J. 2008, ApJ, 683, L175 [NASA ADS] [CrossRef] [Google Scholar]
- Laws, C., Gonzalez, G., Walker, K. M., et al. 2003, AJ, 125, 2664 [NASA ADS] [CrossRef] [Google Scholar]
- Lejeune, T., Cuisinier, F., & Buser, R. 1998, A&AS, 130, 65 [Google Scholar]
- McCarthy, C., Butler, R. P., Tinney, C. G., et al. 2004, ApJ, 617, 575 [NASA ADS] [CrossRef] [Google Scholar]
- Michaud, G., Richard, O, Richer, J., & VandenBerg, D. 2004, ApJ, 606, 452 [NASA ADS] [CrossRef] [EDP Sciences] [Google Scholar]
- Paquette, C., Pelletier, C., Fontaine, G., & Michaud, G. 1986, ApJS, 61, 177 [NASA ADS] [CrossRef] [Google Scholar]
- Pepe, F., Correia, A. C. M., Mayor, M., et al. 2007, A&A, 462, 769 [NASA ADS] [CrossRef] [EDP Sciences] [Google Scholar]
- Perryman, M. A. C., Lindegren, L., Kovalevsky, J., et al. 1997, A&A, 323, L49 [NASA ADS] [Google Scholar]
- Richard, O., Vauclair, S., Charbonnel, C., & Dziembowski, W. A. 1996, A&A, 312, 1000 [NASA ADS] [Google Scholar]
- Richard, O., Théado, S., & Vauclair, S. 2004, Sol. Phys., 220, 243 [NASA ADS] [CrossRef] [MathSciNet] [Google Scholar]
- Rogers, F. J., & Nayfonov, A. 2002, ApJ, 576, 1064 [Google Scholar]
- Santos, N. C., Israelian, G., & Mayor, M. 2004a, A&A, 415, 1153 [NASA ADS] [CrossRef] [EDP Sciences] [Google Scholar]
- Santos, N. C., Bouchy, F., Mayor, M., et al. 2004b, A&A, 426, 19 [Google Scholar]
- Simbad Astronomical Database, http://simbad.u-strasbg.fr [Google Scholar]
- Soriano, M., & Vauclair, S. 2008, A&A, 488, 975 [NASA ADS] [CrossRef] [EDP Sciences] [Google Scholar]
- Soriano, M., Vauclair, S., Vauclair, G., & Laymand, M. 2007, A&A, 471, 885 [NASA ADS] [CrossRef] [EDP Sciences] [MathSciNet] [Google Scholar]
- Tassoul, M. 1980, ApJS, 43, 469 [NASA ADS] [CrossRef] [Google Scholar]
- van Leeuwen, F., ed. 2007, Hipparcos, the New Reduction of the Raw Data, (Astrophysics and Space Science Library), 350 [Google Scholar]
- Vauclair, S., Laymand, M., Bouchy, F., et al. 2008, A&A, 482, L5 [NASA ADS] [CrossRef] [EDP Sciences] [Google Scholar]
All Tables
Table 1:
Effective temperatures, gravities, and metal abundances observed for
Arae. [Fe/H] ratios are given in dex.
Table 2:
Characteristics of some overmetallic models with [Fe/H] = 0.32 and .
Table 3:
Characteristics of some overmetallic models with [Fe/H] = 0.29 and .
Table 4:
Characteristics of some overmetallic models with [Fe/H] = 0.32 and .
Table 5:
Characteristics of some overmetallic models with [Fe/H] = 0.29 and .
Table 6:
Characteristics of the overmetallic models of 1.10 ,
[Fe/H] = 0.32, for several values of the oovershooting parameter.
Table 7:
Parameters of Arae.
All Figures
![]() |
Figure 1:
Evolutionary tracks in the log g - log
|
Open with DEXTER | |
In the text |
![]() |
Figure 2:
Evolution of the |
Open with DEXTER | |
In the text |
![]() |
Figure 3:
Echelle diagrams for the best models with a metallicity of [Fe/H] = 0.29 ( upper panels) and [Fe/H] = 0.32 ( lower panels), and an helium abundance |
Open with DEXTER | |
In the text |
![]() |
Figure 4:
Echelle diagram for the best model with a metallicity of [Fe/H] = 0.32 and a helium abundance |
Open with DEXTER | |
In the text |
![]() |
Figure 5:
Representation of the five spectroscopic error boxes presented in Table 1 for the two values of metallicity: [Fe/H] = 0.29 (filled circles): Laws et al. (2003), Fischer & Valenti (2005); and [Fe/H] = 0.32 (filled triangles): Bensby et al. (2003), Santos et al. (2004a,b). The open symbols represent the four best models described in Table 2. They correspond to the two values of metallicities given above and to two different values of helium abundances: |
Open with DEXTER | |
In the text |
![]() |
Figure 6:
Evolutionary tracks in the log g - log
|
Open with DEXTER | |
In the text |
![]() |
Figure 7:
Evolutionary tracks for models of 1.10 |
Open with DEXTER | |
In the text |
![]() |
Figure 8:
Echelle diagram for overmetallic models with overshooting: 1.06 |
Open with DEXTER | |
In the text |
Copyright ESO 2010
Current usage metrics show cumulative count of Article Views (full-text article views including HTML views, PDF and ePub downloads, according to the available data) and Abstracts Views on Vision4Press platform.
Data correspond to usage on the plateform after 2015. The current usage metrics is available 48-96 hours after online publication and is updated daily on week days.
Initial download of the metrics may take a while.