| Issue |
A&A
Volume 513, April 2010
|
|
|---|---|---|
| Article Number | A53 | |
| Number of page(s) | 16 | |
| Section | Interstellar and circumstellar matter | |
| DOI | https://doi.org/10.1051/0004-6361/200913147 | |
| Published online | 27 April 2010 | |
870
m observations of evolved stars with LABOCA
,![[*]](/icons/foot_motif.png)
D. Ladjal1 - K. Justtanont2 - M. A. T. Groenewegen3,1 - J. A. D. L. Blommaert1 - C. Waelkens1 - M. J. Barlow4
1 - Instituut voor Sterrenkunde, Katholieke Universiteit Leuven, Celestijnenlaan 200D, 3001 Leuven, Belgium
2 - Chalmers University of Technology,
Onsala Space Observatory, 439 92 Onsala, Sweden
3 - Royal Observatory of Belgium, Ringlaan 3, 1180 Brussels, Belgium
4 - University College London, Gower Street, London,
WC1E 6BT, UK
Received 19 August 2009 / Accepted 4 January 2010
Abstract
Context. During their evolution, asymptotic giant
branch (AGB) stars experience a high mass loss which leads to the
formation of a circumstellar envelope (CSE) of dust and gas. The mass
loss process is the most important phenomenon during this evolutionary
stage. In order to understand it, it is important to study the physical
parameters of the CSE. The emission of the CSE in the (sub)millimetre
range is dominated by the dust continuum. This means that
(sub)millimetre observations are a key tool in tracing the dust and
improving our knowledge of the mass loss process.
Aims. The aim of this study is to use new submillimetre
observations of a sample of evolved stars to constrain the CSE physical
parameters.
Methods. We used aperture photometry to determine the fluxes at 870
m
and to investigate the extended emission observed with the new APEX
bolometer LABoCa. We computed the spectral energy distribution (SEDs)
with the 1D radiative transfer code DUSTY, which we compared to
literature data. Grain properties were calculated with both the
spherical grains distribution and the continuous distribution of
ellipsoids (CDE), and a comparison between the two is drawn. Synthetic
surface brightness maps were derived from the modelling and were
compared to the LABoCa brightness maps.
Results. A sample of nine evolved stars with different chemistry
was observed with LABoCa. We detected extended emission around four
stars. Physical parameters of the circumstellar envelope were derived
from SED modelling, like the dust chemical composition, the dust
condensation temperature and the total mass of the envelope. It proved
to be difficult to fit the SED and the intensity profile simultaneously
however. The use of the CDE leads to ``broad'' SEDs when compared to
spherical grains, and this results in steep density distributions (
r-2.2 typically).
Key words: stars: AGB and post-AGB - stars: late-type - circumstellar matter - submillimeter: general - stars: mass-loss - dust - extinction
1 Introduction
Stars with low- and intermediate mass leave the main sequence to end their
lives on the AGB (asymptotic giant branch). This phase is characterised
by a substantial mass loss (>
/yr). The
AGB-phase lasts only for about
during which the star
builds up a ``circumstellar envelope'' of dust and gas (CSE).
The study of the structure of AGB envelopes is
essential for understanding the mass loss process and the chemistry in
the different regions of the outflow. The last decades have seen a lot
of progress in the understanding of the mass loss mechanism and the
dust formation. This progress is directly related to the advent of
infrared astronomy and radio observations. Because the continuum
radiation in (sub)millimetre is dominated by dust emission,
this wavelength range is best suited to trace the dust emission and
by that to improve our knowledge of the mass loss process.
A number of earlier studies in the (sub)millimetre wavelength range already provided key information about CSEs. An analytical method to derive the mass loss rate of AGB stars with submillimetre data was developed by Sopka et al. (1985). Several CSEs have been resolved and mapped (e.g. Willems & de Jong 1988; Walmsley et al. 1991; Zijlstra et al. 1992; Young et al. 1993; Groenewegen et al. 1997; Olofsson et al. 2000). Various geometries have been observed (e.g. Knapp et al. 1998; Lopez 1999; Josselin et al. 2000) which indicate that the AGB phase itself undergoes different stages which end with a strong asymmetry or a bipolar structure precursor of the one observed in planetary nebulae. Also, signs pointing toward an episodic mass loss rate were found (e.g. Olofsson et al. 1990, 1996; Lindqvist et al. 1996, 1999; Waters et al. 1994; Izumiura et al. 1996, 1997; Justtanont et al. 1996; Decin et al. 2007; Dehaes et al. 2007).
We present new submillimetre observations of a sample of
AGB stars observed with the APEX
bolometer array LABoCa at 870
m.
We investigated the presence of extended emission around AGB
stars and we derived the physical parameters of the CSEs from SED
modelling. The observations at 870
m
proved to benot only of importance in constraining our modelling in the
submillimeter but we were also able to compare the observed intensity
profiles to the derived synthetic brightness maps.
The outline of this article is: in Sect. 2, the data sample is presented and the data reduction process discussed. The total flux at 870
m is derived with aperture photometry and is given in Sect. 3. The extended emission is discussed in Sect. 4. In Sect. 5,
the SED modelling is described and a comparison between the LABoCa maps
and the synthetic brightness maps is made. The conclusions are
summarised in Sect. 6.
2 Observations and data reduction
The sample of stars was selected to cover various chemistry and evolutionary stages. It consists of four oxygen rich (O-rich) AGBs, two carbon rich (C-rich) stars, one S-type star, one supergiant and one post-AGB star (see Table 1).
The observations were taken with the Large APEX Bolometer Camera (LABoCa; Siringo et al. 2009) in service mode. The Atacama Pathfinder Experiment (APEX) is a 12-m radio telescope located in Llano de Chajnantor in Chile. The observations covered two periods in time, the first one from 2007 July 27-August 02 and the second one from 2008 June 6-August 16. The data for CW Leo and VY CMa were retrieved from the ESO archives and covered the period 2008 February 25-February 27 for VY CMa and 2008 February 24-February 29 for CW Leo. Despite the availability of more data for those two stars, we decided to restrict the analysis to a short period of time to avoid the effect of variability (for more details see Table D.1 in the Appendix).
Table 1:
Measured flux at 870
m.
The LABoCa array consists of a hexagon of 295 channels. The half-power beam width (HPBW) is 18.6
and the total field of view is 11.4
.
The filter passband is centred at 870
m (345 GHz) and is 150
m (60 GHz) wide. Because the array is undersampled (channel separation of 36
), special techniques are used to obtain a fully sampled map.
For the data reduction, we used the Bolometer array Analysis Software BoA
,
which is specifically designed to handle and analyse LABoCa data. We
followed all the steps described in the BoA User and Reference Manual
(v3.1), except for the calibration part.
The standard calibration in BoA uses a list of primary calibrators
(planets) and a list of secondary calibrators (well-known stars
calibrated with the primary calibrators).
The calibration of a science star is obtained by interpolating between
the result of two calibrators (primary or secondary) which bracket the
science object in time. The calibration is done to the peak flux.
While it introduces little errors when calibrating point sources, a
calibration to the peak flux would overestimate the flux when used on
extended sources, because only a fraction of the total flux would be
enclosed within the beam. In addition to the primary calibrators being
slightly extended, some of the secondary calibrators are variable and
also extended. Two stars for which we retrieved data from the archives
are indeed used as secondary calibrators (CW Leo and VY CMa).
They were added to our analysis and will be discussed later on.
For those reasons and because we expected our science targets to show
extended emission, we developed our own calibration technique using
only primary calibrators and aperture photometry. For more details
about the adopted technique see Appendix B.2.
Additional calibration files were retrieved from the archive. For each
observing night we have on average three calibrators and three skydip
measurements.
We corrected the reduced maps from the pointing error by fitting a 2D Gaussian to the map to determine the exact source position. A few maps were taken out of the analysis because of a poor signal-to-noise ratio (S/N). The maps left were co-added to increase the S/N. For the number of scans and the total observing time for each source see Table D.1 in the Appendix. All scans were visually inspected to avoid the use of any corrupted data.
To derive the theoretical beam of the instrument, we used the predicted angular size for Uranus from the Astro software from the
Gildas
package to deconvolve Uranus maps to which we fitted a 2D Gaussian.
The derived theoretical beam from 24 scans has a mean of
.
The error includes the fitting error on the scans and the standard deviation for
the 24 scans. This is slightly larger than the beam size of 19.2
given by Schuller et al. (2009).
3 Aperture photometry
3.1 Error estimation
For the aperture photometry, we employed the IDL version of the widely used photometry package DAOPHOT. The package proposes different routines which allow one to perform different operations on the data, such as extract the source, fit a 2D Gaussian to your map or integrate the flux within different apertures.One should keep in mind that the DAOPHOT package was originally designed to handle data from CCD cameras. One parameter that the aper routine requires the number of photons per analog digital units (PHADU) to estimate the photon noise. The concept of (PHADU) does not apply for bolometers (the raw maps are in volts and not in counts), but we still need to estimate the contribution of the photon noise.
We assume that the photon rate
is
|
(1) |
where F is the flux, S the surface of the APEX antenna, B the band width of LABoCa,
The only unknown of the equation is the efficiency of the instrument. The efficiency of bolometers is known to be close to 1 (McLean 2008). We verified that for any reasonable total efficiency the photon noise is negligible compared to the scatter in the sky level and to the background variation.
3.2 Total flux estimation
In order to estimate the total flux at the LABoCa wavelength, we
selected an ``ideal'' aperture which would contain most of the emitted
flux while keeping the background contamination low. To do so, we
performed the same differential aperture photometry on the data that
was used on the calibrators (for a complete description see
Appendix B.2). Essentially, the radius of the aperture is taken to be equal to 3
of the fitted Gaussian to the data, which means that 99.73% of the
total flux is within this aperture. We than corrected the value of the
flux accordingly.
The estimated flux for each target together with the selected ideal
aperture is reported in Table 1. The rms of each map is also included.
The reported error on the total flux in Table 1
is the one given by the aperture photometry routine (see DAOPHOT
documentation), which includes the photon noise, the scatter in the
background sky values and the uncertainty in the mean sky brightness.
This error does not take into account the relative calibration
uncertainty, which we estimate to be
15% of the total flux (see Schuller et al. 2009).
The rms values reported in Table 1 are very low compared to what is predicted by the LABoCa observing time
calculator
for a similar integration time and map size. This difference is due to
the calibration technique used in our case. The standard BoA
calibration encloses the total flux of the beam in the central pixel
(
), whereas in our case the flux of the beam is
enclosed within an aperture of the size of the HPBW (
). This makes our rms values smaller by about
a factor of ten than the ones derived from the maps calibrated following the
standard BoA calibration.
The derived total flux at 870
m
is included in the SED modelling and agrees fairly well with previous
submillimetre observations given the intrinsic variability of some of
the stars (see Figs. E.1 to E.9 in the Appendix).
4 The extended emission
To investigate any extended emission at 870
m,
we adjusted an elliptical Gaussian to the surface brightness map of
each target with a free orientation of the axes of the ellipse
(relevant for asymmetric sources). The FWHM of the
ellipse in both directions is compared to the FWHM of the theoretical beam. A source is considered to be extended if the difference in size between the
source and the theoretical beam combining the errors is
larger than a factor of three in at least one direction (see parameter s in
Table 2). A position angle is derived for the resolved sources with a least square minimisation and is given in Table 2 (see parameter PA). We computed for the resolved sources both the major axis a and the minor axis b of the ellipse (see Table 2) and used the new values to investigate the extended emission.
From Table 2, the extended emission at 870
m is seen
only for CW Leo and
Gru in both directions and WX Psc and
o Cet in one direction.
Young et al. (1993) detected an extended
emission at 60
m for CW Leo,
Gru and o Cet but did not observe
any extended emission for VY CMa, AFGL 3068, IRC +10420, WX Psc and AFGL 5379.
A 250
250
cut of the LABoCa maps for the resolved sources can be seen from Figs. A.1 to A.4. A 3
level above the noise contour is drawn. The FWHM of the adjusted ellipse in both x and y directions can be found in Table 2.
The four sources for which extended emission is found at 870
m will be discussed in the subsections below.
4.1 CW Leo
CW Leo shows the largest extended emission of our set with a
25
FWHM spherically symmetric CSE at 870
m (see Fig. A.1 and Table 2).
This is not surprising, as this nearby carbon star is subject to a high
mass loss rate and is surrounded by a thick CSE. The circumstellar
shell has been imaged at different wavelengths, in the visible by
Mauron and Huggins (2000), in the NIR by Leão et al. (2006), at 1.3 mm by Groenewegen et al. (1997) and using CO lines by Huggins et al. (1988) and Fong et al. (2004).
CW Leo is known for being variable in the K band with a magnitude variation from 1.9 to 2.9 mag and in the M band with a variability of
0.6 mag, the estimated period is
638 days (Dyck et al. 1991). It is also variable at radio-wavelengths (1.3 cm) with a 25% flux variation with a period of
days (Menten et al. 2006). This implies that CW Leo
probably shows variability at 870
m.
Despite the brightness of CW Leo, the variability and the extended
emission at the LABoCa wavelength makes it unsuitable as a flux
calibrator.
4.2
Gru
The 2D Gaussian fit of the LABoCa map of
Gru shows an extended emission with a FWHM of 23.3
following the east-west direction and 22
following the north-south direction (see Fig. A.2 and Table 2). Beyond the FWHM,
Gru appears even more elliptical in the LABoCa map with a structure of about 60
by 40
.
An asymmetry in the CO line profiles of this star was observed by Sahai (1992) and by Knapp et al. (1999) with two velocity components being derived. A fast outflow with a speed greater than 38 km s-1 and perhaps as high as 90 km s-1 and a ``normal'' outflow with a speed of about 11 km s-1. Sahai (1992)
suggested that the asymmetry in the line profiles is the result of a
fast bipolar outflow collimated by an equatorial disc (major axis
direction east-west). Knapp et al. (1999) proposed a model with a disc to explain the observed CO line profiles. In their model, the disc is tilted by 55
to the line of sight with a major axis lying east-west. The asymmetry
in the CO line profiles would then be related to the northern and
southern halves of the disc, the fast outflow was not included in the
modelling.
Table 2: Results of the 2D elliptic Gaussian fit.
According to Huggins (2007), the creation of a disc/jet structure in AGB stars needs a binary system. In fact,
Gru is the primary of a wide binary system with a G0V star as secondary (Proust et al. 1981; Ake & Johnston 1992). The large separation (of about 2.71
)
makes it unlikely for the companion to be responsible for the bipolar
outflow. One possible explanation given by Chiu et al. (2006) is a much closer companion that has escaped detection. This possibility is deemed viable by Makarov & Kaplan (2005) and Frankowski et al. (2007)
who found significant discrepancies between Hipparcos and Tycho-2
proper motions of the star, which indicates additional orbital motion
with an orbital period shorter than the 6000 years derived by
Knapp et al. (1999).
Sacuto et al. (2008) attempted to resolve the disc with MIDI/VLTI interferometric data at 10
m,
but the data were not conclusive. They did detect an optically thin
CSE, but it does not depart from a spherical shape. Sacuto et al. (2008)
argue that the disc could be taken for a spherical shell if the system
opening angle is larger than the interferometric angular coverage (60
). A poor uv coverage can also be a reason for not resolving the disc.
If we assume that the extended emission observed in the LABoCa map is
from the disc, geometrical constraints and the derived major and minor
axes would imply a disc tilted by about 70
to the line of sight with a major axis lying east-west, in agreement with Knapp et al. (1999). This higher angle could also explain why it is easy to mistake the disc for a spherical CSE.
4.3 WX Psc
WX Psc is an O-rich star known for being variable at infrared
wavelengths with a magnitude variation from 1.29 mag in the
M-band up to 2.83 mag in the J-band, with a period of 660 days
(Le Bertre 1993),
at 10
m (Harvey et al. 1974) and
at 18 cm (Herman & Habing 1985).
The LABoCa data show an extended emission of 23.6
following
one direction with a position angle of 84
(see Fig. A.3 and Table 2).
From previous CO interferometric observations, Neri et al. (1998) suggested that the star
has two CSE components, a spherically symmetric component with a radius of
29.6
and an elliptical component with a major axis of
9.8
and a minor axis of 6.8
with a position angle of
-45
.
Hofmann et al. (2001) conducted interferometric observations of WX Psc in the J-, H- and K-bands. In the J-band, the results show a clear elongation along a symmetry axis with a position angle of -28
.
This asymmetric structure is composed of two components, a compact
elliptical core with a major axis of 154 mas and a minor axis of
123 mas and a fainter fan-shape structure with the opening angle
of the fan from -8
to -48
,
out to distances of
200 mas. This fan-like structure is hardly seen in the H and the K band, where the dust shell displays a spherical symmetry. The J-band structure was modelled by Vinkovic et al. (2004)
who could reproduce the same structure by constructing a
2D radiative transfer model considering a bipolar jet which would
sweep up material in the slower spherical wind and create a cone as
seen in the NIR data. Inomata (2007) claimed the existence of such a bipolar outflow after analysing H2O maser spectra of WX Psc and deriving a structure position angle in agreement with the findings of Hofmann et al. (2001).
A V-band image of WX Psc, obtained with the VLT by Mauron & Huggins
(2006), shows a spherically symmetric shell out to
50
distance, while in an HST-ACS image at 816 nm a highly
asymmetric core is seen with an extension out to
0.4
with a -45
position angle. Mauron
& Huggins conclude that WX Psc is similar to CW Leo with respect to
a circular symmetry at a large scale together with a
strong asymmetry close to the star.
The asymmetric extended emission observed in the LABoCa map of WX Psc disagrees with Mauron & Huggins (2006) assumption by showing that the asymmetry in the dust structure can still be observed at bigger scales (up to 40
). This asymmetric dust structure also disagrees with the spherical gas envelope observed at 1.3 mm by Neri et al. (1998).
This could be the result of an extremely complex mass loss history with
sudden changes in the mass loss rate during the life span of the star,
which resulted in multiple shells with different geometries.
4.4 o Cet
Also known as Mira, o Cet is the prototype for
Mira-type variables. Additionally it is one of the closest O-rich AGB
stars with an estimated distance of
pc (Perryman et al. 1997). Its variability reaches three magnitudes in the V-band with a period of 331 days (GCVS).
The LABoCa map shows an asymmetric CSE with an elongated core of 22.8
with a position angle of 79
(see Fig. A.4 and Table 2).
From previous studies, we know that Mira shows asymmetry on all scales. At large scale a turbulent wake 2
long was observed in emission in the ultraviolet (Martin et al. 2007) and in the 21 cm HI line (Matthews et al. 2008). At small scale the star itself is asymmetric (Karovska et al. 1997).
The data of Josselin et al. (2000) show an asymmetric peanut-like molecular envelope lying roughly east-west with two ``holes'' located at about 4
north and south with three velocity components which suggest a bipolar outflow. Unlike
Gru
however, the bipolar outflow velocity is low and close to the velocity
of the spherical component, which is about 8 km s-1 and thus cannot account for the observed asymmetry. In order to explain the unusual shape of Mira, Josselin et al. (2000)
suggested that the departure from sphericity occurs very early on the
AGB, if not since the beginning. Furthermore, the bipolar outflow could
accelerate as the star evolves along the AGB phase.
Like
Gru, o Cet is part of a binary system (Joy 1926; Karovska & Nisenson 1993) with a close companion at a distance of 0.61
0.03
and a position angle of 111
.
The companion is expected to be a relatively hot star (a main sequence star or a white dwarf) (Karovska & Nisenson 1993).
Spitzer data (Ueta 2008) revealed an astropause (a stellar analogue of the heliopause) at 160
m with a slightly extended core at a position angle of 70
.
Ueta (2008) derived a correlation between the dust emission at 160
m and the turbulent wake observed in the ultraviolet. The position angle of 79
that we find at 870
m is close to the 70
position angle found by Ueta (2008) at 160
m and implies that the extended ellipsoid lies east-west, which is also agrees with the findings of Josselin et al. (2000).
5 SED modelling and synthetic brightness maps
5.1 The radiative transfer code DUSTY
Theoretical spectral energy distributions (SEDs) were computed with the 1D radiative transfer code DUSTY
(Ivezic et al. 1999).
Originally, DUSTY considered only spherical dust grains, but we added a subroutine to the main code to also be able to consider a continuous distribution of ellipsoids (CDE) as the distribution of grain shapes. The ellipsoids are randomly oriented and have different shapes, but always the same volume. CDE has been very successful in reproducing the SED features of C-rich stars (e.g. Hony et al. 2002) and the observed features of silicates (e.g. Bouwman et al. 2001).
In Fig. 1 the difference in shape of the dust features
(in this case SiC at 11
m and MgS around 30
m)
when using a
spherical grain distribution or CDE is shown. The ISO-SWS/LWS spectra
of CW Leo is also plotted to compare the shape of the modelled
features to the observed data. With the CDE the features are broader
and are a better match to the observed data. Additionally, the position
of the peaks are shifted compared to the spherical case and agree
better with the observations.
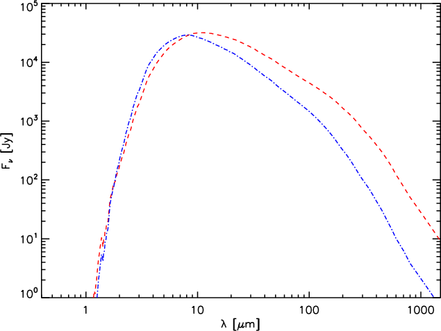
One of the consequences in using the CDE is that for a same density distribution we obtain a much higher level of flux in the FIR than with spherical grains (see Fig. 2). This leads to the use of steeper density distributions to fit the observed data in that wavelength range.
We adopted the CDE distribution for all the models. For a more detailed description of the CDE and for the scattering and absorption coefficient equations, see Min et al. (2003).
|
Figure 1:
Comparison between the shape of the dust features of the best model for
ISO-SWS data of CW Leo (black full line) with spherical grains
(blue dash-dot line, 2% SiC, 4% MgS and 94% amorphous carbon) and with
CDE (red dashed line, 12% SiC, 22% MgS and 66% amorphous carbon). The
SiC feature is at 11 |
| Open with DEXTER | |
|
Figure 2: Comparison between spherical grains (blue dash-dot line, 100% amorphous carbon) and CDE (red dashed line, 100% amorphous carbon) for a same density distribution and optical depth. |
| Open with DEXTER | |
5.2 The dust chemical composition
DUSTY comes with a built-in library of optical properties for six common dust components, but it can also handle additional components if provided with the adequate optical properties.
For O-rich stars we used the recent
MARCS
stellar atmosphere models for cool stars (see Gustafsson et al. 2008) as a radiative source. The models cover a wavelength range from 0.2
m to 20
m. Beyond 20
m we used the Rayleigh-Jeans approximation.
Concerning the dust composition, we investigated these dust species:
- amorphous silicate (MgxFe2-xSiO4)
which is the dominant component in O-rich stars. We can reproduce the
overall shape of the SED only with amorphous silicate. It is also
responsible for the prominent 9.7
m feature and the 18
m
feature. There are different sets of silicates which differ slightly in
shape and position of the features. For this work we investigated three
different types of silicates, namely those described in Draine &
Lee (1984), Ossenkopf et al. (1992) and Dorschner et al. (1995) respectively. In some cases the Dorschner et al. (1995) grains agree better with the observed silicate features, but in others the Ossenkopf et al. (1992) grains are a better representation. The Ossenkopf et al. (1992)
grains are considered to be better suited for the cool oxygen-rich dust
present in OH/IR stars (see Ossenkopf et al. 1992, for a discussion).
- amorphous aluminium oxide (Al2O3),
which is considered as the first condensate in the dust condensation
sequence. It was successfully used to reproduce the broad 12
m feature in IRAS
spectra of AGB stars (Onaka et al. 1989; Egan & Sloan 2001) and UKIRT and ISO-SWS spectra (e.g., Speck et al. 2000; Maldoni et al. 2005; Blommaert et al. 2006). For this analysis we used the grains optical properties by Begemann et al. (1997).
- metallic iron (Fe), which was successfully used by Kemper et al. (2002) to correct the overestimated opacity in the near-infrared (NIR) for OH/IR stars.
- amorphous carbon (AmC here), which is the main component in C-rich stars. Two different sets of amorphous carbon grains were tested namely those described in Preibisch et al. (1993) and Rouleau & Martin (1991). The absorption coefficient of the two components is very similar in the NIR and mid-infrared, but becomes different in the far-infrared (FIR), where the Rouleau & Martin (1991) grains give more flux. Using a CDE distribution, the Preibisch et al. (1993) grains give a better fit to the data in the submillimetre range than those of Rouleau & Martin (1991). Bellow, AmC will refer only to the Preibisch et al. (1993) grains.
- magnesium sulfide (Mg0.9Fe0.1S), which was used by Hony & Bouwman (2004) to reproduce the 30
m feature. In this work we use the optical properties of Begemann et al. (1994).
- silicon carbide (SiC), of which two different types were tested, the Pégourié (1988) and Pitman et al. (2008) grains respectively. The latter turned out to be a better candidate for modelling the 11
m feature, regarding both the shape and the peak position. The peak position was particularly an issue as the Pégourié (1988)
grains showed an important offset to the blue compared to the observed
data. In the sections bellow we will only refer to the Pitman
et al. (2008) grains.
5.3 Modelling
A grid of models was constructed by varying the following physical parameters: the effective temperature
in the range of 2400 K to 3500 K, the dust condensation temperature
ranging from 500 K to 1200 K, the dust chemical composition, the optical depth
at 0.55
m
and the density power index, which was varied from -2.7 to -1.7. The
maximum outer radius of the shell was set to be 10 000 times
the inner shell radius, and the dust grain volume when averaged by a
sphere is equal to
with a set to 0.05
m. More details about the construction of the grid of models can be found in Appendix C.
Comparisons between the models and the data were made with an automated
fitting routine and, the best fit was selected based on a least square
minimisation technique. The models were compared to the ISO short
wavelength spectra (SWS), retrieved from Sloan et al. (2003) database, the ISO long wavelength spectra (LWS) retrieved from ISO archives,
and when available, photometric data from the visible to the millimetre were retrieved from the literature (see Table D.2
for references). The LWS spectrum was shifted to match the SWS flux
level. SWS and LWS spectra were available for all the stars except for
IRC +10420, for which we have only the SWS spectrum. The
consistency of the flux calibration between the SED and the IRAS
photometry was checked for all the stars. The ISO data of WX Psc
shows a significant discrepancy compared to the IRAS flux, so we
decided to recalibrate the SED to the IRAS photometry. The SED was
corrected by a factor of 0.6. Hofmann et al. (2001)
also suggest the recalibration of the ISO data of WX Psc to the
IRAS photometry.
The spectroscopic data and the photometry points were weighted by
taking into account their respective spectral resolution. Since one of
the main goals of this study is to compare the synthetic brightness
maps at 870
m
to LABoCa maps, we enhanced the weight of the LABoCa point compared to
the other submillimetre measurements to ensure a good correspondence.
Table 3: SED fitting results.
5.3.1 SED fitting results
The modelling results are summarised in Table 3. Figure E.1 to Fig. E.9 show the comparison between the models and the data. We see that the synthetic models agree well in most cases with the observed data despite the adopted assumption of spherical symmetry, which is not valid for all the stars (see Sect. 4).
Concerning
Gru,
the discrepancy between the model and the real
SED may probably arises because the O-rich MARCS model used as
radiative source is not adapted for S-stars. As the CSE is optically
thin, the features seen in the synthetic model are mostly those of the
MARCS model.
The model for IRC +10420 agrees poorly with the observations between 15
m and 100
m. The ISO-SWS spectrum shows a high flux level between 15
m and 45
m. This
high level of flux could not be reproduced by our modelling (see Fig. E.7).
This jump is not seen in the IRAS low resolution spectrum (LRS), which
suggests that it may be an artefact of the SWS data reduction.
Connecting together the different SWS segments can be difficult as each
segment relies on the calibration of the previous one; this issue is
discussed in Sloan et al. (2003).
Previous analysis of IRC +10420 (e.g. Oudmaijer et al. 1996) used the LRS spectrum in the SED fitting of the star, which we could easily model in Fig. E.7.
For the OH/IR star AFGL 5379, the FIR excess is not well reproduced by the modelling (see Fig. E.8) despite the use of metallic iron, which was suggested by Kemper et al. (2002) to correct the FIR excess of OH/IR stars.
From the output of DUSTY, it is deduced that the photospheric flux of the central source is negligible at 870
m for most of our stars except for o Cet and
Gru, for which the photospheric flux contributes up to 50% to the total flux observed at 870
m.
5.3.2 Density distribution
Contrary to previous analyses which used a density distribution following an r-2 density power law or even shallower densities to match the observations (e.g. Sopka et al. 1985; Groenewegen 1997; Blanco et al. 1998; Lorenz-Martins et al. 2001; Gautschy-Loidl et al. 2004), our models follow a steeper density distribution (
r-2.3 for AFGL 5379 and CW Leo,
r-2.5 for AFGL 3068) (see the density power index ``n'' in Table 3).
The main difference between those analyses with a shallow density
distribution and our analysis is that they used spherical grains
distribution while we used CDE. Section 5.1
discusses what the CDE does to the shape of dust features compared to
the spheres distribution. We clearly see in the spectral energy
distribution in Fig. 1 that CDE provides a more realistic shape and peak position of the dust features (see also Min et al. 2003), but at the same time CDE gives a higher level of flux in the submillimetre (see Fig. 2). This leads to the use of a steeper density distribution law than r-2 in order to reproduce the observed data with the uncertainty on the density power being
0.05.
5.3.3 Mass-loss
The derived physical parameters from the SED modelling can be used to constrain the mass loss rate
of our sample of stars.
For a constant mass loss rate and a constant dust velocity, the optical depth
is related to the mass loss rate by (Groenewegen et al. 1998)
where
The parameters that are derived from the SED modelling are the optical depth at a specific wavelength
,
R* and
,
which can be computed using the effective temperature
and the dust condensation temperature
and by assuming a distance. The assumed distances are listed in Table 3 together with the references.
We assumed the dust velocity
to be equal to the gas terminal velocity
and used expansion velocities derived from CO line measurements (see Table 3). From Eq. (2) we can see that a change on the dust velocity has a linear affect on the mass loss rate.
The dust grain density for silicates varies from 2.8 g cm-3 to 3.3 g cm-3 (see Ossenkopf 1992). We assumed an average value of 3 g cm-3 for all O-rich stars. Concerning C-rich stars, we adopted the density distribution of the amorphous carbon used in our modelling, which is 1.85 g cm-3 (see Preibisch et al. 1993; Bussoletti et al. 1987).
The mass absorption coefficient
follows directly from DUSTY outputs and ranges from
cm2 g-1 for M-stars and
cm2 g-1 for C-stars with intermediate values of 4 cm2 g-1 and 8 cm2 g-1 for the OH/IR star AFGL 5379 and the S-star
Gru, respectively. For the post-AGB star IRAS 16342-3814, we find
cm2 g-1
because of a high fraction of iron, which has a high opacity. These
results are one magnitude higher than the predictions of Draine (1981) for grains in the interstellar medium. Sopka et al. (1985) claimed one order of magnitude uncertainty on the parameter when considering circumstellar grains rather than interstellar.
The derived mass loss rates are of the same order as those estimated in previous studies (see Table 3). The difference is within the predicted uncertainty for
estimates. One should keep in mind both the dependence of
on the distance, which can be very uncertain for AGB stars, and the
dependence on the gas-to-dust ratio, which is very difficult to
constrain and can significantly vary from one star to another. Ramstedt
et al. (2008) discussed the reliability of mass loss rate estimates for AGB stars and compared
values from CO line measurements and SED modelling. The agreement
between the two methods is within a factor of about three, which they
consider as the minimal uncertainty in present mass loss rate
estimates.
By assuming a constant mass loss and a constant dust velocity and by using the derived size of each source, we can estimate the total mass of the CSE for each star. The minimum diameter of the CSE is assumed to be three times the average FWHM after deconvolution from the beam. The derived total mass of the CSE M is listed in Table 3. For unresolved CSEs, the calculated total mass represents an upper limit because the size derived from the observations is overestimated.
5.3.4 Dust mass in CSEs
With a simple approach we can estimate the total dust mass in the
envelope
,
assuming the dust at 870
m is optically thin, by (Hildebrand 1983)
|
(3) |
where
5.4 Intensity brightness maps
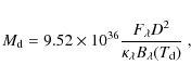
Once a best spectral energy distribution (SED) model was selected for each star, we retrieved from DUSTY the intensity brightness profile at the LABoCa wavelength. Each 1D intensity profile was converted to the observed 2D pixel grid and was convolved with a 2D PSF of the size of the experimental HPBW. We then compared the synthetic brightness maps to the LABoCa maps.For a better visualisation we used differential aperture photometry on the data. What we expected to see when doing that for a source with a symmetric and homogeneous non-detached CSE is a Gaussian profile with a FWHM wider than the one obtained for a point source and representative of the extended emission. The Gaussian profile would be disrupted if there were asymmetry and/or any extra structure around the star such as a disc.
The background variation is the main source of photometric errors in bolometric data. Any constant background would be subtracted with the differential aperture photometry, but its variation can still be seen and would essentially affect the parts with a low signal (the wings of the profile) and increase the photometric error estimation.
The comparison between the LABoCa maps and the synthetic maps can be
seen from Figs. E.1 to E.9.
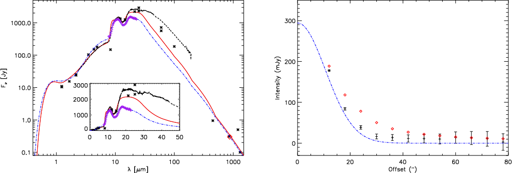
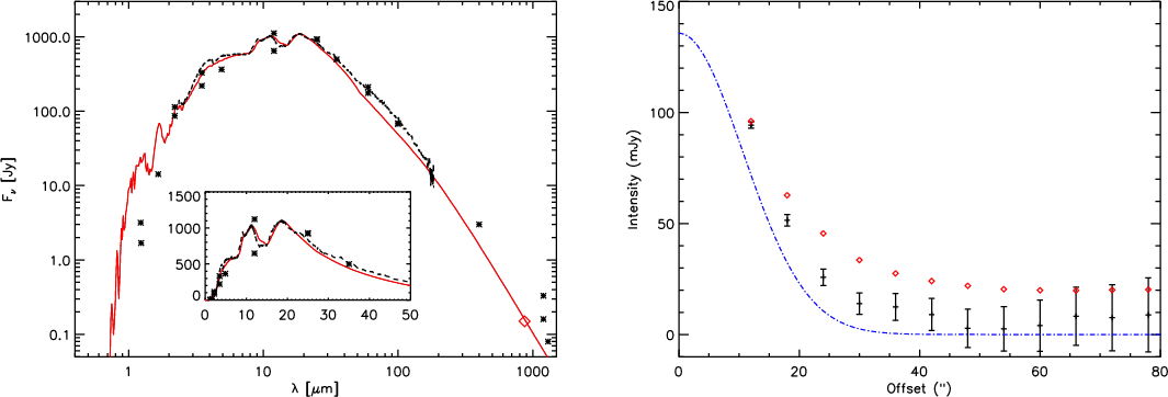
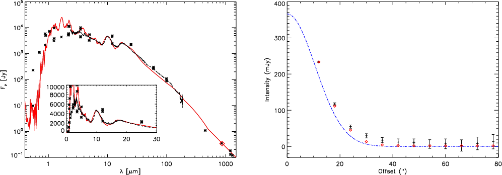
The synthetic map and the LABoCa map
for o Cet, CW Leo, AFGL 3068.
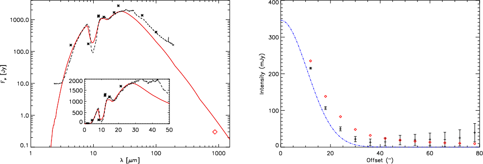
For
Gru agree well, the synthetic brightness map is close to the LABoCa
data up to 20
,
but after that the intensity in the synthetic
map drops quickly to zero while we still have flux (
10 mJy) in
the LABoCa map. This is probably due to the asymmetry observed in the
LABoca map (see Fig. A.2) and not taken into
account in the modelling.
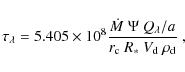
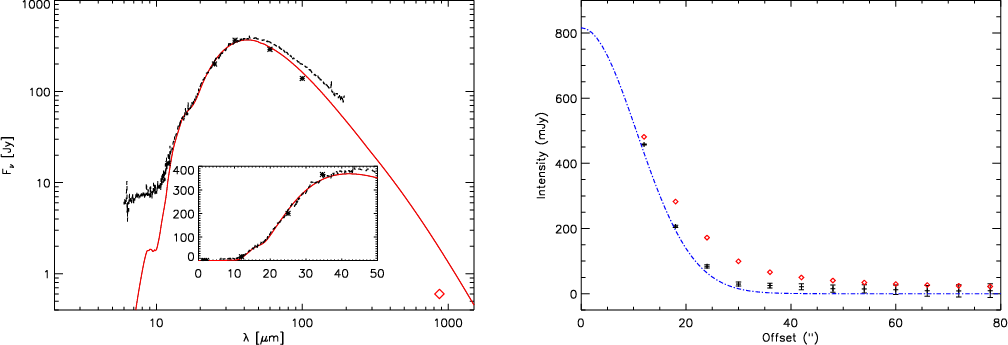
The synthetic brightness maps of IRC +10420, AFGL 5379 and
IRAS 16342-3814 predict more flux than the LABoCa maps up to 50
.
At a larger distance, the models are within the error bars of the LABoCa data.
For IRC +10420 and IRAS 16342-3814 (Dijkstra et al. 2003) departure
from spherical symmetry may be the cause.
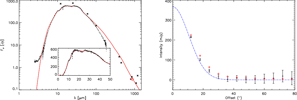
WX Psc synthetic map shows an important discrepancy with the LABoCa map.
The synthetic map predicts more flux than observed and also a more
extended structure around the star, although the SED is well fitted.
The degree of agreement between the synthetic brightness maps
and
the LABoCa maps does not seem to be related to the quality of the SED
modelling. Note that this discrepancy is not related to the assumed
distance (D). Both the luminosity (L)
and the angular scale (R) depend in the same way on the adopted distance (
,
while
,
so
).
In most cases, the models predict more dust than is seen in the observed data. We tested decreasing the maximum value of the CSE outer boundary, but that did not make any difference up to a certain value, and after that the quality of the SED model became poor. This is not surprising, as the outer boundary set in DUSTY is a maximum limit for the calculation of the dust and does not represent the final size of the CSE. The only risk would be to underestimate the limit, but that was not our case.
The main constraint in the modelling is the spherical symmetry assumption. While it does not stop us to obtain a decent fit to the SEDs even for the asymmetric sources, it clearly shows its limitation when deriving synthetic intensity profiles. It is probably the reason we find a poor agreement between the synthetic brightness maps and the LABoCA intensity profiles. This clearly shows that we cannot rely only on SED modelling to properly constrain the physical parameters of CSEs. Combining both modelling of the SED and the intensity profile would be the ideal.
SABoCa data have been collected for WX Psc
and o Cet and still need to be analysed.
SABoCa is an APEX bolometer operating at 350
m with
an expected sensitivity five times better than LABoCa.
These new data will have a better spatial resolution than
the LABoCa data and should improve the results of this paper
for these two stars.
6 Conclusion
This paper presents the first LABoCa observations of evolved stars.
We show in this study that it is possible to resolve the extended
emission around AGB stars at 870
m.
Extended emission was found for CW Leo,
Gru, WX Psc and
o Cet, with an asymmetric structure around
Gru, WX Psc and o Cet.
With SED modelling results, the mass loss rate was derived for all the stars with a reasonable agreement with previous literature data, and both the total mass loss and the dust mass were estimated.
The SEDs and intensity profiles were modelled with a 1D radiative transfer code.
In most cases it is difficult to fit both constraints simultaneously.
For some stars, departures from spherical symmetry are known from other observations at
different wavelengths and different spatial scales. The asymmetry may be the reason why
it is not possible to fit both SEDs and intensity brightness maps in a consistent way,
given that we assumed spherical symmetry in the modelling.
The current single dish observations still lack
the spatial resolution to really probe the dust structure at 870
m.
D. Ladjal thanks L. Decin for a careful reading of the paper and for providing critical suggestions. She also thanks F. Schuller for his valuable help with the data reduction. She is grateful to the the anonymous referee for the constructive comments which helped improve the paper. This research has made use of the SIMBAD database, operated at CDS, Strasbourg, France.
Appendix A: LABoCa maps
|
Figure A.1:
LABoCa brightness map for CW Leo in Jy (250
|
| Open with DEXTER | |
|
Figure A.2:
LABoCa brightness map for |
| Open with DEXTER | |
|
Figure A.3:
LABoCa brightness map for WX Psc in Jy (250
|
| Open with DEXTER | |
|
Figure A.4:
LABoCa brightness map for o Cet in Jy (250
|
| Open with DEXTER | |
Appendix B: Data reduction and calibration
B.1 Data reduction
The data reduction is described bellow.
In a first step, the data are corrected for the atmospheric opacity
with skydip scans. Thereafter they are converted from the raw units to
Jy flux units (see the next section for the flux calibration). After
flat-fielding, correlated noise is removed by subtracting the median
noise across the array. The data are then filtered based on a low- and
high-frequency cut-off. The final map is weighted by the inverse of the
variance and gridded to a 6
pixel size.
Removing the correlated noise and filtering low frequencies are two very sensitive steps when looking for extended emission, because it is not possible to distinguish between a uniform extended emission and correlated noise observed by the bolometers. As a result, any uniform extended emission would be filtered out when performing the noise removal step. For this reason, we decided to use an iterative reduction technique developed by Schuller at the Max-Planck-Insitut für Radioastronomy (MPIfR), which is meant to save the extended emission if present. The technique was successfully used in a (sub)millimetre survey of the galactic plane (see Schuller et al. 2009).
To execute this technique, we first perform the data reduction
following the reduction steps described above. At the end of this first
reduction, we use the resultant map to flag and select all signal above
a 3
level. We then remove that part of the signal and re-run the reduction
procedure on the residual signal to enhance any faint emission left. At
the end of this step, we put the subtracted flux back. This constitutes
one iteration block. The iteration is repeated several times until a
convergence in the signal-to-noise is obtained.
B.2 Calibration
BoA provides a flux calibration procedure which convert the maps from the raw units (Volts/beam) to Jy/beam. This procedure uses a Volt to Jy conversion factor specific to the instrument and a correction factor based on the ratio between the observed flux for a primary calibrator (a planet) and its predicted flux at the LABoCa frequency and beam and for a specific observing time. BoA uses the primary calibrators to calibrate a list of secondary calibrator stars. The calibration factor for a science star is obtained by interpolating between the two calibration factors of the two calibrators (primary or secondary) bracketing the science object in time. The calibration is done to the peak flux.
This calibration method is adapted to point sources, but if used with extended sources, only a fraction of the total flux is enclosed within the beam, which would lead to an overestimation of the flux. Therefore we decided to develop our own reduction technique using only primary calibrators and aperture photometry. We chose to only use Uranus, Mars, Neptune and Venus observations as calibrators.
We computed the integrated flux difference between two successive apertures in a map with aperture photometry. This way we take out any constant noise from the background. A 1D Gaussian is then fitted to the obtained profile.
The Astro software from the Gildas package provided us with the expected total flux for each planet at the LABoCa frequency and for the correct observing date. The calibration factor is then the ratio between the expected total flux and the detected signal within an aperture of three sigma radius (corrected by the 99.73% factor).
Appendix C: Grid of models
After studying the effect of the different input parameters on the synthetic SED, we first constructed a grid of over 47 000 models by varying the following physical parameters:
- The optical depth
at 0.55
m.
By varying the optical depth on the resultant SED, it appeared that a
change of about 10% has a significant effect on the shape of the model.
This means that a better sampling is needed at low optical depths than
at high values. For this reason, we varied
from 0.01 to 664 following a power law
(were i is the index), which gives a finer sampling at low values.
- The effective temperature
was varied from 2400 K to 3500 K, which is a typical
temperature range for AGB stars, with a step size of 200 K. For
IRC+10420, which is an F star, effective temperatures of 6000 K,
7000 K and 8000 K were tested. - The dust condensation temperature
,
which determines the inner dust radius, was varied from 500 K to 1200 K with a step size of 100 K.
- The dust chemical composition:
- For O-rich stars:
-

- Iron ranging from 0% to 30% with a step size of 10%;
-

- Alumina ranging from 0% to 60% with a step size of 20%;
-

- Amorphous silicates = 100%-iron-alumina.
- For C-rich stars:
-

- SiC ranging from 0% to 15% with a step size of 5%;
-

- MgS ranging from 0% to 30% with a step size of 10%;
-

- Amorphous carbon = 100%-SiC-MgS.
We compared each star to the models with a least square minimisation
routine, and a first solution was derived for each star. From this
result we constructed a second grid of models with a more refined
sampling of the physical parameters: 100 K for
,
50 K for
,
1% for alumina, SiC and MgS and 0.5% for iron, the optical depth was varied with steps of about 10% around
of the first solution. This time the density distribution slope was
also varied to match the observations, the power density index range
was taken from -2.7 to -1.7 with a step size of 0.1. The
observations were again compared to this second grid of models, and a
final solution was derived for each source (see Table 3).
Appendix D: Tables
Table D.1: List of observations.
Table D.2: Photometric data.
Appendix E: SED modelling
|
Figure E.1:
Left panel: best model (continuous red line) for ISO-SWS/LWS data of o Cet (dashed black line) with photometric data (black stars). The red diamond is the LABoCa measurement at 870 |
| Open with DEXTER | |
|
Figure E.2: As Fig. E.1 for CW Leo. |
| Open with DEXTER | |
|
Figure E.3: As Fig. E.1 for AFGL 3068. |
| Open with DEXTER | |
|
Figure E.4: As Fig. E.1 for WX Psc. |
| Open with DEXTER | |
|
Figure E.5:
As Fig. E.1 for |
| Open with DEXTER | |
|
Figure E.6: As Fig. E.1 for VY CMa. |
| Open with DEXTER | |
|
Figure E.7:
Left panel: IRC +10420 ISO-SWS/LWS spectrum (dashed black line) with the best model (continuous red
line) together with the LRS spectrum (purple crosses) with its respective best model (dash-dot blue line).
The black stars are the photometric data and the red diamonds the LABoCa measurement at 870 |
| Open with DEXTER | |
|
Figure E.8: As Fig. E.1 for AFGL 5379. |
| Open with DEXTER | |
|
Figure E.9: As Fig. E.1 for IRAS 16342-3814. |
| Open with DEXTER | |
References
- Ake, T. B., & Johnson, H. R. 1992, BA&AS, 24, 788 [Google Scholar]
- Altenhoff, W. J., Thum, C., & Wenker, H. J. 1994, A&A, 281, 161 [NASA ADS] [Google Scholar]
- Begemann, B., Dorschner, J., Henning, T., et al. 1994, ApJ, 423, L71 [NASA ADS] [CrossRef] [Google Scholar]
- Begemann, B., Dorschner, J., Henning, T., et al. 1997, ApJ, 476, 199 [NASA ADS] [CrossRef] [Google Scholar]
- Blanco, A., Borghesi, A., Fonti, S., et al. 1998, A&A, 330, 505 [NASA ADS] [Google Scholar]
- Blommaert, J. A. D. L., Groenewegen, M. A. T., Okumura, K., et al. 2006, A&A, 460, 555 [NASA ADS] [CrossRef] [EDP Sciences] [Google Scholar]
- Bouwman, J., Meeus, G., de Koter, A., et al. 2001, A&A, 375, 950 [NASA ADS] [CrossRef] [EDP Sciences] [Google Scholar]
- Bussoletti, E., Colangeli, L., Borghesi, A., et al. 1987, A&AS, 70, 257 [NASA ADS] [Google Scholar]
- Campbell, M. F., Elias, J. H., Gezari, D. Y., et al. 1976, ApJ, 208, 396 [NASA ADS] [CrossRef] [Google Scholar]
- Chiu, P.-J., Hoang, C.-T., Trung, D.-V., et al. 2006, ApJ, 645, 605 [NASA ADS] [CrossRef] [Google Scholar]
- Choi, Y. K., Hirota, T., Honma, M., et al. 2008, PASJ, 60, 1007 [NASA ADS] [Google Scholar]
- Cutri, R. M., Skrutskie, M. F., Van Dyk, S., et al. 2003, VizieR catalogue [Google Scholar]
- Decin, L., Hony, S., de Koter, A., et al. 2007, A&A, 475, 233 [NASA ADS] [CrossRef] [EDP Sciences] [Google Scholar]
- Dehaes, S., Groenewegen, M. A. T., Decin, L., et al. 2007, MNRAS, 377, 931 [NASA ADS] [CrossRef] [Google Scholar]
- Di Francesco, J., Johnstone, D., Kirk, H., et al. 2008, ApJS, 175, 277 [NASA ADS] [CrossRef] [Google Scholar]
- Dijkstra, C., Waters, L. B. F. M., Kemper, F., et al. 2003, A&A, 399, 1037 [NASA ADS] [CrossRef] [EDP Sciences] [Google Scholar]
- Dinh-V-Trung, Muller, S., Lim, J., et al. 2009, ApJ, 697, 409 [Google Scholar]
- Dorschner, J., Begemann, B., Henning, Th., et al. 1995, A&A, 300, 503 [NASA ADS] [Google Scholar]
- Draine, B. T., ApJ, 245, 880 [Google Scholar]
- Draine, B. T., & Lee, H. M. 1984, ApJ, 285, 89 [Google Scholar]
- Dyck, H. M., Benson, J., Howell, R., et al. 1991, AJ, 102, 200 [Google Scholar]
- Egan, M. P., & Sloan, G. C. 2001, ApJ, 558, 165 [NASA ADS] [CrossRef] [Google Scholar]
- Egan, M. P., Price, S. D., Kreamer, K. E., et al. 2003, VizieR catalogue [Google Scholar]
- Engels, D. 1979, A&AS, 36, 337 [NASA ADS] [Google Scholar]
- Frankowski, A., Jancart, S., & Jorissen, A. 2007, A&A, 464, 377 [NASA ADS] [CrossRef] [EDP Sciences] [Google Scholar]
- Fong, D., Mexiner, M., & Shah, R. Y. 2004, ASP conf. Ser. 313, 77 [Google Scholar]
- Gautschy-Loid, R., Höfner, S., Jørgensen, U. G., et al. 2004, A&A, 422, 289 [NASA ADS] [CrossRef] [EDP Sciences] [Google Scholar]
- Groenewegen, M. A. T. 1997, A&A, 317, 503 [NASA ADS] [Google Scholar]
- Groenewegen, M. A. T., & de Jong, T. 1998, A&A, 337, 797 [NASA ADS] [Google Scholar]
- Groenewegen, M. A. T., de Jong, T., & Baas, F. 1993, A&AS, 101, 267 [NASA ADS] [Google Scholar]
- Groenewegen, M. A. T., Baas, F., de Jong, T., et al. 1996, A&A, 306, 241 [NASA ADS] [Google Scholar]
- Groenewegen, M. A. T., van der Veen, W. E. C. J., Lefloch, B., et al. 1997, A&A, 322, L21 [NASA ADS] [Google Scholar]
- Groenewegen, M. A. T., van der Veen, W. E. C. J., & Matthews, H. E. 1998, A&A, 338, 491 [NASA ADS] [Google Scholar]
- Gustafsson, B., Edvardsson, B., Eriksson, K., et al. 2008, A&A, 486, 951 [NASA ADS] [CrossRef] [EDP Sciences] [Google Scholar]
- Harwit, M., Malfait, K., Decin, L., et al. 2001, ApJ, 557, 844 [NASA ADS] [CrossRef] [Google Scholar]
- Harvey, P. M., Bechis, K. P., Wilson, W. J., et al. 1974, ApJS, 248, 331 [NASA ADS] [CrossRef] [Google Scholar]
- He, J. H., Szczerba, R., Chen, P. S., et al. 2005, A&A, 434, 201 [NASA ADS] [CrossRef] [EDP Sciences] [Google Scholar]
- He, J. H., Imai, H., Hasegawa, T. I., et al. 2008, A&A, 488, L21 [NASA ADS] [CrossRef] [EDP Sciences] [Google Scholar]
- Herman, J., & Habing, H. J. 1985, A&AS, 59, 523 [NASA ADS] [Google Scholar]
- Hildebrand, R. 1983, Q. Jour. RAS, 24, 267 [Google Scholar]
- Hofmann, H.-H., Balega, Y., Blöcker, T., et al. 2001, A&A, 379, 529 [NASA ADS] [CrossRef] [EDP Sciences] [Google Scholar]
- Hony, S., & Bouwman, J. 2004, A&A, 413, 981 [NASA ADS] [CrossRef] [EDP Sciences] [Google Scholar]
- Hony, S., Waters, L. B. F. M., & Tielens, A. G. G. M. 2002, A&A, 390, 533 [NASA ADS] [CrossRef] [EDP Sciences] [Google Scholar]
- Huggins, P. J. 2007, ApJ, 663, 342 [NASA ADS] [CrossRef] [Google Scholar]
- Huggins, P. J., Olofsson, H., & Johansson, L. E. B. 1988, ApJ, 332, 1009 [NASA ADS] [CrossRef] [Google Scholar]
- Inomata, N. 2007, PASJ, 59, 799 [NASA ADS] [Google Scholar]
- Ivezic , V., Nenkova, M., & Elitzur, M. 1999, User Manual for DUSTY, http://www.pa.uky.edu/ moshe/dusty [Google Scholar]
- Izumiura, H., Hashimoto, O., Kawara, K., et al. 1996, A&A, 315, L221 [NASA ADS] [Google Scholar]
- Izumiura, H., Waters, L. B. F. M., de Jong, T., et al. 1997, A&A, 323, 449 [NASA ADS] [Google Scholar]
- Jones, T. J., Humphreys, R. M., Gehrz, R. D., et al. 1993, ApJ, 411, 323 [NASA ADS] [CrossRef] [Google Scholar]
- Josselin, E., Mauron, N., Planesas, P., et al. 2000, A&A, 362, 255 [NASA ADS] [Google Scholar]
- Joy, A. H. 1926, ApJ, 63, 333 [Google Scholar]
- Jura, M., & Kleinmann, S. G. 1990, ApJS, 73, 769 [NASA ADS] [CrossRef] [Google Scholar]
- Justtanont, K., Skinner, C. J., Tielens, A. G. G. M., et al. 1996, ApJ, 456,337 [NASA ADS] [CrossRef] [Google Scholar]
- Karovska, M., Nisenson, P., & Beltic, J. 1993, ApJ, 402, 311 [NASA ADS] [CrossRef] [Google Scholar]
- Karovska, M., Hack, W., Raymond, J., et al. 1997, ApJ, 482, 175 [Google Scholar]
- Kastner, J. H. 1992, ApJ, 401, 337 [NASA ADS] [CrossRef] [Google Scholar]
- Kemper, F., de Koter, A., Waters, L. B. F. M., et al. 2002, A&A, 384, 585 [Google Scholar]
- Kemper, F., Stark, R., Justtanont, K., et al. 2003, A&A, 407, 609 [NASA ADS] [CrossRef] [EDP Sciences] [Google Scholar]
- Kimeswenger, S., Lederle, C., Richichi, A., et al. 2004, A&A, 413, 103 [Google Scholar]
- Knapp, G. R., Sandell, G., & Robson, E. I. 1993, ApJS, 88, 173 [NASA ADS] [CrossRef] [Google Scholar]
- Knapp, G. R., Young, K., & Crosas, M. 1999, A&A, 346, 175 [NASA ADS] [Google Scholar]
- Knapp, G. R., Young, K., Lee, E., et al. 1998, ApJ, 117, 209 [Google Scholar]
- Le Bertre, T. 1987, A&A, 176, 107 [NASA ADS] [Google Scholar]
- Le Bertre, T. 1993, A&AS, 97, 729 [NASA ADS] [Google Scholar]
- Leão, I. C., de Laverny, P., Mékarnia, D., et al. 2006, A&A, 455, 187 [NASA ADS] [CrossRef] [EDP Sciences] [Google Scholar]
- Lindqvist, M., Lucas, R., Olofsson, H., et al. 1996, A&A, 305, L57 [NASA ADS] [Google Scholar]
- Lindqvist, Olofsson, H., Lucas, R., et al. 1999, A&A, 351, L1 [NASA ADS] [Google Scholar]
- Loidl, R., Lançon, A., & J rgensen, U. G. 2001, A&A, 371, 1065 [NASA ADS] [CrossRef] [EDP Sciences] [Google Scholar]
- Lopez, B. 1999, IAUS, 191 [Google Scholar]
- Lorenz-Martins, S., Araùjo, F. X., Codina Landaberry, S. J., et al. 2001, A&A, 367, 189 [NASA ADS] [CrossRef] [EDP Sciences] [Google Scholar]
- Loup, C., Forveille, T., Omont, A., et al. 1993, A&AS, 99, 291 [Google Scholar]
- Maldoni, M. M., Ireland, T. R., Smith, R. G., et al. 2005, MNRAS, 362, 872 [NASA ADS] [CrossRef] [Google Scholar]
- Makarov, V. V., & Kaplan, G. H. 2005, AJ, 192, 2420 [NASA ADS] [CrossRef] [Google Scholar]
- Marshall, C. R., Leahy, D. A., & Kwoks, S. 1992, PASP, 104, 397 [NASA ADS] [CrossRef] [Google Scholar]
- Martin, D. C., Seibert, M., Neill, J. D., et al. 2007, Nature, 448, 780 [NASA ADS] [CrossRef] [PubMed] [Google Scholar]
- Matthews, L. D., Libert, Y., Gérard, E., et al. 2008, ApJ, 684, 603 [NASA ADS] [CrossRef] [Google Scholar]
- Mauron, N., & Huggins, P. J. 2000, A&A, 359, 707 [NASA ADS] [Google Scholar]
- Mauron, N., & Huggins, P. J. 2006, A&A, 452, 257 [NASA ADS] [CrossRef] [EDP Sciences] [Google Scholar]
- Menten, K. M., Reid, M. J., Krügel, E., et al. 2006, A&A, 453, 301 [NASA ADS] [CrossRef] [EDP Sciences] [Google Scholar]
- McLean, I. S. 2008, in Electronic imaging in astronomy (Springer), 194 [Google Scholar]
- Min, M., Hovenier, J. W., & de Koter, A. 2003, A&A, 404, 35 [NASA ADS] [CrossRef] [EDP Sciences] [Google Scholar]
- Morel, M., & Magnenat, P. 1978, A&AS, 34, 477 [NASA ADS] [Google Scholar]
- Moshir, M., Copan, G., Conrow, T., et al. 1989, VizieR catalogue [Google Scholar]
- Neri, R., Kahane, C., Lucas, R., et al., 1998, A&AS, 130, 1 [NASA ADS] [CrossRef] [EDP Sciences] [Google Scholar]
- Olofsson, H., Carlstrom, U., Eriksson, K., et al. 1990, A&A, 230, L13 [NASA ADS] [Google Scholar]
- Olofsson, H., Bergman, P., Eriksson, K., et al. 1996, A&A, 311, 587 [NASA ADS] [Google Scholar]
- Olofsson, H., Bergman, P., Lucas, R., et al. 2000, A&A, 353, 583 [NASA ADS] [Google Scholar]
- Onaka, T., de Jong, T., & Willems, F. J. 1989, A&A, 218, 169 [NASA ADS] [Google Scholar]
- Ossenkopf, V., Henning, T., & Mathis, J. S. 1992, A&A, 261, 567 [NASA ADS] [Google Scholar]
- Oudmaijer, R. D., Groenewegen, M. A. T., Matthews, H. E. M. N., et al. 1996, MNRAS, 280, 1062 [NASA ADS] [CrossRef] [Google Scholar]
- Pégourié, B. 1988, A&A, 194, 335 [Google Scholar]
- Perryman, M. A. C., & ESA. 1997, VizieR catalogue [Google Scholar]
- Perryman, M. A. C., Lindegren, L., Kovalevsky, J., et al. 1997, A&A, 323, L49 [NASA ADS] [Google Scholar]
- Pitman, K. M., Hofmeister, A. M., Corman, A. B., et al. 2008, A&A, 483, 661 [NASA ADS] [CrossRef] [EDP Sciences] [Google Scholar]
- Preibisch, T., Ossenkopf, V., Yorke, H. W., et al. 1993, A&A, 279, 577 [NASA ADS] [Google Scholar]
- Phillips, J. P., White, G. J., Ade, P. A. R., et al. 1982, A&A, 116, 130 [NASA ADS] [Google Scholar]
- Proust, D., Ochsenbein, F., & Petterson, B. R. 1981, A&AS, 44, 179 [NASA ADS] [Google Scholar]
- Ramstedt, S., Schöier, F. L., Olofsson, H., et al. 2008, A&A, 487, 642 [Google Scholar]
- Rouleau, F., & Martin, P. G. 1991, ApJ, 377, 526 [NASA ADS] [CrossRef] [Google Scholar]
- Sahai, R. 1992, A&A, 253, L33 [NASA ADS] [Google Scholar]
- Sahai, R., Te Lintel Hekkert, P., Morris, M., et al. 1999, ApJ, 514, L115 [NASA ADS] [CrossRef] [Google Scholar]
- Sacuto, S., Jorissen, A., Cruzalèbes, P., et al. 2008, A&A, 482, 561 [NASA ADS] [CrossRef] [EDP Sciences] [Google Scholar]
- Schuller, F., Menten, K. M., Contreras, Y., et al. 2009, A&A, 504, 415 [NASA ADS] [CrossRef] [EDP Sciences] [Google Scholar]
- Siringo, G., Kreysa, E., Kovàcs, A., et al. 2009, A&A, 497, 945 [NASA ADS] [CrossRef] [EDP Sciences] [Google Scholar]
- Sloan, G. C., Kraemer, K. E., Price, S. D., et al. 2003, ApJS, 147, 379 [NASA ADS] [CrossRef] [Google Scholar]
- Smith, B. J., Price, S. D., & Baker, R. I. 2004, ApJS, 154, 673 [NASA ADS] [CrossRef] [Google Scholar]
- Sopka, R. J., Hildebrand, R., Jaffe, D. T., et al. 1985, ApJ, 294, 242 [NASA ADS] [CrossRef] [Google Scholar]
- Speck , A. K., Barlow, M. J., & Sylvester, R. J. 2000, A&AS, 146, 437 [Google Scholar]
- Ueta, T. 2008, AJ, 687, L33 [Google Scholar]
- van Langevelde, H. J., van der Heiden, R., & van Schooneveld, C. 1990, A&A, 239, 193 [NASA ADS] [Google Scholar]
- Vinkovic, D., Blöcker, T., Hofmann, K.-H., et al. 2004, MNRAS, 352, 852 [NASA ADS] [CrossRef] [Google Scholar]
- Walmsley, C. M., Chini, R., Kreysa, E., et al. 1991, A&A, 248, 555 [NASA ADS] [Google Scholar]
- Waters, L. B. F. M., Loup, C., Kester, D. J. M., et al. 1994, 281, L1 [Google Scholar]
- Willems, F. J., & de Jong, T. 1988, A&A, 196, 173 [NASA ADS] [Google Scholar]
- Young, K., Phillips, T. G., & Knapp, G. R. 1993, ApJSS, 86, 517 [CrossRef] [Google Scholar]
- Yuasa, M., Unno, W., & Magono, S. 1999, PASJ, 51,197 [NASA ADS] [Google Scholar]
- Zijlstra, A. A., Loup, C., Waters, L. B. F. M., et al. 1992, A&A, 265, L5 [NASA ADS] [Google Scholar]
Footnotes
- ... LABOCA
- Based on observations made with ESO telescopes at the La Silla Paranal Observatory under programme ID 079.F-9305A and 081.F-9320A.
- ...
- Reduced data is only available in electronic form at the CDS via anonymous ftp to cdsarc.u-strasbg.fr (130.79.128.5) or via http://cdsweb.u-strasbg.fr/cgi-bin/qcat?J/A+A/513/A53
- ... APEX
- This publication is based on data acquired with the Atacama Pathfinder Experiment (APEX). APEX is a collaboration between the Max-Planck-Institut für Radioastronomie, the European Southern Observatory, and the Onsala Space Observatory.
- ... BoA
- http://www.astro.uni-bonn.de/boawiki
- ...
Gildas
- http://www.iram.fr/IRAMFR/GILDAS/
- ...
calculator
- http://www.apex-telescope.org/bolometer/laboca/obscalc/
- ... DUSTY
- http://www.pa.uky.edu/ moshe/dusty/
- ...
MARCS
- http://marcs.astro.uu.se/
All Tables
Table 1:
Measured flux at 870
m.
Table 2: Results of the 2D elliptic Gaussian fit.
Table 3: SED fitting results.
Table D.1: List of observations.
Table D.2: Photometric data.
All Figures
|
Figure 1:
Comparison between the shape of the dust features of the best model for
ISO-SWS data of CW Leo (black full line) with spherical grains
(blue dash-dot line, 2% SiC, 4% MgS and 94% amorphous carbon) and with
CDE (red dashed line, 12% SiC, 22% MgS and 66% amorphous carbon). The
SiC feature is at 11 |
| Open with DEXTER | |
| In the text | |
|
Figure 2: Comparison between spherical grains (blue dash-dot line, 100% amorphous carbon) and CDE (red dashed line, 100% amorphous carbon) for a same density distribution and optical depth. |
| Open with DEXTER | |
| In the text | |
|
Figure A.1:
LABoCa brightness map for CW Leo in Jy (250
|
| Open with DEXTER | |
| In the text | |
|
Figure A.2:
LABoCa brightness map for |
| Open with DEXTER | |
| In the text | |
|
Figure A.3:
LABoCa brightness map for WX Psc in Jy (250
|
| Open with DEXTER | |
| In the text | |
|
Figure A.4:
LABoCa brightness map for o Cet in Jy (250
|
| Open with DEXTER | |
| In the text | |
|
Figure E.1:
Left panel: best model (continuous red line) for ISO-SWS/LWS data of o Cet (dashed black line) with photometric data (black stars). The red diamond is the LABoCa measurement at 870 |
| Open with DEXTER | |
| In the text | |
|
Figure E.2: As Fig. E.1 for CW Leo. |
| Open with DEXTER | |
| In the text | |
|
Figure E.3: As Fig. E.1 for AFGL 3068. |
| Open with DEXTER | |
| In the text | |
|
Figure E.4: As Fig. E.1 for WX Psc. |
| Open with DEXTER | |
| In the text | |
|
Figure E.5:
As Fig. E.1 for |
| Open with DEXTER | |
| In the text | |
|
Figure E.6: As Fig. E.1 for VY CMa. |
| Open with DEXTER | |
| In the text | |
|
Figure E.7:
Left panel: IRC +10420 ISO-SWS/LWS spectrum (dashed black line) with the best model (continuous red
line) together with the LRS spectrum (purple crosses) with its respective best model (dash-dot blue line).
The black stars are the photometric data and the red diamonds the LABoCa measurement at 870 |
| Open with DEXTER | |
| In the text | |
|
Figure E.8: As Fig. E.1 for AFGL 5379. |
| Open with DEXTER | |
| In the text | |
|
Figure E.9: As Fig. E.1 for IRAS 16342-3814. |
| Open with DEXTER | |
| In the text | |
Copyright ESO 2010
Current usage metrics show cumulative count of Article Views (full-text article views including HTML views, PDF and ePub downloads, according to the available data) and Abstracts Views on Vision4Press platform.
Data correspond to usage on the plateform after 2015. The current usage metrics is available 48-96 hours after online publication and is updated daily on week days.
Initial download of the metrics may take a while.
![\begin{figure}
\par\includegraphics[angle=90,width=9cm,clip]{13147fga.ps}
\vspace*{3mm}
\end{figure}](/articles/aa/full_html/2010/05/aa13147-09/Timg24.png)
![\begin{figure}
\par\includegraphics[angle=90,width=9cm,clip]{13147fgb.ps}
\vspace*{5mm}
\end{figure}](/articles/aa/full_html/2010/05/aa13147-09/Timg25.png)
![\begin{figure}
\par\includegraphics[angle=-90,width=7.5cm,clip]{13147fgc.ps}
\end{figure}](/articles/aa/full_html/2010/05/aa13147-09/Timg61.png)
![\begin{figure}
\par\includegraphics[angle=-90,width=7.5cm,clip]{13147fgd.ps}
\end{figure}](/articles/aa/full_html/2010/05/aa13147-09/Timg62.png)
![\begin{figure}
\par\includegraphics[angle=-90,width=7.5cm,clip]{13147fge.ps}\vspace*{6mm}
\end{figure}](/articles/aa/full_html/2010/05/aa13147-09/Timg63.png)
![\begin{figure}
\par\includegraphics[angle=-90,width=6.25cm,clip]{13147fgf.ps}
\vspace*{-3mm}
\end{figure}](/articles/aa/full_html/2010/05/aa13147-09/Timg64.png)
![\begin{figure}
\par\includegraphics[angle=90,width=8.6cm,clip]{13147fgg.ps}\hspace*{1mm}
\includegraphics[angle=90,width=8.6cm,clip]{13147fgh.ps}
\end{figure}](/articles/aa/full_html/2010/05/aa13147-09/Timg71.png)
![\begin{figure}
\par\includegraphics[angle=90,width=8.6cm,clip]{13147fgi.ps}\hspa...
...cludegraphics[angle=90,width=8.6cm,clip]{13147fgj.ps}
\vspace*{4mm}
\end{figure}](/articles/aa/full_html/2010/05/aa13147-09/Timg72.png)
![\begin{figure}
\par\includegraphics[angle=90,width=8.6cm,clip]{13147fgk.ps}\hspa...
...udegraphics[angle=90,width=8.6cm,clip]{13147fgl.ps}
\vspace*{1.5mm}
\end{figure}](/articles/aa/full_html/2010/05/aa13147-09/Timg73.png)
![\begin{figure}
\par\includegraphics[angle=90,width=9cm,clip]{13147fgm.ps}\hspace*{2mm}
\includegraphics[angle=90,width=9cm,clip]{13147fgn.ps}
\end{figure}](/articles/aa/full_html/2010/05/aa13147-09/Timg74.png)
![\begin{figure}
\par\includegraphics[angle=90,width=9cm,clip]{13147fgo.ps}\hspace...
...includegraphics[angle=90,width=9cm,clip]{13147fgp.ps}
\vspace*{6mm}
\end{figure}](/articles/aa/full_html/2010/05/aa13147-09/Timg75.png)
![\begin{figure}
\par\includegraphics[angle=90,width=8.8cm,clip]{13147fgq.ps}\hspa...
...cludegraphics[angle=90,width=8.8cm,clip]{13147fgr.ps}
\vspace*{1cm}
\end{figure}](/articles/aa/full_html/2010/05/aa13147-09/Timg76.png)
![\begin{figure}
\par\includegraphics[angle=90,width=8.6cm,clip]{13147fgs.ps}\hspa...
...cludegraphics[angle=90,width=8.6cm,clip]{13147fgt.ps}
\vspace*{4mm}
\end{figure}](/articles/aa/full_html/2010/05/aa13147-09/Timg77.png)
![\begin{figure}
\par\includegraphics[angle=90,width=8.4cm,clip]{13147fgu.ps}\hspa...
...cludegraphics[angle=90,width=8.4cm,clip]{13147fgv.ps}
\vspace*{4mm}
\end{figure}](/articles/aa/full_html/2010/05/aa13147-09/Timg78.png)
![\begin{figure}
\par\includegraphics[angle=90,width=8.6cm,clip]{13147fgw.ps}\hspa...
...cludegraphics[angle=90,width=8.6cm,clip]{13147fgx.ps}
\vspace*{8mm}
\end{figure}](/articles/aa/full_html/2010/05/aa13147-09/Timg79.png)