Issue |
A&A
Volume 513, April 2010
|
|
---|---|---|
Article Number | A77 | |
Number of page(s) | 7 | |
Section | Astrophysical processes | |
DOI | https://doi.org/10.1051/0004-6361/200913534 | |
Published online | 30 April 2010 |
Anisotropic radiation field and trapped photons around the Kerr black hole
(Research Note)
R. Takahashi1 - M. Takahashi2
1 - Cosmic Radiation Laboratory, the Institute of Physical and Chemical Research,
2-1 Hirosawa, Wako, Saitama 351-0198, Japan
2 -
Department of Physics and Astronomy, Aichi University of Education, Kariya, Aichi 448-8542, Japan
Received 23 October 2009 / Accepted 7 February 2010
Abstract
Aims. In order to understand the anisotropic properties of
local radiation field in the curved spacetime around a rotating black
hole, we investigate the appearance of a black hole seen by an observer
located near the black hole. When the black hole is in front of a
source of illumination the black hole casts shadow in the illumination.
Accordingly, the appearance of the black hole is called the black hole
shadow.
Methods. We first analytically describe the shape of the shadow
in terms of constants of motion for a photon seen by the observer in
the locally non-rotating reference frame (LNRF). Then, we newly derive
the useful equation for the solid angle of the shadow. In a third step,
we can easily plot the apparent image of the black hole shadow.
Finally, we also calculate the ratio of the photon trapped by the hole
and the escape photon to the distant region for photons emitted near
the black hole.
Results. From the shape and the size of the black hole shadow,
we can understand the signatures of the curved spacetime; i.e., the
mass and spin of the black hole. Our equations for the solid angle of
the shadow has technical advantages in calculating the photon trapping
ratio. That is, this equation is computationally very easy, and gives
extremely precise results. This is because this equation is described
by the one-parameter integration with given values of the spin and
location for the black hole considered. After this, the solid angle can
be obtained without numerical calculations of the null geodesics for
photons.
Key words: black hole physics - radiative transfer - hydrodynamics - relativity - accretion, accretion disks
1 Introduction
To understand the general relativistic effects on the radiation field around a black hole it is essentially important to elucidate the nature of both the physics and the astrophysics in the curved spacetime. This is because the radiation field plays energetically and dynamically important roles in the accretion flows plunging into the black hole, especially for the supercritical or hypercritical accretion flows, where the photons or neutrinos interact with matter. Even for black holes with low mass accretion rates, the general relativistic effects of the radiation field becomes important because the observational signatures directly reflect the nature of the radiation field. So far, the radiative transfer in curved spacetime was investigated by many authors (e.g. Lindquist 1966; Anderson& Spiegel 1972; Schmid-Burgk 1978; Thorne 1981; Schinder 1988; Turolla & Nobili 1988; Anile & Romano 1992; Cardall & Mezzacappa 2003; Park 2006; Takahashi 2007b, 2008; De Villiers 2008; Farris et al. 2008).
It is believed that the spacetime geometry around a black hole in the real universe is well described by the Kerr metric. In this case, clarifying the effects of the black hole spin on the radiation field is required to understand the nature of the radiation field in the black hole spacetime. Any radiation field around the rotating black hole is influenced by frame-dragging effects, which make an anisotropy of the local radiation field. That is, the anisotropic features of the local radiation field directly reflects the effects of the black hole spin. In the optically thick limit of the radiation field, it is expected that the anisotropy becomes very small (but not zero), because the radiation field and the matter intensely interact. On the other hand, in the optically thin limit of the radiation field the anisotropic nature can be clearly seen in the vicinity of the black hole. For example, for the black holes in the center of the gamma-ray bursts (GRBs) the effects of the neutrino annihilations, which are potentially the energy source of the explosion of the GRB, are well investigated in the optically thin limit of the neutrino radiation field (e.g. Asano & Fukuyama 2001; Miller et al. 2003; Birk et al. 2007). In this case, the black hole's rotation enhances the deposition energy due to the neutrino annihilations. In the optically thin limit, the photons or neutrinos emitted at some location near the black hole are transfered along the null geodesics and some of them are swallowed by the black hole. As is well known, because the propagation rays are influenced by the frame-dragging effects due to the black hole's rotation, at some location near the black hole the effects of the black hole spins are directly seen in the shape and the size of the appearance of the black hole. When a black hole is in front of a source of illumination, the black hole casts a shadow on the illumination. Accordingly, the appearance of the black hole is sometimes called a black hole shadow (e.g. Falcke et al. 2000; Takahashi 2004, 2005; Huang et al. 2007; Bambi & Freese 2009; Hioki & Maeda 2009) or silhouette (e.g. Fukue 2003; Broderick & Loeb 2009; Schee & Stuchlík 2009a). With regard to the realistic accretion flows around black holes, when we observe the black hole with accreting gases, we only see the escape photons emitted by surrounding gases, while the trapped photons make up the shade region.
The observers near the black hole see the black hole shadow in their sky. In this paper we calculate the analytic expression of the shape of the shadow seen by the observer located near the black hole. We also obtain the new equation for the solid angle of the shadow in the sky of the observer. The main purpose of the present study is to show the analytic expressions of the shadow and the equation for the solid angle. Our equation for the solid angle of the shadow has technical advantages. By using this equation, the calculations of the null geodesics around the Kerr spacetime is not required for the calculations of the solid angle. Also, we do not need the particles to be emitted and judge which particles will be swallowed by the black hole, as in the calculations done in e.g. Thorne (1974). Since the equation for the solid angle presented in this paper is described by the one-parameter integration for the given values of the black hole spin and the location, this equation is computationally very easy. We assume c=1and G=1. After giving some preliminary calculations in Sect. 2, in Sect. 3 we give the analytic expressions for the shape of the shadow seen by the observer near the black hole. In Sect. 4, the equation for the solid angle of the shadow is presented. We give the conclusions in Sect. 5.
2 Preliminaries
2.1 Background metric
We describe the background metric for a Kerr black hole by using the spherical Boyer-Lindquist coordinate. The 3+1 form of the metric
![]() |
(1) |
On the other hand, the inverse of the metric

![]() |
(2) |
For the Kerr metric described by the spherical Boyer-Lindquist coordinate, the non-zero components of the lapse function (





![]() |
|||
![]() |
(3) |
and









2.2 Locally non-rotating reference frame tetrads
The locally non-rotating reference frame (LNRF) is the frame moving with the four velocity given as
.
For this frame, the tetrad vectors are given as
![]() |
= | ![]() |
|
![]() |
= | ![]() |
(4) |
In the same way, we have
![]() |
= | ![]() |
|
![]() |
= | ![]() |
(5) |
2.3 Photon four momentum
The photon four momentum of the photon is calculated from the action S as
.
The action S is given as
![]() |
(6) |
where






![]() |
![]() |
![]() |
(7) |
R(r) | ![]() |
![]() |
(8) |
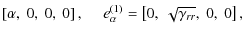
Here,


pt | = | ![]() |
|
![]() |
= | ![]() |
(9) |
Hereafter we newly define
r* | ![]() |
![]() |
|
A* | ![]() |
![]() |
(10) |
and
![]() |
(11) |
then we obtain
R*(r*) | = | ![]() |
(12) |
![]() |
= | ![]() |
(13) |
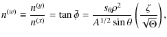
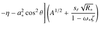
Since






-p(t) | = | ![]() |
|
![]() |
= | ![]() |
(14) |
2.4 Innermost unstable orbit
In the motion of the r-direction, the radius of the innermost unstable orbit rs for
a photon is calculated from the equations given as
R*(rs) = 0 and
.
From these equations, we have
These results are presented in the past studies (e.g., Bardeen 1973; Chandrasekhar 1983). We note that the innermost unstable orbit was calculated in a different way in the recent study by Schee & Stuchlík (2009a)
![[*]](/icons/foot_motif.png)
3 Shape of the black hole shadow as seen by the locally non-rotating reference frame observer
Here we calculate the shape of the black hole shadow in the sky of
the LNRF observer near the black hole. In order to do this, we first
introduce the angular coordinates
in the sky of the observer. The direction of the null geodesics passing
the observer is described by these coordinates. That is, the photon
momentum in the LNRF can be expressed as
These relations define the angular coordinates


![]() |
(18) |
In this case, the direction of p(r) corresponds to the angle



On the other hand, by using the LNRF tetrads given above, we have
The parameters


With these relations we can specify the position in the sky of the observer from the photon momentum and vice versa. By using Eqs. (19) and (20), we can draw the contour of the black hole shadow in the sky of the observer located at


With the coordinates (X,Y,Z), we plot the projection of the black hole shadow onto the sky. This contour is expressed by a closed curve in the sphere (see Fig 2; discussed below). Before doing this, we have to specify the signs of sr and




![]() |
(22) |
On the other hand, when the observer is located far from the black hole, we have sr=-1. This means that all the photons swallowed by the black hole move toward the black hole, i.e. pr<0. However, when the observer is located near the black hole, even if the photons are emitted in the outgoing direction pr>0, some of them are swallowed by the black hole. In this case, there are points where the sign of sr changes in the contours of the shadow. The sign of sr is determined as
![]() |
(23) |
We note that in R(r), only


![]() |
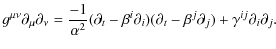
Figure 1:
Shapes of the black hole shadow seen by the observer near the black
hole. In this plot, the normalized Lambert map projection described by
Eq. (24) is used. The abscissa is |
Open with DEXTER |
![]() |
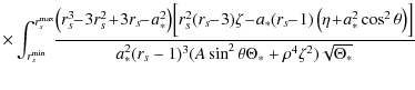
Figure 2: Black hole shadow in the sky of the observer near the black hole in the three dimensional plot (X, Y, Z). The parameters are the same as those in Fig. 1. The position of the observer is at the origin (X, Y, Z)=(0, 0, 0) (filled triangles). In the sky of the observer, the direction of the black hole is (X, Y, Z)=(0, 0, 1). The shaded regions are shadows for r=10. The contours of the shadows in the front (opposite) side of the sphere are plotted by the solid (dashed) lines. |
Open with DEXTER |
The three-dimentional description (X, Y, Z) can be projected with the Lambert map projection (see, e.g. Qihe 2000) given as
In Fig. 1, we plot the shapes of the shadows with the normalized Lambert map projection. The abscissa is













4 Solid angle for the photons trapped by the black hole
Here we give the equation for the solid angle of the black hole shadow
in the sky of the LNRF observer. This solid angle is the function of the
black hole spin a* and the location of the observer
.
When the observer is moving with some velocity, the solid angle
also depends on the velocity. Here we only consider the LNRF observer
for simplicity. Below we derive first the new equation for the solid angle of
the black hole shadow in the sky seen from an observer located at a
point near the black hole. Next, we show the distribution of the
ratio of the solid angle in the sky in the x-z plane. Note that
this ratio corresponds to the ratio of the trapped photon by the hole
and the escape photon toward distant regions, when we consider the
photons isotropically emitted from a point (as a radiation source in LNRF)
near the black hole.
4.1 Equation for the solid angle
The shape of the black hole shadow is symmetric with respect to the
Y-Z plane. This makes it sufficient to calculate the solid angles
surrounded by the -axis and the contours of the black hole in
the region of
.
The twice the amount of the solid angle for
corresponds
to the amount of the solid angle for the whole region of the black hole shadow.
First, we consider the case when the whole region of the black hole shadow
exists in the region of
,
which is the front side of the observer when the observer faces the black hole.
In this case, we have sr=-1 and the equations describing the sphere
in
are given as
Z | = | ![]() |
(25) |
f+X | = | ![]() |
(26) |
where fX and fY are the partial derivative of the function f with respect to X and Y, respectively. Now, the solid angle S of the region

![]() |
(27) |
Here we introduce the variables

![]() |
(28) |
From these definitions, we have
![]() |
(29) |
By using these, the solid angle S is calculated as
S | = | ![]() |
|
= | ![]() |
(30) |
Because we now consider the case of


![]() |
(31) |
Next, by changing the integration variable from

![]() |
(32) |
Then, the solid angle S is given as
![]() |
(33) |
where
![]() |
(34) |
Now we we consider the case where the whole of the black hole shadow exists in the region of


Z | = | ![]() |
|
f-X | = | ![]() |
(35) |
In the same way, we have
![]() |
(36) |
The change of the sign of







In summary, the equation of the solid angle S is given by
Here the range of the integration for rs is determined by the condition of






The derivation of Eq. (38) is given in Appendix A. Equations (37) and (38) are the main results of the present study.
4.2 Photon trapped ratio
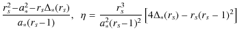
![]() |
Figure 3:
Photon trapped ratios |
Open with DEXTER |
![]() |
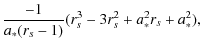
Figure 4:
Lapse function |
Open with DEXTER |
Based on Eqs. (37) and (38), we numerically calculate the distribution of the
photon trapped ratio
around the black hole. In Fig. 3 we plot the trapped ratios
for a*=0 (top) and 0.999 (bottom) in the x-z
plane. For the rapidly rotating black hole, the photon trapping ratio
decreases especially near the equatorial plane because of the
frame-dragging effects. That is, the photons near the equatorial plane
can escape to infinity more easily than the photons near the pole.
These features can also be seen in the shapes of the shadows.
Surprisingly, as shown in these plots, 10% to 30% of the photons
emitted very close to the black hole (e.g. r<1.2 for a*=0.999)
can escape to infinity. Although these calculations do not take into
account the effects of the gravitational redshift, these escaping
photons can transport the information of the spacetime and the general
relativistic phenomena to the observer at infinity. These results about
the trapped ratio for photons are very important when we consider the
radiative phenomena that arise near the event horizon. In Fig. 4 we plot the lapse function
representing the effects of gravitational redshift for black hole spins of a/M=0 (top) and 0.9 (bottom). The contours of the lapse function in Fig. 4 shows nearly spherical shapes, which is contrast to the plots of the photon trapped ratios in Fig. 3.
Then, even if we take the effects of the gravitational redshift into
account, the energy amount of the escaping photons near the equatorial
plane is than that near the pole region for the case of the rapidly
rotating black hole.
5 Discussion and conclusions
Since the last century, observational data containing information of the black hole spacetime have been obtained for the black hole candidates in e.g. the active galactic nuclei, the X-ray black-hole binaries and the Galactic center of our galaxy. However, the parameters of the black hole spacetime like mass and spin estimated in the past studies usually and highly depend on the assumed accretion flow models, and so far the final values of the parameters of the black hole, especially the black hole spin, have not been obtained for any black hole candidates. This is because the observational data usually contain the information of the plasma physics of the accreting matter in addition to the information of the spacetime metric, and frequently both these informations (metric and plasma physics) are degenerate in the observational data. In these cases we cannot uniquely determine the spacetime metric from the observational data. Because the optical phenomena directly reflect the spacetime metric, the spacetime metric can be uniquely determined if the observational signatures closely related to the optical phenomena like the contours of the black hole shadow can be found in the observational data. For this purpose a deep understanding of the optical phenomena around the black hole is important.
In past studies it was proposed that the black hole's metric can be estimated from the observational features like the line and continuum spectrum, quasi-periodic oscillation (QPO), radio visibility, polarization (see, reviews, e.g., Remillard & McClintock 2006; Psaltis 2008). However, all these observational signatures highly depend on the accretion flow models. Actually, for some black hole candidates, several values of the black hole spin can be proposed for one and the same black hole candidate. For example, in terms of the iron line spectrum observed in an X-ray black hole binary, it is pointed out that the Fe K line profile and the estimated value of the black hole spin of the black hole binary GX 339-4 highly depend on the assumed continuum spectrum, which is first subtracted from the observational data to make the line profile (Yamada et al. 2009). This means that the black hole spin cannot be correctly estimated from the line profile unless we can uniquely determine the accretion flow model, which produces the continuum spectrum. On the other hand, in terms of the observed QPO phenomena, the origin of the QPO is still under debate, although some theoretical models of the QPO like the disk oscillation model have been proposed. In terms of X-ray polarization of the accretion disk, the observed polarization features highly depend on the corona models. However, we do not fully understand the production mechanism and physical properties like the spatial distribution of the corona. Therefore, to understand the observational signatures containing the information of the spacetime, the physics of the accretion flows and outflows (and/or jets) around the black holes should be deeply investigated and understood especially by means of magnetohydrodynamic simulations with effects of the radiation fields. Actually, recently magnetohydrodynamic simulations with effects of the radiation are attempted (e.g. De Villiers 2008; Farris et al. 2008; Moscibrodzka et al. 2009). In the near future, the radiation fields around the black hole spacetime will be exactly solved by the dynamical simulations with effects of the anisotropy of the radiation field considered in this paper. Because the equation given in this study provide the exact results of the contours of the black hole shadow and the photon trapped ratio, the equation given in this study can be used for the code tests in the developments of simulation code of the radiation field.
We have the appearance of the black hole (the black hole shadow) seen by the observer located near the black hole. In summary the calculation method for the photon trapped ratio presented in this study can be extended to the astropysically more plausible cases. Although in this study we assume the LNRF, the calculation in this study can be extended to other reference frames moving with astrophysically frequently considered velocity fields like corotating or counterrotating Keplerian disks. Actually, in the past studies, other frames like a static frame, a circular geodesic frame (or a Keplerian frame) and a radially falling frame considered (e.g. Takahashi 2007a; Schee & Stuchlík 2009a,b) in addition to the LNRF. Especially Schee & Stuchlík (2009a) gave the equation and contours of the black hole silhouettes by using these frames. In addition to the contours, the equation of the photon trapping ratio presented in this study (Eqs. (37) and (38)) can be straightforwardly extended to a more general velocity field.
AcknowledgementsR.T. is grateful to Professors K. Makishima, Y. Eriguchi and S. Mineshige for their continuous encouragements, and to K. Ohsuga, Y. Kato, J. Fukue, Y. Sekiguchi for useful discussion. The authors thank the referee, Prof. Z. Stuchlík, for valuable comments and suggestions, which improved the original manuscript. This research is supported by the Grant-in-Aid for Scientific Research Fund of the Ministry of Education, Culture, Sports, Science and Technology, Japan [Young Scientists (B) 21740149 (RT)].
Appendix A: Derivation of Eq. (38)
First, we give the analytic expression for the partial derivative
appeared in Eq. (37).
Both
and
are the function of rs calculated as
![]() |
= | ![]() |
|
![]() |
= | ![]() |
(A.1) |
Based on this, the derivatives of these with respect to rs is analytically calculated as
From Eq. (A.2), we know the relation of
![]() |
(A.3) |
On the other hand, the partial derivative of

![]() |
(A.4) |
if we introduce
n(x) | ![]() |
![]() |
|
n(z) | ![]() |
![]() |
(A.5) |
and
![]() |
(A.6) |
we have
![]() |
= | ![]() |
(A.7) |
= | ![]() |
(A.8) | |
= | ![]() |
||
![]() |
(A.9) |
On the other hand, the factor

![]() |
(A.10) |
By using the analytic expressions for


S | = | ![]() |
|
![]() |
(A.11) | ||
= | ![]() |
||
![]() |
(A.12) | ||
= | ![]() |
||
![]() |
|||
![]() |
(A.13) |
where the analytic expressions for



References
- Anile, A. M., & Romano V. 1992, ApJ, 386, 325 [NASA ADS] [CrossRef] [Google Scholar]
- Anderson, J. L., & Spiegel, E. A. 1972, ApJ, 171, 127 [NASA ADS] [CrossRef] [Google Scholar]
- Asano, K., & Fukuyama, T. 2001, ApJ, 546, 1019 [NASA ADS] [CrossRef] [Google Scholar]
- Bardeen, J. M. 1973, in Black Holes, ed. C. DeWitt, & B. S. DeWitt (New York: Gordon and Breach), 215 [Google Scholar]
- Bambi, C., & Freese, K. 2009, Phys. Rev. D, 79, 043002 [NASA ADS] [CrossRef] [MathSciNet] [Google Scholar]
- Birkl, R., Aloy, M. A., Janka, H.-Th., & Müller, E. 2007, A&A, 463, 51 [NASA ADS] [CrossRef] [EDP Sciences] [Google Scholar]
- Broderick, A. E., & Loeb, A. 2009, ApJ, 697, 1164 [NASA ADS] [CrossRef] [Google Scholar]
- Chandrasekhar, S. 1983, The Mathematical Theory of Black Holes (Oxford: Clarendon) [Google Scholar]
- Cardall, C. Y., & Mezzacappa, A. 2003, Phys. Rev. D, 68, 023006 [NASA ADS] [CrossRef] [Google Scholar]
- De Villiers, J.-P. 2008, unpublished [arXiv:0802.0848] [Google Scholar]
- Falcke, H., Melia, F., & Agol, E. 2000, ApJ, 528, L13 [NASA ADS] [CrossRef] [PubMed] [Google Scholar]
- Farris, B. D., Li, T. K., Liu, Y. T., & Shapiro, S. L. 2008, Phys. Rev. D, 78, 024023 [NASA ADS] [CrossRef] [Google Scholar]
- Fukue, J. 2003, PASJ, 55, 155 [NASA ADS] [Google Scholar]
- Hioki, K., & Maeda, K. 2009, Phys. Rev. D, 80, 024042 [NASA ADS] [CrossRef] [MathSciNet] [Google Scholar]
- Huang, L., Cai, M., Shen, Z.-Q., & Yuan, F. 2007, MNRAS, 379, 833 [NASA ADS] [CrossRef] [Google Scholar]
- Kneller, J. P., McLaughlin, G. C., & Surman, R. A. 2006, J. Phys. G: Nucl. Part. Phys., 32, 443 [NASA ADS] [CrossRef] [Google Scholar]
- Lindquist, R. W. 1966, Ann. Phys., 37, 487 [NASA ADS] [CrossRef] [Google Scholar]
- Mihalas, D. 1980, ApJ, 237, 574 [NASA ADS] [CrossRef] [Google Scholar]
- Miller, W. A., George, N. D., Khefets, A., & McGhee, J. M. 2003, ApJ, 583, 833 [NASA ADS] [CrossRef] [Google Scholar]
- Misner, C. W., Thorne, K. S., & Wheeler, J. A. 1973, Gravitation (Freeman) [Google Scholar]
- Moscibrodzka, M., Gammie, C. F., Dolence, J. C., Shiokawa, H., & Leung, P. K. 2009, ApJ, 706, 497 [NASA ADS] [CrossRef] [Google Scholar]
- Park, M.-G. 1993, A&A, 274, 642 [NASA ADS] [Google Scholar]
- Park, M.-G. 2006, MNRAS, 367, 1739 [NASA ADS] [CrossRef] [Google Scholar]
- Psaltis, D. 2008, Liv. Rev. Relativ., 11, 9 [NASA ADS] [Google Scholar]
- Qihe, H. Y., John, P. S., & Waldo, R. T. 2000, Map projection transformation: principles and applications (New York: Taylor & Francis) [Google Scholar]
- Remillard, R. A., & McClintock, J. E. 2006, ARA&A, 44, 49 [NASA ADS] [CrossRef] [Google Scholar]
- Schmid-Burgk, J. 1978, Ap&SS, 56, 191 [NASA ADS] [CrossRef] [Google Scholar]
- Schinder, P.-J., & Bludman, S. A. 1989, ApJ, 346, 350 [NASA ADS] [CrossRef] [Google Scholar]
- Schee, J., & Stuchlík, Z. 2009a, Int. J. Mod. Phys. D, 18, 983 [NASA ADS] [CrossRef] [MathSciNet] [Google Scholar]
- Schee, J., & Stuchlík, Z. 2009b, Gen. Relativ. Grait., 41, 1795 [Google Scholar]
- Takahashi, R. 2004, ApJ, 611, 996 [NASA ADS] [CrossRef] [Google Scholar]
- Takahashi, R. 2005, PASJ, 57, 273 [NASA ADS] [Google Scholar]
- Takahashi, R. 2007a, MNRAS, 382, 567 [NASA ADS] [CrossRef] [Google Scholar]
- Takahashi, R. 2007b, MNRAS, 382, 1041 [Google Scholar]
- Takahashi, R. 2008, MNRAS, 383, 1155 [NASA ADS] [CrossRef] [Google Scholar]
- Thorne, K. S. 1974, ApJ, 191, 507 [Google Scholar]
- Thorne, K. S. 1981, MNRAS, 194, 439 [NASA ADS] [Google Scholar]
- Turolla, R., & Nobili, L. 1988, MNRAS, 235, 1273 [NASA ADS] [Google Scholar]
- Yamada, S., Makishina, K. Uehara, Y., et al. 2009, ApJ, 707, L109 [NASA ADS] [CrossRef] [Google Scholar]
Footnotes
- ...2009a)
- In Schee & Stuchlík (2009a), the parameter
is used as one of the constants along the geodesics. By using this, the functions R*(r*) and
are related to
and
as
= = (16)
By using R*(r*)=0,and
given in Eq. (15), it is shown that
and
. Here, when R*(r*)=0,
where
is given by Eq. (41) in Schee & Stuchlík (2009a). From these calculations we can see that the calculation method for the innermost unstable orbits used in Schee & Stuchlík (2009a) produces the same results in terms of
and
as in the past studies of Bardeen (1973) and Chandrasekhar (1983).
All Figures
![]() |
Figure 1:
Shapes of the black hole shadow seen by the observer near the black
hole. In this plot, the normalized Lambert map projection described by
Eq. (24) is used. The abscissa is |
Open with DEXTER | |
In the text |
![]() |
Figure 2: Black hole shadow in the sky of the observer near the black hole in the three dimensional plot (X, Y, Z). The parameters are the same as those in Fig. 1. The position of the observer is at the origin (X, Y, Z)=(0, 0, 0) (filled triangles). In the sky of the observer, the direction of the black hole is (X, Y, Z)=(0, 0, 1). The shaded regions are shadows for r=10. The contours of the shadows in the front (opposite) side of the sphere are plotted by the solid (dashed) lines. |
Open with DEXTER | |
In the text |
![]() |
Figure 3:
Photon trapped ratios |
Open with DEXTER | |
In the text |
![]() |
Figure 4:
Lapse function |
Open with DEXTER | |
In the text |
Copyright ESO 2010
Current usage metrics show cumulative count of Article Views (full-text article views including HTML views, PDF and ePub downloads, according to the available data) and Abstracts Views on Vision4Press platform.
Data correspond to usage on the plateform after 2015. The current usage metrics is available 48-96 hours after online publication and is updated daily on week days.
Initial download of the metrics may take a while.