Issue |
A&A
Volume 513, April 2010
|
|
---|---|---|
Article Number | A47 | |
Number of page(s) | 16 | |
Section | Astrophysical processes | |
DOI | https://doi.org/10.1051/0004-6361/200913169 | |
Published online | 23 April 2010 |
Low magnetic-Prandtl number flow configurations for cold astrophysical disk models: speculation and analysis
O. M. Umurhan1,2
1 - Astronomy Unit, School of Mathematical Sciences, Queen Mary
University of London, London E1 4NS, UK
2 -
Astronomy Department, City College of San Francisco,
San Francisco, CA 94112, USA
Received 24 August 2009 / Accepted 28 January 2010
Abstract
Context. Simulations of astrophysical disks in the shearing
box that are subject to the magnetorotational instability (MRI) show
that activity appears to be reduced as the magnetic Prandtl
number
is
lowered. It is therefore important to understand the reasons for
this trend, especially if this trend is shown to continue when higher
resolution calculations are performed in the near future. Calculations
for laboratory experiments show that saturation is achieved through
modification of the background shear for
.
Aims. Guided by the results of calculations appropriate for laboratory experiments when
is very low, the stability of inviscid disturbances in a shearing box
model immersed in a constant vertical background magnetic field is
considered under a variety of shear profiles and boundary conditions in
order to evaluate the hypothesis that modifications of the shear bring
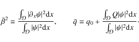
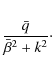
about saturation of the instability. Shear profiles q are given by the local background Keplerian mean, q0, plus time-independent departures, Q(x), with zero average on a given scale.
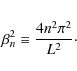
Methods. The axisymmetric linear stability of inviscid magnetohydrodynamic normal modes in the shearing box is analyzed.
Results. (i) The stability/instability of modes subject to
modified shear profiles may be interpreted by a generalized Velikhov
criterion given by an effective shear and radial wavenumber that are
defined by the radial structure of the mode and the form of Q. (ii) Where channel modes occur, comparisons against marginally unstable disturbance in the classical case, Q=0,
shows that all modifications of the shear examined here enhance mode
instability. (iii) For models with boundary conditions mimicing
laboratory experiments, modified shear profiles exist that stabilize a
marginally unstable MRI for Q=0. (iv) Localized normal
modes on domains of infinite radial extent characterized by either
single defects or symmetric top-hat profiles for Q are also
investigated. If the regions of modified shear are less (greater)
than the local Keplerian background, then there are (are no)
normal modes leading to the MRI.
Conclusions. The emergence and stability of the MRI is sensitive
to the boundary conditions adopted. Channel modes do not appear to be
stabilized through modifications of the background shear whose average
remains Keplerian. However, systems that have non-penetrative
boundaries can saturate the MRI through modification of the background
shear. Conceptually equating the qualitative results from laboratory
experiments to the conditions in a disk may therefore be misleading.
Key words: accretion, accretion disks - magnetohydrodynamics (MHD) - instabilities - protoplanetary disks
1 Introduction
After almost 40 years of investigation the source of the anomalous transport in accretion disks still remains an open question. As it is mostly assumed that the transport is a reflection of some underlying turbulent state, identification of its source mechanism and process has been the focus of much research activity. A leading candidate mechanism is the magnetorotational instability (Balbus & Hawley 1991).
The magnetic Prandtl number (),
i.e. the ratio of a fluid's viscosity to its magnetic diffusivity,
appears to play an important role in the ability of the MRI to drive a
fully-developed turbulent state. Recently resolved simulations of the
MRI in a shearing box environment (e.g. Lesur & Longaretti 2007; Fromang et al. 2008) show the appearance of a turbulent state for moderately high Reynolds numbers (Re) when
is an order 1 quantity or higher. However, the amount of transport delivered by the MRI appears to depend on
:
as this quantity decreases the vigor of the turbulent state decreases and if
drops below some critical value, then the turbulence appears to vanish altogether.
Estimates of the properties of cold astrophysical disks, like protoplanetary disks, show
that their characteristic 's are on the order of 10-6
at best and that the MRI may be operating only in the disk's corona as
its ionization fraction is sufficient to merit an MHD description
there rather than near the disk midplane (see Balbus & Henri 2008,
and references therein). Thus, the fate of the MRI in disk
environments, in which the magnetic Prandtl number is
characteristically small, remains to be settled.
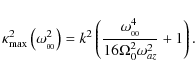
It is not clear why turbulent transport appears to vanish in numerical experiments when weakens.
One possibility may be that under those conditions the MRI cannot grow
sufficiently to excite a secondary transition that would, in turn,
open the way to a turbulent cascade. Theoretical considerations of the
MRI for restrictive configurations like laboratory experiments with
cylindrical geometry predict that a low
sheared fluid undergoing the MRI settles onto a pattern state whose momentum transport scales as
(
)
where
-
in other words, saturation of the instability is sensitive to the
microscopic viscosity of the fluid. This counterintuitive result is
rationalized by noting that a weak fluid viscosity
means that it takes very little effort to readjust the underlying flow
profile and establish a new
shear in which the instability cannot operate. The stronger the
viscosity, then, it becomes more difficult for the fluid to shut
off the shear and the instability may operate unabatedly during the
fluid's nonlinear development and eventual cascade to turbulence via
secondary instabilities (e.g. parasitic instabilities, Xu &
Goodman 1994).
In the idealized quasi-linear study of Knobloch & Julien
(2006) it was shown that in the limit of very large hydrodynamic and
magnetic Reynolds numbers (i.e. Re 1 and Re
1
respectively) the azimuthal velocity profile tips over to shut off the
instability by establishing a new velocity profile which reduces the
shear throughout the domain. Their analysis shows that in the limits
where Re
and Re
the resulting net velocity profile tends toward zero shear. Examinations of the thin-gap Taylor-Couette system in the low
limit (Umurhan et al. 2007a,b)
show that once the system reaches saturation, the resulting velocity
field within large mid-portions of the experimental domain is
characterized by weakened shear. However these regions, where the
tendency toward instability is reduced, are sandwiched by regions of
strengthened shear, where the tendency toward instability is enhanced.
Nonetheless, the aggregate configuration results in a profile that is
stable against the MRI or any secondary instability and the system
settles onto non-turbulent pattern state. Equally relevant is that in
this pattern state the amplitudes of all fluid quantities, except the
modified shear,
scale as some power of
.
By comparison the modification of the shear is an order 1 quantity. Thus, in the limit where
becomes very small only the modification to the background shear
appears as a noticeable response in the idealized studies of the
laboratory setup.
Because resolved shearing box numerical experiments of high Re and low
flows appropriate for cold astrophysical disks
is currently out of reach, speculation at this stage is justifiable.
In particular, what may be the effective azimuthal velocity
profile of high Re and low
disks (or their sections)? As Ebrahimi et al. (2009)
recently note, quasi-linear saturation of the shear profile might be an
unreasonable expectation given that the strong gravity tends to restore
the shear profile within disks. However, the theoretical results of the
thin-gap Taylor-Couette system and the quasi-linear studies, together
with the objection of Ebrahimi et al., point to a possible hybrid
scenario: what if the velocity profile of a low
disk
is on average Keplerian but locally exhibits alternating zones of very
weak (or no) shear and very strong shear? This hypothetical
configuration of the azimuthal velocity profile, an example of which is
depicted in Fig. 1, might very well be driven into place by the MRI under very low
situations. The recent studies of Julien & Knobloch (2006) and Jamroz et al. (2008) argue for the relevance of this scenario.
This study is an examination of the axisymmetric linear stability of
incompressible ideal magnetohydrodynamic disturbances in a shearing box
threaded by a constant vertical magnetic field
and characterized by a variety of mean velocity profiles, including an
extreme instance of the one appearing in Fig. 1.
Such configurations might be representative of real astrophysical disks characterized by very small values of
.
Guided by the low
results of Knobloch & Julien (2005) and Umurhan et al. (2007a,b), the analysis undertaken in this study is inviscid. The only low
effect
that is included here is the possibility that the fundamental shear
profile is significantly modified. This altered shear profile may be
easily included into the equations of motion as any radially dependent
barotropic steady shear profile is a permitted equilibrium flow
solution of the small shearing-box equations.
The range of questions that figure prominently are:
(i) what happens to the unstable mode leading to the MRI when
there are departures of the steady shear from the background Keplerian
state? (iii) How does the nature or existence of unstable modes
depend upon the radial boundary conditions of the shearing box
(e.g. whether it is open or periodic in the radial direction)?
(ii) Can one infer a possible reason or explanation for why
turbulence seems to vanish in numerical experiments
of the shearing box when
is small?
This work is organized as follows: in Sect. 2 the equations of motion are laid out and the framework within which the stability analysis is discussed. Section 3 develops the profiles for the steady state for given modifications of the background shear while in Section 4 the normal mode stability analysis is developed and the governing ODE is derived including a statement of the generalized Velikhov criterion (Velikhov 1959). Section 5 presents the results of the stability analysis for a variety of boundary conditions and shear profiles and their forms. The implications of the results are discussed in the final section.
![]() |
Figure 1: Qualitative depiction of
a hypothesized mean rotational velocity profile for a low magnetic
Prandtl number disk suggested by Jamroz et al. (2008).
The dashed line shows the usual Keplerian velocity profile describing a
rotationally supported disk. The mean velocity profile resulting from
the saturation of the MRI in the low |
Open with DEXTER |
2 Equations of Motion
The small shearing box equations (SSB, Lesur & Longaretti 2007; Regev & Umurhan 2008) are adopted which are the incompressible incarnation of the usual shearing box equations (Goldreich & Lynden-Bell 1965).
Their usage is justified as compressibility is an inessential feature
for the MRI. The box is moving in a rotating frame moving with the
local Keplerian velocity
. The length scales of the box are measured by a size
which is much smaller than the radial scale of the disk
.
On these scales, the background Keplerian shear appears as a linear
Couette flow profile. Time units are scaled by the local rotation time
of the disk
,
as measured at the fiducial radius
,
implying that the velocities of interest are scaled by
.
Given this, the disparity of the ratio of the
local disk soundspeed to the Keplerian speed (since the gas is relatively cold), and the assumption that the scale
is much less than the vertical scale height of the disk, the flow dynamics
have the character of incompressible rotating magnetic Couette flow. Magnetic fields are
scaled by a reference field scale
and the density is
.
These quantities form a velocity defined to be the Alfven speed via
.
Furthermore the Cowling number is defined

which may be considered as related to the inverse-square of the ``


in which




which is equal to 3/2 for rotationally supported Keplerian disks. This is the value assumed for q0 throughout the remainder of this work. The magnetic field is given by the vector


![[*]](/icons/foot_motif.png)
3 Steady state
It is assumed that the fluid is of constant density
and the fluid is threaded uniformly throughout by a constant vertical magnetic field, i.e.
.
The current source of this background field is taken to be external to
the domain. As stated in the Introduction the steady velocity
field that represent departures to the Keplerian shear are taken as
given and represented by U(x). The total mean velocity is written as V(x) which is the sum of the Keplerian portion
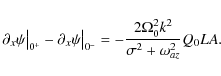
and the departures U. Thus the steady state configuration requires satisfying the radial momentum balance which becomes
![]() |
(5) |
in which the total mechanical and magnetic pressure is given by

where p0 is the steady state mechanical pressure field. For the model analyzed here where Bz is constant, the steady pressure field p0 is related to the azimuthal velocity departures by
The above expression represents a radially geostrophic state. Note that the solutions to p0 are smooth and well behaved so long as

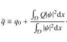
q = q0 + Q, | (7) |
where


where

4 Linear theory
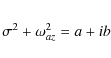
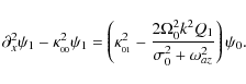
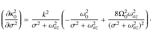
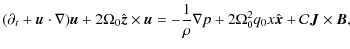
Axisymmetric infinitesimal disturbances about the steady state shaped by q(x) are introduced into the governing equations of motion (1-4) revealing,
in which u',v' w' and p' denote perturbations in the radial, azimuthal vertical velocities and pressures, respectively, while b'x,y,z represent perturbations in the magnetic field components. It should be recalled that q(x) is unspecified at this stage. However the existence of a steady state is assumed for a given reasonable q(x) profile. Normal mode perturbations are assumed which are periodic in the vertical direction. A perturbation variable f'(x,z,t) is thus expressed via the ansatz




Similarly the expression (12) and (14) allow for the definition of a flux function



Utilizing these definitions, the linearized perturbation equations are
reduced to a single one for the streamfunction (wherein and henceforth
the primes are dropped),
in which
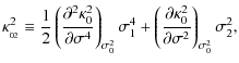
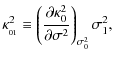
where



The solutions to this system is governed by several parameters including the vertical wavenumber k, the Cowling number,

Before proceeding to these results it is important to keep in mind a number of matters. First,
Knobloch (1992)
showed that for vertical field configurations like that considered
here, together with boundary conditions in which individual
disturbances or their combinations are zero on the boundaries, the
character of the normal mode response of the MRI is that
is either real (growing/decaying exponential modes) or imaginary (oscillating modes), but never complex
. A version of the argument leading to this conclusion is given in Appendix A. Thus when the character of the fluid response is analyzed,
will be taken as
Reals. The relevance of this observation is that as a function of the
system's parameters, a mode becomes unstable by passing through
,
sometimes known as exchange of stabilities (Chandrasekhar 1961).
As such, in some instances the stability analysis of this
system will focus on identifying which mode becomes marginal
(i.e.
)
and under which parameter conditions.
Secondly, the very same integral argument developed in Appendix A
also leads to a general statement about the relationship between the
temporal response and the structure of the modes in the domain,

and, evidentally,


One immediate consequence of this is that if


![]() |
(21) |
The above expression cannot be satisfied if


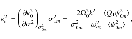
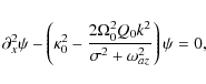
5 Results
5.1 Classical MRI modes and channel solutions: a review
The classical system is recovered for Q=0. This means that
is independent of x and
Solutions of (15) are sought on a periodic domain L and are given in general by
![]() |
(23) |
where A and



![]() |
(24) |
which has the solution

in which



The solutions for the temporal response, written in terms of respected pairs, is given by
The solutions associated with the ``-'' branch are termed the hydrodynamic inertial (HI) modes while those associated with the ``+'' are the hydromagnetic inertial (HMI) modes (viz. Acheson & Hide 1973). For a given mode n, the magnetorotational instability occurs for the latter of these provided that

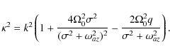
The background field must be sufficiently weak for the HMI-modes to be unstable.
For given values of
the absolute minimum criterion required for instability to set in (i.e. for the mere possibility of
)
is when n=0, i.e.
,
and the condition in (27) predicts this to happen if,
(Velikhov 1959; Acheson & Hide 1973). This particular special mode, in which its radial structure is uniform, is generally referred to in the literature as the channel mode which describes purely 2D flow with no vertical velocity. The temporal response in this case is given by

When unstable (for the HMI-mode branch) this radially uniform mode plays the central role in the development of MRI induced turbulence in numerical experiments. If 2-q0 > 0, then the expression for

The combination expression

It should be noted that for Q=0 there are no localized normal modes possible for a domain which is infinite in extent. Put in another way, there is no solution of (15) for modes on an infinite domain with both (a) all quantities going to zero as
and (b)
is constant as given in (22).
5.2 Weak shear variations on a finite domain: 0 < Q
1
In this section weak shear variations are considered whose average are zero on the domain L. Before proceeding a caveat ought to be stated. Despite the spatially periodic nature of the shear Q,
the analysis necessary to determine the temporal response uses a
multiple time-scale analysis. When periodic boundary conditions are
imposed, as they are in Sect. 5.2.3, the multiple
time-scale analysis is akin to a Floquet analysis. In this
instance a long-time scale behavior
(in the form of correspondingly weak corrections to the temporal
response )
must be invoked in order to ensure that the resulting perturbation solutions remain periodic on the length scale L.
For boundary conditions other than periodic ones
(Sects. 5.2.1 and 5.2.2), the multiple-time scale
analysis employed is a generic procedure involving perturbation series
expansions and imposition of solvability conditions at successive
perturbation orders (Bender & Orszag 1999).
The role of the solvability conditions is to make sure that higher
order perturbation solutions satisfy the boundary conditions of
the system.
The shear with zero average on the domain of length L may be decomposed into the Fourier series expansion
where the parameter


![]() |
(32) |
Solutions of this are developed in a singular perturbation series expansion in powers of

![]() |
|||
![]() |
|||
![]() |
(33) |
Given the definition of


![]() |
||
![]() |
(34) |
wherein
![]() |
(35) |
The possibility that


and to order

The order


5.2.1 Channel conditions
Channel conditions require that the perturbed radial velocity is zero at the boundaries .
This, in turn, amounts to requiring that
at these positions, or in terms of the perturbation variables

The lowest order solution is given by
and where






Given the functional form of
found in (22), these relationships imply that
is equal to the functional form
found in (26) except with
replaced by
,
i.e.
.
The stability of these modes is now a function of the mode number m and, henceforth, the summation sign in (38) will be dropped and it shall be henceforth understood that when reference is made to
,
a particular eigenmode mode m
will be analyzed. At the next order it can be seen that in order
to have solutions that satisfy the boundary condition that
at the two endpoints, the terms on the RHS of (37)
must satisfy a particular solvability condition which will relate the correction
to the variation Q1. This is seen by multiplying (37) by
given in (38) and integrating the result across the domain from -L/2 to L/2
. In a general sense, then, one finds,
![]() |
(39) |
in which the bracket notation is
![]() |
(40) |
It follows that
in which

The denominator term of


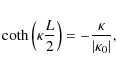
For illustration consider the m=1 mode (which is also the most unstable one) near marginality in the limit where kL is very large. In order for
to be nearly zero it must be that
,
cf. (28). It follows that the correction for this mode,
, is given approximately by the solution to
![]() |
(42) |
where the last equality is established because the marginal mode,

![]() |
Figure 2: The n=1 component of the shear profile (31). The solid line q1 = 1 and the dashed line q1 = -1. For problems in which channel wall conditions are imposed the solid line corresponds to a stable deviation profile while the dashed line corresponds to an unstable profile. The situation is reversed when fixed-pressure boundary conditions are imposed. |
Open with DEXTER |
5.2.2 Pressure conditions
An analysis of (10) and (14) shows that the total magnetic plus mechanical pressure perturbations are proportional to the radial gradient of i.e.,
![]() |
(43) |
Fixing the total pressure at the boundary in a Lagrangian sense (Curry et al. 1994) is equivalent to setting to zero the above expression at


![[*]](/icons/foot_motif.png)

which is very similar in form to (38) except that the solution in the domain is composed of even functions and the series includes the mode with m=0, which is the classical channel mode. The correction to the temporal response for all values of

which is the negative of the solution found in (41). As Fig. 2 indicates, this result says that shear profiles in a channel configuration that promote stability (instability) play a destabilizing (stabilizing) role for configurations with fixed-pressure boundary conditions.
However the m=0 mode is a special case which requires a separate analysis. In its simplest guise, the channel mode
is a constant with respect to x. Because of the periodicity of Q1 it means that
= 0 and the analysis advanced up until this point to evaluate the correction
shows that it will be zero at this order. Thus given this and the fact that
the solution must be expanded according to,
![]() |
|||
![]() |
|||
![]() |
(46) |
![]() |
(47) |
where


The first of these says that the lowest order solution which satisfies the boundary condition is a constant

where
![]() |
= | ![]() |
|
![]() |
(52) |
In other words the solution






However, given the relationship between

![]() |
(53) |
Given that for HMI modes

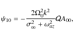
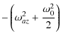
the above solvability condition says something remarkable: that the channel mode is always destabilized no matter what Q1 happens to be. By contrast, values of qn may be chosen so that each eigenmode of the system with non-trivial radial structure (i.e. m>0) may be stably influenced by the shear Q1, yet, there is no such configuration of the disturbed shear flow that can act to stabilize a channel mode. This result, above all others, emphasizes the important uniqueness of these modes. Also worth noting is that while the corrections to the growth rates of all modes (except m=0) is proportional to


5.2.3 Periodic conditions
Solutions of
that are periodic on the domain L are given by
where




As in the previous section, the correction



![]() |
(56) |
with
![]() |
(57) |
Imposing periodic boundary conditions also implies that there are values of the coefficients of the perturbed shear Q1 which can be chosen to promote stability for all the modes of the system except for the channel mode. For example, for the m=1 mode and given its relative phase

5.3 Single shear defect on an infinite domain: localized disturbances
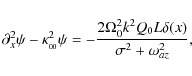
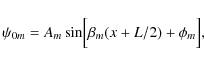
A profile with a single shear defect located at x=0 is represented by the delta-function profile
The corresponding departures from the mean Keplerian shear profile U is given by
![]() |
(59) |
If


where



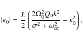
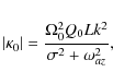
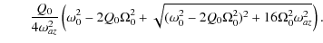
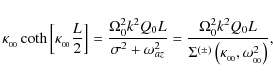
Putting in the solutions for the respective domains gives the quantization criterion
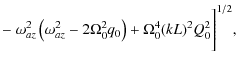
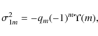
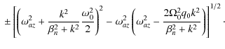
Solutions of the above equation are constrained to two possibilities: (i) if Q0 < 0, then



The solution of (62) is obtained by first taking the square of both sides of (62) yielding,
However one must be careful in interpreting the solutions of this simplified equation. Naively solving (63) will yield twice as many solutions than are allowed. This overcounting is corrected by requiring that only those solutions of (63) that satisfy

are permitted or else (62) cannot be satisfied. Solutions of (62) are,
![\begin{eqnarray*}\sigma^2 + \omega_{az}^2 =
\small\mbox{$\frac{1}{2}$ }
\left[
-...
...(Q_0^2 k^2 L^2 \Omega_0^4 + 4\Omega_0^2 \omega_{az}^2)}
\right].
\end{eqnarray*}](/articles/aa/full_html/2010/05/aa13169-09/img254.png)
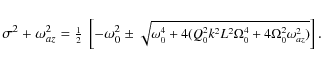
Because the term inside the radical sign is always greater than zero for q0>0, the ``+'' branch of the above expression is always greater than zero while the ``-'' branch is always less than zero. Thus the ``+'' branch is the permitted solution for Q0>0 while the ``-'' branch is the allowed one for Q0<0. Incorporating this formally yields the expression
![\begin{eqnarray*}\sigma^2 + \omega_{az}^2 =
\small\mbox{$\frac{1}{2}$ }
\left[
-...
...(Q_0^2 k^2 L^2 \Omega_0^4 + 4\Omega_0^2 \omega_{az}^2)}
\right].
\end{eqnarray*}](/articles/aa/full_html/2010/05/aa13169-09/img255.png)
Rewriting the terms appearing in the interior of the radical sign leads to finally,
which is similar in content to the classical channel mode dispersion relation (29) except for the fact that at any one time there exists only one branch of modes as a possible normal mode solution. The MRI mode only manifests as a normal mode when Q0 > 0 and its growth rate is enhanced by the defect.
5.4 Symmetric shear step on an infinite domain: localized disturbances
A finite version of the shear profile evaluated in the previous section is,
This profile for Q has a top-hat structure and this descriptor will be used interchangeably with the expression symmetric shear step. Evidentally the value of the integral,

![]() |
(66) |
The solutions in the region where x<-L/2 is given by
![]() |
(67) |
while for x>L/2
![]() |
(68) |
together with the constraint that

![]() |
(69) |
which has the two linearly independent solutions
![[*]](/icons/foot_motif.png)
in which
The functional form
in which
![]() |
|||
![]() |
(73) |
is introduced in order to make the following discussion more transparent. The







![]() |
(74) |
In all of the numerical solutions calculated below it is found that, indeed, all the solutions determined satisfy

Imposing the conditions that the streamfunction and its first derivative match across the two boundaries
reveals that normal mode solutions exist provided the following condition is satisfied
![]() |
(75) |
The terms in the first bracket represent a quantization condition for odd-parity modes, which is to say that in the dimpled region
![$\psi_0 \sim \sinh [\kappa x]/\kappa$](/articles/aa/full_html/2010/05/aa13169-09/img275.png)
![$\psi_0 \sim\cosh[\kappa x]$](/articles/aa/full_html/2010/05/aa13169-09/img276.png)
Attention is first given to the even-parity mode in which the quantization condition,

must be satisfied for some value of






now with the constraint for the existence of localized normal modes is re-expressed as
The strategy for obtaining a solution is as follows: find the values of










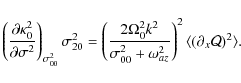
The even-parity mode limits to the single-defect configuration discussed in Sect. 5.3 for small values of the parameter L. Analysis of (76) in this limit shows that,

which, after restoring the definition of


where the definition of



which is the quantization condition for the single-defect problem on the infinite domain, (62). The range of values for Q0 and L for which this limiting form agrees with the actual result of the quantization condition is shown in Fig. 3, where


![]() |
Figure 3:
The temporal response resulting from the quantization condition (76) as a function of kL (solid line) compared to the quantization condition (62) for defect profile (dashed line). For both plots
|
Open with DEXTER |
Additionally, for small values of kL there is always at
least one normal mode expected, whether it be the HI or HMI mode.
However, as the horizontal length of the symmetric step profile
increases, the number of permitted normal modes increases as well
(Fig. 4). Similar behavior is predicted for modes which are localized in the vertical direction of the disk (Liverts & Mond 2009). As the number of permitted normal modes increases their
values will cluster (countably as
)
around the maximum value
![]() |
||
![]() |
(78) |
Odd-parity modes are interesting since they have no analogues in the single defect profile studied in the previous section. Examining the quantization condition for it,

shows that there are no real solutions of


Inspection of the condition (79) shows that for there to exist a normal mode


![$\tan[\tilde \kappa L/2]/\tilde\kappa$](/articles/aa/full_html/2010/05/aa13169-09/img303.png)

![]() |
(80) |
and, using the definition for

Note that the inclusion of the expression


![]() |
Figure 4:
Plot showing the increase of allowed normal modes with
domain size L. In all plots
|
Open with DEXTER |
It should be noted that as in the previous section unstable localized MRI normal modes (HMI-modes) can exist only if the step function in the shear is greater than zero. If the step is negative (indicating a region of weakened shear), then there are no HMI types of localized normal modes admitted by the configuration and, hence, there is no possibility of normal mode unstable disturbances.
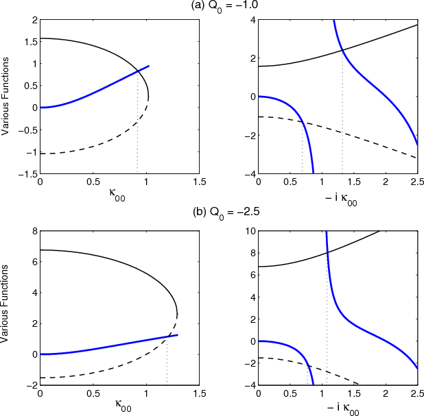
5.5 Single shear defect on a periodic domain
Next a shear defect of the form
![]() |
(82) |
is considered on the periodic domain



where

![]() |
(84) |
Similar to what was done in the previous sections, one may express



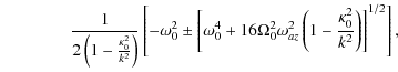
in which the shear modified epicyclic frequency is defined as



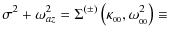
where




It should be kept in mind that the quantities






![]() |
(88) |
Values of






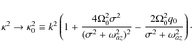
The limit where
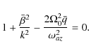
recovers the classical limits discussed in Sect. 5.1. In that case channel modes, i.e. those modes for which
,
are the most unstable. In the current setting this corresponds to
when Q0 = 0. Additionally, for
the channel mode is exactly
marginal for Q0 = 0, viz. the arguments leading to (28). This value for
will be assumed so that a controlled analysis may be carried out in which
one can track how varying Q0 affects the stability characteristics of an otherwise marginal channel mode.
Figures 5, 6 show the graphical solutions of (87)
with some details of the results. The main result is that the mode that
is identified with the classical channel mode in the ideal limit always
exhibits exponential temporal growth no matter what amplitude the shear
defect takes. Figure 7 shows that the temporal response of the classical channel mode is maximal for Q0 = 0 and that as Q0 moves away from zero instability is predicted. The mode exhibits an exponentially decaying spatial character (
)
for Q0 > 0, while it is weakly oscillatory (
)
for Q0 < 0. This general trend persists for a wide range of kL values.
As such, the results depicted in these figures can be taken to be
qualitatively representative. The figures also indicate that the
unstable HMI mode can also turn into an unstable HI mode if
the amplitude of Q0 becomes large enough.
![]() |
Figure 5:
Graphical solutions for the quantization condition (87). Attention restricted to real values of
|
Open with DEXTER |
![]() |
Figure 6:
Similar to Fig. 5 except negative values of Q0 are investigated. In all plots |
Open with DEXTER |
5.6 Single shear defect on finite domain: channel boundary conditions
This section is concerned with the response of disturbances to a Q configuration that is exactly like that considered in Sect. 5.5, where the difference now is that the disturbances are set to zero at the boundaries
.
This is equivalent to enforcing zero normal velocity at the boundaries. Thence,
in this case is
where just as in the previous section,


in which




![]() |
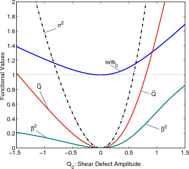
Figure 7:
Behavior of the classical channel mode as a function of defect amplitude Q0 for |
Open with DEXTER |
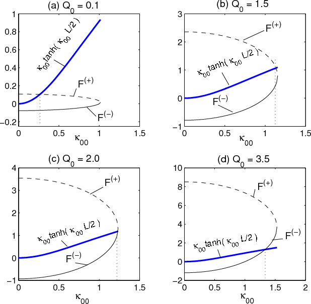
In Fig. 8 the
stabilizing behavior of the shear defect on the HMI modes is
depicted for the most unstable mode of the system. The results from the
weak shear limit discussed in Sect. 5.2.1
are used as a reference point to help interpret the following.
From the classical theory discussed in that section it was established
that the most unstable normal mode allowed is the one in which m=1, in turn implying
.
Reference to (27) shows that this mode is marginally stable when
(This is obtained by replacing










![]() |
Figure 8:
The behavior of the first unstable (HMI) mode for the problem
with channel walls (q0 = 3/2). The values of
|
Open with DEXTER |
6 Discussion
This study is devoted to examining the axisymmetric inviscid linear response of a shearing sheet environment threaded by a constant vertical magnetic field for an array of different shear profiles. The motivation for considering this setup are restated from the Introduction:
- 1.
- Numerical experiments of low magnetic Prandtl number flows appropriate for cold disk environments are outside current computational reach.
- 2.
- Current numerical experiments seem to show the trend that as
is lowered so is the corresponding angular momentum transport. The reasons for this is not yet clear.
- 3.
- Theoretical analysis of laboratory setups evaluating the
response of the MRI subject to a vertical background field find
that transport is reduced with
. Furthermore this reduction emerges through the modification of the basic shear profile (e.g. Taylor-Couette) inside the experimental cavity which, in turn, is driven into place by the MRI itself. The final condition is a stable pattern state.
- 4.
- In the final pattern state reached by the model laboratory system the modified shear profile's amplitude is independent of
. This is not true of the remaining fluid and magnetic quantities which scale as
with typical values
. As
is made very small one would observe a fluid state characterized by a uniform background magnetic field and an azimuthal flow showing deviations from a Keplerian state.
- 5.
- The main mode of instability and driver of turbulence in the numerical experiments of the shearing box is the channel mode which is a special response with no radial structure. This mode precipitates a secondary instability which is understood to lead to a turbulent cascade. There is no channel mode allowed in a setup appropriate for a laboratory experiment.

The main difference between the laboratory setup and numerical calculations of the shearing box are their respective boundary conditions. The numerical experiments adopt periodic boundary conditions while the calculations for the laboratory experiments require no normal flow conditions at an inner and outer radius and the former of these permits channel modes to come into play.
Thus, what has been done here is a simple model calculation in
which a shearing box configuration
with a constant background vertical magnetic field is tested for
stability for a number of different shear profiles. The perspective
taken is that if there exists a shear profile (say, whose average
over some length scale is zero) that is stable to the MRI, then it
would strongly suggest that low
flow configurations might saturate the MRI by driving into place a new azimuthal flow profile which leads to saturation.
What is found here is something very interesting. For flow configurations in which no-normal flow conditions are imposed at both radial boundaries (Sects. 5.2.1 and 5.6) there exists a modification to the shear in which the most unstable MRI mode is stabilized. However, for flows in which periodic boundary conditions (Sects. 5.2.3 and 5.5) or fixed Lagrangian pressure conditions (Sect. 5.2.2) are imposed there are no modulations of the shear which shut off the instability. In these cases, all modifications of the shear (with zero mean on some radial length scale) seem to enhance instability of the channel mode. For example, if the given channel mode is marginally stable to exponential growth, then introduction of the modified shear, no matter what is its non-zero amplitude, seems to destabilize it as the results of Sects. 5.2.3 and 5.5 indicate.
This strongly implies that in those numerical experiments in which a shear is threaded by a constant vertical magnetic field, the shear modification/MRI-stabilization process may only apply for those flow conditions in which there is no normal flow on either one or both radial boundaries of the system.
On the other hand, for a similar magnetized fluid configuration
described by periodic boundaries which therefore permits channel modes
to exist, modifications of the shear appears to further
destabilize the channel mode. If one were to consider a flow
configuration (e.g. the local Keplerian profile in a shearing box
threaded by a constant background field) that admits an unstable
channel mode, then there seems to be no modification of the shear with
zero mean that would saturate the
growth of the channel mode since all such modifications further enhances its destabilizing influence.
The emergence of a pattern state leading to saturation like the one
envisioned by the hypothesis would seem to be out of the question under
these circumstances. Moreover this suggests that the tendency for
angular momentum transport reduction with
,
as indicated by numerical experiments of the shearing box,
is due to some other process or processes (which are not discussed
here).
These issues deserve further investigation as the conclusions reached here were done so utilizing very simple functional forms for the shear profile Q. Namely, the analysis performed in the previous sections either assumed weak values of Q, in order to use singular perturbation theory techniques, or that Q is described by delta-functions (see also below). Use of these functions, which greatly facilitate analysis, have offered some insights into the nature of the responses of these modes. Of course, further investigation would require considering more physically realizable profiles and to check the robustness of the results they yield against the ones offered by use of these more simplified forms. As such the results reached here can serve as guideposts for further enquiries along these lines.
In the following some reflections are presented on other issues pertaining to the implications of the calculations performed here.
6.1 On the use of delta-functions
A comparison between the responses of a single delta-function shear profile on an infinite domain (Sect. 5.3) and a top-hat profile for Q (Sect. 5.4) show that the results of the two configurations are qualitatively similar. Although the symmetric step function allows for more normal modes to exist as its radial extent is increased - a feature which is missed if one uses the delta-function prescription - the qualitative flavor of the response is captured by its use nevertheless.
Another deficiency found in using the defect prescription is that for the top-hat profile studied in
Sect. 5.4
there are both even and odd parity normal modes possible whereas only
the even-parity mode is admitted in the defect model. The odd-parity
mode has no counterpart in the single defect model. It was
also shown that the odd-parity mode may exist if the radial domain of
the symmetric shear step is large enough as (81) indicates that the minimum size of the domain required for this mode to exist has the proportionality
.
For small values of the defect amplitude the minimum size of the shear
step required for this odd-parity mode to exist is so large that one
does not expect that this should play any physically relevant role in
the dynamics if one is interested in the response to narrow regions of
altered shear. It is with some confidence to suppose that it is
reasonable to represent the dynamical response of slender regions of
modified shear through the use of delta-function defects and this is
the motivation and justification
for its use in Sects. 5.5 and 5.6.
6.2 Channel modes
In the small Q theory of Sect. 5.2, it was shown that channel modes exist for periodic boundary conditions and for conditions in which the total pressure perturbations are zero at the two boundaries. Conversely, if either one of the two boundaries force the velocity perturbation to be zero there, then there is no channel mode permitted as a normal mode solution. In light of the previous results it is important that the boundary conditions appropriate for disks be properly ascertained in order to assess and better understand how activity in them are driven.
Channel modes in the classical limit have no radial structure. In Sect. 5.5 the development of this mode was studied as a function of the defect amplitude Q0
and it is shown that though the channel mode develops some amount of
radial structure, as evinced by the non-zero value of its
wavenumber
,
its tendency to be unstable survives and is even enhanced. In Regev & Umurhan (2008)
it was postulated that the channel mode might disappear as a natural
mode of the system if some amount of radial symmetry breaking were
introduced into the governing equations of motion, for instance,
in the form of a radially varying shear profile. However, the
results of this section show that the classical channel mode indeed
persists in its existence despite the introduction of a shear profile
which deviates from the background constant shear state with zero
average over some length scale. These conclusions are consistent with
similar results regarding the nature of the MRI in more global
contexts (Curry et al. 1994).
6.3 On the existence and number of localized normal modes
In Sects. 5.3 and 5.4
the existence of localized modes was examined. Localization is
understood in this case to correspond to modal disturbances which show
exponential decay as the radial coordinate
.
Thus, by construction, incoming/outgoing waves are excluded from consideration
. The existence of localized normal modes depends on the relative sign of the shear defect/step profile Q0: HMI modes exist if the shear in the defect/top-hat region is stronger than the background (Q0 > 0) while HI modes exist if the shear is relatively weakened (Q0 < 0)
- summarized here as

Given that the former mode type leads to the MRI, it means that if the shear in the defect zone is weakened, then there are no localized normal modes which can go unstable as only hydro-inertial modes are supported (which happen to be stable except for very extreme circumstances). Of course, as an initial value problem, it does not mean that there are no hydromagnetic inertial modes permitted but, instead, the mode probably has some type of algebraic temporal growth/decay associated with it which cannot be described by the usual normal mode approach. This needs to be further examined by studying the associated initial-value problem. Similar features are known to exist for vertically localized MRI modes in disks (Liverts & Mond 2009) in which the response of the initial value problem can exhibit exponential growth with an amplitude supporting some algebraic time-dependence. Growth can initially be very small and it can take a very long time for a given disturbance to reach the same amplitude as expected for its counterpart normal mode. A conjecture is that the meaning of the absence of normal modes in the problem considered here may have similar attributes to the features associated with the initial-value problem examined by Liverts & Mond (2009).
Irrespective of this outcome it should be remembered that the dichotomy observed here for modes on an infinite radial domain is a consequence of the imposition of exponential decay of the disturbances. This distinction disappears once waves are allowed to enter and exit from the ``infinite'' boundaries.
Lastly it is also noteworthy that for the localized problems considered here, when normal modes are permitted they usually come as a finite set. This is in contrast to other localized flow problems considered elsewhere in the literature. For example, in the problem of compact rotating magnetized jets in an infinite medium considered by Bodo et al. (1989) a countably infinite number of normal-modes are predicted for that system. This has some origin in the uniformity of both the rotation and magnetic field profiles of the jet considered in that study. By contrast, there are examples in geophysical flows in which the number of normal mode disturbances are discrete and finite. A recent example can be found in the work of Griffiths (2008) where the stability of inertial waves are studied in a stratified rotating flow with strong horizontal shear. For strongly peaked forms of the potential vorticity only a finite set of normal modes are predicted for the system. Such finiteness of the number of normal modes permitted is not so unusual in systems in which background states, like the shear or stratification, have strongly peaked functional forms like they are in the cases studied in this work.
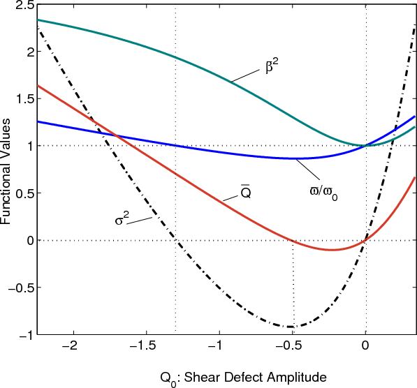
6.4 Stabilization in general and an interpretive tool
The absolute minimum condition that must be met for any normal mode of the system to be unstable
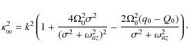
in a configuration with constant shear q0 is given by the Velikhov criterion (28): if the square of the Alfven frequency (
)
is greater than the shear by
,
then none of the HMI modes of the system can be unstable.
For individual modes in the same system with some amount of radial
structure the criterion is given by (27), where
is the square of the radial wavenumber of the disturbance. As can be seen, for fixed values of
there are two ways in which stability may be promoted - either by
weakening the shear or by increasing the radial wavenumber. In the
problem where the shear is constant, these quantities are set from the
outset as parameters.
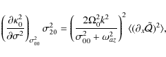
At the end of Sect. 4 there is a series of arguments for arbitrary
shear profiles which lead to the identity found in (18), which is like a generalized eigenvalue condition. This relationship
is the analog of the dispersion condition of the classical limit (uniform q) contained in (25). Care must be adopted before interpreting this expression as an eigenvalue condition since
appears implicitly in
the expressions for
and
.
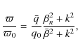
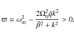
Nonetheless, a parallel analysis shows that stability is promoted if
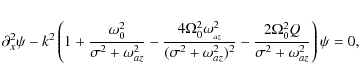
where the effective wavenumber








If one considers the results concerning the problem with periodic boundaries in Sect. 5.5, then the persistent instability expected for channel modes can be understood in terms of this criterion. In the classical limit where the defect amplitude is zero then



![]() |
(93) |
which, for the generalized Velikhov criterion, is a measure of the ratio of the destabilizing term for the shear profile q compared to its nominal value when the shear is only q0: for






Similarly plotted in Fig. 10 is the influence Q0 has upon ,
,
and the stability measure
,
for the single defect problem on a finite domain studied in Sect. 5.6.
The presence of walls filters out the channel mode and the resulting
flow potentially can support shear profiles which can stabilize
the least stable mode. The Figure shows that within the range of
(negative) values of the defect amplitude Q0
for which the mode does not exponentially grow/decay the effective
shear is less than the background shear state only for part of the
stable range. It means to say, then, in that range of
parameter values in which the effective shear is greater than the
background shear, yet there is still stability of the mode,
stabilization is brought through an increased effective radial
wavenumber which over-compensates the increased destabilization brought
about by an increase
in the effective shear.
![]() |
Figure 9:
The behavior of the unstable channel mode for the problem
with periodic boundary conditions examined in Sect. 5.5: |
Open with DEXTER |
![]() |
Figure 10:
The behavior of the least stable HMI mode for the problem with channel walls examined in Sect. 5.6: |
Open with DEXTER |
6.5 Final reflections and an implication
The fundamental basis of this study is the assumption that in low
magnetic Prandtl number flows for model environments like that
considered in this study, the only noticeable outcome of the
development of the MRI is to alter the basic shear profile. All other
quantities, such as magnetic fields and the radial and vertical
velocities, have saturated profiles which scale as some positive power
of
so that for
their contributions become negligible. The basis of this assumed trend
derives from the theoretical calculations of laboratory setups
discussed in the Introduction. It is therefore assumed here that a
similar trend may
appear for configurations in shearing boxes with periodic radial
boundary conditions as well. The perspective taken here with regards to
those configurations is that if this is indeed the case, then one can
(in principle) test the stability of a wide variety of shear
profiles which show deviations (constrained to have a zero average over
some length scale) from the basic Keplerian profile -
configurations which are akin to those predicted from the calculations
of laboratory setups. If a stability calculation shows that
there exists a shear profile which is stable to these axisymmetric
disturbances, then the shear-modification/mode-saturation hypothesis
should become a serious candidate explanation.
However, the calculations done in this study indicate that for periodic shearing box environments there is always an instability of the basic channel mode no matter what shear profile is assumed (satisfying the aforementioned constraints). Unlike the situation for laboratory setups, where saturation can be achieved by altering the basic shear profile, saturation (if present) in shearing box environments with periodic boundary conditions is likely not due to this mechanism.
This further implies that the nonlinear response of systems supporting the MRI stongly depends upon the boundary conditions employed which is not so surprising as many physical systems in Nature exhibit this sensitivity to their boundaries. Thus it seems to this author that some care must be taken before one equates the results of laboratory experiments to those physically related/analogous systems for which the experiments are meant to represent (cf. Ji et al. 2006). This cautionary note is not to diminish the value of one over the other, rather, it is intended to emphasize that there are many subtle and, at times, conflicting features between such systems that must be clearly understood before any firm conclusions are reached.
The author thanks Marek Abramowicz and the organizers of the Asymptotic Methods in Accretion Disk Theory workshop at CAMK (May/June 2009) where the impetus for this work originated. The author also thanks James Cho, Lancelot Kao, Olivier Gressel, Paola Rebusco, Edgar Knobloch and Oded Regev for their generous support and fruitful conversations during the course of this study.
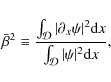
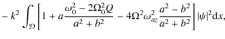
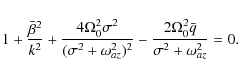
Appendix A: Proof that
is never complex
(15) is rewritten into the form

where



where

The boundary conditions on
are one of the following possibilities: (i)
goes to zero on the domain boundary
provided the latter is finite; (ii)
and its derivative go to zero on the domain boundary if the boundary tends to infinite distances; (iii)
is periodic on a length scale L in the domain
.
Replacing
with a + ib in the equation for
,
followed by multiplication by the complex conjugate of
(i.e.
), integrating the result and applying the boundary conditions gives
where
I1 | = | ![]() |
|
![]() |
(A.2) |
and
![]() |
(A.3) |
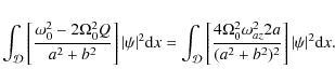
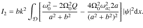
It must be that both I1 and I2 are zero if (A.1) is to be satisfied. Supposing that

![\begin{eqnarray*}\int_{{\cal D}}{
\left[\frac{\omega_0^2 - 2\Omega_0^2 Q}{a^2 + ...
...ga_{{az}}^2 2a}{(a^2 + b^2)^2}\right]\vert\psi\vert^2 {\rm d}x}.
\end{eqnarray*}](/articles/aa/full_html/2010/05/aa13169-09/img382.png)
This result used in the expression for I1 lead to
![]() |
(A.4) |
However all the quantities in the above expression are always positive and, therefore, I1 can never be zero. Consequently b must be zero which, in turn, means that

With b=0 and restoring the definition of a the equation I1 = 0 appears now as
0 | = | ![]() |
|
![]() |
(A.5) |
Dividing the above expression by


References
- Acheson, D. J., & Hide, R. 1973, Rep. Prog. Phys., 36, 159 [Google Scholar]
- Balbus, S. A., & Hawley, J. F. 1991, ApJ, 376, 214 [NASA ADS] [CrossRef] [Google Scholar]
- Balbus, S. A., & Henri, P. 2008, ApJ, 674, 408 [NASA ADS] [CrossRef] [Google Scholar]
- Bender, C. M., & Orszag, O. 1999, Advanced Mathematical Methods for Scientists and Engineers (Springer) [Google Scholar]
- Bodo, G., Rosner, R., Ferrari, A., & Kobloch, E. 1989, ApJ, 341, 631 [NASA ADS] [CrossRef] [Google Scholar]
- Chandrasekhar, S. 1961, Hydrodynamic and Hydromagnetic Stability (Oxford) [Google Scholar]
- Curry, C., Pudritz, R. E., & Sutherland, P. G. 1994, ApJ, 434, 206 [NASA ADS] [CrossRef] [Google Scholar]
- Ebrahimi, F., Prager, S. C., & Schnack, D. D. 2009, ApJ, 698, 233 [NASA ADS] [CrossRef] [Google Scholar]
- Friedman, B. 1956, Principles and Techniques of Applied Mathematics (New York: Wiley) [Google Scholar]
- Fromang, S., Papaloizou, J., Lesur, G., & Heinemann, T. 2007, A&A, 476, 1123 [NASA ADS] [CrossRef] [EDP Sciences] [Google Scholar]
- Goldreich, P., & Lynden-Bell, D. 1965, MNRAS, 130, 125 [NASA ADS] [CrossRef] [Google Scholar]
- Griffiths, S. D. 2008, J. Fluid Mech., 605, 115 [NASA ADS] [Google Scholar]
- Jamroz, B., Julien, K., & Knobloch, E. 2008, Astron. Nachr., 329, 675 [NASA ADS] [CrossRef] [Google Scholar]
- Ji, H., Burin, M., Schartman, E., & Goodman, J. 2006, Nature, 444, 343 [NASA ADS] [CrossRef] [PubMed] [Google Scholar]
- Julien, K., & Knobloch, E. 2006, in Stellar Fluid Dynamics and Numerical Simulations: From the Sun to Neutron Stars, ed. M. Rieutord, & B. Dubrulle, EAS Publ. Ser., 21, 81 [Google Scholar]
- Knobloch, E. 1992, MNRAS, 255, 25 [NASA ADS] [Google Scholar]
- Knobloch, E., & Julien, K. 2005, Phys. Fluids, 17, 094106/16 [NASA ADS] [CrossRef] [MathSciNet] [Google Scholar]
- Lesur, G., & Longaretti, P.-Y. 2007, MNRAS, 378, 1471 [NASA ADS] [CrossRef] [Google Scholar]
- Liverts, E., & Mond, M. 2009, MNRAS, 392, 287 [NASA ADS] [CrossRef] [Google Scholar]
- Regev, O., & Umurhan, O. M. 2008, A&A, 481, 1 [NASA ADS] [CrossRef] [EDP Sciences] [Google Scholar]
- Umurhan, O. M., Regev, O., & Menou, K. 2007a, PRL, 98, 034501 [Google Scholar]
- Umurhan, O. M., Menou, K., & Regev, O. 2007b, PRE, 76, 036310 [Google Scholar]
- Velikhov, E. P. 1959, J. Exp. Theor. Phys. (USSR), 36, 995 [Google Scholar]
Footnotes
- ...
- Extreme in the sense that regions of sharp shear are represented by delta-functions in the analysis herein. See also discussion in Sect. 6.
- ...
- Overbars over quantities refer to their dimensional values.
- ... Ampere's Law
- Note that by its construction (3) contains the statement that the time evolution of the divergence
of the magnetic field is zero. If initially
everywhere, then it remains identically zero subsequently.
- ... complex
- It was also shown in that study that complex values of
can only occur if the field configuration is helical. In this case the instability is of a traveling wave.
- .../2
- This procedure of applying a solvability condition actually requires multiplying across by the adjoint solution of
. However since the eigenfunctions comprising
and the linear operator of (36) are real and Hermitian, the adjoint is
.
- ... locations
- Note that this is valid since by construction the radial gradient of the steady state pressure field is zero at the end points.
- ... solutions
- The second of the solutions appearing in (70)
is written in the form displayed in order to make sure that both
linearly independent solutions are represented even in the event
(Friedman 1990).
- ... consideration
- Given the mathematical structure of the ode describing axisymmetric disturbances, the radial eigenfunctions that are solutions have either strictly oscillatory or exponential radial profiles. Thus the possibility of decaying oscillations is ruled out.
- ... 0)
- The mode existence dependency upon the sign of Q0 was checked for other shear profiles (for instance, by replacing the top-hat with a truncated parabolic profile). Aside from differences in the magnitude of the temporal response and the multiplicity of modes allowed, the aformentioned sign dependency still holds.
- ...)
- The classical limit is obtained when the replacements
and
are made.
All Figures
![]() |
Figure 1: Qualitative depiction of
a hypothesized mean rotational velocity profile for a low magnetic
Prandtl number disk suggested by Jamroz et al. (2008).
The dashed line shows the usual Keplerian velocity profile describing a
rotationally supported disk. The mean velocity profile resulting from
the saturation of the MRI in the low |
Open with DEXTER | |
In the text |
![]() |
Figure 2: The n=1 component of the shear profile (31). The solid line q1 = 1 and the dashed line q1 = -1. For problems in which channel wall conditions are imposed the solid line corresponds to a stable deviation profile while the dashed line corresponds to an unstable profile. The situation is reversed when fixed-pressure boundary conditions are imposed. |
Open with DEXTER | |
In the text |
![]() |
Figure 3:
The temporal response resulting from the quantization condition (76) as a function of kL (solid line) compared to the quantization condition (62) for defect profile (dashed line). For both plots
|
Open with DEXTER | |
In the text |
![]() |
Figure 4:
Plot showing the increase of allowed normal modes with
domain size L. In all plots
|
Open with DEXTER | |
In the text |
![]() |
Figure 5:
Graphical solutions for the quantization condition (87). Attention restricted to real values of
|
Open with DEXTER | |
In the text |
![]() |
Figure 6:
Similar to Fig. 5 except negative values of Q0 are investigated. In all plots |
Open with DEXTER | |
In the text |
![]() |
Figure 7:
Behavior of the classical channel mode as a function of defect amplitude Q0 for |
Open with DEXTER | |
In the text |
![]() |
Figure 8:
The behavior of the first unstable (HMI) mode for the problem
with channel walls (q0 = 3/2). The values of
|
Open with DEXTER | |
In the text |
![]() |
Figure 9:
The behavior of the unstable channel mode for the problem
with periodic boundary conditions examined in Sect. 5.5: |
Open with DEXTER | |
In the text |
![]() |
Figure 10:
The behavior of the least stable HMI mode for the problem with channel walls examined in Sect. 5.6: |
Open with DEXTER | |
In the text |
Copyright ESO 2010
Current usage metrics show cumulative count of Article Views (full-text article views including HTML views, PDF and ePub downloads, according to the available data) and Abstracts Views on Vision4Press platform.
Data correspond to usage on the plateform after 2015. The current usage metrics is available 48-96 hours after online publication and is updated daily on week days.
Initial download of the metrics may take a while.