Issue |
A&A
Volume 513, April 2010
|
|
---|---|---|
Article Number | A79 | |
Number of page(s) | 21 | |
Section | Planets and planetary systems | |
DOI | https://doi.org/10.1051/0004-6361/200913731 | |
Published online | 30 April 2010 |
Gas- and dust evolution in protoplanetary disks
T. Birnstiel - C. P. Dullemond - F. Brauer
Junior Research Group at the Max-Planck-Institut für Astronomie, Königstuhl 17, 69117 Heidelberg, Germany
Received 24 November 2009 / Accepted 26 January 2010
Abstract
Context. Current models of the size- and radial evolution of
dust in protoplanetary disks generally oversimplify either the radial
evolution of the disk (by focussing at one single radius or by
using steady state disk models) or they assume particle growth to
proceed monodispersely or without fragmentation. Further studies of
protoplanetary disks - such as observations, disk chemistry and
structure calculations or planet population synthesis models -
depend on the distribution of dust as a function of grain size and
radial position in the disk.
Aims. We attempt to improve upon current models to be able to
investigate how the initial conditions, the build-up phase, and the
evolution of the protoplanetary disk influence growth and transport
of dust.
Methods. We introduce a new model similar to Brauer et al.
(2008, A&A, 480, 859) in which we now include the time-dependent
viscous evolution of the gas disk, and in which more advanced input
physics and numerical integration methods are implemented.
Results. We show that grain properties, the gas pressure
gradient, and the amount of turbulence are much more influencing the
evolution of dust than the initial conditions or the build-up phase of
the protoplanetary disk. We quantify which conditions or environments
are favorable for growth beyond the meter size barrier. High gas
surface densities or zonal flows may help to overcome the problem of
radial drift, however already a small amount of turbulence poses a much
stronger obstacle for grain growth.
Key words: accretion, accretion disks - circumstellar matter - stars: formation - stars: pre-main sequence - infrared: stars
1 Introduction
The question of how planets form is one of the key questions in modern
astronomy today. While it has been studied for centuries, the problem
is still far from being solved. The agglomeration of small dust
particles to larger ones is believed to be at least the first stage of
planet formation. Both laboratory experiments (Blum et al. 2000) and observations of the 10 m spectral region (Bouwman et al. 2001; van Boekel et al. 2003)
conclude that grain growth must take place in circumstellar disks. The
growth from sub-micron size particles to many thousand kilometer sized
planets covers 13 orders of magnitude in spatial scale and over
40 orders of magnitude in mass. To assemble a single
1 km diameter planetesimal requires the agglomeration of about 1027 dust
particles. These dynamic ranges are so phenomenal that one has to
resort to special methods to study the growth of particles though
aggregation in the context of planet(esimal) formation.
A commonly used method for this purpose makes use of particle size distribution functions. The time dependent evolution of these particle size distribution functions has been studied by Weidenschilling (1980), Nakagawa et al. (1981), Dullemond & Dominik (2005), Brauer et al. (2008a, hereafter (B08a)) and others. It was concluded that dust growth by coagulation can be very quick initially (in the order of thousand years to grow to centimeter sized aggregates at 1 AU in the solar nebula), but it stalls around decimeter to meter size due to what is known as the ``meter size barrier'': a size range within which particles achieve large enough velocities to undergo destructive collisions and fast radial inward drift toward the central star (Weidenschilling 1977; Nakagawa et al. 1986).
While the existence of this meter size barrier (ranging in fact from a couple of centimeters to tens of meters at 1 AU) has been known for over 30 years, a thorough study of this barrier, including all known mechanisms that induce motions of dust grains in protoplanetary disks, and at all regions in the disk, for various conditions in the disk and for different properties of the dust (such as sticking efficiency and critical fragmentation velocity), has been only undertaken recently (see B08a). It was concluded that the barrier is indeed a very strong limiting factor in the formation of planetesimals from dust, and that special particle trapping mechanisms are likely necessary to overcome the barrier.
However, this work was based on a static, non-evolving gas disk model. It is known that over the duration of the planet formation process the disk itself also evolves dramatically (Lynden-Bell & Pringle 1974; Hueso & Guillot 2005; Hartmann et al. 1998), which may influence the processes of dust coagulation and fragmentation. It is the goal of this paper to introduce a combined disk-evolution and dust-evolution model which also includes additional physics: we include relative azimuthal velocities, radial dependence of fragmentation critical velocities and the Stokes-drag regime for small Reynolds numbers.
The aim is to find out what the effect of disk formation and evolution is on the process of dust growth, how the initial conditions affect the final outcome, and whether certain observable signatures of the disk (for instance, its degree of dustiness at a given time) can tell us something about the physics of dust growth.
Moreover, this model will serve as a supporting model for complementary modeling efforts such as the modeling of radiative transfer in protoplanetary disks (which needs information about the dust properties for the opacities) and modeling of the chemistry in disks (which needs information about the total amount of dust surface area available for surface chemistry). In this paper we describe our model in quite some detail, and thus provide a basis for future work that will be based on this model.
Furthermore, additional physics, such photoevaporation or layered accretion can be easily included, which we aim to do in the near future.
As outlined above, this model includes already many processes which influence the evolution of the dust and the gas disk. However, there are several aspects we do not include such as back-reactions by the dust through opacity or collective effects (Weidenschilling 1997), porosity effects (Ormel et al. 2007), grain charging (Okuzumi 2009) or the ``bouncing barrier'' (Zsom et al. 2010).
This paper is organized as follows: Sect. 2 will describe all components of the model including the radial evolution of gas and dust, as well as the temperature and vertical structure of the disk and the physics of grain growth and fragmentation. In Sect. 3 we will compare the results of our simulations with previous steady-state disk simulations and review the aforementioned growth barriers. As an application, we show how different material properties inside and outside the snow line can cause a strong enhancement of dust within the snow line. Section 4 summarizes our findings. A detailed description of the numerical method along with results for selected test cases can be found in the Appendix.
2 Model
The model presented in this work combines a 1D viscous gas disk evolution code and a dust evolution code, taking effects of radial drift, turbulent mixing, coagulation and fragmentation of the dust into account. We model the evolution of gas and dust in a vertically integrated way. The gas disk is viscously evolving after being built up by in-falling material from a collapsing molecular cloud core.
The radial distribution of grains is subject to gas drag, radial drift, and turbulent mixing. To which extend each effect contributes, depends on the grain/gas coupling of each grain size. By simultaneously modeling about 100-200 different grain sizes, we are able to follow the detailed evolution of the dust sub-disk being the superposition of all sizes of grain distributions.
So far, the evolution of the dust distribution depends on the evolving gas disk but not vice versa. A completely self consistently coupled code is a conceptually and numerically challenging task which will be the subject of future work.
2.1 Evolution of gas surface density
Our description of the viscous evolution of the gas disk follows closely the models described by Nakamoto & Nakagawa (1994) and Hueso & Guillot (2005). In this paper we shall therefore be relatively brief and put emphasis on differences between those models and ours.
The viscous evolution of the gas disk can be described by the continuity equation,
where the gas radial velocity




The molecular viscosity of the gas is too small to account for
relevant accretion onto the star, the time scale of viscous evolution
would be in the order of several billion years. Observed accretion
rates and disk lifetimes can only be explained if turbulent viscosity
drives the evolution of circumstellar disks. Therefore Shakura & Sunyaev (1973)
parameterized the unknown viscosity as the product of a velocity scale
and a length scale. The largest reasonable values for these scales in
the disk are the pressure scale height
![]() |
(3) |
and the sound speed
.
Therefore the viscosity is written as
![]() |
(4) |
where
is the turbulence parameter and
.
Today it is generally believed that disks transport angular
momentum by turbulence, however the source of this turbulence is still
debated. The magneto-rotational instability is the most commonly
accepted candidate for source of turbulence (Balbus & Hawley 1991). Values of
are expected to be in the range of 10-3 to some 10-2 (see Johansen & Klahr 2005; Dzyurkevich et al. 2010).
Observations confirm this range with higher probability for larger values (see Andrews et al. 2009).
If the disk becomes gravitationally unstable, large scale mechanisms of angular momentum transport such as through the formation of spiral arms come into play. The stability of the disk can be described in terms of the Toomre parameter (Toomre 1964)
![]() |
(5) |
Values below a critical value of
describe a weakly unstable disk, which forms non-axisymmetric instabilities like spiral arms. Q values below unity lead to fragmentation of the disk.
The effect of these non-axisymmetric structures is to transport angular
momentum outward and rearranging the surface density in the disk so as
to counteract the unstable configuration. This mechanism is therefore
to a certain extent self-limiting. Values above
are not influenced by instabilities, values below
form instabilities which increase Q until the disk is marginally stable again. Our model approximates this mechanism by increasing the turbulence parameter
according to the recipe of Armitage et al. (2001),
where
is a free parameter of the model which is taken to be 10-3, unless otherwise noted.
During the time of infall onto the disk, we use a constant, high value of
to mimic the effective redistribution of surface density during the
infall phase which also increases the overall stability of the disk.
Once the infall stops, we gradually decrease the turbulence parameter
on a timescale of 10 000 years until it reaches its input
value.
Equation (1) is a
diffusion equation, which is stiff. This means, one faces the problem
that the numerical step of an explicit integration scheme goes
(where
is the radial grid step size) which would make the simulation very
slow. One possible solution to this problem is using the method of
implicit integration. This scheme keeps the small time scales of
diffusion i.e. the fast modes in check. We are not interested in
these high frequency modes, but they would become unstable if we used a
large time step. With an implicit integration scheme
(see Sect. A.1) the time step can be chosen larger without causing numerical instabilities, thus increasing the speed of the computation.
2.2 Radial evolution of dust
If the average dust-to-gas ratio in protoplanetary disks is in the order of 10-2 (as found in the ISM), then the dust does not dynamically influence the gas, while the gas strongly affects the dynamics of the dust.
Thermally, however, the dust has potentially a massive influence on the gas disk evolution through its opacity, but we will not include this in this paper. Therefore the evolution of the gas disk can, in our approximation, be done without knowledge of the dust evolution, while the dust evolution itself does need knowledge of the gas evolution.
There might be regions, where dust accumulates (such as the mid-plane of the disk or dead-zones and snow-lines) and its influence becomes significant or even dominant but we will not include feedback of such dust enhancements onto the disk evolution in this paper.
For now, we want to focus on the equations of motion of dust
particles under the assumption that gas is the dominant material by
mass. The interplay between dust and gas can then be described in terms
of a dimensionless coupling constant, the Stokes number which is defined as
where


The stopping time of a particle is defined as the ratio of the momentum
of a particle divided by the drag force acting on it. There are
four different regimes for the drag force which determine the
dust-to-gas coupling (see Whipple 1972; Weidenschilling 1977). Which regime applies to a certain particle, depends on the ratio between mean free path
of the gas molecules and the dust particle size a (i.e. the Knudsen number) and also on the particle Reynolds-number
with
being the gas molecular viscosity
![]() |
(8) |

![]() |
(9) |
where n denotes the mid-plane number density and

Here u denotes the velocity of the dust particle with respect to the gas,



For now, we will focus on the Epstein regime. To calculate the
Stokes number, we need to know the eddy turn-over time. As noted
before, our description of viscosity comes from a dimensional analysis.
We use a characteristic length scale
and a characteristic velocity scale
of the eddies. This prescription is ambiguous in a sense that it does
not specify if angular momentum is transported by large, slow moving
eddies or by small, fast moving eddies, that is
![]() |
(11) |
This is rather irrelevant for the viscous evolution of the gas disk, since all values of q lead to the same viscosity, but if we calculate the turn-over-eddy time, we get
![]() |
(12) |
The Stokes number and therefore the dust-to-gas coupling as well as the relative particle velocities strongly depend on the eddy turnover time and therefore on q. In this work q is taken to be 0.5 (following Schräpler & Henning 2004; Cuzzi et al. 2001) which leads to a turn-over-eddy time of
![]() |
(13) |
The Stokes number then becomes
The overall radial movement of dust surface density

![]() |
(15) |
where the total Flux,

![]() |
(16) |
The ratio of gas diffusivity


![]() |
(17) |
and assume the gas diffusivity to be equal to the turbulent gas viscosity

The second contribution to the dust flux is the advective flux,
![]() |
(18) |
where

The first term is a drag term which comes from the radial movement of the gas which moves with a radial velocity of

The second term in Eq. (19)
is the radial drift velocity with respect to the gas. The gas in a
Keplerian disk does in fact move sub-keplerian, since it feels the
force of its own pressure gradient which is usually pointing inwards.
Larger dust grains do not feel this pressure and move on a keplerian
orbit. Therefore, from a point of view of a (larger) dust particle,
there exists a constant head wind, which causes the particle to loose
angular momentum and to drift inwards. This depends on the coupling
between the gas and the particle and is described by the second term in
Eq. (19). un denotes the maximum drift velocity of a particle,
which has been derived by Weidenschilling (1977). Here, we introduced a radial drift efficiency parameter

Putting all together, the time dependent equation for the surface density of one dust species of mass mi is given by
where we have included a source term

Note that both, the diffusion coefficient and the radial velocity depend on the Stokes number and therefore on the size of the particle.
![]() |
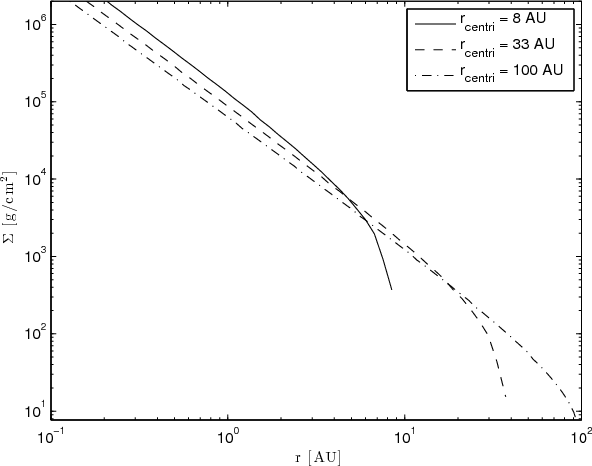
Figure 1: Total amount of in-fallen surface density as function of radius according to the Shu-Ulrich infall model (see Sect. 2.5) assuming a centrifugal radius of 8 AU (solid line), 33 AU (dashed line), and 100 AU (dash-dotted line). |
Open with DEXTER |
2.3 Temperature and vertical structure
The vertical structure can be assumed as being in hydrostatic equilibrium at all times if the disk is geometrically thin (
)
and the vertical sound crossing time is much shorter than the radial
drift time scale of the gas. The isothermal vertical density structure
is then given by
![]() |
(22) |
where
The viscous heating is given by Nakamoto & Nakagawa (1994)
![]() |
(24) |
where


Nakamoto & Nakagawa (1994) give a solution for the mid-plane temperature with an optically thick and an optically thin contribution,
where we used




contains contributions due to stellar or external irradiation. Here, we use a formula derived by Ruden & Pollack (see Ruden & Pollack 1991, Appendix B),
![]() |
(26) |
with a fixed

The main source of opacity is the dust. Due to viscous heating, the
temperature will increase with surface density. If the temperature
rises above
K,
the dust (i.e. the source of opacity) will evaporate, which stops
the disk from further heating until all dust is vaporized.
To simulate this behavior in our model, we calculate a gas
temperature (assuming a small, constant value for gas opacity) in the
case where the dust temperature rises above the evaporation
temperature. Then
is approximated by
![]() |
(27) |
only if


This is a thermostat effect: if T rises above 1500 K, dust will evaporate, the opacity will drop and the temperature stabilizes at T=1500 K. Once even the very small gas opacity is enough to get temperatures >1500 K, all the dust is evaporated and the temperature rises further.
2.4 Opacity
In the calculation of the mid-plane temperature we use Rosseland and Planck mean opacities which are being calculated from a given frequency dependent opacity table. The results are stored in a look up table and interpolated during the calculations. The opacity table is for a mixture of 50% silicates and 50% carbonaceous grains.
Since these are dust opacities, we convert them from cm2/g dust to cm2/g gas by multiplying the values with the dust-to-gas ratio
,
which is a fixed parameter in our model, taken to be the canonical
value of 0.01. This assumes that the mean opacity of the gas is
very small and that the dust-to-gas ratio does not change with time.
To calculate the opacity self-consistently, the total mass of dust
and the distribution of grain sizes has to be taken into account,
meaning that the dust evolution has a back reaction on the gas by
determining the opacity. For now, our model does not take
back-reactions from dust to gas evolution into account. Only in the
case where the temperature rises above 1500 K, the drop of opacity
due to dust evaporation is considered, as described above.
2.5 Initial infall phase: cloud collapse
The evolution of the protoplanetary disk also depends on the initial
infall phase which builds up the disk from the collapse of a cold
molecular cloud core. This process is still not well understood. First
similarity solutions for a collapsing sphere were calculated by Larson (1969) and Penston (1969). Shu (1977)
found a self similar solution for a singular isothermal sphere. The
Larson & Penston solution predicts much larger infall rates
compared to the inside-out collapse of Shu (
and
respectively).
More recent work has shown that the infall rates are not
constant over time, but develop a peak of high accretion rates and drop
to smaller accretion rates at later times. The maximum accretion rate
is about
if opacity effects are included (see Larson 2003). Analytical, pressure-free collapse calculations of Myers (2005) show similar behavior but with a smaller peak accretion rate of
.
They also argue that the effects of pressure and magnetic fields will further increase the time scales of cloud collapse.
This initial infall phase is important since it provides the initial condition of the disk and also influences the whole simulation by providing a source of small grains and gas at larger distances to the star during later times of evolution.
It should be noted that several groups perform
3D hydrodynamic simulations of collapsing cloud cores which show
more complicated evolution (e.g., Banerjee & Pudritz 2006; Whitehouse & Bate 2006).
However, to be able to study general trends of the infall phase,
we use the Shu-model since it is adjustable by a few parameters whose
influences are easy to understand. In this model the collapse
proceeds with an infall rate of
which stays constant throughout the collapse.
We assume the singular isothermal sphere of mass
to be in solid body rotation
.
If in-falling material is conserving its angular momentum, all matter from a shell of radius
will fall onto the star and disk system (with mass
)
within the so called centrifugal radius,
where G is the gravitational constant and

![]() |
(29) |
where
![]() |
(30) |
and
![]() |
(31) |
as described in Ulrich (1976). Here,

![]() |
(32) |
The centrifugal radius can therefore be approximated by (cf. Hueso & Guillot 2005)
![]() |
(33) |
We admit that this recipe for the formation of a protoplanetary disk is perhaps oversimplified. Firstly, as shown by Visser et al. (2009), the geometrical thickness of the disk changes the radial distribution of in-falling matter onto the disk surface, because the finite thickness may ``capture'' an in-falling gas parcel before it could reach the midplane. Secondly, star formation is likely to be messier than our simple single-star axisymmetric infall model. And even in such a simplified scenario, the Shu inside-out collapse model is often criticized as being unrealistic. However, it would be far beyond the scope of this paper to include a better infall model. Here we just want to get a feeling for the effect of initial conditions on the dust growth, and we leave more detailed modeling to future work.
2.6 Grain growth and fragmentation
The goal of the model described in this paper is to trace the evolution of gas and dust during the whole lifetime of a protoplanetary disk, including the grain growth, radial drift and turbulent mixing.
Here, the problem arises that radial drift and coagulation ``counteract'' each other in the regime of
particles: coagulation of smaller sizes restores the population around
,
whereas radial drift preferentially removes these particles. To be
able to properly model this behavior, the time step has to be chosen
small enough if the method of operator splitting is used.
The upper limit for this time step can be very small. If larger steps are used the solution will ``flip-flop'' back and forth between the two splitted sub-steps of motion and coagulation, and the results become unreliable. A method to allow the choice of large time steps while preserving the accuracy is to use a non-splitted scheme in which the integration is done ``implicitly''. (B08a) already use this technique to avoid flip-flopping between coagulation and fragmentation of grains, and we refer to that paper for a description of the general method. What is new in the current paper is that this implicit integration scheme is extended to also include the radial motion of the particles. So now radial motion, coagulation and fragmentation are done all within a single implicit integration scheme. See Appendix A.3 for details.
2.6.1 Smoluchowski equation
The dust grain distribution n(m,r,z), which is a function of mass m, distance to the star r and height above the mid-plane z, describes the number of particles per cm3 per gram interval in particle mass. This means that the total dust density in g cm-3 is given by
![]() |
(34) |
With this definition of n(m,r,z), the coagulation/fragmentation at one point in the disk can be described by a general two-body process,
where M(m,m',m'') is called the kernel. In the case of coagulation and fragmentation, this is given by
For better readability, the dependency of M on radius and height above the mid-plane was omitted here. The combined coagulation/fragmentation kernel consists of four terms containing the coagulation kernel K, the fragmentation kernel L and the distribution of fragments after a collision S.
![]() |
Figure 2:
Sources of relative particle velocities considered in this model
(Brownian motion velocities are not plotted) at a distance of
10 AU from the star. The turbulence parameter |
Open with DEXTER |
The first two terms in Eq. (36) correspond to gain (masses m' and m-m' coagulate) and loss (m coagulates with m') due to grain growth.
The third term describes the fragmentation of masses m and m', governed by the fragmentation kernel L and the fourth term describes the fact that when masses m' and m'' fragment, they distribute some of their mass via fragments to smaller sizes.
The coagulation and fragmentation kernels will be described in Sect. 2.6.3, the distribution of fragments, S, will be described in the next section.
To be able to trace the size and radial evolution of dust in a combined way, we need to express all contributing processes in terms of the same quantity. Hence, we will formulate the coagulation/fragmentation equation in a vertically integrated way. The vertical integration can be done numerically (as in B08a), however coagulation processes are most important near the mid-plane, which allows to approximate the kernels as being vertically constant (using the values at the mid-plane). If the vertical dust density distribution of each grain size is taken to be a Gaussian (see Sect. 2.6.4, Eq. (51)), then the vertical integration can be done analytically, as discussed in Appendix A.2. Unlike the steady-state disk models of (B08a) which have fixed surface density and temperature profiles, we need to recompute the coagulation and fragmentation kernels (which are functions of surface density and temperature) at every time step. Therefore this analytical integration also saves significant amounts of computational time.
We therefore define the vertically integrated dust surface density distribution per logarithmic bin of grain radius,
as
where n(r,z,a) and n(r,z,m) are related through

![]() |
(38) |
Defining


In our description of growth and fragmentation of grains, we always assume the dust particles to have a constant volume density meaning that we do not trace the evolution of porosity of the particles as this is currently computationally too expensive with a statistical code as used in this work. This can be achieved with Monte-Carlo methods as in Ormel et al. (2007) or Zsom & Dullemond (2008), however these models do not yet include the radial motion of dust and therefore cannot trace the global evolution of the dust disk.
2.6.2 Distribution of fragments
The distribution of fragments after a collision,
S(m,m',m''), is commonly described by a power law,
The value


In the case where masses of the colliding particles differ by orders of
magnitude, a complete fragmentation of both particles is an
unrealistic scenario. More likely, cratering will occur (Sirono 2004),
meaning that the smaller body will excavate a certain amount of mass
from the larger one. The amount of mass removed from the larger one is
parameterized in units of the smaller body ,
![]() |
(40) |
The mass of the smaller particle plus the mass excavated from the larger one is then distributed to masses smaller than


2.6.3 Coagulation and fragmentation kernels
The coagulation kernel
K(m1,m2) can be factorized into three parts,
![]() |
(41) |
and, similarly, the fragmentation kernel can be written as
![]() |
(42) |
Here,





The fragmentation probability is still not well known and subject of both theoretical (Paszun & Dominik 2009;
Wada et al. 2008) and experimental research (see Güttler et al. 2010; Blum & Wurm 2008). In this work, we adopt the simple recipe
![]() |
(43) |
with a transition width


2.6.4 Relative particle velocities
The different sources of relative velocities considered here are Brownian motion, relative radial and azimuthal velocities, turbulent relative velocities and differential settling. These contributions will be described in the following, an example of the most important contributions is shown in Fig. 2.
Brownian motion, the thermal movement of particles, dependents
on the mass of the particle. Hence, particles of different mass have an
average velocity relative to each other which is given by
![]() |
(44) |
Particle growth due to Brownian relative motion is most effective for small particles.
Radial drift, as described in Sect. 2.2
also induces relative velocities since particles of different size are
differently coupled to the gas. The relative velocity is then
![]() |
(45) |
where the radial velocity of the dust,

Azimuthal relative velocities are induced by gas drag in a
similar way as radial drift. However while only particles
(plus/minus 2 orders of magnitude) around
are significantly drifting, relative azimuthal velocities do not vanish
for encounters between very large and very small particles
(see Fig. 2). Consequently, large particles are constantly suffering high velocity impacts of smaller ones. According to Weidenschilling (1977) and Nakagawa et al. (1986), the relative azimuthal velocities for gas-dominated drag are
where un is defined by Eq. (20).
Turbulent motion as source of relative velocities is discussed in detail in Ormel & Cuzzi (2007). They also derive closed form expressions for the turbulent relative velocities which we use in this work.
Differential settling is the fifth process we consider contributing to relative particle velocities. Dullemond & Dominik (2004)
constructed detailed models of vertical disk structure describing the
depletion of grains in the upper layers of the disk. They show that the
equilibrium settling speed for particles in the Epstein regime is given
by
which can be derived by equating the frictional force
and the vertical component of the gravity force,
.
To limit the settling speed to velocities smaller than half the vertically projected Kepler velocity, we use
for calculating the relative velocities.
Since we do not resolve the detailed vertical distribution of
particles, we take the scale height of each dust size as average height
above the mid-plane, which gives
![]() |
(48) |
Table 1: Parameters of the fiducial model.
The dust scale height is calculated by equating the time scale for settling,
![]() |
(49) |
and the time scale for stirring (Dullemond & Dominik 2004; Schräpler & Henning 2004; Dubrulle et al. 1995),
![]() |
(50) |
By limiting the vertical settling velocity as in Eq. (47) and by constraining the dust scale height to be at most equal to the gas scale height, one can derive the dust scale height to be
This prescription is only accurate for the dust close to the mid-plane, however most of the dust (and hence most of the coagulation/fragmentation processes) take place near the mid-plane, therefore this approximation is accurate enough for our purposes.
3 Results
3.1 Viscous evolution of the gas disk
We will now focus on the evolution of a disk around a T Tauri
like star. We assume the rotation rate of the parent cloud core to be
s-1,
which corresponds to 0.06 times the break up rotation rate of the
core. The disk is being built-up from inside out due to the Shu-Ulrich
infall model, with the centrifugal radius being 8 AU. The
parameters of our fiducial model are summarized in Table 1.
![]() |
Figure 3: Evolution of disk surface density distribution ( top) and midplane temperature ( bottom) of the fiducial model described in 3.1. |
Open with DEXTER |
![]() |
Figure 4: Evolution of disk mass and stellar mass (solid and dashed line on left scale respectively) and accretion rate onto the star (dash-dotted line on right scale). Adapted from Fig. 5 in Hueso & Guillot (2005). |
Open with DEXTER |
Figure 3 shows how the gas surface density and the mid-plane temperature of this model evolve as the disk gets built up, viscously spreads and accretes onto the star. It can be seen that viscous heating leads to a strong increase of temperature at small radii. This effect becomes stronger as the disk surface density increases during the infall phase. After the infall has ceased, the surface density and therefore also the amount of viscous heating falls off.
This effect also influences the position of the dust evaporation radius, which is assumed to be at the radius where the dust temperature exceeds 1500 K. This position moves outwards during the infall (because of the stronger viscous heating described above). Once the infall stops, the evaporation radius moves back to smaller radii as the large surface densities are being accreted onto the star.
Figure 4
shows the evolution of accretion rate onto the star, stellar mass and
disk mass. The infall phase lasts until about 150 000 years.
At this point, the disk looses its source of gas and small-grained
dust and the disk mass drops off quickly until the disk has adjusted
itself to the new condition. This also explains the sharp drop of the
accretion rate. The slight increase in the accretion rate afterwards
comes from the change in
after the infall stops (see Sect. 2.1). Hueso & Guillot (2005)
find a steeper, power-law decline of the accretion rate after the end
of the infall phase because their model does not take the effects
of gravitational instabilities into account.
3.2 Fiducial model without fragmentation
We will now focus on the dust evolution of the disk. This fiducial simulation includes only grain growth without fragmentation or erosion. All other parameters as well as the evolution of the gas surface density and mid-plane temperature are the same as discussed in the previous section. The evolution of this model is visualized in Fig. 5.
The contour levels in Fig. 5 show the vertically integrated dust surface density distribution per logarithmic bin of grain radius,
,
as defined in Eq. (37). The left column of Fig. 5 shows the results of dust
evolution for a steady state (i.e. not viscously evolving) gas disk as described in (B08a).
The right column shows the evolution of the dust density distribution
of the fiducial model, in which the gas disk is gradually built up
through infall from the parent molecular cloud core, and the gas disk
viscously spreads and accretes matter onto the star. The solid line
marks the grain size corresponding to
at the given radius. This grain size will be called
hereafter. In the Epstein regime,
is proportional to the gas surface density of the disk, which can be seen from Eq. (14).
There are several differences to the simulations of grain growth in
steady-state disks, presented in (B08a): viscously evolving disks
accrete onto the star by transporting mass inwards and angular momentum
outwards. This leads to the fact that some gas has to be moving to
larger radii because it is ``absorbing'' the angular momentum of the
accreting gas. This can be seen in numerical simulations, but also in
the self similar solutions of Lynden-Bell & Pringle (1974). They show that there is a radius
which divides the disk between inward and outward moving gas. This
radius itself is constantly moving outwards, depending on the radial
profile of the viscosity.
![]() |
Figure 5:
Snapshots of the vertically integrated dust density distributions (defined in Eq. (37))
of a steady state disk as in (B08a) (left column) and of an evolving
disk (fiducial model, right column). No coagulation is calculated
within the evaporation radius (denoted by the dash-dotted line),
fragmentation is not taken into account in both simulations. The solid
line shows the particle size corresponding to a Stokes number of unity.
Since
|
Open with DEXTER |
The radius
in the fiducial model was found to move from around 20 AU at the
end of the infall to 42 AU at 1 Myr and is denoted by the
dotted line in Fig. 5.
Important here is that small particles are well enough coupled to the
gas to be transported along with the outward moving gas while larger
particles decouple from the gas and drift inwards. Those parts of the
dust distribution which lie below the dotted line in Fig. 5 have positive flux in the radial direction due to the gas-coupling.
![]() |
Figure 6: Comparison of the radial dependence of the dust-to-gas ratio for the stationary simulations (thick lines) and the evolving disk simulations (thin lines). The four panels compare the results after 1 Myr of evolution with/without fragmentation (left/right column) and with/without effects of non-axisymmetric instabilities (top/bottom row). It can be seen that the dust-to-gas ratio of the evolving disk simulations is almost everywhere lower than the one of the stationary simulations. See Sect. 3.4 for more details. |
Open with DEXTER |
One might expect that the dotted and dashed lines always coincide for small grains as they are well coupled to the gas, however, it can be seen that this is not the case. The reason for this is that turbulent mixing also contributes to the total flux of dust of each grain size. The smallest particles in between the dotted line and the dashed line in the lower two panels of Fig. 5 do have positive velocities, but due to a gradient in concentration of these dust particles, the flux is still negative.
During the early phases of its evolution, a disk which is built up from inside out quickly grows large particles at small radii which are lost to the star by radial drift. During further evolution, growth timescales become larger and larger (since the dust-to-gas ratio is constantly decreasing) while only the small particles are mixed out to large radii.
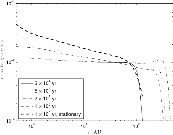
The radial dependence of the dust-to-gas ratio after 1 Myr is shown in Fig. 6. These simulations show that the initial conditions of the stationary disk models (such as shown in (B08a) and in the left column of Fig. 5) are too optimistic since they assume a constant dust-to-gas ratio at the start of their simulation throughout the disk which is not possible if the disk is being built-up from inside out unless the centrifugal radius is very large (in which case the disk would probably fragment gravitationally) and grain fragmentation is included to prevent the grains from becoming large and start drifting strongly. Removal of larger grains and outward transport of small grains lead to the fact that the dust-to-gas ratio is reduced by 0.5-1.5 orders of magnitude compared to a stationary model. This effect is also discussed in Sect. 3.4.
3.3 Fiducial model with fragmentation
The situation changes significantly, if we take grain fragmentation into account. As discussed in Sect. 2.6.2,
we consider two different kinds of outcomes for grain-grain collisions
with relative velocities larger than the fragmentation velocity
:
cratering (if the masses differ by less than one order of magnitude) and complete fragmentation (otherwise).
![]() |
Figure 7: Evolution of the dust density distribution of the fiducial model as in Fig. 5 but with fragmentation included. The dashed contour line (in the lower two panels) around the upper end of the size distribution and around small particles at >60 AU marks those parts of the distribution which have a positive (outward pointing) fluxes. |
Open with DEXTER |
For particles larger than about
,
relative velocities are dominated by turbulent motion (and to a
lesser extend by vertical settling). Since the relative velocities
increase with Stokes number (and therefore with grain size), we
can calculate the approximate position of the fragmentation barrier by
equating the assumed fragmentation velocity
with the approximate relative velocities of the particles,
Particles larger than this size are subject to high-velocity collisions which will erode or completely fragment those particles. This is only a rough estimate as the relative velocities also depend on the size of the smaller particle and radial drift also influence the grain distribution. However Eq. (52) reproduces well the upper end of the size distribution in most of our simulations and therefore helps understanding the influence of various parameters on the outcome of these simulations.
The evolution of the grain size distribution including fragmentation is depicted in Fig. 7. The initial condition is quickly forgotten since particles grow on very short timescales to sizes at which they start to fragment. The resulting fragments contribute again to the growth process until a semi-equilibrium of growth and fragmentation is reached.
It can be seen that particles stay much smaller than in the model without fragmentation. This means that they are less affected by radial drift on the one hand and better transported along with the expanding gas disk on the other hand. Consequently, considerable amounts of dust can reach radii of the order of 100 AU, as seen in Fig. 8.
The approximate maximum Stokes number, defined in Eq. (52), is inversely proportional to the temperature (since relative velocities are proportional to
),
which means that in regions with lower temperature, particles can reach
larger Stokes numbers. By equating drift and drag velocities of
the particles (cf. Eq. (19)), it can be shown that the radial velocities of particles with Stokes numbers larger than about
,
are being dominated by radial drift.
Due to the high temperatures below 5 AU (caused by viscous heating),
stays
below this value which prevents any significant radial drift within
this radius, particles inside 5 AU are therefore only transported
along with the accreting gas. Particles at larger radii and lower
temperatures can drift (although only slightly), which means that there
is a continuous transport of dust from the outer regions into the inner
regions. Once these particles arrive in the hot region, they get
``stuck'' because their Stokes number drops below
.
The gas within about 5 AU is therefore enriched in dust, as seen in Fig. 8.
The dust-to-gas ratio at 1 AU after 1 Myr is increased
by 25% over the value of in-falling matter, which is taken
to be 0.01.
Figure 8 also shows a relatively sharp decrease in the dust to gas ratio at a few hundred AU. At these radii, the gas densities become so small that even the smallest dust particles decouple from the gas and start to drift inwards.
The thick line in Fig. 8 shows as comparison the dust-to-gas ratio of the stationary disk model (cf. left column of Fig. 5) after 1 Myr, which starts with a radially constant initial dust-to-gas ratio of 0.01.
Figure 9
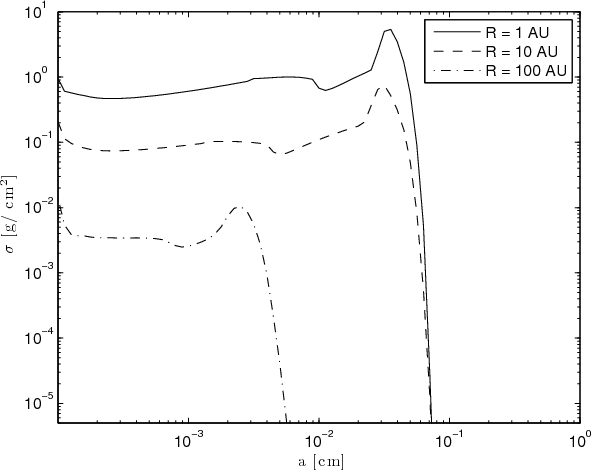
shows the semi-equilibrium grain surface density distribution
at 1, 10 and 100 AU in the fiducial model with fragmentation
at 1 Myr. The exact shape of these distributions depends very much
on the prescription of fragmentation and cratering. In general the
overall shape of these semi-equilibrium distributions is always the
same: a power-law or nearly constant distribution (in )
for small grains and a peak at some grain size
,
beyond which the distribution drops dramatically. The peak near the
upper end of the distribution is caused by cratering. This can be
understood by looking at the collision velocities: the relative
velocity of two particles increases with the grain size but it is lower
for equal-sized collisions than for collisions with particles of very
different sizes (see Fig. 2).
The largest particles in the distribution have relative velocities with
similar sized particles which lie just below the fragmentation velocity
(otherwise they would fragment). This means that the relative
velocities with much smaller particles (which are too small to fragment
the bigger particles but can still damage them via cratering) are above
this critical velocity. This inhibits the further growth of the big
particles beyond
,
causing a ``traffic jam'' close to the fragmentation barrier. The
peak in the distribution represents this traffic jam.
![]() |
Figure 8: Evolution of the radial dependence of the dust-to-gas ratio in the fiducial model including fragmentation with the times corresponding to the snapshots shown in Fig. 7. The initial dust-to-gas ratio is taken to be 0.01. The thick dashed curve represents the result at 1 Myr of the static disk model for comparison. |
Open with DEXTER |
![]() |
Figure 9: Vertically integrated (cf. Eq. (37)) grain surface density distributions as function of grain radius at a distance of 1 AU (solid), 10 AU (dashed) and 100 AU (dot-dashed) from the star. These curves represent slices through the bottom panel of Fig. 7. |
Open with DEXTER |
3.4 Influences of the infall model
In the fiducial model without fragmentation, continuous resupply of material by infall is the cause why the disk has much more small grains than compared to the stationary disk model (cf. Fig. 5), which relatively quickly consumes all available micrometer sized dust. The effect has already been found in Dominik & Dullemond (2008): if all grains start to grow at the same time, then the bulk of the mass grows in a relatively thin peak to larger sizes (see Fig. 6 in (B08a)). However if the bulk of the mass already resides in particles of larger size, then additional supply of small grains by infall is not swept up effectively because of the following: firstly, the number density of large particles is small (they may be dominating the mass, but not necessarily the number density distribution) and secondly, they only reside in a thin mid-plane layer while the scale height of small particles equals the gas scale height.
We studied how much the disk evolution depends on changes in the infall model.
For a given cloud mass, the so called centrifugal radius
,
which was defined in Eq. (28),
depends on the temperature and the angular velocity of the cloud. Both
can be varied resulting in a large range of possible centrifugal radii
reaching from a few to several hundred AU. Since the centrifugal
radius is the relevant parameter, we varied only the rotation rate of
the cloud core. We performed simulations with three different rotation
rates which correspond to centrifugal radii of about 8 (fiducial
model), 33 AU, and 100 AU. For each centrifugal radius, we
performed two simulations: one which includes effects of gravitational
instabilities (GI) - i.e. increased
during infall and according to Eq. (6) - and one which neglects them.
However for a centrifugal radius of 100 AU, too much matter is loaded onto the cold outer parts of the disk and consequently, the disk would fragment through gravitational instability. We cannot treat this in our simulations, hence, for the case of 100 AU, we show only results which neglect all GI effects.
The resulting dust-to-gas ratios are being shown in Fig. 6.
Two general aspects change in the case of higher rotation rates: firstly, more of the initial cloud mass has to be accreted onto the star by going through the outer parts of the disk. Consequently, the disk is more extended and more massive than compared to the case of low rotation rate.
Secondly, as aforementioned the high surface densities in the colder regions at larger radii cause the disk to become less gravitationally stable.
If grain fragmentation is not taken into account in the simulations, both effects cause more dust mass to be transported to larger radii. Growth and drift timescales are increasing with radius and the dust disk with centrifugal radius of 33 AU (100 AU) can stay 5 (35) times more massive than in the low angular momentum case after 1 Myr if GI effects are neglected.
If GI effects are included, matter is even more effectively transported outward, the dust-to-disk mass ratio for 8 and 33 AU is increased from 5 to 8.
However if fragmentation is included, it does not matter so
significantly, where the dust mass is deposited onto the disk since
grains stay so small during the build-up phase of the disk (due to
grain fragmentation by turbulent velocities) that they are well coupled
to the gas. Outwards of AU
(without GI effects) or of a few hundred AU
(if GI effects are included), the gas densities become
so small that even the smallest grains start do decouple from the gas.
They are therefore not as effectively transported outwards.
In these regions, the amount of dust depends on the final
centrifugal radius while at smaller radii, turbulent mixing quickly
evens out all differences in the dust-to-gas ratio (see left
column of Fig. 6).
It can be seen, that in all simulations, the dust-to-gas ratio is lower than in the stationary disk model. The trend in the upper right panel in Fig. 6 suggests that for a centrifugal radius of 100 AU and the enhanced radial transport by GI effects might have a higher dust-to-gas ratio than the stationary disk model. However in this case, the disk would become extremely unstable and would therefore fragment.
The reason for this is the following: to be able to compare
both simulations, the total mass of the disk-star system is the same as
in the stationary disk models. How the total mass is distributed onto
disk and star depends on the prescription of infall.
If a centrifugal radius of 100 AU is used, the disk
becomes so massive that it significantly exceeds the stability
criterion
.
3.5 The radial drift barrier revisited
According to the current understanding of planet formation, several mechanisms seem to prevent the formation of large bodies via coagulation quite rigorously. The most famous ones - radial drift and fragmentation - have already been introduced above. Radial drift has first been discussed by Weidenschilling (1977), while the importance of the fragmentation barrier (which may prevent grain growth at even smaller sizes) was discussed in (B08a). In the following, we want to test some ideas about how to weaken or to overcome these barriers apart from those already studied in (B08a).
(B08a) has quantified the radial drift barrier by equating the
timescales of growth and radial drift which leads to the condition
where






However, there are other ways of breaking through the drift barrier. Firstly, the drift timescale for
particles also depends on the temperature (via the pressure gradient). A simple approximation from Eq. (53) with a 0.5
star and a dust-to-gas ratio of 0.01 gives
![]() |
(54) |
which means that particles should be able to break through the drift barrier at 1 AU if the temperature is below


Zonal flows as presented in Johansen et al. (2006) could be an alternative way of decreasing the efficiency of radial drift averaged over typical time scales of particle growth. Johansen et al. (2006) found a reduction of the radial drift velocity of up to 40% for meter-sized particles.
Meridional flows (e.g., Kley & Lin 1992; Urpin 1984)
might also seem interesting in this context, however they do not
directly influence the radial drift efficiency but rather reverse the
gas-drag effect. This might be important for small particles (which,
however are not strongly settling to the mid-plane) but for
particles,
would have to be extremely high to have significant influence: even
would result in a reduction of the particles radial velocity by approximately only a few percent.
Another possibility to weaken the drift barrier is changing its radial
dependence. The reason for this is the following: particle radial drift
is only a barrier if it prevents particles to cross the size
.
Since particles grow while drifting, the particle size corresponding to
needs
to increase as well, to be a barrier. Otherwise drifting
particles would grow (at least partly) through the barrier while
they are drifting. If
is
decreasing in the direction toward the star, then a particle that
drifts inwards would have an increasing Stokes number even if the
particle does not grow at all.
![]() |
Figure 10: Evolution of the dust
surface density distribution of the fiducial model at
200 000 years for different drift efficiencies |
Open with DEXTER |
![]() |
Figure 11:
Dust grain surface density distribution as in Fig. 10 at 200 000 years but including the Stokes drag regime. The drift efficiency is set to
|
Open with DEXTER |
In the Epstein regime, the size corresponding to
is proportional to the gas surface density
![]() |
(55) |
meaning that a relatively flat profile of surface density (or even a profile with positive slope) is needed to allow particles to grow through the barrier. However, our simulations of the viscous gas disk evolution do not yield surface density profiles with positive slopes outside the dust evaporation radius.
To quantify the arguments above, we have performed simulations with varying drift efficiency to
test how much the radial drift has to be reduced to allow break
through. We have additionally included the first Stokes drag regime to
see how the radial drift of particles is influenced by it.
Figure 10
shows the grain surface density distribution after
200 000 years of evolution for three different drag
efficiencies. The most obvious changes can be seen in the region where
the
line
(solid line) is relatively flat: the grain distribution is shifted
towards larger Stokes numbers. As explained above, particles can
grow while drifting, which can be seen in the case of
.
The Stokes number and size of the largest particles is significantly
increasing towards smaller radii. However the radial drift efficiency
has to be reduced by 80% to produce particles which are large
enough to escape the drift regime and are therefore not lost to
the star.
The situation changes, if the Stokes drag is taken into
account: if gas surface densities are high enough for the dust
particles to get into a different drag regime, a change in the
radial dependency of
can be achieved. The Epstein drag regime for particles with Stokes number of unity is only valid if
otherwise, drag forces have to be calculated according to the Stokes drag law since the Knudsen number becomes smaller than 4/9 (see Weidenschilling 1977). The Stokes number is then given by
![]() |
(57) |
with



Results of simulations which include the Stokes drag are shown in Fig. 11. In this case, particles can already break through the drift barrier if
.
This value and the position of the breakthrough depends on where the
drag law changes from Epstein to Stokes regime and therefore on the
disk surface density. As noted above, larger surface densities
generally shift the position of regime change towards larger radii
making it easier for particles to break through the drift barrier.
It should be noted that the physical way to avoid the Stokes drag regime is to decrease the surface densities, however we chose the same initial conditions for both cases - with and without Stokes drag - and just neglected the Stokes drag in the latter computations to be able to compare the efficiency factors independent of other parameters such as disk mass or temperature.
3.6 The fragmentation barrier revisited
In the previous section, we have shown that several mechanisms could allow particles to break through the radial drift barrier, however fragmentation puts even stronger constraints on the formation of planetesimals.
![]() |
Figure 12: Dust surface density
distributions (top row) and the according solid-to-gas ratio (bottom
row) for the case of radius-dependent fragmentation velocity after
|
Open with DEXTER |
As shown by Ormel & Cuzzi (2007), the largest relative velocities are of the order of
![]() |
(58) |
If particles should be able to break through the fragmentation barrier, then they need to survive these large relative velocities, meaning that

![]() |
(59) |
This condition is hard to fulfill with reasonable fragmentation velocities, unless


Even in the case of very low turbulence, relative azimuthal velocities of large (
)
and small grains (
)
are of the order of 30 m s-1,
which means that large particles are constantly being ``sand-blasted''
by small grains. The only way of reducing these velocities
significantly is decreasing the pressure gradient (see Eqs. (20) and (46)).
Another possibility to overcome this problem would be if high-velocity impacts of smaller particles would cause net growth, as has been found experimentally by Wurm et al. (2005) and Teiser & Wurm (2009).
Taken together, these facts make environments as the inner edge of dead zones ideal places for grain growth (see Kretke & Lin 2007; Brauer et al. 2008b): shutting of MRI leads to low values of ,
which are needed to reduce turbulent relative velocities and the low
pressure gradients prevent radial drift and high azimuthal relative
velocities.
3.7 Dust enhancement inside the snow line
As already noted in a previous paper (Birnstiel et al. 2009),
significant loss of dust by radial drift can be prevented by assuring
that particles stay small enough and are therefore not influenced by
radial drift. For typical values of (
10-3-10-2), this means that the fragmentation velocity must be smaller than about 0.5-5 m s-1. If particles have higher tensile strength, they can grow to larger sizes which are again affected by radial drift.
Typical fragmentation velocities for silicate grains determined both theoretically and experimentally are of the order of a few m s-1 (for a review, see Blum & Wurm 2008). The composition of particles outside the snow-line is expected to change due to the presence of ices. This can influence material properties and increase the fragmentation velocity (see Schäfer et al. 2007; Wada et al. 2009).
We have performed simulations with a radially varying fragmentation
speed. We assume the fragmentation speed inside the snow-line to be
1 m s-1, outside the snow-line to be 10 m s-1.
It should be noted that we do not follow the abundance of water in
the disk or the composition of grains, we only assume particles outside
the snow line to have larger tensile strength due to the presence
of ice. To be able to compare both simulations, we used the
same 1 Myr old 0.09
gas disk around a solar mass star as initial condition. The gas surface
density profile of this disk was derived by a separate run of the disk
evolution code. We used this gas surface density profile and a radially
constant dust-to-gas ratio as initial condition for the simulations
presented in this subsection. Apart from the level of turbulence, the
input for both simulations is identical, the results are therefore
completely independent of uncertainties caused by the choice of the
infall model.
Results of the simulations are shown in Fig. 12.
A one order of magnitude higher fragmentation velocity causes
the maximum grain size to be about two orders of magnitude larger,
which follows from Eq. (52) since
in the Epstein regime (all particles in these simulations are
small enough to be in the Epstein regime). This effect can be seen in
Fig. 12.
Particles outside the snow-line are therefore more strongly drifting
inwards (because they reach larger Stokes numbers) where they are being
pulverized as soon as they enter the region within the snow-line.
Strong drift outside the snow line and weaker radial drift
inside the snow line cause the dust-to-gas ratio within the snow line
to increase significantly (see bottom row of Fig. 12): in the case of
,
the dust-to-gas ratio reaches values between 0.39 and 0.10 in the region from 0.2 to 1.9 AU.
Simulations for a less massive star (0.5 )
show the same behavior, however the increase in dust-to-gas ratio is
not as high as for a solar mass star (dust-to-gas ratio of 0.27-0.20
from 0.2-4 AU).
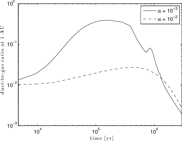
This effect is not as significant in the case of stronger turbulence, where the maximum dust-to-gas ratio is around 0.027. The evolution of the dust-to-gas ratio at a distance of 1 AU from the star is plotted for both cases in Fig. 13 (the minor bump is an artifact of the initial condition).
The reason for this difference lies in the locations of the drift and
fragmentation barriers. The approximate position of the fragmentation
barrier is represented by the dot-dashed line in Fig. 12.
The radial drift barrier cannot be defined as sharply, however radial
drift is strongest at a Stokes number of unity, which corresponds to
the solid line in Fig. 12. An increase of
by one order of magnitude lowers the fragmentation barrier by about one order of magnitude in grain size.
In the lower turbulence case, the fragmentation barrier lies close to
.
Most particles are therefore drifting inwards before they are large
enough to experience the fragmentation barrier. Hence, the outer parts
of the disk are significantly depleted in small grains.
In contrast to this case, fragmentation is the stronger barrier for grain growth throughout the disk in the high turbulence simulation (right column in Fig. 12). It can be seen that particles of smaller sizes are constantly being replenished by fragmentation.
With these results in mind, the evolution of the disk mass (bottom panel of Fig. 14) seems counter-intuitive: the mass of the high turbulence dust disk is decaying faster than in the low turbulence case. This can be understood by looking at the global dust-to-gas ratio of the disks (top panel of Fig. 14) which does not differ much in both cases. This means that the increased dust mass loss in the high turbulence disk is due to the underlying evolution of the gas disk. Particles in the high turbulence disk may have smaller Stokes numbers (causing drift to be less efficient), however the inward dragging by the accreting gas is stronger in this case.
To show how much the dust evolution depends on the fragmentation velocity, we included the case of a lower fragmentation velocity throughout the disk in Fig. 14. It can be seen that the dust mass is retained at its initial value for much longer timescales.
![]() |
Figure 13:
Dust-to-gas ratio at a distance of 1 AU from the central star as a function of time for the case of low (
|
Open with DEXTER |
![]() |
Figure 14: Evolution of the global dust-to-gas ratio ( top panel) and the dust disk mass ( bottom panel) for the simulations shown in Fig. 12. The solid and dashed lines correspond to the low and high turbulence case, respectively. The dash-dotted line shows the evolution of the disk if a low fragmentation velocity is assumed throughout the disk. |
Open with DEXTER |
4 Discussion and conclusions
We constructed a new model for growth and fragmentation of dust in circumstellar disks. We combined the (size and radial) evolution of dust of (B08a) with a viscous gas evolution code which takes into account the spreading and accretion, irradiation and viscous heating of the gas disk. The dust model includes the growth/fragmentation, radial drift/drag and radial mixing of the dust. We re-implemented and substantially improved the numerical treatment of the Smoluchowski equation of (B08a) to solve for the combined size and radial evolution of dust in a fully implicit, un-split scheme (see Appendix A). In addition to that, we also included more physics such as relative azimuthal velocities, radial dependence of fragmentation critical velocities and the Stokes drag regime. The code has been tested extensively and was found to be very accurate and mass-conserving (see Appendix B).
We compared our results of grain growth in evolving protoplanetary
disks to those of steady state disk simulations, similar to (B08a). In
spite of many differences in details, we confirm the most general
result of (B08a): radial drift and particle fragmentation set strong
barriers to particle growth. If fragmentation is included in the
calculations, then it poses the strongest obstacle for the formation of
planetesimals. Very low turbulence (
)
and fragmentation velocities of more than a few m s-1 are needed to be able to overcome the fragmentation barrier in the case of turbulent relative velocities.
This model includes also the initial build-up phase of the disk, which is still a very poorly understood phase of disk evolution. We use the Shu-Ulrich infall model which represents a strong simplification. However, the following novel findings of this work do not or only weakly depend on the build-up phase of the disk:
- Apart from an increased dust-to-gas ratio (as in B08a), other mechanisms such as streaming instabilities or a decreased temperature may be able to weaken this barrier by decreasing the efficiency of radial drift. We found that in simulations without fragmentation the radial drift efficiency needs to be reduced by 80% to produce particles which crossed the meter-size barrier and are large enough to resist radial drift.
- If the gas surface density is above a certain threshold (in our simulations about 140 g cm-2 at 1 AU or 330 g cm-2 at 5 AU, see Eq. (56)) then the drag force which acts on the dust particles has to be calculated according to the Stokes drag law, instead of the Epstein drag law. The drift barrier in this drag regime is shifting to smaller sizes for smaller radii (independent on the radial profile of the surface density) which means that pure radial drift can already transport dust grains over the drift barrier or at least to larger Stokes numbers even without simultaneous grain growth. In this case, the drift efficiency needs to be reduced only by about 25% to produce large bodies.
- If relative azimuthal velocities are included, then grains with
are constantly ``sand-blasted'' by small grains (if they are present) which (in our prescription of fragmentation) causes erosion and stops grain-growth even in the case of low turbulence. Only decreasing the radial pressure gradient significantly weakens both relative azimuthal and radial velocities. Low turbulence and a small radial pressure gradient together are needed to allow larger bodies to form. These conditions may be fulfilled at the inner edge of dead zones (Brauer et al. 2008b; Kretke & Lin 2007; see also Dzyurkevich et al. 2010). Future work needs to investigate the disk evolution and grain growth of disks with dead zones. Our prescription of fragmentation and erosion may also need rethinking since Wurm et al. (2005) and Teiser & Wurm (2009) find net-growth by high velocity impacts of small particles onto larger bodies.
- Higher tensile strengths of particles outside the snow-line allows particles to grow to larger sizes, which are more strongly affected by radial drift. Particles therefore drift from outside the snow-line to smaller radii where they fragment and almost stop drifting (since their radial velocity is decreased by almost two orders of magnitude). This can cause an increase the dust-to-gas ratio inside the snow-line by more than 1.5 orders of magnitude.
- The critical fragmentation velocity and its radial dependence (and to a lesser extent the level of turbulence) is a very important parameter determining if the dust disk is drift or fragmentation dominated. A drift dominated disk is significantly depleted in small grains and only a fragmentation dominated disk can retain a significant amount of dust for millions of years as is observed in T Tauri disks.
- Disk spreading causes small particles (
m) to be transported outward at radii of
60-190 AU even in 1 Myr old disks.
- Small particles provided by infalling material are not effectively swept up by large grains if the bulk of the dust mass has already grown to larger sizes.
- In an inside-out build-up of circumstellar disks, grains growth is very fast (timescales of some 100 years) because densities are high and orbital timescales are small. Large grains are quickly lost due to drift towards the star if fragmentation is neglected. Fragmentation is firstly needed to keep grains small enough to be able to transport a significant amount of dust to large radii by disk spreading and secondly to retain it in the disk by preventing strong radial inward drift.
We like to thank Thomas Henning, Hubert Klahr, Chris Ormel, and Andras Zsom for insightful discussions. We also thank the referee, Hidekazu Tanaka for his fast and insightful review which helped to improve this paper.
Appendix A: Algorithm
In the next two sections, we will first discuss how the equations of radial evolution of gas (Eq. (1)) and dust (Eq. (21)) as well as the coagulation/fragmentation of dust (Eq. (35)) are solved separately. In Sect. A.3 we will then describe how this model treats the radial and the size evolution of dust in an un-split, fully implicit way.
A.1 Advection-diffusion algorithm
To be able to also model both, the evolution of dust and gas
implicitly, we constructed a scheme which solves a general form of an
advection-diffusion equation,
which can be adapted to both, Eqs. (1) and (21) by proper choice of parameters u,

We use a flux-conserving donor-cell scheme which is implicit in
.
The time derivative in Eq. (A.1), written in a discretized way becomes
![]() |
(A.2) |
where i denotes time-dimension and n denotes space-dimension.
The advective part is discretized as
where


![]() |
= | ![]() |
(A.4) |
![]() |
= | ![]() |
(A.5) |
The diffusive interface flux becomes
![]() |
= | ![]() |
(A.6) |
![]() |
= | ![]() |
(A.7) |
Working out these equations and separating the values of

with the coefficients
Equation (A.8) can now be solved by any matrix-solver, but since it is a tri-diagonal matrix, the fastest analytical way to solve it is by forward elimination/backward substitution.
It should be noted that Eq. (A.1) is implicit only in
which means that the equations we solve are only implicit in the
surface density. In the case of the viscous accretion disk, described
by Eq. (1), we face the problem that also the turbulent gas viscosity
depends on the temperature which (in the case of viscous heating)
depends on the surface density. This can cause numerical instabilities
to develop.
To stabilize the code, we use a scheme which estimates the temperature in several predictor steps. The actual time step is then done with the predicted temperature.
A.2 Coagulation algorithm
Discretizing Eq. (35) on a mass grid mi gives
![]() |
(A.10) |
where the dust particle number density is
![]() |
(A.11) |
If we assume that the coagulation and fragmentation kernels are constant in z and that the vertical distribution of grains is a Gaussian with a scale height according to Eq. (51),
![]() |
(A.12) |
we can vertically integrate the coagulation/fragmentation equation.
where
![]() |
(A.14) |
Discretizing Eq. (A.13) also in radial direction and rewriting it in terms of the quantity
![]() |
(A.15) |
yields
where the vector

The numerical change of
within a time step
is
.
The time-discretized version of Eq. (A.16) then becomes (omitting second order terms)
![]() |
||
![]() |
(A.17) |
Since the first term on the right hand side is the explicit source function, we can write
![]() |
(A.18) |
Using the vectors


Where
![]() |
(A.20) |
denotes the Jacobian of the source function and

![]() |
(A.21) |
A.3 Fully implicit scheme for radial motion and coagulation
To be able to solve the radial motion and the Smoluchowski equation fully implicitly, we rewrite Eq. (A.8) as
where M is the tri-diagonal matrix with entries A,B and C and source term


![]() |
(A.23) |
which brings Eq. (A.22) in a form similar to Eq. (A.19),
![]() |
(A.24) |
The coagulation/fragmentation is now determined by the matrix J and the source vector


![]() |
(A.25) |
This allows us to combine both operators into one matrix equation,
In principle, to solve for the vector

We can therefore solve Eq. (A.26) by an iterative incomplete LU decomposition solver for sparse matrices provided by the Sixpack library of S. E. Norris.
![]() |
Figure A.1:
Pictographic representation of the matrix on the left hand side of Eq. (A.26)
with six radial and five mass grid points. White elements are zero,
dark grey elements contain contributions from radial transport of
dust (
J), light gray elements contain contributions from the coagulation/fragmentation (
|
Open with DEXTER |
![]() |
Figure A.2:
Comparison between simulation result and analytical solution for growth
of equal sized particles. The solid lines denote the position of the
peak of the grain size distribution. In the top panel, only Brownian
motion is considered as source of relative particle velocities, in the
bottom panel, turbulent relative velocities are considered
as well. The parameters of these simulation are T=196 K,
|
Open with DEXTER |
Appendix B: Test cases
To check if the numerical implementation presented above accurately solves Eq. (A.26),
we compare results of the simulation to some analytical solutions: the
growth rates of particles can be approximated if we assume the grain
size distribution to be a delta function and the sticking probability
to be unity. The increase of mass per collision is then given by the
mass of the particle, m divided by the time between two collisions, ,
which can be written as
![]() |
(B.1) |
Using


where




With this formula, we can estimate the growth time scales if the
relative velocities of the dust grains is given. For equal sized
particles and Brownian motion, we get
![]() |
(B.3) |
for turbulent motion, the relative velocities are (see Ormel & Cuzzi 2007)
![]() |
(B.4) |
Integrating Eq. (B.2) gives
for Brownian motion and
![]() |
(B.6) |
for relative velocities due to turbulent motion.
A comparison between analytical solution and simulation result for Brownian motion growth is shown in the top panel of Fig. A.2. It can be seen that the position of the peak of the grain size distribution (solid line in Fig. A.2) follows the analytical result of Eq. (B.5).
![]() |
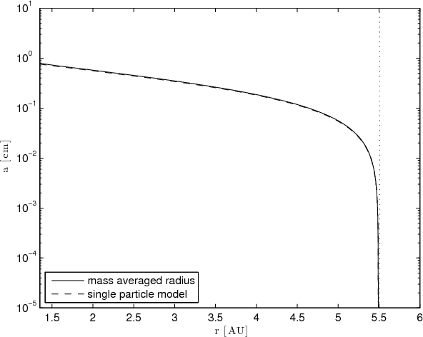
Figure B.1: Test case for only radial drift, without coagulation. The solid line denotes the mass-averaged position of the radial distribution of grains for each grain size after 103 years. The dashed line is the expected solution for a single particle, the dotted line denotes the initial radius of the particles. |
Open with DEXTER |
A similar comparison for the case of relative velocities due to
turbulent motion is not as straight-forward since both the turbulent
relative velocities and the dust scale height (Eq. (51)) are sub-divided into several regimes. We therefore integrated Eq. (B.2)
numerically for the case of Brownian motion and turbulent relative
velocities; the results are shown in the bottom panel of Fig. A.2.
As before, we see that - after the initial condition is
overcome - the simulation result follows closely the mono-disperse
approximation. For grains larger than
,
the analytical solution is also plotted in the bottom panel of Fig. A.2, almost coinciding with the simulation results.
The radial motion of dust particle was tested in a similar fashion: starting from a grain distribution at a radius of 5.5 AU, we let the particles drift (taking the gas drag and the radial drift into account, see Eq. (19)) without coagulation. We compare the results to results of a numerical integration of the equation of motion for a single particle. The results are shown in Fig. B.1.
We find that the size distribution behaves as expected: small particles
are well coupled to the gas, they almost retain their initial position
since the radial motion due to gas drag is in the order of
0.01 AU. Larger particles, having a larger Stokes number drift
towards the star on shorter timescales. Particles of a few centimeters
(corresponding to
)
are already lost after about 700 years.
The mass in all test cases was found to be conserved on the order of 10-11% of the initial value.
References
- Andrews, S. M., Wilner, D. J., Hughes, A. M., Qi, C., & Dullemond, C. P. 2009, ApJ, 700, 1502 [NASA ADS] [CrossRef] [Google Scholar]
- Armitage, P. J., Livio, M., & Pringle, J. E. 2001, MNRAS, 324, 705 [NASA ADS] [CrossRef] [Google Scholar]
- Balbus, S. A., & Hawley, J. F. 1991, ApJ, 376, 214 [NASA ADS] [CrossRef] [Google Scholar]
- Banerjee, R., & Pudritz, R. E. 2006, ApJ, 641, 949 [NASA ADS] [CrossRef] [Google Scholar]
- Birnstiel, T., Dullemond, C. P., & Brauer, F. 2009, A&A, 503, L5 [NASA ADS] [CrossRef] [EDP Sciences] [Google Scholar]
- Blum, J., & Muench, M. 1993, Icarus, 106, 151 [NASA ADS] [CrossRef] [Google Scholar]
- Blum, J., & Wurm, G. 2008, ARA&A, 46, 21 [NASA ADS] [CrossRef] [EDP Sciences] [Google Scholar]
- Blum, J., Wurm, G., Kempf, S., et al. 2000, Phys. Rev. Lett., 85, 2426 [NASA ADS] [CrossRef] [PubMed] [Google Scholar]
- Bouwman, J., Meeus, G., de Koter, A., et al. 2001, A&A, 375, 950 [NASA ADS] [CrossRef] [EDP Sciences] [Google Scholar]
- Brauer, F., Dullemond, C. P., & Henning, T. 2008a, A&A, 480, 859 [NASA ADS] [CrossRef] [EDP Sciences] [Google Scholar]
- Brauer, F., Henning, T., & Dullemond, C. P. 2008b, A&A, 487, L1 [NASA ADS] [CrossRef] [EDP Sciences] [Google Scholar]
- Cuzzi, J. N., Hogan, R. C., Paque, J. M., & Dobrovolskis, A. R. 2001, ApJ, 546, 496 [NASA ADS] [CrossRef] [Google Scholar]
- Davis, D. R., & Ryan, E. V. 1990, Icarus, 83, 156 [NASA ADS] [CrossRef] [Google Scholar]
- Dominik, C., & Dullemond, C. P. 2008, A&A, 491, 663 [NASA ADS] [CrossRef] [EDP Sciences] [Google Scholar]
- Dubrulle, B., Morfill, G. E., & Sterzik, M. F. 1995, Icarus, 114, 237 [NASA ADS] [CrossRef] [Google Scholar]
- Dullemond, C. P., & Dominik, C. 2004, A&A, 421, 1075 [NASA ADS] [CrossRef] [EDP Sciences] [Google Scholar]
- Dullemond, C. P., & Dominik, C. 2005, A&A, 434, 971 [NASA ADS] [CrossRef] [EDP Sciences] [Google Scholar]
- Dullemond, C. P., van Zadelhoff, G. J., & Natta, A. 2002, A&A, 389, 464 [NASA ADS] [CrossRef] [EDP Sciences] [Google Scholar]
- Dzyurkevich, N. S., Flock, M., Turner, N. J., Klahr, H., & Henning, Th. 2010, A&A, in press [Google Scholar]
- Güttler, C., Blum, J., Zsom, A., Ormel, C. W., & Dullemond, C. P. 2010, A&A, 513, A56 [NASA ADS] [CrossRef] [EDP Sciences] [Google Scholar]
- Hartmann, L., Calvet, N., Gullbring, E., & D'Alessio, P. 1998, ApJ, 495, 385 [NASA ADS] [CrossRef] [Google Scholar]
- Hueso, R., & Guillot, T. 2005, A&A, 442, 703 [NASA ADS] [CrossRef] [EDP Sciences] [Google Scholar]
- Johansen, A., & Klahr, H. 2005, ApJ, 634, 1353 [NASA ADS] [CrossRef] [Google Scholar]
- Johansen, A., Klahr, H., & Henning, T. 2006, ApJ, 636, 1121 [NASA ADS] [CrossRef] [Google Scholar]
- Kley, W., & Lin, D. N. C. 1992, ApJ, 397, 600 [NASA ADS] [CrossRef] [Google Scholar]
- Kretke, K. A., & Lin, D. N. C. 2007, ApJ, 664, L55 [NASA ADS] [CrossRef] [Google Scholar]
- Larson, R. B. 1969, MNRAS, 145, 271 [NASA ADS] [CrossRef] [Google Scholar]
- Larson, R. B. 2003, Rep. Prog. Phys, 66, 1651 [Google Scholar]
- Leinhardt, Z. M., & Stewart, S. T. 2009, Icarus, 199, 542 [NASA ADS] [CrossRef] [Google Scholar]
- Lynden-Bell, D., & Pringle, J. E. 1974, MNRAS, 168, 603 [NASA ADS] [CrossRef] [Google Scholar]
- Myers, P. C. 2005, ApJ, 623, 280 [NASA ADS] [CrossRef] [Google Scholar]
- Nakagawa, Y., Nakazawa, K., & Hayashi, C. 1981, Icarus, 45, 517 [NASA ADS] [CrossRef] [Google Scholar]
- Nakagawa, Y., Sekiya, M., & Hayashi, C. 1986, Icarus, 67, 375 [NASA ADS] [CrossRef] [Google Scholar]
- Nakamoto, T., & Nakagawa, Y. 1994, ApJ, 421, 640 [NASA ADS] [CrossRef] [Google Scholar]
- Okuzumi, S. 2009, ApJ, 698, 1122 [NASA ADS] [CrossRef] [Google Scholar]
- Ormel, C. W., & Cuzzi, J. N. 2007, A&A, 466, 413 [NASA ADS] [CrossRef] [EDP Sciences] [Google Scholar]
- Ormel, C. W., Spaans, M., & Tielens, A. G. G. M. 2007, A&A, 461, 215 [NASA ADS] [CrossRef] [EDP Sciences] [Google Scholar]
- Ormel, C. W., Paszun, D., Dominik, C., & Tielens, A. G. G. M. 2009, A&A, 502, 845 [NASA ADS] [CrossRef] [EDP Sciences] [Google Scholar]
- Paszun, D., & Dominik, C. 2009, A&A, 507, 1023 [NASA ADS] [CrossRef] [EDP Sciences] [Google Scholar]
- Penston, M. V. 1969, MNRAS, 145, 457 [NASA ADS] [Google Scholar]
- Ruden, S. P., & Pollack, J. B. 1991, ApJ, 375, 740 [NASA ADS] [CrossRef] [Google Scholar]
- Schäfer, C., Speith, R., & Kley, W. 2007, A&A, 470, 733 [NASA ADS] [CrossRef] [EDP Sciences] [Google Scholar]
- Schräpler, R., & Henning, T. 2004, ApJ, 614, 960 [NASA ADS] [CrossRef] [Google Scholar]
- Shakura, N. I., & Sunyaev, R. A. 1973, A&A, 24, 337 [NASA ADS] [Google Scholar]
- Shu, F. H. 1977, ApJ, 214, 488 [NASA ADS] [CrossRef] [Google Scholar]
- Sirono, S.-I. 2004, Icarus, 167, 431 [NASA ADS] [CrossRef] [Google Scholar]
- Teiser, J., & Wurm, G. 2009, MNRAS, 393, 1584 [NASA ADS] [CrossRef] [Google Scholar]
- Toomre, A. 1964, ApJ, 139, 1217 [NASA ADS] [CrossRef] [Google Scholar]
- Ulrich, R. K. 1976, ApJ, 210, 377 [NASA ADS] [CrossRef] [Google Scholar]
- Urpin, V. A. 1984, Soviet Astron., 28, 50 [Google Scholar]
- van Boekel, R., Waters, L. B. F. M., Dominik, C., et al. 2003, A&A, 400, L21 [NASA ADS] [CrossRef] [EDP Sciences] [Google Scholar]
- Visser, R., Dishoeck, E. F. V., Doty, S. D., & Dullemond, C. P. 2009, A&A, 495, 881 [NASA ADS] [CrossRef] [EDP Sciences] [Google Scholar]
- Wada, K., Tanaka, H., Suyama, T., Kimura, H., & Yamamoto, T. 2008, ApJ, 677, 1296 [NASA ADS] [CrossRef] [Google Scholar]
- Wada, K., Tanaka, H., Suyama, T., Kimura, H., & Yamamoto, T. 2009, ApJ, 702, 1490 [NASA ADS] [CrossRef] [Google Scholar]
- Weidenschilling, S. J. 1977, MNRAS, 180, 57 [NASA ADS] [CrossRef] [Google Scholar]
- Weidenschilling, S. J. 1980, Icarus, 44, 172 [NASA ADS] [CrossRef] [Google Scholar]
- Weidenschilling, S. J. 1997, Icarus, 127, 290 [NASA ADS] [CrossRef] [Google Scholar]
- Whipple, F. L. 1972, From Plasma to Planet, 211 [Google Scholar]
- Whitehouse, S. C., & Bate, M. R. 2006, MNRAS, 367, 32 [NASA ADS] [CrossRef] [Google Scholar]
- Wurm, G., Paraskov, G., & Krauss, O. 2005, Icarus, 178, 253 [NASA ADS] [CrossRef] [MathSciNet] [Google Scholar]
- Youdin, A. N., & Lithwick, Y. 2007, Icarus, 192, 588 [NASA ADS] [CrossRef] [Google Scholar]
- Zsom, A., & Dullemond, C. P. 2008, A&A, 489, 931 [NASA ADS] [CrossRef] [EDP Sciences] [Google Scholar]
- Zsom, A., Omel, C. W., Güttler, C., Blum, J., & Dullemond, C. P. 2010, A&A, 513, A57 [NASA ADS] [CrossRef] [EDP Sciences] [Google Scholar]
Footnotes
- ... F. Brauer
- Deceased September 2009.
- ... regimes
- It should be noted that ``Stokes regime'' refers to the regime where the drag force on a particle is described by the Stokes law - this is not directly related to the Stokes number.
- ... library
- Available from www.engineers.auckland.ac.nz/ snor007
All Tables
Table 1: Parameters of the fiducial model.
All Figures
![]() |
Figure 1: Total amount of in-fallen surface density as function of radius according to the Shu-Ulrich infall model (see Sect. 2.5) assuming a centrifugal radius of 8 AU (solid line), 33 AU (dashed line), and 100 AU (dash-dotted line). |
Open with DEXTER | |
In the text |
![]() |
Figure 2:
Sources of relative particle velocities considered in this model
(Brownian motion velocities are not plotted) at a distance of
10 AU from the star. The turbulence parameter |
Open with DEXTER | |
In the text |
![]() |
Figure 3: Evolution of disk surface density distribution ( top) and midplane temperature ( bottom) of the fiducial model described in 3.1. |
Open with DEXTER | |
In the text |
![]() |
Figure 4: Evolution of disk mass and stellar mass (solid and dashed line on left scale respectively) and accretion rate onto the star (dash-dotted line on right scale). Adapted from Fig. 5 in Hueso & Guillot (2005). |
Open with DEXTER | |
In the text |
![]() |
Figure 5:
Snapshots of the vertically integrated dust density distributions (defined in Eq. (37))
of a steady state disk as in (B08a) (left column) and of an evolving
disk (fiducial model, right column). No coagulation is calculated
within the evaporation radius (denoted by the dash-dotted line),
fragmentation is not taken into account in both simulations. The solid
line shows the particle size corresponding to a Stokes number of unity.
Since
|
Open with DEXTER | |
In the text |
![]() |
Figure 6: Comparison of the radial dependence of the dust-to-gas ratio for the stationary simulations (thick lines) and the evolving disk simulations (thin lines). The four panels compare the results after 1 Myr of evolution with/without fragmentation (left/right column) and with/without effects of non-axisymmetric instabilities (top/bottom row). It can be seen that the dust-to-gas ratio of the evolving disk simulations is almost everywhere lower than the one of the stationary simulations. See Sect. 3.4 for more details. |
Open with DEXTER | |
In the text |
![]() |
Figure 7: Evolution of the dust density distribution of the fiducial model as in Fig. 5 but with fragmentation included. The dashed contour line (in the lower two panels) around the upper end of the size distribution and around small particles at >60 AU marks those parts of the distribution which have a positive (outward pointing) fluxes. |
Open with DEXTER | |
In the text |
![]() |
Figure 8: Evolution of the radial dependence of the dust-to-gas ratio in the fiducial model including fragmentation with the times corresponding to the snapshots shown in Fig. 7. The initial dust-to-gas ratio is taken to be 0.01. The thick dashed curve represents the result at 1 Myr of the static disk model for comparison. |
Open with DEXTER | |
In the text |
![]() |
Figure 9: Vertically integrated (cf. Eq. (37)) grain surface density distributions as function of grain radius at a distance of 1 AU (solid), 10 AU (dashed) and 100 AU (dot-dashed) from the star. These curves represent slices through the bottom panel of Fig. 7. |
Open with DEXTER | |
In the text |
![]() |
Figure 10: Evolution of the dust
surface density distribution of the fiducial model at
200 000 years for different drift efficiencies |
Open with DEXTER | |
In the text |
![]() |
Figure 11:
Dust grain surface density distribution as in Fig. 10 at 200 000 years but including the Stokes drag regime. The drift efficiency is set to
|
Open with DEXTER | |
In the text |
![]() |
Figure 12: Dust surface density
distributions (top row) and the according solid-to-gas ratio (bottom
row) for the case of radius-dependent fragmentation velocity after
|
Open with DEXTER | |
In the text |
![]() |
Figure 13:
Dust-to-gas ratio at a distance of 1 AU from the central star as a function of time for the case of low (
|
Open with DEXTER | |
In the text |
![]() |
Figure 14: Evolution of the global dust-to-gas ratio ( top panel) and the dust disk mass ( bottom panel) for the simulations shown in Fig. 12. The solid and dashed lines correspond to the low and high turbulence case, respectively. The dash-dotted line shows the evolution of the disk if a low fragmentation velocity is assumed throughout the disk. |
Open with DEXTER | |
In the text |
![]() |
Figure A.1:
Pictographic representation of the matrix on the left hand side of Eq. (A.26)
with six radial and five mass grid points. White elements are zero,
dark grey elements contain contributions from radial transport of
dust (
J), light gray elements contain contributions from the coagulation/fragmentation (
|
Open with DEXTER | |
In the text |
![]() |
Figure A.2:
Comparison between simulation result and analytical solution for growth
of equal sized particles. The solid lines denote the position of the
peak of the grain size distribution. In the top panel, only Brownian
motion is considered as source of relative particle velocities, in the
bottom panel, turbulent relative velocities are considered
as well. The parameters of these simulation are T=196 K,
|
Open with DEXTER | |
In the text |
![]() |
Figure B.1: Test case for only radial drift, without coagulation. The solid line denotes the mass-averaged position of the radial distribution of grains for each grain size after 103 years. The dashed line is the expected solution for a single particle, the dotted line denotes the initial radius of the particles. |
Open with DEXTER | |
In the text |
Copyright ESO 2010
Current usage metrics show cumulative count of Article Views (full-text article views including HTML views, PDF and ePub downloads, according to the available data) and Abstracts Views on Vision4Press platform.
Data correspond to usage on the plateform after 2015. The current usage metrics is available 48-96 hours after online publication and is updated daily on week days.
Initial download of the metrics may take a while.