Issue |
A&A
Volume 513, April 2010
|
|
---|---|---|
Article Number | A2 | |
Number of page(s) | 8 | |
Section | Cosmology (including clusters of galaxies) | |
DOI | https://doi.org/10.1051/0004-6361/200913245 | |
Published online | 09 April 2010 |
X-ray spectral study of hot gas in three clusters of galaxies
Y. G. Grange1 - E. Costantini1 - J. de Plaa1 - J. J. M. in 't Zand1 - F. Verbunt2 - J. S. Kaastra1,2 - F. Verrecchia3
1 - SRON Netherlands Institute for Space Research, Sorbonnelaan 2, 3584 CA Utrecht, The Netherlands
2 - Astronomical Institute, Utrecht University, PO Box 80000, 3508 TA Utrecht, The Netherlands
3 - ASI Science Data Center, ESRIN, 00044 Frascati(RM), Italy
Received 4 September 2009 / Accepted 12 January 2010
Abstract
Context. We studied the physical properties of three
clusters of galaxies, selected from a BeppoSAX wide field camera (WFC)
survey. These sources are identified as 1RXSJ153934.7-833535,
1RXSJ160147.6-754507, and 1RXSJ081232.3-571423 in
the ROSAT All-Sky Survey catalogue. We obtained XMM-Newton follow-up observations for these three clusters.
Aims. We fitted single and multi-temperature models to spectra
obtained with the EPIC-pn camera to determine the temperature, the
chemical composition of the gas and their radial distribution. Since
two observations were contaminated by a high soft-proton background, we
developed a new method to estimate the effect of this background on the
data.
Methods. We present the temperature and iron abundance of two of
these three clusters for the first time. The iron abundance of
1RXSJ153934.7-833535 decreases with radius. The fits to the
XMM-Newton and Chandra data show that the radial temperature profile within 3
towards the centre either flattens or lowers. A Chandra
image of the source suggests the presence of X-ray cavities. The gas
properties in 1RXSJ160147.6-754507 are consistent with a flat
radial distribution of iron and temperature within 2
from the centre. 1RXSJ081232.3-571423 is a relatively cool cluster with a temperature of about 3 keV.
Results. The radial temperature and iron profiles suggest that 1RXSJ153934.7-833535 is a cool core cluster. The Chandra
image shows substructure which points toward active galactic nuclei
(AGN) feedback in the core. The flat radial profiles of the temperature
and iron abundance in 1RXSJ160147.6-754507 are similar to the
profiles of non-cool-core clusters.
Key words: X-rays: galaxies: clusters - galaxies: clusters: individual: 1RXS J081232.3-571423 - galaxies: clusters: individual: 1RXS J153934.7-833535 - galaxies: abundances - galaxies: clusters: intracluster medium - galaxies: clusters: individual: 1RXS J160147.6-754507
1 Introduction
Clusters of galaxies are the largest gravitationally bound objects
in the universe. They are the result of the growth of over-densities
that were present in the early universe. About 80% of the mass in
clusters consists of dark matter. Until now it has been impossible to
directly measure it. The baryonic matter in clusters of galaxies
resides in the stars and a hot diffuse plasma (hereafter referred to as
gas). The stars account for only 1-3% of the total cluster mass, while
the gas is responsible for 10-15% (e.g. David et al. 1990; Allen et al. 2002). This gas, called the intra-cluster medium (ICM), has temperatures of 107-8 K, high enough to emit X-ray radiation.
Originally, clusters of galaxies were discovered based on their optical properties (e.g. Abell 1958). In the 1960 s and 1970 s, X-ray emission was detected from positions or directions coinciding with those of known clusters of galaxies (Kellogg et al. 1971; Byram et al. 1966; Bradt et al. 1967). Cavaliere et al. (1971) stated that this emission was indeed originating from the clusters. In the past ten years, the instruments on board of the XMM-Newton and the Chandra X-ray telescopes enabled the study of the physical and chemical properties of the gas in more detail.
In the X-ray band, two general catalogues have been compiled. In the
hard X-ray band (0.5 to 25 keV), HEAO-1 surveyed the sky with a
detection threshold of
(Wood et al. 1984). The soft X-ray band (0.1-2.4 keV) was probed in the ROSAT All Sky Survey, with a flux limit of
(Voges et al. 1999). The ROSAT observations yielded various catalogues of clusters of galaxies (e.g. Reiprich & Böhringer 2002; Ebeling et al. 2002; Böhringer et al. 2004).
We present the results of a spectral analysis of three clusters of
galaxies, selected from observations with the wide field cameras (WFCs)
on board BeppoSAX. The Italian-Dutch X-ray observatory BeppoSAX (Boella et al. 1997) operated between June 1996 and April 2002 and carried two WFCs (Jager et al. 1997). They had a field of view of
(full width at zero response), angular resolution of 5
(FWHM)
and pointed in opposite directions. They were sensitive in a bandpass
of 2 to 28 keV with a spectral resolution of 1.2 keV at
6 keV (FWHM). The WFCs observed the whole sky. The exposure
coverage was somewhat inhomogeneous. However, most positions on the sky
have been observed for at least 1 million seconds. The sensitivity
level reaches
.
Therefore only the brightest sources of ROSAT are detected by the WFC.
All data of this instrument were combined on time scales of six months
as well as the whole mission and in energy ranges of 2-5, 5-9 and
9-28 keV. The combined data yielded detections of a few of
cataclysmic variables and tens of active galactic nuclei (AGN) and
clusters of galaxies (see e.g. Verrecchia et al. 2007,
for a catalogue based on part of this survey). Six objects were found
to be ill-understood despite their brightness. The 2-10 keV fluxes
of these six sources lie in the
to
range.
We followed up these bright sources using XMM-Newton . For one source we analysed the available Chandra archival data. Three of these six are clusters of galaxies. The physical properties of the gas in these clusters were found using the X-ray spectra.
Throughout this paper, we use
,
,
and
.
The abundances are in units of the proto-solar abundances by Lodders (2003). Unless specified otherwise, quoted statistical uncertainties are at a 1
(68%) confidence level.
2 The clusters discussed in this paper
Here, we introduce the three observed clusters and give an overview of the catalogues in which they appear. We refer to the three clusters by the first four numerals from their 1RXS-catalogue name preceded by the letter ``J''. The fluxes and luminosities found by previous authors are quoted in Table 1.
Table 1: Previously known parameters for the studied sources.
2.1 J1539 (1RXS J153934.7-833535)
This source is part of the REFLEX catalogue (RXC J1539.5-8335, Böhringer et al. 2004), a cluster survey based on ROSAT data.
2.2 J1601 (1RXS J160147.6-754507)
![]() |
Figure 1:
Contours of an archival ROSAT HRI observation of J1601. The three dots
plotted are optically bright foreground stars. The observation is
binned using a Gaussian with a 6
|
Open with DEXTER |
J1601 is part of the ROSAT catalogue of clusters in the ``zone of avoidance'', meaning a location within 20
of the Galactic plane (CIZA J1601.7-7544, Ebeling et al. 2002).
That is also the first detection and identification of this source as a
cluster of galaxies. The source also appears in the RXTE All-Sky Slew
Survey catalogue, (XSS J16019-7548, Revnivtsev et al. 2004). Figure 1 shows intensity contours of an archival observation of this source, using the HRI aboard ROSAT.
2.3 J0812 (1RXS J081232.3-571423)
J0812 was first detected by the Einstein X-ray satellite as part of the Einstein Galactic plane survey (1E 0811.5-5704, Hertz & Grindlay 1984). Furthermore, it appears in the Einstein Slew Survey (1ES 0811.4-5704, Elvis et al. 1992) and is also part of the 2E catalogue (2E 0811.4-5704, Harris et al. 1990). The source was identified as a cluster of galaxies by Ebeling et al. (2002) and incorporated in the CIZA catalogue (CIZA J0812.5-5714).
3 Data reduction and analysis
3.1 XMM-Newton EPIC
A log of the XMM-Newton European photon imaging camera (EPIC; Strüder et al. 2001) observations is given in Table 2.
For all our observations the ``medium'' filter was put in place. For
each observed source, we extract a lightcurve to look for soft-proton
flares. Since emission from clusters of galaxies is not time dependent,
we use the full energy range of the detector to extract this light
curve. We compared the lightcurves within 3
around the cluster centre to the lightcurve of the remainder of the
field. Both light curves show flaring at the same time scales which
excludes the possibility of a variable point source affecting the light
curve. For two observations (J1539and J1601), the residual soft-proton
background was very high (see Sect. 3.1.2).
We excluded data during the flares on top of this high background. The
original and filtered observation times are listed in Table 2.
Table 2: Exposures of the XMM follow-up of the WFC data.
3.1.1 Standard data treatment
The data reduction is done with version 8.0.1 of the XMM-Newton
science analysis software (SAS). We used the calibration version of
April 1st of 2009 and the standard EPIC-pn pipeline to create
event files. During the observations, EPIC-MOS was in small window
mode. We did not use these data because in this mode the source is
larger than the field of view. We removed the point sources by eye
using a circle with a 15
radius
around them. The next step involved correcting for the vignetting of
the photons and protons. For the observation of J0812, which is not
dominated by a high soft-proton background, we used the evigweight
task to take this effect into account. This task assigns a theoretical
vignetting factor to each photon based on its energy and position on
the CCD. For the other two observations, we took care of the
soft-proton vignetting as described in Sect. 3.1.2.
We selected only the single and double events (PATTERN
4) that were inside the field of view (FLAG==0).
For each separate spectrum, we generated an ancillary response file
(ARF) and a response matrix file (RMF) using a detector map. For J0812,
we took the detector map to be flat (i.e. without any spatial
distribution) because spatial effects are already taken care of by the
vignetting correction of evigweight.
For J1539and J1601, we made an image of the event file and used that as a detector map.
For the spectral reduction, we rebinned the spectra, sampling the instrument FWHM by a factor of three, requiring at least 20 counts per bin to ensure the applicability of
statistics if needed, and checked that spectral features were not undersampled.
The next step was the background treatment. Since the sources are
relatively compact, we took the background from an annulus ranging from
9
to 12
,
centred on the telescope pointing. This is the outer edge of the field
of view where we did not expect any residual cluster emission. We
scaled the background spectrum with the ratio of the number of
illuminated pixels in the observations to the background annulus. We
subtracted the scaled background spectrum from the observation. Since
there is a strong instrumental copper line at 8.04 keV in the
background region, we ignored the energy range from 7.8 keV to
8.4 keV for analysis of the spectra to ensure that no radiation of
this line was still present. For other instrumental lines, this effect
is expected to be negligible in the energy range of the fit due to the
statistics of the observations.
3.1.2 Special treatment of flared events
Normally the intervals of soft-proton flaring in the light curve are
excluded from the analysis. The observations of J1539and J1601 have a
very high background. Inspection of the light curves of these
observations for the region outside the 3
around the emission peak of the observation yields an average count rate of
6
.
In the SAS User Guide, the rule of thumb is to ignore all data for which the count rate is higher than 1
.
This would result in discarding all the data despite a positive
detection of the source. In order to be able to use the data, we
developed a method to estimate this background contribution.
Kuntz & Snowden (2008) studied the soft protons in XMM-Newton
data. They found a vignetting effect for soft protons in the EPIC-MOS
detector. For the EPIC-pn, such a study has not yet been performed.
Since the vignetting is caused by focussing of the soft-proton events
by the mirror, we expect a vignetting similar to EPIC-MOS. Protons are
vignetted less than X-ray photons. Therefore, standard SAStasks for
correcting the X-ray photon vignetting are not applicable. To be able
to fit the spectra, we derived a vignetting factor for the soft-proton
background of these data sets. We assumed that the X-ray photon
background is negligible compared to the soft-proton background. Since
the average background count rate is of a factor six higher than the
maximum expected X-ray quiescent level, this is a reasonable
assumption. Other simplifications are that the vignetting of
soft-protons is taken to be energy-independent and that the vignetting
in the innermost 3
around the cluster centre is negligible. The radial behaviour of the soft-proton vignetting measured for MOS by Kuntz & Snowden (2008) is consistent with being flat within the inner 3
.
![]() |
Figure 2:
Example of the Cash-statistic minimisation method, as used for cluster
J1539. The multiplication factors are based on the region 3 |
Open with DEXTER |
In order to find the vignetting factor, we first scaled the background to the region around 3
from the cluster centre, only based on the number of illuminated
pixels. Then we created a set of spectra where we subtracted this
background multiplied by a range of factors and fitted a model (as
described in Sect. 3.3) to all of them. The C-statistic values of the fits as a function of the scale factor for J1539are shown in Fig. 2.
We fitted a parabola to the data points to find the vignetting factor
and the uncertainty on this value. The multiplication factor at the
minimum of the parabola was taken as the best-fit value. The
uncertainty is then given by the scale factor value for which the C-statistic is 1 above the minimal value (Cash 1979).
3.2 Chandra
Chandra data are available only for J1539. The 8
ACIS observation was taken in pointing mode on 24 June 2007. The Chandra
observation does not suffer from high background. This together with a
high spatial resolution allowed us to investigate the spatial
properties of the object. We then performed the spectral analysis of
the regions marked in Fig. 3. To compare both data sets, we also analysed the spectra based on the same annuli as used in the XMM-Newton analysis. This comparison is discussed in Sect. 4.1.
![]() |
Figure 3:
Chandra image of J1539, based on a 8
|
Open with DEXTER |
3.3 Spectral models
We fitted the spectra with the SPEX package (Kaastra et al. 1996).
We employ two different models. The first is the collisionally ionised
equilibrium (CIE) plasma model based on the MEKAL code (Mewe et al. 1995), implemented as the cie
model in SPEX. This model represents an isothermal gas, which is
appropriate for low-statistics data, where we cannot distinguish
between single and multi-temperature models. For data with higher
statistics, a differential emission measure (DEM) type model can be
used (e.g. Kaastra et al. 2004). In this model the emission measure
(where
and
are the electron and proton densities and V is the source volume) is a function of temperature. The wdem model (Kaastra et al. 2004) is a parametrisation of this type, which provides a good empirical description of the cores of clusters of galaxies (e.g. Kaastra et al. 2004; de Plaa et al. 2004). The model consists of thermal components distributed as a truncated power law. The model is characterised by
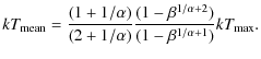
The lower temperature cutoff of the distribution is located at






For a comparison between the outcomes of the (multi-temperature) wdem model to single temperature-models, we employed the mean temperature,
.
This value is defined as
The evaluation of the integral between


We used a neutral absorbing gas model for the determination of the interstellar hydrogen column density. Since the hydrogen column density value from H I maps (e.g. Kalberla et al. 2005; Dickey & Lockman 1990) does not include molecular hydrogen, it is possibly lower than the value needed to fit the spectrum. Therefore we kept

4 Results
![]() |
Figure 4: The EPIC-pn spectrum of J1539(crosses) with subtracted background level (histogram) as explained in Sect. 3.1.2 and the fitted model (connected line). The part above 2 keV is rebinned with a factor two for presentational purposes. |
Open with DEXTER |
Table 3:
Best-fit parameters for spectra of the 3
around the centre of the galaxy clusters.
![]() |
Figure 5:
X-ray ( top) and optical ( bottom) images of the studied clusters. Top and bottom image are at the same scale and the length of the scale bars is 30
|
Open with DEXTER |
A summary of the parameters fitted to the data from the 3
around the centre of the three clusters (which we will hereafter refer
to as the ``integrated'' spectrum) is given in Table 3.
The nominal statistical uncertainties of the fits are shown, as well as
(in brackets) the uncertainty associated with the statistical
uncertainty of the subtracted background. In Fig. 5,
optical and X-ray images of the sources are shown. We also fitted the
spectra of different annuli employing the same model as for the
integrated spectrum (Figs. 6 and 7). In the following sections we describe the results for each source.
Table 4: Summary of the fits to the Chandra ACIS spectra of J1539.
4.1 J1539
The integrated spectrum of our brightest source, J1539, is shown in Fig. 4. As shown in the plot, the background is high compared to the source (see also Sect. 3.1.2). The effect is noticeable for the part of the spectrum above 2.5 keV. We fitted a wdem model to the background-subtracted spectrum. The mean temperature of the source is
keV.
![]() |
Figure 6:
Radial profiles of temperature, Fe abundance and Ni/Fe abundance ratio
for J1539. The solid crosses represent the values for subtracting the
background using the vignetting factor listed in Table 3.
The dashed crosses represent the result when subtracting the background
using the vignetting factor minus its statistical uncertainty, the
dotted crosses represent the case when the vignetting plus its
statistical uncertainty is used for subtraction. The dash-dotted
diamond shapes represent the values fitted to the Chandra ACIS data in
the same spatial region. The grey stars represent the values fitted by Cavagnolo et al. (2009) using the Galactic H I value for the hydrogen column density. The arrows in the bottom panel represent 2 |
Open with DEXTER |
Visual inspection of the Chandra image of J1539(see Fig. 3)
shows complexity in the cluster morphology: a compact bubble-shaped
region and an extended structure in the upper part of it stand out from
the weaker diffuse emission of the cluster. The three regions indicated
in the image yield the parameters cited in Table 4.
Due to the relatively low statistics, we fitted a single-temperature
model to these spectra. The region labelled ``2'' has a temperature of
keV, which is slightly below the temperature of the surrounding gas of
keV. This is consistent with the values found in the XMM-Newton analysis. Fits to the 0-3
region of the Chandra observation yield a hydrogen column density of (
m-2. This is consistent with the best-fit column density derived for the XMM-Newton data, (20.0
0.4 (
0.2))
.
Here, the uncertainty between parentheses is due to the uncertainty in
the background determination by comparing the values of maximum and
minimum background scaling factors.
4.2 J1601
![]() |
Figure 7: Radial profiles of temperature and Fe abundance for J1601. The solid crosses represent the values for subtracting the background using the vignetting factor cited in Table 3. The dashed crosses represent the result when subtracting the background using the vignetting factor minus its statistical uncertainty, the dotted crosses represent the case when the vignetting plus its statistical uncertainty is used for subtraction. |
Open with DEXTER |
The temperature fitted for the integrated spectrum of this source is
keV (see Table 3). The fit is acceptable (see Table 3). We did not find significant multi-temperature structure for this source. Figure 7
shows that there is a flat radial temperature and iron abundance
distribution. Silicon and nickel abundances were not measured in any
significant way.
4.3 J0812
This is the only source for which the background during the
observation was not high. Because we multiplied the counts in the image
with the theoretical vignetting weighting, the uncertainties are not
the square root of the measured counts anymore. In this case, the
Poisson statistic is not valid for the observation, and we used a fit
based on the .
The temperature of the integrated spectral region is measured to be
keV. The Fe abundance is
solar. No other abundances could be significantly determined.
5 Discussion and conclusions
We reported the spectral properties of three moderately bright
clusters, which were selected from WFC data. Radial temperature and
abundance profiles of the the cores of J1539and J1601 were obtained. In
addition, the temperature and iron abundance in the highly absorbed
cluster J0812 are measured. We were able to derive accurate
temperatures and abundances, despite the high soft-proton background in
two of our cluster observations. In Sect. 3.1.2,
we described a novel method to estimate the vignetting factor of soft
protons for EPIC-pn. The systematic uncertainties introduced by this
new method are mostly similar to or smaller than the statistical
uncertainties found in our spectral fits. From the plots in Figs. 6 and 7,
it is clear that the effect of the background subtraction becomes more
important further away from the centre of the field of view due to the
distribution of the source brightness. Especially in the 2-3
region of the upper panel of Fig. 6 it is clear that this effect is non-negligible when measuring temperatures.
The difference we fitted between the 0.1-2.4 keV fluxes we found as well as the fluxes from both the ROSAT all sky survey (Voges et al. 1999) and the REFLEX catalogue (Böhringer et al. 2004)
are typically 20-30%. A comparison of the fluxes with catalogue values
is however not straightforward. The measured flux depends on the model
used and the extraction region (in our case 3). Furthermore, the hydrogen column density used in these catalogues is based on the H I data from Dickey & Lockman (1990).
The value we used is found by fitting the spectra. We found a higher
column density in two of our cases. For J1539, the higher column
density is also found with the Chandra data.
5.1 J1539
J1539is the brightest source of our cluster sample. We found a hydrogen column density that is a factor 2.4 higher than the value from Dickey & Lockman (1990). This value is consistent between XMM-Newton and Chandra. The mean temperature of the integrated spectral region for this cluster is about 3 keV, which indicates that J1539is a relatively cool cluster. This source also had a significant multi-temperature structure when we fitted the spectrum with a differential emission measure (DEM) model. The strong radial iron gradient in J1539is similar to abundance gradients found in cool-core clusters (Tamura et al. 2004; De Grandi et al. 2004). In the Chandra data, no clear trend is visible, which is due to the large error bars of the outer data points.
The Chandra image shows structure in the core (see Fig. 3).
The central elliptic region (labelled ``1'') is cooler than its
surroundings, and the top region (labelled ``2'') is cooler than the
rest of the gas, which is at comparable distances from the core
(labelled ``res.''). The Fe abundance is consistent with the value
derived from the XMM-Newton observation. There is a slight hint for a
higher Fe abundance in the region ``1''. The morphology looks similar
to other examples of cool-core clusters where bubbles were observed,
for example in Abell 2052 (Blanton et al. 2001) and Hydra A (McNamara et al. 2000).
The bubbles in clusters are thought to be caused by AGN outbursts in the central galaxy (for a review on this topic see McNamara & Nulsen 2007).
These outbursts are detected in the radio domain and create cavities in
the X-ray emission of the gas. These AGN also seem to provide the
energy needed to keep the gas from cooling below 0.5 keV. Gas at these temperatures is not observed in clusters of galaxies (Kaastra et al. 2004,2001; Tamura et al. 2001; Peterson et al. 2003,2001), therefore a reheating process of the gas is needed.
In the top panel of Fig. 6 we present the temperature profiles derived from our fits, and compared them to the profile derived by Cavagnolo et al. (2009). Both our radial XMM-Newton and Chandra temperature profiles are significantly different from their profile because they keep the hydrogen column density fixed to the H I value. We let the hydrogen column density free in our fits, and found a value which is 2.4 times higher in both the Chandra and the XMM-Newton data sets.
The radial temperature profile derived from the XMM-Newton data shows a strong decline in the 1-3
region. The Chandra
data however show a much weaker decline. We compared the radial
temperature profiles with a profile, based on average profiles compiled
by Leccardi & Molendi (2008).
They show profiles for the cooling-core, unidentified cooling core and
non-cooling core clusters. This classification is based on the radial
behaviour of temperature in the cluster core. Since we did not measure
a significant temperature decrease with XMM-Newton in this region, we compare our results with the average of the unidentified cooling core clusters.
The temperature
in Leccardi & Molendi (2008) is defined by fitting a single temperature model to the region between
0.1 R180 and
0.6 R180
. However, the annuli we fitted extend only to
0.2 R200. Therefore
we could not use this range for our mean temperature. To compare the
two data sets with the trend, we scaled the relative temperature to the
value of the innermost bin. This results in the plot shown in Fig. 8.
Since the shape of the Chandra and XMM-Newton
temperature profiles are different, the scaling on the innermost bin
results in more significant deviations between the profiles at larger
radii (see Fig. 8). The absolute temperatures in the three inner bins lie within 2.1.
Furthermore, the scaled XMM-Newton data point at
0.17 R200 is 4.7
below the average profile of Leccardi & Molendi (2008).
![]() |
Figure 8:
Comparison of the XMM-Newton and Chandra radial temperature profiles found with the plot of the uncertain cool-core cluster sample from Leccardi & Molendi (2008). The small crosses represent the data points from Leccardi & Molendi (2008). The lines represent the 1 |
Open with DEXTER |
The difference in profile shapes between XMM-Newton , Chandra and the average profile can be explained in multiple ways. The cooler temperature of the innermost bin as measured by Chandra may be partly due to point spread function (PSF) effects. The larger PSF of XMM-Newton may cause photons from the second radial bin to scatter into the central bin and subsequently raise the derived temperature. In addition, the subtracted soft-proton background may not exactly represent the true soft-proton spectrum as measured in the annuli. This is because the soft-proton spectrum in the inner annuli might have a slightly different slope compared to the soft-proton spectrum in the outermost annulus on which the subtracted background is based. The slope of the subtracted background can have a significant influence on the measured temperature, especially in the outer annuli where the background is high with respect to the source spectra.
5.2 J1601
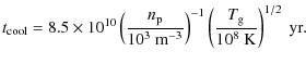
The hydrogen column density that we fitted for J1601 is consistent with the value based on the H I maps of Dickey & Lockman (1990). We derived a temperature for the integrated spectrum, which is rather high for clusters of galaxies. Clusters with high temperatures have less prominent spectral lines, and the fit of the temperature is mostly dependent on the continuum. Therefore, the uncertainty on the background scaling factor introduces a large systematic uncertainty on the temperature.
The flat temperature and iron abundance profiles suggest however that
J1601 is a non-cooling core cluster. This means either that the core of
the cluster has not cooled yet or was recently reheated. The rate at
which the cluster core cools can be estimated by the cooling time. This
is the typical time scale during which the core should have radiated
all its energy away. Sarazin (1988) gives for the cooling time of a cluster of galaxies
![]() |
(4) |
In this equation,







A merger at an early stage of the clusters life could cause shocks,
which would reheat the gas. This could explain the absence of a cool
core when the cooling time is more than 0.1 Hubble times (e.g. Gómez et al. 2002; Burns et al. 1997). The image of this cluster made using XMM-Newton (top-middle panel of Fig. 5) and the intensity contours of the ROSAT HRI (Fig. 1)
hint towards an elongation of the X-ray cluster emission. This hint is
however not statistically strong enough to pinpoint a merger. The
bottom-middle panel of Fig. 5
shows three very bright foreground stars, which make it hard to state
whether there is one central galaxy or if the core consists of multiple
galaxies, which could indicate a merger history.
5.3 J0812
The 0.1-2.4 keV flux we derived for this source is 60% lower than the ROSAT value of Voges et al. (1999). The integrated temperature is relatively low and the iron abundance is slightly lower than the average of larger cluster samples (e.g. de Plaa et al. 2006; Tamura et al. 2004; De Grandi et al. 2004). The hydrogen column density we fitted is high, 36% higher than the value of Dickey & Lockman (1990). Although this is the only observation for which the soft-proton background is very low, it is also the dimmest of the three sources. Therefore, the statistical quality of this observation is limited.
AcknowledgementsWe thank the anonymous referee for constructive comments. We also thank Eva Ratti for helping us identify the stars in J1601. Based on observations obtained with XMM-Newton, an ESA science mission with instruments and contributions directly funded by ESA Member States and NASA.The Netherlands Institute for Space Research (SRON) is supported financially by NWO, the Netherlands Organisation for Scientific Research.
References
- Abell, G. O. 1958, ApJS, 3, 211 [NASA ADS] [CrossRef] [Google Scholar]
- Allen, S. W., Schmidt, R. W., & Fabian, A. C. 2002, MNRAS, 334, L11 [NASA ADS] [CrossRef] [Google Scholar]
- Arnaud, M., Pointecouteau, E., & Pratt, G. W. 2005, A&A, 441, 893 [NASA ADS] [CrossRef] [EDP Sciences] [Google Scholar]
- Blanton, E. L., Sarazin, C. L., McNamara, B. R., et al. 2001, ApJ, 558, L15 [NASA ADS] [CrossRef] [Google Scholar]
- Boella, G., Butler, R. C., Perola, G. C., et al. 1997, A&AS, 122, 299 [NASA ADS] [CrossRef] [EDP Sciences] [Google Scholar]
- Böhringer, H., Schuecker, P., Guzzo, L., et al. 2004, A&A, 425, 367 [NASA ADS] [CrossRef] [EDP Sciences] [Google Scholar]
- Bradt, H., Mayer, W., Naranan, S., Rappaport, S., & Spada, G. 1967, ApJ, 150, L199 [NASA ADS] [CrossRef] [Google Scholar]
- Burns, J. O., Loken, C., Gomez, P., et al. 1997, in Galactic Cluster Cooling Flows, ed. N. Soker (San Francisco: ASP), PASPC, 115, 21 [Google Scholar]
- Byram, E. T., Chubb, T. A., & Friedman, H. 1966, Science, 152, 66 [NASA ADS] [CrossRef] [PubMed] [Google Scholar]
- Cash, W. 1979, ApJ, 228, 939 [NASA ADS] [CrossRef] [Google Scholar]
- Cavagnolo, K. W., Donahue, M., Voit, G. M., et al. 2009, ApJS, 182, 12 [NASA ADS] [CrossRef] [Google Scholar]
- Cavaliere, A. G., Gursky, H., & Tucker, W. H. 1971, Nature, 231, 437 [NASA ADS] [CrossRef] [Google Scholar]
- David, L. P., Arnaud, K. A., Forman, W., et al. 1990, ApJ, 356, 32 [NASA ADS] [CrossRef] [Google Scholar]
- De Grandi, S., Ettori, S., Longhetti, M., et al. 2004, A&A, 419, 7 [NASA ADS] [CrossRef] [EDP Sciences] [Google Scholar]
- de Plaa, J., Kaastra, J. S., Tamura, T., et al. 2004, A&A, 423, 49 [NASA ADS] [CrossRef] [EDP Sciences] [Google Scholar]
- de Plaa, J., Werner, N., Bykov, A. M., et al. 2006, A&A, 452, 397 [NASA ADS] [CrossRef] [EDP Sciences] [Google Scholar]
- Dickey, J. M., & Lockman, F. J. 1990, ARA&A, 28, 215 [NASA ADS] [CrossRef] [MathSciNet] [Google Scholar]
- Ebeling, H., Mullis, C. R., & Tully, R. B. 2002, ApJ, 580, 774 [NASA ADS] [CrossRef] [Google Scholar]
- Elvis, M., Plummer, D., Schachter, J., et al. 1992, ApJS, 80, 257 [NASA ADS] [CrossRef] [Google Scholar]
- Gómez, P. L., Loken, C., Roettiger, K., et al. 2002, ApJ, 569, 122 [NASA ADS] [CrossRef] [Google Scholar]
- Harris, D. E., Forman, W., Gioia, I. M., et al. 1990, in Imaging X-Ray Astronomy. A Decade of Einstein Observatory Achievements, ed. M. Elvis (Cambridge: Cambridge Univ. Press), 309 [Google Scholar]
- Hertz, P., & Grindlay, J. E. 1984, ApJ, 278, 137 [NASA ADS] [CrossRef] [Google Scholar]
- Jager, R., Mels, W. A., Brinkman, A. C., et al. 1997, A&AS, 125, 557 [Google Scholar]
- Kaastra, J. S., Mewe, R., & Nieuwenhuijzen, H. 1996, in UV and X-ray Spectroscopy of Astrophysical and Laboratory Plasmas, ed. K. Yamashita, & T. Watanabe (Tokyo: Univ. Ac. Press), 411 [Google Scholar]
- Kaastra, J. S., Ferrigno, C., Tamura, T., et al. 2001, A&A, 365, L99 [NASA ADS] [CrossRef] [EDP Sciences] [Google Scholar]
- Kaastra, J. S., Tamura, T., Peterson, J. R., et al. 2004, A&A, 413, 415 [NASA ADS] [CrossRef] [EDP Sciences] [Google Scholar]
- Kalberla, P. M. W., Burton, W. B., Hartmann, D., et al. 2005, A&A, 440, 775 [NASA ADS] [CrossRef] [EDP Sciences] [Google Scholar]
- Kellogg, E., Gursky, H., Leong, C., et al. 1971, ApJ, 165, L49 [NASA ADS] [CrossRef] [Google Scholar]
- Kuntz, K. D., & Snowden, S. L. 2008, A&A, 478, 575 [NASA ADS] [CrossRef] [EDP Sciences] [Google Scholar]
- Leccardi, A., & Molendi, S. 2008, A&A, 486, 359 [NASA ADS] [CrossRef] [EDP Sciences] [Google Scholar]
- Lodders, K. 2003, ApJ, 591, 1220 [NASA ADS] [CrossRef] [Google Scholar]
- McNamara, B. R. & Nulsen, P. E. J. 2007, ARA&A, 45, 117 [NASA ADS] [CrossRef] [MathSciNet] [Google Scholar]
- McNamara, B. R., Wise, M., Nulsen, P. E. J., et al. 2000, ApJ, 534, L135 [CrossRef] [Google Scholar]
- Mewe, R., Kaastra, J. S., & Liedahl, D. A. 1995, Legacy, 6, 16 [Google Scholar]
- Peterson, J. R., Paerels, F. B. S., Kaastra, J. S., et al. 2001, A&A, 365, L104 [Google Scholar]
- Peterson, J. R., Kahn, S. M., Paerels, F. B. S., et al. 2003, ApJ, 590, 207 [NASA ADS] [CrossRef] [Google Scholar]
- Raymond, J. C., & Smith, B. W. 1977, ApJS, 35, 419 [NASA ADS] [CrossRef] [Google Scholar]
- Reiprich, T. H., & Böhringer, H. 2002, ApJ, 567, 716 [NASA ADS] [CrossRef] [Google Scholar]
- Revnivtsev, M., Sazonov, S., Jahoda, K., et al. 2004, A&A, 418, 927 [NASA ADS] [CrossRef] [EDP Sciences] [Google Scholar]
- Sarazin, C. L. 1988, X-ray emission from clusters of galaxies, ed. C. L. Sarazin (Cambridge: Cambridge Univ. Press) [Google Scholar]
- Strüder, L., Briel, U., Dennerl, K., et al. 2001, A&A, 365, L18 [NASA ADS] [CrossRef] [EDP Sciences] [Google Scholar]
- Tamura, T., Kaastra, J. S., Peterson, J. R., et al. 2001, A&A, 365, L87 [NASA ADS] [CrossRef] [EDP Sciences] [Google Scholar]
- Tamura, T., Kaastra, J. S., den Herder, J. W. A., Bleeker, J. A. M., & Peterson, J. R. 2004, A&A, 420, 135 [NASA ADS] [CrossRef] [EDP Sciences] [Google Scholar]
- Verrecchia, F., in't Zand, J. J. M., Giommi, P., et al. 2007, A&A, 472, 705 [NASA ADS] [CrossRef] [EDP Sciences] [Google Scholar]
- Voges, W., Aschenbach, B., Boller, T., et al. 1999, A&A, 349, 389 [NASA ADS] [Google Scholar]
- Werner, N., Böhringer, H., Kaastra, J. S., et al. 2006, A&A, 459, 353 [NASA ADS] [CrossRef] [EDP Sciences] [Google Scholar]
- Wood, K. S., Meekins, J. F., Yentis, D. J., et al. 1984, ApJS, 56, 507 [NASA ADS] [CrossRef] [Google Scholar]
- Wright, E. L. 2006, PASP, 118, 1711 [NASA ADS] [CrossRef] [Google Scholar]
Footnotes
- ...R
- In Leccardi & Molendi (2008), R180 is used. Based on their definition of that radius and the definition of the R200 from Arnaud et al. (2005) we find that R200=1.012 R180.
All Tables
Table 1: Previously known parameters for the studied sources.
Table 2: Exposures of the XMM follow-up of the WFC data.
Table 3:
Best-fit parameters for spectra of the 3
around the centre of the galaxy clusters.
Table 4: Summary of the fits to the Chandra ACIS spectra of J1539.
All Figures
![]() |
Figure 1:
Contours of an archival ROSAT HRI observation of J1601. The three dots
plotted are optically bright foreground stars. The observation is
binned using a Gaussian with a 6
|
Open with DEXTER | |
In the text |
![]() |
Figure 2:
Example of the Cash-statistic minimisation method, as used for cluster
J1539. The multiplication factors are based on the region 3 |
Open with DEXTER | |
In the text |
![]() |
Figure 3:
Chandra image of J1539, based on a 8
|
Open with DEXTER | |
In the text |
![]() |
Figure 4: The EPIC-pn spectrum of J1539(crosses) with subtracted background level (histogram) as explained in Sect. 3.1.2 and the fitted model (connected line). The part above 2 keV is rebinned with a factor two for presentational purposes. |
Open with DEXTER | |
In the text |
![]() |
Figure 5:
X-ray ( top) and optical ( bottom) images of the studied clusters. Top and bottom image are at the same scale and the length of the scale bars is 30
|
Open with DEXTER | |
In the text |
![]() |
Figure 6:
Radial profiles of temperature, Fe abundance and Ni/Fe abundance ratio
for J1539. The solid crosses represent the values for subtracting the
background using the vignetting factor listed in Table 3.
The dashed crosses represent the result when subtracting the background
using the vignetting factor minus its statistical uncertainty, the
dotted crosses represent the case when the vignetting plus its
statistical uncertainty is used for subtraction. The dash-dotted
diamond shapes represent the values fitted to the Chandra ACIS data in
the same spatial region. The grey stars represent the values fitted by Cavagnolo et al. (2009) using the Galactic H I value for the hydrogen column density. The arrows in the bottom panel represent 2 |
Open with DEXTER | |
In the text |
![]() |
Figure 7: Radial profiles of temperature and Fe abundance for J1601. The solid crosses represent the values for subtracting the background using the vignetting factor cited in Table 3. The dashed crosses represent the result when subtracting the background using the vignetting factor minus its statistical uncertainty, the dotted crosses represent the case when the vignetting plus its statistical uncertainty is used for subtraction. |
Open with DEXTER | |
In the text |
![]() |
Figure 8:
Comparison of the XMM-Newton and Chandra radial temperature profiles found with the plot of the uncertain cool-core cluster sample from Leccardi & Molendi (2008). The small crosses represent the data points from Leccardi & Molendi (2008). The lines represent the 1 |
Open with DEXTER | |
In the text |
Copyright ESO 2010
Current usage metrics show cumulative count of Article Views (full-text article views including HTML views, PDF and ePub downloads, according to the available data) and Abstracts Views on Vision4Press platform.
Data correspond to usage on the plateform after 2015. The current usage metrics is available 48-96 hours after online publication and is updated daily on week days.
Initial download of the metrics may take a while.