Issue |
A&A
Volume 513, April 2010
|
|
---|---|---|
Article Number | A30 | |
Number of page(s) | 21 | |
Section | Cosmology (including clusters of galaxies) | |
DOI | https://doi.org/10.1051/0004-6361/200913696 | |
Published online | 20 April 2010 |
The Coma cluster magnetic field from Faraday rotation measures
A. Bonafede1,2 - L. Feretti2 - M. Murgia2,3 - F. Govoni3 - G. Giovannini1,2 - D. Dallacasa1,2 - K. Dolag4 - G. B. Taylor5
1 - Dip. di Astronomia,
Univ. Bologna, via Ranzani 1, 40120 Bologna, Italy
2 - INAF-
Istituto di Radioastronomia, via Gobetti 101, 40129 Bologna, Italy
3 - INAF- Osservatorio Astronomico di Cagliari, Loc. Poggio, Italy
dei Pini, Strada 54, 09012, Capoterra (Ca) Italy
4 -
Max-Plank-Institut für Astrophysik, PO Box 1317, 85741
Garching, Germany
5 - Department of Physics and Astronomy,
University of New Mexico 800 Yale Blvd NE, Albuquerque, NM 87131,
USA, and Adjunct Astronomer at the National Radio Astronomy
Observatory, USA
Received 19 November 2009 / Accepted 27 January 2010
Abstract
Aims. The aim of the present work is to constrain the Coma
cluster magnetic field strength, its radial profile and power spectrum
by comparing Faraday rotation measure (RM) images with numerical
simulations of the magnetic field.
Methods. We have analyzed polarization data for seven radio
sources in the Coma cluster field observed with the Very Large Array
at 3.6, 6 and 20 cm, and derived Faraday rotation measures
with kiloparsec scale resolution. Random three dimensional magnetic
field models have been simulated for various values of the central
intensity B0 and radial power-law slope ,
where
indicates how the field scales with respect to the gas density profile.
Results. We derive the central magnetic field strength, and
radial profile values that best reproduce the RM observations. We find
that the magnetic field power spectrum is well represented by a
Kolmogorov power spectrum with minimum scale 2 kpc and maximum scale
34 kpc. The central magnetic field strength and radial slope are constrained to be in the range (B0=3.9
G;
)
and (B0=5.4
G;
)
within 1
.
The best agreement between observations and simulations is achieved for
G;
.
Values of B0>7
G and <3
G as well as
and
are incompatible with RM data at 99% confidence level.
Key words: magnetic fields - polarization - galaxies: clusters: general - galaxies: clusters: individual: A1656 Coma
1 Introduction
It is now well established that the intracluster medium (ICM) of galaxy clusters is not only composed of thermal gas emitting in the X-ray energy band, but also of magnetic fields permeating the entire cluster volume (see Ferrari et al. 2008, for a recent review). This is directly demonstrated by the detection of large, diffuse synchrotron radio sources such as radio halos and radio relics, in an increasing number of galaxy clusters (see e.g. Venturi et al. 2008; Giovannini et al. 2009). In these clusters it is possible to estimate the average ICM magnetic field under the minimum energy hypothesis (which is very close to equipartition conditions) or by studying the Inverse Compton hard X-ray emission (e.g. Fusco Femiano et al. 2004).![]() |
Figure 1:
Colors: Coma X-ray emission from the ROSAT All Sky Survey in
the energy band [0.1, 2.4] kev. Contours: Coma radio emission at
1.4 GHz from the NVSS. The beam FWHM is
|
Open with DEXTER |
The ICM magnetic field is also revealed by the analysis of polarized
emission of radio sources located at different projected distances
with respect to the cluster center. The interaction of the ICM, a
magneto-ionic medium, with the linearly polarized synchrotron
emission results in a rotation of the wave polarization plane
(Faraday rotation), so that the observed polarization angle,
at a wavelength
differs from the intrinsic
one,
according to:
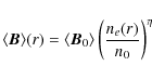
where RM is the Faraday rotation measure. This is related to the magnetic field component along the line-of-sight (B//) weighted by the thermal gas density (ne) according to:
Therefore, once the thermal gas density distribution is inferred from X-ray observations, RM studies give an additional set of information about the cluster magnetic field. This is the only way, so far, to study the intracluster magnetic field in clusters where diffuse radio emission sources are not directly observed.
The Coma cluster magnetic field has been studied in the past using all three approaches
mentioned above. The first investigation of the magnetic field was
performed by Kim et al. (1990). They analyzed 18 bright radio-sources
in the Coma cluster region, obtaining RM maps at
(
9.2 kpc) resolution and found a significant enhancement of the RM in
the inner parts of the cluster. Assuming a simple model for the
magnetic field reversal length, they derived a field strength of
2
G. A complimentary study was performed by Feretti et al. (1995) studying the polarization properties of the extended radio
galaxy NGC 4869. From the average value of RM and its dispersion
across the source, they deduced a magnetic field of
6
G
tangled on scales of
1 kpc, in addition to a weaker magnetic
field component of
0.2
G , uniform on a cluster core radius
scale.
From the Coma radio halo, assuming equipartition, a magnetic
field estimate of 0.7-1.9
G is derived (Thierbach et al. 2003), while from the Inverse Compton hard X-ray emission a value
of
0.2
G has been derived by Fusco Femiano et al. (2004),
although new hard X-ray observations performed with a new generation
of satellites did not find such evidence of non-thermal emission (Wik
et al. 2009, using XMM and Suzaku data, Lutovinov et al. 2008 using
ROSAT, RXTE and INTEGRAL data, Ajello et al. 2009, using XMM-Newton,
Swift/XRT, Chandra and BAT data; see Sect. 8).
However, the discrepancy between these values is not surprising: equipartition and IC estimates, in fact, rely on several assumptions, and are cluster volume averaged estimates, while the RM is sensitive to the local structures of both the thermal plasma and the cluster magnetic field component that is parallel to the line of sight. Furthermore, the equipartition estimate should be used with caution, given the number of underlying assumptions. For example, it depends on the poorly known particle energy distribution, and in particular on the low energy cut-off of the emitting electrons (see e.g. Beck & Krause 2005).
These different estimates provide direct evidence of the complex structure of the cluster magnetic field and show that magnetic field models where both small and large scale structure coexist must be considered. The intracluster magnetic field power spectrum has been investigated in several works (Vogt & Ensslin 2003, 2005; Murgia et al. 2004; Govoni et al. 2006; Guidetti et al. 2008; Laing et al. 2008). In addition, a radial decline of the magnetic field strength is expected from magneto-hydrodynamical simulations performed with different codes (Dolag et al. 1999, 2005; Brueggen et al. 2005; Dubois et al. 2008; Collins et al. 2010; Dolag & Stasyszyn 2009; Donnert et al. 2009a), as a result of the compression of thermal plasma during the cluster gravitational collapse.
In this paper we present a new study of the Coma cluster magnetic field. We analyzed new Very Large Array (VLA) polarimetric observations of seven sources in the Coma cluster field, and used the FARADAY code developed by Murgia et al. (2004) to derive the magnetic field model that best represents our data through numerical simulations.
The Coma cluster is an important target for a detailed study of cluster magnetic fields. It is a nearby cluster (z=0.023), it hosts large scale radio emission (radio halo, radio relic, bridge) and a wealth of data are available at different energy bands, from radio to hard X-rays.
Table 1: VLA observations of radio galaxies in the Coma cluster field.
The paper is organized as follows: in Sect. 2 the properties of the X-ray emitting gas are described, in Sect. 3 radio observations are presented, and the radio properties of the sources are analyzed. RM analysis is presented in Sect. 4 while in Sect. 5 the adopted magnetic field model is described. The method we adopted to compare simulations and observations is reported in Sect. 6, numerical simulations are presented in Sect. 7 and results are discussed in Sect. 8. Finally, conclusions are reported in Sect. 9.
A CDM cosmological model is assumed
throughout the paper, with H0=71 km s-1 Mpc-1,
,
.
This means that 1 arcsec corresponds to
0.460 kpc at z=0.023.
2 Thermal component from X-ray observations
The study of the magnetic field through the Faraday RM requires
knowledge of the properties of the thermal gas (see
Eq. (2)). This information can be derived from X-ray
observations. In Fig. 1 the X-ray emission of the Coma
cluster is shown in colors. X-ray observations in the energy band
0.1-2.4 keV have been retrieved from the ROSAT All Sky Survey data
archive. After background subtraction the image has been divided by
the exposure map and smoothed with a Gaussian of
.
The radio contours of the NVSS (NRAO VLA Sky Survey) at 1.4 GHz are overlaid onto the X-ray emission in Fig. 1. The location of the sources studied in this paper are marked with their names. Note that the extended radio emission of the radio halo, relic and bridge are completely resolved out in the NVSS image due to the lack of extremely short baselines.
The X-ray emission is from thermal
bremsstrahlung, and can be used to trace the thermal particle
distribution in the ICM. The distribution of the gas is well
reproduced by the so-called -model'' (Cavaliere & Fusco
Femiano 1976), reported in Eq. (3):
where r indicates the radial distance from the cluster center,







-
;
-
kpc;
-
cm-3.
Table 2:
Total and polarization intensity radio images. Images are restored with a beam of
.
3 Radio observations and images
3.1 VLA observations and data reduction
We selected from NVSS a sample of sources having a peak flux density larger than 45 mJy, located in a radius of


![[*]](/icons/foot_motif.png)
We performed standard
calibration and imaging using the NRAO Astronomical Imaging Processing
Systems (AIPS). Cycles of phase self-calibration were performed to
refine antenna phase solutions on target sources, followed by a final
amplitude and gain self-calibration cycle in order to remove minor
residual gain variations. Total intensity, I, and Stokes parameter Q
and U images have been obtained for each frequency separately. After
cleaning, radio images were restored with a naturally weighted beam.
The final images were then convolved with a Gaussian beam having
(
0.7
0.7 kpc). Polarization
intensity
,
Polarization angle
and fractional polarization
images were obtained from the I, Q and U images. Polarization intensity images have been corrected for a
positive bias. The calibration errors on the measured fluxes are
5%.
3.2 Radio properties of the observed sources
In this section the radio properties of the observed sources are briefly presented. Further details are given in Table 2.Redshift information is available for three out
of the seven observed radio sources. Two of them (5C4.85 and 5C4.81)
are well studied Coma cluster members, while the third one (5C4.127)
is associated with a background source. Although the redshift is not
known for the other four radio sources, they have not been identified
with any cluster member down to very faint optical magnitudes:
(see Miller et al. 2009). This indicates that
they are background radio sources, seen in projection through the
cluster. In the following the radio emission arising from the selected
sample of sources is described together with their main polarization
properties. In the fractional polarization images (from
Figs. 2 to 8) pixels with errors larger
than 10% were blanked.
5C4.85 - NGC 4874
This a cluster source, optically
identified with the Coma central cD galaxy NGC 4874 (see e.g. Mehlert
et al. 2000). It is a Wide Angle Tail radio galaxy, whose maximum
angular extension is 30
,
corresponding to
15 kpc. The angular extension of the two lobes individually is larger at
the lowest frequency. The northern lobe shows a mean fractional
polarization of 10% and 11% at 4.535 and 8.465 GHz respectively,
while the western lobe is less polarized (
7% at both
frequencies). In Fig. 2 the radio emission is shown
at 4.535 and 8.465 GHz.
5C4.81 - NGC 4869
This source has been studied in
detail by Dallacasa et al. (1989) and Feretti et al. (1995). It is
associated with the giant elliptical galaxy NGC 4869. 5C4.81 has a
Narrow Angle Tail radio morphology, and its angular size in the images
obtained here is 55
(25 kpc). The mean fractional
polarization in the tail is 18% at 4.535 GHz and 21% at 8.465 GHz.
In Fig. 3 the radio emission is shown at 4.535 and
8.465 GHz.
5C4.74
The source 5C4.74 consists of 5C4.74a and
5C4.74b, the two radio lobes of a FRII radio source. Its
redshift is unknown, and no optical identification has been found,
either with a Coma cluster member (Miller et al. 2009) nor with a
background radio source. From this we conclude that
it is a distant background source. The northeastern lobe
has a fractional polarization of 28% and 35% respectively at 4.535 and 8.465 GHz, while the southwestern lobe is less polarized
(
19% at 4.535 GHz and
23% at 8.465 GHz).
In Fig. 4 the radio emission is shown at 4.535 and 8.465 GHz.
![]() |
Figure 2:
Source 5C4.85. Total intensity radio contours and
polarization vectors at 4.535 GHz ( left) and 8.465 GHz
( right). The
bottom contour corresponds to a 3 |
Open with DEXTER |
![]() |
Figure 3:
Source 5C4.81. Total intensity radio
contours and polarization vectors at 4.535 GHz ( left) and 8.465 GHz
( right). The bottom contour corresponds to a 3 |
Open with DEXTER |
![]() |
Figure 4:
Source 5C4.74. Total intensity radio
contours and polarization vectors at 4.535 GHz ( left) and 8.465 GHz
( right). The
bottom contour corresponds to a 3 |
Open with DEXTER |
![]() |
Figure 5:
Source 5C4.114. Total intensity radio
contours and polarization vectors at 1.365 GHz ( left) and 4.935 GHz
( right). The
bottom contour corresponds to a 3 |
Open with DEXTER |
![]() |
Figure 6:
Source 5C4.127. Total intensity radio
contours and polarization vectors at 4.535 GHz ( left) and 8.465 GHz
( right). The
bottom contour corresponds to a 3 |
Open with DEXTER |
![]() |
Figure 7:
Source 5C4.42. Total intensity radio
contours and polarization vectors at 4.535 GHz ( left) and 8.465 GHz
( right). The
bottom contour corresponds to a 3 |
Open with DEXTER |
![]() |
Figure 8:
Source 5C4.152. Total intensity radio
contours and polarization vectors at 4.535 GHz ( left) and 8.465 GHz
( right). The
bottom contour corresponds to a 3 |
Open with DEXTER |
5C4.114
5C4.114 is a FRI radio source, with
angular size of 15
.
Its redshift is unknown, and no optical
identification either with a Coma cluster galaxy (Miller et al. 2009)
nor with a background galaxy has been found, indicating that 5C4.114
has a redshift greater than 0.023. The southern lobe appears brighter than the
northern one. The source fractional polarization is
13% at
1.365 GHz and
19% at 4.935 GHz.
In Fig. 5 the radio emission is shown at 1.365 and 4.935 GHz.
5C4.127
5C4.127 is a QSO located at z=1.374(Veron-Cetty & Veron 2001). Observations presented here show that
in addition to a bright nucleus the source has a weak
extension in the E-W direction of 16
(
136 kpc) at both of the observing frequency bands. The extended component
has a mean fractional polarization of 13% at 4.535 GHz and 14% at
8.465 GHz, while the nucleus is polarized at the 3% level. In
Fig. 6 radio contours of the source and polarization
vector images are shown.
5C4.42
5C4.42 is a FRII-type radio
source. Redshift information is not available in the literature and no
optical identification has been found. The same arguments explained
above for the source 5C4.74 let us conclude that it is a background
radio source. The source is composed by a weakly polarized core and
two lobes that extend for 25
in the southwest and northeast directions. The
lobes show a mean fractional polarization of
13% at both 4.535 GHz and 8.465 GHz. In Fig. 7 radio contours and vector
polarization images of the source are shown.
5C4.152
5C4.152 is a FRII type Radio Galaxy. No
redshift is available in the literature for this source. The
same arguments explained above for the source 5C4.74 let us conclude
that it is a background radio source. It is
composed of a core having a fractional polarization of a few percent
and two lobes that extend for 28
north-south. The
lobes show a mean fractional polarization of
13% 4.535 GHz
and 15% at 8.275 GHz.
In Fig. 8 radio contours and
vector polarization images of the source are shown.
![]() |
Figure 9:
5C4.85: Top left: the RM fit is shown in color along
with total intensity radio
contours 4.935 GHz. The bottom contour correspond to the 3 |
Open with DEXTER |
![]() |
Figure 10:
5C4.81: Top left: the RM image is shown in color along with total
intensity radio contours at 4.935 GHz. Contours start at 3 |
Open with DEXTER |
![]() |
Figure 11:
5C4.74: Top left: the RM image is shown in color along
with total intensity radio contours at 4.935 GHz. Contours start at 3 |
Open with DEXTER |
![]() |
Figure 12:
5C4.114: Top left: the RM image is shown in colors along
with total intensity radio contours at 4.935 GHz. Contours start at 3 |
Open with DEXTER |
![]() |
Figure 13:
5C4.127: Top left: the RM image is shown in color
along with total intensity radio contours at 4.935 GHz.
Contours start at 3 |
Open with DEXTER |
![]() |
Figure 14:
5C4.42: Top left: the RM image is shown in color
along with total intensity radio contours at 4.935 GHz.
Contours start at 3 |
Open with DEXTER |
![]() |
Figure 15:
5C4.152: Top left: the RM image is shown in color along
with total intensity radio contours at 4.935 GHz.
Contours start at 3 |
Open with DEXTER |
4 RM: fits and errors
In this section the procedure used to derive the RM from the radio observations is explained. We used the PACERMAN algorithm (Polarization Angle CorrEcting Rotation Measure ANalysis) developed by Dolag et al. (2005). The algorithm solves the n
We considered as reference pixel those with a
polarization angle uncertainty less than 7 degrees, and fixed the
gradient threshold to 15 degrees. An error of 7 degrees in the
polarization angle corresponds to 3 level in both U and Q polarization maps simultaneously. We allowed PACERMAN to perform the
RM fit if at least in 3 frequency maps the above mentioned conditions
were satisfied. The resulting RM images are shown in
Figs. 9-15 overlaid on the total intensity contours at 4.935 GHz. In the same figures we also provide the RM distribution
histograms and the RM fits for selected pixels in the map. The linear
trend of
versus
and the good fits obtained clearly
indicate that the Faraday rotation is occurring in an external
screen.
From the RM images we computed the RM mean (
)
and its dispersion (
). There are two
different types of errors that we have to account for: the statistical
error and the fit error. The statistical errors for
and for
is given by
and
respectively, where
nb is the number of beams over which the RM has been computed. The
statistical error is the dominant one, while the error of the fit has
the effect of increasing the real value of
.
Thus, in order
to recover the real standard deviation of the observed RM
distribution we have computed the
as
.
with
being the median of the error distribution.
The fit error has been estimated with Monte Carlo
simulations. We have extracted nb values, from a random Gaussian
distribution having
and mean
,
we have then added to the extracted values a Gaussian noise
having
,
in order to mimic the effect of the
noise in the observed RM images. We have computed the mean and the
dispersion (
)
of these simulated quantities and then
subtracted the noise from the dispersion obtaining
.
We have
thus obtained a distribution of
and means. The
standard deviation of the
distribution is then the fit
error on
while the standard deviation of the mean
distribution is the fit error on
.
We checked that the
mean of both distributions recover the corresponding observed values.
In Table 3 we report the RM mean, the observed RM
dispersion (
), the value of
(hereafter simply
), with the respective errors, the
average fit error (Err
), and the number of beams over which the
RM statistic is computed (nb).
4.0.1 The source 5C4.74
The value of




4.1 Galactic contribution
The contribution to the Faraday RM from our Galaxy may introduce an offset in the Faraday rotation that must be removed. This contribution depends on the galactic positions of the observed sources. The Coma cluster Galactic coordinates are



4.2 RM local contribution
We discuss here the possibility that the RM observed in radio galaxies are not associated with the foreground ICM but may arise locally to the radio source (Bicknell et al. 1990; Rudnick & Blundell 2003), either in a thin layer of dense warm gas mixed along the edge of the radio emitting plasma, or in its immediate surroundings. There are several arguments against this interpretation:- the trend of RM versus the cluster impact parameter in both statistical studies and individual cluster investigations (Clarke et al. 2001, 2004; Feretti et al. 1999; Govoni et al. 2005);
- the Laing-Garrington effect (Laing 1988; Garrington et al. 1988; Garrington & Conway 1991). This effect consists of an asymmetry in the polarization properties of the lobes of bright radio sources with one-sided, large scale jets. The lobe associated with the jet that is beamed toward the observer is more polarized than the one associated with the counter-jet that points away from the observer. This effect can be explained if we assume that the radio emission from the two lobes cross different distances through the ICM, and therefore the emission from the counter-lobe is seen through a greater Faraday depth, causing greater depolarization. This means also that the observed polarization properties of the source are strongly influenced by the ICM;
- statistical tests on the scatter plot of RM versus polarization angle for the radio galaxy PKS1246-410 (Ensslin et al. 2003);
- the relation between the RM and the cooling flow rate in relaxed clusters (Taylor et al. 2002).


The ICM origin of the observed RM
is also confirmed by the data presented here (Table 3): the
trend of
exhibits a decrease with increasing cluster
impact parameter. Values of
0 and different
among sources located at different projected distances to the cluster
center indicate that the magnetic field substantially changes on
scales larger than the source size, while small RM fluctuation can be
explained by magnetic field fluctuation on scales smaller than the
source size. Thus in order to interpret correctly the RM data we have
to take into account magnetic field fluctuations over a range of
spatial scales, i.e., we have to model the magnetic field power
spectrum.
Table 3: Rotation measures values of the observed sources.
5 The magnetic field model
In this section the magnetic field model adopted to simulate RM images is described. We used the approach suggested by Murgia et al. (2004), where the magnetic field is modelled as a 3-dimensional multi-scale model and its intensity scales with radius, following the gas distribution.5.1 The magnetic field power spectrum
In order to study the magnetic field of the Coma cluster, we considered a 3D vectorial magnetic field model.Simulations start
considering a power spectrum for the vector potential
in the
Fourier domain:
![]() |
(4) |
and extract random values of its amplitude A and phase



![]() |
(5) |
The field components Bi in the real space are then derived using 3D Fast Fourier Transform. The resulting magnetic field is a multi-scale model with the following properties:
- 1)
-
- 2)
- the magnetic field energy density associated with each component
Bk is:
|Bk|2 = C2n k-n,
, where C2n is the power spectrum normalization;
- 3)
- Bi has a Gaussian
distribution, with
,
,
- 4)
- B has a Maxwellian distribution.
We define
as the
physical scale of the magnetic field fluctuations in the real space.
Thus in order to determine the magnetic field power spectrum in the
cluster, we have to determine three parameters:
,
and n. It is worth noting that a degeneracy arises
between
and n (the higher n is, the lower
is, in order to produce the same RM, see also
Sect. 7.1).
5.2 The magnetic field radial profile
There are several indications that the magnetic field intensity decreases going from the center to the periphery of a cluster. This is expected by magneto-hydrodynamical simulations (see e.g. Dolag et al. 2008) and by spatial correlations found in some clusters between thermal and non-thermal energy densities (Govoni et al. 2001).We assume that the cluster magnetic field follows the thermal component
radial distribution according to:
where

In order to obtain the desired magnetic field radial profile we have operated directly in the real space. Strictly, this operation should be performed in the Fourier space, by convolving the spectral potential components with the shaping profile. It has been proved that these two approaches give negligible differences (see Murgia et al. 2004).
When the magnetic field profile is
considered, two more parameters have to be determined:
and
.
These two parameters
are degenerate (the higher is
the higher is
). In
fact higher central value of the field require a steeper spectrum in
order to produce the same RM.
The adopted magnetic field model has then a total of 5 free
parameters:
,
, n,
and
, and is subject to two degeneracies:
and
and
.
Fitting all of these five
parameters simultaneously would be the best way to proceed, but it is
not feasible here, due to the computational burden caused by the
Fourier Transform inversion. Indeed we have to simulate a large volume
33 Mpc3 with a sub-kiloparsec pixel-size.
The aim of this work is to constrain the magnetic field radial profile, and for this reason the sources were selected in order to sample different regions at different impact parameters. This allows us to reach a good sensitivity to the RM at different distances from the cluster center.
We proceed as follows: we perform 2D simulations with
different magnetic field power spectra in order to recover the RM
statistical indicator that are sensitive to the magnetic field power
spectrum (Sect. 7.1). From this analysis we derive the
power spectrum that best reproduces the observations. We then perform
3D magnetic field simulations varying the values of B0 and and derive the magnetic field profile that best reproduces the RM observations (Sect. 7.3).
6 Comparing observations and simulations
A tricky point when observations and simulations are compared is the correct evaluations of the errors and uncertainties that this process is subject to. The simulations we present in this paper start from a random seed and generate 2D and 3D magnetic fields. From these fields simulated RM images are obtained, and then compared with those observed in order to constrain the magnetic field properties. It is worth noting that for a given magnetic field model, the RM in a given position of the cluster varies depending on the initial seed of the simulation, so that different realizations of the same model will correspond to different values of

We adopt the following
approach to compare observations and simulations: once the simulated
RM image is obtained for a source, it is convolved with a Gaussian
function having
equal to the beam
of the observed
image. The simulated RM image is then blanked in the same way as the observed
RM image. This ensures that simulations are subject to the same sampling
bias that we have to deal with when obtaining the RM from
observations. The comparison between the observed RM images and those
simulated is performed with the
distribution, by
computing:
where i indicates the source,




7 Determining the magnetic field from RM observations
Here we describe how the magnetic field power spectrum has been investigated.7.1 Constraining the magnetic field power spectrum
Several observational quantities can be useful to constrain some properties of the magnetic field power spectrum. In particular:- both
and
scale linearly with the magnetic field strength, while they have different trends with n and
, which are degenerate parameters. The ratio
can thus be used to investigate the magnetic field power spectrum (see also Fig. 3 in Murgia et al. 2004);
- the minimum scale of the magnetic field fluctuation,
, affects the depolarization ratio (DP ratio) at two different frequencies (i.e.
) and the
. Both DP and
are in fact determined by the magnetic power on the small spatial scales. This parameter can be thus be derived by studying high resolution polarization images;
- It has been demonstrated that the magnetic field auto-correlation function is proportional to the RM auto-correlation function (Ensslin & Vogt 2003). Since the power spectrum is the Fourier transform of the auto-correlation function, it is possible to study the 3D magnetic field power spectrum starting from the power spectrum of the RM images.
![[*]](/icons/foot_motif.png)




7.1.1 The
plane
In order to illustrate the degeneracy existing between


![]() |
(8) |
in a region of




The plot in
Fig. 16 shows what
degeneracy means:
the same value of the RM ratio can be explained with different power
spectra. There are, as expected, two asymptotic trends. In fact, if
the magnetic field power spectrum is flat (e.g. n<3), the bulk of
the magnetic field energy is on the small scales, and thus the effect
of increasing
is negligible after a certain threshold,
that in this case is achieved for
kpc. As the
power spectrum steepens, as n>3 the bulk of the energy moves to
large scales, and thus as
increases, the energy
content also increases sharply. This is the reason of the second
asymptotic trend that is shown in the plot: as n increases
decreases faster and faster. As n approaches the
value of
11/3 (Kolmogorov power spectrum), the observed data
constrain
to be
20-40 kpc.
7.2 Structure function, auto-correlation function and multi-scale-statistic
In order to constrain more precisely the estimate of the magnetic field power spectrum parameters indicated by the previous analysis we have investigated the statistical properties of the RM images individually. We have fixed n=11/3, corresponding to the Kolmogorov power law for turbulent fields. This choice is motivated by both observational and theoretical works. Schuecker et al. (2004) analyzed spatially-resolved gas pseudo-pressure maps of the Coma galaxy cluster deriving that pressure fluctuations in the cluster center are consistent with a Kolmogorov-like power spectrum. Furthermore, cosmological numerical simulations have recently demonstrated that 3D power spectrum of the velocity field is well described by a single power law out to at least one virial radius, with a slope very close to the Kolmogorov power law (Vazza et al. 2009a,b).The range of
values of
is suggested by the previous analysis (see
Fig. 16). In order to choose the best parameters in
that range, and to find the best value for
,
we
simulated RM images and used two different statistical methods to
compare the observed RM images to the simulated ones:
- 1.
- we calculated the auto-correlation function and the structure
function of the observed RM images, and then compared them with the
simulated RM images. The RM structure function is defined as
follows.
(9)
whereindicates that the average is taken over all the positions (x,y) in the RM image. Blank pixels were not considered in the statistics. The structure function S(r) is then computed by radially averaging
over regions of increasing size of radius
. S(r) is thus sensitive to the observable quantity
over different scales. The auto-correlation function is defined as:
(10)
Since, the auto-correlation function is sensitive to both
and the
.
- 2.
- We computed a Multi-Scale Statistic (MSS), namely we computed
and
over regions of increasing size in the observed RM images and compared them with the same values obtained in the simulated images. The smallest region over which
and
are computed corresponds to a box of
kpc size. The box side is then increased by a factor two until the full source size is reached. We note that this approach is sensitive to both
and
over different spatial scales, and is thus a useful tool to discriminate among different power spectra. This indicator differs from the S(r) and A(r) in that as r increases, the number of pixels useful for computing the multi-scale statistic increases, giving a robust statistical estimate on large scales.






![]() |
Figure 16:
The RM ratio
|
Open with DEXTER |
![]() |
Figure 17:
Fits to the RM images for the Kolmogorov power spectrum that
best reproduces the observed RM (n=11/3,
|
Open with DEXTER |
![]() |
Figure 18:
Fits to the RM images for the Kolmogorov power spectrum that
best reproduces the observed RM (n=11/3,
|
Open with DEXTER |
7.2.1
and fractional polarization
It has been demonstrated (Burn 1966, see also Laing 2008) that when
Faraday rotation occurs the fractional polarization FPOL can be related
to the fourth power of the observing wavelength 
Since FPOL is sensitive to the minimum scale of the power spectrum,



7.3 The magnetic field profile
The results obtained from the previous section indicate the power spectrum that is able to best reproduce the observed RM images. In order to investigate the magnetic field radial profile we simulated 3D Kolmogorov power spectra, with




![$[0; 10
r_{\rm c}]$](/articles/aa/full_html/2010/05/aa13696-09/img132.png)
![$[-10 r_{\rm c}; 10
r_{\rm c}]$](/articles/aa/full_html/2010/05/aa13696-09/img133.png)

The integration
was repeated by varying the parameter B0 in the range [0.1; 11] G, with a step of
0.17
G, and
in the
range[-0.2; 2.5] with a step of 0.04. For each combination of B0and
a RM simulated image was thus obtained covering the full
cluster area.
We extracted from this RM image seven fields, each
lying in the plane of the sky in the same position of the observed
sources, and having the same size of the observed RM images. The
simulated RM images were convolved with a Gaussian beam having
kpc, in order to have the same resolution of the
observations. Finally the simulated RM fields were blanked in the same
way as the corresponding observed RM images.
The result of this integration
is, for each combination of (B0; ), a set of seven simulated
RM images, that are subject to the same statistical biases of the
observed images.
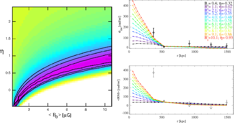
This process was repeated 50 times, each starting from a different random seed to generate the magnetic field power spectrum model.
For each source and for each pair of values
(B0; )
a simulated RM image was obtained for every
realization of the same power spectrum model. The mean and the
standard deviation of the
was computed
from the simulated RM images, and then the
was obtained
(Eq. (7)). The resulting
plane is shown in
Fig. 20. The minimum value is achieved for
B0=4.7
G and
,
but the 1-
confidence level
of the
indicates that values going from B0=3.9
G and
,
to B0=5.4
G and
,
are equally
representative of the magnetic field profile, according to the
degeneracy between the two parameters. Magnetic field models with a
profile flatter than
and steeper than
are
excluded at 99% confidence level, for any value of
.
Also magnetic field models with
G and
G are excluded at the 99%
confidence level for any value of
.
It is interesting to note
that the best models include
,
the value expected in the
case of a magnetic field energy density decreasing in proportion to
the gas energy density (assuming a constant average gas temperature),
and
,
expected in the case of a magnetic field frozen into
the gas. In the latter case the corresponding value of
is
5.2
G.
The knowledge of the magnetic field strength and structure in the ICM has strong implications for models explaining the formation of diffuse radio sources like radio halos. Testing the different models proposed in the literature is beyond the scope of this paper. We point out, however, that cosmological simulations recently performed by Donnert et al. (2009b) have shown that it is possible to test a class of these models once the magnetic field profile is known.
7.4 Results excluding the source 5C4.74
The same procedure described above has been repeated excluding the source 5C4.74 (see Sect. 4.0.1). The minimum value for the



![]() |
Figure 19:
Fits to the Burn law. Points refer to observed data, while the red
line is the fit obtained from observations. Dashed lines refer to
the fits obtained from three different models, with different values
of
|
Open with DEXTER |
8 Comparison with other estimates
In the literature there is a long-standing debate on the magnetic field strength derived from the RM analysis compared to the equipartition estimate and to the Inverse Compton hard X-ray emission. The discrepancy may arise from the different (but not incompatible) assumptions, and, moreover, are sensitive to the magnetic field on different spatial scales. Assuming the magnetic field models derived in the previous section, it is possible to derive an estimate that is comparable with equipartition values, and with the Inverse-Compton detection as well as with the upper limits derived from new hard X-ray observations. In order to obtain a value that is directly comparable with the equipartition magnetic field estimate, we have to derive the average magnetic field strength resulting from our RM analysis over the same volume assumed in the equipartition analysis, that is



The Inverse Compton hard X-ray emission has been observed
with the Beppo Sax satellite. Its field of view is
,
corresponding to
Mpc2 at
the Coma redshift.
We computed the average value of the magnetic field over the same
volume sampled by Beppo Sax. We obtained
0.75
G when
the best model is assumed, that is a factor four higher than the value
derived from Hard-X ray observations (Fusco Femiano et al. 2004). We
note however that models compatible with our data within 1-
of the
give values slightly different, going from 0.9 to 0.5
G. The steepest magnetic field model that is compatible with our
data at 99% confidence level (
G,
)
gives 0.2
G when averaged over the volume corresponding to the
Beppo Sax field of view. Deeper Hard-X ray observations would be
required to better compare the two estimates. The values computed here
indicate however that they can be reconciled. Recently, new hard
X-ray observations of the Coma cluster have been performed with the
new generation of satellites (see the work by Wik et al. 2009, using
XMM and Suzaku data, Lutovinov et al. 2008, using ROSAT, RXTE and
INTEGRAL data, Ajello et al. 2009, using XMM-Newton, Swift/XRT, Chandra
and BAT data). These observations failed to find statistically
significant evidence for non-thermal emission in the hard X-ray
spectrum of the ICM, which is better described by a single or
multi-temperature model. Given the large angular size of the Coma
cluster, if the non-thermal hard X-ray emission is more spatially
extended than the observed radio halo, both Suzaku HXD-PIN and BAT
Swift may miss some fraction of the emission. These efforts have thus
derived lower limits for the magnetic field strength, over areas
smaller than the radio halo. The lower limit reported by Wik et al. (2009) is e.g.
G, that is
compatible with our results.
![]() |
Figure 20:
Left: |
Open with DEXTER |
9 Conclusions
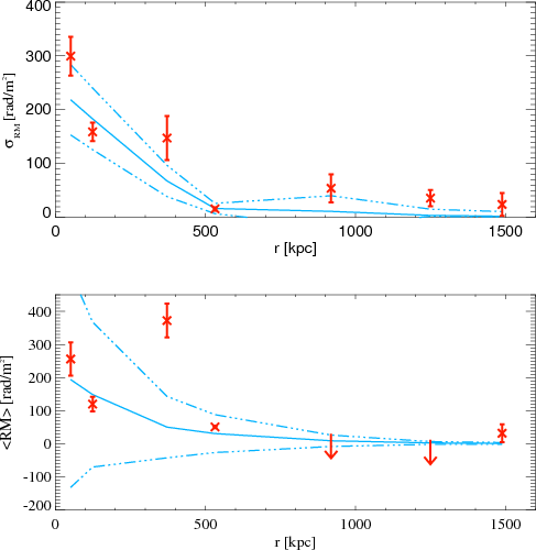
We have presented new VLA observations of seven sources in the Coma cluster field at multiple frequencies in the range 1.365-8.465 GHz. The high resolution of these observations has allowed us to obtained detailed RM images with 0.7 kpc resolution. The sources were chosen in order to sample different lines-of-sight in the Coma cluster in order to constrain the magnetic field profile. We used the numerical approach proposed by Murgia et al. (2004) to realize 3D magnetic field models with different central intensities and radial slopes, and derived several realizations of the same magnetic field model in order to account for any possible effect deriving from the random nature of the magnetic field. Simulated RM images were obtained, and observational biases such as noise, beam convolution and limited sampled regions were all considered in comparing models with the data. We found that


Our results can be summarized as follows:
- the RM ratio and the DP ratio were used to analyze the magnetic
field power spectrum. Once a Kolmogorov index is assumed, the
structure-function, the auto-correlation function and the
multi-scale statistic of the RM images are best reproduced by a
model with
kpc and
kpc. We performed a further check to investigate the best value of
by fitting the Burn law (Burn 1966). This confirmed the result obtained from the previous analysis.
- The magnetic field radial profile was investigated through a
series of 3D simulations. By comparing the observed and simulated
values we find that the best models are in the range (B0=3.9
G;
) and (B0=5.4
G;
). It is interesting to note that the values
and 0.67 lie in this range. They correspond to models where the magnetic field energy density scales as the gas energy density, or the magnetic field is frozen into the gas, respectively. This is expected from a theoretical point-of-view since the energy in the magnetic component of the intracluster medium is a tiny fraction of the thermal energy. Values of B0>7
G and <3
G as well as
and
are incompatible with RM data at the 99% confidence level.
- The average magnetic field intensity over a volume of
1 Mpc3 is
2
G, and can be compared with the equipartition estimate derived from the radio halo emission. Although based on different assumptions, and although the many uncertainties relying under the equipartition estimate, the model derived from RM analysis gives an average estimate that is compatible with the equipartition estimate. A direct comparison with the magnetic field estimate derived from the IC emission is more difficult, since the Hard-X detection is debated, and depending on the particle energy spectrum, the region over which the IC emission arises may change. The model derived from RM analysis gives a magnetic field estimate that is consistent with the present lower limits obtained from hard X-ray observations. The values we obtain for our best models are still a bit higher when compared with the estimate given by Fusco Femiano et al. (2004).
Figure 21: and
for the best model (cyan continuous line) and its dispersion (cyan dotted lines), given by the rms of the different random realizations. Observed points are shown in red.
Open with DEXTER
A.B. is grateful to the people at the Osservatorio Astronomico di Cagliari for their kind hospitality. We thank R. Fusco Femiano and G. Brunetti for useful discussions. This work is part of the ``Cybersar'' Project, which is managed by the COSMOLAB Regional Consortium with the financial support of the Italian Ministry of University and Research (MUR), in the context of the ''Piano Operativo Nazionale Ricerca Scientifica, Sviluppo Tecnologico, Alta Formazione (PON 2000-2006)''. K. D. acknowledges the supported by the DFG Priority Programme 117. NRAO is a facility of the National Science Fundation, operated under cooperative agreement by Associated Universities. This work was partly supported by the Italian Space Agency (ASI), and by the Italian Ministry for University and research (MIUR). This research has made use of the NASA/IPAC Extragalactic Data Base (NED) which is operated by the JPL, California institute of Technology, under contract with the National Aeronautics and Space Administration.
Appendix A: Structure function and multi-scale statistics with different power spectrum models
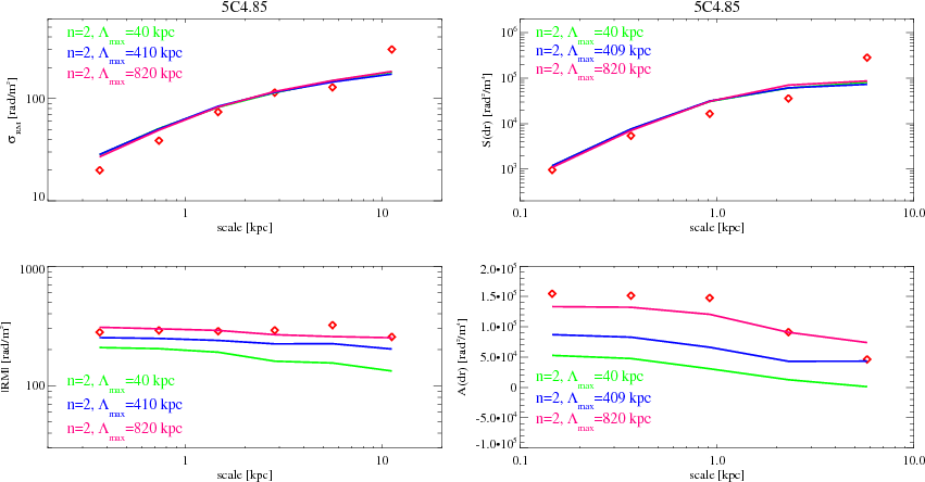
In this Appendix we discuss how other power-law spectral models could be representative of the data presented in the paper. The analysis is performed on the basis of the the structure-function, auto-correlation function and multi-scale statistics. Following the approach discussed in Sect. 7.1, we have obtained simulated RM images from different power spectrum models and compared them with observed data. We show in Fig. A.1 the structure function, auto-correlation function and MSS for Kolmogorov power spectra that differ in the value of

We note
that Kolmogorov power spectra with
and 10 kpc
fail in reproducing the
.
These trends can be
easily understood since power spectrum models with n>3 have most of
the magnetic energy on large spatial scales, and thus small changes in
have a consistent impact on the resulting
statistics. According to results presented in Sect. 7.1.1,
the case
kpc gives a reasonable fit to our
data, although the best fit is achieved for
kpc. In
Fig. A.2 similar fits obtained for power spectra models
with n=2 are shown. As indicated by the analysis performed in
Sect. 7.1.1, in this case the best agreement with
observations is achieved for
of order of hundreds
kpc (Fig. 16). We note that because of the power spectrum degeneracy, it is
possible to obtain a reasonable fit to our data. Indeed the case
-800 kpc can reproduce the MSS statistics, although they
fail in reproducing the S(r) trend on large spatial scales,
indicating that a larger value of n is required.
![]() |
Figure A.1:
Fit to the RM images for different Kolmogorov power spectra
for the central sources 5C4.85. The different models are indicated
by different colors (see labels) left: fit to the
|
Open with DEXTER |
![]() |
Figure A.2:
Fit to the RM images for different power spectra with n=2 for the central sources 5C4.85. The different models are indicated
by different colors (see labels) left: fit to the
|
Open with DEXTER |
Appendix B: Limits on the magnetic field profile from background radio sources.
Although several arguments (see Sect. 4.2) suggest that the main contribution to the observed RMs is due to the ICM, the best way to firmly avoid any kind of local contribution would be to consider only background radio galaxies in the analysis. This is however not trivial in general and not feasible here. In fact, sources located in the inner region of the cluster, at distances









![]() |
Figure B.1:
Left: |
Open with DEXTER |
References
- Ajello, M., Rebusco, P., Cappelluti, N., et al. 2009, ApJ, 690, 367 [NASA ADS] [CrossRef] [Google Scholar]
- Beck, R., & Krause, M. 2005, AN, 326, 414 [Google Scholar]
- Bicknell, G. V., Cameron, R. A., & Gingold, R. A. 1990, ApJ, 357, 373 [NASA ADS] [CrossRef] [Google Scholar]
- Briel, U. G., Henry, J. P., & Boehringer, H. 1992, A&A, 259, L31 [NASA ADS] [Google Scholar]
- Brüggen, M., Ruszkowski, M., Simionescu, A., Hoeft, M., & Dalla Vecchia, C. 2005, ApJ, 631, L21 [NASA ADS] [CrossRef] [Google Scholar]
- Burn, B. J. 1966, MNRAS, 133, 67 [NASA ADS] [CrossRef] [Google Scholar]
- Cavaliere, A., & Fusco-Femiano, R. 1976, A&A, 49, 137 [NASA ADS] [Google Scholar]
- Clarke, T. E. 2004, JKAS, 37, 337 [NASA ADS] [Google Scholar]
- Clarke, T. E., Kronberg, P. P., & Böhringer, H. 2001, ApJ, 547, L111 [NASA ADS] [CrossRef] [Google Scholar]
- Collins, D. C., Xu, H., Norman, M. L., Li, H., & Li, S. 2010, ApJS, 186, 308 [NASA ADS] [CrossRef] [Google Scholar]
- Dallacasa, D., Feretti, L., Giovannini, G., & Venturi, T. 1989, A&AS, 79, 391 [NASA ADS] [Google Scholar]
- Dolag, K. 2006, AN, 327, 575 [NASA ADS] [CrossRef] [Google Scholar]
- Dolag, K., & Stasyszyn, F. A. 2009, MNRAS, 398, 1678 [NASA ADS] [CrossRef] [Google Scholar]
- Dolag, K., Schindler, S., Govoni, F., & Feretti, L. 2001, A&A, 378, 777 [NASA ADS] [CrossRef] [EDP Sciences] [Google Scholar]
- Dolag, K., Bartelmann, M., & Lesch, H. 2002, A&A, 387, 383 [NASA ADS] [CrossRef] [EDP Sciences] [Google Scholar]
- Dolag, K., Vogt, C., & Enßlin, T. A. 2005, MNRAS, 358, 726 [NASA ADS] [CrossRef] [Google Scholar]
- Dolag, K., Bykov, A. M., & Diaferio, A. 2008, SSRv, 134, 311 [Google Scholar]
- Donnert, J., Dolag, K., Lesch, H., & Müller, E. 2009, MNRAS, 392, 1008 [NASA ADS] [CrossRef] [Google Scholar]
- Donnert, J., Dolag, K., Brunetti, G., Cassano, R., & Bonafede, A. 2010, MNRAS, 401, 47 [NASA ADS] [CrossRef] [Google Scholar]
- Dubois, Y., & Teyssier, R. 2008, A&A, 482, L13 [NASA ADS] [CrossRef] [EDP Sciences] [Google Scholar]
- Ensslin, T. A., Vogt, C., Clarke, T. E., & Taylor, G. B. 2003, ApJ, 597, 870 [NASA ADS] [CrossRef] [Google Scholar]
- Feretti, L., & Neumann, D. M. 2006, A&A, 450, L21 [NASA ADS] [CrossRef] [EDP Sciences] [Google Scholar]
- Feretti, L., Dallacasa, D., Giovannini, G., Tagliani, A. 1995, A&A, 302, 680 [NASA ADS] [Google Scholar]
- Feretti, L., Dallacasa, D., Govoni, F., et al. 1999, A&A, 344, 472 [NASA ADS] [Google Scholar]
- Ferrari, C., Govoni, F., Schindler, S., Bykov, A. M., & Rephaeli, Y. 2008, SSRv, 134, 93 [Google Scholar]
- Fusco-Femiano, R. 2004, Ap&SS, 294, 37 [NASA ADS] [CrossRef] [Google Scholar]
- Fusco-Femiano, R., Orlandini, M., Brunetti, G., et al. 2004, ApJ, 602L, 73 [Google Scholar]
- Garrington, S. T., & Conway, R. G. 1991, MNRAS, 250, 198 [NASA ADS] [Google Scholar]
- Garrington, S. T., Leahy, J. P., Conway, R. G., & Laing, R. A. 1988, Nature, 331, 147 [NASA ADS] [CrossRef] [Google Scholar]
- Giovannini, G., & Feretti, L. 2004, J. Korean Astron. Soc., Proceedings of the 3rd Korean Astrophysics Workshop, Cosmic Rays and Magnetic Fields in Large Scale Structure, Pusan, Korea, August 2004, ed. H. Kang, & D. Ryu, 37, 1 [Google Scholar]
- Giovannini, G., Bonafede, A., Feretti, L., et al. 2009, A&A, 507, 1257 [NASA ADS] [CrossRef] [EDP Sciences] [Google Scholar]
- Govoni, F., Murgia, M., Feretti, L., et al. 2005, A&A, 430, L5 [NASA ADS] [CrossRef] [EDP Sciences] [Google Scholar]
- Govoni, F., Murgia, M., Feretti, L., et al. 2006, A&A, 460, 425 [NASA ADS] [CrossRef] [EDP Sciences] [Google Scholar]
- Guidetti, D., Murgia, M., Govoni, F., et al. 2008, A&A, 483, 699 [NASA ADS] [CrossRef] [EDP Sciences] [Google Scholar]
- Laing, R. A. 1988, Nature, 331, 149 [NASA ADS] [CrossRef] [Google Scholar]
- Laing, R. A., Bridle, A. H., Parma, P., & Murgia, M. 2008, MNRAS, 391, 521 [NASA ADS] [CrossRef] [Google Scholar]
- Lutovinov, A. A., Vikhlinin, A., Churazov, E. M., Revnivtsev, M. G., & Sunyaev, R. A. 2008, ApJ, 687, 968 [NASA ADS] [CrossRef] [Google Scholar]
- Mehlert, D., Saglia, R. P., Bender, R., & Wegner, G. 2000, A&AS, 141, 449 [NASA ADS] [CrossRef] [EDP Sciences] [Google Scholar]
- Miller, N. A., Hornschemeier, A. E., Mobasher, B., et al. 2009, AJ, 137, 4450 [NASA ADS] [CrossRef] [Google Scholar]
- Murgia, M., Govoni, F., Feretti, L., et al. 2004, A&A, 424, 429 [NASA ADS] [CrossRef] [EDP Sciences] [Google Scholar]
- Kim, K. T., Kronberg, P. P., Dewdney, P. E., & Landecker, T. L. 1990, ApJ, 335, 29 [NASA ADS] [CrossRef] [Google Scholar]
- Rudnick, L., & Blundell, K. M. 2003, ApJ, 588, 143 [NASA ADS] [CrossRef] [Google Scholar]
- Schuecker, P., Finoguenov, A., Miniati, F., Böhringer, H., & Briel, U. G. 2004, A&A, 426, 387 [NASA ADS] [CrossRef] [EDP Sciences] [Google Scholar]
- Simard-Normandin, M., Kronberg, P. P., & Button, S. 1981, ApJS, 45, 97 [NASA ADS] [CrossRef] [Google Scholar]
- Taylor, G. B., Fabian, A. C., & Allen, S. W. 2002, MNRAS, 334, 769 [NASA ADS] [CrossRef] [Google Scholar]
- Thierbach, M., Klein, U., & Wielebinski, R. 2003, A&A, 397, 53 [NASA ADS] [CrossRef] [EDP Sciences] [Google Scholar]
- Vazza, F., Brunetti, G., Kritsuk, A., et al. 2009, A&A, 504, 33 [NASA ADS] [CrossRef] [EDP Sciences] [Google Scholar]
- Vazza, F., Gheller, C., & Brunetti, G. 2010, A&A, 513, A32 [NASA ADS] [CrossRef] [EDP Sciences] [Google Scholar]
- Venturi, T., Giacintucci, S., Dallacasa, D., et al. 2008, A&A, 484, 327 [NASA ADS] [CrossRef] [EDP Sciences] [Google Scholar]
- Véron-Cetty, M.-P., & Véron, P. 2001, A&A, 374, 92 [NASA ADS] [CrossRef] [EDP Sciences] [Google Scholar]
- Vogt, C., & Enßlin, T. A. 2003, A&A, 412, 373 [NASA ADS] [CrossRef] [EDP Sciences] [Google Scholar]
- Vogt, C., & Enßlin, T. A. 2005, A&A, 434, 67 [NASA ADS] [CrossRef] [EDP Sciences] [Google Scholar]
- Wik, D. R., Sarazin, C. L., Finoguenov, A., et al. 2009, ApJ, 696, 1700 [NASA ADS] [CrossRef] [Google Scholar]
Footnotes
- ... calibrator
- We refer to the flux density scale by Baars et al. (1990).
- ... source
- In these 2D RM simulations the radial profile of the magnetic field is not accounted for. This implicitly assumes that the mean magnetic field strength is not dramatically varying over the scale of the source. This is a reasonable assumption since the linear sizes of the sources at the Coma redshift are in fact much smaller that the cluster core radius.
All Tables
Table 1: VLA observations of radio galaxies in the Coma cluster field.
Table 2:
Total and polarization intensity radio images. Images are restored with a beam of
.
Table 3: Rotation measures values of the observed sources.
All Figures
![]() |
Figure 1:
Colors: Coma X-ray emission from the ROSAT All Sky Survey in
the energy band [0.1, 2.4] kev. Contours: Coma radio emission at
1.4 GHz from the NVSS. The beam FWHM is
|
Open with DEXTER | |
In the text |
![]() |
Figure 2:
Source 5C4.85. Total intensity radio contours and
polarization vectors at 4.535 GHz ( left) and 8.465 GHz
( right). The
bottom contour corresponds to a 3 |
Open with DEXTER | |
In the text |
![]() |
Figure 3:
Source 5C4.81. Total intensity radio
contours and polarization vectors at 4.535 GHz ( left) and 8.465 GHz
( right). The bottom contour corresponds to a 3 |
Open with DEXTER | |
In the text |
![]() |
Figure 4:
Source 5C4.74. Total intensity radio
contours and polarization vectors at 4.535 GHz ( left) and 8.465 GHz
( right). The
bottom contour corresponds to a 3 |
Open with DEXTER | |
In the text |
![]() |
Figure 5:
Source 5C4.114. Total intensity radio
contours and polarization vectors at 1.365 GHz ( left) and 4.935 GHz
( right). The
bottom contour corresponds to a 3 |
Open with DEXTER | |
In the text |
![]() |
Figure 6:
Source 5C4.127. Total intensity radio
contours and polarization vectors at 4.535 GHz ( left) and 8.465 GHz
( right). The
bottom contour corresponds to a 3 |
Open with DEXTER | |
In the text |
![]() |
Figure 7:
Source 5C4.42. Total intensity radio
contours and polarization vectors at 4.535 GHz ( left) and 8.465 GHz
( right). The
bottom contour corresponds to a 3 |
Open with DEXTER | |
In the text |
![]() |
Figure 8:
Source 5C4.152. Total intensity radio
contours and polarization vectors at 4.535 GHz ( left) and 8.465 GHz
( right). The
bottom contour corresponds to a 3 |
Open with DEXTER | |
In the text |
![]() |
Figure 9:
5C4.85: Top left: the RM fit is shown in color along
with total intensity radio
contours 4.935 GHz. The bottom contour correspond to the 3 |
Open with DEXTER | |
In the text |
![]() |
Figure 10:
5C4.81: Top left: the RM image is shown in color along with total
intensity radio contours at 4.935 GHz. Contours start at 3 |
Open with DEXTER | |
In the text |
![]() |
Figure 11:
5C4.74: Top left: the RM image is shown in color along
with total intensity radio contours at 4.935 GHz. Contours start at 3 |
Open with DEXTER | |
In the text |
![]() |
Figure 12:
5C4.114: Top left: the RM image is shown in colors along
with total intensity radio contours at 4.935 GHz. Contours start at 3 |
Open with DEXTER | |
In the text |
![]() |
Figure 13:
5C4.127: Top left: the RM image is shown in color
along with total intensity radio contours at 4.935 GHz.
Contours start at 3 |
Open with DEXTER | |
In the text |
![]() |
Figure 14:
5C4.42: Top left: the RM image is shown in color
along with total intensity radio contours at 4.935 GHz.
Contours start at 3 |
Open with DEXTER | |
In the text |
![]() |
Figure 15:
5C4.152: Top left: the RM image is shown in color along
with total intensity radio contours at 4.935 GHz.
Contours start at 3 |
Open with DEXTER | |
In the text |
![]() |
Figure 16:
The RM ratio
|
Open with DEXTER | |
In the text |
![]() |
Figure 17:
Fits to the RM images for the Kolmogorov power spectrum that
best reproduces the observed RM (n=11/3,
|
Open with DEXTER | |
In the text |
![]() |
Figure 18:
Fits to the RM images for the Kolmogorov power spectrum that
best reproduces the observed RM (n=11/3,
|
Open with DEXTER | |
In the text |
![]() |
Figure 19:
Fits to the Burn law. Points refer to observed data, while the red
line is the fit obtained from observations. Dashed lines refer to
the fits obtained from three different models, with different values
of
|
Open with DEXTER | |
In the text |
![]() |
Figure 20:
Left: |
Open with DEXTER | |
In the text |
![]() |
Figure 21:
|
Open with DEXTER | |
In the text |
![]() |
Figure A.1:
Fit to the RM images for different Kolmogorov power spectra
for the central sources 5C4.85. The different models are indicated
by different colors (see labels) left: fit to the
|
Open with DEXTER | |
In the text |
![]() |
Figure A.2:
Fit to the RM images for different power spectra with n=2 for the central sources 5C4.85. The different models are indicated
by different colors (see labels) left: fit to the
|
Open with DEXTER | |
In the text |
![]() |
Figure B.1:
Left: |
Open with DEXTER | |
In the text |
Copyright ESO 2010
Current usage metrics show cumulative count of Article Views (full-text article views including HTML views, PDF and ePub downloads, according to the available data) and Abstracts Views on Vision4Press platform.
Data correspond to usage on the plateform after 2015. The current usage metrics is available 48-96 hours after online publication and is updated daily on week days.
Initial download of the metrics may take a while.