Issue |
A&A
Volume 513, April 2010
|
|
---|---|---|
Article Number | A62 | |
Number of page(s) | 9 | |
Section | Galactic structure, stellar clusters, and populations | |
DOI | https://doi.org/10.1051/0004-6361/200913331 | |
Published online | 30 April 2010 |
A wide angle view of the Sagittarius dwarf spheroidal galaxy
I. VIMOS photometry and radial velocities across Sgr dSph major and minor axis
,![[*]](/icons/foot_motif.png)
G. Giuffrida1 - L. Sbordone2,3,9 - S. Zaggia4 - G. Marconi5 - P. Bonifacio2,3,6 - C. Izzo7 - T. Szeifert5 - R. Buonanno8
1 -
ASI Science data Center, via Galileo Galilei, 00044 Frascati, Italy
2 -
CIFIST Marie Curie Excellence Team
3 -
GEPI, Observatoire de Paris, CNRS, Université Paris Diderot, Place
Jules Janssen, 92190
Meudon, France
4 -
INAF - Osservatorio Astronomico di Padova
Vicolo dell'Osservatorio 5, 35122 Padova, Italy
5 -
European Southern Observatory,
Alonso de Cordova 3107
Vitacura
Casilla 19001
Santiago, Chile
6 -
Istituto Nazionale di Astrofisica,
Osservatorio Astronomico di Trieste, via Tiepolo 11,
34143 Trieste, Italy
7 -
European Southern Observatory,
Karl-Schwarzschild-Str. 2,
85748 Garching bei München, Germany
8 -
Universitá di Roma Tor Vergata,
via della Ricerca Scientifica, 1
00133 Rome, Italy
9 -
Max-Planck-Institut für Astrophysik, Karl-Schwarzschild-Str. 1,
Postfach 1317, 85741 Garching b. München, Germany
Received 21 September 2009 / Accepted 25 November 2009
Abstract
Context. The Sagittarius dwarf Spheroidal Galaxy
(Sgr dSph) provides us with a unique possibility of
studying a dwarf galaxy merging event while still in progress. Moving
along a short-period, quasi-polar orbit in the Milky Way Halo,
Sgr dSph is being tidally dispersed along a huge stellar
stream. Due to its low distance (25 kpc), the main body of
Sgr dSph covers a vast area in the sky (roughly
degrees). Available photometric and spectroscopic studies have
concentrated either on the central part of the galaxy or on the stellar
stream, but the overwhelming majority of the galaxy body has never been
probed.
Aims. The aim of the present study is twofold. On the one hand,
to produce color magnitude diagrams across the extension of
Sgr dSph to study its stellar populations, searching for
age and/or composition gradients (or lack thereof). On the other hand,
to derive spectroscopic low-resolution radial velocities for a
subsample of stars to determine membership to Sgr dSph
for the purpose of high resolution spectroscopic follow-up.
Methods. We used VIMOS@VLT to produce V and I
photometry on 7 fields across the Sgr dSph minor and
major axis, plus 3 more centered on the associated globular
clusters Terzan 7, Terzan 8 and Arp 2. A
last field has been centered on M 54, lying in the center of
Sgr dSph. VIMOS high resolution spectroscopic mode has
then been used to derive radial velocities for a subsample of the
observed stars, concentrating on objects having colors and magnitudes
compatible with the Sgr dSph red giant branch.
Results. We present photometry for 320 000 stars across the
main body of Sgr dSph, one of the richest, and safely
the most wide-angle sampling ever produced for this fundamental object.
We also provide robust memberships for more than one hundred stars,
whose high resolution spectroscopic analysis will be the object of
forthcoming papers. Sgr dSph appears remarkably
uniform among the observed fields. We confirm the presence of a main
Sgr dSph population characterized roughly by the same
metallicity of 47 Tuc, but we also found the presence of multiple
populations on the peripheral fields of the galaxy, with a metallicity
spanning from [Fe/H] = -2.3 to a nearly solar value.
Key words: Local Group - galaxies: photometry - galaxies: stellar content - globular clusters: individual: M 54 - galaxies: individual: Sgr dSph
1 Introduction
Dwarf galaxy mergers are believed to play a key role in the buildup of the Milky Way (MW) Halo (Carollo et al. 2007; Searle & Zinn 1978; Diemand et al. 2007). These are also invoked as suspect responsible of the appearance of the Thick Disk (Kroupa 2002), of the Bulge/Bar system (Heller et al. 2007), and of the Disk warp (Ibata et al. 1997). The discovery of the Sagittarius dwarf Spheroidal galaxy (Sgr dSph; Ibata et al. 1994,1995) allowed for the first time to observe the MW in the act of tidally accreting a dwarf galaxy. Immediately after the discovery, theoretical predictions (Ibata et al. 1997; Helmi & White 1999) as well as observational hints (Ivezic et al. 2000; Ng 1998; Ibata et al. 1997; Ng & Schultheis 1997; Ng 1997; Majewski et al. 1999) concurred in indicating that Sgr dSph should be releasing its stellar content in the Halo along a massive, kinematically cold stream. The existence of the stream was finally confirmed by Ibata et al. (2001) and Majewski et al. (2003), and further branches of it were also identified in the stellar sample of the Sloan Digital Sky Survey (Newberg et al. 2003; Belokurov et al. 2006; Martínez-Delgado et al. 2004). As a matter of fact, the Sgr dSph stream is clearly the most prominent feature visible in the galactic Halo.All such discoveries increased the importance of Sgr dSph not only as a
``test case'' of tidal merging, but as the source of a significant
portion of the stellar population in the Halo. Majewski et al. (2003)
estimated that roughly 75% of high-latitude Halo M-giants originated
from Sgr dSph debris, which also provided almost all Halo AGB C-stars
(see Mauron et al. 2005). Zijlstra et al. (2006) estimated that up to 10%
of the Halo material could come from Sgr dSph debris. A thorough
reconstruction of the Sgr dSph stream(s), moreover, would pose very
strong constraints on the shape of the MW dark matter Halo
(e.g. Fellhauer et al. 2006).
With the discovery of Sgr dSph, 4 globular clusters
(GC) which were before
considered belonging to the halo have been recognized as being
associated with the Sgr dSph. While three of them
(Terzan 7, Terzan 8, and Arp 2) lay at
the outskirts of Sgr dSph, the position of the fourth
one, M 54, coincides with the center of the dwarf spheroidal (Monaco et al. 2005b)
although it likely formed elsewhere and fell subsequently into the galaxy
core (Bellazzini et al. 2008).
It became subsequently clear that a number of other globular clusters, currently
lying far from Sgr dSph, have kinematical properties compatible with an
origin within the Sgr dSph system, and a subsequent stripping
(Bellazzini et al. 2003), or were actually embedded into the stream
material (Martínez-Delgado et al. 2002). For at least one of them, Pal
12, the origin within the Sgr dSph system has now been firmly
established (Sbordone et al. 2007; Cohen 2004).
The large Sgr dSph size (roughly
square degrees in the sky), a
consequence of its modest distance (25 kpc, see Monaco et al. 2004), is
likely the reason why only the central region of the galaxy, and the
associated globular clusters, have been studied so far. M 54 and the
surrounding area have been examined photometrically
(e.g. Bellazzini et al. 2006a; Siegel et al. 2007; Monaco et al. 2004; Marconi et al. 1998; Bellazzini et al. 1999a,b; Layden & Sarajedini 2000) as
well as by means of high resolution spectroscopy (Bonifacio et al. 2000a; Sbordone et al. 2005; Mottini et al. 2008; Zaggia et al. 2004; Bonifacio et al. 2004; McWilliam & Smecker-Hane 2005; Monaco et al. 2005a; Sbordone et al. 2007; Caffau et al. 2005; Tautvaisiene et al. 2004).
While ground based photometry suggests for the Sgr dSph main body population a mean metallicity of [Fe/H]
-1, spectroscopy
shows a surprising abundance spread in the main body, with a
significant population around [Fe/H] = 0, a mean value around
[Fe/H] = -0.5 and a weak metal poor tail possibly extending below
[Fe/H] = -2.5.
The spectroscopic discovery of the metal rich population in the Sgr dSph core was then confirmed
by the detection of its Turn Off superimposed over the M54 CMD in the HST ACS photometry by (Siegel et al. 2007).
Globular clusters considered belonging to Sgr dSph spans
a similar wide range in metallicity, from [Fe/H] = -0.6 for Terzan 7 to [Fe/H] = -2.3 for
Terzan 8.
Stars in the Sgr dSph stream appear to be slightly less metal rich than those in the main body, with metallicity gradients along the stream (Clewley & Jarvis 2006; Chou et al. 2007; Bellazzini et al. 2006b; Monaco et al. 2007). This would not be unexpected if the most metal poor stars were located in the outskirts of Sgr dSph and then subject to the tidal interaction with the MW.
Table 1: List of observed fields.
The detailed chemical analysis of Sgr dSph population showed a highly peculiar abundance pattern, with anomalous abundances for a number of elements (Sbordone et al. 2007, and references therein). The detection of the same signature in Pal 12 was the concluding argument to assign the cluster to the Sgr dSph system.
Although it seems now established
(e.g. Lanfranchi & Matteucci 2007; Lanfranchi et al. 2006a,b) that galactic winds triggered by starbursts are
required to explain the low [/Fe]
ratios observed in many dSph, the complete history of the
Sgr dSph is far from being clarified.
For instance, the extent to which Sgr dSph has been
altered by the
interaction with the MW is currently difficult to assess. The original
mass of Sgr dSph is
uncertain, as well as its original gas content. The large mass of the
stream, the unusually high metallicity among the dSph, and the large
population of GCs, are all indications that we are dealing with an
object which was in the past more a dwarf elliptical than a ``classic''
dwarf
spheroidal galaxy.
There is thus a number of open questions regarding this complex stellar system, some of which can only be addressed by the analysis of stellar populations across the main body of Sgr dSph. Among these open questions we will only mention the following: how did star formation proceed in Sgr dSph? How uniform is its chemical composition? Which is the lower limit of metallicity in Sgr dSph and does it show gradients in composition or age? What is the dynamics of the main body?
![]() |
Figure 1: Map of the Sgr dSph galaxy obtained from 2MASS and UCAC catalog selected in K, J-K, and E(B-V) ( E(B-V) < 0.555, 0.95 < (J-K)0 < 1.10, 10.5 < K0< 12, see Majewski et al. (2003). The boxes shows the position of our fields. |
Open with DEXTER |
2 Observations
The program to sample the stellar populations across Sgr dSph was performed in three steps.First, we secured VIMOS@VLT images of 7 fields across the major and minor axis of the galaxy, and of 5 fields for the associated GCs. Second, we selected targets to observe with the VIMOS Multi Object Spectroscopy (MOS) in the High Resolution red grism (645-860 nm, R=2500) mode, with an exposure time of 600 s for each pointing. Finally, we performed a follow-up spectroscopical analysis with FLAMES (GIRAFFE/UVES mode see Pasquini et al. 2000) on candidate Sgr dSph members in the 7 fields.
This paper presents the photometric study and the complete source catalog (available online) for the Sgr dSph main body fields. The results for Terzan 7, Terzan 8, Arp 2 and NGC 4147 will be presented in a forthcoming paper (Giuffrida et al., in prep.), although the fiducial lines derived from that photometry will be employed here. The abundance and dynamical analysis from the high resolution spectra will be the object of a further paper.
Observations with VIMOS@VLT imaging camera
(LeFevre et al. 2003) were obtained during 5 nights on March, April and May 2004.
The instrument consists of four channels, each with a field of view of
arcmin
and a pixel size of 0.205 arcsec, with a gap of about 2 arcmin between each quadrant.
Each pointing consists of two 10 s exposures in the V and in the I band; the FWHM was in the range 0.7 to 1.3 arcsec. Table 1 presents the list of the observed fields. Last column indicates the number of channels used for each field because one of the VIMOS channels, Q1, turned out to be out of focus on the night 18-04-2004. Consequently for all fields observed that night, Sgr2, Sgr3, Sgr4 and Sgr5, only three channels, namely Q2, Q3 and Q4, could be used for photometry. The position of the fields is reported in Fig. 1, superimposed on a map of 2MASS and UCAC M-giants in the Sgr dSph region (see Majewski et al. 2003).
Concerning the pre-reduction, we applied to each frame overscan correction, bias subtraction and trimming according to the ESO-VIMOS pipeline. Fringing correction on I band frames was performed using IRAF tasks imcombine and ccdproc.
3 Data analysis
3.1 VIMOS photometry
Photometry has been performed using the DAOPHOT/ ALLFRAME packages
(Stetson 1994). Templates for the PSF have been
selected in a semi-interactive mode, having selected a sample of bright
stars uniformly distributed across the entire frame.
The DAOPHOT task ``psf''
has been used to model a first PSF which was used to perform a first
photometry. The subsequent step has been to select from the catalogue
so obtained a new sample of stars to model a more accurate PSF and to
perform a second photometry on each individual frame.
The photometric catalogs of the same field have been matched with
DAOMATCH/DAOMASTER in order to perform the final
photometry simultaneously in all the frames using ALLFRAME. DAOMASTER
finally allowed us to obtain the catalogue for each field. The
photometric calibration was performed using zero points obtained by
the ESO Quality Control Team. Color terms
have been derived through a set of standard stars observed during the same nights.
The following correction was finally applied to the raw VIMOS photometry:
![]() |
(1) |
where a is the color term, air is the airmass, cext is the extinction coefficient, Zp is the zero point and ap is the aperture correction.
3.2 Internal consistency
In order to check the internal consistency of our calibration, we selected, in each of our
fields, a sample of bona-fide MW stars (stars in the interval
18.5<V<19.5 and
0.8<V-I<1.05) and corrected the catalogues according the maps of interstellar reddening of
Schlegel et al. (1998), as
corrected by Bonifacio et al. (2000b).
A comparison of the color distribution of these stars (see Fig. 2) reveals a good
homogeneity of our data.
![]() |
Figure 2: Absolute (V-I)0 color distribution of the MW sequence in the magnitude range 18.5<V<19.5 for all the single fields. The magnitudes of each star has been de-reddened using values from Schlegel et al. (1998) corrected by Bonifacio et al. (2000b). The histograms are normalized to the total counts in the given magnitude range. The vertical dotted line shows the position of the maximum in the M 54 field, taken as a reference. In parenthesis the average value with rms scatter of E(B-V) for the given field. |
Open with DEXTER |
3.3 VIMOS MOS spectroscopy
In order to obtain spectra with good and stable calibrations we implemented a new procedure to extract and calibrate VIMOS-MOS spectra and to derive reliable radial velocities, because the existing ESO-VIMOS pipeline (ver. 2.0.15, see Izzo et al. 2004) produced output spectra which turned out to be unsatisfactory both in terms of extraction quality and wavelength calibration. Therefore we wrote an interactive procedure within the ESO pipeline which allows fine tuning of several parameters and better control of each calibration step. A typical VIMOS-MOS reduction consists of the following 5 steps:
- 1.
- vmbias to obtain a master bias frame;
- 2.
- vmspflat to obtain the master screen flat and the not-normalised screen flat field;
- 3.
- vmspcaldisp to produce an extraction table;
- 4.
- vmmosstandard to obtain the spectro-photometric table;
- 5.
- vmmosobsstare (or vmmosobsjitter in case of jittered science exposures) to obtain the final reduced science exposure;
![]() |
(2) |
(where


Radial velocity of each star has been determined using the three lines of the Ca triplet (849.8, 854.2 and 866.2 nm) Typical uncertainty of the radial velocities obtained in this way varies from 10 to 20 km s-1.
4 Comparison with previous photometry
As no overlap with data in literature exists for Sgr dSph peripheral fields,
we used the photometry of the field around M 54 to check our
calibration.
In particular we used the photometry of Layden & Sarajedini (2000) (henceforth LS00) who worked on an area of
arcmin centered on M 54.
In addition we used the standard stars of Stetson (2000) around NGC 4147 as his
field partly overlaps with our observations in VIMOS quadrant 2.
Figures 3-5 present the residuals between our photometry and the aforementioned studies for stars with V<19 or I<19. While a significant dispersion is clearly visible for LS00, the comparison with NGC 4147 shows a good photometric agreement and the absence of obvious trends with the position of the stars (the root mean square for V data is about 0.025 with a sample of 109 stars, for I data is about 0.023 with a sample of 159 stars).
![]() |
Figure 3: Comparison between our photometry and references photometries. Difference in magnitude in V and I bands is plotted versus instrumental magnitudes. LS00 is Layden & Sarajedini (2000) and NGC 4147 are Stetson's standard stars. |
Open with DEXTER |
![]() |
Figure 4: Comparison between our photometry and reference photometry LS00. Difference in magnitude in V and I bands is plotted versus X and Y coordinates in pixel of the stars. Only stars with V<19 or I<19 have been plotted LS00 is Layden & Sarajedini (2000). |
Open with DEXTER |
![]() |
Figure 5: Comparison between our photometry and reference photometry on NGC 4147. Difference in magnitude in V and I bands is plotted versus X and Y coordinates in pixel of the stars Only stars with V<19 or I<19 have been plotted. |
Open with DEXTER |
Actually two additional photometric studies exist, namely those of
Marconi et al. (1998) and Monaco et al. (2002).
However considering that the first one covers
a small area of the sky (
arcmin) and that the second one is based on WIFI@ESO2.2 data which
is known to suffer of significant inhomogeneity (Calamida et al. 2008; Koch et al. 2004) we didn't consider useful to perform
such comparisons.
In conclusion, of the two studies we compared with, one (Stetson) supports our calibration while the other (LS00) presents
trends both in position and in magnitude which are impossible to disentangle at the moment. All in all
the comparisons did not offer particular reasons to question our calibration.
5 Color-magnitude diagrams
In Fig. 6 we present the CMDs of the seven Sgr dSph peripheral fields plus the field centered on M 54. Fields along the minor and major axis are presented in the left and in the right panel respectively. Inspection of the CMDs reveals immediately that:
- contamination of the disk of the Milky Way is visible as a roughly vertical
sequence at
and from V=20.5 to V=13.5. The giant branch of the old Bulge population is visible as a second sequence, nearly parallel to the previous one, at
.
- A very similar galactic contamination can be observed in all the minor axis fields, which are centered at nearly constant galactic latitude. The fields along the major axis show a galactic contamination which dramatically increases from field Sgr 4 to field Sgr 1;
- the turn off of the Sgr main population is clearly detectable in
all fields at a magnitude between V=20.5 and V=21.5 and color
.
- a densely populated red clump at
and
is detectable in all fields;
- the Red Giant Branch (RGB) of Sgr dSph main population is clearly present in field Sgr 2, 3, 5, 6 and in the M 54 field. In Sgr 1 and Sgr 4 the number of RGB stars is lower, but the RGB remains nevertheless detectable;
- an extended Blue Plume (BP) is visible in all fields in the intervals 0.4<V-I<0.8 and 19.0<V<21.0. This population, which is clearly visible in the fields M 54, Sgr 0, 5, and 6, is considered to be the Main Sequence of the younger, metal rich population of Sgr dSph (Bonifacio et al. 2000a,2004; Siegel et al. 2007; Sbordone et al. 2007). The alternative interpretation of the plume as a sequence of Blue Stragglers cannot be ruled out (see discussion in Momany et al. 2007).
6 Sgr dSph main population
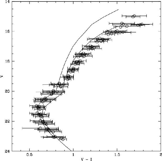
All the Sgr dSph fields are characterized by the presence of a dominant population whose progeny is the ubiquitous RGB . To investigate the possible presence of population gradients along the major and minor axes we carried out a comparison of the position of the RGB in each field.
After having derived fiducial line of the main population in each field and having corrected for reddening differences, we plotted all the fiducial lines in Fig. 7 as open circles (Sgr1 was not reported because the high contamination of the MW did not allow to draw a reliable fiducial line). RGB positions, used for the fiducial lines, and associated uncertainties are calculated finding the median value of the color distribution of stars on each magnitude interval around the expected position of the RGB, SGB and main sequence, and fitting with a gaussian the distribution around the median value. On the same figure the fiducial lines of M5 and 47Tuc are drawn. A simple inspection of Fig. 7 reveals that:
- 1.
- within the uncertainties the dominant population of Sgr dSph is similar across the field.
- 2.
- metallicity of Sgr dSph main population is comparable with that of 47Tuc ([Fe/H] = -0.67), confirming previous estimates.
7 Looking for other populations
From VIMOS-MOS observations we acquired spectra for 1000 stars, and we selected 180
candidate Sgr dSph
members from radial velocities centered on the 7 Sgr dSph fields.
575 targets have been added to this sample selecting other stars near
in color and magnitude to the 180 confirmed Sgr dSph members.
Finally FLAMES followup has been performed on these stars.
After having measured radial velocities for these stars
we plotted these velocities in the histogram of Fig. 8. We have then selected the sample with
because we considered that the large majority of this sample is
constituted by Sgr dSph stars. The full analysis of the
FLAMES sample will be presented in Sbordone et al. (2009).
The stars selected in this way are reported as black dots in Fig. 9, in addition to the complete photometry
of the present paper and with the
the superimposed fiducial lines of M 92, M 5 and 47 Tuc (based on the photometry of
(Stetson 2000)).
Inspection of Fig. 9 reveals that the sample selected on the basis of radial velocity span
a large interval of metallicity, with stars more metal rich
than 47 Tuc ([Fe/H] = -0.67), and stars more metal poor than M92 ([Fe/H] = -2.52).
These results
are in agreement with the data collected on the Sgr dSph core
(Monaco et al. 2005a; Zaggia et al. 2004; McWilliam & Smecker-Hane 2005; Sbordone et al. 2007), with two
remarkable exceptions, namely the presence of a well populated intermediate
population ([Fe/H] around -1) and a large numbers of bright
stars lying at the blue edge of the RGB
(17<V<14 and
0.9<V-I<1.1) that cannot be reproduced with a
``M 92 like'' population. The case of these stars will be
analyzed in the next section.
![]() |
Figure 6: VIMOS colour-magnitude diagrams (CMDs) for all observed field. Each box shows the name of the field and the galactic coordinates in parenthesis. Left column: CMD of the fields on the center (M54) and along the Minor Axis of SGR. Right column: CMDs of the fields along the Major Axis of SGR. |
Open with DEXTER |
The comparison of the fiducial lines for Sgr dSph globular clusters M 54, Terzan 7, Terzan 8, and Arp 2 in Fig. 10 reveals a similar scenario: Terzan 7 is not sufficiently metal rich to trace the most metal rich Sgr dSph population and the Terzan 8 fiducial line is not compatible with the position of the bright stars at the blue edge of the RGB.
![]() |
Figure 7: Sgr dSph main population position on Sgr dSph fields with uncertainties in color. Fiducial lines of 2 galactic globular cluster are superimposed: M 5 and 47Tuc characterized by [Fe/H] = -1.24, -0.67. |
Open with DEXTER |
Table 2: V-(V-I) fiducial lines for the globular clusters M 92, M 5, 47 Tuc.
Table 3: V-(V-I) fiducial lines for the globular clusters M 54, Terzan 7, Terzan 8, Arp 2.
![]() |
Figure 8:
Radial velocity distribution of the FLAMES sample. All stars with
|
Open with DEXTER |
![]() |
Figure 9: Colour-magnitude diagram for all the stars detected on the 7 Sgr dSph peripheral fields with overplotted the stars observed with FLAMES and showing radial velocities compatible with a membership in Sgr dSph. Fiducial lines of 3 galactic globular cluster are superimposed. From left to right: M92, M5 and 47Tuc characterized by [Fe/H] = -2.52, -1.24, -0.67. The bold line follows the position of the RGB of Sgr dSph main population. |
Open with DEXTER |
![]() |
Figure 10: Colour-magnitude diagram for all the stars detected on the 7 Sgr dSph peripheral fields with overplotted the stars observed with FLAMES and showing radial velocities compatible with a membership in Sgr dSph. Fiducial lines of 4 Sgr dSph globular clusters are superimposed. From left to right: Ter8, Arp2, M54, Ter7 characterized by [Fe/H] = -2.34, -1.83, -1.55, -0.6. The bold line follows the position of the RGB of Sgr dSph main population. |
Open with DEXTER |
Table 4: Reddening, distance modulus and metallicity of the 3 Galactic globular clusters.
Table 5: Reddening, distance modulus and metallicity of the 4 Sgr dSph globular clusters.
7.1 RGB Blue edge
In order to investigate on the nature of the stars in the region (17<V<14 and 0.9<V-I<1.1) we overplotted a 14 GYr [Fe/H] = -3.3 isochrone to the CMD (Cassisi, private communication). Inspection of Fig. 11, however, rules out the hypothesis that the observed stars at the blue edge of the RGB are representative of an extremely metal poor population, essentially for the anomalous expected position of the main sequence and turn off.
On the other hand, in this region of the cmd a significant contamination of the stars in the MW Bulge is expected, and the question is whether the radial velocities we have measured may exclude they belong to the MW. In order to clarify this point we have plotted in Fig. 12 the distribution of radial velocities of the Besançon sample (Robin et al. 2004) for MW stars. Inspection of Fig. 12 reveals immediately that the tail of the distribution, namely about the 20% of the sample, fall in the region of the radial velocity of Sgr dSph. We can then conclude that the ``RGB Blue edge stars'' are indeed heavily contaminated by Bulge stars and there is the possibility that all of them are Bulge stars. It cannot be excluded however that a fraction of them belongs to an extremely metal poor Sgr dSph population.
![]() |
Figure 11: Colour-magnitude diagram for all the stars detected on the 7 Sgr dSph peripheral fields with overplotted the stars observed with FLAMES and showing radial velocities compatible with a membership in Sgr dSph. Fiducial lines of the galactic globular clusters and isochrone characterized by 14 GYr [Fe/H] = -3.3 are superimposed. Isodensity contours are superimposed on the Sgr dSph main sequence region. |
Open with DEXTER |
![]() |
Figure 12: Radial velocity distribution of the Besançon simulated sample in the ``RGB Blue edge'' box. The Sgr dSph velocity compatible stars are plotted in bold. |
Open with DEXTER |
8 Discussion and conclusions
In this paper we present a V, I VIMOS photometric catalog for
320 000 sources across eight fields in the direction of
the Sagittarius dwarf Spheroidal galaxy, covering roughly 0.43 square
degrees. The main purpose of this survey was to probe Sgr dSph stellar
populations over a significant fraction of its spatial extension, from
its center to its periphery, and to provide targets for high
resolution spectroscopical analysis.
Our survey extends over 6.2 degrees along the galaxy major axis, and 2 degrees along the minor axis, i.e. about one third of Sgr dSph extension. Two occurrences limit the extension of this sort of studies: first the presence of the MW disk which makes the contamination too severe at the position of our field Sgr 1, second the fact that the density of Sgr dSph stars drops quickly when moving away from the center, making a spectroscopic follow-up highly inefficient. During the FLAMES follow-up observations, in fields such as Sgr 1, Sgr 4, Sgr 5, and Sgr 6 we were able to place only a few dozens of fibers on ``radial velocity members'' detected by VIMOS-MOS. VIMOS spectroscopy provided radial velocities adequate for FLAMES candidates selection, but not good enough for dynamical analysis. The uncertainties in the MOS wavelength calibration, together with the limited S/N of the spectra led to a final uncertainty of about 10-20 km s-1, comparable to the overall Sgr dSph velocity dispersion (see Fig. 8).
Within the precision allowed by the mentioned MW contamination, the population of Sgr dSph appears remarkably uniform among the observed fields. We thus confirm the presence of a main Sgr dSph population characterized roughly by the same metallicity of 47 Tuc, but we also found the presence of multiple populations on the peripheral fields Sgr0-Sgr6, with a metallicity spanning from [Fe/H] = -2.3 to a nearly solar value. Our research thus confirms the extremely complex evolution of this object. Using our FLAMES data we plan to better characterize these populations both from a chemical and a dynamical point of view, adding new pieces to this intriguing puzzle.
AcknowledgementsThe authors L.S. and P.B. acknowledge financial support from EU contract MEXT-CT-2004-014265 (CIFIST). We thank S. Cassisi for providing us an unpublished low metallicity isochrone. This research has made use of the VizieR Service (Ochsenbein et al. 2000) operated at CDS, Strasbourg, France, and of NASA's Astrophysics Data System.
References
- Bellazzini, M., Ferraro, F. R., & Buonanno, R. 1999a, MNRAS, 304, 633 [NASA ADS] [CrossRef] [Google Scholar]
- Bellazzini, M., Ferraro, F. R., & Buonanno, R. 1999b, MNRAS, 307, 619 [NASA ADS] [CrossRef] [Google Scholar]
- Bellazzini, M., Ferraro, F. R., & Ibata, R. 2003, AJ, 125, 188 [NASA ADS] [CrossRef] [Google Scholar]
- Bellazzini, M., Correnti, M., Ferraro, F. R., Monaco, L., & Montegriffo, P. 2006a, A&A, 446, L1 [NASA ADS] [CrossRef] [EDP Sciences] [Google Scholar]
- Bellazzini, M., Newberg, H. J., Correnti, M., Ferraro, F. R., & Monaco, L. 2006b, A&A, 457, L21 [NASA ADS] [CrossRef] [EDP Sciences] [Google Scholar]
- Bellazzini, M., Ibata, R. A., Chapman, S. C., et al. 2008, AJ, 136, 1147 [NASA ADS] [CrossRef] [Google Scholar]
- Belokurov, V., Zucker, D. B., Evans, N. W., et al. 2006, ApJ, 642, L137 [NASA ADS] [CrossRef] [Google Scholar]
- Bonifacio, P., Hill, V., Molaro, P., et al. 2000a, A&A, 359, 663 [NASA ADS] [Google Scholar]
- Bonifacio, P., Monai, S., & Beers, T. C. 2000b, AJ, 120, 2065 [NASA ADS] [CrossRef] [Google Scholar]
- Bonifacio, P., Sbordone, L., Marconi, G., Pasquini, L., & Hill, V. 2004, A&A, 414, 503 [NASA ADS] [CrossRef] [EDP Sciences] [Google Scholar]
- Brown, J. A., Wallerstein, G., & Gonzalez, G. 1999, AJ, 118, 1245 [NASA ADS] [CrossRef] [Google Scholar]
- Caffau, E., Bonifacio, P., Faraggiana, R., & Sbordone, L. 2005, A&A, 436, L9 [NASA ADS] [CrossRef] [EDP Sciences] [Google Scholar]
- Calamida, A., Corsi, C. E., Bono, G., et al. 2008 [arXiv:0801.0693] [Google Scholar]
- Carollo, D., Beers, T. C., Lee, Y. S., et al. 2007, Nature, 450, 1020 [NASA ADS] [CrossRef] [PubMed] [Google Scholar]
- Carretta, E., Gratton, R. G., Bragaglia, A., Bonifacio, P., & Pasquini, L. 2004, A&A, 416, 925 [NASA ADS] [CrossRef] [EDP Sciences] [Google Scholar]
- Chou, M.-Y., Majewski, S. R., Cunha, K., et al. 2007, ApJ, 670, 346 [NASA ADS] [CrossRef] [Google Scholar]
- Clewley, L., & Jarvis, M. J. 2006, MNRAS, 368, 310 [NASA ADS] [Google Scholar]
- Cohen, J. G. 2004, AJ, 127, 1545 [NASA ADS] [CrossRef] [Google Scholar]
- Diemand, J., Kuhlen, M., & Madau, P. 2007, ApJ, 667, 859 [NASA ADS] [CrossRef] [Google Scholar]
- Fellhauer, M., Belokurov, V., Evans, N. W., et al. 2006, ApJ, 651, 167 [NASA ADS] [CrossRef] [Google Scholar]
- Gray, N., Jenness, T., Allan, A., et al. 2005, Astronomical Data Analysis Software and Systems XIV, 347, 119 [NASA ADS] [Google Scholar]
- Harris, W. E. 1996, AJ, 112, 1487 [NASA ADS] [CrossRef] [Google Scholar]
- Heller, C. H., Shlosman, I., & Athanassoula, E. 2007, ApJ, 671, 226 [NASA ADS] [CrossRef] [Google Scholar]
- Helmi, A., & White, S. D. M. 1999, MNRAS, 307, 495 [NASA ADS] [CrossRef] [Google Scholar]
- Ibata, R. A., Gilmore, G., & Irwin, M. J. 1994, Nature, 370, 194 [NASA ADS] [CrossRef] [Google Scholar]
- Ibata, R. A., Gilmore, G., & Irwin, M. J. 1995, MNRAS, 277, 781 [NASA ADS] [CrossRef] [Google Scholar]
- Ibata, R. A., Wyse, R. F. G., Gilmore, G., Irwin, M. J., & Suntzeff, N. B. 1997, AJ, 113, 634 [Google Scholar]
- Ibata, R., Lewis, G. F., Irwin, M., Totten, E., & Quinn, T. 2001, ApJ, 551, 294 [NASA ADS] [CrossRef] [Google Scholar]
- Ivezic, Z., Goldston, J., Finlator, K., et al. 2000, AJ, 120, 963 [NASA ADS] [CrossRef] [Google Scholar]
- Izzo, C., Kornweibel, N., McKay, D., et al. 2004, The Messenger, 117, 33 [NASA ADS] [Google Scholar]
- King, J. R., Stephens, A., Boesgaard, A. M., & Deliyannis, C. 1998, AJ, 115, 666 [NASA ADS] [CrossRef] [Google Scholar]
- Koch, A., Odenkirchen, M., Grebel, E. K., & Caldwell, J. A. R. 2004, Astron. Nachr., 325, 299 [NASA ADS] [CrossRef] [Google Scholar]
- Kroupa, P. 2002, MNRAS, 330, 707 [NASA ADS] [CrossRef] [Google Scholar]
- Landolt, A. U. 1992, AJ, 104, 340 [NASA ADS] [CrossRef] [Google Scholar]
- Lanfranchi, G. A., & Matteucci, F. 2007, A&A, 468, 927 [NASA ADS] [CrossRef] [EDP Sciences] [Google Scholar]
- Lanfranchi, G. A., Matteucci, F., & Cescutti, G. 2006a, A&A, 453, 67 [NASA ADS] [CrossRef] [EDP Sciences] [Google Scholar]
- Lanfranchi, G. A., Matteucci, F., & Cescutti, G. 2006b, MNRAS, 365, 477 [NASA ADS] [CrossRef] [Google Scholar]
- Lanfranchi, G. A., Matteucci, F., & Cescutti, G. 2008, A&A, 481, 635 [NASA ADS] [CrossRef] [EDP Sciences] [Google Scholar]
- Law, D. R., Majewski, S. R., & Johnston, K. V. 2009, ApJ, 703, L67 [NASA ADS] [CrossRef] [Google Scholar]
- Layden, A. C., & Sarajedini, A. 2000, AJ, 119, 1760 [Google Scholar]
- LeFevre, O., Saisse, M., Mancini, D., et al. 2003, Proc. SPIE, 4841, 1670 [NASA ADS] [CrossRef] [Google Scholar]
- Majewski, S. R., Siegel, M. H., Kunkel, W. E., et al. 1999, AJ, 118, 1709 [NASA ADS] [CrossRef] [Google Scholar]
- Majewski, S. R., Skrutskie, M. F., Weinberg, M. D., & Ostheimer, J. C. 2003, ApJ, 599, 1082 [NASA ADS] [CrossRef] [Google Scholar]
- Marconi, G., Buonanno, R., Castellani, M., et al. 1998, A&A, 330, 453 [NASA ADS] [Google Scholar]
- Martínez-Delgado, D., Zinn, R., Carrera, R., & Gallart, C. 2002, ApJ, 573, L19 [NASA ADS] [CrossRef] [Google Scholar]
- Martínez-Delgado, D., Gómez-Flechoso, M. Á., Aparicio, A., & Carrera, R. 2004, ApJ, 601, 242 [NASA ADS] [CrossRef] [Google Scholar]
- Mauron, N., Kendall, T. R., & Gigoyan, K. 2005, A&A, 438, 867 [NASA ADS] [CrossRef] [EDP Sciences] [Google Scholar]
- McWilliam, A., & Smecker-Hane, T. A. 2005, ApJ, 622, L29 [NASA ADS] [CrossRef] [Google Scholar]
- Momany, Y., Held, E. V., Saviane, I., Zaggia, S., Rizzi, L., & Gullieuszik, M. 2007, A&A, 468, 973 [NASA ADS] [CrossRef] [EDP Sciences] [Google Scholar]
- Monaco, L., Ferraro, F. R., Bellazzini, M., & Pancino, E. 2002, ApJ, 578, L47 [NASA ADS] [CrossRef] [Google Scholar]
- Monaco, L., Bellazzini, M., Ferraro, F. R., & Pancino, E. 2004, MNRAS, 353, 874 [NASA ADS] [CrossRef] [Google Scholar]
- Monaco, L., Bellazzini, M., Bonifacio, P., et al. 2005a, A&A, 441, 141 [NASA ADS] [CrossRef] [EDP Sciences] [MathSciNet] [Google Scholar]
- Monaco, L., Bellazzini, M., Ferraro, F. R., & Pancino, E. 2005b, MNRAS, 356, 1396 [NASA ADS] [CrossRef] [Google Scholar]
- Monaco, L., Bellazzini, M., Bonifacio, P., et al. 2007, A&A, 464, 201 [NASA ADS] [CrossRef] [EDP Sciences] [Google Scholar]
- Monai, S., Bonifacio, P., & Sbordone, L. 2005, A&A, 433, 241 [NASA ADS] [CrossRef] [EDP Sciences] [Google Scholar]
- Mottini, M., Wallerstein, G., & McWilliam, A. 2008, AJ, 136, 614 [NASA ADS] [CrossRef] [Google Scholar]
- Newberg, H. J., Yanny, B., Grebel, E. K., et al. 2003, ApJ, 596, L191 [NASA ADS] [CrossRef] [Google Scholar]
- Ng, Y. K. 1997, A&A, 328, 211 [NASA ADS] [Google Scholar]
- Ng, Y. K. 1998, A&A, 338, 435 [NASA ADS] [Google Scholar]
- Ng, Y. K., & Schultheis, M. 1997, A&AS, 123, 115 [Google Scholar]
- Ochsenbein, F., Bauer, P., & Marcout, J. 2000, A&AS, 143, 23 [NASA ADS] [CrossRef] [EDP Sciences] [Google Scholar]
- Pasquini, L., Avila, G., Allaert, E., et al. 2000, Proc. SPIE, 4008, 129 [Google Scholar]
- Robin, A. C., Reylé, C., Derrière, S., & Picaud, S. 2004, A&A, 416, 157 [NASA ADS] [CrossRef] [EDP Sciences] [Google Scholar]
- Sbordone, L., Bonifacio, P., Marconi, G., Buonanno, R., & Zaggia, S. 2005, A&A, 437, 905 [NASA ADS] [CrossRef] [EDP Sciences] [Google Scholar]
- Sbordone, L., Bonifacio, P., Buonanno, R., et al. 2007, A&A, 465, 815 [NASA ADS] [CrossRef] [EDP Sciences] [Google Scholar]
- Schlegel, D. J., Finkbeiner, D. P., & Davis, M. 1998, ApJ, 500, 525 [NASA ADS] [CrossRef] [Google Scholar]
- Searle, L., & Zinn, R. 1978, ApJ, 225, 357 [NASA ADS] [CrossRef] [Google Scholar]
- Siegel, M. H., Dotter, A., Majewski, S. R., et al. 2007, ApJ, 667, L57 [NASA ADS] [CrossRef] [Google Scholar]
- Stetson, P. B. 1994, PASP, 106, 250 [NASA ADS] [CrossRef] [Google Scholar]
- Stetson, P. B. 2000, PASP, 112, 925 [NASA ADS] [CrossRef] [Google Scholar]
- Tautvaisiene, G., Wallerstein, G., Geisler, D., Gonzalez, G., & Charbonnel, C. 2004, AJ, 127, 373 [NASA ADS] [CrossRef] [Google Scholar]
- Yong, D., Lambert, D. L., Paulson, D. B., & Carney, B. W. 2008, ApJ, 673, 854 [NASA ADS] [CrossRef] [Google Scholar]
- Zaggia, S., Bonifacio, P., Bellazzini, M., et al. 2004, Mem. Soc. Astron. Ital. Suppl., 5, 291 [Google Scholar]
- Zijlstra, A. A., Gesicki, K., Walsh, J. R., et al. 2006, MNRAS, 369, 875 [NASA ADS] [CrossRef] [Google Scholar]
Footnotes
- ... axis
- Full catalog is only available in electronic form at the CDS via anonymous ftp to cdsarc.u-strasbg.fr (130.79.128.5) or via http://cdsweb.u-strasbg.fr/cgi-bin/qcat?J/A+A/513/A62
- ...
- Based on observations made with ESO Telescopes at Paranal Observatory under programme ID 073.B-0455.
- ... Team
- The measurements and values of the ZP for the observing nights of this program can be retrieved at the site http://www.eso.org/observing/dfo/quality/
- ...Schlegel et al. (1998)
- See http://www.astro.princeton.edu/ Schlegel/dust/
All Tables
Table 1: List of observed fields.
Table 2: V-(V-I) fiducial lines for the globular clusters M 92, M 5, 47 Tuc.
Table 3: V-(V-I) fiducial lines for the globular clusters M 54, Terzan 7, Terzan 8, Arp 2.
Table 4: Reddening, distance modulus and metallicity of the 3 Galactic globular clusters.
Table 5: Reddening, distance modulus and metallicity of the 4 Sgr dSph globular clusters.
All Figures
![]() |
Figure 1: Map of the Sgr dSph galaxy obtained from 2MASS and UCAC catalog selected in K, J-K, and E(B-V) ( E(B-V) < 0.555, 0.95 < (J-K)0 < 1.10, 10.5 < K0< 12, see Majewski et al. (2003). The boxes shows the position of our fields. |
Open with DEXTER | |
In the text |
![]() |
Figure 2: Absolute (V-I)0 color distribution of the MW sequence in the magnitude range 18.5<V<19.5 for all the single fields. The magnitudes of each star has been de-reddened using values from Schlegel et al. (1998) corrected by Bonifacio et al. (2000b). The histograms are normalized to the total counts in the given magnitude range. The vertical dotted line shows the position of the maximum in the M 54 field, taken as a reference. In parenthesis the average value with rms scatter of E(B-V) for the given field. |
Open with DEXTER | |
In the text |
![]() |
Figure 3: Comparison between our photometry and references photometries. Difference in magnitude in V and I bands is plotted versus instrumental magnitudes. LS00 is Layden & Sarajedini (2000) and NGC 4147 are Stetson's standard stars. |
Open with DEXTER | |
In the text |
![]() |
Figure 4: Comparison between our photometry and reference photometry LS00. Difference in magnitude in V and I bands is plotted versus X and Y coordinates in pixel of the stars. Only stars with V<19 or I<19 have been plotted LS00 is Layden & Sarajedini (2000). |
Open with DEXTER | |
In the text |
![]() |
Figure 5: Comparison between our photometry and reference photometry on NGC 4147. Difference in magnitude in V and I bands is plotted versus X and Y coordinates in pixel of the stars Only stars with V<19 or I<19 have been plotted. |
Open with DEXTER | |
In the text |
![]() |
Figure 6: VIMOS colour-magnitude diagrams (CMDs) for all observed field. Each box shows the name of the field and the galactic coordinates in parenthesis. Left column: CMD of the fields on the center (M54) and along the Minor Axis of SGR. Right column: CMDs of the fields along the Major Axis of SGR. |
Open with DEXTER | |
In the text |
![]() |
Figure 7: Sgr dSph main population position on Sgr dSph fields with uncertainties in color. Fiducial lines of 2 galactic globular cluster are superimposed: M 5 and 47Tuc characterized by [Fe/H] = -1.24, -0.67. |
Open with DEXTER | |
In the text |
![]() |
Figure 8:
Radial velocity distribution of the FLAMES sample. All stars with
|
Open with DEXTER | |
In the text |
![]() |
Figure 9: Colour-magnitude diagram for all the stars detected on the 7 Sgr dSph peripheral fields with overplotted the stars observed with FLAMES and showing radial velocities compatible with a membership in Sgr dSph. Fiducial lines of 3 galactic globular cluster are superimposed. From left to right: M92, M5 and 47Tuc characterized by [Fe/H] = -2.52, -1.24, -0.67. The bold line follows the position of the RGB of Sgr dSph main population. |
Open with DEXTER | |
In the text |
![]() |
Figure 10: Colour-magnitude diagram for all the stars detected on the 7 Sgr dSph peripheral fields with overplotted the stars observed with FLAMES and showing radial velocities compatible with a membership in Sgr dSph. Fiducial lines of 4 Sgr dSph globular clusters are superimposed. From left to right: Ter8, Arp2, M54, Ter7 characterized by [Fe/H] = -2.34, -1.83, -1.55, -0.6. The bold line follows the position of the RGB of Sgr dSph main population. |
Open with DEXTER | |
In the text |
![]() |
Figure 11: Colour-magnitude diagram for all the stars detected on the 7 Sgr dSph peripheral fields with overplotted the stars observed with FLAMES and showing radial velocities compatible with a membership in Sgr dSph. Fiducial lines of the galactic globular clusters and isochrone characterized by 14 GYr [Fe/H] = -3.3 are superimposed. Isodensity contours are superimposed on the Sgr dSph main sequence region. |
Open with DEXTER | |
In the text |
![]() |
Figure 12: Radial velocity distribution of the Besançon simulated sample in the ``RGB Blue edge'' box. The Sgr dSph velocity compatible stars are plotted in bold. |
Open with DEXTER | |
In the text |
Copyright ESO 2010
Current usage metrics show cumulative count of Article Views (full-text article views including HTML views, PDF and ePub downloads, according to the available data) and Abstracts Views on Vision4Press platform.
Data correspond to usage on the plateform after 2015. The current usage metrics is available 48-96 hours after online publication and is updated daily on week days.
Initial download of the metrics may take a while.