Issue |
A&A
Volume 513, April 2010
|
|
---|---|---|
Article Number | A60 | |
Number of page(s) | 12 | |
Section | Astrophysical processes | |
DOI | https://doi.org/10.1051/0004-6361/200913594 | |
Published online | 29 April 2010 |
The subcritical baroclinic instability in
local accretion disc models![[*]](/icons/foot_motif.png)
G. Lesur - J. C. B. Papaloizou
Department of Applied Mathematics and Theoretical Physics, University of Cambridge, Centre for Mathematical Sciences, Wilberforce Road, Cambridge CB3 0WA, UK
Received 3 November 2009 / Accepted 13 January 2010
Abstract
Context. The presence of vortices in accretion discs
has been debated for more than a decade. Baroclinic instabilities might
be a way to generate these vortices in the presence of a radial entropy
gradient. However, the nature of these instabilities is still unclear
and 3D parametric instabilities can lead to the rapid destruction of
these vortices.
Aims. We present new results exhibiting a
subcritical baroclinic instability (SBI) in local shearing box models.
We describe the 2D and 3D behaviour of this instability using
numerical simulations and we present a simple analytical model
describing the underlying physical process.
Methods. We investigate the SBI in local shearing
boxes, using either the incompressible Boussinesq approximation or a
fully compressible model. We explore the parameter space varying
several local dimensionless parameters and we isolate the regime
relevant for the SBI. 3D shearing boxes are also investigated
using high resolution spectral methods to resolve both the SBI and
3D parametric instabilities.
Results. A subcritical baroclinic instability is
observed in flows stable for the Solberg-Hoïland criterion using local
simulations. This instability is found to be a nonlinear
(or subcritical) instability, which cannot be described by
ordinary linear approaches. It requires a radial entropy gradient
weakly unstable for the Schwartzchild criterion and a strong thermal
diffusivity (or equivalently a short cooling time).
In compressible simulations, the instability produces density
waves which transport angular momentum outward with typically
10-3, the exact value depending on the
background temperature profile. Finally, the instability survives in
3D, vortex cores becoming turbulent due to parametric instabilities.
Conclusions. The subcritical baroclinic instability
is a robust phenomenon, which can be captured using local simulations.
The instability survives in 3D thanks to a balance between the
2D SBI and 3D parametric instabilities. Finally, this
instability can lead to a weak outward
transport of angular momentum, due to the generation of density waves
by the vortices.
Key words: accretion, accretion disks - instabilities - planets and satellites: formation - turbulence
1 Introduction
The existence of long-lived vortices in accretion discs was first proposed by von Weizsäcker (1944) in a model of planet formation. This idea was reintroduced by Barge & Sommeria (1995) to accelerate the formation of planetesimals through a dust trapping process. Moreover, large scale vortices can lead to a significant transport of angular momentum thanks to the production of density waves (Johnson & Gammie 2005b). Many physical processes have been introduced in the literature to justify the existence of these vortices such as Rossby wave instabilities (Lovelace et al. 1999), planetary gap instabilities (de Val-Borro et al. 2007,2006), 3D circulation models (Barranco & Marcus 2005), MHD turbulence (Fromang & Nelson 2005) and the global baroclinic instability (Klahr & Bodenheimer 2003).
Baroclinic instabilities in accretion discs has regained interest in the past few years. A first version of these instabilities (the global baroclinic instability or GBI) was mentioned by Klahr & Bodenheimer (2003) using a purely numerical approach and considering a disc with a radial entropy gradient. However, the presence of this instability was affected by changing the numerical scheme used in the simulations, casting strong doubts on this instability as a real physical processes. The linear properties of the GBI were then investigated by Klahr (2004) and Johnson & Gammie (2005a). However, only transient growths were found in this context. Klahr (2004) speculated that these transient growths could lead to a nonlinear instability explaining the result of Klahr & Bodenheimer (2003), but it is still unclear whether transient growths are relevant for nonlinear instabilities (see e.g. Lesur & Longaretti 2005, and reference therein for a complete discussion of this point). The nonlinear problem was then studied in local shearing boxes by Johnson & Gammie (2006) using fully compressible numerical methods. These authors found no instability in the Keplerian disc regime and concluded that the GBI was ``either global or nonexistent''.
Nevertheless, baroclinic processes were studied again by Petersen et al. (2007a) using anelastic global simulations and including new physical processes. As in Klahr & Bodenheimer (2003), a weak radial entropy gradient was imposed in the simulation. However, a cooling function was also included in their model, in order to force the system to relax to the imposed radial temperature profile. In these simulations, Petersen et al. (2007a) observed spontaneous formation of vortices with radial entropy gradients compatible with accretion disc thermodynamics. In a subsequent paper (Petersen et al. 2007b), these vortices were found to survive for several hundreds orbits. According to the authors, their disagreement with Johnson & Gammie (2006) was due to a larger Reynolds number and the use of spectral methods, a possibility already mentioned by Johnson & Gammie (2006).
In this paper, we revisit baroclinic instabilities in a local setup (namely the shearing box) both in the incompressible-Boussinesq approximation and in fully compressible simulations. The aim of this paper is to clarify several of the points which have been discussed in the literature for the past 6 years about the existence, the nature and the properties of baroclinic instabilities. We show that a subcritical baroclinic instability (or shortly SBI) does exist in shearing boxes. This instability is nonlinear (or subcritical) and strongly linked to thermal diffusion, a point already mentioned by Petersen et al. (2007b). We also present results concerning the behaviour of the SBI in 3 dimensions, as vortices are known to be unstable because of parametric instabilities (Lesur & Papaloizou 2009). We begin in Sect. 2 by presenting the equations, introducing the dimensionless numbers and describing the numerical methods used in the rest of the paper. Section 3 is dedicated to 2D incompressible-Boussinesq simulations and a qualitative understanding of the instability. We present in Sect. 4 our results in compressible shearing boxes and in Sect. 5 the 3D behaviour of the instability. Conclusions and implications of our findings are discussed in Sect. 6.
2 Local model
2.1 Equations
In the following, we will assume a local model for the accretion disc,
following the shearing sheet approximation. The reader may consult Hawley et al. (1995), Balbus (2003) and Regev
& Umurhan (2008) for an extensive discussion of the
properties and limitations of this model. As a simplification,
we will assume the flow is incompressible, consistently with the small
shearing box model (Regev &
Umurhan 2008). The shearing-box equations are found by
considering a Cartesian box centred at r=R0,
rotating with the disc at angular velocity .
We finally introduce in this box a radial stratification using the
Boussinesq approximation (Spiegel
& Veronis 1960). Defining
and
as in Hawley et al. (1995),
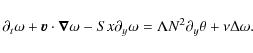
one eventually obtains the following set of equations:
where









The generalised pressure
is calculated solving a Poisson equation with the incompressibility
condition (3).
For homogeneity and consistency with the traditional Boussinesq
approach, we have introduced a stratification length
.
Note however that
disappears from the dynamical properties of these equations as one can
renormalise the variables defining
.
The stratification itself is controlled by the Brunt-Väisälä
frequency N, defined for a perfect
gas by
![]() |
(4) |
where P and






2.2 Dimensionless numbers
The system described above involves several physical processes. To clarify the regime in which we are working and to make easier comparisons with previous work, we define the following dimensionless numbers:
- The Richardson number Ri=N2/S2 compares the shear timescale to the buoyancy timescale. This definition is equivalent to the definition of Johnson & Gammie (2005a).
- The Peclet number
.
- The Reynolds number
.
The linear stability properties of this flow are quite well
understood. The flow is linearly stable for axisymmetric perturbations
when the Solberg-Hoïland criterion is satisfied. This criterion may be
written locally as:
or equivalently in a Keplerian disc, Ri>-4/9. Another linear stability criterion, the Schwarzschild criterion, is often used for convectively stable flows without rotation nor shear. This criterion reads
or equivalently Ri>0. As we will see in the following, this criterion is the relevant one for the SBI.
When viscosity and thermal diffusivity are included, the
Solberg-Hoïland criterion is modified, potentially leading to the
Goldreich-Schubert-Fricke (GSF) instability (Fricke 1968; Goldreich & Schubert 1967).
The stability criterion is in that case
![]() |
(7) |
This criterion is satisfied when both (5) is verified and

2.3 Numerical methods
We have used two different codes to study this instability. When using the Boussineq model (Sects. 3 and 5), we have used SNOOPY, a 3D incompressible spectral code. This code uses an implicit scheme for thermal and viscous diffusion, allowing us to study simulations with small Pe without any strong constrain on the CFL condition. The spectral algorithm of SNOOPY has now been used in several hydrodynamic and magnetohydrodynamic studies (e.g. Lesur & Longaretti 2007,2005) and is freely available on the author's website. For compressible simulations (Sect. 4), we have used NIRVANA (Ziegler & Yorke 1997). NIRVANA has been used frequently in the past to study various problems involving MHD turbulence in the shearing box (Fromang & Papaloizou 2006; Papaloizou et al. 2004).
In the following, we use the shearing sheet boundary
conditions (Hawley et al. 1995)
in the radial direction. This is made possible by the use of the
Boussinesq approximation in which only the gradients
of the background profile appear explicitly, through
and N. Therefore, when
and N are constant through the box, one can
assume that the thermodynamic fluctuation
is shear-periodic, consistently with the shearing-sheet approximation.
3 2D subcritical baroclinic instability in incompressible flows
To start our investigation, we consider the simplest case of a 2D (x,y) problem in an infinitely thin disc. This setup is the local equivalent of the 2D global anelastic setup of Petersen et al. (2007a), and one expects to find similar properties in both cases if the instability is local. In two dimensions, it is easier to consider the vorticity equation instead of (1). Defining the vertical vorticity of the pertubations by
![]() |
(8) |
In this formulation, the only source of enstrophy


The simulations presented in this section are computed in a
square domain Lx=Ly=1
with a resolution of 512
512 grid points using our spectral code. When not explicitly
mentioned, the time unit is the shear timescale S-1.
We choose the fiducial parameters to be Re=4
105; Pe=4
103 and Ri=-0.01,
in order to have a flow linearly stable for the
Solberg-Hoïland criterion (5).
These parameters are close to the one used by Petersen
et al. (2007a) and are compatible with disc
thermodynamics.
3.1 Influence of initial perturbations
In the first numerical experiment, we choose to test the effect of the initial conditions, keeping constant the dimensionless parameters. In our initial conditions, we excite randomly the largest wavelengths of the vorticity field with an amplitude Ap. This initial condition is slightly different from the one used by Petersen et al. (2007b,a) who introduced perturbations in the temperature field. In each experiment we modify the amplitude of the initial perturbation Ap, and follow the time evolution of the total enstrophy (Fig. 1)The numerical results indicate clearly the presence of a nonlinear
or subcritical transition in the flow. Indeed, we
find the ``instability'' for large enough initial perturbations. This
also confirms the result of Johnson
& Gammie (2006): there is no linear instability in
the presence of a weak radial stratification. Moreover, one of the
reasons that Johnson & Gammie
(2006) did not observe any transition could be because of the
weak initial perturbations they used (between 10-12
and 10-4). Using similar initial
conditions, we did not observe any transition either. The existence of
the instability in our simulations was checked by doubling the
resolution (1024 1024),
keeping constant all the dimensionless numbers. We found no significant
difference between high and low resolution results, showing that our
simulations were converged for this problem.
When the system undergoes a subcritical transition, it develops long-lived self-sustained vortices, as shown for Ap=1 in Fig. 2 (top). For such a large Reynolds number, it is known that vortices survive for long times (see e.g. Umurhan & Regev 2004), even without any baroclinic effect. To check that the observed vortices were really due to the baroclinic term, we have carried out the exact same simulation but without stratification (Fig. 2 bottom). This simulation also shows the formation of vortices but these are lately dissipated on a few hundred shear times. At t=500 S-1 the difference between the simulation with and without baroclinicity becomes obvious.
![]() |
Figure 1: Volume averaged enstrophy for several initial amplitude perturbation (Ap) in arbitrary units. A subcritical instability is observed for finite amplitude perturbations between Ap=0.2 and Ap=0.4. |
Open with DEXTER |
![]() |
Figure 2: Evolution of the vorticity in the fiducial case. Top row has a baroclinic term with Ri=-0.01. Bottom row has no baroclinicity. We show t=10 ( left), t=100 ( middle), t=500 ( right). |
Open with DEXTER |
The vortices observed in these incompressible simulations lead to a
very weak and strongly oscillating turbulent transport of angular
momentum. One finds typically an inward transport
with
10-5. This is consistent with the
results published by Petersen
et al. (2007b) in global simulations.
In several other numerical experiments (not shown here), we have noticed that the amplitude threshold required to get the instability depends on Re and Pe, a larger Reynolds number being associated with a weaker initial perturbation. This dependency was pointed out by Petersen et al. (2007a) and it indicates that the amplitude threshold in a realistic disc could be very small (i.e. much smaller than the sound speed). Note however that this threshold might also be scale dependent, a problem which has not been addressed here.
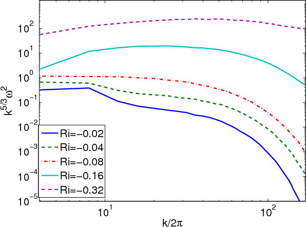
3.2 Influence of the Richardson number
To understand how the instability depends on the amplitude of the
baroclinic term, we have carried out several runs with Re=4
105 and Pe=4
103, varying Ri from -0.02
to -0.16 and from 0.02 to 0.016. We compare
the resulting shell-integrated enstrophy spectra (
)
in Fig. 4.
When Ri<0 and |Ri|
becomes larger, the instability tends to amplify smaller and
smaller scales. In particular for Ri=-0.02,
the dominant scale is clearly the box scale, as already
observed for the fiducial run. This trend is also observed looking
directly at vorticity snapshots (Fig. 3). The sign
of Ri is also of importance for the onset
of the SBI. To demonstrate this effect, we show the time
history of the total enstrophy for positive and negative Ri
in Fig. 5.
In the cases of positive Ri, the total
enstrophy decays until the flow becomes axisymmetric. Perturbations are
then damped very slowly on a viscous timescale. We conclude from these
results that a necessary condition for the SBI to appear is a
flow which do not satisfy the Schwarzschild criterion (6).
![]() |
Figure 3: Vorticity map for Ri=-0.02 ( left) and Ri=-0.16 ( right) at t=500. As already shown by the spectra, small scales are dominant for larger |Ri|. |
Open with DEXTER |
3.3 Influence of thermal diffusion
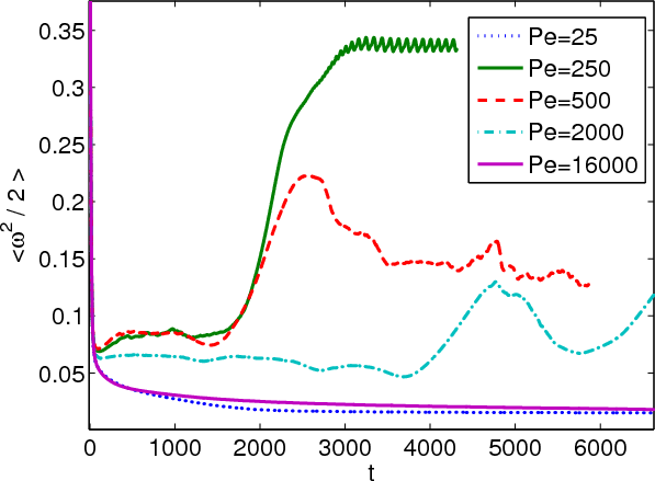
The importance of thermal cooling and thermal diffusion was already pointed out by Petersen et al. (2007b). To check this dependancy in our local model, we have considered several simulations with Ri=-0.01, varying Pe from Pe=20 to Pe=16 000. The resulting enstrophy evolution is presented for several of these runs in Fig. 6. Looking at the snapshots of the vorticity field for these simulations, we find the SBI approximatively for 50




3.4 Instability mechanism
Since the flow is subcritically unstable, no linear analysis can
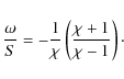
capture this instability entirely. As shown by Johnson & Gammie (2005a), an
ensemble of shearing waves in a baroclinic flow is subject to a
transient growth with an amplification going asymptotically like |Ri|t1-4Ri
for
when
,
the waves being ultimately decaying when
or
.
However, this tells us little to nothing about the nonlinear behaviour
of such a flow. Indeed, it is known that barotropic Keplerian
flows undergo arbitrarily large transient amplifications
(see e.g. Chagelishvili
et al. 2003), but subcritical transitions are yet to
be found in that case (Ji
et al. 2006; Hawley et al. 1999; Lesur &
Longaretti 2005). In the SBI case, the subcritical
transition happens only for negative Ri as
shown above, in flagrant contradiction with the linear amplification
described by Johnson & Gammie
(2005a). This is a strong indication that linear
theory is of little use for describing this instability.
![]() |
Figure 4: Enstrophy spectrum as a function of the Richardson number Ri. As |Ri| becomes larger, the instability moves to smaller scales. |
Open with DEXTER |
![]() |
Figure 5: Time history of the total enstrophy for positive and negative Richardson number. The instability is observed only for negative Ri. |
Open with DEXTER |
![]() |
Figure 6:
Time history of the total enstrophy for several Peclet number (Pe).
The instability is observed for |
Open with DEXTER |
To isolate a mechanism for a subcritical instability, one should start
from a non-linear structure observed in the simulations. For the SBI,
these structures are self-sustained vortices. In order to
understand how baroclinic effects can feedback on the vortex structure,
we initialised our fiducial simulation with
a Kida vortex of aspect ratio 4 (Kida 1981). Although this vortex is
known to be an exact nonlinear solution of the inviscid equation of
motions, it is slowly modified by the explicit viscosity and
the baroclinic term, leading to a slow growth of the vortex. We show in
Fig. 7
the resulting vortex structure (left) and the associated baroclinic
term
(right) at t=100 S-1.
Note that these structures are quasi steady and evolve on timescales
much longer than the shear timescale. It is clear from these
snapshots that the baroclinic feedback tends to amplify the vorticity
located inside the vortex, leading to the growth of the vortex itself.
![]() |
Figure 7:
Vortex structure obtained starting from a Kida vortex. ( Left)
Vorticity map. ( Right) Baroclinic term (
|
Open with DEXTER |
To understand the origin of the baroclinic feedback, let's assume the physical quantities are evolving slowly in time, as is observed in the simulations, so we may write
![]() |
(9) | |
![]() |
(10) |
where




Since the Richardson number is assumed to be small, the baroclinic feedback of (12) has to be small. As only this term can lead to an instability, we can assume it scales like



This system of equations describes a quite simple physical system: the vorticity field is a steady solution of the inviscid vorticity equation with a constant shear and without any baroclinic feedback, whereas the potential temperature results from advection-diffusion of the background entropy profile due to the flow structure. A family of steady solutions of the inviscid vorticity equation with a constant shear are known to be steady vortices, like the Kida (1981) vortex. More generally, it can be shown that any

![]() |
(15) |
where


In the following, we assume (13) is satisfied
by
and we look for a solution to the entropy Eq. (14). As a
further simplification, we neglect the advection of the perturbed
entropy
by
,
assuming this effect is small compared to the advection by the mean
shear, although this does not affect the argument leading to the
possibility of instability (see below). Using a Fourier
decomposition
,
one gets
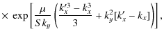
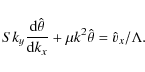
A solution to this equation can easily be found using standard techniques for solving first order ordinary differential equations. Assuming


where we have defined
G(kx,kx',ky) | = | ![]() |
|
![]() |
(18) |


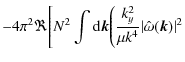
Evidently, an instability can occur only if the first term on the right hand side is positive. Using (17), is possible to derive an analytical expression for this term:
where



![]() |
(21) |
when


In this approximation, we find two competing effects. The first term on the right hand side appears when the thermal diffusion completely dominates over the shear in (16). It has a positive feedback on the total enstrophy when N2<0 and can be seen as a source term for the SBI. The second term involves a competition between shear and diffusion. It can be seen in first approximation as a phase mixing term, and the resulting can be either positive or negative, depending on the vorticity background one considers. Physically, this term shears out the entropy structure created by the vortex and if it is too strong, it kills the positive feedback of the first term. One should note however that this term will not reverse the sign of the baroclinic feedback but will just weaken it by randomising the phase coherence between


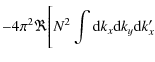
To understand the ``growth'' described by (22), on can derive
an order of magnitude expression for the growth rate
combining (19)
with (22):
![]() |
(23) |
In this expression,







Although
can only be determined for a specific vortex solution, one can still
deduce a few general properties for the SBI. For very large thermal
diffusivity (very small Pe) one
will expect the SBI when
![]() |
(24) |
since






![]() |
(25) |
which can be calculated once

Although not entirely conclusive, this short analytical
analysis tends to explain why a relatively strong thermal diffusion is
required to get the SBI. This dependancy was also pointed out
by Petersen et al. (2007b)
who used both a thermal diffusion and a cooling relaxation time in the
entropy equation. Such a cooling time can also be introduced
in our analysis in place of the thermal diffusion but this does not
change the underlying physical process. We also note that in this
analysis, we have assumed that a finite amplitude background vorticity
satisfying (13)
existed in the first place, from which we have derived the baroclinic
feedback on the same vorticity field. In this sense, this
analysis describes a non-linear instability and is different from the
linear approach of Johnson &
Gammie (2005a). In addition, we recall that we made
the approximation of only including the background shear in the
advection term on the left hand side of Eq. (14). We remark
that the dominant driving term in the limit of large
in (22)
does not depend on this assumption because the heat diffusion term
dominates in this limit.
3.5 Phenomenological picture
![]() |
Figure 8: Streamline in a vortex undergoing the SBI. A fluid particle is accelerated by buoyancy effects on A-B and C-D branches. Cooling occurs on B-C and D-A branches (see text). |
Open with DEXTER |
Knowing the basic mechanisms underlying the SBI, one can tentatively draw a phenomenology of this instability. For this exercise, let us consider a single streamline in a vortex subject to the SBI (Fig. 8 left). For simplicity, we reduce the trajectory followed by a fluid particle in the vortex to a rectangle (Fig. 8 right). Let us start with a fluid particle on A, moving radially inward toward B. This fluid particle is initially in thermal equilibrium, and we assume the motion from A to B is fast enough to be considered approximately adiabatic. As the particle moves inward, its temperature and density slowly deviate from the background values. If the background entropy profile is convectively unstable (condition 6), the fluid particle moving inward is cooler and heavier than the surrounding, and is consequently subject to an inward acceleration due to gravity (the particle ``falls''). Once the particle reaches B, it drifts azimuthally toward C. On this trajectory, the background density and temperature is constant. Therefore, the fluid particle gets thermalised with the background and, if the cooling is fast enough, it reaches C in thermal equilibrium. Between C and D, the same buoyancy effect as the one between A and B is observed: as the particle moves from C to D, it is always hotter and lighter than the surrounding, creating a buoyancy force directed radially outward on the particle. Finally, a thermalisation episode happens again between D and A, closing the loop.
From this picture, it is evident that fluid particles get accelerated by buoyancy forces on A-B and C-D branches. In the end, considering many particles undergoing this buoyancy cycle, the vortex structure itself gets amplified, explaining our results. Moreover, the role played by cooling or thermal diffusion is evident. It the cooling is too fast, fluid particles tend to get thermalised on the A-B and C-D branches, reducing the buoyancy forces and the efficiency of the cycle. On the other hand, if no cooling is introduced, the particles cannot get thermalised on the B-C and D-A branches. In this case, the work due to buoyancy forces on the B-A trajectory will be exactly opposite to the work done on the C-D trajectory, neutralising the effect on average.
4 2D SBI in compressible flows
In this situation we consider the 2D subcritical baroclinic instability
within the framework of a compressible model. We accordingy adopt the
compressible counterparts of Eqs. (1)-(3) for an ideal gas
with constant ratio of specific heats
in the form
Here c is the isothermal sound speed which is proportional to the square root of the temperature,





For simplicity we adopt a model that may be either regarded as
assuming that there is a prescribed energy production rate
and
is close to unity in (27) so
that the compressional heating term
can be dropped, or replacing the combination of the
compressional heating term and
by a new specified energy production/cooling rate. In either
view, as the energy production rate is specified, the model is
simplified as Eq. (27)
becomes an equation for c2 alone.
We consider shearing box models of extent Lx
in the radial direction and Ly
in the azimuthal
direction. A characteristic constant sound speed, c0,
defines a natural scale height .
We present simulations using NIRVANA (see Sect. 2.3) for a small
box with Lx=Ly/2=0.6H
and a large box with Lx=Ly/2=1.2H.
Thus in terms of the characteristic sound speed, when Keplerian shear
is the only motion, relative motions in the small box are subsonic,
whereas supersonic relative velocities occur in the big box. We have
also considered the two resolutions (Nx,Ny)=(144,288)
and (Nx,Ny)=(288,576)
and tests have shown that these give the same results. We have also
performed simulations with no applied viscosity
and with an applied viscosity corresponding to a Reynolds number
.
This was applied as a constant kinematic Navier Stokes viscosity but
with stress tensor acting on the velocity
being the deviation from the background shear rather than
.
This is not significant for an incompressible simulation but
ensures that unwanted phenomena such as viscous overstabilty produced
by perturbations of the background viscous stress (see Kley et al. 1993)
are absent. The diffusivity corresponding to the viscosity we used is
the same magnitude as the magnetic diffusivity used in Fromang et al. (2007) and
as in their case we find that it is adequately resolved.
![]() |
Figure 9:
Time history of the evolution of the enstrophy corresponding to the
perturbations for the small box. The uppermost curve is for |
Open with DEXTER |
In order to perform simulations corresponding to the incompressible
ones we need to impose gradients in the state variables that produce a
non zero Richardson number (appropriate for )
![]() |
(29) |
Because of the shearing box boundary conditions, imposed background gradients have to be periodic. Thus we choose an initially uniform density







As for the incompressible case, solutions with sustained
vortices were only found for sufficiently large initial velocity
perturbations of the equilibrium state. We adopted an incompressible
velocity perturbation of the form
![]() |
(30) |
and
![]() |
(31) |
where

![]() |
Figure 10:
Vorticity map for the small box simulation with applied viscosity
and |
Open with DEXTER |
![]() |
Figure 11:
Time history of the evolution of the enstrophy corresponding
to the perturbations for the large box. The uppermost curve is for |
Open with DEXTER |
4.1 Simulation results
![]() |
Figure 12:
Vorticity map ( left) and surface density map (
right) for the large box simulation with applied viscosity
and |
Open with DEXTER |
In Fig. 9
we show the the evolution of the enstrophy associated with the
perturbations for the small box. Cases with
with and without applied viscosity are shown. These lead to solutions
for which anticyclonic vortices are sustained for long times. The case
with no viscosity is more active as expected but otherwise looks
similar to the case with applied viscosity. By contrast when
the amplitude of the initial perturbation is reduced
to
no sustained vortices are seen. This demonstrates that our numerical
setup is not subject to any linear instability, such as Rossby wave
instabilities (Lovelace et al.
1999). The enstrophy attains a low level in the case with no
applied viscosity which is a consequence
of a long wavelength linear axisymmetric disturbance that shows only
very weak decay provided by numerical viscosity in this run.
Figure 10
shows a vorticity map for the small box simulation with applied
viscosity and
.
Anticylconic vortices are clearly seen in this case supporting the
finding from the incompressible runs that a finite amplitude initial
kick is required to generate them.
![]() |
Figure 13:
Time history of the running means of the spatially averaged value
of |
Open with DEXTER |
The time history of the evolution of the enstrophy for large box
simulations with
with and without applied viscosity is shown in Fig. 11.
Corresponding vorticity and surface density maps for the case with
applied viscosity are shown in Fig. 12. Again the
inviscid case is more active but nonetheless the corresponding
maps look very similar. In these cases the anticyclonic vortices are
present as in the small box case but there is increased activity from
density waves as seen in the surface density maps. These waves could be
generated by a process similar to the swing amplifier with vorticity
source described by Heinemann
& Papaloizou (2009a,b), although the structures we
observe do not strictly correspond to a small scale turbulent flow. The
density waves are associated with some outward angular momentum
transport. However, the value of
measured from the volume average of the Reynolds stress is always
highly fluctuating. Accordingly we plot running means as a function of
time for the small box and large box with applied viscosity in
Fig. 13.
In the small box case there is a small residual time average
but in the large box this increases to
10-3. This is clearly a consequence of
the fact that the small box is close to the incompressible regime,
whereas the large box being effectively larger than a scale height in
radial width allows the vortices to become large enough to become
significantly more effective at exciting density waves.
5 The SBI in 3D
The results presented previously were obtained in
a 2D setup. It is however known that
vortices like the one observed in these simulations are linearly
unstable to 3D perturbations due to parametric instabilities (Lesur & Papaloizou 2009). The
question of the survival of these vortices in 3D is therefore of great
importance, as their destruction would lead to the
disappearance of the SBI. As shown by Lesur
& Papaloizou (2009), 3D instabilities
involve relatively small scales compared to the vortex size when the
aspect ratio
of the vortex is large. This leads to strong numerical constraints on
the resolution one has to use to resolve both the 2D SBI and
3D instabilities. To optimise the computational
power, we have carried out all the 3D simulations using our
spectral code in the Boussinesq approximation, with a setup similar to
Sect. 3
and constant stratification.
5.1 Fiducial simulation
![]() |
Figure 14: Time history of the maxima of the 3 components of the velocity field when starting from 2D+3D noise. Once the SBI has formed vortices, 3D motions due to parametric instabilities appears and balance the 2D instability. |
Open with DEXTER |
We first consider a box extended horizontally to mimic a thin disc with
and
Lz=1. We
set Re=1.02
106, Pe=6400 and Ri=-0.01
with a numerical resolution Nx
Ny
Nz=1024
512
128 in order to resolve the small radial structures due to the
3D instabilities. The horizontal boundary conditions are
identical to the one used in 2D and periodic in the vertical
direction. Note that we don't include any stratification effect in the
vertical direction to reduce computational costs. Initial conditions
are to be chosen with care as 3D random perturbations
will generally decay rapidly due to the generation of
3D turbulence everywhere in the box. To avoid this
effect, we choose to start with a large amplitude 2D white
noise (
)
to which we add small 3D perturbations with an amplitude set
to 1% of the 2D perturbation amplitude.
We show in Fig. 14 the time
history of the extrema of the velocity field in such a simulation.
As expected, vertical motions triggered by
3D instabilities appear at t=200. However,
these ``secondary'' instabilities do not have a destructive
effect on the SBI. Instead, an almost steady state
is reached at t 600.
Looking at the snapshots in the ``saturated state'' at t=800 (Fig. 15) we observe the production of large scale anticyclonic vortices, as in the 2D case. However, in the core of these vortices (regions of negative vorticity), we also observe the appearance of vertical structures. Looking at the vertical component of the velocity field, one finds clearly that these vertical structures and motions are localised inside the vortex core. Although it is likely that the 3D instability observed in this simulation is related to the elliptical instability described by Lesur & Papaloizou (2009), we can't formally prove this point as the vortices found in the simulation are different from the one studied by Lesur & Papaloizou (2009).
Despite the presence of 3D turbulence in these vortices, the
turbulent transport measured in this simulation is directed inward,
with
10-5. This is to be expected as the
3D instabilities extract primarily their energy from the
vortex structure and not from the mean shear.
However, allowing for compressibility will certainly change the
turbulent transport as vortices will then also produce density waves
(see Sect. 4).
5.2 Evolution of a single vortex
![]() |
Figure 15: 3D structure obtained from our fudicial 3D simulation at t=800. Left: vertical component of the vorticity. Right: vertical component of the velocity field. We find that 3D instabilities involving vertical motions and vertical structures are localised inside vortex cores. |
Open with DEXTER |
To isolate the interplay between the SBI and 3D elliptical
instabilities, we have considered the case of an isolated
2D vortex in a 3D setup. We take the same
parameters as in the fiducial case, but we consider this time
a Kida vortex of aspect ratio
as an initial condition. Thanks to these initial conditions,
it is possible to follow the evolution of this single vortex,
and in particular measure its aspect ratio as a function of
time. This is done with a post-processing script, assuming that the
vortex core boundary is located at
.
We then measure the vortex aspect ratio as being the ratio ly/lx
of the boundary defined above. One should note however that this
procedure does not check that the vortex is still an ellipse. Moreover,
it gives wrong values for
if 3D perturbations create strong fluctuations of
.
We show in Fig. 16 the result of
such a procedure as well as the extrema on the vertical velocity for
comparison. Starting from ,
the first effect of the SBI is to reduce the vortex aspect ratio.
This is consistent with the Kida vortex solution
for which
![]() |
(32) |
Therefore, the vorticity amplification in the vortex core due to the baroclinic feedback leads to a reduction of the aspect ratio. When






The ``burst'' of turbulence observed in the Kida vortex case might be a specific property of this vortex solution. Indeed, on longer timescales, the spatial distribution of vorticity might be modified, leading to a more progressive appearance of 3D instabilities and a state more similar to the one observed in 5.1 could be achieved. However, this extreme example clearly demonstrate that 3D parametric instabilities do not lead to a total destruction of the vortices produced by the SBI.
![]() |
Figure 16:
Time history of vz
extrema ( top) and of the vortex aspect
ratio |
Open with DEXTER |
6 Conclusions
In this paper, we have shown that a subcritical baroclinic instability
was found in shearing boxes. Our simulations produce vortices with a
dynamic similar to the description of Petersen
et al. (2007a) and Petersen
et al. (2007b). We find that the conditions required
for the SBI are (1) a negative Richardson number
(or equivalently a disc unstable for the radial Schwarzschild
criterion) (2) a non negligible thermal diffusion or
a cooling function and (3) a finite amplitude initial
perturbation, as the instability is subcritical.
When computed in compressible shearing boxes, the vortices
sustained by the SBI produce density waves which could lead to a weak
outward angular momentum transport (
), a process
suggested by Johnson & Gammie
(2005b). However, we would like to stress that this transport
cannot be approximated by a turbulent viscosity, as the
transport due to these waves is certainly a non local process. Several
uncertainties remain in the compressible stratified shearing box model.
In particular, the imposed temperature profile that
is subsequently maintained by a heating source is somewhat artificial.
This occurs while angular momentum transport causes a significant
density redistribution causing the local model to deviate from the
original form. Clearly one should therefore consider global
compressible simulations with a realistic thermodynamic treatment to
draw any firm conclusion on the long term evolution and the angular
momentum transport aspect of the SBI.
Although the vortices produced by the SBI are anticyclones, the precise pressure structure inside these vortices is not as simple as the description given by Barge & Sommeria (1995). In particular, since the vorticity is of the order of the local rotation rate, vortices are not necessarily in geostrophic equilibrium and pressure minima can be found in the centre of strong enough vortices. Moreover, these vortices interact with each other, which leads to complex streamline structures and vortex merging episodes. This leads us to conclude that the particle concentration mechanism proposed by Barge & Sommeria (1995) might not work in its present form for SBI vortices.
![]() |
Figure 17: Vorticity map from a simulation starting with a 2D Kida vortex plus a weak 3D noise. We show a snapshot at t=660 ( left), t=750 ( middle) and t=830. After the 3D instability burst, a weak vortex survives and is amplified by the SBI. |
Open with DEXTER |
In 3D, vortices are found to be unstable to parametric instabilities. These instabilities generates random gas motions (``turbulence'') in vortex cores, but they generally don't lead to a proper destruction of the vortex structure itself. More importantly, the presence of a weak hydrodynamic turbulence in vortex cores will lead to a diffusion of dust and boulders, balancing the concentration effect described above. In the end, dust concentration inside these vortices might not be large enough to trigger a gravitational instability and collapse to form planetesimals.
Given the instability criterion detailed above, one can tentatively explain why Johnson & Gammie (2006) failed to find the SBI in their simulation. First, we would like to stress that our compressible simulations are not more resolved than theirs. Since these simulations use similar numerical schemes, the argument of a too small Reynolds number proposed by Petersen et al. (2007b) seems dubious. We note however that Johnson & Gammie (2006) did not include two other important ingredients: a thermal diffusivity and finite amplitude initial perturbations. As shown in this paper, if one of these ingredient is missing, the flow never exhibits the SBI and it gets back to a laminar state rapidly. Note that even if this argument explains the negative result of Johnson & Gammie (2006), it also indicates that the SBI should be absent from the simulations presented by Klahr & Bodenheimer (2003), as no thermal diffusion nor cooling function was used (the initial conditions were not explicitly mentioned). This suggests that either the global baroclinic instability described by Klahr & Bodenheimer (2003) and the SBI are two separate instabilities, or strong numerical artefacts have produced an artificially large thermal diffusion in Klahr & Bodenheimer (2003) simulations.
In the limit of a very small kinematic viscosity, the scale at
which the instability appears has to be related to the diffusion length
scale
.
In a disc, one would therefore expect the instability
around that scale, provided that the entropy profile has the right
slope (condition 1). However, as the instability
produces enstrophy, vortices are expected to grow, until they reach a
size of the order of the disc thickness where compressible effects
balance the SBI source term. We conclude from this argument
that even if the SBI itself is found at small scale
(e.g. because of a small thermal diffusivity),
the end products of this instability are large scale vortices,
with a size of the order of a few disc scale heights.
We would like to stress that the present work constitutes only a proof of concept for the subcritical baroclinic instability. To claim that this instability actually exists in discs, one has to study the disc thermodynamic in a self consistent manner, a task which is well beyond the scope of this paper. Moreover, it is not possible at this stage to state that the SBI is a solution to the angular momentum transport problem in discs. Although this instability creates some transport through the generation of waves, this transport is weak and large uncertainties remain on its exact value. Finally, the coexistence of the SBI and the MRI (Balbus & Hawley 1991) is for the moment unclear. In the presence of magnetic fields, vortices produced by the SBI might become strongly unstable because of magnetoelliptic instabilities (Mizerski & Bajer 2009). Although the nonlinear outcome of these instabilities is unknown, one can already suspect that vortices produced by the SBI will be weaken in the presence of magnetic fields.
AcknowledgementsG.L. thanks Charles Gammie, Hubert Klahr, Pierre-Yves Longaretti and Wladimir Lyra for useful and stimulating discussions during the Newton Institute program on the dynamics of discs and planets. We thank our referee G. Stewart for his valuable suggestions on this work. The simulations presented in this paper were performed using the Darwin Supercomputer of the University of Cambridge High Performance Computing Service (http://www.hpc.cam.ac.uk/), provided by Dell Inc. using Strategic Research Infrastructure Funding from the Higher Education Funding Council for England. G.L. acknowledges support by STFC.
References
- Balbus, S. A. 2003, ARA&A, 41, 555 [NASA ADS] [CrossRef] [Google Scholar]
- Balbus, S. A., & Hawley, J. F. 1991, ApJ, 376, 214 [NASA ADS] [CrossRef] [Google Scholar]
- Barge, P., & Sommeria, J. 1995, A&A, 295, L1 [NASA ADS] [Google Scholar]
- Barranco, J. A., & Marcus, P. S. 2005, ApJ, 623, 1157 [NASA ADS] [CrossRef] [Google Scholar]
- Chagelishvili, G. D., Zahn, J.-P., Tevzadze, A. G., & Lominadze, J. G. 2003, A&A, 402, 401 [NASA ADS] [CrossRef] [EDP Sciences] [Google Scholar]
- de Val-Borro, M., Edgar, R. G., Artymowicz, P., et al. 2006, MNRAS, 370, 529 [NASA ADS] [CrossRef] [Google Scholar]
- de Val-Borro, M., Artymowicz, P., D'Angelo, G., & Peplinski, A. 2007, A&A, 471, 1043 [NASA ADS] [CrossRef] [EDP Sciences] [Google Scholar]
- Fricke, K. 1968, ZAp, 68, 317 [Google Scholar]
- Fromang, S., & Nelson, R. P. 2005, MNRAS, 364, L81 [NASA ADS] [CrossRef] [Google Scholar]
- Fromang, S., & Papaloizou, J. 2006, A&A, 452, 751 [NASA ADS] [CrossRef] [EDP Sciences] [Google Scholar]
- Fromang, S., Papaloizou, J., Lesur, G., & Heinemann, T. 2007, A&A, 476, 1123 [NASA ADS] [CrossRef] [EDP Sciences] [Google Scholar]
- Goldreich, P., & Schubert, G. 1967, ApJ, 150, 571 [NASA ADS] [CrossRef] [Google Scholar]
- Hawley, J. F., Gammie, C. F., & Balbus, S. A. 1995, ApJ, 440, 742 [NASA ADS] [CrossRef] [Google Scholar]
- Hawley, J. F., Balbus, S. A., & Winters, W. F. 1999, ApJ, 518, 394 [NASA ADS] [CrossRef] [Google Scholar]
- Heinemann, T., & Papaloizou, J. C. B. 2009a, MNRAS, 397, 52 [NASA ADS] [CrossRef] [Google Scholar]
- Heinemann, T., & Papaloizou, J. C. B. 2009b, MNRAS, 397, 64 [Google Scholar]
- Ji, H., Burin, M., Schartman, E., & Goodman, J. 2006, Nature, 444, 343 [NASA ADS] [CrossRef] [PubMed] [Google Scholar]
- Johnson, B. M., & Gammie, C. F. 2005a, ApJ, 626, 978 [NASA ADS] [CrossRef] [Google Scholar]
- Johnson, B. M., & Gammie, C. F. 2005b, ApJ, 635, 149 [NASA ADS] [CrossRef] [Google Scholar]
- Johnson, B. M., & Gammie, C. F. 2006, ApJ, 636, 63 [NASA ADS] [CrossRef] [Google Scholar]
- Kida, S. 1981, Phys. Soc. Japan, 50, 3517 [Google Scholar]
- Klahr, H. 2004, ApJ, 606, 1070 [NASA ADS] [CrossRef] [Google Scholar]
- Klahr, H. H., & Bodenheimer, P. 2003, ApJ, 582, 869 [NASA ADS] [CrossRef] [Google Scholar]
- Kley, W., Papaloizou, J. C. B., & Lin, D. N. C. 1993, ApJ, 409, 739 [NASA ADS] [CrossRef] [Google Scholar]
- Lesur, G., & Longaretti, P.-Y. 2005, A&A, 444, 25 [NASA ADS] [CrossRef] [EDP Sciences] [Google Scholar]
- Lesur, G., & Longaretti, P.-Y. 2007, MNRAS, 378, 1471 [NASA ADS] [CrossRef] [Google Scholar]
- Lesur, G., & Papaloizou, J. C. B. 2009, A&A, 498, 1 [NASA ADS] [CrossRef] [EDP Sciences] [Google Scholar]
- Lovelace, R. V. E., Li, H., Colgate, S. A., & Nelson, A. F. 1999, ApJ, 513, 805 [NASA ADS] [CrossRef] [Google Scholar]
- Mizerski, K. A., & Bajer, K. 2009, J. Fluid Mechanics, 632, 401 [Google Scholar]
- Papaloizou, J. C. B., Nelson, R. P., & Snellgrove, M. D. 2004, MNRAS, 350, 829 [NASA ADS] [CrossRef] [Google Scholar]
- Petersen, M. R., Julien, K., & Stewart, G. R. 2007a, ApJ, 658, 1236 [NASA ADS] [CrossRef] [Google Scholar]
- Petersen, M. R., Stewart, G. R., & Julien, K. 2007b, ApJ, 658, 1252 [NASA ADS] [CrossRef] [Google Scholar]
- Regev, O., & Umurhan, O. M. 2008, A&A, 481, 21 [NASA ADS] [CrossRef] [EDP Sciences] [Google Scholar]
- Spiegel, E. A., & Veronis, G. 1960, ApJ, 131, 442 [NASA ADS] [CrossRef] [MathSciNet] [Google Scholar]
- Umurhan, O. M., & Regev, O. 2004, A&A, 427, 855 [NASA ADS] [CrossRef] [EDP Sciences] [Google Scholar]
- von Weizsäcker, C. F. 1944, Z. Astrophys., 22, 319 [Google Scholar]
- Ziegler, U., & Yorke, H. W. 1997, Computer Phys. Commun., 101, 54 [Google Scholar]
Online Material
baro3D.mp4Footnotes
- ... models
- A movie is available in electronic form at http://www.aanda.org
- ... like
- Note that the amplification occurs independently of the sign of Ri, as already mentioned by Johnson & Gammie (2005a).
- ... ratio
- The aspect ratio of a vortex is defined by the ratio of the azimuthal size to the radial size of the vorticity patch generated by the vortex.
- ... subcritical
- Note that point (1) and (2) were already mentioned by Petersen et al. (2007b), although in a somewhat different form.
All Figures
![]() |
Figure 1: Volume averaged enstrophy for several initial amplitude perturbation (Ap) in arbitrary units. A subcritical instability is observed for finite amplitude perturbations between Ap=0.2 and Ap=0.4. |
Open with DEXTER | |
In the text |
![]() |
Figure 2: Evolution of the vorticity in the fiducial case. Top row has a baroclinic term with Ri=-0.01. Bottom row has no baroclinicity. We show t=10 ( left), t=100 ( middle), t=500 ( right). |
Open with DEXTER | |
In the text |
![]() |
Figure 3: Vorticity map for Ri=-0.02 ( left) and Ri=-0.16 ( right) at t=500. As already shown by the spectra, small scales are dominant for larger |Ri|. |
Open with DEXTER | |
In the text |
![]() |
Figure 4: Enstrophy spectrum as a function of the Richardson number Ri. As |Ri| becomes larger, the instability moves to smaller scales. |
Open with DEXTER | |
In the text |
![]() |
Figure 5: Time history of the total enstrophy for positive and negative Richardson number. The instability is observed only for negative Ri. |
Open with DEXTER | |
In the text |
![]() |
Figure 6:
Time history of the total enstrophy for several Peclet number (Pe).
The instability is observed for |
Open with DEXTER | |
In the text |
![]() |
Figure 7:
Vortex structure obtained starting from a Kida vortex. ( Left)
Vorticity map. ( Right) Baroclinic term (
|
Open with DEXTER | |
In the text |
![]() |
Figure 8: Streamline in a vortex undergoing the SBI. A fluid particle is accelerated by buoyancy effects on A-B and C-D branches. Cooling occurs on B-C and D-A branches (see text). |
Open with DEXTER | |
In the text |
![]() |
Figure 9:
Time history of the evolution of the enstrophy corresponding to the
perturbations for the small box. The uppermost curve is for |
Open with DEXTER | |
In the text |
![]() |
Figure 10:
Vorticity map for the small box simulation with applied viscosity
and |
Open with DEXTER | |
In the text |
![]() |
Figure 11:
Time history of the evolution of the enstrophy corresponding
to the perturbations for the large box. The uppermost curve is for |
Open with DEXTER | |
In the text |
![]() |
Figure 12:
Vorticity map ( left) and surface density map (
right) for the large box simulation with applied viscosity
and |
Open with DEXTER | |
In the text |
![]() |
Figure 13:
Time history of the running means of the spatially averaged value
of |
Open with DEXTER | |
In the text |
![]() |
Figure 14: Time history of the maxima of the 3 components of the velocity field when starting from 2D+3D noise. Once the SBI has formed vortices, 3D motions due to parametric instabilities appears and balance the 2D instability. |
Open with DEXTER | |
In the text |
![]() |
Figure 15: 3D structure obtained from our fudicial 3D simulation at t=800. Left: vertical component of the vorticity. Right: vertical component of the velocity field. We find that 3D instabilities involving vertical motions and vertical structures are localised inside vortex cores. |
Open with DEXTER | |
In the text |
![]() |
Figure 16:
Time history of vz
extrema ( top) and of the vortex aspect
ratio |
Open with DEXTER | |
In the text |
![]() |
Figure 17: Vorticity map from a simulation starting with a 2D Kida vortex plus a weak 3D noise. We show a snapshot at t=660 ( left), t=750 ( middle) and t=830. After the 3D instability burst, a weak vortex survives and is amplified by the SBI. |
Open with DEXTER | |
In the text |
Copyright ESO 2010
Current usage metrics show cumulative count of Article Views (full-text article views including HTML views, PDF and ePub downloads, according to the available data) and Abstracts Views on Vision4Press platform.
Data correspond to usage on the plateform after 2015. The current usage metrics is available 48-96 hours after online publication and is updated daily on week days.
Initial download of the metrics may take a while.