Issue |
A&A
Volume 513, April 2010
|
|
---|---|---|
Article Number | A67 | |
Number of page(s) | 8 | |
Section | Interstellar and circumstellar matter | |
DOI | https://doi.org/10.1051/0004-6361/200913506 | |
Published online | 30 April 2010 |
The density variance - Mach number relation in the Taurus molecular cloud
C. M. Brunt
Astrophysics Group, School of Physics, University of Exeter, Stocker Road, Exeter, EX4 4QL, UK
Received 20 October 2009 / Accepted 2 February 2010
Abstract
Supersonic turbulence in molecular clouds is a key agent in
generating density enhancements that may subsequently go on to form
stars. The stronger the turbulence - the higher the Mach
number - the more extreme the density fluctuations are expected to
be. Numerical models predict an increase in density variance,
,
with rms Mach number, M of the form:
,
where b
is a numerically-estimated parameter, and this prediction forms the
basis of a large number of analytic models of star formation. We
provide an estimate of the parameter b from 13CO J =
1-0 spectral line imaging observations and extinction mapping of
the Taurus molecular cloud, using a recently developed technique that
needs information contained solely in the projected column density
field to calculate
.
When this is combined with a measurement of the rms Mach number, M, we are able to estimate b. We find
b = 0.48+0.15-0.11, which is consistent
with typical numerical estimates, and is characteristic of
turbulent driving that includes a mixture of solenoidal and compressive
modes. More conservatively, we constrain b to lie in the
range 0.3-0.8, depending on the influence of sub-resolution structure
and the role of diffuse atomic material in the column density budget
(accounting for sub-resolution variance results in higher values
of b, while inclusion of more low column density material results in lower values of b; the value b
= 0.48 applies to material which is predominantly molecular, with no
correction for sub-resolution variance). We also report a break in the
Taurus column density power spectrum at a scale of
1 pc, and find that the break is associated with anisotropy in the power spectrum. The break is observed in both 13CO
and dust extinction power spectra, which, remarkably, are effectively
identical despite detailed spatial differences between the 13CO and dust extinction maps.
Key words: magnetohydrodynamics (MHD) - turbulence - techniques: spectroscopic - ISM: molecules - radio lines: ISM - ISM: kinematics and dynamics
1 Introduction
Recent years have seen a proliferation of analytical models of star
formation that provide prescriptions for star formation rates and
initial mass functions based on physical properties of molecular clouds
(Padoan & Nordlund 2002; Krumholz & McKee 2005; Elmegreen 2008; Hennebelle & Chabrier 2008; Padoan & Nordlund 2009; Hennebelle & Chabrier 2009).
While these models differ in their details, they are all fundamentally
based on the same increasingly influential idea that has emerged from
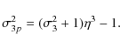
numerical models: that the density PDF is lognormal in form for
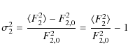
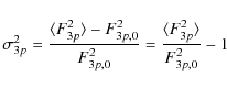
isothermal gas (Vázquez-Semadeni 1994), with the normalized density variance increasing with the rms Mach number (
where
is the density,
is the mean density, M is the 3D rms Mach number, and b is a numerically determined parameter; Padoan et al. 1997b).
There is some uncertainty on the value of b. Padoan et al. (1997a,b) propose b = 0.5 in 3D, while Passot & Vázquez-Semadeni (1998) found b = 1 using 1D simulations. Federrath et al. (2008) suggested that b = 1/3 for solenoidal (divergence-free) forcing and b = 1 for compressive (curl-free) forcing in 3D. A value of b = 0.25 was recently found by Kritsuk et al. (2007) in numerical simulations that employed a mixture of compressive and solenoidal forcing. Lemaster & Stone (2008) found an non-linear relation between
and M2, but it is very similar to a linear relation with b = 1/3 over the range of Mach numbers they analyzed.
They also found that magnetic fields appear to have only a weak effect on the
- M2 relation, and noted that the relation may be different in conditions of decaying turbulence.
Currently, observational information on the value of b, or the linearity of the
- M2 relation,
is very sparse. A major obstacle is the inaccessibility of
the 3D density field. Recently, Brunt et al. (2009, BFP) have developed and tested a method of calculating
from information contained solely in the projected column density
field, which we apply to the Taurus molecular cloud in this paper.
Using a technique similar to that of BFP, Padoan et al. (1997a) have previously estimated a value of b = 0.5 (M = 10,
)
for the IC 5146 molecular cloud. In sub-regions of the Perseus molecular cloud Goodman et al. (2009) found no obvious relation between Mach number and normalized column density variance,
.
It has been suggested by Federrath et al. (2008) that this could be due to differing levels of compressive forcing, but it may also be due to differing proportions of
projected into
(BFP). Alternatively, this may imply that there is no obvious relation between
and M2.
The aim of this paper is to constrain the
- M2 relation
observationally. In Sect. 2, we briefly describe the
BFP technique, and in Sect. 3 we apply it to spectral line
imaging observations (Narayanan et al. 2008; Goldsmith et al. 2008) and dust extinction mapping (Froebrich et al. 2007) of the Taurus molecular cloud to establish an observational estimate of b. Section 4 provides a summary.
2 Measuring the 3D density variance
We do not have access to the 3D density field,
in a molecular cloud to measure
directly, but must instead rely on information contained the projected 2D column density field, N(x,y). One can use Parseval's Theorem to relate the observed variance in the normalized column density field,
to the sum of its power spectrum,
PN/N0(kx,ky). It can be shown that
PN/N0(kx,ky) is proportional to the kz = 0 cut through the 3D power spectrum,
.
Since
can in turn be related, again through Parseval's Theorem, to the sum of its power spectrum,
,
it is possible, assuming an isotropic density field, to calculate the ratio,
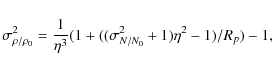
from measurements made on the column density field alone. It was shown by BFP that R is given by:
where




An observational measurement of
and R can then yield
.
To calculate the power spectrum in Eq. (1),
zero-padding of the field may be necessary, to reduce edge
discontinuities and to make the field square. If a field of
size
is zero-padded to produce a square field of size
then
should be calculated via:
where


The BFP method assumes isotropy in the 3D density field, so Eq. (1)
must be applied
with some caution. Using magnetohydrodynamic turbulence simulations,
BFP show that the assumption of isotropy is valid if the turbulence is
super-Alfvénic (
) or, failing this, is strongly supersonic (
). The BFP method can be used to derive
to
around 10% accuracy if these criteria are met, while up to a factor of
2 uncertainty may be expected in the sub-Alfvénic, low sonic Mach
number regime. It should also be noted that the variance
calculated at finite resolution is necessarily a lower limit to the
true variance. While this problem can only be addressed by higher
resolution observations, estimates of the expected shortfall in the
variance can be made from available information.
3 Application to the Taurus molecular cloud
3.1 Measurement of b using 13CO data only
We now apply the BFP method to 13CO (J = 1-0) spectral line imaging observations of the Taurus molecular cloud. Figure 1 shows the 13CO emission integrated over the velocity range [0,12] km s-1.
In the construction of this map, we have removed the contribution
of the error beam to the observed intensities and expressed the
resulting intensities on the corrected main beam scale,
(Bensch et al. 2001; Brunt et al., in prep.; Mottram & Brunt, in prep.) The map is 2048 pixels
1529 pixels across, corresponding to 28 pc
21 pc at a distance of 140 pc (Elias 1978).
![]() |
Figure 1: Integrated intensity map of the 13CO J = 1-0 line over the velocity range [0,12] km s-1 in the Taurus molecular cloud. |
Open with DEXTER |
Following the procedure described in Sect. 2, we first estimate the variance in the normalized
projected field. For this initial analysis, we use the entire field as represented in Fig. 1 with no thresholding of the intensities. We assume that the 13CO integrated intensity, I13, is linearly proportional to the column density, N.
The advantages and disadvantages of this assumption are discussed below
in Sect. 3.2, along with an alternative estimate of b using extinction data to calculate the normalized column density variance. Taking
,
we calculate
,
where I0,13 is the mean intensity. The observed variance in the field is the sum of the signal
variance,
,
and the noise variance,
.
We measure
and
,
giving
(units are all (K km s-1)2). With a measured
I0,13 = 1.06 K km s-1, we then find
.
![]() |
Figure 2: Central portion of the power spectrum of the Taurus 13CO J = 1-0 integrated intensity map. The black/white contours (smoothed for clarity) show levels of equal power, while the red circles represent an isotropic power spectrum for reference. |
Open with DEXTER |
The power spectrum of the integrated intensity field is now calculated. We use a square field
of size 2048 pixels
2048 pixels in which the map is embedded, and compute the power
spectrum using a Fast Fourier Transform. Application of tapers to
smoothly roll-off the field edges had an insignificant effect on the
result (see Brunt & Mac Low 2004).
We calculate the noise floor using the power spectrum of an integrated
map made over signal-free channels in the data, and this is subtracted
from the power spectrum of the field. The central portion of the power
spectrum is shown in Fig. 2
to demonstrate the level of anisotropy present. The black and white
contours (as appropriate to the greyscale level) show levels of
equal power, obtained from a smoothed version of the power spectrum for
clarity, and the red circles are overlayed to show what would be
expected for a fully isotropic power spectrum. While Taurus is often
considered ``elongated'' or ``filamentary'', the power spectrum of 13CO emission
is in fact reasonably isotropic over most spatial frequencies. There is
some evidence of anisotropy at the larger spatial scales (lower k), and we further demonstrate this in Fig. 3, which shows a zoom in on the smaller k range of the power spectrum. Figure 3 shows that there is a preferred range in k for anisotropy to be present, occurring at spatial frequencies near k = 20.
![]() |
Figure 3: Zoom in on the central portion of the power spectrum of Fig. 3. The white contours (smoothed for clarity) show levels of equal power, while the red circles represent an isotropic power spectrum for reference. |
Open with DEXTER |
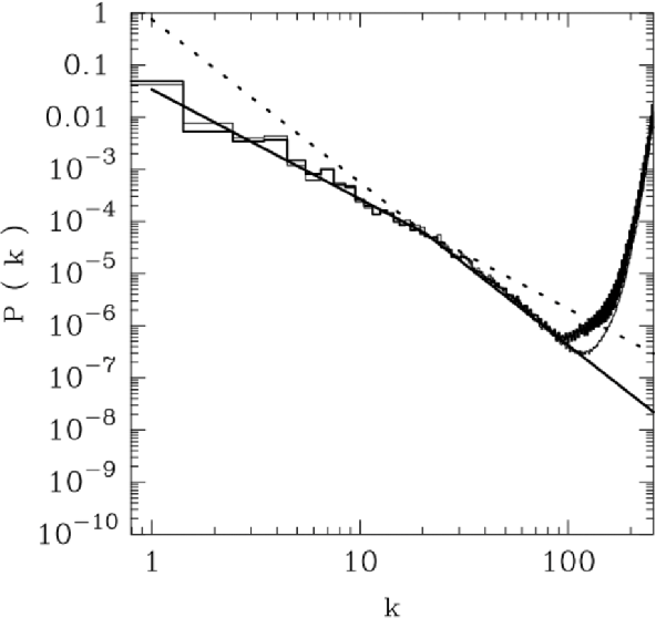
Figure 4 shows the angular average of the power spectrum,
PN/N0(k), with the
noise floor subtracted and the beam pattern divided out. The heavy lines in Fig. 4 display fitted power law forms (
)
to two distinct k-ranges in the power spectrum. The dotted lines continue the fitted forms beyond their respective ranges for comparison. For k < 21, the best fitting spectral slope is
,
while for k > 21 we find
.
It is notable that the spectral break occurs at the preferred
scale for anisotropy to be distinguishable in the power spectrum. The
wavelength corresponding to a spatial frequency of k = 21 is
0.5 degrees, or
1.2 pc. Previously, Blitz & Williams (1997), using 13CO data but not using the power spectrum, identified a characteristic scale of
0.25-0.5 pc at which the structure of antenna temperature histograms changes notably. Hartmann (2002) also noted a characteristic separation scale of
0.25 pc
in the distribution of young low mass stars in Taurus. These
scales are comparable to about 1/4 the wavelength of the spectral
break in the power spectrum. The orientation and scale of the
anisotropy suggests that it arises from the repeated filament structure
of Taurus, as suggested by Hartmann (2002).
Figures 2 and 3
show that the assumption of isotropy holds reasonably well in 2D,
but this is not necessarily a guarantee of isotropy in 3D,
which, nevertheless, we must assume. The presence of a break in the
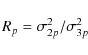
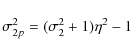
power spectrum can be accommodated by Eq. (1) which makes no assumptions, other than isotropy, on the form of the power spectrum. Evaluating Eq. (1), we find that
Rp = 0.029, where the subscript p reflects the fact that padding was employed in the power spectrum calculation. Evaluating Eq. (2) with
and
,
we find that
.
The line-of-sight extent of the field assumed for this calculation is
pc = 24.25 pc.
Given the high estimated sonic Mach number in Taurus (see below) it is unlikely that large scale strong anisotropies like those seen in sub-Alfvénic conditions will be present due to magnetic fields (BFP). Gravitational collapse along magnetic field lines could in principle generate anisotropy, and indeed the small anisotropy identified in the power spectrum is oriented as expected in this case (Heyer et al. 1987).
![]() |
Figure 4:
Angular average of the 13CO J =
1-0 integrated intensity power spectrum (histogram) corrected for the
noise floor and beam pattern. The solid lines show the fitted power
laws
|
Open with DEXTER |
To estimate the rms Mach number in Taurus, we now conduct an analysis of the velocity field.
Using the 13CO spectral line averaged over the field (Fig. 5), we measure the line-of-sight velocity dispersion,
(km s-1)2
by fitting a Gaussian profile. The line-of-sight velocity
dispersion includes contributions from all internal motions including
those at the largest spatial scales arising from large scale turbulence
(Ossenkopf & Mac Low 2002; Brunt 2003; Brunt et al. 2009). Assuming isotropy, this implies a 3D velocity dispersion of
(km s-1)2. Taking the Taurus molecular gas to be at a temperature of 10 K (Goldsmith et al. 2008), with a mean molecular weight of 2.72 (Hildebrand 1983), the rms sonic Mach number is M = 17.6
1.8,
where the quoted error estimate is from spectral line fitting and
uncertainties in the kinetic temperature (Goldsmith et al. 2008, report kinetic temperatures for the majority of Taurus between 6 and 12 K; we have taken an uncertainty of
2 K).
Combining these results, our observational estimate of b therefore is b =
= 0.49
0.06, where we have applied an uncertainty of 10% to the estimated
(BFP). The uncertainty arising from the assumption of isotropy is
difficult to quantify, and further progress on constraining b
will require the
analysis of many more molecular clouds. Extension of this analysis to a
larger sample of clouds will allow a test of whether
is indeed proportional to M2 and may also
allow investigation of whether b changes due to varying degrees of compressive forcing of the turbulence (Federrath et al. 2008, 2009). The above estimate of the uncertainty in b accounts for measurement errors on M and known uncertainties in the calculation of R from BFP. The true uncertainty is rather larger than this, as we discuss in the following sections.
![]() |
Figure 5:
Global mean spectral line profile for the Taurus 13CO data (histogram). The heavy solid line is a Gaussian fit, with dispersion
|
Open with DEXTER |
3.2 Measurement of b using 13CO and extinction data
We now consider the consequences of the assumption of linear proportionality between the
13CO integrated intensity and the column density. Goodman et al. (2009; see also Pineda et al. 2008)
have recently evaluated different methods of measuring column densities
in the Perseus molecular clouds. Their findings may be simply
summarised as follows: 13CO J = 1-0 integrated intensity, I13, is linearly proportional to AV estimated by dust extinction over a limited column density range (over about a decade or so in I13),
but is depressed by saturation and/or depletion in the high column
density regime; in the low column density regime, I13 is again depressed by lowered 13CO abundance
and/or subthermal excitation, and is insensitive to column
densities below some threshold, as evidenced by an offset term in
the
I13- AV relation. While all these factors impact on the point-to-point reliability of using I13 to derive N, their effects on
and therefore on the estimated
are of more relevance here.
![]() |
Figure 6: Comparison of the 13CO integrated intensity map with the dust extinction map of Froebrich et al. (2007). |
Open with DEXTER |
To empirically investigate the differences between using dust extinction and 13CO integrated intensity as a measure of column density, we re-derived
using the dust extinction map generated from 2MASS data by Froebrich et al. (2007). In Fig. 6 we compare, on the same coordinate grid, the the dust extinction map with the 13CO integrated
intensity map convolved to the resolution of the extinction map
(4 arcmin). The greyscale limits of each field were chosen to
represent the fitted relation between the 13CO integrated intensity, I13, and the dust extinction, AV, described below. While the overall spatial distributions of I13 and AV are broadly similar, there are detailed differences
in places, and column density traced by AV is present on the periphery of the cloud which is not traced by I13.
The quantitative relation between I13 and AV is shown in Fig. 7. To these data, we fitted a linear relationship of the form AV = AV,D + C I13, where AV,D and C are constants. We use three different regression methods (Isobe et al. 1990) and the fitted parameters, AV,D and C, are listed in Table 1, and the fitted lines are overlayed in Fig. 7. While the scatter around these relations is quite large there is only a small number of positions in which significant saturation in I13 is obvious.
![]() |
Figure 7: Plot of dust extinction versus 13CO integrated intensity, I13, for the fields in Fig. 6. The solid lines are the fitted relations to AV = AV,D + C I13 listed in Table 1. |
Open with DEXTER |
Using the measured AV field to calculate
,
under the assumption that AV is proportional to column density, N, and accounting for a noise variance of 0.04 (Froebrich et al. 2007), we find that
.
This is significantly
lower than
estimated through the 13CO integrated intensities. There are two contributing factors to the lower value obtained using AV. The first is simply that the fields shown in Fig. 6 are of lower angular resolution than the field shown in Fig. 1. A calculation of the normalized column density variance using the
lowered resolution I13 map results in
,
which is lower than that calculated from the higher resolution field,
but still a factor of 2.83 greater than that calculated from the AV field
at the same angular resolution. (Further discussion of the resolution
dependence is given below and in Sect. 3.3.)
The second, and dominant, factor contributing to the lower
measured from the AV field is the presence of the offset term, AV,D in the
I13 - AV relations given above. For reference, note that the addition of a constant positive offset to N will raise N0 but leave
unchanged, thereby lowering
.
The true situation is more complicated that this, since the low column
density material is also structured (i.e. contributes
variance) - and it is possible that the column density variance
scales with column density (Lada et al. 1994).
It is questionable whether this material should be included in the
column density budget. The excess column density (roughly quantified
by AV,D) is associated with atomic gas and possibly also diffuse molecular gas (
)
with little or no 13CO.
Material in this regime does not contribute to the 13CO emission,
and therefore also not to the mean spectral line profile, from which
the Mach number is estimated. If the material is predominantly
atomic with a possible contribution from diffuse ,
it is likely to be physically warmer than the interior regions of the cloud traced by 13CO, thereby complicating the assumption of isothermality employed in most of the numerical models and in our calculation of the Mach number. Similarly, 13CO emission
from the subthermally excited (but also likely physically warmer)
envelope regions will contribute to both to I13
and to the mean line profile, but at a reduced level in relation to its
true column density. In addition, while the ``molecular cloud''
part of the extinction is confined to a small region of around
24 pc extent at a distance of 140 pc, how the ``diffuse''
part of the extinction is generated is rather less well defined, and
may include contributions from all regions along the line-of-sight to
Taurus (and beyond). Consequently, the extinction zero level is
quite uncertain. We argue therefore that the selection of material
by 13CO is in fact beneficial to our aims:
it preferentially selects the interior regions of the molecular
cloud, to which the assumption of isothermality is likely to apply, and
it limits the extinction budget to a spatially-confined region at the
distance of the cloud. Note also that material contributing to I13 (and therefore N, by assumption) contributes in the same proportion to the mean line profile.
Inclusion of opacity corrections, using 12CO data,
also potentially cause as many problems as they solve. A spatially
uniform opacity factor obviously has no impact on the calculated
due to the normalization. In principle, the compression of I13
in the high column density regime can be alleviated, but this
effect is likely to be small - particularly since the
strongly-saturated column densities account for a small fraction of the
data. Goodman et al. (2009) discuss numerous problems in the 12CO-based correction for opacity and
excitation in the low column density regime; we also point out here that this is further complicated by the fact that 12CO and 13CO trace
different material because of different levels of self-shielding and
radiative trapping. If opacity corrections to I13
are made, then for consistency, detailed (largely impractical) opacity
corrections should be made to the line profiles from which the Mach
number is calculated, although for this the
point-of-diminishing-returns has certainly long since been reached.
To investigate the effect of the inclusion of the diffuse component, we calculate
from the field
A'V = AV - AV,D. For the first of the fitted relations in Table 1 (
AV,D = 0.579) we find
;
from the second (
AV,D = 0.331) we find
,
and from the third, bisector method (
AV,D = 0.462) we find
.
These values may be summarized
in a combined measurement, with associated uncertainties, of
,
which is more compatible with
calculated from the 13CO field at the same angular resolution. This is not surprising, as A'V is, to a good approximation, linearly correlated with I13, and the value of the coefficient C is irrelevant as we use normalized variances.
Table 1: Fitted parameters to AV = AV,D + C I13
The dominant contribution to the uncertainty therefore comes from
the choice made for the appropriate treatment of the diffuse component.
We argue that the use of 13CO, or A'V,
to calculate
is better-motivated, but we cannot resolve this issue further at present.
We have noted above that the
calculated from 13CO is,
naturally, lower in the reduced resolution field. Ideally, one should
use the highest resolution data available from which to calculate
,
and this raises the question of how the AV-calculated value of
may behave at increased resolution. To investigate this, we calculate the power spectra of the 13CO and AV fields of Fig. 6,
after scaling each to the same global variance of unity (the mean
of the field is irrelevant). The angular averages of the power spectra
are shown in Fig. 8. In these spectra, we have applied ``beam'' corrections, but have not attempted removal of the noise floor.
![]() |
Figure 8: Power spectra of the fields in Fig. 6. The light histogram is the power spectrum of 13CO integrated intensity; the heavy histogram is the power spectrum of dust extinction. Both fields were scaled to the same global variance of unity before calculating the power spectra. The power spectra were corrected for the beam pattern but not the noise floor, resulting in an upturn at high wavenumber. The straight and dashed lines are the fits from Fig. 4. |
Open with DEXTER |
It is remarkable that, despite detailed differences between the two maps, the power spectra are
almost indistinguishable. The fitted power-laws from Fig. 4
are overlayed for reference - detailed correspondance between the
two power spectra is notable all the way down to the noise floor(s)
near
.
Comparison of the low resolution 13CO power spectrum to the fitted slope at high wavenumber from Fig. 1
shows that the noise signature turns on very abruptly, and the power
spectrum is very reliable up to this point - this is a useful
benchmark to gauge the equivalence of the two low resolution spectra.
Previously, Padoan et al. (2006) have reported differences between 13CO
and extinction power spectra in Taurus, which is not seen in our
analysis. The origin of this discrepancy may lie in the different
extinction maps used by Padoan et al. (those of Cambrésy 2002),
but may also arise from the influence of the effective ``beam'' size
that is not corrected for in their power spectra as the resolution
is varied.
The effective equivalence of the 13CO and AV
power spectra support our suggestion above that it is in the
approximately uniform ``diffuse'' component that the principal
statistical differences (at least those relevant to our analysis)
between 13CO and AV are manifest. This, in turn, suggests that the AV-derived value of
that would be obtained at the higher resolution afforded by the 13CO data will increase in a similar manner to that seen in the 13CO - i.e. an increase from 1.98 to 2.25, or a factor of
1.14. Applying this to the A'V-based measurements, our estimate for
at the highest resolution available is
.
Converting this to the 3D variance using Eq. (2) (with
and
Rp = 0.029) we find that
= 72.1
+27.8-18.7. Taking into account the measured Mach number, M = 17.6
1.8, and applying an additional 10% uncertainty on the 3D variance arising from the calculation of R, we arrive at a measured
b = 0.48+0.15-0.11. (For reference, if
is calculated from AV without subtraction of the diffuse component, we find b = 0.32.)
3.3 The effects of unresolved variance
As we have noted above, the measured variance of a field observed at finite resolution is necessarily a lower limit to the true variance of the field. An obvious question then arises: what about structure (variance) at scales below the best available resolution?
If we assume that the observed slope of the power spectrum at high wavenumbers continues to a maximum wavenumber, ,
beyond which no further structure is present, we can estimate the
amount of variance not included in our calculation (see BFP).
It has been suggested that
may be determined by the sonic scale: turbulent motions are supersonic
above this scale and subsonic below it (Vázquez-Semadeni et al. 2003; Federrath et al. 2009). Taking
(Heyer & Brunt 2004), we estimate the sonic scale in Taurus as
0.08 pc where L0
25 pc is the linear size of the cloud from Fig. 1, and M
= 17.6 is the Mach number from above. This is comparable to the spatial
resolution of the data (0.03 pc), which suggests that our
measurement of
does not significantly underestimate the true value if structure is suppressed below the sonic scale. Taking
on the other hand
would result in a factor of
2 underestimation of
and therefore a factor of
underestimation of b. Our value of b must therefore be considered as a lower limit: the power spectrum (Fig. 4) is not well measured near the estimated sonic scale (
), and further high resolution investigations are needed to resolve this issue.
4 Summary
We have provided an estimate of the parameter b in the proposed
relation for supersonic turbulence in isothermal gas, using 13CO observations of the Taurus molecular cloud. Using 13CO and 2MASS extinction data, we find
b = 0.48+0.15-0.11, which is consistent with the value originally proposed by Padoan et al. (1997a,b)
and characteristic of turbulent forcing which includes a mixture of
both solenoidal and compressive modes (Federrath et al. 2009). Our value of b is a lower limit if significant structure exists below the resolution of our observations (effectively, below the sonic scale).
If diffuse material is included in the column density budget then we find a somewhat lower value of b
= 0.32, although in this case there are some questions over the
assumption of isothermality in the Mach number calculation. Our most
conservative statement is therefore that b is constrained to lie in the range
,
which is comparable to the range of current numerical estimates. However, the
relation has been tested to only relatively low Mach numbers (
)
in comparison to that in Taurus, so further numerical exploration
of the high Mach number regime should be carried out.
In principle, gravitational amplification of turbulently-generated
density enhancements could increase
at
roughly constant Mach number, with gravity possibly acting analogously
to compressive forcing. Numerical investigation of the role of gravity
in the
would be worthwhile.
Further analysis of a larger sample of molecular clouds is needed to investigate the linearity of the
relation and possible variations in b.
As our main sources of uncertainty arise because of questions over
how to treat the diffuse (likely atomic) regime and how to account for
unresolved density variance, further progress on improving the accuracy
of measuring b ultimately must involve answering what is meant by ``a cloud'' (Ballesteros-Paredes et al. 1999) and down to what spatial scale is significant structure likely to be present?
I would like to thank Dan Price and Christoph Federrath for excellent encouragement, advice, and scientific insight. Figure A.1 was kindly provided by Dan Price and Matthew Bate. This work was supported by STFC Grant ST/F003277/1 to the University of Exeter, Marie Curie Re-Integration Grant MIRG-46555, and NSF grant AST 0838222 to the Five College Radio Astronomy Observatory. C.B. is supported by an RCUK fellowship at the University of Exeter, UK. The Five College Radio Astronomy Observatory was supported by NSF grant AST 0838222. This publication makes use of data products from 2MASS, which is a joint project of the University of Massachusetts and the Infrared Processing and Analysis Center/California Institute of Technology, funded by the National Aeronautics and Space Administration and the National Science
Appendix A: Zero padding
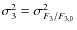
Brunt et al. (2009) considered an observable 2D field, F2, which is produced by averaging a 3D field, F3, over the line-of-sight axis. The field F2 was considered to be distributed in a square region with a scale ratio (number of pixels along each axis) of .
Assuming isotropy, the 3D field then is distributed in a cubical region, again of scale ratio
.
A column density field, N, is produced by integrating the density field, ,
along the line-of-sight, rather than averaging. To conform to the
conditions set out by BFP, it is necessary to work with the normalised column density field and density field, which are obtained by dividing each field by their respective mean values, N0 and
.
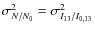
The variances calculated from these fields are
and
respectively. The latter is the quantity required to test the theoretical prediction:
.
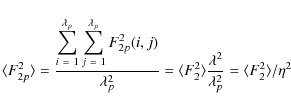
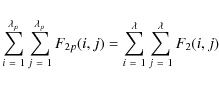
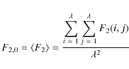
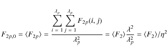
Consider a 2D field, F2, with mean value F2,0, which is the projection of a 3D field, F3, with mean F3,0. The normalised variance,
,
can be calculated for a square image, of scale ratio
, via:
where:
![]() |
(A.2) |
![]() |
(A.3) |
and F2(i,j) is the value of F2 at the pixel (i,j).
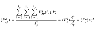
Similarly, the normalised variance of F3 is
,
given by:
where:
![]() |
(A.5) |
![]() |
(A.6) |
and F3(i,j,k) is the value of F3 at the pixel (i,j,k).
![]() |
Figure A.1: Schematic illustration of zero-padding. |
Open with DEXTER |
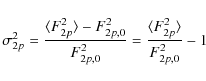
If F2 is now zero-padded to a scale ratio of
(shown schematically in Fig. A.1), the normalised variance,
,
of the resulting field, F2p, is given by:
where now:
![]() |
(A.8) |
![]() |
(A.9) |
where we have defined

![]() |
(A.10) |
![]() |
(A.11) |
since F2p is zero outside the region where F2 is defined.
Similarly:
![]() |
(A.13) |
![]() |
(A.14) |
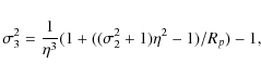
Combining these results, we find:
Application of the BFP method to the zero-padded field yields the ratio of 2D-to-3D normalised variance:
where Rp is calculated using the power spectrum of the zero-padded field, and we have identified this by the subscript p on R. The quantity of interest, however, is


obtained through combining Eqs. (A.15)-(A.17).
The BFP method assumes that the input image from which the
2D power spectrum is calculated is square. In the case that
the observed field is not square, but has dimensions
,zero-padding to a square field of size
is required. If now
is defined as:
![]() |
(A.19) |
this allows

![]() |
(A.20) |
Obviously, it is desirable that

References
- Ballesteros-Paredes, J., Vázquez-Semadeni, E., & Scalo, J. 1999, ApJ, 515, 286 [NASA ADS] [CrossRef] [Google Scholar]
- Bensch, F., Stutzki, J., & Heithausen, A. 2001, A&A, 365, 285 [NASA ADS] [CrossRef] [EDP Sciences] [Google Scholar]
- Blitz, L., & Willams, J. P. 1997, ApJ, 488, L145 [NASA ADS] [CrossRef] [Google Scholar]
- Brunt, C. M. 2003, ApJ, 583, 280 [NASA ADS] [CrossRef] [Google Scholar]
- Brunt, C. M., & Mac Low, M.-M. 2004, ApJ, 604, 196 [NASA ADS] [CrossRef] [Google Scholar]
- Brunt, C. M., Heyer, M. H., & Mac Low, M.-M. 2009, A&A, 504, 883 [NASA ADS] [CrossRef] [EDP Sciences] [Google Scholar]
- Brunt, C. M., Federrath, C., & Price, D. J. 2010, MNRAS, 403, 1507 (BFP) [NASA ADS] [CrossRef] [Google Scholar]
- Elias, J. H. 1978, ApJ, 224, 857 [NASA ADS] [CrossRef] [Google Scholar]
- Elmegreen, B. G. 2008, ApJ, 672, 1006 [NASA ADS] [CrossRef] [Google Scholar]
- Federrath, C., Klessen, R. S., & Schmidt, W. 2008, ApJ, 688, 79 [Google Scholar]
- Federrath, C., Roman-Duval, J., Klessen, R., Schmidt, W., & Mac Low, M.-M. 2010, A&A, 512, A81 [NASA ADS] [CrossRef] [EDP Sciences] [Google Scholar]
- Froebrich, D., Murphy, G. C., Smith, M. D., Walsh, J., & del Burgo, C. 2007, MNRAS, 378, 1447 [NASA ADS] [CrossRef] [Google Scholar]
- Goldsmith, P. F., Heyer, M. H., Narayanan, G., et al. 2008, ApJ, 680, 428 [NASA ADS] [CrossRef] [Google Scholar]
- Goodman, A. A., Pineda, J. E., & Schnee, S. L. 2009, ApJ, 692, 91 [NASA ADS] [CrossRef] [Google Scholar]
- Hartmann, L. 2002, ApJ, 578, 914 [NASA ADS] [CrossRef] [Google Scholar]
- Hennebelle, P., & Chabrier, G. 2008, ApJ, 684, 395 [NASA ADS] [CrossRef] [Google Scholar]
- Hennebelle, P., & Chabrier, G. 2009, ApJ, 702, 1428 [NASA ADS] [CrossRef] [Google Scholar]
- Heyer, M. H., & Brunt, C. M. 2004, ApJ, 615, L45 [NASA ADS] [CrossRef] [Google Scholar]
- Heyer, M. H., Vrba, F. J., Snell, R. L., et al. 1987, ApJ, 321, 855 [Google Scholar]
- Heyer, M. H., Gong, H., Ostriker, E., & Brunt, C. 2008, ApJ, 680, 420 [NASA ADS] [CrossRef] [Google Scholar]
- Hildebrand, R. H. 1983, QJRAS, 24, 267 [NASA ADS] [Google Scholar]
- Isobe, T., Feigelson, E. D., Akritas, M. G., & Babu, G. J. 1990, ApJ, 364, 104 [NASA ADS] [CrossRef] [EDP Sciences] [Google Scholar]
- Kritsuk, A. G., Norman, M. L., Padoan, P., & Wagner, R. 2007, ApJ, 665, 416 [NASA ADS] [CrossRef] [Google Scholar]
- Krumholz, M. R., & McKee, C. F. 2005, ApJ, 630, 250 [NASA ADS] [CrossRef] [Google Scholar]
- Lada, C. J., Lada, E. A., Clemens, D. P., & Bally, J. 1994, ApJ, 429, 694 [NASA ADS] [CrossRef] [Google Scholar]
- Larson, R. B. 1981, MNRAS, 194, 809 [NASA ADS] [CrossRef] [Google Scholar]
- Lemaster, M. N., & Stone, J. M. 2008, ApJ, 682, L97 [NASA ADS] [CrossRef] [Google Scholar]
- Mac Low, M.-M. 1999, ApJ, 524, 169 [NASA ADS] [CrossRef] [Google Scholar]
- Narayanan, G., Heyer, M. H., Brunt, C. M., et al. 2008, ApJS, 177, 341 [NASA ADS] [CrossRef] [Google Scholar]
- Ossenkopf, V., & Mac Low, M.-M. 2002, A&A, 390, 307 [NASA ADS] [CrossRef] [EDP Sciences] [Google Scholar]
- Padoan, P., & Nordlund, Å. 2002, ApJ, 576, 870 [Google Scholar]
- Padoan, P., & Nordlund, Å. 2009, ApJ, submitted [arXiv:0907.0248] [Google Scholar]
- Padoan, P., Jones, B. J. T., & Nordlund, Å. 1997a, ApJ, 474, 730 [NASA ADS] [CrossRef] [Google Scholar]
- Padoan, P., Nordlund, A., & Jones, B. J. T. 1997b, MNRAS, 288, 145 [NASA ADS] [CrossRef] [Google Scholar]
- Padoan, P., Cambrésy, L., Juvela, M., et al. 2006, ApJ, 649, 807 [NASA ADS] [CrossRef] [Google Scholar]
- Passot, T., & Vázquez-Semadeni, E. 1998, PhRvE, 58, 4501 [Google Scholar]
- Pineda, J., Caselli, P., & Goodman, A. A. 2008, ApJ, 679, 481 [NASA ADS] [CrossRef] [Google Scholar]
- Vázquez-Semadeni, E. 1994, ApJ, 423, 681 [NASA ADS] [CrossRef] [Google Scholar]
- Vázquez-Semadeni, E., Ballesteros-Paredes, J., & Klessen, R. S. 2003, ApJ, 585, L131 [NASA ADS] [CrossRef] [Google Scholar]
All Tables
Table 1: Fitted parameters to AV = AV,D + C I13
All Figures
![]() |
Figure 1: Integrated intensity map of the 13CO J = 1-0 line over the velocity range [0,12] km s-1 in the Taurus molecular cloud. |
Open with DEXTER | |
In the text |
![]() |
Figure 2: Central portion of the power spectrum of the Taurus 13CO J = 1-0 integrated intensity map. The black/white contours (smoothed for clarity) show levels of equal power, while the red circles represent an isotropic power spectrum for reference. |
Open with DEXTER | |
In the text |
![]() |
Figure 3: Zoom in on the central portion of the power spectrum of Fig. 3. The white contours (smoothed for clarity) show levels of equal power, while the red circles represent an isotropic power spectrum for reference. |
Open with DEXTER | |
In the text |
![]() |
Figure 4:
Angular average of the 13CO J =
1-0 integrated intensity power spectrum (histogram) corrected for the
noise floor and beam pattern. The solid lines show the fitted power
laws
|
Open with DEXTER | |
In the text |
![]() |
Figure 5:
Global mean spectral line profile for the Taurus 13CO data (histogram). The heavy solid line is a Gaussian fit, with dispersion
|
Open with DEXTER | |
In the text |
![]() |
Figure 6: Comparison of the 13CO integrated intensity map with the dust extinction map of Froebrich et al. (2007). |
Open with DEXTER | |
In the text |
![]() |
Figure 7: Plot of dust extinction versus 13CO integrated intensity, I13, for the fields in Fig. 6. The solid lines are the fitted relations to AV = AV,D + C I13 listed in Table 1. |
Open with DEXTER | |
In the text |
![]() |
Figure 8: Power spectra of the fields in Fig. 6. The light histogram is the power spectrum of 13CO integrated intensity; the heavy histogram is the power spectrum of dust extinction. Both fields were scaled to the same global variance of unity before calculating the power spectra. The power spectra were corrected for the beam pattern but not the noise floor, resulting in an upturn at high wavenumber. The straight and dashed lines are the fits from Fig. 4. |
Open with DEXTER | |
In the text |
![]() |
Figure A.1: Schematic illustration of zero-padding. |
Open with DEXTER | |
In the text |
Copyright ESO 2010
Current usage metrics show cumulative count of Article Views (full-text article views including HTML views, PDF and ePub downloads, according to the available data) and Abstracts Views on Vision4Press platform.
Data correspond to usage on the plateform after 2015. The current usage metrics is available 48-96 hours after online publication and is updated daily on week days.
Initial download of the metrics may take a while.