Issue |
A&A
Volume 513, April 2010
|
|
---|---|---|
Article Number | A28 | |
Number of page(s) | 4 | |
Section | Interstellar and circumstellar matter | |
DOI | https://doi.org/10.1051/0004-6361/200913406 | |
Published online | 16 April 2010 |
The local Galactic magnetic field in the direction of Geminga
(Research Note)
M. Salvati
INAF - Osservatorio Astrofisico di Arcetri Largo Enrico Fermi 5, 50125 Firenze, Italy
Received 5 October 2009 / Accepted 25 January 2010
Abstract
Context. The Milagro hot spot A, close to the Galactic
anticenter direction, has been tentatively attributed to cosmic rays
from a local reservoir (at a distance 100 pc),
freely streaming along diverging and smooth magnetic field lines. This
is at variance with the geometry of the
kpc scale Galactic magnetic field, which is known to be aligned with the spiral arms.
Aims. We investigate the information available on the geometry of the magnetic field on the scales (100 pc) of relevance here.
Methods. The magnetic field immediately upstream of the
heliosphere has been investigated by previous authors by modeling the
interaction of this field with the solar wind. At larger distances, we
use the dispersion measure and the rotation measure of nearby pulsars
(especially towards the third Galactic quadrant). Additional
information about the local field towards the North Polar Spur is taken
from previous studies of the diffuse radio emission and the
polarization of starlight.
Results. The asymmetry of the heliosphere with respect to the
incoming interstellar medium implies a magnetic field almost orthogonal
to the local spiral arm, in the general direction of hot spot A, but
more to the south. This is in good agreement with the nearby pulsar
data on the one side, and the North Polar Spur data on the other.
Conclusions. The local magnetic field on scales of 100 parsecs
around the Sun seems to be oriented so as to provide a direct
connection between the Solar System and a possible site of the Geminga
supernova; the residual angular difference and the shape and
orientation of the Milagro hot spot can be attributed to the field
trailing in the wake of the heliosphere.
Key words: cosmic rays - supernovae: general - supernovae: individual: Geminga - ISM: magnetic fields
1 Introduction
The detection by Milagro of anistropies on small angular scales in the arrival directions of multi-TeV cosmic ray protons (dubbed hot spots A and B; Abdo et al. 2008) has stirred lively debate. There was little surprise on the detection of anisotropies at the measured level, but the expectation had been that these anisotropies would appear on larger angular scales, in agreement with the diffusion mode that accounts successfully for the propagation of cosmic rays. A positive excess in the general direction of hot spot A (``tail-in'' anisotropy) had already been detected by other experiments (Tibet Air Shower Array, Amenomori et al. 2006, and Super Kamiokande I, Guillian et al. 2007), although the narrowness of the feature (only a few degrees) had not been noticed before.
Salvati & Sacco (2008, hereafter SS) pointed out that
hot spot A is in the general direction of Geminga, and suggested
that a plausible source could be the Geminga supernova remnant
(SNR) rather than the pulsar. The SNR would have dispersed by
now and survive as only an expanding cloud of cosmic rays. Its
distance could be much smaller than the present distance to the
pulsar, if a positive radial velocity is assumed for the latter.
This distance could be crossed by diffusion in the time elapsed
since the explosion (at least for crude assumptions about
the diffusion coefficient). The energetics were also found to be
correct and the energy
dependence of the diffusion coefficient would account for the
hard spectrum (
)
of the excess cosmic rays.
Drury & Aharonian (2008, hereafter DA) criticized SS
on the grounds that the assumed diffusion coefficient was
very implausible and a fully diffusive approach
could not account for the narrow angular size of the hot spots.
They suggested instead that some nearby ``cosmic ray reservoir''
was connected to the Solar System by a ``magnetic funnel'':
the cosmic rays could then stream freely along the (diverging
and smooth) field lines, while at the same time their pitch
angle distribution would reduce to the observed value.
A hybrid scenario was finally proposed by SS:
there the ``cosmic ray reservoir'' coincides with the
Geminga SNR; the cosmic rays have to diffuse until they reach
the ``first useful magnetic line'', which drives them to the
funnel and then to the Solar System. The initial diffusion
accounts for the spectral filtering,
the final streaming accounts for the angular distribution.
However, there is a major caveat. The available information
about the geometry of the Galactic magnetic field
(e.g., Han et al. 2006) indicates that on scales kpc
the ordered magnetic field is in the direction of the local
spiral arm, and the chaotic component of the field is somewhat
larger than the ordered one. In contrast, the magnetic funnel
scenario requires that (on smaller scales
100 pc) the field is predominantly ordered, and
directed toward the anticenter. In the following, we discuss
evidence that this could indeed be the case.
2 The local and very local magnetic field
Information about the magnitude and direction of the magnetic
field immediately upstream of the heliosphere (i.e., in the
very local interstellar medium still unperturbed by the bow
shock) can be gained by modeling the anistropies observed in
several heliopause tracers (see, for instance, Ratkiewicz et al. 2008, and references therein). One obtains a very local magnetic field of G,
oriented within the interval
,
.
We note that this analysis is
insensitive to the sign of the field, so that an equally
admissible solution is
,
.
The latter solution is
plotted in Fig. 1 as a circle labeled ``B near''.
![]() |
Figure 1: Aitoff equal area projection in Galactic coordinates of the southern half of the third Galactic quadrant. See text for the meaning of the symbols. In all cases, the B field is directed out of the page towards the reader. |
Open with DEXTER |
Table 1: Nearby pulsars used in the analysis.
To explore the field on scales of a few hundreds
of parsecs from the Solar System, we use the dispersion measure
(DM) and the rotation measure (RM) of nearby radio pulsars
(Han et al. 2006). We retrieve from the ATNF Pulsar Database
(Manchester et al. 2005)
all pulsars with measured DM and RM, and distances less
than 300 parsecs. There are seven of these objects,
listed in order of increasing Galactic longitude in Table 1.
Their distances are obtained from either the annual parallax
or (for J0108 and J2144) the DM and an assumed model of the
electron distribution.
Given the relatively small volume, we approximate the magnetic field
as a constant vector fully described by three independent
components, which we find by minimizing the
between
the observed and the predicted RM

On the other hand, the RM is well known to vary widely even for small angular displacements, so that the ordered component of the field is found by averaging the data over large regions of the sky. Given the small number of entries, we do not perform any average; however, we must expect to obtain a


When we retain all seven pulsars in the fit, we obtain
G,
,
and
with a reduced
of around 470 (!). When instead we retain
only the four pulsars lying in the third Galactic quadrant, since
the excess cosmic rays reach the Solar System from this general direction,
we obtain
G,
,
and
with a reduced
of only (!) 40.
As a check of our findings, we repeated the analysis
for all pulsars with distances smaller than 500 parsecs: this step, on the
one hand, made the fit sensitive to fields on scales somewhat
larger than those of interest, and, on the other, improved the
statistics by increasing the sample to 18 objects in total, and
to 8 in the third Galactic quadrant. Finally, we fitted all
pulsars with distances between 500 and 2000 parsecs (103 objects),
which should reproduce the azimuthal geometry already established
by previous authors. On these large scales, we include a portion
of the Sagittarius - Carina arm, where the field is known to
reverse direction (Han et al. 2006); to prevent our sample being affected
by the arm, we therefore fitted a subsample that included only pulsars lying
outside the arm (57 objects).
Table 2: Magnetic field obtained from various pulsar samples.
Our results are summarized in
Table 2. One sees that the <500 pc sample provides results in broad
agreement with the <300 pc sample, while the 0.5-2 kpc sample
clearly indicates a rotation of the field, which becomes (more
or less) aligned with the Galactic plane in the direction of
the local spiral arm. We note in particular that restricting our analysis
to the third Galactic quadrant does not appreciably change the
field, but makes the reduced
substantially smaller.
The reduced
also becomes substantially smaller in the
large-scale sample, as expected, if one excludes the pulsars inside
the Sagittarius-Carina arm.
We regard the substantial agreement between the first four sets
of values in Table 2 as an indication
that our procedure is meaningful. Furthermore, the substantial
agreement between the pulsar-derived magnetic field (on scales
100 pc) and the very local, heliopause-derived magnetic
field is a hint that in our Galactic neighborhood the
magnetic field is relatively smooth. An additional hint of the
field smoothness (a prerequisite for the validity of the funnel
scenario) is the significant decrease in the reduced
in the third quadrant relative to the all-sky value.
The two <300 pc pulsar-derived solutions are plotted as two
crosses labeled ``B rm'' in Fig. 1. We do not compute a
confidence region for the B field direction
from the
distribution because of the mentioned caveats;
however, an order-of-magnitude estimate of the errors can be derived
from the difference between the two solutions.
The structure of the magnetic field toward the Galactic center is loosely constrained by the pulsar data, which are consistent only with a geometry more complex than a uniform field. A clearer picture can be obtained by modeling the intensity and polarization of the nearby extended radio emission (Wolleben 2007) and the polarization of the light from nearby stars (Frisch 2009).
In this general direction, the interstellar medium has been perturbed by a series of explosions probably from stars in the Sco-Cen association. The radio intensity and radio polarization maps show traces of several shells, the most prominent of which is the North Polar Spur. One of the shells, called ``Shell 1'' by Wolleben (2007), may have reached the Sun. To account for both the radio and the optical data, the magnetic field in the perturbed region is described as a uniform field outside the shells and, within the shell thickness, as a compressed field lying along the meridian circles. The radio data require two different shells, while the optical data can be fitted with Shell 1 only, and help us to constrain its parameters within the large radio-derived confidence region.
The star symbol labeled ``B starpol'' in Fig. 1 is the direction
of the uniform field inside which Shell 1 is expanding
(Frisch 2009, no errors given). This would be the direction
of the field outside the heliosphere if Shell 1 had not yet reached
us. Otherwise, the field would be that compressed along
the local meridian line of the shell: the two crosses labeled
``B pileup'' represent two possible choices of the shell center.
We note the near coincidence of ``B starpol'' and ``B pileup'', which
is caused by the shell expansion center being offset by almost 90with respect to ``B starpol''.
Figure 1 summarizes our findings. Here the southern half of the
third Galactic quadrant is plotted in an Aitoff equal area
projection. The various estimates of the B field direction
have already been discussed. For the sake of comparison,
all are represented as the respective points at ,
but they pertain to different physical regions:
should be valid at
100 pc in the third quadrant,
and
should be valid only very
close to the Sun, and
should be valid at
100 pc in the first quadrant. In this
region, the field has been heavily distorted by the expansion
of the radio shells; however, we plot here the unperturbed,
pre-shell field, so that we can draw meaningful conclusions from its
smooth connection with
and
(see Sect. 3
and Figs. 2 and 3).
The hot spot A and the heliotail direction are represented by
the ellipse labeled ``A'' and the small dot inside it. Finally, the
three dots along
are, from top
to bottom: the present position of
the Geminga pulsar; the position it would have had on explosion
if its motion were parallel to the plane of the sky with the
measured proper motion value; and the position it would have
had if the explosion had occurred at the ``minimum'' distance of
65 pc, i.e., with a positive 160 km s-1 radial velocity
included (see SS). In the latter two cases, the time
elapsed since the explosion is assumed to equal the spindown
age of the pulsar,
yr (Bignami & Caraveo 1996). Around the
third dot, we have drawn a circle of 10 pc radius, representing
a fully developed SNR.
3 Discussion and conclusions
We first emphasize the geometry displayed in
Fig. 1: the direction of the local magnetic field,
the direction of hot spot A, and the direction to a possible
location for the Geminga SNR all lie within a few degrees from
each other. Apart from the hot spot, all the
other directions in Fig. 1 are not directly measured, and are
obtained by modeling the available datasets, which are not always plentiful.
Nonetheless, if we were to interpret these results at face value, one of the
main objections to a diffusion-plus-funnel scenario could be removed:
the field on the relevant scales seems to be almost orthogonal to the
large-scale one, and to point in the correct direction.
![]() |
Figure 2:
Orthogonal projection onto the Galactic plane of
the pulsar-derived field (the rightmost cross of Fig. 1,
solid lines), the unperturbed radio-optical derived field
(the star symbol of Fig. 1, dashed lines), and the radio
Shell 1 (based on the assumption that it has not reached
the Sun yet, dotted circle). The heavy line through the center
is the heliospheric derived, very local field. Its arrow
indicates the field orientation. The axes are labeled GC
(Galactic center), AC (anticenter),
|
Open with DEXTER |
![]() |
Figure 3:
The same as Fig. 2, for the meridian plane
|
Open with DEXTER |
The second result concerns the smoothness of the local field,
which is necessary if the cosmic rays are to stream freely
along the magnetic funnel and be focused within a
narrow range of pitch angles. Evidence of this smoothness
(admittedly meager) comes from two findings. One is the
dramatic decline in the reduced
when one selects for modeling
only the pulsars lying in the third Galactic quadrant.
The other is the near coincidence
between the directions of the very local, heliopause-derived
magnetic field (``B near''), and the
100 pc scale one,
either pulsar-derived (``B rm''), or radio-optical derived
(for the unperturbed configuration, ``B starpol'').
One notes that there is a regular and smooth ``rotation'' of the
B field direction, which points approximately toward the Galactic
center when the field is determined in the third Galactic quadrant, grows in
Galactic longitude by about 30
on approaching the Solar System, and
increases by an additional 30
when the (unperturbed) field
is determined in the direction of the Galactic center.
The envisaged geometry we sketch in Figs. 2 and 3
includes the projection onto the Galactic plane and the meridian
plane
,
respectively, of the local and
very local magnetic field, and the outline of Shell 1 of Wolleben (2007).
The crudeness of the sketch appears to show a sharp
bend at the solar position, but
an equally valid (and equally arbitrary) representation could
involve magnetic lines with a curvature radius as large as the
figures themselves. In addition, the true rotation in three
dimensions is equal to only 46 degrees, which is strongly
amplified by projection effects. Finally, the dashed lines
inside the shell indicate the pre-shell magnetic lines: after
the shell has overtaken them, these lines are draped along the
shell surface.
We do not regard as a major discrepancy the residual angular separation between the assumed directions of the Geminga SNR, ``B near'', ``B rm'', and the true position of hot spot A. However, some arguments can be considered that account for the discrepancy.
As argued in SS, the SNR responsible for the cosmic ray reservoir (Geminga or other) should be close to the magnetic funnel, so that diffusion with reasonable coefficients could account for the propagation of the cosmic rays from the SNR to the funnel in the time elapsed since the explosion. At the same time, however, the SNR should not lie directly on the ``first useful field line'', otherwise one would miss the energy filtering, which is needed to explain the spectral hardness of the cosmic ray excess.
Secondly, a small meandering of the magnetic field, sufficient to account for the angular difference between ``B rm'' and ``B near'', is not only plausible, but indeed very likely. The important point is that these small deflections over several tens of parsecs are by far insufficient to affect the free streaming of the cosmic rays.
Thirdly, the true position of hot spot A is perhaps determined
by the direction of the very local magnetic field in the wake
of the heliosphere. The direction of ``B near'' depicted in
Fig. 1 refers to the field ahead of the heliosphere, before any
interaction with it (Ratkiewicz et al. 2008). After the
wind, the field should
become more aligned with the heliotail, and it is plausible than
the alignment lasts for several times the distance to the heliopause,
i.e., for about 1016 cm. This distance is comparable
to the Larmor radius of a 10-TeV particle; the radius of curvature
needed for a 20
swing over this distance is of course
larger still, so the free streaming of the cosmic rays should
not be disrupted.
We note that the ambient magnetic field lines will tend to wrap around the heliosphere in the plane passing through the apex that contains the field and wind directions, while they will tend to slip apart on the two sides; the cosmic rays will then be focused in the said plane, and defocused on the two sides. This corresponds roughly to the elliptical shape and the position angle of hot spot A. Qualitatively, the pile-up of the lines toward the heliotail could also account for the gradient observed in hot spot A along the major axis, with the maximum on the heliotail side.
The geometry of the magnetic field that we have discussed thus far perhaps cannot be tightly constrained by the available evidence. In all cases, it is unable to provide a quantitative estimate of the anisotropy amplitude. To achieve this, one should follow with high spatial and temporal resolution the expansion of the cosmic ray cloud injected by the supernova, including the individual field irregularities throughout the cloud volume. The cloud, which we assume to be spherical, may be elongated in one dimension, or have a complicated topology. The best we can do at the moment is to show that the observed anisotropy can be sustained by a minuscule gradient in the density of the cosmic rays, a gradient not implausible for a location relatively close to a relatively recent supernova explosion.
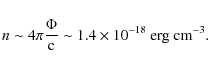
The energy flux measured from hot spot A (Abdo et al. 2008)
is
![]() |
(1) |
The magnetic funnel on the injection side is about 20 times narrower than on the Sun side (see DA), and the square of the particle pitch angle scales inversely by the same factor, so that

![]() |
(2) |
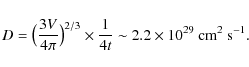
If the supernova explosion injects 1050 erg in cosmic rays with the same spectrum as the general cosmic ray population, the 10-TeV reservoir amounts to


Alternatively, we can compute the cloud volume corresponding to the
density of Eq. (2),
,
and
deduce a diffusion coefficient. Setting the time t since the
explosion of Geminga to equal
yr (Bignami & Caraveo
1996), we find that
![]() |
(3) |
The above value of D is not far from what is usually assumed in cosmic ray modeling (e.g., Hooper et al. 2009), and is another plausibility argument in favor of our suggestion that hot spot A could be the first example of direct cosmic ray astronomy.
References
- Abdo, A. A., Allen, B., Aune, T., et al. 2008, Phys. Rev. Lett., 101, 221101 [NASA ADS] [CrossRef] [PubMed] [Google Scholar]
- Amenomori, M., Ayabe, S., Bi, X. J., et al. 2006, Science, 314, 439 [NASA ADS] [CrossRef] [PubMed] [Google Scholar]
- Battaner, E., Castellano, J., & Masip, M. 2009, ApJ, 703, L90 [NASA ADS] [CrossRef] [Google Scholar]
- Bignami, G. F., & Caraveo, P. A. 1996, ARA&A, 34, 331 [NASA ADS] [CrossRef] [Google Scholar]
- Drury, L. O.'C., & Aharonian, F. A. 2008, Aph, 29, 420 (DA) [NASA ADS] [Google Scholar]
- Frisch, P. C. 2009, Space Sci. Rev., 143, 191 [NASA ADS] [CrossRef] [Google Scholar]
- Guillian, G., Hosaka, J., Ishihara, K., et al. 2007, Phys. Rev. D, 75, 062003 [NASA ADS] [CrossRef] [Google Scholar]
- Han, J. L., Manchester, R. N., Lyne, A. G., Quiao, G. J., & van Straten, W. 2006, ApJ, 642, 868 [NASA ADS] [CrossRef] [Google Scholar]
- Hooper, D., Blasi, P., & Serpico, P. D. 2009, JCAP, 1, 25 [Google Scholar]
- Manchester, R. N., Hobbs, G. B., Teoh, A., & Hobbs, M. 2005, AJ, 129, 1993 [NASA ADS] [CrossRef] [Google Scholar]
- Ratkiewicz, R., Ben-Jaffel, L., & Grygorczuk, J. 2008, in Numerical Modeling of Space Plasma Flows, ed. N. V. Pogorelov, E. Audit, & G. P. Zank, ASP Conf. Ser., 385, 189 [Google Scholar]
- Salvati, M., & Sacco, B. 2008, A&A, 485, 527 (SS) [Google Scholar]
- Wolleben, M. 2007, ApJ, 664, 349 [NASA ADS] [CrossRef] [Google Scholar]
Footnotes
- ...Manchester et al. 2005
- http://www.atnf.csiro.au/research/pulsar/psrcat/
- ... RM
- Even
if each pulsar were to give only the B component along the
line of sight
, three or more pulsars widely spaced over the sky would be sufficient to constrain B independent of its direction.
- ... other
- Battaner et al. (2009) developed a model for the dipole-like Milagro anisotropy, which is different from the point-like anisotropy discussed here. Their model succeeds in accounting for the dipole based on the assumption of a local magnetic field basically aligned with the local spiral arm, i.e., at a large angle to the one derived here. But if one assumes a streaming motion of the cosmic rays along the magnetic field, in addition to the orthogonal motion derived by them based on an adhoc turbulent stress, the two estimates can be reconciled.
All Tables
Table 1: Nearby pulsars used in the analysis.
Table 2: Magnetic field obtained from various pulsar samples.
All Figures
![]() |
Figure 1: Aitoff equal area projection in Galactic coordinates of the southern half of the third Galactic quadrant. See text for the meaning of the symbols. In all cases, the B field is directed out of the page towards the reader. |
Open with DEXTER | |
In the text |
![]() |
Figure 2:
Orthogonal projection onto the Galactic plane of
the pulsar-derived field (the rightmost cross of Fig. 1,
solid lines), the unperturbed radio-optical derived field
(the star symbol of Fig. 1, dashed lines), and the radio
Shell 1 (based on the assumption that it has not reached
the Sun yet, dotted circle). The heavy line through the center
is the heliospheric derived, very local field. Its arrow
indicates the field orientation. The axes are labeled GC
(Galactic center), AC (anticenter),
|
Open with DEXTER | |
In the text |
![]() |
Figure 3:
The same as Fig. 2, for the meridian plane
|
Open with DEXTER | |
In the text |
Copyright ESO 2010
Current usage metrics show cumulative count of Article Views (full-text article views including HTML views, PDF and ePub downloads, according to the available data) and Abstracts Views on Vision4Press platform.
Data correspond to usage on the plateform after 2015. The current usage metrics is available 48-96 hours after online publication and is updated daily on week days.
Initial download of the metrics may take a while.