Issue |
A&A
Volume 513, April 2010
|
|
---|---|---|
Article Number | A12 | |
Number of page(s) | 6 | |
Section | Stellar structure and evolution | |
DOI | https://doi.org/10.1051/0004-6361/200913603 | |
Published online | 14 April 2010 |
Quiescent and flaring X-ray emission from the nearby M/T dwarf binary SCR 1845-6357
(Research Note)
J. Robrade - K. Poppenhaeger - J. H. M. M. Schmitt
Universität Hamburg, Hamburger Sternwarte, Gojenbergsweg 112, 21029 Hamburg, Germany
Received 4 November 2009 / Accepted 9 February 2010
Abstract
Aims. X-ray emission is an important diagnostics to study
magnetic activity in very low mass stars that are presumably fully
convective and have an effectively neutral photosphere.
Methods. We investigate an XMM-Newton observation of
SCR 1845-6357, a nearby, ultracool
M 8.5 / T 5.5 dwarf binary. The binary is
unresolved in the XMM detectors, but the X-ray emission is very likely
from the M 8.5 dwarf. We compare its flaring emission to those of
similar very low mass stars and additionally present an XMM observation
of the M 8 dwarf VB 10.
Results. We detect quasi-quiescent X-ray emission from
SCR 1845-6357 at soft X-ray energies in the 0.2-2.0 keV band,
as well as a strong flare with a count rate increase of a factor of 30
and a duration of only 10 min. The quasi-quiescent X-ray
luminosity of
erg/s and the corresponding activity level of
/
point to a fairly active star. Coronal temperatures of up to 5 MK
and frequent minor variability support this picture. During the flare,
which is accompanied by a significant brightening in the near-UV,
plasma temperatures of 25-30 MK are observed and an X-ray
luminosity of
erg/s is reached.
Conclusions. The source SCR 1845-6357 is a nearby, very low
mass star that emits X-rays at detectable levels in quasi-quiescence,
implying the existence of a corona. The high activity level, coronal
temperatures and the observed large flare point to a rather active
star, despite its estimated age of a few Gyr.
Key words: stars: activity - stars: coronae - stars: individual: SCR 1845-6357 - stars: low-mass - brown dwarfs - X-rays: stars
1 Introduction
The source SCR J1845-6357 (DENIS-P J184504.9-635747, 2MASS J18450541-6357475) - hereafter SCR 1845 -
was discovered as a nearby, very red, high proper motion object in the Super COSMOS RECONS (SCR) survey (Hambly et al. 2004; Henry et al. 2004);
later trigonometric parallax measurements confirmed its proximity (
pc) to the Sun (Deacon et al. 2005).
Further measurements improved this result, leading to a distance of
pc (Henry et al. 2006) and making
SCR 1845 one of the closest stellar systems containing a brown dwarf,
comparable in distance to the famous T dwarf binary orbiting
Indi (McCaughrean et al. 2004).
Follow-up observations performed in 2005 had shown SCR 1845 to be a late-type dwarf binary that consists
of an M 8.5 dwarf with a T 5.5 dwarf secondary, as deduced from
IR observation with the VLT/NACO (Biller et al. 2006). This finding makes SCR 1845 the first late M/T dwarf binary system discovered.
The substellar companion is an IR-bright, methane rich brown dwarf
with a separation of 4.5 AU (1.1
)
in a rather close orbit around its host star.
The age of the system (0.1-10 Gyr) and the mass of the companion (9-65 M
)
were, however, only poorly constrained by these data.
In a further work devoted to SCR 1845, Kasper et al. (2007) present additional IR imaging data
and low-resolution spectroscopy, again obtained with VLT/NACO.
These authors confirm the previous findings and
constrain the mass of the secondary to 40-50
,
thus ruling out a giant planet.
They further estimate the age of the system to 1.8-3.1 Gyr, consequently SCR 1845 is not particularly young.
The spectrum of the primary component is well described by an M 8.5 dwarf with
K,
and approximately solar metallicity.
Adopting their J band magnitude (
)
and bolometric corrections from
Reid et al. (2001), we derived a bolometric luminosity of
erg/s for SCR 1845.
Magnetic activity phenomena in the outer atmospheric layers of late-type, very low mass stars are remarkable,
since these stars are generally assumed to be fully convective, so that a solar-type dynamo is not expected to operate.
Furthermore, their cool atmospheres (
K) should be virtually neutral,
leading to a high electric resistivity that inhibits the transport of magnetic energy through the photosphere
and consequently also magnetic activity.
Among other diagnostics like H
,
X-ray emission can put strong constraints on the possible activity generating mechanisms,
and indeed, recent X-ray observation indicate that many ultracool dwarf stars are actually quite active as
expressed by their
/
ratio (see e.g. Robrade & Schmitt 2009).
Also less active very late-type stars exist, the M 8 dwarf SCR J1845-6357 with
/
is a prominent example
(Berger et al. 2008; Fleming et al. 2003).
Activity finally drops in the L dwarf regime where older brown dwarfs with
K reside (see e.g. Audard et al. 2007; Mohanty & Basri 2003).
Thus at the very end of the stellar main sequence the full range of
X-ray activity levels as observed for more massive magnetically active
stars, i.e.
/
,
is likely also present; however,
high activity levels persist in late-type dwarfs much longer than in solar-like stars.
Significant magnetic activity in these objects requires the presence of an efficient operating dynamo mechanisms,
for example an
or turbulent dynamo.
No reports of magnetic activity on SCR 1845 have so far been presented in the literature.
It was neither known to emit X-ray or radio emission, nor
does it appear in H
or magnetic field surveys of ultracool dwarfs.
We present an X-ray observation of the ultracool dwarf binary SCR 1845, where we detect flaring as well as quasi-quiescent X-ray emission. The structuring of our paper is as follows: in Sect. 2 we describe the observation and data analysis, in Sect. 3 we present our results, discuss flares on very low mass stars in Sect. 4 and summarize our findings in Sect. 5.
2 Observations and data analysis
The source SCR 1845 was observed by XMM-Newton in September 2008 for approximately 20 ks (Obs.ID 0551022901);
data analysis was carried out with the standard XMM software, the Science Analysis System (SAS) version 9.0 (de la Calle & Loiseau 2008).
XMM-Newton carries three X-ray CCD cameras with moderate spectral resolution, as well as two X-ray grating spectrometers, which provide
higher spectral resolution. However,
the detected signal in the RGS (Reflection Grating Spectrometer)
detectors is rather weak; while we clearly see a few photons
from prominent emission lines, e.g. O VIII at 19 Å and O VII
at 21.6-22.1 Å, the RGS spectra are
not suitable for a quantitative analysis. Thus we considered only X-ray
data taken with the EPIC (European Photon Imaging Camera), consisting
of two MOS and one PN detector; all detectors
operated in the ``Full frame'' mode with the medium filter. The PN is
the most sensitive instrument and was primarily used for our analysis.
The EPIC detectors are temporally affected by high background levels,
thus to minimize contamination we extracted photons from a 25
circular region around
the source position and restricted the analysis to the 0.2-2.0 keV band, where most of the source photons were detected.
Only during a large flare occurring in our observation, photons of higher energies were present and
a harder band (0.2-3.0 keV) was used to study them.
The background was taken from close-by regions on the same CCD that contains SCR 1845.
We additionally verified our findings by applying standard selection criteria, which exclude the respective
high-background time intervals.
Since we are dealing with a high proper motion object, we further
derived the exact X-ray position with the source detection algorithm ``edetect_chain''.
Spectral analysis was performed with XSPEC V12.3 (Arnaud 1996), and we used multi-temperature plasma models (APEC) with elemental abundances relative to solar values as given by Grevesse & Sauval (1998). We note that the applied metallicity is interdependent with the emission measure, and different combinations of both parameters lead to very similar results. Due to the proximity of the target, interstellar absorption is negligible and not required in the modeling of our X-ray data.
The OM (Optical Monitor), an onboard optical/UV telescope, was operated in the imaging mode in the U-band (300-400 nm,
nm)
and took five images with exposure times of 3.3 ks each,
hence no detailed optical light curve is available.
Nevertheless, the X-ray flare is clearly accompanied by a significant UV/optical brightening,
as can be seen in Fig. 1, where
we show the pre-flare, flare and post-flare phase of SCR 1845 (center).
In the exposure that covers the flare, SCR 1845 is about 2.6 mag brighter than in the pre-flare
exposure. The other two objects visible in the images,
DENIS J184507.7-635740 (upper right) and USNO-B 0260-0695925 (lower left),
are not in common proper motion with SCR 1845.
![]() |
Figure 1: Optical Monitor U band images showing the pre-flare, flare and post-flare state of SCR 1845 (central object, see text for details). |
Open with DEXTER |
Table 1: X-ray detection of SCR 1845, PN data.
3 Results
An X-ray source is clearly detected at the expected position of SCR 1845. The X-ray position coincides very
well with the expected position for the epoch 2008.7 coordinates
as calculated from the known proper motion and the 2MASS position.
Both the positional error and the offset are about 0.3
and no other X-ray source is located at distances
of 1
around the position of SCR 1845; thus
the identification is unambiguous.
Additionally the soft X-ray spectra and the observed flare make an unknown extra-galactic source very unlikely.
The source detection parameters are summarized in Table 1.
The system is not resolved and appears like a point-source in the XMM data. While a small contribution from the brown dwarf to the overall X-ray emission cannot be excluded, it is very likely dominated by the late-type star. We thus assume below that the detected X-rays originate exclusively from the M 8.5 dwarf.
3.1 Light curve analysis
In Fig. 2 we show the X-ray light curve of SCR 1845, which
reveals a strong flare in the second half
of the observation and quasi-quiescent emission over the total exposure time.
Light curves were obtained from the PN data in the 0.2-2.0 keV band and binned to 100 s
and are plotted separately for the source region and for the background.
The black histogram in the upper panel is the count rate from the source with
1
errors, the blue curve is the corresponding background level.
As can be seen, the remaining background is negligible.
For comparison we further show in the bottom panel of Fig. 2 the U-band brightness averaged over the respective OM exposure.
The X-ray brightness of SCR 1845 is never constant, thus we call this level quasi-quiescent. During the quasi-quiescent phase the average count rate is 0.05 cts/s. Variability of up to a factor of about two in count rate on timescales of several minutes is observed throughout the whole exposure. This behavior points to persistent minor activity on SCR 1845. An even stronger deviation of the quasi-quiescent level is seen towards the end of the observation, where the average count-rate increases to a value of about 0.1 cts/s. This additional X-ray emission is no afterglow of the flare; the count-rate drops to the pre-flare level rather quickly after the event. The flux increase is presumably related to the appearance of new active regions e.g. due to rotation or enhanced activity in existing active regions.
![]() |
Figure 2:
Top: light curve of SCR 1845 obtained from PN data with 100 s binning
and corresponding background level (lower blue curve).
Inset: zoom of the 0.5 h covering the large flare (EPIC data, 33 s binning).
Bottom: U-band brightness of the OM exposures. |
Open with DEXTER |
The most prominent feature of the X-ray light curve is the large flare; to investigate the short term behavior during the flare in greater detail we used the combined EPIC, i.e. PN+MOS data. The inset of Fig. 2 shows the X-ray light curve of the 30 min time interval covering the flare with a three times higher time resolution (33 s binning). The peak count rate of the flare is roughly 30-40 times higher than the average quasi-quiescent level observed before the flare. The strong, burst-like flare has a rise time of about 150 s and an exponential decay time of about 130 s; thus its light curve has a rather symmetric, triangular shape. The complete flare event appears and finishes in only ten minutes, and no elevated flux level is observed before or after the flare. This behavior already points to a quite compact structure as the origin of the flare event.
3.2 Spectral modeling
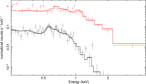
To determine the spectral properties of the X-ray emission from SCR 1845 we study the quasi-quiescent corona and the overall flare emission with the PN detector; the flare phase covers the 13.7-14.3 ks time interval. We applied several spectral models and find that a two-temperature model with solar abundances describes the data satisfactorily. For the flare a three temperature model resulted in a slightly better fit, but also in rather unconstrained components. Taking coronal abundances as a free parameter did not significantly improve the fit, thus we adopted solar abundances for modeling; note however that the absolute value of the metallicity can only be poorly constrained with the data. The results from the spectral modeling are summarized in Table 2. In Fig. 3 we show the PN spectra extracted during quasi-quiescence and flaring with the respective applied model.
![]() |
Figure 3:
PN spectra of the quasi-quiescent phase (black) and the flare (red) with applied spectral models. |
Open with DEXTER |
Table 2: Spectral modeling results derived from the PN data.
The spectrum of the quasi-quiescent phase is described by a moderately active corona with dominant plasma
components residing at temperatures in the range of 1.5-5.0 MK.
The corresponding X-ray luminosity in the 0.2-2.0 keV band is
erg/s,
for the ROSAT 0.1-2.4 keV band we obtained a roughly 20% higher flux.
Adopting our modeling results, we derived an quasi-quiescent activity level of
/
,
i.e. a level not too far from the
saturation level around
/
for late-type stars, but much higher than those of
weakly active stars like the Sun, which have
/
.
With its X-ray luminosity and activity level SCR 1845 is intermediate to LHS 2065 and 1RXS J115928.5-524717, two M 9 dwarfs that are the latest X-ray detected dwarf stars (Robrade & Schmitt 2009,2008). Given the age estimate of a few Gyr for SCR 1845, high activity levels appear as long-lasting phenomena for very low mass stars. In comparison to activity levels of solar-like stars of the same age (Güdel et al. 1997), SCR 1845 is about hundred times more active. Since the local stellar population has an age-spread from rather young (few tens Myr) to intermediately old (few Gyr) and assuming that SCR 1845 is not atypical and its age estimate is correct, high activity levels are expected for a relatively large number of very low mass stars at the end of the stellar main sequence.
3.3 Flare analysis
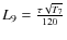
To investigate the flare and its generating structure in more detail, we studied the evolution of its X-ray emission under the assumption of a single loop as the origin of the flare. One can in principle determine the loop length by deriving the trajectory of the flare decay in the temperature/density diagram and adopting the formalism of Reale et al. (2004). However, the decay path could only be poorly constrained with our data, but we obtained a correction factor on the order of unity. Alternatively we derived the loop half length L9, formally its upper limit because we neglected reheating, from the decay time



During the flare maximum SCR 1845 has an X-ray luminosity of
erg/s
in the 0.2-5.0 keV band,
nearly sixty times above the quasi-quiescent level and plasma temperatures of up to
25-30 MK are observed during this phase. The total energy release of the flare is
erg for the
0.2-5.0 keV band, whereas about 30% are emitted at energies above 2.0 keV.
We could further estimate the energy released in the U-band by using a standard count rate to flux conversion factor
(
erg cm-2 s-1 Å-1).
When attributing the excess flux of the OM exposure no. 4 exclusively to the flare,
we obtained an energy release in the U-band of about
erg, i.e. a factor ten below the energy
emitted in X-rays. We note that this result is robust and obtained similar values when using e.g.
the Vega reference method for flux conversion.
4 Flaring X-ray emission from ultracool dwarfs
In this section we discuss flare properties of very low mass stars in the solar neighborhood. We focus on likely stellar objects with with spectral type M 8 and later to have a clear separation to early/mid M dwarfs and require at least decent X-ray counting statistics. In the first subsection we concentrate on active stars, i.e. objects that are similar to SCR 1845 and in the second subsection we make a comparison to the moderately active dwarf VB 10. We note that with the exception of the L dwarf binary Kelu-1 (four photons, see Audard et al. 2007), no object beyond spectral type M9 has been detected in X-rays so far.
4.1 Flares on active very low mass stars
Only two larger flares with flux increases of at least one order of magnitude
have been covered by modern X-ray missions an active, i.e.
/
,
ultracool dwarfs.
In comparison to the flare on SCR 1845, the flare on the young M 8 dwarf LP 412-31 also observed by XMM-Newton (Stelzer et al. 2006),
is more energetic, has a much longer duration and exhibits a more structured X-ray
light curve, as shown in Fig. 4.
The fast decay of the SCR 1845 flare
can be described by a single exponential, and its origin is very likely in a single flaring loop that
emerges out of the quasi-quiescent state.
In contrast, the LP 412-31 flare shows preceding ``activity terraces'' that precede the main flare event.
Only the very initial decay phase of the LP 412-31 flare (
s)
resembles the SCR 1845 decay,
later the LP 412-31 event shows a significant flattening and
substructure.
Thus the flare does not decay in about 1 ks as extrapolated from
the initial fast decay,
it takes roughly 7 ks before the quasi-quiescent level is reached.
This significantly longer timescale is more comparable to the one of
the build-up of the enhanced pre-flare activity, and the giant flare
appears rather as the climax of an activity outbreak
that likely involves a conglomerate of magnetic structures.
Note however that the optical emission originates nearly exclusively
from the main event.
Altogether this indicates that the LP 412-31 flare loop is
connected to a more complex active region, while the SCR 1845
flare originated in a more simple, isolated structure.
![]() |
Figure 4:
Light curves of flares on SCR 1845 (black: X-rays) and LP 412-31
(black: X-rays, red dotted: scaled OM V-band). |
Open with DEXTER |
All active ultracool dwarf stars show
quasi-quiescent variability pointing to persistent minor activity, a
phenomenon that is also observed on active M dwarfs of earlier spectral type (see e.g. Robrade & Schmitt 2005; Güdel et al. 2004).
However, the flare amplitude distribution might be different as already noted by Stelzer et al. (2006) for LP 412-31,
a peculiarity that applies similarly to SCR 1845.
Very low mass stars seem to release magnetic energy more preferably in singular, larger events
rather than in the canonical flare distribution observed on the Sun and other cool stars,
where the energy-release follows a power law with an exponent of -2 (see e.g. Audard et al. 2000; Güdel 2004).
To have a complete coverage of available observations of suitable targets,
we further investigated another archival 40 ks observation of LP-412-31 with Chandra and found that is
shows exclusively quasi-quiescent emission without flaring. These data
confirm it to be a very active star with a strong hot (10 MK)
plasma component in quasi-quiescence, albeit with
erg/s in the 0.2-2.0 keV band it has a factor two lower
X-ray luminosity compared to
the XMM-Newton observation performed nearly two years before.
Together with the above mentioned observations of the M9 dwarfs LHS 2065 and RXS 1159,
in total nearly two days (155 ks) of X-ray observations of active ultracool dwarf stars were performed.
This resulted in the observation of two large flares (
)
and frequent minor variability of a factor up to a few, but no intermediate events.
An explanation may lie in the combination of the convective stellar structure and the
resistivity of the outer atmospheric layers; additionally an efficient dynamo mechanism
must be present. Phenomenologically one could speculate that
it requires a significant amount of magnetic energy to break through from the stellar interior producing the large flares,
whereas the frequent, smaller variability could be related to magnetic activity that
is generated closer to the stellar surface and is released regularly. An underlying dynamo could be of the
or
the turbulent type (see e.g. Durney et al. 1993; Chabrier & Küker 2006), but likewise both mechanisms may be operational at the same time.
Anyway, despite different underlying stars, energetics and light curve evolution,
both flares are isolated, vigorous events in a vastness of quasi-quiescent X-ray emission.
4.2 The case of VB 10
We compare our findings to the prominent, moderately active M 8 dwarf VB 10.
It is located at a distance of 6.1 pc and has an X-ray activity level of
/
,
using
erg/s from Fleming et al. (2003).
Thus it is one to two magnitudes less active than the above discussed objects.
It has been observed in X-rays by several missions, e.g. two Chandra ACIS-S observations are published in the literature (Berger et al. 2008; Fleming et al. 2003);
theses works contain also a more detailed description of this object.
The source VB 10 is the only moderately active ultracool dwarf
star for which more than a few X-ray photons were detected so far.
The first Chandra observation (Obs.ID 616) performed in July 2000 with a duration of 13 ks leaded to the
detection of 26 counts on the back-illuminated S3 chip; no obvious strong variability was present and Fleming et al. (2003) modeled the ``quiescent corona''
with a 3 MK plasma, derived an X-ray brightness of
erg/s
and an activity level of
/
.
The second Chandra observation (Obs.ID 7428) with a duration of 29 ks contains
58 counts, i.e. on average a very similar photon flux (Berger et al. 2008).
However, in contrast to what is stated in (Berger et al. 2008),
during this observation VB 10 is not located on the
back-illuminated S3 chip, but on the front-illuminated S2 chip.
The front-illuminated chips have significantly less effective area at
lower energies, and thus the count rates and light curves are not
directly comparable.
Nevertheless, more emission from hotter plasma is present in July 2007,
as deduced from spectral modeling and attributed by the authors to two
flares on an underlying quiescent phase.
They derived a factor two higher X-ray luminosity of
erg/s
from a two temperature model with a 3 MK and 15 MK component and an emission measure ratio of roughly two to one.
In this observation VB 10 is, compared to the average flux, by a factor of two to three moderately brighter
in the beginning and correspondingly fainter at later times.
While clearly X-ray variability at a level of a few up to one order of magnitude
is present, a detailed investigation especially of individual flares suffers from the low count rate.
In Fig. 5 we
show X-ray light curves of VB 10 uniformly binned to 1 ks. The upper panel shows the light curves
obtained from a re-analysis of the Chandra
datasets with source photons extracted from a circular region with 2
radius
in the energy band 0.15-2.0 keV.
Overall, the X-ray light curves of the July 2000 phase and the July
2007 phase look quite similar, but remember that different CCD chips
were used.
To derive a more comprehensive picture of VB 10, we additionally
investigated a dataset from XMM-Newton (Obs.ID 0504010101),
which we retrieved from the archive.
The XMM-Newton observation is with 44 ks (MOS
detectors) the longest of the three and the usage of the thin filter
provides high sensitivity at low energies, but it is affected by time
intervals of high background.
Still we were able to extract basic X-ray properties for VB 10,
utilizing similar selection criteria as described above for
SCR 1845.
The XMM observation contains a clear example of an individual flare on
VB 10 (Fig. 5,
lower panel), but
unfortunately the peak is not covered and only the decay is partially
observed; we note that
the more sensitive PN detector started observing even later. The shown
MOS light curve is background-subtracted and was extracted from
a 15
circular region in the 0.2-2.0 keV band.
![]() |
Figure 5:
X-ray light curves of VB 10 with 1 ks binning
Upper panel: Chandra, ACIS-S (2000: BI-chip, 2007 FI-chip), 0.15-2.0 keV. Lower panel:
XMM-Newton, MOS 1+2, 0.2-2.0 keV. |
Open with DEXTER |
Beside the flare at the beginning of the observation additional variability is present over the whole
XMM exposure, but the exact level is
again poorly constrained. The overall X-ray spectrum is well described by a two temperature model with
plasma components at 2.5 MK and 7.5 MK and an emission measure ratio of about two to one, quite similar to the Chandra
observation performed in July 2007. We derived an average X-ray luminosity of
erg/s and for the
flare phase (0-8 ks)
erg/s. For the remaining
quasi-quiescent phase we obtained
erg/s;
here already a 3 MK one temperature model describes the data quite well. When
considering only the last 20 ks of the observation, i.e. the phase sufficiently after the flare event,
we obtained an X-ray brightness of
erg/s, very
similar to VB 10 in the July 2000 observation. Altogether, the variability observed within half a
day by XMM-Newton mainly covers the states of VB 10 observed in two Chandra exposures separated by seven years, with an additional flare
being caught in its decay phase. This points to long-term stable but always moderately variable X-ray emission, a state that we
prefer to name - given the sensitivity of present day X-ray instrumentation - quasi-quiescence.
We note the detection of a larger X-ray flare on VB 10 with ROSAT HRI (10 photons),
reaching an average X-ray brightness in the order of
erg/s and an
at least three times higher peak flux (Fleming et al. 2000), implying a flux increase by a factor of 100.
Thus also moderately active ultracool dwarf stars produce intense X-ray flares, but a detailed study of time variability
is complicated by their intrinsic X-ray faintness.
5 Summary and conclusions
- 1.
- We detect quasi-quiescent X-ray emission as well as a large flare from the nearby, ultracool M8.5/T dwarf binary SCR 1845. This is the first report of magnetic activity from this object.
- 2.
- In the quasi-quiescence state SCR 1845 is detected at soft X-ray energies below 2.0 keV
with an X-ray luminosity of
erg/s. This leads to an activity level of log
/
, pointing to a rather active star despite its age of several Gyr. The source SCR 1845 is one of the coolest main sequence stars with securely detected quasi-quiescent X-ray emission.
- 3.
- The flare has a short duration of about 10 min and outshines the parent star by a factor of 50 at X-ray energies
with a peak X-ray luminosity of log
erg/s. Flare temperatures reach about 30 MK, and in total roughly
erg are emitted at X-ray energies during the event. The flare originates from a rather compact structure and is accompanied by a significant NUV/optical brightening in the corresponding OM image.
- 4.
- The X-ray data from SCR 1845 and other recent observations support the hypothesis that the flare energy distribution in active very low mass stars differs from the one observed in more massive late-type stars.
This work is based on observations obtained with XMM-Newton, an ESA science mission with instruments and contributions directly funded by ESA Member States and the USA (NASA) and makes use of data obtained from the Chandra data archive. J.R. and K.P. acknowledge support from DLR under 50QR0803 and 50OR0703 respectively.
References
- Arnaud, K. A. 1996, in Astronomical Data Analysis Software and Systems V, ed. G. H. Jacoby, & J. Barnes, ASP Conf. Ser., 101, 17 [Google Scholar]
- Audard, M., Güdel, M., Drake, J. J., & Kashyap, V. L. 2000, ApJ, 541, 396 [NASA ADS] [CrossRef] [Google Scholar]
- Audard, M., Osten, R. A., Brown, A., et al. 2007, A&A, 471, L63 [NASA ADS] [CrossRef] [EDP Sciences] [Google Scholar]
- Berger, E., Basri, G., Gizis, J. E., et al. 2008, ApJ, 676, 1307 [NASA ADS] [CrossRef] [Google Scholar]
- Biller, B. A., Kasper, M., Close, L. M., Brandner, W., & Kellner, S. 2006, ApJ, 641, L141 [NASA ADS] [CrossRef] [Google Scholar]
- Chabrier, G., & Küker, M. 2006, A&A, 446, 1027 [NASA ADS] [CrossRef] [EDP Sciences] [Google Scholar]
- de la Calle, I., & Loiseau, N. 2008, http://xmm.esac.esa.int [Google Scholar]
- Deacon, N. R., Hambly, N. C., Henry, T. J., et al. 2005, AJ, 129, 409 [NASA ADS] [CrossRef] [Google Scholar]
- Durney, B. R., De Young, D. S., & Roxburgh, I. W. 1993, Sol. Phys., 145, 207 [NASA ADS] [CrossRef] [Google Scholar]
- Fleming, T. A., Giampapa, M. S., & Schmitt, J. H. M. M. 2000, ApJ, 533, 372 [NASA ADS] [CrossRef] [Google Scholar]
- Fleming, T. A., Giampapa, M. S., & Garza, D. 2003, ApJ, 594, 982 [NASA ADS] [CrossRef] [Google Scholar]
- Grevesse, N., & Sauval, A. J. 1998, Space Sci. Rev., 85, 161 [NASA ADS] [CrossRef] [Google Scholar]
- Güdel, M. 2004, A&ARv, 12, 71 [CrossRef] [Google Scholar]
- Güdel, M., Guinan, E. F., & Skinner, S. L. 1997, ApJ, 483, 947 [NASA ADS] [CrossRef] [Google Scholar]
- Güdel, M., Audard, M., Reale, F., Skinner, S. L., & Linsky, J. L. 2004, A&A, 416, 713 [NASA ADS] [CrossRef] [EDP Sciences] [Google Scholar]
- Hambly, N. C., Henry, T. J., Subasavage, J. P., Brown, M. A., & Jao, W. 2004, AJ, 128, 437 [NASA ADS] [CrossRef] [Google Scholar]
- Henry, T. J., Subasavage, J. P., Brown, M. A., et al. 2004, AJ, 128, 2460 [NASA ADS] [CrossRef] [Google Scholar]
- Henry, T. J., Jao, W., Subasavage, J. P., et al. 2006, AJ, 132, 2360 [NASA ADS] [CrossRef] [Google Scholar]
- Kasper, M., Biller, B. A., Burrows, A., et al. 2007, A&A, 471, 655 [NASA ADS] [CrossRef] [EDP Sciences] [Google Scholar]
- McCaughrean, M. J., Close, L. M., Scholz, R., et al. 2004, A&A, 413, 1029 [NASA ADS] [CrossRef] [EDP Sciences] [Google Scholar]
- Mohanty, S., & Basri, G. 2003, ApJ, 583, 451 [NASA ADS] [CrossRef] [Google Scholar]
- Reale, F., Güdel, M., Peres, G., & Audard, M. 2004, A&A, 416, 733 [NASA ADS] [CrossRef] [EDP Sciences] [Google Scholar]
- Reid, I. N., Burgasser, A. J., Cruz, K. L., Kirkpatrick, J. D., & Gizis, J. E. 2001, AJ, 121, 1710 [NASA ADS] [CrossRef] [Google Scholar]
- Robrade, J., & Schmitt, J. H. M. M. 2005, A&A, 435, 1073 [NASA ADS] [CrossRef] [EDP Sciences] [Google Scholar]
- Robrade, J., & Schmitt, J. H. M. M. 2008, A&A, 487, 1139 [NASA ADS] [CrossRef] [EDP Sciences] [Google Scholar]
- Robrade, J., & Schmitt, J. H. M. M. 2009, A&A, 496, 229 [NASA ADS] [CrossRef] [EDP Sciences] [Google Scholar]
- Stelzer, B., Schmitt, J. H. M. M., Micela, G., & Liefke, C. 2006, A&A, 460, L35 [NASA ADS] [CrossRef] [EDP Sciences] [Google Scholar]
All Tables
Table 1: X-ray detection of SCR 1845, PN data.
Table 2: Spectral modeling results derived from the PN data.
All Figures
![]() |
Figure 1: Optical Monitor U band images showing the pre-flare, flare and post-flare state of SCR 1845 (central object, see text for details). |
Open with DEXTER | |
In the text |
![]() |
Figure 2:
Top: light curve of SCR 1845 obtained from PN data with 100 s binning
and corresponding background level (lower blue curve).
Inset: zoom of the 0.5 h covering the large flare (EPIC data, 33 s binning).
Bottom: U-band brightness of the OM exposures. |
Open with DEXTER | |
In the text |
![]() |
Figure 3:
PN spectra of the quasi-quiescent phase (black) and the flare (red) with applied spectral models. |
Open with DEXTER | |
In the text |
![]() |
Figure 4:
Light curves of flares on SCR 1845 (black: X-rays) and LP 412-31
(black: X-rays, red dotted: scaled OM V-band). |
Open with DEXTER | |
In the text |
![]() |
Figure 5:
X-ray light curves of VB 10 with 1 ks binning
Upper panel: Chandra, ACIS-S (2000: BI-chip, 2007 FI-chip), 0.15-2.0 keV. Lower panel:
XMM-Newton, MOS 1+2, 0.2-2.0 keV. |
Open with DEXTER | |
In the text |
Copyright ESO 2010
Current usage metrics show cumulative count of Article Views (full-text article views including HTML views, PDF and ePub downloads, according to the available data) and Abstracts Views on Vision4Press platform.
Data correspond to usage on the plateform after 2015. The current usage metrics is available 48-96 hours after online publication and is updated daily on week days.
Initial download of the metrics may take a while.