Issue |
A&A
Volume 513, April 2010
|
|
---|---|---|
Article Number | A10 | |
Number of page(s) | 9 | |
Section | Extragalactic astronomy | |
DOI | https://doi.org/10.1051/0004-6361/200913572 | |
Published online | 14 April 2010 |
An H I absorbing circumnuclear disk in Cygnus A
C. Struve1,2 - J. E. Conway3
1 - Netherlands Foundation for Research in Astronomy, Postbus 2, 7990 AA Dwingeloo, The Netherlands
2 - Kapteyn Institute, University of Groningen, Landleven 12, 9747 AD Groningen, The Netherlands
3 - Onsala Space Observatory, 439 92 Onsala, Sweden
Received 29 October 2009 / Accepted 19 December 2009
Abstract
We present Very Long Baseline Array (VLBA) H I absorption observations of the core region of the powerful radio galaxy Cygnus A. These data show both broad (FWHM = 231
21 km s-1) and narrow (FWHM < 30 km s-1)
velocity width absorption components. The broad velocity absorption
shows high opacity on the counter-jet, low opacity against the core and
no absorption on the jet side. We argue that these results are most
naturally explained by a circumnuclear H I absorbing disk orientated roughly perpendicular to the jet axis. We estimate that the H I absorbing gas lies at a radius of
pc has a scale height of about 20 pc, density n>104 cm-3 and total column density in the range
1023-1024 cm-2. Models in which the H I absorption
is primarily from an atomic or a molecular gas phase can both fit our
data. Modelling taking into account the effective beam shows that the
broad H I absorbing gas component does not
cover the radio core in Cygnus A and therefore does not contribute
to the gas column that blocks our view of the hidden quasar nucleus. If
however Cygnus A were observed from a different direction, disk
gas on
pc
radius scales would contribute significantly to the nuclear column
density, implying that in some radio galaxies gas on these scales may
contribute to the obscuration of the central engine. We argue that the
circumnuclear torus in Cygnus A contains too little mass to power
the AGN over >107 yr but that material in the outer H I absorbing gas disk can provide a reservoir to fuel the AGN and replenish torus clouds. The second narrow H I absorption component is significantly redshifted (by 186 km s-1)
with respect to the systemic velocity and probably traces infalling gas
which will ultimately fuel the source. This component could arise
either within a tidal tail structure associated with a recent (minor)
merger or be associated with an observed infalling giant molecular
cloud.
Key words: galaxies: elliptical and lenticular, cD - galaxies: individual: Cygnus A - galaxies: kinematics and dynamics - galaxies: structure - galaxies: ISM - galaxies: active
1 Introduction
Circumnuclear obscuring tori/disks are an essential component of unified schemes of active galactic nuclei (e.g. Tadhunter 2008; Antonucci 1993). Recently there has been much progress in obtaining direct evidence for such structures especially in Seyfert luminosity objects. This evidence includes modelling of the IR SEDs from AGN heated dust in clumpy tori (Nenkova et al. 2008b) and direct IR interferometric imaging of this dust on 1-10 pc scales (Tristram et al. 2009; Jaffe et al. 2004).
On larger scales adaptive optics IR observations of molecular hydrogen lines (Hicks et al. 2009) have revealed geometrically thick gas at radii 30 pc in Seyferts. Additionally millimetre interferometry also detects molecular gas in emission on scales r = 70 pc (e.g. Schinnerer et al. 2000) albeit in more flattened disk-like structures. Such outer disk structures may be continuous with inner obscuring tori and provide both the fuel and a conduit for feeding the central engine. The relationship between these circumnuclear disks and obscuring tori is however far from clear.
Radio observations provide another means to study the circumnuclear gas environment. This can for instance be achieved by VLBI observations of maser emission from molecular gas (Lo 2005), free-free absorption from ionised gas and absorption from atomic gas (H I). Examples of the use of the latter two tracers include observations of NGC 1275 (e.g.Vermeulen et al. 1994), Centaurus A (e.g. Morganti et al. 2008; Jones et al. 1996), Hydra A (e.g. Taylor 1996), NGC 4261 (Jones et al. 2001; van Langevelde et al. 2000) and 1946+708 (Peck & Taylor 2001). Because of their high spatial resolution such radio observations are especially suitable for studying circumnuclear obscuring matter in powerful narrow line radio galaxies which are expected (see Tadhunter 2008) to be unified via orientation with radio-loud quasars. There is strong evidence from X-ray observations (Hardcastle et al. 2009) for the expected obscuration by large column densities in the former objects, however they are usually too distant and faint for optical and IR observations to directly observe the circumnuclear gas.
A prime target for studies of circumnuclear gas in a luminous ``hidden quasar'' radio galaxy is the closest Fanaroff-Riley (Fanaroff & Riley 1974)
type II (FR-II) radio-galaxy Cygnus A.
Spectropolarmetric observations of this source which revealed a
hidden BLR in scattered light (Ogle et al. 1997)
were a major milestone in the general acceptance of the orientation
unification scheme for powerful radio galaxies and radio-loud quasars.
Further evidence for shadowing from a central torus comes from the
bi-cones observed in both optical emission lines (Jackson et al. 1998) and IR continuum (Tadhunter et al. 1999).
The sharpness of the edges of these bi-cones suggest that the inner
face of any torus occurs at radii <50 pc from the central
engine (Tadhunter 2008). Tadhunter et al. (2003)
have from optical/IR emission line observations measured a
rotation curve from gas rotating around the bi-cone/radio-jet axis at
pc
allowing a central black hole mass to be estimated. These observations
may trace the outer parts of a circumnuclear gas structure which
connects with the inner obscuring torus. The ultimate origin of
this material could be related to the merger activity detected in
Cygnus A (Canalizo et al. 2003).
The central radio core and inner jets of Cygnus A are relatively
bright from millimetre to centimetre wavelengths allowing searches in
absorption to constrain circumnuclear gas properties on small
(<100 pc) scales. Molecular absorption observations so far
give ambiguous results with only upper limits or marginal detections
being reported (see e.g. Barvainis & Antonucci 1994; Salomé & Combes 2003; Impellizzeri et al. 2006; Fuente et al. 2000). VLBI observations by Krichbaum et al. (1998)
have however found evidence for ionised circumnuclear gas on scales
<20 pc via the detection of free-free absorption toward the
counter-jet. Additionally Conway & Blanco (1995) detected broad H I absorption
toward the core in VLA observation which were interpreted in terms
of a circumnuclear disk/torus model, with the H I absorption
either tracing the small atomic fraction of a mainly molecular medium
or a purely atomic structure. To better constrain the scale and
geometry of this H I absorbing gas we have performed high resolution NRAO Very Long Baseline Array (VLBA) H I absorption observations. A short report on a initial reduction of this data was given by Conway (1999),
this present paper presents a fuller re-analysis of the data. The
organisation of this paper is as follows, in Sect. 2 we
describe the observations while Sect. 3 presents the observational
results including modelling of opacity profiles along the source.
A discussion of the results is given in Sect. 4 and a summary
in Sect. 5. At the redshift of Cygnus A (z=0.056) for cosmologies with
H0 = 73 km s-1 1 mas
corresponds to approximately 1 pc, a scaling which we adopt
throughout this paper. All total recession velocities quoted are
heliocentric (optical definition).
![]() |
Figure 1: Top panel: continuum image at 1340 MHz. The lowest contour is at 2 mJy beam-1 with subsequent contours increasing by factors of 2. The effective beam FWHM (see Sect. 2) is indicated in the lower right corner. Bottom left panel: integrated absorption spectrum from the blanked cube with the velocities shifted to the rest frame of Cygnus A (see Sect. 4.1). The dashed line shows the two component Gaussian fit. Bottom right panel: contours show continuum. Grayscale shows the mean opacity over the rest frame velocity range -80 to +170 km s-1. The thick dark line shows the un-blanked region over which the integrated absorption spectra (shown in the bottom left panel) is calculated. |
Open with DEXTER |
2 Observations
Observations were performed on August 31st 1995 using the ten
stations of the VLBA plus the phased VLA. Two IFs (left and right
circular polarisation) with a bandwidth of 12.5 MHz and
256 channels were centred at the frequency of the previously
observed H I absorption (
MHz, Conway & Blanco 1995).
A number of bright compact sources were observed as fringe finders
and for bandpass calibration. The data were correlated in Socorro, USA.
A standard data reduction using AIPS was performed including
fringe fitting, calibration and flagging of the data. Cygnus A
lies at a relatively low galactic latitude (b = 5
7)
and the effects of interstellar scattering are significant at
VLBI resolution. For this reason four antennas which participated
only in long baselines, namely Brewster, Hancock, Mauna Kea and
St. Croix showed no fringes to Cygnus A and so were deleted
from the subsequent data analysis. Initial amplitude calibration was
accomplished for VLBA antennas using the recorded system
temperature values (which took into account the dominant contribution
to the noise from the lobes of Cygnus A). For the phased VLA the
calibrator
/
values
were used with a correction applied to take into account the system
noise contribution from Cygnus A. Offsets in the
VLA amplitude calibration scale were then corrected by comparing
the correlated Cygnus A flux densities on long baselines to
respectively the VLA and Pie Town. Initial continuum images were
made via iterative phase self-calibration/deconvolution starting from a
point source. A couple of cycles of amplitude and phase
self-calibration were performed at the very end to obtain a noise
limited continuum map.
Extensive experiments were carried out to determine the optimum uv
weighting which gave the best combination of sensitivity and resolution
for both continuum and spectral line. Final images were made using
uniform weighting with robustness factor 0.5; giving rise to an
almost circular dirty beam with main lobe width FWHM 25 mas.
Since the uv point weights also took into account the sensitivity of
each baseline (by weighting by 1/noise variance) the final
continuum and spectral line images are dominated by the baselines to
the VLA. CLEAN images were restored with a circular FWHM 25 mas
Gaussian; however the effective image resolution is less than this
because of the effects of foreground interstellar scattering. The
observed effective resolution (i.e. the clean beam convolved with
the interstellar scattering) is 32.7 mas, as determined by
measuring the FWHM of the continuum profile perpendicular to
the jet at the core position - implying an interstellar scattering
contribution of 21 mas.
The resulting continuum image (see Fig. 1) has rms noise of 0.43 mJy beam-1
and shows besides the unresolved core a jet and counter-jet structure
(see Sect. 3). In principal it is possible that the
counter-jet structure could be an artefact of phase self-calibration
starting from a point source. To check this possibility we
re-mapped the data only allowing flux density on the jet side to be
included in the model in the initial cycles, but in all cases emission
on the counter-jet side remained. The existence of a counter-jet is
also confirmed by other observations (e.g. Krichbaum et al. 1998).
In making our final continuum and spectral line images we used
data self-calibrated against continuum models including both jet and
counter-jet emission. Before making our spectral line cube we removed
the continuum contribution using the AIPS task UVLIN and then imaged
using the same weighting as used for our continuum image and the same
CLEAN restoring beam.
In order to increase sensitivity when creating our spectral line
cube the uv data were averaged in frequency to give a final
channel separation equivalent to 14.0 km s-1 in velocity or a velocity resolution of 28.0 km s-1 after Hanning smoothing. The noise achieved in the final line cube was
mJy beam-1 per channel.
3 Results
3.1 Continuum image
The 1340 MHz continuum image (Fig. 1, top panel) is very similar to the 1660 MHz image shown by Krichbaum et al. (1998). We clearly detect the unresolved core, the jet and the weaker counter-jet (SE of the core). The PA of the jet is 105
2
,
in agreement with VLBI observations at higher frequencies (Krichbaum et al. 1998) and the kpc-size jet structure (Carilli et al. 1991). The continuum peak has brightness 0.16 Jy beam-1 and the total continuum flux recovered in our observations is 0.50 Jy.
3.2 H I absorption
An integrated absorption spectrum over our spectral line cube is shown in Fig. 1, bottom left. Broad (
km s-1) H I absorption is detected in the velocity range from 16 679 to 17 135 km s-1 with the peak being located at v = 17 002 km s-1 (z=0.05667). The integrated spectrum is well fitted by two Gaussian components, yielding centroid velocities of 16 916
10 km s-1 (z=0.05639
0.00003) and 16 986
5 km s-1 (z=0.05662
0.00002), with FWHM = 231
21 and 29
10 km s-1 respectively (after correcting the line widths to the rest frame of the host galaxy). The second, narrow component has a FWHM velocity
width similar to our velocity resolution and hence we consider this
velocity width as an upper limit of the true line width. The presence
of two components in the integrated spectrum suggests that the H I absorption
consists of two different overlapping structures. Despite small
differences in the flux scale (for continuum and absorption
spectrum) the VLBA data agree in absorption width, profile shape
and radial velocity with the VLA A- and B-array observations of Conway & Blanco (1995).
These authors found slightly different Gaussian fits for the absorption
spectrum, their data however potentially suffers from bandpass
calibration and continuum subtraction problems (since two IFs -
only slightly overlapping in velocity - had to be used to achieve
sufficient spectral resolution and velocity coverage). Given these
issues we conclude that both data sets agree within the noise of both
observations so that we have recovered the full absorption seen by
the VLA. The difference seen in flux scale between our VLBI and
the published VLA observations are likely due to inaccuracies in
amplitude calibrations of the VLA. This instrument, unlike VLBI,
did not record the antenna system temperatures which are greatly
enhanced due to the presence of the bright radio lobes of Cygnus A
in the primary beam of each antenna, complicating the amplitude
calibration.
Inspection of the data cube shows that the absorption is
spatially resolved and is detectable over 95 mas in angle along
the radio axis (i.e. effective beam FWHMs). Below the second contour of the continuum image it is not possible to constrain the H I absorption
because the background is too weak. The deepest absorption
measured in mJy is toward the counter-jet and unresolved core but the
highest opacities occur for the broad velocity component on the
counter-jet side (see Fig. 1,
bottom right). We find no indication of changes in spectral line
absorption profiles in directions perpendicular to the jet axis -
which is as expected given the small jet width (Krichbaum et al. 1998)
compared to our effective resolution; this means we need to only
consider the spectral profile as a function of position along the jet
axis as shown in Fig. 2.
In this figure the top panel shows the rotated continuum image
while the middle panel shows the absorbed flux density (contours) and
absorbed flux/continuum ratio (colours; note: saturated over 0.2)
versus velocity and position along the jet.
![]() |
Figure 2: Top panel: radio continuum image of the core region rotated such that the jet is pointing to the right and the counter-jet to the left. Contour levels are the same as in Fig. 1. Middle panel: position-velocity diagram along the radio axis. Grey scale shows the line-to-continuum ratio. Over-plotted in contours is the absorbed flux density in mJy beam-1. Contour levels are -15, -10, -7.5, -5.0 (white) and 5.0 mJy beam-1 (black). Bottom panel: velocity averaged line-to-continuum ratio along the source for two different velocity ranges. The solid line is for a velocity range dominated by the broad velocity component ( 16 720-16 970 km s-1), the dashed line for a velocity range ( 16 971-17 012 km s-1) centred on the narrow absorption system velocity. |
Open with DEXTER |
The highest contours in the middle panel of Fig. 2 belong to the narrow velocity absorption component at recession velocity 16 986 km s-1
seen against the core. At the same velocity a slight
extension on the jet-side is detectable, consistent with having the
same
opacity
as seen on the core. Because of the rapid fall-off of continuum
intensity further along the jet and counter-jet further information
about the spatial distribution of the narrow velocity component is
limited. That is to say that the underlying continuum is not
strong enough to detect the narrow velocity absorption component even
if the opacity remains
.
The broad absorption component in Fig. 2, middle panel (seen at velocities around 16 900 km s-1)
is detected from the core position out to 65 mas along the
counter-jet. Over this spatial range the broad component has absorbed
flux densities (contour levels) which stay almost constant; given the
rapid fall off in background continuum this corresponds to a rapid
increase in line-to-continuum ratio (colours). Over the range of
position from -50 mas to -65 mas spectra taken show the
absorption to be flat bottomed and the absorbed flux density comparable
with the continuum, both implying H I opacities
.
The absorption shows an apparent sharp decrease beyond -65 mas,
though in a region with very weak continuum (we discuss further
the reality of this decrease in Sect. 3.3). The broad absorption
also apparently has a small but significant opacity (
)
at the position of the core, however, this may be due only to the
limited spatial resolution causing ``leakage'' of absorption onto the
core position. Quantitative estimates of broad line opacity along the
source are made in Sect. 3.3 where the above two points are addressed.
Reinforcing the above description of the two velocity components the bottom panel of Fig. 2 shows the line to continuum ratio averaged over different velocity ranges versus position. The solid line shows average line-to-continuum for velocity ranges where the broad component dominates, while the dashed line is for a velocity range where the narrow absorption is most dominant. The broad component shows rapidly increasing absorption along the counter-jet reaching a peak velocity averaged line-to-continuum ratio of almost 0.6 at -55 mas (with peak ratios within the velocity profile at this position in fact reaching up to 1 and beyond). The second profile (dashed line) for the velocity range where the narrow velocity component normally dominates has approximately the same mean opacity on the core and jet. On the counter-jet side the average opacity over this velocity range increases, this is however consistent with the narrow absorption component having the same opacity as on the core and jet-side but with the average line-to-continuum ratio becoming dominated by contamination from the high velocity wings of the broad velocity component.
3.3 Modelling spatial variations in broad line opacity
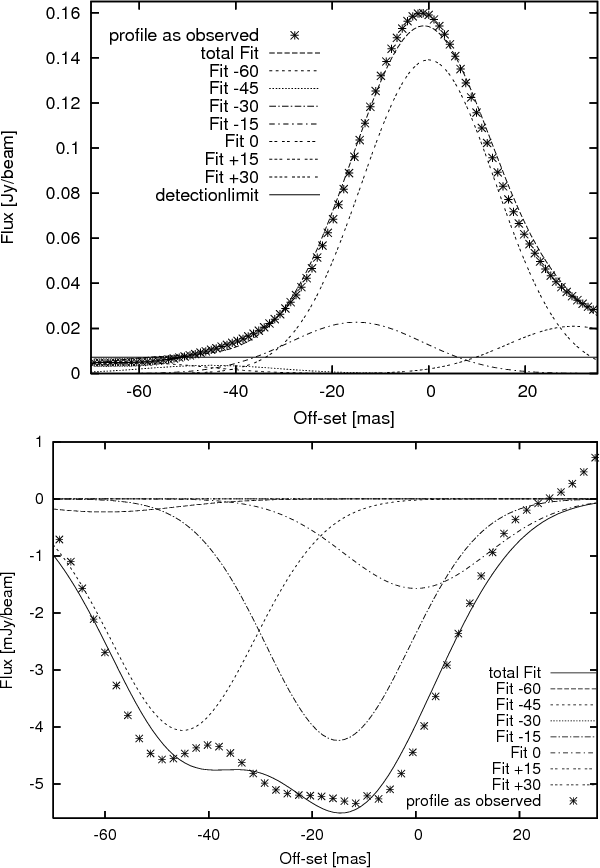
The increase in line-to-continuum ratio of the broad absorption seen on the counter-jet side (see Sect. 3.2 and Fig. 2) implies a rapid increase in opacity. As noted in Sect. 3.2, at the position of maximum absorption the spectral profiles are flat-bottomed and saturated implying large opacity. To more accurately convert the line-to-continuum ratios versus velocity to peak opacity, and therefore estimate H I column density variations, we have carried out a detailed modelling of the data. In this modelling we describe both continuum and peak opacity estimates with a set of seven point sources separated by 15 mas along the jet/counter-jet axis (i.e. just under half an effective beam FWHM width). Additionally by taking into account the effective beam width this modelling provides a modest super-resolution of the data, important because interstellar scattering limits our spatial resolution (Sect. 2). Specifically, we are interested in the question of whether the weak broad absorption apparently seen at the core position (see Fig. 1 bottom right panel) is real or whether it can be explained by the combination of very strong absorption on the counter-jet side combined with limited spatial resolution.
![]() |
Figure 3: Modelling of continuum and broad absorption along the jet axis (see Sect. 3.3). Top panel: comparison of model fit and data for the observed continuum profile found by adjusting pixel values while assuming an effective Gaussian beam of FWHM of 32.7 mas. Bottom panel: comparison of model and data for average absorbed line flux over the broad component velocity range from 16 720-16 970 km s-1. In both plots negative offsets correspond to counter-jet, positive offsets to jet side. |
Open with DEXTER |
In our modelling we first made estimates for the underlying continuum profile for each model point source (referred to as a ``pixel'') where there was detectable absorption. Continuum intensities were varied at each of these seven pixels until after convolution with the effective restoring beam the model continuum profile versus position fitted the observations. In a similar way we estimated for each pixel the absorbed line area (mJy km s-1) at velocities in the range 16 720-16 970 km s-1 (where the broad absorption component dominates). Pixel values were again adjusted such that after convolution by the effective beam the model fitted the observations. Finally an estimate was made at each pixel of the peak H I opacity versus velocity by combining the pixel-based continuum and spectral line absorption estimates. In estimating this quantity we assumed the broad-component opacity spectrum was Gaussian with fixed velocity centroid and fixed FWHM.
The resulting fits reproduce (see Fig. 3),
to first order, both the observed continuum and the absorbed flux
profiles along the source. Deviations of the fits from the data are
likely due to the background continuum being more complicated (see Krichbaum et al. 1998) than our parameterisation of it. Table 1 gives our results and the line centre peak opacity as plotted in Fig. 4.
Note that no opacity estimate is plotted at positions -30 and
+15 mas because the fitted continuum intensity at these positions
was zero. We estimate the error of the line-to-continuum ratio
(Table 1, Col. 4) assuming it is dominated by the rms noise in the line data. At position r=-45 mas the lower limit on line centre opacity is set by subtracting 2
from the line-to-continuum ratio.
The peak opacity (Col. 5) takes into account that part of the
absorption spectrum is flat bottomed and the attached error is
calculated based on a
uncertainty in our line data. Our results are consistent with no broad H I absorption
on the jet-side and any opacity against the core being very
low (0.016). Moving outward from the core along the counter-jet,
the opacity increases and peaks at 45 mas (
1021
)
before it sharply decreases to 0.078 at 60 mas from the core.
Based on uncertainty estimates of the absorbed flux this drop in
opacity is real and not an observational artefact due to insufficient
signal-to-noise.
Table 1: Results of modelling of continuum and broad H I absorption profiles along the jet axis (see Sect. 3.3).
![]() |
Figure 4: Estimates of broad absorption opacity at line centre versus position along the radio axis after taking into account beam effects (see Sect. 3.3). The opacities and errors plotted are taken from Table 1. |
Open with DEXTER |
4 Discussion
4.1 A disk geometry for the broad absorption component
The fact that the broad velocity width absorption is seen at high opacity only against the counter-jet and not against the jet is similar to the situation found for other powerful cores of radio galaxies observed in H I absorption, for instance in the FR-I source NGC 4261 (van Langevelde et al. 2000). The most natural explanation for these observations is that the H I absorption lies in a flattened structure roughly in a plane perpendicular to the radio axis (i.e. a circumnuclear disk). Alternative explanations involving foreground clouds in the ISM of the host galaxy seem unlikely, requiring within elliptical hosts a large covering factor of 10-100 pc sized clouds with uncharacteristically large internal velocity dispersion (of order 300 km s-1).
Converting our observations of the location and distribution of H I absorption
along the counter-jet to an exact of radius in the disk depends on the
precise orientation of the disk. Over the range of plausible disk
orientations however this radius varies over a fairly narrow range as
can be seen by examining two limits, first when the disk is close to
edge-on and when at its maximum plausible tilt. In the former case
the H I profile width in Fig. 4 measures the scale height of the disk. Since we know the central black hole mass (
109
,
Tadhunter et al. 2003) the radius at which the H I absorption occurs can be calculated (following Krolik & Begelman 1988) via:
![]() |
(1) |
where











An important question in considering the feasibility of the disk
hypothesis is the velocity of the broad absorption relative to the
systemic velocity of the galactic nucleus. For a disk which is
perfectly normal to the jet axis these velocities will be the same. Our
best estimate of the systemic velocity we take to be z=0.05600
0.00008 (=16 800
24 km s-1) which is the mean of six published optical/IR emission line estimates (see Table 1 in Tadhunter et al. 2003). The centroid of the broad component at 16 916 km s-1 is therefore 116 km s-1
beyond the mean systemic velocity. The observed offset however can be
accommodated if there were a fairly modest misalignment between the
disk axis and the jet. VLBI observations constrain the jet axis to
be within 10
of the sky plane. For such an orientation misalignments between
projected jet axis and disk axis will be similar to intrinsic
misalignments. Given the arguments above that the H I absorption occurs at
pc radius and given the estimated central black hole mass of (
109
,
Tadhunter et al. 2003) the orbital velocity is
km s-1. Given this orbital velocity a misalignment of only 21
is sufficient to explain the difference between the H I centroid and systemic velocities.
4.2 Physical properties of the broad absorption component gas
According to Maloney et al. (1996)
the physical state of gas around an AGN is controlled by an ionisation
parameter determined from the ratio of the hard X-ray photon flux to
local gas density. At a given radius r this ionisation parameter equals
![]() |
(2) |
where




The Maloney et al. (1996) model can be used to predict the disk H I and
free-free absorption opacity as a function of gas density; comparison
with observations can then constrain the density. In order to
predict opacities we need to convert gas volume densities to column
densities which requires estimates of the path length through the
absorbing gas. Based on our estimate of the disk thickness
of 20 pc and the maximum disk inclination angle with respect
to the line of sight (Sect. 4.1) we estimate the geometric path
length through the disk to be at least 31 pc. This is a strict
lower limit and we adopt
pc
as a more likely value. Note that if the gas exists in clouds the
effective path length through absorbing gas can be less than
but
it cannot be larger. Using the above assumptions we find that upper
limits on free-free absorption toward the counter-jet do not give any
useful gas density constraints. This is because, although the
free-electron fraction increases at lower densities this is compensated
for by a lower total gas column such that the free-free opacity
continuum absorption at 21 cm wavelength against the counter-jet
is less than 0.1 over all reasonable densities.
For modelling H I absorption the relevant parameters given by Maloney et al. (1996) are the predicted gas temperature and atomic fraction versus effective ionisation parameter
.
At the radius of the absorbing H I assuming densities high enough to give a predominately atomic (and not ionised) column, the increase of
due to radiative excitation from the radio core is negligible (see e.g. Bahcall & Ekers 1969). Given this we assume the atomic gas is thermalised and that its spin temperature (
)
equals the gas temperature (T). The predicted H I line width in this cases is proportional to
where
is the H I column density and T the temperature. Both of the above quantities
can be calculated as functions of the local density n. The former quantity equals the product of the total column density
(for a uniform filled column) multiplied by the H I abundance. This abundance is a function of
(calculated using Fig. 3 in Maloney et al. 1996) which in turn is a function of n via Eq. (2) (where
N22 = N/1022). Likewise T can be derived as a function of n, again using Fig. 3 in (Maloney et al. 1996). Combining the
and T dependencies on n together we can predict
and hence the expected H I absorption linewidth versus local density and then compare to observations. For densities n>104 cm-3 the predicted H I absorption is
larger than observed, this can however easily be reconciled with observations if the H I absorption is concentrated in clouds (see below). At densities n<104 cm-3 however there are no solutions that can provide enough H I absorption to match what we observe, hence we can set a minimum density of 104 cm-3 for our H I absorbing gas.
For the gas density range 1.0
104 cm
-3 < n<3.2
104 cm-3 there exist pure atomic phase gas solutions which fit the H I observations. These solutions require the absorption to occur in clouds such that only a fraction
of
a typical LOS passes through clouds. At the higher densities
within this range the requirements on total gas column density are
reduced because gas/spin temperatures decline making hydrogen atoms
more efficient at absorption. At the boundary in density between
having predominately atomic or molecular phase clouds (at density
4.6
104 cm-3) the spin temperature is
K the cloud line of sight filling factor is
and N=1.82
1023 cm-2
which is comparable to the X-ray absorption column along the line of
sight to the central engine. At higher densities the clouds become
predominately molecular but the observed H I absorption
can still be fitted by similar total gas column densities. The reason
is that although the atomic fraction declines rapidly with increasing
density the temperature also declines, this increases the efficiency of
absorption per hydrogen atom which almost exactly compensates for the
reduced abundance.
In summary we cannot on the basis of our H I observations alone distinguish between models for the H I absorbing gas phase which are primarily atomic or molecular. We can however set at minimum density (n>104 cm-3) and a range for the total gas column density through the H I absorbing disk (1023 cm
-2 < N< 1024 cm-2).
Estimating total gas masses is complicated for those solutions invoking
clouds in that these solutions only fix the line of sight filling
factor, converting to volume filling factors requires knowing the cloud
size, on which we have no constraint. For the minimum density
solution where the gas column is continuous we can make a rough
estimate of disk gas mass of
108
within the inner 80 pc radius of the disk. For higher density
solutions, both total required column densities and cloud filling
factors decrease so that total gas mass requirements are significantly
less. In all cases the total disk mass is much less than that of
the central black hole (
109
,
Tadhunter et al. 2003) which therefore dominates the kinematics in the inner part of the nucleus that we observe.
4.3 Constraints on circumnuclear torus properties and relation to the H I disk
It is interesting that the estimated total gas column density through the H I absorbing
gas (see Sect. 4.2) is comparable to that estimated by X-ray
photoelectric absorption toward the core of 2
1023 cm-2 (see Young et al. 2002).
Is it possible that most of this column density and most of the
material that hides the quasar nucleus occurs as far out as r=80 pc? An obvious problem with such a scenario is the absence of broad H I absorption along the direct line of sight to the radio core (peak opacity is
0.006, compared to >1 on the counter-jet, see Sect. 3.3 and Fig. 2).
A change in gas physical state with scale-height in the disk while
keeping almost constant column density seems unlikely. If the high
scale-height gas covering the core were still predominately atomic or
molecular we find no density solutions that fit the low limit on H I absorption
seen. On the other hand if the high scale height gas were wholly
ionised at this column density it would strongly free-free absorb the
radio core. Although there are signs of free-free absorption at
pc (Krichbaum et al. 1998) along the counter-jet this absorption does not cover the core position itself.
It seems likely instead that most of the X-rays absorbing column in Cygnus A and other hidden quasars occurs on scales pc in a compact circumnuclear torus. The inner radius of such a torus is set by the dust sublimation radius,
erg-1 s)0.5 pc (Nenkova et al. 2008b) where
is the AGN bolometric luminosity. For Cygnus A
is estimated to be 1.5
1045 erg s-1 (Whysong & Antonucci 2004) giving
pc. It should be noted that the Whysong & Antonucci (2004)
mid-IR estimate of the bolometric luminosity is significantly lower
(by factors 5-20) than estimates based on the unabsorbed hard
X-ray luminosity (see Tadhunter et al. 2003),
possibly because of uncorrected torus extinction at mid-IR wavelengths
(Tadhunter, private communication). However, an increase by a factor
of 20 in bolometric luminosity results in the sublimation radius
increasing only to
pc, still significantly smaller than the radius of the H I structure. The outer radius (
)
is probably not as cleanly defined as in some early depictions of doughnut-like tori (Padovani & Urry 1992)
and may even be continuous with larger circumnuclear disks
(see references in Sect. 1). Consistent with these more
general geometries the term ``torus'' can be thought of,
if one prefers, as an acronym for ``Thick/toroidal
Obscuration Required by Unified Schemes'' (Conway 1999; Elitzur 2008) rather than referring to a specific fixed geometry.
Recently Privon (2009) has fitted the
observed Spectral Energy Distribution (SED) of the Cygnus A
nucleus with a combined synchrotron jet, starburst and torus model. The
torus fitting assumed the clumpy model of Nenkova et al. (2008a,b).
A wide range of solutions were obtained depending on assumptions
about the disk inclination and synchrotron jet spectrum. Most plausible
solutions however had cloud number density per unit volume declining
as r-q with q=1 and ratios of outer to inner radius, Y=30 (giving
pc
for Cygnus A). Satisfyingly, the predicted total column density
matches the X-ray absorption estimate within the errors. Despite the
relatively large formal outer radius the concentration of clumps toward
the inner edge means that most of the column density is concentrated at
small radii. For a radial exponent of q=1 half of the total column density occurs within
corresponding to 2.8 pc, i.e. on a much smaller scale than our observed H I absorption.
The above results beg the question of relationship between the H I absorbing disk and the circumnuclear torus in Cygnus A. The mass in the torus is very low (6
105
,
following Elitzur 2008) and the lifetime of large scale-height clouds within it is short (due to intercloud collisions, see e.g. Krolik & Lepp 1989). Hence, both to fuel the quasar-like nucleus at the expected rate of
yr-1 and to replenish the torus clouds a much larger reservoir of material is required, which could reside in the H I absorbing disk. The mass in such a disk (see Sect. 4.2) is sufficient to power the source for 107 to 108 yr
and may form part of a ``feeding structure'' which funnels gas
from kilo-parsec scales into the central black hole. A feeding
connection between disk and torus seems likely but the mechanisms of
gas transport between the two scales is unclear.
Pertinent to the feeding question is whether the torus and the H I absorbing
disk are a continuous structure with one gradually melding into the
other, or if they are dynamically distinct and contain gas with
very different physical conditions. The former possibility is motivated
by the fitted torus outer radius
pc which is of the same order of magnitude as the radius of the H I absorption (r=80 pc).
Furthermore the torus outer radius determined from SED fitting is not
well constrained by the data and may extend beyond this limit. However,
in such a continuous model for clouds with approximately fixed
density the clouds would likely be in an increasingly molecular state
over a projected radius from 1 to 70 pc as the excitation
parameter decreased. It is hard to see how the rapid gradient in
H I absorption seen along the counter-jet
could be reproduced in such a case. Furthermore the observation of
free-free absorption at intermediate positions (r<20 pc, Krichbaum et al. 1998)
is inconsistent with such a continuous model. It seems more likely
that the torus - although ultimately fed from gas in the
disk - is a distinct structure, perhaps generated in an
accretion disk wind as in the model of Elitzur & Shlosman (2006).
Clearly, more work is required to understand how the observed
components in Cygnus A and other radio galaxies of 100 pc
scale H I absorbing disks, inner ionised gas
and circumnuclear tori are connected in self-consistent structures
which both obscure and feed the central engine.
An additional remark concerning the disk/torus inter-relationship is that although in Cygnus A the H I absorbing disk likely does not contribute to the total absorbing column toward the central engine (as estimated from the X-ray observations) it could have done so if we had observed Cygnus A from a different direction.
Further progress on understanding the circumnuclear gas
environment in Cygnus A probably requires the reliable detection
of molecular absorption and its imaging with VLBI. Single dish searches
at commonly observed molecular transitions such as the ground and
higher rotational transitions of CO (Barvainis & Antonucci 1994; Salomé & Combes 2003)
have so far yielded only upper limits. In contrast a
tentative detection of CO+ in absorption using the
IRAM 30 m was reported by Fuente et al. (2000) with
a centroid velocity and FWHM velocity width (170 km s-1) very similar to that of our broad H I absorption.
This detection has yet to be confirmed interferometrically (Fuente,
private communication). Given the results in this paper, despite the
similarity in spectral shape, it seems unlikely that these
observations are probing the same gas column as seen in H I absorption.
The counter-jet which provides the background continuum against which
the atomic hydrogen absorption is seen will have negligible flux
density at millimetre wavelengths. Instead the line of sight probed at
3 mm wavelength will probably lie at projected distances
<1 pc from the central engine. While this is comparable to the
scales on which the circumnuclear torus has its largest column density ( pc)
we would expect that the velocity dispersion of clouds in such
a geometrically thick torus would be comparable to the orbital
velocity at this radius (i.e. 1900 km s-1), which is much broader than is observed. Similar considerations apply to the
tentative VLBA observations of exited OH absorption reported by Impellizzeri et al. (2006) at projected radii <3 pc which only have observed width
100 km s-1.
4.4 The narrow absorption component
While we argue that the broad absorption component is caused by gas
rotating around the central black hole (Sect. 4.1) the narrow
(<30 km s-1
see Sect. 3) absorption gas is likely to have a different origin.
This narrow velocity component is significantly redshifted ( km s-1)
with respect to the optical systemic velocity implying foreground
gas moving inward toward the nucleus. This component is detected over
the whole continuum region (i.e. jet, core and counterjet) where
the observations are sensitive enough to detect an opacity of
(see Sect. 3.2 and Fig. 2).
A very similar opacity and centroid velocity is seen at the core
position and one effective beam away on the jet side. The apparent
increase in opacity at the velocity of the narrow absorption that is
seen on the counter-jet side in Fig. 2
can be explained entirely by contamination by the broad velocity wings
of the broad velocity absorption. While we do not have many independent
samples of the narrow velocity component opacity versus position those
we do have are consistent with a constant narrow component opacity
of 0.1 over the whole VLBI radio source. Although the
foreground distance from the narrow H I absorption
to the VLBI continuum source is not well constrained we suspect
that it must be >100 pc given its narrow velocity width and the
position stability of its velocity centroid; if the gas was closer
one would expect tidal forces to widen the velocity width and increase
velocity centroid variations.
The structure and origin of the narrow H I absorption is unclear. Physically it could be related to a minor merging event, detected 400 pc South-West of the core (Canalizo et al. 2003). As a result of this interaction the narrow H I component could arise in a tidal tail of gas that is moving towards the nucleus. According to galaxy merger simulations (Bournaud et al. 2005) part of the progenitor's gas that gets expelled in tidal tails during a merging event will eventually fall back on the disk. The narrow component could also be connected to the giant infalling molecular cloud located 1.35 kpc to the North-West of the nucleus (Bellamy & Tadhunter 2004). However, the projected distances from the core are rather different such that a direct connection is not obvious. Both of the above gas components are relatively large (>100 pc) and thus would be consistent with having fairly constant H I opacity over the whole VLBI structure.
Further progress with constraining the size and origin of the narrow H I absorption system might be made by making future sensitive (and high spectral resolution) e-MERLIN or EVLA observations to try to trace the narrow H I absorption further along the jet.
5 Summary
We have presented VLBA H I absorption data of the core region of Cygnus A. H I absorption
is detected over a linear scale of 95 pc, but is seen mainly along
the counter-jet and on the nucleus. The integrated spectrum can be
well-fitted by two Gaussian profiles suggesting a broad (FWHM = 231
21 km s-1) and a narrow (<30 km s-1)
component. Modelling the data shows that the broad absorption occurs
only against the counter-jet and not against the jet. Against the
unresolved core the opacity is very low. The broad velocity component
can be explained by a circumnuclear disk which has its highest opacity
45 mas away (in projection) from the black hole. The narrow
velocity component could be explained as an infalling tidal tail,
presumably left from a past minor merging event.
The radius at which the broad H I absorption
occurs can be constrained with the help of limits on the orientation of
the disk. We find a relatively narrow range of possible parameters,
resulting in an estimated radius of pc for the peak opacity, a disk scale height of about 20 pc and hence an opening angle of 14
.
The offset between the centroid of the broad velocity component and the mean systemic velocity can be explained by a tilt of 21
of the disk axis compared to the jet axis.
Based on the derived geometry of the circumnuclear disk we derived physical properties of the H I absorbing gas. We find the minimum gas density to be n > 104 cm-3 with a spin temperature
K. With the H I observations alone we cannot distinguish between models for the H I absorbing
gas phase which are primarily atomic or molecular. We can however set a
range for the total gas column density through the H I absorbing disk of 1023 cm-2 < N < 1024 cm-2. An upper limit on the gas mass within a radius of 80 pc is
,
which is a factor 25 less than the black hole mass estimated by Tadhunter et al. (2003).
The circumnuclear torus in Cygnus A has an estimated fiducial radius pc, which is a much smaller scale than our observed H I absorption. The estimated mass in the torus clouds (
)
is too low to power (alone) the source for 107-108 yr. In contrast the H I disk has enough mass to feed the AGN and replenish the torus clouds.
Higher sensitivity, broader band observations are needed to study the properties of the atomic circumnuclear disk in more detail, to search for a connection with the torus and to investigate whether the torus contains a very broad (2000 km s-1 wide) H I absorption component. Higher spectral resolution e-MERLIN or EVLA observations of the narrow absorption component are needed to try to trace absorption further out along the jet to constrain its physical size.
AcknowledgementsThis research was supported by the EU Framework 6 Marie Curie Early Stage Training programme under contract number MEST-CT-2005-19669 ESTRELA. J.C. acknowledges financial support from the Swedish Science Research Council. We thank the referee Clive Tadhunter for his comments that helped to improve the paper. We wish to thank Joan Wrobel of NRAO for extensive help in setting up the phased VLA for VLBI observations at a non-standard observing frequency.
References
- Antonucci, R. 1993, ARA&A, 31, 473 [Google Scholar]
- Bahcall, J. N., & Ekers, R. D. 1969, ApJ, 157, 1055 [NASA ADS] [CrossRef] [Google Scholar]
- Barvainis, R., & Antonucci, R. 1994, AJ, 107, 1291 [NASA ADS] [CrossRef] [Google Scholar]
- Bellamy, M. J., & Tadhunter, C. N. 2004, MNRAS, 353, 105 [NASA ADS] [CrossRef] [Google Scholar]
- Bournaud, F., Jog, C. J., & Combes, F. 2005, A&A, 437, 69 [NASA ADS] [CrossRef] [EDP Sciences] [Google Scholar]
- Canalizo, G., Max, C., Whysong, D., Antonucci, R., & Dahm, S. E. 2003, ApJ, 597, 823 [NASA ADS] [CrossRef] [Google Scholar]
- Carilli, C. L., Perley, R. A., Dreher, J. W., & Leahy, J. P. 1991, ApJ, 383, 554 [NASA ADS] [CrossRef] [Google Scholar]
- Conway, J. E. 1999, in Highly Redshifted Radio Lines, ed. C. L. Carilli, S. J. E. Radford, K. M. Menten, & G. I. Langston, ASP Conf. Ser., 156, 259 [Google Scholar]
- Conway, J. E., & Blanco, P. R. 1995, ApJ, 449, L131 [NASA ADS] [CrossRef] [Google Scholar]
- Elitzur, M. 2008, New Astron. Rev., 52, 274 [NASA ADS] [CrossRef] [Google Scholar]
- Elitzur, M., & Shlosman, I. 2006, ApJ, 648, L101 [NASA ADS] [CrossRef] [Google Scholar]
- Fanaroff, B. L., & Riley, J. M. 1974, MNRAS, 167, 31P [Google Scholar]
- Fuente, A., Black, J. H., Martín-Pintado, J., et al. 2000, ApJ, 545, L113 [NASA ADS] [CrossRef] [Google Scholar]
- Hardcastle, M. J., Evans, D. A., & Croston, J. H. 2009, MNRAS, 396, 1929 [NASA ADS] [CrossRef] [Google Scholar]
- Hicks, E. K. S., Davies, R. I., Malkan, M. A., et al. 2009, ApJ, 696, 448 [NASA ADS] [CrossRef] [Google Scholar]
- Impellizzeri, V., Roy, A. L., & Henkel, C. 2006, in Proceedings of the 8th European VLBI Network Symposium [Google Scholar]
- Jackson, N., Tadhunter, C., & Sparks, W. B. 1998, MNRAS, 301, 131 [NASA ADS] [CrossRef] [Google Scholar]
- Jaffe, W., Meisenheimer, K., Röttgering, H. J. A., et al. 2004, Nature, 429, 47 [NASA ADS] [CrossRef] [PubMed] [Google Scholar]
- Jones, D. L., Tingay, S. J., Murphy, D. W., et al. 1996, ApJ, 466, L63 [NASA ADS] [CrossRef] [Google Scholar]
- Jones, D. L., Wehrle, A. E., Piner, B. G., & Meier, D. L. 2001, ApJ, 553, 968 [NASA ADS] [CrossRef] [Google Scholar]
- Krichbaum, T. P., Alef, W., Witzel, A., et al. 1998, A&A, 329, 873 [NASA ADS] [Google Scholar]
- Krolik, J. H., & Begelman, M. C. 1988, ApJ, 329, 702 [NASA ADS] [CrossRef] [Google Scholar]
- Krolik, J. H., & Lepp, S. 1989, ApJ, 347, 179 [NASA ADS] [CrossRef] [Google Scholar]
- Lo, K. Y. 2005, ARA&A, 43, 625 [NASA ADS] [CrossRef] [Google Scholar]
- Maloney, P. R., Hollenbach, D. J., & Tielens, A. G. G. M. 1996, ApJ, 466, 561 [NASA ADS] [CrossRef] [Google Scholar]
- Morganti, R., Oosterloo, T., Struve, C., & Saripalli, L. 2008, A&A, 485, L5 [NASA ADS] [CrossRef] [EDP Sciences] [Google Scholar]
- Nenkova, M., Sirocky, M. M., Ivezic, Z., & Elitzur, M. 2008a, ApJ, 685, 147 [NASA ADS] [CrossRef] [Google Scholar]
- Nenkova, M., Sirocky, M. M., Nikutta, R., Ivezic, Z., & Elitzur, M. 2008b, ApJ, 685, 160 [NASA ADS] [CrossRef] [Google Scholar]
- Ogle, P. M., Cohen, M. H., Miller, J. S., et al. 1997, ApJ, 482, L37 [NASA ADS] [CrossRef] [Google Scholar]
- Padovani, P., & Urry, C. M. 1992, ApJ, 387, 449 [NASA ADS] [CrossRef] [Google Scholar]
- Peck, A. B., & Taylor, G. B. 2001, ApJ, 554, L147 [NASA ADS] [CrossRef] [Google Scholar]
- Privon, G. C. 2009, [arXiv:0908.3476] [Google Scholar]
- Salomé, P., & Combes, F. 2003, A&A, 412, 657 [NASA ADS] [CrossRef] [EDP Sciences] [Google Scholar]
- Schinnerer, E., Eckart, A., Tacconi, L. J., Genzel, R., & Downes, D. 2000, ApJ, 533, 850 [NASA ADS] [CrossRef] [Google Scholar]
- Tadhunter, C. 2008, New Astron. Rev., 52, 227 [Google Scholar]
- Tadhunter, C. N., Packham, C., Axon, D. J., et al. 1999, ApJ, 512, L91 [NASA ADS] [CrossRef] [Google Scholar]
- Tadhunter, C., Marconi, A., Axon, D., et al. 2003, MNRAS, 342, 861 [NASA ADS] [CrossRef] [Google Scholar]
- Taylor, G. B. 1996, ApJ, 470, 394 [NASA ADS] [CrossRef] [Google Scholar]
- Tristram, K. R. W., Raban, D., Meisenheimer, K., et al. 2009, A&A, 502, 67 [NASA ADS] [CrossRef] [EDP Sciences] [Google Scholar]
- van Langevelde, H. J., Pihlström, Y. M., Conway, J. E., Jaffe, W., & Schilizzi, R. T. 2000, A&A, 354, L45 [NASA ADS] [Google Scholar]
- Vermeulen, R. C., Readhead, A. C. S., & Backer, D. C. 1994, ApJ, 430, L41 [NASA ADS] [CrossRef] [Google Scholar]
- Whysong, D., & Antonucci, R. 2004, ApJ, 602, 116 [NASA ADS] [CrossRef] [Google Scholar]
- Young, A. J., Wilson, A. S., Terashima, Y., Arnaud, K. A., & Smith, D. A. 2002, ApJ, 564, 176 [NASA ADS] [CrossRef] [Google Scholar]
Footnotes
- ... (VLBA
- The VLBA is operated by the National Radio Astronomy Observatory which is a facility of the National Science Foundation operated under co-operative agreement by Associated Universities, Inc.
All Tables
Table 1: Results of modelling of continuum and broad H I absorption profiles along the jet axis (see Sect. 3.3).
All Figures
![]() |
Figure 1: Top panel: continuum image at 1340 MHz. The lowest contour is at 2 mJy beam-1 with subsequent contours increasing by factors of 2. The effective beam FWHM (see Sect. 2) is indicated in the lower right corner. Bottom left panel: integrated absorption spectrum from the blanked cube with the velocities shifted to the rest frame of Cygnus A (see Sect. 4.1). The dashed line shows the two component Gaussian fit. Bottom right panel: contours show continuum. Grayscale shows the mean opacity over the rest frame velocity range -80 to +170 km s-1. The thick dark line shows the un-blanked region over which the integrated absorption spectra (shown in the bottom left panel) is calculated. |
Open with DEXTER | |
In the text |
![]() |
Figure 2: Top panel: radio continuum image of the core region rotated such that the jet is pointing to the right and the counter-jet to the left. Contour levels are the same as in Fig. 1. Middle panel: position-velocity diagram along the radio axis. Grey scale shows the line-to-continuum ratio. Over-plotted in contours is the absorbed flux density in mJy beam-1. Contour levels are -15, -10, -7.5, -5.0 (white) and 5.0 mJy beam-1 (black). Bottom panel: velocity averaged line-to-continuum ratio along the source for two different velocity ranges. The solid line is for a velocity range dominated by the broad velocity component ( 16 720-16 970 km s-1), the dashed line for a velocity range ( 16 971-17 012 km s-1) centred on the narrow absorption system velocity. |
Open with DEXTER | |
In the text |
![]() |
Figure 3: Modelling of continuum and broad absorption along the jet axis (see Sect. 3.3). Top panel: comparison of model fit and data for the observed continuum profile found by adjusting pixel values while assuming an effective Gaussian beam of FWHM of 32.7 mas. Bottom panel: comparison of model and data for average absorbed line flux over the broad component velocity range from 16 720-16 970 km s-1. In both plots negative offsets correspond to counter-jet, positive offsets to jet side. |
Open with DEXTER | |
In the text |
![]() |
Figure 4: Estimates of broad absorption opacity at line centre versus position along the radio axis after taking into account beam effects (see Sect. 3.3). The opacities and errors plotted are taken from Table 1. |
Open with DEXTER | |
In the text |
Copyright ESO 2010
Current usage metrics show cumulative count of Article Views (full-text article views including HTML views, PDF and ePub downloads, according to the available data) and Abstracts Views on Vision4Press platform.
Data correspond to usage on the plateform after 2015. The current usage metrics is available 48-96 hours after online publication and is updated daily on week days.
Initial download of the metrics may take a while.