Issue |
A&A
Volume 513, April 2010
|
|
---|---|---|
Article Number | A75 | |
Number of page(s) | 9 | |
Section | Interstellar and circumstellar matter | |
DOI | https://doi.org/10.1051/0004-6361/200913171 | |
Published online | 30 April 2010 |
Polarimetry of an intermediate-age open
cluster: NGC 5617![[*]](/icons/foot_motif.png)
A. M. Orsatti1,2,3 - C. Feinstein1,2,3 - M. M. Vergne1,2,3 - R. E. Martínez1,2 - E. I. Vega1,3
1 - Facultad de Ciencias Astronómicas y Geofísicas, Observatorio
Astronómico, Paseo del Bosque, 1900 La Plata, Argentina
2 - Instituto de Astrofísica de La Plata, CONICET, Argentina
3 - Member of the Carrera del Investigador Científico, CONICET,
Argentina
Received 24 August 2009 / Accepted 5 January 2010
Abstract
Aims. We present polarimetric observations in the UBVRI bands
of 72 stars located in the direction of the medium age open
cluster NGC 5617. Our intention is to use polarimetry
as a tool in membership identification, by building on
previous investigations intended mainly to determine the cluster's
general characteristics rather than provide membership suitable for
studies such as stellar content and metallicity, as well as
study the characteristics of the dust lying between the Sun and
the cluster.
Methods. The obsevations were carried out using the
five-channel photopolarimeter of the Torino Astronomical Observatory
attached to the 2.15 m telescope at the Complejo Astronómico
El Leoncito (CASLEO; Argentina).
Results. We are able to add 32 stars to the
list of members of NGC 5617, and review the situation for
others listed in the literature. In particular, we find that
five blue straggler stars in the region of the cluster are located
behind the same dust as the member stars are and we confirm the
membership of two red giants. The proposed polarimetric memberships are
compared with those derived by photometric and kinematical methods,
with excellent results. Among the observed stars, we
identify 10 with intrinsic polarization in their light.
NGC 5617 can be polarimetrically characterized with
and
.
The spread in polarization values for the stars observed in the
direction of the cluster seems to be caused by the uneven distribution
of dust in front of the cluster's face. Finally, we find that
in the direction of the cluster, the interstellar medium is apparently
free of dust, from the Sun's position up to the Carina-Sagittarius arm,
where NGC 5617 seems to be located at its farthest border.
Key words: dust, extinction - open clusters and associations: individual: NGC 5617
1 Introduction
The polarimetric technique is a very useful tool for obtaining
significant information (e.g. magnetic field
direction,
,
)
about the dust located in front of a luminous object. Open clusters are
very good candidates for carrying out polarimetric observations,
because previous photometric and spectroscopic studies of these
clusters have provided detailed information about the color and
luminosity of the main-sequence stars.
In addition to the cluster physical parameters obtained by
using those tools (e.g. age, distance, extinction,
membership), the polarimetric data allow us study the location, size,
and efficiency of the dust grains to polarize the starlight and the
different directions of the Galactic magnetic field along the line of
sight to the cluster. Since the open clusters are also spread within a
fixed area, we can analyze the evolution in the physical parameters of
the dust all over the region. In this framework, we conduct
systematic polarimetric observations in a large number of Galactic open
clusters.
As part of this survey, we present a polarimetric
investigation of the open cluster NGC 5617
(C1426-605). It is located at (l =
,
b =
),
covering a wide area of the sky of about 10
10 arcmin. In the past it was investigated using
photoelectric and photographic photometry (Lindoff 1968; Moffat &
Vogt 1975; Haug 1978). Kjeldsen
& Frandsen (1991)
and Carraro & Munari (2004)
presented CCD observations covering part of the area.
In this last work deep CCD (BVI) photometry
of the core region was performed to derive more accurate estimates of
the cluster fundamental parameters by observing about
140 stars down to V = 17.5 mag.
The analysis of two adjacent fields covering the central part of the
cluster confirmed a previous mean value of the excess EB-V =
0.48 mag, found in the first of two
CCD investigations, and a distance determination that located
the open cluster at 2.0
0.3 kpc from the Sun.
It is an intermediate-age open cluster (8.2
107 years) containing red giants and
blue straggler stars (Ahumada & Lapasset 2007) in its
surroundings, whose memberships of the cluster remain
in doubt.
2 Observations
Observations of the
bands (KC: Kron-Cousins,
=
0.36
m,
FWHM = 0.05
m;
=
0.44
m,
FWHM = 0.06
m;
=
0.53
m,
FWHM = 0.06
m;
=
0.69
m,
FWHM = 0.18
m;
=
0.83
m,
FWHM = 0.15
m) were carried out using the five-channel
photopolarimeter of the Torino Astronomical Observatory attached to the
2.15 m telescope at the Complejo Astronómico El Leoncito
(CASLEO, Argentina). They were performed over eight nights
(June 27-30, 2006 and
June 15-18, 2007). The instrument allows simultaneous
polarization measurements to be performed in the five bands UBVRI,
and the combination of the dichroic beam splitters and the filters
cemented to the field lenses of the dichroic filters set closely
matches the standard UBVRI system. The
FOTOR polarimeter provides the possibility of using
5 different diaphragm apertures to measure the stars, of sizes
between 19.2 arcsec and 5.6 arcsec.
As usual, the same diaphragm was used to measure the star and
the closest portion of sky. During each observing run, a set
of standard stars to determine null polarization and the zero point of
the polarization position angle (taken from Clocchiatti &
Marraco 1988)
was observed to determine both the instrumental polarization and the
coordinate transformation into the equatorial system, respectively. The
net polarization of telescope and instrument, typically of about
0.01 percent, was subtracted from all the data. For additional
information about the instrument, data acquisition, and data reduction,
we refer to Scaltriti et al. (1989) and
Scaltriti (1994).
Table 1
lists the 72 stars observed polarimetrically in the direction
of the open cluster, the percentage polarization (
), the position angle of the
electric vector (
)
in the equatorial coordinate system, and their respective mean errors
for each filter. We also indicate the number of 60 s
integrations for each filter. Star identifications are taken from Haug (1978).
Table 1: Polarimetric observations of stars in NGC 5617.
3 Results
The sky projection of the V-band polarization
vectors for the observed stars in NGC 5617 are shown in
Fig. 1.
The cluster spreads over a large region covering more than 10
10 arcmin. The dotted line superimposed on the figure is the
Galactic parallel of b = -0
2
In this plot we observe that most of the stars have their polarimetric
vectors orientated in a direction close to the projection of the
Galactic Plane (hereafter GP) in that region, but a close
inspection of the angle distribution displays a complex structure.
![]() |
Figure 1:
Projection on the sky of the polarization vectors (Johnson V filter)
of the stars observed in the region of NGC 5617. The
dot-dashed line is the Galactic parallel |
Open with DEXTER |
![]() |
Figure 2:
Upper plot: V band polarization percentage of the
stellar flux |
Open with DEXTER |
Figure 2
(upper plot) shows the relation that exists between PV
and
.
We can see a core of stars at PV
4%
and
76
,
and some scatter toward lower angles and polarizations. This could be
the result of a patchy dust distribution that produces variable
extinction, or the contamination by non-member stars with
polarizations originated in dust clouds other than those affecting the
light from NGC 5617. Unfortunately, papers based on
CCD data did not perform a membership analysis of individual
stars in the region so as to help disclose this point. What can clearly
be seen in this figure is that the orientation of the Galactic plane is
similar to the orientation of the low polarization stars (
2%), but
this is not so for the stars in that core (
4%). This behavior is more clearly displayed by
the histogram of the observed angles (lower plot). There is a peak
around 75
,
but also a large scatter toward lower angles and a moderate scatter to
the opposite side. The dashed line is a Gaussian fit to the data, which
provides a poor fit. The data for the peak region exhibit a narrow and
concentrated distribution, but a component that is broader than the
best-fit Gaussian of the data. This can be easily explained if each
component, the concentrated peak and the more widely spread data, have
different origins. The narrow component has the empirical regular shape
found in other clusters (e.g., in NGC 6193, NGC 6167,
NGC 6204, Hogg 22, Stock 16,
Trumpler 27; from Waldhausen et al. 1999; Martínez
et al. 2004;
Feinstein et al. 2000,
2003,
respectively) where the FWHM has values
between 8 and 16 degrees, which seem to be compatible
with the core width.
We understand that the most likely explanation of this
behavior is that the sample is contaminated by non-member stars of
lower polarization and angle that are similar stars to those of
the GP. Although it is a statistically marginal result,
the lower angle stars appear to be more numerous when the
projected distance from the cluster's center increases. Carraro
& Munari (2004)
support this idea by showing that if they consider only stars inside a
radius smaller than or equal to 2
2,
a clean main sequence is obtained, since most of the
non-member stars are eliminated from their sample.
4 Analysis and discussion
4.1 Fitting with Serkowski's law
To analyze the data, the polarimetric observations in the five filters
were fitted for each star using Serkowski's law of
interstellar polarization (Serkowski 1973) given by
![]() |
(1) |
If polarization is produced by aligned interstellar dust particles, then we assume that, the observed data (in terms of wavelength within the bands UBVRI) can be reproduced accurately by Eq. (1) and that each star has a separate


To perform the fitting, we adopted ,
where
is in
m
(Whittet et al. 1992).
For each star, we also computed the
parameter
(the unit weight error of the fit) in order to
quantify the departure of our data from the ``theoretical curve'' of
the Serkowski's law. In our scheme, when a star
exhibits
this is indicative of a non-interstellar origin (that is,
an intrinsic polarization) in part of the measured
polarization. The dominant source of intrinsic polarization is dust
non-spherically distributed and, for classical
Be stars, electron scattering. The
values can also be
used to test the origin of the polarization: objects with a
much shorter than the average value for the interstellar medium
(0.55
,
Serkowski et al. 1975)
are also likely to contain an intrinsic component of polarization
(Orsatti et al. 1998).
The individual
,
,
,
and
values, together
with the star identification from Haug (1978),
are listed in Table 2.
We excluded five stars with
higher than 15
:
#58, 69, 137, 149, and 255. The mathematical expression used
to obtain the individual
values
is found in this table as a footnote.
Table 2: Polarization results of stars in direction to NGC 5617.
According to Table 2,
only 10 of the 67 stars exhibit signatures of
intrinsic polarization: #154, 260, 270,
and 274 (a group with very high
); #146, 330,
and 333 (with lower values): and also two blue stragglers
(#195, #261) and the red giant #227.
Star 226 has
= 1.91
but this value was estimated using data for only 3 filters,
so the detection of intrinsic polarization in the star is
dubious. The use of the second criterion to detect intrinsic stellar
polarization did not provide new candidates. Figure 3 shows, for some of
these stars, both the polarization and position angle dependence on
wavelength. For comparison purposes, the best fit
Serkowski's law for an interstellar origin of the polarization
has been plotted as a continuous line. In the individual
plots, the
values
do not appear to fit this law and in some cases
(e.g., #227, #261) there is evidence of a combination
of two different polarization mechanisms. Most of the stars in the
figure also show important rotations of the polarization position angle
with
.
![]() |
Figure 3: The plot displays both the polarization and position angle dependence on wavelength, for some of the stars with indications of intrinsic polarization. The numbers in the polarization dependence plots are the star ID, and immediately below is the position angle dependence for each star. |
Open with DEXTER |
4.2 The Qv versus Uv plot and membership review
The identification of members in a cluster is important, not only to distance and age determinations but also other studies such as those of stellar content and metallicity. In NGC 5617, as in many other clusters, probable cluster members were identified as those stars simultaneously having reconcilable positions in both color-color and color-magnitude diagrams.
Several errors in membership assignment are possible using this kind of photometric approach, for example when dealing with photographic photometry, in particular the U-measures; and when studying intermediate-age clusters, where the evolved stars could not be located close to the ZAMS. In our cluster, the CCD plates of Kjeldsen & Frandsen (1991) and Carraro & Munari (2004) cover only the central region of the cluster, and for stars in the vicinities of the core only photographic measurements are possible. In addition, as found by these last authors, stars brighter than 12.5 mag are evolving away from the main sequence. Evolved members and background stars become mixed close to the ZAMS in the color-magnitude diagrams, and in this case the photometric identification of cluster members becomes difficult.
The polarimetric technique can help us to solve membership
problems. Different plots used in combination with photometric
information can be useful for separating between members and
non-members. One of those plots presents the Stokes parameters Qv versus Uv
for the V-bandpass, where
and
are the components in the equatorial system of the polarization
vector Pv,
is shown in Fig. 4.
The plot illustrates the variations occurring in interstellar
environments. Since the light from cluster members must have traversed
a common sheet of dust, of particular polarimetric characteristics, the
member data points should occupy similar regions of the figure.
Non-member stars (frontside and background stars) should be located in
the Qv versus Uv
figure somewhat apart from the region occupied by member stars, since
their light must have traveled through different dust clouds from those
affecting the light of member stars, of different polarimetric
characteristics.
![]() |
Figure 4: Q- and U-Stokes parameters for the V bandpass. Filled and open circles are for members and non-members, respectively. Starred points represent blue straggler stars, and squares red giants. Small symbols are used for stars with intrinsic polarization according to Table 2. |
Open with DEXTER |
The basic principle behind the use of polarimetry as a criterion for distinguishing members from non-members in a cluster is similar to that used in photometry to decide membership. The procedure is based on the assumption that member stars are located behind common dust clouds that polarize their light, while this is not valid for most non-member stars.
Objects closer to the Sun, or located along the line of sight to the cluster, will have lower EB-V and their light will be less polarized. If there are clouds between these stars and ourselves, and dust is orientated in a different direction, the final angle will not be the same as for the cluster's stars. In the Q versus U plot, these stars therefore are located in different regions.
For stars located behind the cluster, the individual polarizations could be higher than those associated with the cluster if the dust has the same orientation, or it could be depolarized if the orientation is not the same. However, in both cases the location in the diagram Q-U will not be the same as that for the cluster's stars. And in the last case, the EB-V of those stars will be higher and detectable in the efficiency diagram (Pv versus EB-V).
For example, the polarimetry became a very useful membership identification tool for stars belonging to the clusters NGC 6204 and Hogg 22, the last one located behind the first cluster.
Stars of each object occupy different regions of the Q versus U diagram (see Fig. 6 of Martínez et al. 2003), and since Hogg 22 is depolarized and has a higher EB-V's, both clusters are separated in the polarization efficiency diagram (Fig. 5 of that work).
![]() |
Figure 5: Polarization efficiency diagram. The line of maximum efficiency is drawn adopting Rv = 3.1. Symbols are the same as in Fig. 4. |
Open with DEXTER |
In using polarimetry to decide memberships, we are able to use information in the literature derived using alternative methods (e.g., photometric, spectroscopic, proper motions) and we can determine in the Q - U and Pv versus EB-V plots the regions where cluster and non-member stars are located. Because of previous considerations, we accept at first that any star in the non-member region is a very probable non-member and in the same way, any star located in the cluster region is also a very probable member of the cluster. We note that we do not apply this criterion to stars with detected intrinsic polarization for which we can only assign a dubious membership. Because this tool has been used in previous work, our opinion is that polarimetry can be as useful as photometry to identifications or, in most of the cases, a very useful complement.
Members identified by applying this method are shown in both Figs. 4 and 5 using filled (for member) and open (for non-member) symbols. Circles are used for stars, squares for supergiants, and starred points for blue stragglers. Small symbols of any kind denote stars with intrinsic polarization. We could add an important number of new members to the previous list, and we have also been able to review the situation for other stars listed in the photometric investigations. The last column of Table 2 lists our conclusions.
In particular, five of the observed blue straggler stars are
behind the dust located in front of the member stars, but #195
may be a possible member because of its position in the Qv versus
Uv plot.
As mentioned in the previous section, intrinsic polarization
was detected for the star that could explain the position in
Fig. 4.
We also confirmed that the red giants #116 and 227
are members of the open cluster, as asserted in the literature.
To compare our proposed polarimetric memberships with those
coming from other methods, we used the works of Mermilliod
et al. (2008)
and Frinchaboy & Majewski (2008).
In the first investigation, radial velocities of giant stars
in the region of a cluster are compared with the cluster mean velocity
to assign membership. We have four red giants in common with that
study (#55, 116, 227, 347) and our membership results are in
agreement. In the second investigation, the star proper motion
(from Hipparcos and Tycho-2 catalogues), radial velocity, and
spatial distribution are combined to detect cluster members. Among a
group of seven stars in common (#55, 116, 180, 202, 227, 342,
347), there are membership discrepancies for only star #202 (
= 4.83
,
= 76
),
for which they find a probability of 51.2
on the basis of its radial velocity but a 0
probability
using the proper motions. According to both Figs. 4 and 5, the star
appears to be located behind the same sheet of dust as the remaining
members, and for that we consider the star as a member, as the
photometric plots suggest. Column 6 in Table 2 lists the
memberships determined in these two works.
In Fig. 4,
stars #187, 270, and 333 are located far away from the member group.
The first star is considered to be part of the cluster by some
photometric studies but no membership information is provided by
Mermilliod et al. (2008),
Frinchaboy & Majewski (2008),
or Dias et al. (2006).
The
is not indicative of abnormal polarization as to justify its position
in the plot; and it can be seen in Fig. 5 that it has
a low polarization relative to the remaining members. We
propose that #187 is a frontside star, observed projected onto
the central core of NGC 5617. The other two
stars (#270 and 333) both display intrinsic
polarization as mentioned in the following section.
To derive mean values of polarization and polarization angle,
we used 16 stars with similar Stokes parameters and free of
intrinsic polarization: #79, 80, 93, 94, 100, 106, 116, 169,
180, 185, 186, 214, 225, 276, 294, and 302. We obtained = 4.40
and
= 73
1
0.9
(both of them being the mean values for all 16). The
mean
amounts to 0.53
0.03
m, the value
associated with the ISM.
4.3 Polarization efficiency
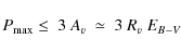
It is known that for the interstellar medium the polarization
efficiency (ratio of the maximum amount of polarization to visual
extinction) rarely exceeds the empirical upper limit,
![]() |
(2) |
obtained for interstellar dust particles (Hiltner 1956). The polarization efficiency indicates how much polarization is obtained for a certain amount of extinction and depends mainly on both the alignment efficiency and the magnetic field strength, and also on the amount of depolarization due to radiation traversing more than one cloud with different field directions.
Figure 5
shows the plot of vs. EB-V.
The individual excesses EB-V
were obtained either from the literature or by dereddening the colors
and using the relationship between either spectral type and color
indexes (Schmidt-Kaler 1982).
For stars with only photographic UBV
measures, the calculated excesses may well be in error.
It can be seen that, apart from five stars (from top to
bottom: #333, 294, 261, 136, and 269), the remainder are
located to the right of the interstellar maximum line, indicating that
their polarizations are mostly due to the ISM. Star #333 has
intrinsic polarization in Table 2 and, based on its
position in the plot, we understand it to be a background star.
Star #294, the second from top, has no evident indications of
abnormal polarization in its light and we could not find any suitable
explanation of the position in this figure. Most probably, the excess
(calculated from photographic photometry) is affected by error.
Stars # 261 (a blue struggler) and #136 are
affected by intrinsic polarization as shown in Table 2; with respect to
star #269, the calculated excess may well also be affected
by error. As in Fig. 4, the two
stars #187 and 333 are shown here as non-members. But
regarding #270, we accept that this star is a member, beacuse
even when its polarization includes an intrinsic part,
its position in Fig. 5
matches those of the member stars, and its
and
values (4.31
and 73
4,
respectively) are coincident with the mean values for members.
To calculate the polarization efficiency, we selected a group
of 15 stars with Pv
in the range from 4.20
to 4.95
,
and obtained a polarization efficiency of about 2.44, which is
lower than the standard value for the interstellar dust
(of about 5). This value indicates a very high
efficiency of the dust that polarizes the light from the cluster stars.
Neckel & Klare (1980)
computed the interstellar extinction values and distances of more than
11 000 O to F stars in the
Milky Way. Their figure #174 (314, 0
)
shows the variation in Av
with increasing distance in the area of NGC 5617, starting
at 1 kpc and showing that the absorption takes values
of between 1.2 and 2.4 mag at the position of the
cluster, in good agreement with the Av
calculated from (2) for a
of 4.4
.
The nearest of our stars to the Sun is #187 (non-member) with
a Pv = 1.83
and a distance of about 1.2 kpc from us, which it implies that
is not in the Local but in the Carina-Sagittarius arm,
in addition to the remaining non-members and the cluster
itself. As can be seen in Fig. 5, there is a scatter
in polarization values for the members of NGC 5617, which
could be caused by either intracluster dust or the uneven distribution
of dust in front of the cluster's face, as seen in any plate of the
object. Since NGC 5617 is an intermediate-age open cluster
(8.2
107 yr),
we favor the second explanation of the scatter.
5 Summary
We have measured the linear multicolor polarization of 72 stars in the region of the open cluster NGC 5617. By analyzing all of these data, we have found that between the Sun's position and the Carina-Sagittarius arm, there is a large region of transparency and that NGC 5617 is located deep inside the arm, or even at its farthest border. In addition, we have found the polarimetric efficiency of the dust in front of the cluster to be very high relative to the mean value attributed to the ISM.
Polarimetry has proven to be an excellent tool in the task of membership identification. It has been employed in previous investigations where the main goal was the determination of general characteristics of the cluster rather than the precise assessment of membership. The identification studies of members and non-members now typically covers a wider area of the cluster and reaches fainter magnitudes. A comparison of the polarimetric and kinematical memberships of stars in common with other investigations, has confirmed that the polarimetric observations could help resolve these issues.
This research has made use of the WEBDA database, operated at the Institute for Astronomy of the University of Vienna. We wish to acknowledge the technical support and hospitality at CASLEO during the observing runs. We also acknowledge the use of the Torino Photopolarimeter built at Osservatorio Astronomico di Torino (Italy) and operated under agreement between Complejo Astronómico El Leoncito and Osservatorio Astronomico di Torino. We thanks the anonymous referee for the help to improve the paper. Special thanks go to Dr. Hugo G. Marraco for his useful comments and also to Mrs. M. C. Fanjul de Correbo for the technical assistance.
References
- Ahumada, J., & Lapasset, E. 2007, A&AS, 463, 789 [NASA ADS] [CrossRef] [EDP Sciences] [Google Scholar]
- Carraro, G., & Munari, U. 2004, MNRAS, 347, 625 [NASA ADS] [CrossRef] [Google Scholar]
- Clocchiatti, A., & Marraco, H. G. 1988, A&A, 197, L1 [NASA ADS] [Google Scholar]
- Dias, W. S., Assafin, M., Florio, V., Alessi, B. S., & Libero, V. 2006, A&A, 446, 949 [NASA ADS] [CrossRef] [EDP Sciences] [Google Scholar]
- Feinstein, C., Baume, G., Vázquez, R., Niemela, V., & Cerruti, M. A. 2000, AJ, 120, 1906 [NASA ADS] [CrossRef] [Google Scholar]
- Feinstein, C., Baume, G., Vergne, M. M., & Vázquez, R. 2003, A&A, 409, 933 [NASA ADS] [CrossRef] [EDP Sciences] [Google Scholar]
- Frinchaboy, P. M., & Majewski, S. R. 2008, AJ, 136, 118 [NASA ADS] [CrossRef] [Google Scholar]
- Haug, U. 1978, A&AS, 34, 417 [NASA ADS] [Google Scholar]
- Hiltner, W. A. 1956, ApJS, 2, 389 [NASA ADS] [CrossRef] [Google Scholar]
- Kjeldsen, H., & Frandsen, S. 1991, A&AS, 87, 119 [NASA ADS] [Google Scholar]
- Lindoff, U. 1968, Ark. Astr., 4, 471 [Google Scholar]
- Martínez, R., Vergne, M. M., & Feinstein, C. 2004, A&A, 419, 965 [NASA ADS] [CrossRef] [EDP Sciences] [Google Scholar]
- Mermilliod, J. C., Mayor, M., & Udry, S. 2008, A&A, 485, 303 [NASA ADS] [CrossRef] [EDP Sciences] [Google Scholar]
- Moffat, A. F. J., & Vogt, N. 1975, A&AS, 20, 155 [NASA ADS] [Google Scholar]
- Neckel, Th., & Klare, G. 1980, A&A, 42, 251 [Google Scholar]
- Orsatti, A. M., Vega, E. I., & Marraco, H. G. 1998, AJ, 116, 266 [Google Scholar]
- Scaltriti, F. 1994, Technical Publication No. TP-001, Osservatorio Astronomico di Torino [Google Scholar]
- Scaltriti, F., Piirola, V., Cellino, A., et al. 1989, Mem. S. A. It, 60, 1 [Google Scholar]
- Schmidt-Kaler, Th. 1982, in Landolt/Bornstein, Neue Series VI/2b [Google Scholar]
- Serkoswki, K. 1973, in Interstellar Dust and Related Topics, ed. J. M. Greenberg, & H. C. van der Hulst (Dordrecht-Holland: Reidel), IAU Symp., 52, 145 [Google Scholar]
- Serkowski, K., Mathewson, D. L., & Ford, V. L. 1975, ApJ, 196, 261 [NASA ADS] [CrossRef] [Google Scholar]
- Waldhausen, S., Martínez, R. E., & Feinstein, C. 1999, AJ, 117, 2882 [NASA ADS] [CrossRef] [Google Scholar]
- Whittet, D. C. B., Martin, P. G., Hough, J. H., et al. 1992, ApJ, 386, 562 [NASA ADS] [CrossRef] [Google Scholar]
Footnotes
- ... 5617
- Based on observations obtained at Complejo Astronómico El Leoncito, operated under agreement between the Consejo Nacional de Investigaciones Científicas y Técnicas de la República Argentina and the Universities of La Plata, Córdoba, and San Juan.
All Tables
Table 1: Polarimetric observations of stars in NGC 5617.
Table 2: Polarization results of stars in direction to NGC 5617.
All Figures
![]() |
Figure 1:
Projection on the sky of the polarization vectors (Johnson V filter)
of the stars observed in the region of NGC 5617. The
dot-dashed line is the Galactic parallel |
Open with DEXTER | |
In the text |
![]() |
Figure 2:
Upper plot: V band polarization percentage of the
stellar flux |
Open with DEXTER | |
In the text |
![]() |
Figure 3: The plot displays both the polarization and position angle dependence on wavelength, for some of the stars with indications of intrinsic polarization. The numbers in the polarization dependence plots are the star ID, and immediately below is the position angle dependence for each star. |
Open with DEXTER | |
In the text |
![]() |
Figure 4: Q- and U-Stokes parameters for the V bandpass. Filled and open circles are for members and non-members, respectively. Starred points represent blue straggler stars, and squares red giants. Small symbols are used for stars with intrinsic polarization according to Table 2. |
Open with DEXTER | |
In the text |
![]() |
Figure 5: Polarization efficiency diagram. The line of maximum efficiency is drawn adopting Rv = 3.1. Symbols are the same as in Fig. 4. |
Open with DEXTER | |
In the text |
Copyright ESO 2010
Current usage metrics show cumulative count of Article Views (full-text article views including HTML views, PDF and ePub downloads, according to the available data) and Abstracts Views on Vision4Press platform.
Data correspond to usage on the plateform after 2015. The current usage metrics is available 48-96 hours after online publication and is updated daily on week days.
Initial download of the metrics may take a while.