Issue |
A&A
Volume 513, April 2010
|
|
---|---|---|
Article Number | A22 | |
Number of page(s) | 6 | |
Section | Cosmology (including clusters of galaxies) | |
DOI | https://doi.org/10.1051/0004-6361/200912922 | |
Published online | 16 April 2010 |
Measuring galaxy segregation with the mark connection function
V. J. Martínez1,2 - P. Arnalte-Mur1,2 - D. Stoyan3
1 - Observatori Astronòmic, Universitat de València, Apartat de Correus 22085, 46071 València, Spain
2 -
Departament d'Astronomia i Astrofísica, Universitat de València, 46100-Burjassot, València, Spain
3 -
Institut für Stochastik, TU Bergakademie Freiberg, 09596 Freiberg, Germany
Received 17 July 2009 / Accepted 5 January 2010
Abstract
Context. The clustering properties of galaxies belonging to
different luminosity ranges or having different morphological types are
different. These characteristics or ``marks'' permit us to understand
the galaxy catalogs that carry all this information as realizations of
marked point processes. Many attempts have been presented to quantify
the dependence of the clustering of galaxies on their inner properties.
Aims. The present paper summarizes methods on spatial marked
statistics used in cosmology to disentangle luminosity, color or
morphological segregation and introduces a new one in this context, the
mark connection function.
Methods. The methods used here are the partial correlation
functions, including the cross-correlation function, the normalized
mark correlation function, the mark variogram and the mark connection
function. All these methods are applied to a volume-limited sample
drawn from the 2dFGRS, using the spectral type
as the mark.
Results. We show the virtues of each method to provide
information about the clustering properties of each population, the
dependence of the clustering on the marks, the similarity of the marks
as a function of the pair distances, and the way to characterize the
spatial correlation between the marks. We demonstrate by means of these
statistics that passive galaxies exhibit a stronger spatial correlation
than active galaxies at small scales (
h-1Mpc), and that the price for galaxies to be close
together is in the smaller values of the assigned marks, which means in
our case that they are more passive. Through the mark connection
function we quantify the relative positioning of different types of
galaxies within the overall clustering pattern.
Conclusions. The different marked statistics provide different
information about the clustering properties of each population.
Different aspects of the segregation are encapsulated by each measure,
which makes the new one introduced here - the mark connection
function - particularly useful for understanding the spatial
correlation between the marks.
Key words: large-scale structure of Universe - methods: data analysis - methods: statistical
1 Introduction
Galaxies of different morphological types show different clustering properties. It is well known, for example, that elliptical galaxies are preferentially found in high density environments, like the centers of rich galaxy clusters (Dressler 1980), while the dominant population of the field are mainly spiral galaxies (Dressler 1980; Davis & Geller 1976). Second order characteristics as the two point correlation function have been used to quantify the clustering of galaxies with different morphologies, different spectral characteristics, different colors or belonging to different luminosity ranges (Guzzo et al. 1997; Phillipps & Shanks 1987; Hermit et al. 1996; Hamilton 1988; Loveday et al. 1995; Davis et al. 1988). Bright galaxies show a stronger spatial correlation than faint ones. Other clustering measures have also been used to quantify the luminosity or morphological segregation: multifractals (Domínguez-Tenreiro et al. 1994; Domínguez-Tenreiro & Martínez 1989), void probability functions (Croton et al. 2004; Vogeley et al. 1991), distributions of the distances to the nearest neighbors (Salzer et al. 1990), etc.
The two-point correlation function
measures the excess
probability of finding a neighbor at a distance rfrom a given galaxy when compared with that probability for a homogeneous
Poisson process. Morphological segregation
is encapsulated by the behavior of
when it is calculated
separately for different populations of galaxies. Elliptical galaxies
show a correlation function at small scales with steeper slopes and larger
amplitudes than spirals (Loveday et al. 1995). A recent analysis of the
two degree field galaxy redshift survey (2dFGRS) has shown the same
trend when comparing populations for different spectral types, where
the two-point correlation function was steeper for passive galaxies than
for active galaxies (Madgwick et al. 2003). Also, Zehavi et al. (2002)
analyzed the distribution of red and blue galaxies in the
Sloan digital sky survey (SDSS) by means of the projected correlation
function
,
showing that red galaxies display a more prominent
and steeper real-space correlation function than blue galaxies do.
The galaxy distribution can be considered a realization of a point process. However, in many situations, each galaxy (point in the process) carries additional information regarding a given characteristic (e.g. morphological type) or a given numerical value that measures a given galaxy property: luminosity, color, spectral type. If we attach this characteristic (mark) to the point in the process, we end up at a marked point process, as it is called in mainstream spatial statistics (Illian et al. 2008; Martínez & Saar 2002; Stoyan & Stoyan 1994).
![]() |
Figure 1:
Tridimensional plot of the galaxy sample used.
Red dots correspond to early-type galaxies (population ``1''),
and blue dots to late-type galaxies (population ``2''). The
parallelepiped dimensions are
|
Open with DEXTER |
We compare different statistical methods for the study of the marked galaxy distribution. We also introduce - for the first time in this context - the mark connection function. We illustrate the usefulness of these methods by applying them to a volume-limited sample drawn from the 2dFGRS with marks given by the galaxy spectral type. In Sect. 2, we describe the sample and the marks assigned to the galaxies. In Sect. 3 we describe the different statistical methods considered, and in Sect. 4 we show the results of applying them to our galaxy sample. In the conclusions, we stress the capabilities of the mark connection function to characterize the spatial correlation between the marks.
2 The samples
To illustrate the different mark clustering measures,
we used a nearly volume-limited sample drawn from the 2dFGRS
and prepared by the 2dF team
(Croton et al. 2004). It contains galaxies with absolute magnitudes
in the range
-20 < MbJ < -19 at redshifts z<0.13.
In order to avoid the effects of complicated boundaries while using a
simple estimator, we selected galaxies inside a rectangular parallelepiped
inscribed in the North slice of 2dFGRS. The final sample used contains
N=7741 galaxies and covers a volume
of
(h-1Mpc)3 where h is the Hubble constant in units
of 100 km s-1 Mpc-1 .
We characterized the galaxies in the sample using the spectral
classification parameter
(Madgwick et al. 2002). Lower
values of
correspond to
more passive or ``early-type'' galaxies, while larger values correspond
to active or ``late-type'' ones. In order to avoid negative values of the marks, we defined
the used mark as
.
This shift does not affect our conclusions.
Based on this
parameter, we divided our sample in two populations,
following Madgwick et al. (2003): population ``1'' (passive galaxies)
with
,
and population ``2'' (active galaxies) with
.
These subsamples contain
N1 = 3828 and
N2 = 3913 galaxies, respectively. We show the samples in Fig. 1.
In order to test the existence of mark segregation, we compared
the results obtained for the different statistics
with random relabeling simulations.
In these, we kept the original positions of galaxies, but redistributed
the marks randomly among them. This corresponds to a model in which
clustering is independent of the mark,
or spectral type, of the galaxies.
We simulated n=200 realizations with the random relabeling method,
and obtained their maximum and minimum values as a function
of the distance r for each statistic. Deviations
of the observed statistics from this range of values correspond to a
rejection of the mark-independent clustering model at a pointwise significance of
(Illian et al. 2008).
3 Clustering analysis methods
Recently, the clustering dependence on luminosity,
color or morphology has been analyzed by means
of the marked clustering statistics, which allow us to study
the galaxy clustering as a function of their properties, and
moreover provides us with different measures of
the correlation between the galaxy properties and
the environment (Skibba et al. 2009). The galaxy distribution
is interpreted as a realization of a marked point process
,
where the mark
denotes an
intrinsic property of the galaxy located at position
.
The mark can be the luminosity, the spectral type, the color, etc.
In general, present day galaxy catalogs provide quantitative marks
ranging in a continuous interval rather than just a discrete
characteristic like if a galaxy is spiral or elliptical.
In any case, we shall
also show how to use interesting second-order measures to
disentangle clustering dependent characteristics of two
populations by dividing the sample into two parts using a significant
value of the mark as threshold
and
separating the two populations according to the value of the mark:
population ``1'' with
and population ``2''
with
.
We describe below the different methods we used to obtain information about galaxy clustering segregation. They are the classical partial correlation functions (for two discrete populations), the normalized mark correlation function and the mark variogram (based on the use of continuous marks), and finally the mark connection function (based on the use of discrete marks).
We computed the different statistics based on the estimation of
the second-order intensity function for the unmarked point
process (
)
presented in Stoyan & Stoyan (1994), Pons-Bordería et al. (1999),
and Illian et al. (2008),
where




In all our calculations we used the Epanechnikov kernel,

with a width of w=1 h-1Mpc, and sampled the different functions with a step in r of 0.5 h-1Mpc. This compact kernel is very well suited for correlation analysis (Pons-Bordería et al. 1999). We note however that the choice of a given kernel is not crucial, while the choice of the bandwith, w, is more important and plays the role of the binning in the standard calculation of correlation functions, where a top-hat kernel is typically used as default.
3.1 Partial two-point correlation functions
In the standard clustering analysis of the galaxy distribution,
the two-point correlation function
measures the clustering
in excess (
)
or in defect (
)
relative to a Poisson distribution, for which
.
Whenever we want to compare
the clustering properties of different populations of galaxies encapsulated
by their spatial correlations, we can consider the correlation function
restricted to a given population, which is called a partial correlation
function. In fact, for two populations of
interest, one can consider three partial two-point correlation
functions, namely
,
,
and
.
The first two are those mentioned above for types 1 and 2,
while the cross-correlation function (Peebles 1980)
measures the excess probability of finding a
neighbor of the type ``1'' at a distance r from a given galaxy of
type ``2'', or vice versa.
Based on Eq. (1), the partial two-point correlation
functions were estimated as
where


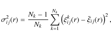
We estimated the error of the measured correlation functions with the
jackknife method (Norberg et al. 2009).
We divided the data volume in 32 equal, nearly cubic,
sub-volumes. We generated the corresponding ``mock'' datasets omitting one of these sub-volumes
at a time, and calculated the correlation functions for these. The jackknife errors
for each scale,
,
are then obtained as

where



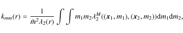
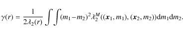
3.2 Normalized mark correlation function
sto94a introduced the normalized mark
correlation function. To define this function, let us first
define the quantity
as the joint probability that in the volume element

![$[m_1,m_1+{\rm d}m_1]$](/articles/aa/full_html/2010/05/aa12922-09/img47.png)

![$[m_2,m_2+{\rm d}m_2]$](/articles/aa/full_html/2010/05/aa12922-09/img49.png)
for


Despite its name the mark correlation function is not a strict
correlation function (Schlather 2001),
but it describes important
aspects of the spatial correlations of marks.
A true mark correlation is a function given by Eq. (4), but
replacing the product m1m2 by the product of the differences
.
The normalizing denominator
must then be
replaced by
,
the variance of the marks. In any case,
kmm(r) < 1represents the inhibition of the marks at the scale r. For example, in
forests it is typically found that trees with a larger stem diameter
(mark) tend to be isolated, since they make use of much more ground
and sun-light resources than smaller trees.
Using luminosity as the mark, the opposite effect has been
found for the galaxy distribution, i.e.,
kmm(r)
>1 at small scales (Beisbart & Kerscher 2000), implying stronger
clustering of brighter galaxies at small separations, in agreement
with previous results showing this kind of segregation (Hamilton 1988).
We estimated the normalized
mark correlation function as
3.3 Mark variogram
The mark variogram,
(Wälder & Stoyan 1996; Beisbart & Kerscher 2000), is a measure
of the similarity of the marks depending on the distance
between galaxies. It is defined as
When the clustering properties of a marked point pattern are independent of the marks, the mark variogram




We estimated the mark variogram as
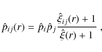
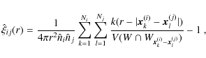
3.4 Mark connection function
A statistical tool to characterize the spatial correlation between
the marks of a point pattern with discrete marks is the mark
connection function pij(r), which represents the conditional
probability to find two galaxies of type i and j at
positions separated by a distance r,
under the condition that
at these positions there are indeed galaxies. This function yields
information different to that from the
partial correlation functions,
,
as shown, for example, in Illian et al. (2008). By its definition it gives the
relative frequencies of mark pairs
(i,j) of a distance r. While
takes high values if
there are many (i,j)-pairs at distance r, pij(r) is high if the
proportion of (i,j)-pairs in all pairs at a distance r is high. So
it may happen that for some r,
has a minimum, but
pij(r) has a maximum, if there is only a small number of point
pairs at a distance r in the whole pattern, but many of them are
exactly (i,j)-pairs. Experience shows that often pij(r) is able to find finer structures
in point patterns than
,
because of the
nature of pij(r) as a conditional probability.
If the marking is independent of clustering,
then pij(r) are constant,
Here pi is the probability that a randomly chosen galaxy is of the type i. The pi are estimated as

We calculated pij(r) based on the estimation of the partial correlation functions as

where

4 Results
4.1 Partial two-point correlation functions
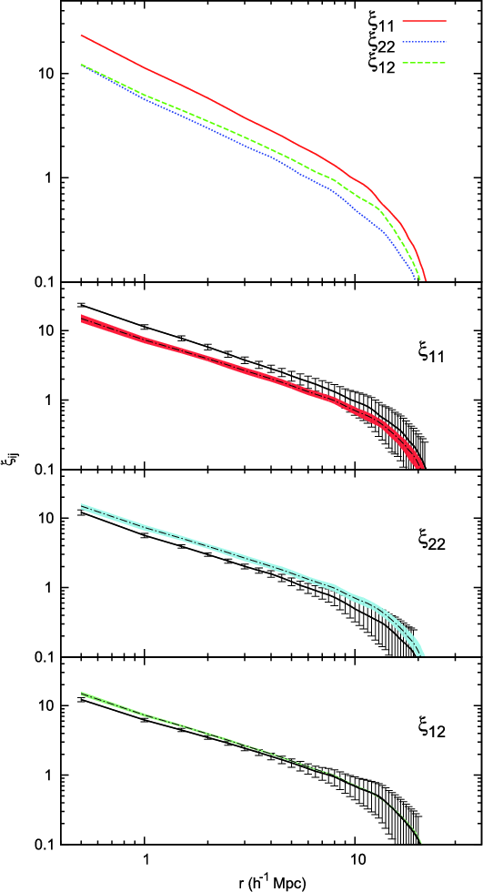
Figure 2 shows the three corresponding partial two-point correlation functions, estimated according to Eq. (2). All three clearly show the high degree of clustering within the pattern of galaxies. It is obvious that the correlation function for the type ``1'' passive galaxies is steeper than for the type ``2'' active galaxies as well as for the (1, 2) pairs. This result corroborates the spectral segregation detected by Madgwick et al. (2003) for the 2dFGRS.
![]() |
Figure 2:
The partial two-point correlation functions
|
Open with DEXTER |
4.2 The normalized mark correlation function
The kmm(r) for our sample, estimated according to Eq. (5), is shown in Fig. 3. The curve for kmm(r) shows a weak negative correlation or spatial inhibition: kmm(r) < 1. The range of correlation is about 20 h-1Mpc, where kmm(r) gets values close to 1. It is interesting to compare this result with the kmm(r)-function shown in Beisbart & Kerscher (2000) using the galaxy absolute luminosity L as the mark. They obtain an increasing behavior of kmm(r) at small scales with kmm(r) > 1 for r < 12 h-1 Mpc, showing that bright galaxies are stronger correlated than faint ones. In our case, the tendency of the values of kmm(r) to be smaller than 1 at short scales indicates that the price for galaxies to be close together is to have reduced values of the marks, i.e., to be more passive.
![]() |
Figure 3: Normalized mark correlation function kmm(r) for our sample (solid line). The shaded band shows the minimum and maximum values for the 200 realizations of the random relabeling simulation, while the dot-dashed line corresponds to the value for the case with no segregation, kmm(r) = 1. |
Open with DEXTER |
4.3 The mark variogram
In Fig. 4 we show the mark variogram for our sample,
obtained according to Eq. (7). This
function is monotonously increasing. In this case the interpretation is
straightforward:
shows that
for separations of
h-1Mpc, galaxy pairs tend to have similar marks, that is,
similar spectral type.
This result is partially explained by the previous one shown by the kmm function: galaxies close together exhibit smaller values of the attached mark (spectral type).
![]() |
Figure 4:
Mark variogram |
Open with DEXTER |
4.4 The mark connection function
We show the pij(r) obtained for the 2dFGRS galaxies
together with the results of our random relabeling
simulations in Fig. 5. The first panel shows
very neatly that for scales of
h-1Mpc the clustering
of early-type galaxies is stronger than the clustering of late-type
galaxies.
The three bottom panels show that the deviation
of the observed pij(r) from the case of random labeling
is significant at these scales.
Moreover, the figure shows clear differences in the spatial correlations of galaxies of the two types. In an overall clustering of all galaxies, we can outline that:
- 1.
- Galaxies of the type ``1'' (passive or early-type) are strongly clustered up to distances of 20 h-1Mpc.
- 2.
- The conditional probability to find two galaxies of the type ``2''
(active or late-type) at two positions separated by a distance r
(under the condition that at these locations are galaxies) is smaller
than the same probability for random labeling of the marks
for scales of
h-1Mpc.
- 3.
- Galaxy pairs that have one member of the type ``1'' and the other member of type ``2'' are less frequent than for random labeling up to distances of 10 h-1Mpc.
This clearly shows the power of the mark connection function as an analytical tool in comparison to the partial pair correlation function. While for the untrained eye the curves in Fig. 2 are quite similar and show little structure, the curves in Fig. 5 give valuable information about the inner structure of the mark distribution. Obviously, the idea to consider characteristics of the nature of conditional probabilities helps to divulge structural details which would be otherwise overlooked.
The problem are the mutual positions, given the positions of all galaxies without mark information. Since the three partial two-point correlation functions shown in Fig. 2 are different for a large range of scales, the marking with marks 1 and 2 cannot be an independent marking, where every galaxy obtains its mark randomly, independent of the other galaxies. In contrast, there must exist a spatial correlation between the marks. As it was shown in Fig. 5, the mark connection function is the appropriate tool to measure this correlation.
![]() |
Figure 5: Mark connection functions pij(r) obtained for ``early-type'' (population ``1'') and ``late-type'' (population ``2'') galaxies in our sample. The top panel shows the three functions together. The three bottom panels show p11(r), p22(r), and p12(r) separately (solid lines), together with the shaded band showing the minimum and maximum values for the 200 realizations of the random relabeling simulation. The dot-dashed lines correspond to the expected values for the random labels case according to Eq. (8). |
Open with DEXTER |
5 Conclusions
We used a volume-limited galaxy sample from the 2dFGRS to test different
statistical measures used to disentangle mark segregation in the distribution
of the galaxies. The mark attached to each galaxy of the sample was
its spectral type .
For some of the statistics, the value of the
mark enters directly into the functions used to measure segregation:
the normalized mark correlation function kmm(r) and the mark variogram
.
For other functions, like the partial correlation functions
or the mark connection function, the sample has been split into two populations
corresponding to passive or early-type galaxies with
and active or late-type galaxies
with
.
We summarize our results below:
- 1.
- The partial correlation functions, including the cross-correlation function, inform us about the degree of clustering of each population separately. It shows that passive galaxies exhibit stronger clustering at small separation. Nevertheless, there is no information about the spatial correlation between the marks.
- 2.
- The normalized mark correlation function shows that smaller values of the marks, i.e., smaller values of spectral type (being more passive), is a clear condition for galaxies to be close to each other in the overall clustering pattern.
- 3.
- The mark variogram shows in addition that at small separations galaxy pairs tend to have similar marks.
- 4.
- The mark connection function has been introduced here for the first
time in the analysis of the marked galaxy distribution. The
function pij(r) measures the conditional probability to find at
two positions, separated by a distance r, a galaxy of the type ``i'' and
a galaxy of type ``j'' under the condition that at these positions there
are
indeed galaxies. This function yields information different from
that of the partial correlation functions
. This more sophisticated measure, having a nature of conditional quantities, is an efficient statistical tool to characterize the spatial correlation between the marks, filtering out the relative frequencies of the mark pairs (i,j) at a distance r.
Applied on the 2dFGRS volume-limited sample, the mark connection function clearly shows that passive galaxies are clustered up to distances of 20 h-1Mpc, while active galaxies exhibit weak spatial anticorrelation of the mark up to distances of 20 h-1Mpc. Mixed pairs are less frequent up to distances of 10 h-1Mpc.
First, we thank the anonymous referee for detailed and constructive criticism and suggestions. We are pleased to thank the 2dFGRS Team for the publicly available data releases. We thank D. Croton for the 2dFGRS samples and the mask data and M. J. Pons-Bordería for comments and suggestions. This work has been supported by the Spanish Ministerio de Ciencia e Innovación CONSOLIDER projects AYA2006-14056 and CSD2007-00060, including FEDER contributions, and by the Generalitat Valenciana project of excellence PROMETEO/2009/064. PAM acknowledges support from the Spanish Ministerio de Educación through a FPU contract.
References
- Beisbart, C., & Kerscher, M. 2000, ApJ, 545, 6 [NASA ADS] [CrossRef] [Google Scholar]
- Croton, D. J., Colless, M., Gaztañaga, E., et al. 2004, MNRAS, 352, 828 [NASA ADS] [CrossRef] [Google Scholar]
- Davis, M., & Geller, M. J. 1976, ApJ, 208, 13 [NASA ADS] [CrossRef] [Google Scholar]
- Davis, M., Meiksin, A., Strauss, M. A., da Costa, L. N., & Yahil, A. 1988, ApJ, 333, L9 [NASA ADS] [CrossRef] [Google Scholar]
- Domínguez-Tenreiro, R., & Martínez, V. J. 1989, ApJ, 339, L9 [NASA ADS] [CrossRef] [Google Scholar]
- Domínguez-Tenreiro, R., Gómez-Flechoso, M. A., & Martínez, V. J. 1994, ApJ, 424, 42 [NASA ADS] [CrossRef] [Google Scholar]
- Dressler, A. 1980, ApJ, 236, 351 [NASA ADS] [CrossRef] [Google Scholar]
- Guzzo, L., Strauss, M. A., Fisher, K. B., Giovanelli, R., & Haynes, M. P. 1997, ApJ, 489, 37 [NASA ADS] [CrossRef] [Google Scholar]
- Hamilton, A. J. S. 1988, ApJ, 331, L59 [NASA ADS] [CrossRef] [Google Scholar]
- Hermit, S., Santiago, B. X., Lahav, O., et al. 1996, MNRAS, 283, 709 [NASA ADS] [CrossRef] [Google Scholar]
- Illian, J., Penttinen, A., Stoyan, H., & Stoyan, D. 2008, Statistical Analysis and Modelling of Spatial Point Patterns, Statistics in Practice (Chischester: John Wiley & Sons) [Google Scholar]
- Loveday, J., Maddox, S. J., Efstathiou, G., & Peterson, B. A. 1995, ApJ, 442, 457 [NASA ADS] [CrossRef] [Google Scholar]
- Madgwick, D. S., Lahav, O., Baldry, I. K., et al. 2002, MNRAS, 333, 133 [NASA ADS] [CrossRef] [Google Scholar]
- Madgwick, D. S., Hawkins, E., Lahav, O., et al. 2003, MNRAS, 344, 847 [NASA ADS] [CrossRef] [Google Scholar]
- Martínez, V. J., & Saar, E. 2002, Statistics of the Galaxy Distribution (Boca Raton: Chapman & Hall/CRC) [Google Scholar]
- Norberg, P., Baugh, C. M., Gaztañaga, E., & Croton, D. J. 2009, MNRAS, 396, 19 [NASA ADS] [CrossRef] [Google Scholar]
- Peebles, P. J. E. 1980, The large-scale structure of the universe (Princeton: Princeton University Press) [Google Scholar]
- Phillipps, S., & Shanks, T. 1987, MNRAS, 229, 621 [NASA ADS] [CrossRef] [Google Scholar]
- Pons-Bordería, M., Martínez, V. J., Stoyan, D., Stoyan, H., & Saar, E. 1999, ApJ, 523, 480 [NASA ADS] [CrossRef] [Google Scholar]
- Salzer, J. J., Hanson, M. M., & Gavazzi, G. 1990, ApJ, 353, 39 [NASA ADS] [CrossRef] [Google Scholar]
- Schlather, M. 2001, Bernoulli, 7, 99 [CrossRef] [Google Scholar]
- Skibba, R. A., Bamford, S. P., Nichol, R. C., et al. 2009, MNRAS, 399, 966 [NASA ADS] [CrossRef] [Google Scholar]
- Stoyan, D., & Stoyan, H. 1994, Fractals, Random Shapes and Point Fields, Probability and Mathematical Statistics (Chischester: John Wiley & Sons) [Google Scholar]
- Vogeley, M. S., Geller, M. J., & Huchra, J. P. 1991, ApJ, 382, 44 [NASA ADS] [CrossRef] [Google Scholar]
- Wälder, O., & Stoyan, D. 1996, Biometrical J., 38, 895 [Google Scholar]
- Zehavi, I., Blanton, M. R., Frieman, J. A., et al. 2002, ApJ, 571, 172 [NASA ADS] [CrossRef] [Google Scholar]
Footnotes
- ...
process
- Note that the relation between
and the standard correlation function used in cosmology
is
, where n is the number density. The function
is known as the pair correlation function in spatial statistics. We use the convention of denoting the estimators by putting a hat
on top of the symbol of a given function to distinguish the estimator
from the theoretically defined function
. Although this is not standard in cosmology, it is an extended convention in spatial statistics, and it is quite useful when different estimators of a single function are discussed (see, e.g., Pons-Bordería et al. 1999).
All Figures
![]() |
Figure 1:
Tridimensional plot of the galaxy sample used.
Red dots correspond to early-type galaxies (population ``1''),
and blue dots to late-type galaxies (population ``2''). The
parallelepiped dimensions are
|
Open with DEXTER | |
In the text |
![]() |
Figure 2:
The partial two-point correlation functions
|
Open with DEXTER | |
In the text |
![]() |
Figure 3: Normalized mark correlation function kmm(r) for our sample (solid line). The shaded band shows the minimum and maximum values for the 200 realizations of the random relabeling simulation, while the dot-dashed line corresponds to the value for the case with no segregation, kmm(r) = 1. |
Open with DEXTER | |
In the text |
![]() |
Figure 4:
Mark variogram |
Open with DEXTER | |
In the text |
![]() |
Figure 5: Mark connection functions pij(r) obtained for ``early-type'' (population ``1'') and ``late-type'' (population ``2'') galaxies in our sample. The top panel shows the three functions together. The three bottom panels show p11(r), p22(r), and p12(r) separately (solid lines), together with the shaded band showing the minimum and maximum values for the 200 realizations of the random relabeling simulation. The dot-dashed lines correspond to the expected values for the random labels case according to Eq. (8). |
Open with DEXTER | |
In the text |
Copyright ESO 2010
Current usage metrics show cumulative count of Article Views (full-text article views including HTML views, PDF and ePub downloads, according to the available data) and Abstracts Views on Vision4Press platform.
Data correspond to usage on the plateform after 2015. The current usage metrics is available 48-96 hours after online publication and is updated daily on week days.
Initial download of the metrics may take a while.