Issue |
A&A
Volume 513, April 2010
|
|
---|---|---|
Article Number | A25 | |
Number of page(s) | 12 | |
Section | Astronomical instrumentation | |
DOI | https://doi.org/10.1051/0004-6361/200913791 | |
Published online | 16 April 2010 |
S-DIMM+ height characterization of day-time seeing using solar granulation
G. B. Scharmer1,2 - T. I. M. van Werkhoven1,3
1 - Institute for Solar Physics, Royal Swedish Academy of Sciences,
AlbaNova University Center, 10691 Stockholm, Sweden
2 - Stockholm Observatory, Dept. of Astronomy, Stockholm University,
AlbaNova University Center, 10691 Stockholm, Sweden
3 - Sterrekundig Instituut Utrecht, Utrecht University, PO Box 80000,
3508TA Utrecht, The Netherlands
Received 21 December 2009 / Accepted 22 January 2010
Abstract
Context. To evaluate site quality and to develop
multi-conjugative adaptive optics systems for future large solar
telescopes, characterization of contributions to seeing from heights up
to at least 12 km above the telescope is needed.
Aims. We describe a method for evaluating
contributions to seeing from different layers along the line-of-sight
to the Sun. The method is based on Shack Hartmann wavefront sensor data
recorded over a large field-of-view with solar granulation and uses
only measurements of differential image displacements from individual
exposures, such that the measurements are not degraded by residual
tip-tilt errors.
Methods. The covariance of differential image
displacements at variable field angles provides a natural extension of
the work of Sarazin and Roddier to include measurements that are also
sensitive to the height distribution of seeing. By extending the
numerical calculations of Fried to include differential image
displacements at distances much smaller and much larger than the
subaperture diameter, the wavefront sensor data can be fitted to a
well-defined model of seeing. The resulting least-squares fit problem
can be solved with conventional methods. The method is tested with
simple simulations and applied to wavefront data from the Swedish 1-m
Solar Telescope on La Palma, Spain.
Results. We show that good inversions are possible
with 9-10 layers, three of which are within the first
1.5 km, and a maximum distance of 16-30 km, but with
poor height resolution in the range 10-30 km.
Conclusions. We conclude that the proposed method
allows good measurements when Fried's parameter r0
is larger than about 7.5 cm for the ground layer and that
these measurements should provide valuable information for site
selection and multi-conjugate development for the future European Solar
Telescope. A major limitation is the large field of view presently used
for wavefront sensing, leading to uncomfortably large uncertainties in r0
at 30 km distance.
Key words: instrumentation: adaptive optics - site testing - Sun: granulation
1 Introduction
Presently, the most commonly used method for quantifying astronomical seeing is the differential image motion monitor (DIMM), proposed for ESO site testing by Sarazin & Roddier (1990) and relying on theoretical calculations and suggestions of Fried (1975). The DIMM built for ESO consists of a single 35 cm telescope with a pupil mask to allow images of bright stars to simultaneously be monitored through two small subapertures separated spatially on a CCD by means of a beam splitter. The advantage of this instrument is that differential image displacements can be measured without impact from telescope tracking errors due to e.g. wind load. By comparing to theoretical calculations of Fried, this allows accurate seeing characterization in terms of the so-called Fried parameter r0 or an equivalent ``seeing'' disk diameter, related to r0 via

An instrument similar to the DIMM, the S-DIMM (Lui & Beckers 2001; Beckers 2002) was built for site testing for the 4-m Advanced Technology Solar Telescope (ATST), but using one-dimensional differential motion of the solar limb, measured through two 5 cm subapertures.
A unique advantage of solar observations is the availability of fine structure for wavefront sensing nearly everywhere on the solar surface. This allows large solar telescopes to operate with adaptive optics systems that lock on the same target as observed with science cameras. A particular problem of wavefront sensing with solar telescopes, however, is that low-contrast granulation structures must be usable as targets and this necessitates the use of a fairly large field-of-view (FOV) for wavefront sensing. An important consequence of this is that contributions from higher layers are averaged over an area that increases with height. This degrades the sensitivity to high-altitude seeing.
Within the framework of a design study for the European Solar Telescope (EST), a program for studying two potential sites, one on La Palma and one on Tenerife, has been initiated. The goal is to characterize the height distribution of contributions to seeing at the two sites and to define requirements for a multi-conjugate adaptive optics (MCAO) system for the EST in good seeing conditions. At present, very little work has been published on characterization of high-altitude seeing based on wavefront sensors operating on solar telescopes. Measurements of scintillation of sunlight with a linear array of detectors have been shown to be sensitive to the height distribution of seeing contributions (Seykora 1993; Beckers 1993, 2002). Because of the integration of contributions to scintillation over the large solid angle subtended by the solar disk, an array of detectors with fairly large baseline is needed to achieve sensitivity up to a height of only 500 m (Beckers 1993). Instrumentation that utilizes this technique, referred to as ``SHAdow BAnd Ranging'' (SHABAR; Beckers 2001) was built to characterize near ground seeing in connection with site testing for the ATST (Hill et al. 2006). A similar instrument, but with much longer baseline (3.2 m) than that used for the ATST, is under construction for EST site testing (Collados, private communication).
The first published Shack-Hartmann (SH) based measurements of high-altitude seeing with solar telescopes are those of Waldmann et al. (2008, 2010 in preparation), based on the covariance of local image displacements from different subapertures of a wide-field wavefront sensor (WFWFS). However, methods that are based on covariances (or correlations) of absolute image displacements are sensitive to tracking errors and vibrations in the telescope (Fried 1975). Waldmann et al. (2008, 2010, in preparation) therefore also implemented modeling of compensation of such image displacements with a tip-tilt mirror and adaptive optics (AO), assumed to correct Zernike aberrations. A technique related to that proposed below is the SLODAR (Wilson 2002) for night-time measurements of seeing. The principle of this instrument is to use the cross-correlation of image motion measured for binary stars with a SH wavefront sensor through different subapertures. To eliminate the impact of telescope guiding errors, the average image motion of both stars measured with all subapertures is subtracted from the image motions of individual subapertures for each exposure separately. However, this procedure also removes the common atmospheric wavefront tilt, averaged over the entire telescope aperture for each of the two stars observed. This introduces an anisoplanatic component of the wavefront (Butterley et al. 2006). As shown by the same authors, this can be compensated for in the analysis of the data, but at the price of making the analysis considerably more complex than in the originally proposed method by Wilson (2002).
In the present paper, we propose a method that is also insensitive to image motion from the telescope or residual errors from a tip-tilt mirror but quite simple to model. The present method relies on measurements of the covariance of differential image displacements (between two subapertures) at different field angles. As we shall see, this approach can be considered as a natural extension of the DIMM and S-DIMM approach to include measurements that are sensitive to the height variation of seeing and we therefore refer to the proposed instrument as S-DIMM+. We show that S-DIMM+ data can be inverted using calculations made by Fried (1975) to model contributions from different layers along the line of sight (LOS). The paper is organized as follows: in Sect. 2, we describe the assumptions made, the method and extend the calculations made by Fried (1975). In Sect. 3, we describe the optical setup and the algorithms used to measure differential image displacements and to compensate for noise bias. In Sect. 4, we describe the results of the first data obtained with the S-DIMM+ installed at the Swedish 1-m Solar Telescope (SST) on La Palma and in Sect. 5 we give concluding remarks about the proposed method and its limitations.
2 Method
We make the following assumptions:- 1.
- a measurement of image position is equivalent to a measurement of the slope of the wavefront over the subaperture;
- 2.
- a measurement of image position averaged over the FOV used is equivalent to averaging the wavefront Zernike tip or tilt over the solid angle corresponding to the subaperture and the FOV;
- 3.
- the atmosphere is modeled as consisting of N discrete (thin) layers;
- 4.
- the contributions from different layers are statistically independent of each other;
- 5.
- the turbulent fluctuations in refractive index giving rise to the inferred wavefront slopes are statistically homogeneous and isotropic within a given layer. These fluctuations can be characterized in terms of a structure function based on Kolmogorov turbulence;
- 6.
- propagation and saturation effects are negligible. For a discussion of these effects on DIMM measurements, see Tokovinin & Kornilov (2007).


![[*]](/icons/foot_motif.png)
![]() |
(1) |
and that of the second measurement corresponds to

![]() |
(2) |
Because of the assumed independence of contributions from different layers, the covariance between


![]() |
(3) |
where

![]() |
|||
![]() |
(4) |
This form of the equation clearly shows the connection to DIMM (Sarazin & Roddier 1990) and S-DIMM measurements. When

Sarazin & Roddier (1990) gave an
approximate equation for estimating the variance of differential image
displacements recorded with two subapertures of diameter D,
separated by a distance s:
![]() |
(5) |
for longitudinal image displacements and
![]() |
(6) |
for transverse image displacements. Here, D is the subaperture diameter and r0 is Fried's parameter. Adopting their notation and that of Fried (1975), we rewrite these equations as
![]() |
= | ![]() |
(7) |
![]() |
= | ![]() |
(8) |
where it is assumed that the two subapertures are separated along the x-axis. The function I is normalized such that it approaches unity when s approaches infinity and is symmetric I(-s/D,0)=I(s/D,0) and



For wavefront sensing with an extended target, the averaging
area corresponds to the sub-pupil area only close to the telescope. The
effective averaging area expands from the pupil and up by an amount
that increases with the FOV used for wavefront sensing. A
reasonable estimate of the effective diameter
can be obtained by calculating the convolution of the binary aperture
and the FOV used for wavefront sensing projected at the height h.
At small heights, the convolved function will be unity over an area
corresponding to the sub-pupil and gradually fall off outside the
sub-pupil. By calculating the area of the convolved binary pupil and
FOV and equating that to
,
an effective diameter
can be defined. A good approximation is to set
to the maximum of D and
,
where
is the (average) diameter of the FOV. At large heights,
is much larger than the sub-pupil diameter D. At a
distance of 30 km and with a FOV diameter of
arcsec,
we have
m,
which is 8 times larger than the subaperture diameter D=0.098 m
used for recording data. The averaging effect of the large FOV used
thus has strong effect on the determination of r0
from differential image displacements measurements for the higher
layers. In particular, we should not expect the method to work well, or
even at all, when
is larger than r0. This
``cone effect'' is similar to that of measurements of the integrated
scintillation from the entire solar disk (Beckers 1993) but of
much reduced magnitude since the SH measurements use a typical FOV of
5-6 arcsec diameter, whereas the solar disk subtends a
diameter 30 times larger.
We conclude that we can use the theory developed by Fried (1975) for
modeling differential image displacements measured with the proposed
method by simply replacing s with
and the pupil diameter D with an effective diameter
.
To make the averaging area roundish, we simply apply an approximately
round binary mask when measuring image displacements from the
granulation images with cross-correlation techniques. Combining
Eqs. (4), (7) and (8), we now obtain
![]() |
(9) |
![]() |
(10) |
where
![]() |
= | ![]() |
|
![]() |
(11) |
![]() |
|||
![]() |
(12) |
The coefficients cn are given by
![]() |
(13) |
expressed in terms of Fried's parameter r0. We can also express the results in terms of the turbulent strength of each layer,

![]() |
(14) |
where Cn2(hn) is the atmospheric structure constant and

![]() |
(15) |
Figure 2 shows the expected theoretical covariance functions given by Eqs. (11) and (12) for single seeing layers at different heights. We have made these calculations by assuming a 5.5 arcsec diameter for the FOV used by wavefront sensing. We assumed ten subapertures of 9.8 cm diameter each across the 98 cm SST pupil diameter, giving a total of 85 well illuminated subapertures within the pupil. The maximum field angle of 46.4 arcsec corresponds to the WFWFS built for the Swedish 1-m Solar Telescope. The calculations were made for heights h= 0.0, 0.5, 1.5, 2.5, 3.5, 4.5, 6.0, 9.5, 16 and 30 km. From these covariance functions we conclude that the S-DIMM+ should be able to distinguish seeing at the pupil (h=0) and at a height of about 500 m above the pupil and that the angular resolution is adequate to allow measurements up to a height of about 20-30 km. However, the similarity between the covariance functions at 16 and 30 km height clearly demonstrates poor height resolution at these heights. This is a direct consequence of the large FOV used for wavefront sensing. As can be seen in the figure, the minimum height for which r0 can be measured is set by the maximum field angle while the maximum height for which meaningful inversions can be made is set by the diameter of the FOV (Wilson 2002). A particular feature in the covariance functions shown is the tilted dark line, marking minimum covariance. This corresponds to




![]() |
Figure 1:
Layout of the relation between the wavefront sensor geometry and the
contributions to the two differential wavefront slope (image
displacement) measurements from a height h. The
separation between the two subapertures (indicated as heavy black
lines) is s and the relative field angle between
the two sub-fields measured is |
Open with DEXTER |
![]() |
Figure 2:
Theoretical covariance functions, given by Eqs. (11)
and (12), as function of separation s
between the subapertures (increasing upwards in each sub-panel) and
field angle difference |
Open with DEXTER |
3 Implementation
3.1 Wavefront sensor description
![]() |
Figure 3:
The upper figure shows the layout of the 85 fully
illuminated hexagonal subapertures within the 98-cm SST aperture,
indicated with the circle shown. Also indicated are two subapertures (sr1
and sr2),
corresponding to selected reference subimages with
high rms contrast. Arrows point to two subapertures (s=0
and s) for which differential image shifts are
measured with cross-correlation techniques. The mid panel shows the
corresponding subimages with masks (not to scale)
indicating two subfields at field angles separated
by |
Open with DEXTER |


3.2 Image shift measurements
The lower panel in Fig. 3
shows a subimage with granulation, recorded with
the WFWFS through one of its 85 subapertures. The subimage shown
consists of pixels,
corresponding to
arcsec.
In the left- and right-hand parts of that panel are indicated a
roundish mask, outlining two subfields at
different field angles
,
each with a diameter of approximately 16 pixels, or
arcsec.
The granulation pattern within a mask of this and another subimage from
another subaperture is used to measure differential image shifts
between two subapertures, as follows:
With the mask M(x,y)
at the first subimage fixed, the mask at the second subimage is moved
by (m, n) pixels
in the (x, y) image
plane, while accumulating the squared intensity difference between the
two images,
![]() |
(16) |
where I1(x,y) and I2(x,y) correspond to the two granulation images and M is unity within its 16 pixel diameter and zero outside. This defines


3.3 Reference image frame selection and averaging
The low contrast (typically 3% rms in good seeing) granulation
images observed through 9.8 cm subaperture and the
relatively large (about 2 arcsec) granules, combined with the
need to use a small FOV for wavefront sensing represents a significant
challenge for wavefront sensing. Smearing of the granulation images by
telescopic or atmospheric aberrations may cause large errors in the
measured differential image shifts, or even complete failures. To
reduce the risk of image shift measurements that fail completely, we do
not perform image shift measurements directly between two arbitrary
subimages. Instead, we use reference images, selected as the subimages
with the highest rms contrast. In Fig. 3, top panel, is
indicated two subapertures (at locations sr1
and sr2)
corresponding to such selected subimages and their relation to the two
subapertures (s=0 and s) for
which differential image shifts are measured. In the mid panel of
Fig. 3
the corresponding subimages and the subfields at
two field angles, outlined with the roundish mask (M),
are indicated schematically. The arrows in the top two panels of
Fig. 3
indicate how image shifts are measured. We first measure the
differential image shift between reference subfield 1 (at sr1)
and the subfield at s=0 and also the image
shift between reference subfield 1 and the subfield at s.
We then calculate the difference between these two measured image
shifts. We can express this operation as
![]() |
= | ![]() |
|
= | ![]() |
(17) |
where

![$[...]_{\rm cc}$](/articles/aa/full_html/2010/05/aa13791-09/img64.png)


3.4 Zero-point references and time averaging
The differential image shift measurements obtained with
cross-correlation techniques suffer from a lack of absolute zero-point
reference. Such an absolute reference is in practice impossible to
define precisely and furthermore not needed. Instead, we rely on the
differential image shifts to average to zero over a sufficiently long
time interval. The WFWFS data collection system is set to record bursts
of 1000 frames, corresponding to approximately 110 s
wavefront data. In the data reduction, we assume that the seeing
induced differential image shift averaged over 110 s is zero
and subtract the average shift measured from the 1000 frames
of the burst. This averaging and bias subtraction is done
separately for each pair of subfields () within each pair
of subimages at s and s=0
and for each of the 4 cross correlation reference images.
This ensures that the measured covariances do not contain products of
averages. Subtracting bias individually for data
from the 4 cross correlation references is not needed for the
covariance functions (we could just subtract the average shift for the
image shifts averaged over the four cross correlation reference
images), but is needed to correctly estimate the noise bias, as
described in the following section.
3.5 Noise bias estimation and compensation
A fundamental limitation of this technique is the strong ground-layer
seeing during day-time and the relatively weak contributions from
higher layers. A weak seeing layer with r0=35 cm
contributes (35/10)5/3=8
times less variance than a seeing layer with r0=10 cm.
The effective wavefront sensing FOV diameter
is 80 cm at 30 km distance (Sect. 2).
According to Eq. (13), the variance contributed from seeing at
30 km distance is thus reduced by approximately a factor
(0.8/0.1)1/3=2 by the averaging effect of the
5.5 arcsec FOV used to measure image displacements.
Measurements of weak high-altitude seeing are therefore quite sensitive
to random errors in the measured image positions, in the following
referred to simply as ``noise''. In particular, this noise produces
bias in the measured covariances that in turn leads to systematic
errors, unless the noise bias is compensated for.
To reduce noise, we repeat each differential image shift
measurement 4 times with 4 different
cross-correlation reference images (Sect. 3.3). The
corresponding image shifts are written for i=1-4
as
![]() |
(18) |
Here



![]() |
= | ![]() |
|
= | ![]() |
||
= | ![]() |
(19) |
Where

![]() |
(20) |

![]() |
(21) |
To evaluate the expression for this noise bias, we assume that the noise of each measurement is uncorrelated with that of other measurements,

![]() |
(22) |
To estimate the noise bias directly from the data, we subtract the first measurement

![]() |
|||
![]() |
(23) |
Evaluating this expression, we obtain
![]() |
(24) |
Forming similar expressions

![]() |
(25) |
Comparing to Eq. (22), this gives the desired estimate of the noise bias

![]() |
(26) |
This noise bias is estimated at each


We note that Eq. (23) is insensitive to any random errors that are common to (the same for) all 4 measurements. Thus, the proposed noise estimation method is useful to indicate the magnitude of random errors in the measured image shifts, in particular in bad seeing, but is not sufficiently accurate to provide robust estimates of the noise bias. Simulations are needed for proper understanding of noise propagation effects.
3.6 Least-squares solution method
To obtain the unknown coefficients cn in Eqs. (9) and (10), we can solve a conventional linear least-squares fit problem by minimizing the badness parameter L, given byL | = | ![]() |
|
![]() |
(27) |
with respect to the coefficients cn. Here, the weight






Minimizing L leads to a linear matrix
equation
for cn.
However, this permits solutions with negative values for cn,
which is clearly not physical. In order to restrict the solutions to
yield positive values for cn,
we make the variable substitution
![]() |
(28) |
(Collados, private communication) and solve the corresponding non-linear least-squares fit problem with respect to the parameters yn. Fits to data obtained sofar indicates excellent convergence properties of the implemented non-linear method.
3.7 Height grid optimization
Good height grids can be found by calculating the inverse of the matrix
,
corresponding to the linear solution for cn,
and choosing a height grid
that minimizes its noise sensitivity (sum of squared elements of the
inverse of
).
Such optimizations show that we should be able to determine
contributions from the pupil plane plus about 8-9 layers above the
pupil with the lowermost layer above the pupil located at a height of
500 m. The maximum height can be 30 km with a FOV of
arcsec,
however the height below that must be located around 16 km to
not cause high noise amplification. The height resolution with which we
can determine seeing contributions from layers above 10 km
with this large FOV is thus strongly limited. Only with a smaller FOV
can the height resolution at large distances be improved. For the
inversions discussed in this paper, we used the height grid defined by h=
0.0, 0.5, 1.5, 2.5, 3.5, 4.5, 6.0, 9.5, 16 and 30 km. We
tested this configuration with input seeing layers at heights in steps
of 250 m from 0 to 30 km height, then solved for
contributions from the 10-layer height grid defined above. For input
heights that matched one of the 10-layer heights, the inversion
recovers the input height and contribution perfectly. When the input
height is in between two of the heights in the inversion model, the
inversion responds by distributing the correct cn's
between the two surrounding layers such that the relative distributions
are in rough proportion to the difference between the true height and
the two surrounding heights in the inversion model. By constraining the
cn values
to be positive, negative overshoot in adjacent layers is prevented.
This is illustrated in Fig. 4,
which shows the response of the inversion to a thin seeing layer
located at variable height
.
Due to the coarse height grid in the upper layers, the integrated
turbulence strength is overestimated by up to 12%. A denser grid would
reduce that overestimate but also increase noise amplification. We
conclude that the method should work well with good input data.
![]() |
Figure 4:
Response of inversion code to a single thin seeing layer of unit
strength (cn=1)
located at variable height ( top panel). The
vertical bars represent the cn
values at different heights (nodes), returned by the inversion code.
The lower panel shows the returned integrated
turbulence strength ( |
Open with DEXTER |
![]() |
Figure 5: The figure shows r0 for the ground-layer (h = 0) versus the integrated r0 for the 9.5, 16 and 30 km layers and demonstrates that all inversions that return small values for r0 at the highest layers correspond to poor ground-layer seeing (small r0 at h = 0). |
Open with DEXTER |
![]() |
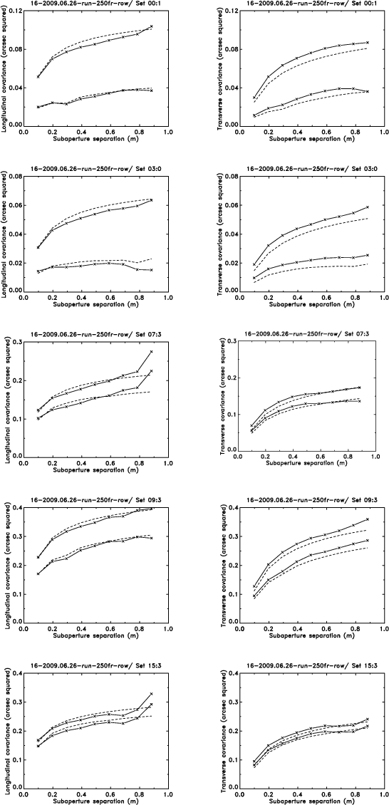
Figure 6:
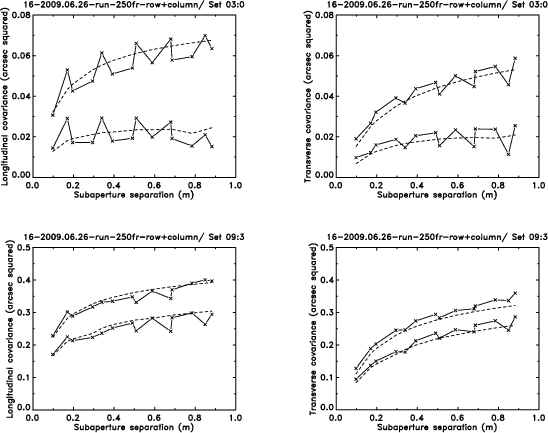
Covariance functions for 5 data sets processed (00:1, 03:0, 07:3, 09:3
and 15:3). Within each of the panels is shown the observed (
top) and modeled ( bottom) covariance.
Longitudinal covariances are shown in the left column, transverse
covariances in the right column. The separation between the
subapertures s increases upwards and the field
angle |
Open with DEXTER |
![]() |
Figure 7:
Plots of measured (solid) and modeed (dashed) longitudinal (left
column) and transverse (right column)
covariance as function of pupil separations s at
field angles |
Open with DEXTER |
![]() |
Figure 8:
Plots of measured (full) and modeled (dashed) longitudinal and
transverse covariance as function of pupil separations s
at field angles |
Open with DEXTER |
![]() |
Figure 9:
Noise covariance and related data. The first plot
shows the measured covariance (upper) and 10 times
the measured noise covariance (lower) at s
= 0.098 m as function of field angle |
Open with DEXTER |
4 First results
We recorded 20 bursts of wavefront data, each consisting of 1000 exposed frames, between 8:40 and 15:00 UTC on June 26, 2009. Each burst of 1000 frames took approximately 110 s to record. After estimating and removing noise bias from each 1000 frame burst, the noise compensated data was analyzed in blocks of 250 frames, corresponding to about 27 s of seeing data. While recording this wavefront data (without AO), the SST was used to record science data with its AO system in closed loop. The initial seeing quality was considered good. Around 11 UTC, the seeing started to deteriorate rapidly and science observations were stopped at 11:03 UTC.
Due to problems with data acquisition, several data sets (16-19) contained corrupt images and were not processed.
A fundamental aspect of the system is under what seeing conditions reliable inversions are possible. Several inversions return very low values for r0 in the uppermost layers. Figure 5 shows r0 for the ground-layer (h=0) versus the integrated r0 for the 9.5-30 km layers. The dashed vertical line corresponds to r0=7.5 cm for h=0, the dashed horizontal line to r0=25 cm at the 9.5-30 km layers. This figure shows that the smallest values for r0 at the highest layers are all associated with poor ground-layer seeing. We conclude that inversions that return r0 values at h=0 smaller than 7.5 cm, or about 75% of the subaperture diameter, should be rejected and excluded these data sets from further analysis.
Table 1:
Signal to noise ratio for covariance functions measured at ,
arcsec and for
de-correlated sub-fields (
).
We now take a closer look at the data and the inversions. The
covariance functions, defined in Eq. (3), were evaluated at
steps of 5 pixels (1.72 arcsec) with the maximum field angle
limited to 46.4 arcsec. Noise bias was subtracted from the
data, as described in Sect. 3.5. The so-obtained covariance
functions for 5 data sets recorded between 08:40 and
11:01 UTC (zenith distance in the range 30-61.0 deg)
are shown in Fig. 6.
together with the modeled covariance functions. The data and fits shown
in this figure and in Fig. 7
are based on covariance functions calculated along rows of microlenses
and corresponding sub-fields only (see Fig. 3), in Fig. 8 are shown plots of
observed and fitted data based on covariance functions calculated along
both rows and columns of microlenses and sub-fields. The height grid
used with these inversions has nodes at 0.0, 0.5, 1.5, 2.5,
3.5, 4.5, 6.0, 9.5, 16 and 30 km. Comparing Figs. 6 to 2, the top two
measured covariance functions indicate clear signatures of a ground
layer plus one dominating high-altitude layer (note the slanted dark
line in these panels). In Fig. 7 are shown plots of
these measured and modeled covariance functions as functions of s
for field angles
of 0 and 36.1 arcsec, where the second field angle is
large enough to give very small influence from high-altitude seeing. It
is evident that the fits are in general good, but that the measured
transverse covariance is often too strong relative to that of the
longitudinal covariance.
The jagged appearance of the plots in Fig. 8 are due to differences in measured covariances from rows and columns. This appears to indicate turbulence that is not isotropic above the ground layer. We have made inversions with and without the column covariances included and established that the overall conclusions drawn in this paper are robust, even though systematic differences between the two types of inversions exist.
4.1 Noise measurements
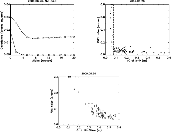
In Fig. 9
(left panel) is shown the variation of the covariance (upper curve) and
noise covariance (lower curve, multiplied by a factor 10) with
,
at a separation s=0.098 m for data
set 3:0. Note in particular, that the noise covariance at s=0
is about 6% of the measured variance at
,
which is similar to the expected contribution from a seeing layer with r0=35 cm
at h=30 km when r0=10 cm
at h=0 (see Sect. 3.5). Note also that the
noise covariance drops off with angle in a way that is reminiscent of
high-altitude seeing. However, the noise covariance drops by a factor
of nearly 8 at
arcsec,
such that the noise covariance is negligible already at this field
angle separation. This rapid decorrelation of the noise occurs on a
scale that is similar to the diameter of individual granules, rather
than on a scale that corresponds to the diameter of the FOV.
Table 1 summarizes the S/N,
defined as the ratio of the measured covariance (corrected for noise
bias) to the noise covariance, for a few selected data sets. In this
table, covariances used to calculate S/N
have been averaged over all s in the range
0.098-0.784 m. The small S/N
for data set 04:2 primarily comes from the excellent ground-layer
seeing (r0=42 cm)
for this data set. Data set 20:0 corresponds to one of the data sets
rejected due to bad ground-layer seeing. Data set 22:1 corresponds to
relatively poor seeing, r0=7.7 cm
for h=0 and r0=6.9 cm
integrated over the atmosphere, but evidently the wavefront data
correspond to excellent S/N at
all angles
.
The mid panel of Fig. 9 shows the variation
of the image position noise, calculated as the square root of the noise
covariance at s=0.098 m and
,
with r0 at h=0.
Quite clearly, the image position noise
increases dramatically when r0
for the ground layer is less than about
7 cm. This renders wavefront sensor measurements essentially
useless when
r0<7.5 cm, as
concluded already from Fig. 5.
Finally, the last panel in Fig. 9 shows a relation
between the image position noise and r0
at the highest layers, clearly demonstrating that anisoplanatism from
high-altitude seeing causes problems with the large FOV used for
wavefront sensing. When r0
is larger than about 45 cm, the rms noise is about
0.05 arcsec but when r0
is 35 cm, the rms noise is doubled. Since our FOV corresponds
to a diameter of 40 cm at 16 km, where most of the
high-layer seeing originates, our results confirm the expectation that
the FOV should be smaller than r0
at the height for which r0
is determined, else wavefront sensor noise increases rapidly with
decreasing r0.
![]() |
Figure 10:
Summary of results. The variations of the turbulence strength |
Open with DEXTER |
4.2 Discussion of results
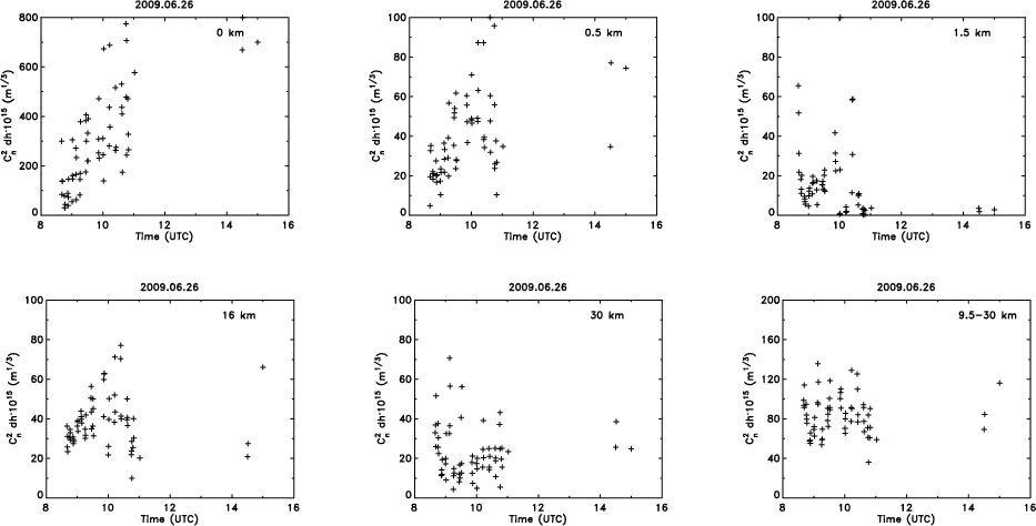
Figures 10 and 11 summarize some of the results. These two figures are based on fits to measured covariances along both horizontal rows and vertical columns, corrected for noise bias (Sect. 3.5).
The top row of Fig. 10
shows the variation of the turbulence strength
with time for the three near-ground layers (h=0, 0.5
and 1.5 km). The dominant layer is obviously at h=0,
and its variation with time clearly indicates gradually degrading
seeing. The large scatter is real and illustrates the intermittent
nature of the seeing, when averaged over relatively short time
intervals (here, 27 s), for these particular observations. The
seeing at 500 m altitude shows a similar trend of degrading
with time, but with turbulence strength that is
typically 8 times weaker than those at h=0.
The seeing layer at 1.5 km is even weaker than that at
0.5 km.
The time evolution of seeing at the two highest layers are shown in the lower row of plots in Fig. 10. Except for a few data sets, the seeing contributions are consistently small from the 30 km layer. During this period, the high-altitude seeing primarily comes from the 16 km layer. The combined r0 for the 9.5, 16 and 30 km layers averages at 37 cm. The accuracy of these estimates of high-altitude seeing is difficult to assess without independent verification. Images recorded with the SST (diameter 98 cm) generally show small-scale geometrical distortion but only minor small-scale differential blurring over the FOV, except when the Sun is at large zenith distance or when observations are made at short wavelengths around 400 nm. This is consistent with r0 values of about one third of the SST diameter or larger, in agreement with the values found from this data. As regards the actual height of this seeing layer, upper-air sounding data above Tenerife at 0:00 and 12:00 UTC for this day (http://weather.uwyo.edu/upperair/sounding.html, Guimar-Tenerife) show a temperature rise above 17-18 km altitude, indicating the location of the tropopause, and enhanced wind speeds between roughly 10.5 and 15.5 km, peaking at 14 km, altitude. If the latter layer is where the high-altitude seeing originates and if this is at the same height above La Palma as above Tenerife, then the height of that seeing layer should be about 11.5 km above the telescope. This corresponds to a distance of 23 km for the first data sets recorded at a zenith distance of 60 deg. This is midways between the two uppermost nodes in our inversion model.
However, the seeing estimates at 30 km are very
uncertain and our confidence in these estimates rely on the
applicability of the weights ,
defined in Sect. 3, and on the noise bias estimation and subtraction
method outlined in Sect. 3.1. Setting all weights
equal to unity reduces the average estimates of r0
at 30 km by about a factor of two, but has only a minor effect
on r0 at all other heights.
Similarly, reducing the weight W at
by a factor of two also strongly increases the estimated turbulence
strength at 30 km but has a small effect at other heights.
These and other tests indicate uncomfortably large uncertainties of our
estimates of seeing at 30 km distance, most likely primarily
related to the large FOV used.
An indication, based on SST observations, of seeing
contributions from intermediate heights is the
absence of noticeable large-scale variations of
image quality over a science FOV of typically 1 arcmin. This
suggests that the dominant seeing is close to the ground layer and at
high altitude and that r0 is
significantly larger than 30 cm for intermediate
layers. Our data are consistent with this. The solid curve in
Fig. 11
shows the turbulence strength
as function of height, averaged over all data from 26
June 2009. Contributions to the seeing from heights in the
range 1.5-6 km are obviously small for this data set. A
conspicuous feature in Fig. 11
is the increased turbulence strength at 3.5 km, suggesting a
weak seeing layer. This feature may not be real, but an artifact of too
dense grid points in this height range. We repeated the inversions
after replacing the two nodes at 2.5 and 3.5 km with a single
node at 3 km, but leaving the remaining nodes unchanged. The
result is indicated with a dashed line in Fig. 11 and shows a
smoother variation of
with height.
4.3 Extension of the method
In the present paper, we have calculated covariance functions from
measured x,y positions along
rows and columns of subimages and subfields. This was done in order to
model the x,y positions
in terms of purely longitudinal and transverse image displacements. The
advantage of this approach is simplicity as regards modeling but the
disadvantage is that covariances can only be calculated from pairs of
subimages and subfields that are on the same row or column of
subapertures. A more appealing approach is to process all data without
these restrictions. This can be done by calculating Fried's function
for arbitrary angles
,
defining the angle between a line connecting the two subaperture and
that of the subfields measured. The measured x,y-positions
should first be rotated onto the line connecting the two apertures at
the pupil plane. This angle rotates with height h.
A subfield FOV defined by a separation s at the
pupil plane and field angles
and
are projected at (
)
at a height h and
which at large heights approaches
.
Thus virtually every subfield and every subaperture needs a unique
basis function for every height layer in the model. By pre-calculating
and storing the result as a table, these basis functions can be
calculated by interpolation.
5 Conclusions
The proposed method is based on measurements of differential
measurements of seeing-induced image displacements, making it
insensitive to telescope tracking errors, vibrations or residual errors
from a tip-tilt mirror. The numerical computations of Fried (1975) can be used
to provide the theoretical covariance functions needed, requiring very
small amounts of software development and avoiding the need for
calculation of covariance functions via numerical turbulence
simulations. The finite FOV used for wavefront sensing with solar
granulation is accounted for in an approximate way by defining an
effective subaperture diameter ,
increasing with height.
![]() |
Figure 11:
Summary of results. Shown is |
Open with DEXTER |
In terms of data collection, the proposed method is identical to the SLODAR method (Wilson 2002), also employing Shack-Hartmann wavefront sensor data. However, the SLODAR method uses averages of measured image shifts from all subapertures for each of the (two) stars observed to eliminate the effects of telescope guiding errors. Eliminating the anisoplanatism introduced by this averaging requires a fairly elaborate analysis of the data (Butterley et al. 2006).In terms of analysis, the present method appears simpler.
Based on simulations and data processed from a single day of
observations, we conclude that the proposed method combined with
wavefront data over about arcsec subfields
allows contributions to seeing from about 9-10 layers,
stretching from the pupil up to 16-30 km distance from the
telescope. At distances up to about 6 km, measurements with
good S/N and a height resolution
up to nearly 1 km appears possible. The 5.5 arcsec
FOV used for wavefront sensing leads to poor sensitivity to
high-altitude seeing and strongly reduced height resolution beyond
10 km. At a distance of 30 km, the FOV used
corresponds to averaging wavefront information over a diameter of
80 cm. Our estimates of r0
are very uncertain at this height and clearly the FOV needs to be
reduced for seeing measurements at such large distances to be
convincing. We also have established empirically that detecting seeing
from high layers with the present system requires r0
to be larger than approximately 7.5 cm for the ground layer
and that the FOV should be such that the corresponding averaging area
is smaller than r0 at the
high (10-30 km) layers.
An important limitation is wavefront sensor noise, leading to bias in the measured covariances. By using image position measurements from 4 cross-correlation reference images, wavefront sensor noise is reduced and residual noise bias is estimated directly from the data and compensated for. However, the method used for estimation of noise bias relies on random errors from the 4 measurements to be independent and the method is furthermore ``blind'' to random errors that are the same for the 4 measurements. Noise propagation clearly needs further investigation.
The present method relies on wavefront tilts inferred from
displacements of solar granulation images measured using
cross-correlation techniques. The accuracy of these techniques for
wavefront sensing is under investigation by means of simulations
(Löfdahl, in preparation). A weakness of such conventional techniques
is that the image displacement is assumed to be constant within the FOV
used for cross-correlations. This corresponds to modeling the wavefront
as having pure tip and tilt without high-order curvature. At the
intersection of adjacent subfields, this corresponds to discontinuous
gradients of the wavefront. Cross-correlations with overlapping
sub-fields lead to multiple values of the wavefront gradient where
subfields overlap. In addition to leading to inconsistencies and poor
estimates of wavefront gradients, the use of conventional
cross-correlation techniques should also lead to noisier measurements
when differential seeing within the FOV is strong. A more satisfactory
approach may be to use a 2D Fourier expansion of the image distortions,
and
over the entire FOV and to use that representation to calculate the local
gradients of the wavefront. The highest order Fourier components would
be limited by sampling and the FOV. This would be quite similar to
fitting SH wavefront data to low-order Zernike or Karhunen-Loeve
expansions, but over a rectangular FOV instead of over a round pupil. A
simpler approach may be to use the 16 pixel FOV
cross-correlations as initial estimates and then refine the estimate
with a 8-12 pixel FOV, restricting the corrections of the
image position
shifts to be small.
We believe that seeing measurements from the ground layer may be possible with the proposed method and appropriate noise bias compensation even when r0 is somewhat less than 7.5 cm but that little or no information can be obtained from the higher layers in such conditions. The major problem is the relatively poor daytime seeing, limiting the quality and number of seeing estimates for the highest layers. Possibly, the Moon can be used as widefield wavefront sensor target for verification of day-time estimates of high-altitude seeing at night, but with obvious limitations in image scale, exposure time and S/N requiring careful consideration.
AcknowledgementsThe wavefront sensor optics was designed by Bo Lindberg at Lenstech AB and the wavefront sensor mechanics was designed and built by Felix Bettonvil and other members of the Dutch Open Telescope (DOT) team. The CCD camera software was written by Michiel van Noort. We are grateful for their help and assistance. We are also grateful for several valuable comments and suggestions by A. Tokovinin and M. Collados.
This research project has been supported by a Marie Curie Early Stage Research Training Fellowship of the European Community's Sixth Framework Programme under contract number MEST-CT-2005-020395: The USO-SP International School for Solar Physics.
This work has been partially supported by the European Commission through the collaborative project 212482 'EST: the large aperture European Solar Telescope Design Study (FP7 - Research Infrastructures).
This work has been supported by a planning grant from the Swedish Research Council.
References
- Beckers, J. M. 1993, Sol. Phys., 145, 399 [NASA ADS] [CrossRef] [Google Scholar]
- Beckers, J. M. 1999, Third Advances in Solar Physics Euroconference: Magnetic Fields and Oscillations, 184, 309 [NASA ADS] [Google Scholar]
- Beckers, J. M. 2001, Exp. Astron., 12, 1 [NASA ADS] [CrossRef] [Google Scholar]
- Beckers, J. 2002, Astronomical Site Evaluation in the Visible and Radio Range, 266, 350 [Google Scholar]
- Butterley, T., Wilson, R. W., & Sarazin, M. 2006, MNRAS, 369, 835 [NASA ADS] [CrossRef] [Google Scholar]
- Fried, D. L. 1975, Radio Science, 10, 7 [Google Scholar]
- Hill, F., Beckers, J., Brandt, P., et al. 2006, Proc. SPIE, 6267 [Google Scholar]
- Lui, Z., & Beckers, J. M. 2001, Sol. Phys., 198, 197 [Google Scholar]
- Sarazin, M., & Roddier, F. 1990, A&A, 227, 294 [NASA ADS] [Google Scholar]
- Seykora, E. J. 1993, Sol. Phys., 145, 389 [NASA ADS] [CrossRef] [Google Scholar]
- Tokovinin, A., & Kornilov, V. 2007, MNRAS, 381, 1179 [NASA ADS] [CrossRef] [Google Scholar]
- Tokovinin, A., Kornilov, V., Shatsky, N., & Voziakova, O. 2003, MNRAS, 343, 891 [NASA ADS] [CrossRef] [Google Scholar]
- Waldmann, T. A., Berkefeld, T., & von der Lühe, O., II 2008, Proc. SPIE, 7015 [Google Scholar]
- Wilson, R. W. 2002, MNRAS, 337, 103 [NASA ADS] [CrossRef] [Google Scholar]
- Wilson, R. W., Butterley, T., & Sarazin, M. 2009, MNRAS, 399, 2129 [NASA ADS] [CrossRef] [Google Scholar]
- Yi, Z., Darvann, T., & Molowny-Horas, R. 1992, LEST Foundation Technical Report, 56, 1 [NASA ADS] [Google Scholar]
Footnotes
- ...h
- We will consistently refer to the heights hn
of seeing layers above the telescope as if observations were made with
the Sun at zenith. For observations made at a zenith distance z, heights appearing in equations below need to be divided by
to correspond to the actual distance between the telescope and the seeing layer.
- ... height
- This plot is similar to that showing the height response for the multi-aperture scintillation sensor (MASS) (Tokovinin et al. 2003).
All Tables
Table 1:
Signal to noise ratio for covariance functions measured at ,
arcsec and for
de-correlated sub-fields (
).
All Figures
![]() |
Figure 1:
Layout of the relation between the wavefront sensor geometry and the
contributions to the two differential wavefront slope (image
displacement) measurements from a height h. The
separation between the two subapertures (indicated as heavy black
lines) is s and the relative field angle between
the two sub-fields measured is |
Open with DEXTER | |
In the text |
![]() |
Figure 2:
Theoretical covariance functions, given by Eqs. (11)
and (12), as function of separation s
between the subapertures (increasing upwards in each sub-panel) and
field angle difference |
Open with DEXTER | |
In the text |
![]() |
Figure 3:
The upper figure shows the layout of the 85 fully
illuminated hexagonal subapertures within the 98-cm SST aperture,
indicated with the circle shown. Also indicated are two subapertures (sr1
and sr2),
corresponding to selected reference subimages with
high rms contrast. Arrows point to two subapertures (s=0
and s) for which differential image shifts are
measured with cross-correlation techniques. The mid panel shows the
corresponding subimages with masks (not to scale)
indicating two subfields at field angles separated
by |
Open with DEXTER | |
In the text |
![]() |
Figure 4:
Response of inversion code to a single thin seeing layer of unit
strength (cn=1)
located at variable height ( top panel). The
vertical bars represent the cn
values at different heights (nodes), returned by the inversion code.
The lower panel shows the returned integrated
turbulence strength ( |
Open with DEXTER | |
In the text |
![]() |
Figure 5: The figure shows r0 for the ground-layer (h = 0) versus the integrated r0 for the 9.5, 16 and 30 km layers and demonstrates that all inversions that return small values for r0 at the highest layers correspond to poor ground-layer seeing (small r0 at h = 0). |
Open with DEXTER | |
In the text |
![]() |
Figure 6:
Covariance functions for 5 data sets processed (00:1, 03:0, 07:3, 09:3
and 15:3). Within each of the panels is shown the observed (
top) and modeled ( bottom) covariance.
Longitudinal covariances are shown in the left column, transverse
covariances in the right column. The separation between the
subapertures s increases upwards and the field
angle |
Open with DEXTER | |
In the text |
![]() |
Figure 7:
Plots of measured (solid) and modeed (dashed) longitudinal (left
column) and transverse (right column)
covariance as function of pupil separations s at
field angles |
Open with DEXTER | |
In the text |
![]() |
Figure 8:
Plots of measured (full) and modeled (dashed) longitudinal and
transverse covariance as function of pupil separations s
at field angles |
Open with DEXTER | |
In the text |
![]() |
Figure 9:
Noise covariance and related data. The first plot
shows the measured covariance (upper) and 10 times
the measured noise covariance (lower) at s
= 0.098 m as function of field angle |
Open with DEXTER | |
In the text |
![]() |
Figure 10:
Summary of results. The variations of the turbulence strength |
Open with DEXTER | |
In the text |
![]() |
Figure 11:
Summary of results. Shown is |
Open with DEXTER | |
In the text |
Copyright ESO 2010
Current usage metrics show cumulative count of Article Views (full-text article views including HTML views, PDF and ePub downloads, according to the available data) and Abstracts Views on Vision4Press platform.
Data correspond to usage on the plateform after 2015. The current usage metrics is available 48-96 hours after online publication and is updated daily on week days.
Initial download of the metrics may take a while.