Issue |
A&A
Volume 513, April 2010
|
|
---|---|---|
Article Number | A68 | |
Number of page(s) | 4 | |
Section | Celestial mechanics and astrometry | |
DOI | https://doi.org/10.1051/0004-6361/200913555 | |
Published online | 30 April 2010 |
Relativistic satellite astrometry at
arcsec precision
and the measurement of the stellar aberration
(Research Note)
G. Preti1,2 - F. de Felice1,2
1 - Dipartimento di Fisica ``Galileo Galilei'', Università degli Studi di Padova, Italy
2 - INFN - Sezione di Padova, Italy
Received 27 October 2009 / Accepted 11 February 2010
Abstract
Analysis and interpretation of the arcsec
precision astrometric data shortly to be provided by the ESA-GAIA
satellite has prompted the development of a fully general-Relativistic
Astrometric MODel (RAMOD), which is able to account for all the
general-relativistic corrections up to the required order of precision
.
We obtain the covariant expression for the general relativistic
aberration effect and provide the analytical module for determining the
stellar aberration from the GAIA observables (the direction cosines of
the incoming light-ray trajectory) at this same
order of precision.
Key words: gravitation - relativity - methods: analytical - astrometry - reference systems
1 Introduction
Stellar aberration is a well-known astronomical effect, discovered by Bradley (1728);
it consists of the variation of the apparent line of sight caused by
the motion of the observer, and is a consequence of the finiteness of
the velocity of light, first measured by Römer (1676).
As is well known, in the context of special relativity the aberration
formula can be obtained from Lorentz-transforming the coordinate
components of the velocity of light, and expressing these components in
terms of the angles measured by two different observers between the
line of sight of the star and the apex of their motion.
The case of uniformly accelerated observers has been recently dealt
with in Beig & Heinzle (2008).
In the context of general relativity, a covariant formula for the stellar aberration can be directly derived from the general-Relativistic Astrometric MODel (RAMOD), which was conceived and developed
in de Felice et al. (1998, 2001), Bini & de Felice (2003),
Bini et al. (2003), de Felice et al. (2004, 2006),
de Felice & Preti (2006, 2008),
Crosta & Vecchiato (2010),
to reconstruct the trajectory of a light ray from the event of
observation back to the star position in terms of the observational
data represented by the direction cosines of the incoming light ray
with respect to a given spatial frame.
These data, which will soon be provided by the GAIA satellite (Turon et al. 2005), will allow us to obtain a map of the celestial sphere with a
arcsec accuracy in the measurements of angles. This accuracy is assured by retaining terms of the order of c-3 - namely,
- in the general-relativistic astrometric model.
The problem of fixing the boundary conditions for the inverse
ray-tracing problem was analytically discussed and fully solved in a
series of works (Bini & de Felice 2003;
Bini et al. 2003;
de Felice & Preti 2006, 2008);
in this paper we derive the covariant formula for the general
relativistic aberration effect from the basic equation of the boundary
conditions and provide a full analytical model for the direct
determination of the stellar aberration angle in terms of the GAIA
observables.
Notation and conventions: metric signature is +2; Greek
(spacetime) indices run from 0 to 3, while Latin (space) indices run
from 1 to 3; hatted indices identify tetrad quantities; expressions
like
for any
and
indicate scalar products relative to the given metric.
2 The aberration formula
Let our Galaxy be contained in a coordinate neighbourhood of a
spacetime manifold, which we assume to be generated by the solar system
alone. Let
be a coordinate system centred at the baricentre of the solar system; the spatial coordinates
span spacelike hypersurfaces, which we require to exist at t= const., t
being a time coordinate. On each of these hypersurfaces, the spatial
coordinate axes are chosen to identify a kinematically nonrotating
frame, termed barycentric celestial reference system (BCRS). This
coordinate system generates a field of coordinate bases for the tangent
spaces on the manifold; all tensor components referred to in this paper
are relative to those bases. The background metric is a solution of
Einstein's equations with the solar system as the only source;
its form is therefore dictated by the weak-field, slow-motion
approximation, with metric components reading
g00 | = | ![]() |
|
gij | = | ![]() |
where, to the lowest order, the metric perturbations are



Since the following discussion will deal primarily with the measurement of angles, it is essential to identify the observers and the frames of reference chosen to perform these measurements. We define
- The locally baricentric observers.
They are a family of observers who are static with respect to the
spatial axes of the BCRS, and are described at each spacetime point by
a four-vector
with coordinate components
, where A(x)=(-g00)-1/2 is a scalar function, that assures unitarity of
with respect to the given metric:
. A tetrad frame adapted to a locally baricentric observer is termed ``Sun-locked'' if one of the vectors of its spatial triad is identified as stably pointing to the geometrical centre of the Sun. Below, the spatial triad of the tetrad frame adapted to the BCRS observer will be indicated with
.
- The boosted observer.
This observer is at rest with respect to the centre of mass of the
satellite and carries a triad, which is obtained from the local
baricentric Sun-locked frame by boosting
to the rest space of the satellite. The boosted observer is described by a unitary four-vector field
with coordinate components
, where
and
is a scalar function, that assures unitarity of
with respect to the given metric:
. The vector
is tangent to the trajectory of the centre of mass of the satellite. The spatial triad of the tetrad frame adapted to this observer will below be indicated with
.
- The satellite observer.
This observer is at rest with respect to the centre of mass of the
satellite, but is also at rest with respect to the spatial rotations as
established by the satellite attitude (Turon et al. 2005).
This observer is characterized by the same unitary four-vector field
, tangent to the trajectory of the centre of mass of the satellite considered above, but it carries a spatial triad that rotates with respect to
, as stated. The spatial triad of the tetrad frame adapted to this observer will be indicated below with
. Note that
both translates and rotates with respect to
.





The instantaneous physical (``spatial'') velocity of the satellite observer
with respect to the local barycentric observer
is given by the modulus of the four-vector
the components of which are given by
where the tensor







![]() |
(2) |
note that
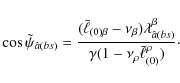
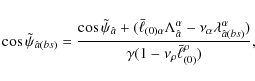
The astrometric observables are represented by the direction cosines between the



(de Felice & Clarke 1990; Brumberg 1991), where the tensor

- The angle
, which the local baricentric observer would measure between the direction of
and the corresponding
th direction of the triad
:
- The angle
, which the boosted observer would measure between the direction of
and the corresponding
th direction of the triad
:
As far as Eq. (6) is regarded, first we note that

as it follows from Eqs. (1) and (3); then we observe that

and that

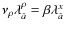
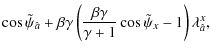
Hence we finally obtain from Eq. (6)
This expression can be rewritten as a function of

where
is the local BCRS Sun-locked triad, and the boost is provided by
![]() |
(17) |
where
![]() |
(18) |
and
In the above expressions the




where


Using Eq. (9), and recalling Eq. (7), we now see that Eq. (8) can be rewritten in the following form
which, clearly reminiscent of the form characterising the well-known special relativistic formula for the aberration effect, provides the generalization of the latter to the curved spacetime case, with arbitrary direction of the relative motion of the two observers


The consistency of Eq. (24)
can be checked by deducing from it, as a special case, the well-known
text-book special relativistic expression for the aberration effect. To
this end, we have to neglect all the gravitational potentials and
consider the simple case of the two observers
and
being in inertial relative motion along the coordinate
x axis.
The general expression of a boosted vector - a vector of the triad in our case - reads

(Jantzen et al. 1992); hence, setting






From Eq. (25), recalling Eqs. (7) and (9), and observing that



From these espressions, requiring the vectors of the triad




valid at all orders of

3 The aberration angle
Since aberration is an effect caused by the state of motion of the
observer with respect to the star, it arises at the event of
observation and is therefore accounted for - although implicitly - in
the process of fixing the boundary conditions.
For RAMOD, aberration is a correction of the observed line of sight due
to the motion of the satellite with respect to the local baricentric
observer.
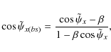
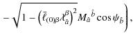
The angular correction (``aberration angle'') due to translational
motion is given by
,
namely
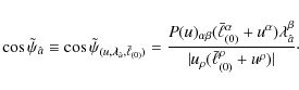
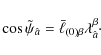
In order to obtain the aberration angle directly from the satellite observables, we need to reexpress the director cosines




where the matrix elements

in terms of the attitude parameters

in terms of the GAIA observables, defined in Eq. (4). Hence, using Eqs. (7) and (37) with Eq. (26) we can write
where all the quantities appearing in the rhs are known. In fact, the




4 Conclusions
We showed how the stellar aberration issue can be tackled from the
general relativistic point of view, resting on the theoretical
framework provided by the Relativistic Astrometric MODel (RAMOD), which
was conceived and developed to provide an all-inclusive general
relativistic analysis of the inverse ray-tracing problem at the
order of precision, which is the order required for a consistent
dealing with the high-precision astrometric data, that will soon be
provided by the ESA-GAIA mission.
The results presented here can be employed as an independent module
that can be attached to the main body of RAMOD, enabling us to single
out and quantify the stellar aberration effect directly from the GAIA
observational data.
References
- Beig, R., & Heinzle, J. M. 2008, Am. J. Phys., 76, 663 [NASA ADS] [CrossRef] [Google Scholar]
- Bini, D., & de Felice, F. 2003, Class. Quantum Grav., 20, 2251 [NASA ADS] [CrossRef] [Google Scholar]
- Bini, D., Crosta, M. T., & de Felice, F. 2003, Class. Quantum Grav., 20, 4695 [Google Scholar]
- Bolos, V. 2006, J. Geom. Phys., 56, 813 [NASA ADS] [CrossRef] [Google Scholar]
- Bradley, J. 1728, Phil. Trans. Roy. Soc. London, 35, 637 [Google Scholar]
- Brumberg, V. A. 1991, Essential Relativistic Celestial Mechanics (London: Adam Hilger) [Google Scholar]
- Crosta, M. T., & Vecchiato, A. 2010, A&A, 509, A37 [NASA ADS] [CrossRef] [EDP Sciences] [Google Scholar]
- de Felice, F., & Clarke, C. J. S. 1990, Relativity on Curved Manifolds (New York: Cambridge University Press) [Google Scholar]
- de Felice, F., & Preti, G. 2006, Class. Quantum Grav., 23, 5467 [Google Scholar]
- de Felice, F., & Preti, G. 2008, Class. Quantum Grav., 25, 165015 [Google Scholar]
- de Felice, F., Lattanzi, M. G., Vecchiato, A., & Bernacca, P. L. 1998, A&A, 332, 1133 [NASA ADS] [Google Scholar]
- de Felice, F., Lattanzi, M. G., & Vecchiato, A. 2001, A&A, 373, 336 [NASA ADS] [CrossRef] [EDP Sciences] [Google Scholar]
- de Felice, F., Crosta, M. T., Vecchiato, A., Bucciarelli, B., & Lattanzi, M. G. 2004, ApJ., 607, 580 [NASA ADS] [CrossRef] [Google Scholar]
- de Felice, F., Vecchiato, A., Crosta, M. T., Bucciarelli, B., & Lattanzi, M. G. 2006, ApJ., 653, 1552 [NASA ADS] [CrossRef] [Google Scholar]
- IAU 2000, Definition of Barycentric Celestial Reference System and Geocentric Celestial Reference System, 2000, IAU Resolution B1.3 adopted at the 24th General Assembly, Manchester, August 2000 [Google Scholar]
- Jantzen, R. T., Carini, P., & Bini, D. 1992, Ann. Phys. NY, 15, 1 [Google Scholar]
- Römer, O. 1676, Journal des Scavans, 233 [Römer, O. 1677, Phil. Trans. Roy. Soc. London, 136, 893] [Google Scholar]
- Teyssandier, P., & Le Poncin-Lafitte, C. 2006, [arXiv:qr-gc/0611078] [Google Scholar]
- Turon, C., O'Flaherty, K. S., & Perryman, M. A. C. 2005, The Three-dimensional Universe with GAIA (The Netherlands: ESA Publication Division), ESA SP-576 [Google Scholar]
Footnotes
- ... (RAMOD)
- For other approaches see, e.g., Bolos 2006 and Teyssandier & Le Poncin-Lafitte 2006).
Copyright ESO 2010
Current usage metrics show cumulative count of Article Views (full-text article views including HTML views, PDF and ePub downloads, according to the available data) and Abstracts Views on Vision4Press platform.
Data correspond to usage on the plateform after 2015. The current usage metrics is available 48-96 hours after online publication and is updated daily on week days.
Initial download of the metrics may take a while.