Issue |
A&A
Volume 513, April 2010
|
|
---|---|---|
Article Number | A3 | |
Number of page(s) | 5 | |
Section | Cosmology (including clusters of galaxies) | |
DOI | https://doi.org/10.1051/0004-6361/200912763 | |
Published online | 09 April 2010 |
Absence of significant cross-correlation between
WMAP and SDSS
(Research Note)
M. López-Corredoira1,2 - F. Sylos Labini3,4 - J. Betancort-Rijo1,2
1 -
Instituto de Astrofísica de Canarias,
38200 La Laguna, Tenerife, Spain
2 -
Departamento de Astrofísica, Universidad de La Laguna,
38205 La Laguna, Tenerife, Spain
3 -
Centro Studi e Ricerche Enrico Fermi, via Panisperna 89 A, Compendio del
Viminale, 00184 Rome, Italy
4 - Istituto dei Sistemi Complessi CNR, via dei Taurini 19, 00185 Rome,
Italy
Received 25 June 2009 / Accepted 17 January 2010
Abstract
Context. Several authors have claimed to detect a
significant cross-correlation between microwave WMAP anisotropies and
the SDSS galaxy distribution. We repeat these analyses to determine the
different cross-correlation uncertainties caused by re-sampling errors
and field-to-field fluctuations. The first type of error concerns
overlapping sky regions, while the second type concerns non-overlapping
sky regions.
Aims. To measure the re-sampling errors, we use bootstrap and
jack-knife techniques. For the field-to-field fluctuations, we use
three methods: 1) evaluation of the dispersion in the cross-correlation
when correlating separated regions of WMAP with the original region of
SDSS; 2) use of mock Monte Carlo WMAP maps; 3) a new method (developed
in this article), which measures the error as a function of the
integral of the product of the self-correlations for each map.
Methods. The average cross-correlation for b>30 deg
is significantly stronger than the re-sampling errors - both the
jack-knife and bootstrap techniques provide similar results - but it is
of the order of the field-to-field fluctuations. This is confirmed by
the cross-correlation between anisotropies and galaxies in more than
the half of the sample being null within re-sampling errors.
Results. Re-sampling methods underestimate the errors.
Field-to-field fluctuations dominate the detected signals. The ratio of
signal to re-sampling errors is larger than unity in a way that
strongly depends on the selected sky region. We therefore conclude that
there is no evidence yet of a significant detection of the integrated
Sachs-Wolfe (ISW) effect. Hence, the value of
obtained by the authors who assumed they were observing the ISW effect
would appear to have originated from noise analysis.
Key words: cosmic microwave background - large-scale structure of Universe
1 Introduction
Several authors
(Cabré et al. 2006; Fosalba et al. 2003; Vielva et al. 2006; Ho et al. 2008; Granett et al. 2008; Raccanelli et al. 2008) have
claimed that there is a significant cross-correlation between cosmic
microwave background radiation (CMBR) anisotropies and the density of
galaxies, which is interpreted as the integrated Sachs-Wolfe (ISW) effect. An anticorrelation caused
by the Sunyaev-Zel'dovich effect would also be expected on scales smaller
than ,
but this is negligible when averaging large
regions of the sky (Hernández-Monteagudo & Rubiño-Martín 2004).
The conclusion of these authors is that the measured
cross-correlation should be interpreted as a detection of the ISW effect
within a
CDM-cosmology
and it serves to constrain the value of the cosmological parameters.
We reanalyze whether this correlation exists by considering galaxies observed by the Sloan Digital Sky Survey (SDSS), taking particular care in the calculation of the cross-correlation errors. The root mean square (rms) of the cross-correlation for distant, widely different areas of sky (here called ``field-to-field'' errors) infer much larger errors than those calculated using re-sampling cross-correlations techniques i.e., when these are determined in different strongly overlapping and thus not independent subsamples of a given sample (re-sampling errors). We conclude that measurements of the errors in the cross-correlation function for overlapping sub-fields lead to an underestimate of the true scatter in the signal.
2 Data
We consider two types of data for the two fields that we cross-correlate:
- 1.
- Microwave temperature anisotropies (
) from the 5th year WMAP release (Hinshaw et al. 2009). We use the V-band (61 GHz) data because of its lower level of pixel noise. We checked that the results of this paper are approximately similar if we use the W-band (94 GHz) data. There is no need to subtract foreground Galactic contamination because this is not correlated with galaxy counts (corrected for extinction), and because this is small in off-plane regions. In any case, the published foreground corrections might not be enough accurate (López-Corredoira 2007). We assign the same weight to each WMAP pixel of equal size.
- 2.
- Galaxy counts (G) are obtained from the survey SDSS,
photometric catalog, data release DR7 (Abazajian et al. 2009). They
cover an area 11 663 deg2 (28% of the sky) mostly in the northern
Galactic hemisphere. We did not use the striped region data with
to ensure low Galactic extinction and avoided negative latitudes because these are small isolated regions dominated by edge effects. We used only galaxies with r magnitudes in the range [18,21] (Galactic-extinction corrected) (within these limits galaxy counts are complete) and ``clean photometry'' according to an SDSS algorithm (e.g., we removed sources close to saturated objects with contamination of their by other objects), and avoiding the borders by
0.3 deg. In this situation, the total used area is 7 349 deg2 (18% of the sky), containing 2.2, 6.4 and 17.1 million galaxies in the r magnitude ranges [18,19], [19,20], and [20,21], respectively.
3 Methods
By defining the galaxy count (G) density contrast to be
,
and denoting by
the
fluctuations in the CMBR with respect to the average temperature
T0, the cross-correlation function can be written as
The estimator of Eq. (1) computes the cross-correlation to be the average over all pixels with separations




There are two kinds of errors in the cross-correlation, associated with two distinct ways of constructing sub-fields over which they are computed (Sylos Labini et al. 2009):
- 1.
- Re-sampling errors: for point distributions, there
is a component of the total error that is caused by the finiteness of the
number of points and is closely related to that given by the
re-sampling techniques Betancort-Rijo (1991);
however, here, in the correlation of two continuous fields, the association
is not at all clear. These may be estimated with a
re-sampling technique, for instance jack-knife or bootstrap. In the
latter case, we calculate
times the cross-correlation by removing each time a different fraction
of the N pixels. By using the bootstrap method, we also calculate a number
of times the cross-correlation that each time chooses the same number N of pixels from the original sample, but randomly selected (so that there are some pixels that are selected several times, while others are not selected at all). Both in bootstrap and jack-knife, we then calculate the rms of these
re-samplings, which provides our error. We use
, which implies that the relative error in the rms is
% for Gaussian errors. We note that for both techniques the
determination have been performed on overlapping sub-samples, and they are thus not independent.
- 2.
- Field-to-field fluctuations: these are caused by intrinsic fluctuations in
both the large-scale structure of galaxies and the microwave temperature field.
We propose three methods for estimating these fluctuations:
- (a)
- Different fields: We cross-correlate the G field in the full
area with a different field
of the same power spectrum as the original WMAP data, although uncorrelated with G. One simple way of applying this method is assigning to
the value of its own WMAP data but in other regions of the sky that are completely separated. For instance, we define
with different values of
(we consider
different values:
, i=1 to
), and calculate the rms for the
realizations. In this case, we use a small enough number (
) of regions, so the relative error in the rms is
20% for Gaussian errors. The cross-correlations at scales 60-180
might produce some signal, but this would be small, given that the self-correlation of
is almost zero for
Copi et al. (2009). The possible large-scale cross-correlations of the different fields infer that this estimation of the rms value is a conservative upper-limit value.
- (b)
- Monte Carlo simulations of WMAP: We generate a
number of Monte Carlo realizations of WMAP by using
the software ``synfast'' to generate random mock maps of anisotropies
corresponding to the theoretical power spectrum (Hinshaw et al. 2009)
filtered for the V-band. We perform
realizations, and then calculate the rms of their cross-correlation with the fixed SDSS galaxy counts map. The relative error in the rms is
%.
- (c)
- Integral of the self-correlations: A calculation of the
field-to-field variance in the cross-correlation of two non-correlated
fields can be given by (see Appendix A)
wherestands for the average extended over all groups of four pixels (1,2,3,4) in a region in which the separation between pixels 1,3 and 2,4 is between
and
,
is the separation of pixels 1,2,
is the separation of pixels 3,4, and
and
are the self-correlations, respectively, for the fields
and
. We note that with this method we assume that
and
are uncorrelated (as in Monte Carlo simulations); therefore,
refers to the limits of pure non-correlated fields within the corresponding probabilities (68%). In addition, we note that we use the self-correlations that we measure in our fields (see Fig. 1), i.e., we have only one realization. Cosmic variance would introduce some extra uncertainty.
4 Results
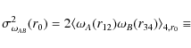
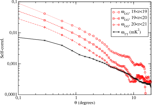
![]() |
Figure 1:
Log-log of the self-correlations of the fields |
Open with DEXTER |
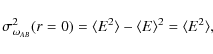
![]() |
Figure 2:
Cross-correlation function
|
Open with DEXTER |
In Fig. 1, we plot the self-correlations. In Fig. 2, we show the determination of the cross-correlation function for different ranges of magnitude, and the errors computed by using re-sampling errors and field-to-field determinations. On the one hand, the errors computed by both the bootstrap and the jack-knife method are of the same order, and on the other hand the three ``field-to-field'' methods yield similar results, which however are much larger than the re-sampling errors. The ``Different fields'' method yields in general a slightly lower rms than the integral of the self-correlations, possibly because of small positive large-scale correlations, which slightly reduce the dispersion, as mentioned in discussing ``different fields'' in Sect. 3. The ``Monte Carlo'' method might yield slightly higher values of rms than the integral of the self-correlations due to the larger amplitude of the low-multipoles in the theoretical power spectrum.
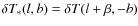
The field-to-field fluctuations obtained by using independent determinations of the cross-correlation function are similar to the amplitude of the detected signal or even larger. Figure 3 illustrates this point by showing that there are no positive average cross-correlations in a sky region of area more than half of the full angular coverage.
From all these analyses, we cannot exclude the value of
being compatible with zero for any
within
field-to-field fluctuations. Thus we conclude that there is no significant
cross-correlation detection. This situation is similar to
that found for the SDSS 3D self-correlation by Sylos-Labini et al. (2009),
who also demonstrated that the field-to-field fluctuations are of the
order of the signal in the previously announced discovery of
baryon acoustic oscillations and large-scale anticorrelations.
![]() |
Figure 3:
Cross-correlation (
|
Open with DEXTER |
5 Comparison with previous works
Other authors who calculated the
cross-correlation between WMAP and SDSS galaxy counts measured
a significant signal. For instance, Cabré et al. (2006)
measured a value of
K and a significant
positive
for all angles lower than 20 degrees for the
subsample 20<r<21 over 5500 square degrees of SDSS-DR4.
Giannantonio et al. (2008) obtained a value of
K for the subsample 18<r<21 of SDSS-DR6, excluding
the southern Galactic hemisphere and high Galactic extinction regions. In addition,
they found a significant positive signal out to
degrees. Their values are more or less compatible with
our estimate of the cross-correlation function, within the re-sampling error bars and taking
into account that their subsamples are slightly different. However
we do not measure significant cross-correlations, whereas these authors do
a result we cannot explain.
Cabré et al. (2006) and Giannantonio et al. (2008) performed Monte
Carlo simulations using mock maps, and obtained similar values or ones
only slightly larger than a jack-knife. We do not know whether these
disagreement are caused by mistakes in their calculations or whether
their claim is that re-sampling errors represent the full errors. Other
authors used only
jack-knife technique errors (e.g., Sawangwit et al. 2009). A similar
problem may affect the results of Raccanelli et al. (2008), who
measured the
cross-correlation between NVSS radio sources and WMAP anisotropies.
Raccanelli et al. (2008) calculate the error in simulating
1000 mock NVSS
maps by randomly distributing the unmasked pixels of the true NVSS
maps. We are concerned that this process might destroy part of the
self-correlation of each map, and that the errors might not represent
the full field-to-field fluctuations. There has been considerable
discussion
of these errors Giannantonio et al. (2008); Cabré et al. (2007).
However, against their claims one can infer from the
analyses of this paper that: i) jack-knife or bootstrap methods do not
calculate the whole error; ii) the level field-to-field fluctuations
is as large as the measured average signal.
In addition, our conclusion is that the signal is
largely dependent on the specific sub-region chosen. We find
that in the large area of
,
(3906 square degrees available with SDSS-DR7, more than half of the sample)
we do not measure any signal, so the average signal of the entire sample must be
caused by a fluctuation.
One remarkable aspect of the analysis of WMAP/SDSS-DR4 is that
Cabré et al. (2006) obtain a 3.6
detection for 20<r<21, while
Giannantonio et al. (2008) with a wider areal coverage (SDSS-DR6)
and broader range of magnitudes, 18<r<21, achieve only a 2.3
detection. This decrease in the significance is unexpected if the
signal were real. We also note that some authors calculated the combined signal to noise
ratio of different cross-correlations in different samples, obtaining values
over 4
,
by summing them quadratically Cabré et al. (2006).
This is incorrect because they do not take into account the correlation
between the samples, thus neglect an important part of the estimated error.
A higher significance in the cross-correlation of
WMAP/SDSS is claimed to be obtained Granett et al. (2008) when only super-clusters/super-voids are correlated with WMAP instead of the entire SDSS survey: a value of 4.4.
Apart from our questions raised above, we are also concerned about
possible a posteriori fitted parameters used to obtain this
correlation. For instance, Granett et al. (2008) separate regions of
the sky centered on super-clusters with radii of 4 degrees; we ask
why 4 degrees? These authors illustrate that the significance is
only
3.5
for radius 3 deg or 3.8
for 5 deg. The significance
also changes with the number of superclusters/supervoids selected, being
4.4
with N=50 but only 2.8
with N=70.
A signal to noise ratio of 2-3
is provided by other authors without any selection of super-clusters, so they appear to have considered both a
radius and number of superclusters/supervoids that achieves the maximum increase in the
signal to noise ratio (from 2-3 up to to 4.4).
We note that Bielby et al. (2010) measured the correlation of WMAP anisotropies with emission-line galaxies selected photometrically from SDSS and inferred a non-significant correlation, with large field-to-field errors comparable to those we obtain (we are cautious in interpreting their result, however, because the cross-correlation in the different subfields are not independent and this affects the way in which they have been using to determine the rms). They claim that their result implies that possibly emission line galaxies are more strongly clustered and less correlated with microwave anisotropies, something that is not entirely clear to us. In our opinion, the results of Bielby et al. (2010) of non-significant cross-correlation may be correct and there is unlikely to be a difference in the interaction of galaxies with the background CMBR that is caused entirely by them having emission lines. Sawangwit et al. (2010) failed to measure a significant cross-correlation between the luminous red galaxies of SDSS-DR5 and WMAP. On the other hand, they found some positive correlation of WMAP with 2SLAQ survey, and negative correlation of WMAP with the AAOmega survey. Analyses by Hernández-Monteagudo (2008) demonstrated that the cross-correlation of WMAP/SDSS-DR4 should have at least within a signal/noise ratio of 0.7-1.7, much lower than the significance obtained by the authors cited above. These results might be interpreted as independent confirmations of our results here.
Apart from those analyzing data from SDSS, previous studies reach the general conclusion that the ISW effect was not detected significantly in: (1) cross-correlations with X-ray XRB, Boughn & Crittenden (2003) claiming an absence of the ISW using X-ray data; (2) near-infrared 2MASS, Francis & Peacock (2009) not finding any corresponding ISW signal; or (3) radio sources NVSS, Hernández-Monteagudo (2009) casting doubt on the correlation between WMAP and NVSS radio sources, since the cumulative signal to noise ratio of the cross-correlation with multipoles l<60 is lower than 1, and the ISW itself, since the signal to noise ratio should be around 5 theoretically.
6 Conclusions
We concluded that there is no significant cross-correlation between the CMBR temperature anisotropies of WMAP and the galaxy counts of the SDSS, and any claims to have detected the ISW effect on the basis of significant cross-correlation are unjustified. Field-to-field fluctuations dominate the detected signals. Any detection of signal is very dependent on the selected region of the sky. Other authors erroneously claimed to have detect significant correlations because they had used a particular sky region with a fluctuation that is not representative of the average sky or because they had underestimated the statistical errors by using non-independent re-samplings. If our conclusion is correct, the value of

We thank an anonymous referee for useful comments and suggestions. Thanks are given to J. A. Rubiño-Martín and R. Génova-Santos from IAC (Tenerife) for helpful comments and help in the use of HEALPIX and SYNFAST software. Thanks are given to Claire Halliday (language editor of A&A) for proof-reading of the text. Funding for the SDSS has been provided by the Alfred P. Sloan Foundation, the Participating Institutions, the National Science Foundation, the US Department of Energy, the NASA, the Japanese Monbukagakusho, the Max Planck Society, and the Higher Education Funding Council for England. The SDSS Web Site is: http.//www.sdss.org/. WMAP is the result of a partnership between Princeton University and NASA's Goddard Space Flight Center. MLC was supported by the Ramón y Cajal Programme of the Spanish Science Ministry.
Appendix A: Field-to-field errors in the cross-correlation
as an integral of the self-correlations for two uncorrelated
fields
We consider two continuous random scalar fields, FA and FB, in
a space with d dimensions and any topology. Without loss of generality,
we shall assume that the mean values (over realization) of both fields
is zero and they are not correlated:
.
On the other hand, the values of each field at two different points
,
are not independent random variables:
,
where the average is over realizations. In practice, in most interesting cases the fields are
statistically homogeneous and ergodic, so that
depends only
on
,
and the correlation may be defined as
spatial averages, which is the useful definition since in most cases
only one realization is available. If the fields are also statistically
isotropic,
depends only on
.
For the following derivation, we shall assume homogeneity and
isotropy; the full expression might easily be recovered if needed.
We first derive the ``field-to-field error'' (i.e., the true error)
for the zero lag estimator:
where


For the variance in Eq. (A.1), we have:
![]() |
(A.2) |
since, by construction, the mean value of E over realizations,

![]() |
(A.3) |
In principle, the factor of 2 should not be there in the case i=j, but this will be negligible in the limit of arbitrarily small cells.
Now, since the fields FA and FB are uncorrelated
![]() |
= | ![]() |
|
= | ![]() |
(A.4) |
where

where

The correlation estimator for any non-zero lag is
where


Equation (A.7), and its particular case, Eq. (A.5), infer the variance over realizations of the estimator of the correlation between two uncorrelated fields A, B when any new global realization of both fields is carried out. In the case when we fix the realization of one of the fields while changing the other, Eq. (A.7) is also valid but the self-correlation of the fixed realization must be calculated by averaging over pixels in this fixed realization, rather than over realizations. Now, since the estimated self-correlation may fluctuate above and below the universal (mean of all realizations) value, it is clear that the variance in the estimator of the cross-correlation of A and B when one of them is kept fixed may be slightly above or below the one corresponding to the case when both fields fluctuate.
References
- Abazajian, K. N., Adelman-McCarthy, J. K., Agüeros, M. A., et al. 2009, ApJS, 182, 543 [NASA ADS] [CrossRef] [Google Scholar]
- Betancort-Rijo, J. E. 1991, A&A, 245, 347 [NASA ADS] [Google Scholar]
- Bielby, R., Shanks, T., Sawangwit, U. et al. 2010, MNRAS, 403, 1261 [NASA ADS] [CrossRef] [Google Scholar]
- Boughn, S. P., & Crittenden, R. G. 2003, in: The emergence of Cosmic Structure, AIP Conf. Proc., 666, 67 [Google Scholar]
- Cabré, A., Gaztañaga, E., Manera, M., Fosalba, P., & Castander, F. 2006, MNRAS, 372, L23 [NASA ADS] [Google Scholar]
- Cabré, A., Fosalba, P., Gaztañaga, E., & Manera, M. 2007, MNRAS, 381, 1347 [NASA ADS] [CrossRef] [Google Scholar]
- Copi, C. J., Huterer, D., & Starkman, G. D. 2009, MNRAS, 399, 295 [NASA ADS] [CrossRef] [Google Scholar]
- Francis, C. L., & Peacock, J. A. 2009, [arXiv:0909.2494] [Google Scholar]
- Fosalba, P., Gaztañaga, E., & Castander, F. J. 2003, ApJ, 597, L89 [NASA ADS] [CrossRef] [Google Scholar]
- Giannantonio, T., Scranton, R., Crittenden, R. G. et al. 2008, Phys. Rev. D, 77, 3520 [CrossRef] [Google Scholar]
- Granett, B. R., Neyrinck, M. C., & Szapudi, I. 2008, ApJ, 683, L99 [NASA ADS] [CrossRef] [Google Scholar]
- Hernández-Monteagudo, C. 2008, A&A, 490, 15 [NASA ADS] [CrossRef] [EDP Sciences] [Google Scholar]
- Hernández-Monteagudo, C. 2009, [arXiv:0909.4294] [Google Scholar]
- Hernández-Monteagudo, C., & Rubiño-Martín, J. A. 2004, MNRAS 347, 403 [NASA ADS] [CrossRef] [Google Scholar]
- Hinshaw, G., Weiland, J. L., Hill, R. S., et al. 2009, ApJS, 180, 225 [NASA ADS] [CrossRef] [Google Scholar]
- Ho, S., Hirata, C., Padmanabhan, N., Seljak, U., & Bahcall, N. 2008, Phys. Rev. D, 78, 3519 [NASA ADS] [CrossRef] [Google Scholar]
- López-Corredoira, M. 2007, J. Astrophys. Astron. 28, 101 [CrossRef] [Google Scholar]
- Raccanelli, A., Bonaldi, A., Negrello, M. et al. 2008, MNRAS, 386, 2161 [NASA ADS] [CrossRef] [Google Scholar]
- Sawangwit, U., Shanks, T., Cannon, R. D., et al. 2010, MNRAS, 402, 2228 [NASA ADS] [CrossRef] [Google Scholar]
- Sylos Labini, F., Vasilyev, N. L., Baryshev, Yu. V., & López-Corredoira, M. 2009, A&A, 505, 981 [NASA ADS] [CrossRef] [EDP Sciences] [Google Scholar]
- Vielva, P., Martínez-González, E., & Tucci, M. 2006, MNRAS, 365, 891 [NASA ADS] [CrossRef] [Google Scholar]
Footnotes
All Figures
![]() |
Figure 1:
Log-log of the self-correlations of the fields |
Open with DEXTER | |
In the text |
![]() |
Figure 2:
Cross-correlation function
|
Open with DEXTER | |
In the text |
![]() |
Figure 3:
Cross-correlation (
|
Open with DEXTER | |
In the text |
Copyright ESO 2010
Current usage metrics show cumulative count of Article Views (full-text article views including HTML views, PDF and ePub downloads, according to the available data) and Abstracts Views on Vision4Press platform.
Data correspond to usage on the plateform after 2015. The current usage metrics is available 48-96 hours after online publication and is updated daily on week days.
Initial download of the metrics may take a while.