Issue |
A&A
Volume 513, April 2010
|
|
---|---|---|
Article Number | A13 | |
Number of page(s) | 15 | |
Section | Stellar structure and evolution | |
DOI | https://doi.org/10.1051/0004-6361/200913860 | |
Published online | 14 April 2010 |
Magnetic Doppler imaging of
Canum Venaticorum in all four Stokes parameters![[*]](/icons/foot_motif.png)
Unveiling the hidden complexity of stellar magnetic fields
O. Kochukhov1 - G. A. Wade2
1 - Department of Physics and Astronomy, Uppsala University, Box 516, Uppsala 751 20, Sweden
2 - Department of Physics, Royal Military College of Canada, Box 17000, Kingston, Ontario K7K 4B4, Canada
Received 13 December 2009 / Accepted 28 January 2010
Abstract
Context. Strong organized magnetic fields have been studied
in the upper main sequence chemically peculiar stars for more than half
a century. However, only recently have observational methods and
numerical techniques become sufficiently mature to allow us to record
and interpret high-resolution four Stokes parameter spectra, leading to
the first assumption-free magnetic field models of these stars.
Aims. Here we present a detailed magnetic Doppler imaging
analysis of the spectropolarimetric observations of the prototypical
magnetic Ap star CVn.
This is the second star for which the magnetic field topology and
horizontal chemical abundance inhomogeneities have been inferred
directly from phase-resolved observations of line profiles in all four
Stokes parameters, free from the traditional assumption of a low-order
multipolar field geometry.
Methods. We interpret the rotational modulation of the circular and linear polarization profiles of the strong Fe II and Cr II lines in the spectra of CVn recorded with the M US IC OS
spectropolarimeter. The surface abundance distributions of the two
chemical elements and a full vector map of the stellar magnetic field
are reconstructed in a self-consistent inversion using our
state-of-the-art magnetic Doppler imaging code I NVERS10.
Results. We succeeded in reproducing most of the details of the available spectropolarimetric observations of CVn
with a magnetic map which combines a global dipolar-like field topology
with localized spots of higher field intensity. We demonstrate that
these small-scale magnetic structures are inevitably required to fit
the linear polarization spectra; however, their presence cannot be
inferred from the Stokes I and V observations alone.
We also found high-contrast surface distributions of Fe and Cr, with
both elements showing abundance minima in the region of weaker and
topologically simpler magnetic field.
Conclusions. Our magnetic Doppler imaging analysis of CVn
and previous results for 53 Cam support the view that the upper
main sequence stars can harbour fairly complex surface magnetic fields
which resemble oblique dipoles only at the largest spatial scales.
Spectra in all four Stokes parameters are absolutely essential to
unveil and meaningfully characterize this field complexity in Ap stars.
We therefore suggest that understanding magnetism of stars in other
parts of the H-R diagram is similarly incomplete without investigation
of their linear polarization spectra.
Key words: polarization
- stars: atmospheres
- stars: chemically peculiar
- stars: individual: CVn
- stars: magnetic field
1 Introduction
Magnetic fields play a fundamental role in the physics of the atmospheres of a significant fraction of stars on the H-R diagram. The magnetic fields of intermediate-mass upper main sequence stars (the Ap stars) have very different characteristics, and probably a different origin, than those of late-type stars like the sun (e.g. Mestel 2003). In Ap stars, the large-scale surface magnetic field is observed to be static on timescales of at least many decades, and appears to be ``frozen'' into a rigidly rotating atmosphere. The magnetic field is globally organized, permeating the entire stellar surface, with a relatively high field strength (typically of a few hundreds up to a few tens of thousands of Gauss). Magnetic field appears to be present in only a small fraction of intermediate-mass main sequence stars, and its presence strongly influences energy and mass transport (e.g., diffusion, convection and weak stellar winds) within the atmosphere. The characteristic consequence of this interaction is the presence of strong chemical abundance non-uniformities in photospheric layers.
The weight of opinion holds that the magnetic fields of upper main sequence stars are primarily fossil fields - the slowly-decaying remnants of magnetic field accumulated or generated during the complex process of star formation. In this framework, the global and local properties of the magnetic field (the mean intensity, obliquity relative to the stellar rotation axis, and large-scale topology; but also its smaller-scale structure) may well provide unique information about invisible interior processes which have occurred or are occurring within the star: differential rotation, meridional circulation currents, global- and local-scale dynamo action, etc. Therefore a knowledge of the detailed magnetic field structure of Ap stars - on both large and small scales - can contribute significantly to understanding the physics of such stars.
The characteristics of magnetic fields in upper main sequence
stars are inferred from the influence of the Zeeman effect on their
spectra. Even a relatively weak magnetic field (a few tens of
Gauss) will clearly imprint its presence on the local emergent spectrum
of a star, by splitting and polarizing line profiles. The large
majority of magnetic field data in the literature measure the
longitudinal Zeeman effect via induced circular polarization within
photospheric absorption lines, as quantified by the mean longitudinal
magnetic field. While such measurements represent a powerful tool for
detecting organized magnetic fields, they are relatively insensitive to
the topology of the magnetic field, typically constraining the strength
and orientation of the field's dipole component. If line circular
polarization (the V Stokes
parameter) is measured using high spectral resolving power, additional
detail can be recovered by exploiting the rotational Doppler effect via
Magnetic Doppler Imaging (MDI; see Kochukhov & Piskunov 2002; Piskunov & Kochukhov 2002). This was demonstrated by Kochukhov et al. (2002), who mapped the magnetic field of the Ap star CVn using a timeseries of high-resolution Stokes I and V line profiles, interpreted using MDI. To converge to a unique solution, the map of
CVn
was forced to resemble, to the greatest extent possible given the
constraints imposed by the data, a non-axisymmetric multipolar
configuration. The resulting map showed a dominant dipole component,
with a small quadrupolar contribution. Overall, the map was quite
smooth, in agreement with expectations.
Additional magnetic field structural detail is accessible through the spectral line linear polarization (Q and U Stokes parameters) induced by the transverse Zeeman effect. As demonstrated by Leroy (1995), Zeeman linear polarization, even when measured photometrically using broad bandpasses, provides information about the smaller-scale structure of the magnetic field that is not available from circular polarization. Wade et al. (2000b) extended these observational investigations to their natural culmination by obtaining high-precision measurements of Zeeman polarization in both circular and linear polarization (i.e. in all four Stokes I, V, Q and U parameters) for a sample of about 15 Ap stars, with a resolving power sufficient to distinguish the variation of the polarization across individual spectral lines. For about a dozen of these stars, multiple Stokes IQUV sequences were acquired, allowing a characterisation of the longitudinal and transverse components of the magnetic field on different regions of the stellar surface. For the A2p star 53 Cam, Wade et al. (2000b) and Bagnulo et al. (2001) demonstrated that the existing low-order multipolar models of the magnetic field were unable to reproduce the observed Stokes Q and U spectra, although they acceptably matched the Stokes V spectra. They interpreted their results as indicating that the magnetic topology of 53 Cam was significantly more complex than that envisioned by the models.
To test this proposal, Kochukhov et al. (2004b) applied MDI to the 53 Cam data of Wade et al. (2000b) and Bagnulo et al. (2001) - the first attempt to reconstruct a stellar magnetic field using measurements of spectral lines in the four Stokes parameters. Kochukhov et al. were able to reproduce the variable intensity and morphology of the polarized line profiles of 3 strong Fe II lines throughout the star's rotational cycle. In agreement with the prediction of Wade et al. (2000b) and Bagnulo et al. (2001), the derived field topology was surprisingly complex. In particular, while the radial field exhibited an approximately dipolar behaviour, the tangential field and the field modulus showed structure on much smaller scales.
In the context of their analysis of 53 Cam, Kochukhov et al.
demonstrated that the constraint on the transverse field provided by
linear polarization measurements was essential to detecting the fine
structure of the field. It was therefore natural to revisit the
analysis of CVn, to examine to what extent the smooth map derived by Kochukhov et al. (2002) is attributable to their lack of linear polarization data. This is the topic of the present paper. In Sect. 2 we describe the spectropolarimetric observations from which the MDI maps are derived. In Sect. 3 we determine the physical parameters of the star, with the particular goal of constraining the
orientation of the stellar rotation axis with respect to the line-of-sight. In Sect. 4
we review basic principles of MDI, and describe the spectral lines
used, their associated atomic data, and the determination of global
parameters to be used in the mapping procedure. In Sect. 5
we describe the results of the mapping, paying particular attention to
the significance and robustness of small-scale structures detected in
the field modulus map.
Table 1:
Four Stokes parameter
spectropolarimetric observations of CVn used for Magnetic Doppler Imaging.
2 Spectropolarimetric observations
The main set of spectropolarimetric observations of CVn was obtained in 1997-1999 using the (now decommissioned) M US IC OS spectropolarimeter at the 2-m Bernard Lyot Telescope (TBL) at Pic du Midi observatory.
The M US IC OS instrument consists of a table-top cross-dispersed échelle spectrograph (Baudrand & Bohm 1992),
fed by optical fibres directly from a Cassegrain-mounted polarization
analysis module. This instrument allows the acquisition of a stellar
spectrum in a given polarization state (Stokes V, Q or U) throughout the spectral range 450 to 660 nm in a single exposure. The resolving power is
35 000. The optical characteristics of the
spectropolarimeter and corresponding observing procedures are described
in detail by Donati et al. (1999).
When M US IC OS is
used for polarization observations, starlight enters the polarimeter at
the Cassegrain focus. The beam then may optionally pass through a
rotatable
retarder (in the case of Stokes V observations) or not (in the case of Stokes Q or U
observations). The beam then intersects a Savart-type beamsplitter
which separates the stellar light into two beams which are respectively
polarized along and perpendicular to the instrumental reference
azimuth. The analyzed beams are then injected into the double 50
m
fibre, which transports the light to the spectrograph. Spectra in both
orthogonal polarizations are thereby recorded simultaneously on the
thinned
pixel SITE CCD detector.
A single polarimetric observation, yielding an intensity spectrum and
one other Stokes parameter, consists of a sequence of 4 subexposures,
between which the retarder (for circular polarization Stokes V) or the polarimetric module itself (for linear polarizations Stokes Q and U) is rotated by
following the procedure suggested by Semel et al. (1993).
This has the effect of exchanging the beams within the whole instrument
and switching the positions of the two orthogonally polarized spectra
on the CCD. This observing procedure suppresses all first-order
spurious polarization signatures down to well below the noise level.
Spectra obtained at the TBL using the M US IC OS spectrograph and polarimeter were reduced using the ES PRIT reduction package (Donati et al. 1997). The ES PRIT-reduced
spectra were then post-processed to improve the quality of the
continuum normalization. A full description of the acquisition and
reduction procedure of the M US IC OS observations of CVn is provided by Wade et al. (2000b).
A complete list of the spectropolarimetric observations of CVn analyzed in our study is presented in Table 1.
This table provides information on the UT date of observation, lists
Stokes parameters obtained, their Julian dates, mean rotation phases
and the signal-to-noise ratio. The Stokes V spectrum
recorded on 25 February 1997 was treated separately from the
linear polarization observations on that night due to a gap in
observing time exceeding 1% of the rotation period.
A close examination of the Stokes Q and U profiles obtained on 20 February 1997 (
,
see Wade et al. 2000b),
comparing with the observations closest in phase, suggests that their
signs are inverted. These particular linear polarization spectra were
obtained with an interruption in the observing procedure, which
possibly led to a sign error. We have obtained an additional
observation of
CVn on 26 July 2004, at the rotation phase
.
The Stokes Q and U
profiles from this phase are inverted in comparison to the Feb. 20,
1997 observation and agree with the other spectra obtained in
1997-1999. Consequently, we decided to disregard the linear
polarization spectra from 20 February 1997, using only the Stokes V data from that night.
Thus, in the magnetic DI analysis presented below we have modeled 20
separate phases of partial or complete Stokes parameter observations of
CVn.
For the rotation phases where 2 or 3 intensity profiles were available
with each of the other Stokes parameters, we have constructed an
average Stokes I spectrum. All spectra were then
interpolated onto a common wavelength grid as required for comparison
with theoretical calculations.
All observations of CVn are phased using the ephemeris of Farnsworth (1932):
![]() |
(1) |
which gives the time of the maximum intensity of the spectral lines of Eu II and roughly corresponds to the negative extremum of the longitudinal magnetic field phase curve (Wade et al. 2000a).
3 Physical properties of
CVn
Our modeling of the Stokes IQUV spectra of CVn
and the interpretation of their rotational variability in terms of the
surface maps of both magnetic field and chemical elements requires
determining certain basic physical and geometrical properties of the
target star:
- i)
- atmospheric parameters -
,
and average chemical composition - are needed as inputs for a model atmosphere code, which provides us with the vertical temperature-density stratification used for the numerical calculation of the local Stokes profiles and continuum intensities;
- ii)
- rotation period
and projected rotational velocity
are needed to establish the mutual phasing of observations and to evaluate the rotational Doppler shift across the stellar surface;
- iii)
- two angles, i and
, establish the orientation of the stellar axis of rotation with respect to the observer (Piskunov & Kochukhov 2002).
3.1 Atmospheric parameters
CVn
(12 CVn A, HD 112413, HR 4915, HIP 63125) was the first
star given the ``A-type peculiar'' classification (Maury & Pickering 1897) and is a prototype of spectrum variable stars. It was classified as A0pSiEuHg by Cowley et al. (1969) and was targeted by many notable magnetic and spectrum variability studies (Cohen 1970; Pyper 1969; Babcock & Burd 1952; Borra & Landstreet 1977), including early attempts to reconstruct maps of abundance spots and magnetic field with the Doppler Imaging technique (Glagolevskii et al. 1985; Khokhlova & Pavlova 1984; Goncharskii et al. 1983).
In the previous DI study of CVn (Kochukhov et al. 2002)
we have determined the effective temperature and surface gravity using
theoretical model atmosphere fit to the optical spectrophotometry and
hydrogen Balmer line profiles. We found that the ATLAS9 models computed with 10 times solar metal abundance provide a satisfactory fit to observations for
=
K and
=
.
Subsequently Lipski & Stepien (2008)
used the same model atmosphere code to fit the optical spectral energy
distribution simultaneously with the UV fluxes recorded by the IUE
satellite. They showed that the UV data require
10 750 K, which is about 1000 K cooler than
inferred from the optical spectrophotometry. The final
=
K recommended by Lipski & Stepien (2008) is formally not different from the temperature adopted by Kochukhov et al. (2002), but has a much larger uncertainty reflecting the difficulty of fitting the stellar spectrum in a broad wavelength region.
It is evident that further progress in deriving a realistic model structure of the atmosphere of CVn can be achieved by computing models with individualised chemical composition and magnetic field (Kochukhov et al. 2005; Shulyak et al. 2004).
Nevertheless, for the purpose of our investigation, and to retain the
possibility of a direct comparison with the results of the previous DI
study, it is sufficient to use the model atmosphere parameters of Kochukhov et al. (2002),
which represent reasonably well the mean atmospheric properties of the
star. Using forward spectrum synthesis calculations we have verified
that modification of
by
500 K
produces only a marginal change of the line intensities, comparable or
smaller than the uncertainty due to imperfect atomic data. Thus, the
temperature uncertainty is not a critical factor in our analysis of
CVn.
In addition to the uncertainties mentioned above, the assumption of a constant model structure is not fully correct for spotted Ap stars since the line and continuous opacity is different inside and outside spots. However, this common assumption is justified for Doppler imaging studies similar to ours because the local line profiles are sensitive to model structure effects to a much smaller degree than to changes of abundance or magnetic field.
Taking into account the distance to CVn,
pc which follows from the revised Hipparcos parallax (van Leeuwen 2007), and adopting
from Pyper (1969), we find the absolute visual magnitude
.
For the temperature
=
K and the bolometric correction BC=-0.42 measured by Lipski & Stepien (2008) we obtain
and
assuming
for the Sun (Bessell 2000) and using an uncertainty of 0.1 for the bolometric correction of
CVn. Then, employing this stellar luminosity and temperature we can determine the evolutionary state of
CVn by comparing its observed position in the H-R diagram with the predictions of the theoretical evolutionary tracks by Schaller et al. (1992) and Schaerer et al. (1993). Assuming an overall metallicity Z=0.018, we derive a stellar mass
and an age of
years. These parameters yield the surface gravity
=
,
which can be brought in agreement with the spectroscopic estimate if
the latter is corrected for the strong He deficiency of the atmosphere
of
CVn (Kochukhov et al. 2002).
The fundamental parameters of CVn determined in our study, as well as those adopted from previous investigations, are summarized in Table 2.
Table 2:
Fundamental parameters of CVn.
3.2 Rotational parameters
The widely-used rotation period of CVn, 5
46939, was determined by Farnsworth (1932) based on a series of intensity measurements of the blue Eu II
lines taken at several observatories during the years 1912-1932. Using
this rotational period one can successfully phase together longitudinal
magnetic field measurements obtained over the time span of
25 years (Wade et al. 2000a). Thus, the rotational period of Farnsworth (1932)
is adequate for our analysis. We do not attempt to improve it since no
recent extensive photometric or spectroscopic time-series observations
are available for
CVn.
The projected rotational velocity is one of the key input parameters
for DI inversions and needs to be determined with a relatively high
precision (Kochukhov & Piskunov 2002). It is best found by optimizing the fit to line profiles observed at high spectral resolution. As described in Sect. 4.3, the intensity profiles of the strong Fe II and Cr II lines in the spectrum of CVn are reproduced with
=
km s-1. This value is somewhat larger than
km s-1 found by Kochukhov et al. (2002) using Cr II
lines of different strength. Although formally not significant, this
discrepancy could reflect the difference in instrumental profile or,
possibly, be an artifact of vertical chemical stratification neglected
in our spectrum synthesis.
The orientation of the stellar rotational axis is characterized by the two angles i and .
The inclination,
,
is the angle between the rotational axis and the observer's line-of-sight. The values
correspond to the situation when we see a clockwise rotation of the star from the visible rotation pole. The azimuth angle,
determines
the sky-projected position angle of the rotational axis. This angle is
counted counterclockwise from the North Celestial Pole (Landolfi et al. 1993). The azimuth angle is relevant and the distinction between i and
can be made only when interpreting linear polarization observations. Note that since the Stokes Q and U parameters depend on trigonometric functions of
,
the values of
and
cannot be discriminated.
![]() |
Figure 1:
Photopolarimetric measurements of the longitudinal magnetic field in |
Open with DEXTER |
![]() |
Figure 2:
Comparison of the net linear polarization (symbols) obtained from the LSD Stokes Q and U profiles
of |
Open with DEXTER |
Numerical tests of the four Stokes parameter inversion procedure (Kochukhov & Piskunov 2002) indicate that the tilt and, especially, the azimuth angle of the rotational axis can be reliably determined by minimizing the
of the fit to observations in inversions with different i and
.
However, our magnetic DI technique is fairly costly in computing time,
which makes exploring all possible rotational axis orientations
impractical. Instead we start by finding a plausible range for each
angle using a simple dipolar field model and then refine the angles
with a series of MDI reconstructions.
The inclination angle is inferred from the simultaneous fit of
the dipolar field model to the Balmer line photopolarimetric
longitudinal field measurements (Landstreet 1982; Borra & Landstreet 1977) and the total linear polarization,
,
obtained from the net linear polarization measurements of Wade et al. (2000a).
We employ longitudinal field measurements obtained from H lines to
avoid the strong modulation due to to abundance nonuniformities that is
evident in longitudinal field measurements derived from, e.g., lines of
Fe or Cr (Wade et al. 2000a). The dipole model parameters include the polar field strength
,
magnetic obliquity
and angles i and
.
The theoretical
is computed following Landolfi et al. (1993). Using the total linear polarization instead of individual net Q and U measurements allows us to avoid solving for
at this stage of the analysis.
The comparison of the magnetic observables with the dipolar model predictions is presented in Fig. 1. The scatter around the best-fit curve is considerable but the model evidently reproduces the main features of the
and
phase dependence if we adopt parameters
kG,
,
(or
and
). The inclination angle obtained in this way is consistent with
that can be derived from
,
R and
of
CVn using the usual oblique rotator relation.
In the second step we find the values of
which provide the best match to the observed rotational variation of the Q and U net linear polarization for the previously determined dipolar model parameters. Figure 2 demonstrates that a global
minimum is found for
and that
,
provide a better match to the observations than
and
.
The same conclusion was reached by Wade et al. (2000a). Thus, preliminary modeling suggests
and
.
The final values of these parameters are established in Sect. 4.3
with the help of multiple MDI inversions which take into account
chemical inhomogeneities and incorporate deviations of the magnetic
field topology from a simple dipole.
4 Magnetic Doppler imaging
4.1 Magnetic inversion technique
A detailed discussion of Magnetic Doppler Imaging using high-resolution circular and linear polarization spectra is provided by Piskunov & Kochukhov (2002). In that publication the MDI code I NVERS10 was introduced, and key numerical techniques employed in magnetic inversions were discussed. Here we briefly recount the basic principles of our MDI methodology, referring the reader to Piskunov & Kochukhov (2002) for further details and for an in-depth description of technical issues.
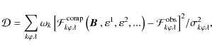
The aim of the magnetic inversion is to derive the surface
distributions of magnetic field and chemical abundances by minimizing
the total discrepancy function
![]() |
(2) |
where


![]() |
(3) |
where









Theoretical Stokes IQUV spectra for a given rotation phase depend on the surface topology of the magnetic field
and the geometry of the abundance distributions
,
,
etc. Normalized Stokes profiles are obtained by summing the Doppler-shifted local Stokes spectra
over a discrete surface grid and dividing by the disk-integrated intensity in the unpolarized continuum
![]() |
(4) |
Here, the index i runs over a set of






We apply regularization to ensure stability of the complex
optimization process of magnetic DI and to obtain a unique solution
independent of the initial guess and of the surface discretization. The
general form of the regularization functional
implemented in I NVERS10 is
The first and third terms represent the Tikhonov regularization functions for magnetic field and abundance distributions, respectively.




A comprehensive series of numerical experiments with I NVERS10 was presented by Kochukhov & Piskunov (2002). This paper explored the performance of the magnetic DI method for different combinations of stellar parameters, magnetic field strengths and geometries by reconstructing surface maps from simulated Stokes parameter observations. These numerical tests convincingly demonstrate that a successful inversion, revealing magnetic field structures at both the large and small scales, is possible when the code is applied to the full Stokes vector data set in conjunction with Tikhonov regularization. In fact, Piskunov (2005) showed that, from the basic mathematical standpoint, the underlying inverse problem of magnetic mapping with all four Stokes parameters is well-posed and has a unique solution. In this case regularization is only needed to suppress instabilities produced by the noise in real data and its sparse phase and wavelength coverage. However, due to the lack of high-quality Stokes IQUV stellar spectra, the only previous magnetic DI inversion based on polarization observations in all four Stokes parameters was our study of the Ap star 53 Cam (Kochukhov et al. 2004a).
While Stokes IQUV datasets suitable for Magnetic DI are relatively rare, comparable Stokes IV
datasets are more common. Magnetic DI with only circular polarization
observations has therefore been more widely applied. However, such
datasets result in maps which are less informative and robust compared
to those computed from full Stokes vector data. The IV mapping
problem is intrinsically ill-conditioned and the outcome of such
inversions depends sensitively on the choice of regularization function
and the initial guess. Our numerical experiments with I NVERS10 (Kochukhov & Piskunov 2002; Piskunov & Kochukhov 2002) showed that a successful reconstruction of the global field topology of Ap stars using only Stokes IV
data requires imposing a prior assumption that strongly restricts the
range of possible derived magnetic field topologies. In our
DI code this assumption is implemented in the form of so-called
multipolar regularization (the second term in Eq. (5)),
which directs the solution toward a general, non-axisymmetric
second-order multipolar expansion of the magnetic field structure. The
multipolar model field
,
calculated by our code at each iteration, is equivalent to the dipole plus quadrupole parameterization of Bagnulo et al. (1996). Stokes IV time series of the Ap stars
CVn (Kochukhov et al. 2002), HD 24712 (Lüftinger et al. 2010) and HD 72106 (Folsom et al. 2008) were interpreted using I NVERS10 in the multipolar regularization mode. All these studies inferred basically dipolar field geometries for the target stars.
The availability of M US IC OS four Stokes parameter time-resolved spectra for CVn provides us with the capability to perform magnetic inversion constrained only by local, Tikhonov regularization (
,
,
see Sect. 5.1).
At the same time, it is also very instructive to compare these ultimate
MDI results with the maps obtained disregarding linear polarization
observations and globally constraining the magnetic inversion with the
multipolar regularization. In Sect. 5.2 we present results for magnetic DI in the circular polarization mode, with
,
.
4.2 The choice of spectral lines
The amplitude of linear polarization signatures in metal lines of even
the most strongly-magnetic Ap stars is typically at the level of only 10-3 (Wade et al. 2000b). Consequently, we are limited to studying the Stokes Q and U
profiles of a few deepest, magnetically sensitive individual lines in
the stellar spectra. Using such features is usually not optimal for
abundance mapping because the lines are saturated over a significant
part of the stellar surface and thus their variation is subdued in
comparison to weaker lines of the same ions. For this reason, and also
due to the relatively low resolving power of the M US IC OS observations, we do not expect to achieve the same quality of abundance inversions as demonstrated by Kochukhov et al. (2002) in the previous DI analysis of CVn.
However, this reduced sensitivity of the strong lines to abundance
inhomogeneities make them more suitable for our primary goal of the
mapping magnetic field using four Stokes parameter profiles.
We found three lines in the spectrum of CVn appropriate for magnetic DI. The two Fe II features at
4923.93 and 5018.44 Å were previously used by Kochukhov et al. (2004a) and Khalack & Wade (2006) in the studies of other Ap stars observed with the M US IC OS
spectropolarimeter and proved to be effective for the reconstruction of
the magnetic field topology. Their mean Landé factors,
-1.9, are among the largest for metal lines of such intensity. Both lines show a clear and complex signal in the Stokes Q and U spectra, detected at high significance levels for the majority of rotation phases (see Fig. 5). We also use the Cr II 4824.13 Å line for magnetic mapping. This line shows less prominent Stokes Q and U profiles because it is somewhat weaker than the Fe II lines, and exhibits a smaller Zeeman effect (
).
Nevertheless, simultaneous recovery of the surface magnetic field
distribution from the lines of more than one chemical element always
improves the robustness of MDI (Kochukhov & Piskunov 2002).
The complete line list adopted in the magnetic inversions of CVn is presented in Table 3. Parameters of the two strong Fe II lines, one Cr II line and three weaker Fe II blends are extracted from the VALD database (Kupka et al. 1999). The oscillator strengths of the lines from Fe II multiplet 42, to which the 4923.93 and 5018.44 Å lines belong, are notorious for the large scatter of
recommended in different literature sources. Even the relative
values of these lines are not known with the precision necessary for detailed spectrum synthesis modeling, prompting Kochukhov et al. (2004a)
to perform separate MDI inversions for each of these lines in their
study of 53 Cam. To overcome this problem here we modified I NVERS10, adding the oscillator strength of the Fe II 5018.44 Å line to the list of free parameters determined by the code. Table 3 lists the final
for this lines, which is 0.051 dex lower than the value recommended by VALD.
Additional line data required for calculation of the Zeeman splitting includes Landé factors of the upper and lower atomic levels and corresponding J quantum numbers. These quantities are also specified in Table 3, with Landé factors originating from the theoretical computations by Kurucz (1993) and extracted using the VALD interface.
![]() |
Figure 3:
The relative standard deviation of the fit to Cr II and Fe II Stokes I profiles is plotted as a function of
|
Open with DEXTER |
Table 3: Atomic parameters of spectral lines employed in magnetic inversions.
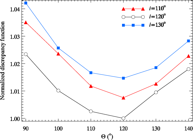
![]() |
Figure 4:
The relative total discrepancy function
is plotted against the azimuth angle |
Open with DEXTER |
4.3 Optimization of v
,
and
Magnetic inversion is sensitive to the adopted projected rotational
velocity and the three-dimensional orientation of the stellar
rotational axis. Numerical experiments presented by Kochukhov & Piskunov (2002) showed that solutions with incorrect values of these parameters tend to have a higher
of the fit to the observed Stokes profiles. For
this degradation of the fit quality is most clearly seen in Stokes I. A measure of the final discrepancy between the observed and computed intensity profiles of the Cr II and Fe II lines is illustrated in Fig. 3. Examining the inversion results for 7 trial values of
in the range from 17 to 20 km s-1 we find a minimum for
= 18-19 km s-1. A parabolic fit to these results yields a minimum at
=
km s-1. We adopt this rotational velocity for all subsequent inversions presented in our paper.
We followed a similar strategy to optimize the choice of the
inclination and azimuth angles. The modeling of the mean longitudinal
field and net linear polarization suggests that these angles are close
to 120
and 110
,
respectively. To determine the values of i and
we carried out inversions for the ranges
i=110-130
and
-140
with a 10
step for both angles. The normalized total discrepancy function obtained by I NVERS10 at the convergence is illustrated in Fig. 4 for the entire grid of 18 inversions. It is evident that
gives a smaller discrepancy than either
or 130
,
while the optimal
is constrained to the 110-120
interval independent of inclination. Finally, we establish
and
and adopt this orientation of the stellar rotation axis for all magnetic inversions presented below.
5 Results
5.1 Full Stokes vector inversion
![]() |
Figure 5:
The comparison between observed (symbols) and synthetic (solid curves) four
Stokes parameter spectra of |
Open with DEXTER |
![]() |
Figure 6:
Surface magnetic field distribution of |
Open with DEXTER |
![]() |
Figure 7:
Rectangular projection of the magnetic field geometry of |
Open with DEXTER |
We reconstruct the magnetic field topology and surface distributions of
Cr and Fe in a simultaneous inversion, using 20 phases of
observations in all four Stokes parameters. The best-fitting
theoretical profiles obtained by I NVERS10 at the convergence are shown in Fig. 5
with the thick solid line. Evidently, the observed line profile
variability in the intensity and polarization is satisfactorily
reproduced. The only minor systematic discrepancy is seen in the
profile of the Fe II 5018.44 Å line, which is
overestimated in the theoretical spectra corresponding to the rotation
phases around negative magnetic extremum (
). The linear polarization profiles are well-fitted by I NVERS10. Occasional discrepancies between the observations and the model spectra (e.g., Stokes Q profile of Fe II 5018.44 Å for
)
are always limited to only one out the three lines studied and thus is
likely due to observational uncertainties. Especially impressive is the
ability of the model to reproduce the systematic details of the linear
polarization profiles, such as the peculiar ``w''-shape of Stokes U around phase 0.4. The agreement between the observations and synthetic Stokes V spectra is excellent.
The surface magnetic field distribution of CVn recovered by I NVERS10 from the phase-resolved Stokes profiles of the Cr II and Fe II lines is presented in Fig. 6.
This plot shows spherical projections of the magnetic map, displaying
separately the field strength and the field orientation distributions.
In this and similar plots the star is shown at 5 equidistant rotational
phases, at the aspect angle corresponding to
and
.
The overall structure of the magnetic field in
CVn
is dipolar-like in the sense that approximately half of the stellar
surface is covered with the outward-directed radial field while another
half exhibits inward-directed field. This global magnetic field
topology agrees with the orientation of the dipolar axis suggested in
previous magnetic analyses of
CVn where multipolar models were fitted to integral magnetic observables (Gerth et al. 1999; Borra & Landstreet 1977) or to Stokes IV line profiles (Kochukhov et al. 2002). However, the field strength distribution illustrated in the upper panel of Fig. 6 reveals that the derived magnetic field topology of
CVn
resembles that of a dipole on the largest spatial scale only. The
outcome of our four Stokes parameter inversion suggests that the field
is, in fact, far more complex. In particular, there is a definite
asymmetry in the field strength and structure between the negative
magnetic pole (
)
and the positive one (
).
The field is clearly stronger in the latter case and its structure is
dominated by the high-contrast magnetic spots where the field strength
reaches 4.5 kG locally. This is approximately 1 kG higher
than the local field at the opposite side of the star.
The rectangular projection of the magnetic field distribution reconstructed for CVn is presented in Fig. 7
for all three components of the field vector. This figure again gives
an impression of the global dipolar topology locally distorted by
small-scale features. The radial field component is most similar to the
surface magnetic structure expected for an oblique dipole, while the
meridional and azimuthal components deviate significantly from a
simple, low-order multipolar shape.
Is it possible that the complexity seen in the MDI maps of CVn
is an artifact produced by the noise in observations combined with an
insufficiently strong regularization adopted in the magnetic mapping?
We have thoroughly examined this possibility by conducting inversions
with different values of the Tikhonov regularization parameter for
magnetic field,
.
These tests confirm that our choice of regularization is correct
because any substantial increase of the smoothing of the magnetic maps
by the Tikhonov regularization noticeably worsens the agreement between
theoretical spectra and the linear polarization observations. For
example, with the Tikhonov regularization increased by a factor of 10
the code converges to a markedly simpler field topology, with the field
strength not exceeding 3 kG (Fig. 8). The resulting fit quality is unchanged for Stokes I and is only slightly worse for Stokes V
relative to the profiles corresponding to the complex field model.
However, the smoothed field structure fails to reproduce the
Stokes Q and U spectra at phases
= 0.353-0.594,
when the most complex part of the surface magnetic field distribution
crosses the line of sight. For all these phases the observed linear
polarization profiles exhibit a double-wave structure with two minima
and two maxima across each spectral line (e.g. the ``w''-shaped
profiles of Stokes U). On the other hand, these features
are well-reproduced by the best-fitting complex magnetic field
distribution. In contrast, theoretical profiles corresponding to the
smoothed magnetic map lack the double-wave structure. The resulting
degradation of the fit quality for the Q and U spectra is readily seen in the increase of
by 30-60%.
This analysis shows that the small-scale features in our magnetic map of CVn
are directly connected to the particular morphology of the linear
polarization signatures, observed consistently in all spectral lines
studied. Thus, we can assert that our final magnetic field topology of
CVn (Fig. 6)
is truly the simplest possible field structure consistent with the
available Stokes parameter observations. Therefore, the inferred
complexity and substantial local deviation of the stellar magnetic
geometry from the low-order multipolar field are real. It is remarkable
that we are able to detect and characterize these complex magnetic
structures using Stokes IQUV data, but not using Stokes IV
data.
The surface abundance maps of Cr and Fe reconstructed by I NVERS10 simultaneously with the magnetic field topology are presented in Fig. 9.
We infer a high-contrast distribution for both elements, with the
abundance varying by 3-4 dex and pronounced abundance minima at
phase = 0. These abundance images are qualitatively similar to the iron-peak element maps reconstructed by Kochukhov et al. (2002) but have a lower surface resolution for the reasons discussed in Sect. 4.2. In addition, the map obtained from the two strong Fe II lines exhibits noticeably smaller abundance values in the region around the negative magnetic pole (
compared to
obtained by Kochukhov et al. 2002).
This can possibly be ascribed to the effects of vertical chemical
stratification, which we do not take into account in our analysis. A
vertical abundance distribution with a transition from a high abundance
in the deeper atmosphere to a lower element concentration in the higher
layers is often observed in cooler Ap stars (e.g., Kochukhov et al. 2009,2006). If such stratification is present in some parts of the surface of
CVn, it would lead to substantial weakening of the cores of intrinsically strong Fe II
lines relative to intrinsically weak lines, yielding a smaller
abundance if such lines are analyzed neglecting chemical
stratification. However, these effects generally do not significantly
influence polarization profiles and thus a detailed treatment of
vertical abundance inhomogeneities is beyond the scope of our study.
5.2 Stokes IV inversion with multipolar regularization
![]() |
Figure 8: Same as Fig. 6 but for the Stokes IQUV imaging with ten times larger Tikhonov regularization for the magnetic field. |
Open with DEXTER |
![]() |
Figure 9:
Surface distribution of the Cr and Fe abundances derived simultaneously with the magnetic field geometry in Fig. 6.
The star is shown at five equidistant rotational
phases as indicated at the top of the figure. The aspect corresponds to the inclination angle
|
Open with DEXTER |
![]() |
Figure 10:
Same as Fig. 5 except that theoretical four Stokes parameter spectra shown with
thin lines correspond to the best-fit magnetic geometry reconstructed in the Stokes
IV imaging with multipolar regularization.
The corresponding magnetic field geometry of |
Open with DEXTER |
![]() |
Figure 11: Same as Fig. 6 but for the Stokes IV imaging with multipolar regularization. |
Open with DEXTER |
Magnetic inversion in all four Stokes parameters, similar to our analysis of CVn,
remains very uncommon in the research field of stellar magnetism due to
the considerable difficulties associated with the acquisition of the
necessary observational data. Instead, magnetic DI and Zeeman Doppler
Imaging (ZDI) studies employing time-resolved Stokes IV
spectra are much more widely applied to study field topologies of
magnetic Ap stars and active late-type stars. In this section we assess
how much of the complexity of the magnetic field of
CVn,
evident from the full Stokes vector reconstruction, can be retrieved in
the analysis of an incomplete, circular polarization-only data set. As
described in Sect. 4.1, in this experiment we use I NVERS10 in Stokes IV
inversion mode with the multipolar regularization. We carry out
magnetic field reconstruction for the same three Cr and Fe spectral
features, although in principle the number of usable spectral lines is
much larger if we are not concerned with the analysis of the
Stokes Q and U spectra.
The fit to the I and V spectra of CVn and prediction for the linear polarization profiles obtained by our code at the convergence of the IV mapping problem is illustrated with the thin line in Fig. 10.
To enable a direct comparison with the previous results, this figure
also shows the theoretical profiles for our optimal four Stokes
parameter inversion (same as in Fig. 5). At the resolution of the M US IC OS
spectra we see no difference in the intensity and circular polarization
between the two sets of synthetic profiles. Yet the picture is very
different for Stokes Q and U. The model topology
inferred from the circular polarization alone evidently yields
systematically higher amplitude of the linear polarization profiles and
cannot match the complex shape of the observed Q and U signal around rotational phase
.
This degradation of the fit quality is readily seen with a factor of 2-3 increase of the
for both Q and U
spectra. Thus, a successful description of the phase variation of the
intensity and circular polarization spectra gives no guarantee that the
resulting model of the stellar surface magnetic field is also adequate
for the Stokes Q and U data.
The magnetic map derived in the Stokes IV inversion is shown in Fig. 11. This field structure is very close to a dipolar topology with a mild non-axisymmetric quadrupolar contribution (
kG,
kG). The global field component and distribution of the radial field is similar to those seen in Fig. 6
but there is no evidence of the small-scale magnetic structure which is
needed to fit the linear polarization profiles. We conclude that the
Stokes IV analysis of the stellar magnetic topologies is
fundamentally limited with respect to the scale of magnetic structures
which can be resolved with this method. In the particular case of
CVn
it can be used to assess the overall, global dipolar-like field
topology but, compared to the four Stokes parameter inversion, it
cannot provide detailed maps of the distributions of the magnetic field
strength and orientation across the stellar surface.
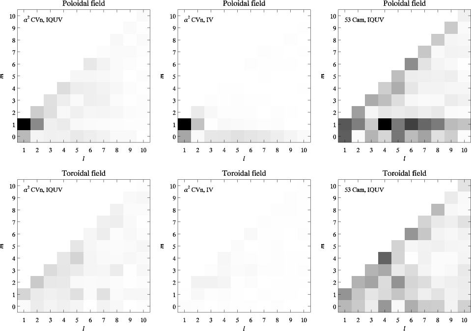
5.3 Multipolar expansion of magnetic maps
Spherical harmonic expansion provides a convenient method for
quantitative assessment and detailed characterization of the magnetic
field maps obtained in the MDI inversions. It also allows us to
objectively compare the magnetic field topology of CVn
with the field geometry of other Ap stars, in particular
53 Cam which was previously studied in all four Stokes parameters
by Kochukhov et al. (2004a) using the same inversion technique.
Here we apply the spherical harmonic expansion method introduced by Piskunov & Kochukhov (2002) and employed in the analysis of 53 Cam by Kochukhov et al. (2004a).
The three vector components of the magnetic field distribution are
approximated with a superposition of real spherical harmonic series,
including both poloidal and toroidal expansion terms. In the analysis
of CVn we truncate the multipolar expansion at
.
This gives us 240 poloidal and toroidal multipolar coefficients,
which are determined by solving a linear least-squares problem.
Different latitudes on the stellar surface are treated with different
weights to account for the variation of the field reconstruction
quality and to exclude the invisible part of the stellar surface
(hidden to us due to the stellar geometry).
![]() |
Figure 12:
Coefficients for the spherical harmonic expansion of the MDI maps of |
Open with DEXTER |
The results of the multipolar expansion are presented in Fig. 12 for the magnetic field topology of CVn obtained from all four Stokes parameters (Fig. 6), from the Stokes IV spectra modeled using multipolar regularization (Fig. 11) and for the surface magnetic field of 53 Cam. For the latter star the MDI map was produced with the same modified I NVERS10 code as applied in the present study of
CVn, using the Stokes
profiles of the three Fe II lines studied by Kochukhov et al. (2004a). The updated magnetic map of 53 Cam does not differ appreciably from the average field topology inferred by those authors.
Multipolar expansion coefficients,
,
are plotted in Fig. 12 as a function of
and m,
separately for the poloidal and toroidal expansion terms. The greyscale
for each magnetic map is renormalized so that the largest coefficient
is black and the smallest is white.
Figure 12 suggests that the field geometry of
CVn is dominated by
modes. At the same time, the contribution of the higher-
modes and the amplitude of the toroidal field components is also
non-negligible for the MDI map obtained from all four Stokes parameters
(left column in Fig. 12). For this surface magnetic field distribution we see contributions of modes with
up to 5-6. On the other hand, the IV mapping results (middle column in Fig. 12)
suggest a considerably simpler field, showing very clearly the
reduction of the information content when linear polarization spectra
are excluded from the Doppler Imaging analysis. In this case the
dominant dipolar mode is distorted only by a marginal contribution of
the non-axisymmetric
and axisymmetric
-8 components, while the toroidal field is practically absent.
Despite a consistent analysis using the same inversion methodology and M US IC OS
spectropolarimetric data of similar quality and phase coverage, the
level of complexity turns out to be dramatically different for the
surface magnetic field topologies of CVn and 53 Cam. For
CVn the
mode is more important relative to other components and the
contribution of the toroidal field is small. For 53 Cam the power
is not concentrated in the dipolar component but spread out over the
entire
range, with the broad maximum at
,
and the toroidal components are noticeably stronger than in
CVn.
Therefore, we conclude that the surface magnetic field complexity of
the two Ap stars studied using high-resolution four Stokes parameter
observations is intrinsically different.
6 Discussion
In this paper we have described what is only the second self-consistent analysis of high-resolution Stokes IQUV line profiles of a magnetic Ap star. For the prototypical spectrum variable CVn,
we have employed phase-resolved polarization spectra to derive a
detailed map of the surface magnetic field intensity and orientation
using the Magnetic Doppler Imaging approach. In addition, we have
derived similarly detailed maps of the surface distributions of the
abundances of Fe and Cr.
We find that the overall structure of the magnetic field in CVn
is dipole-like, with approximately half of the stellar surface covered
with the outward-directed radial field while the other exhibits
inward-directed field. This is in agreement with the field geometry
suggested in previous magnetic analyses of
CVn obtained from fitting of multipolar models. However, the field strength
distribution we derive reveals that the field is, in fact, far more
complex than the simple geometry suggested by earlier models. In
particular, there is a definite asymmetry in the field strength and
structure between the negative magnetic pole and the positive pole. The
field is clearly stronger at the positive pole and its structure is
dominated by high-contrast magnetic spots where the field strength
reaches 4.5 kG locally. Interestingly, this is approximately
1 kG higher than the local field at the opposite side of the star.
These spots are analogous to those detected in the A4p star 53 Cam
by Kochukhov et al. (2004b). We
investigated the possibility that the defining characteristic of these
maps - the high-contrast structure of the field strength at smaller
spatial scales - may result from insufficiently smoothing as a
consequence of underestimation of the regularization intensity. We
thoroughly examined this possibility by conducting inversions with
different intensities of the regularization parameter for the magnetic
field. We confirmed that our choice of regularization is correct
because any substantial increase of the smoothing of the magnetic maps
noticeably worsened the agreement between the observed and computed
linear polarization observations. We thereby confirmed that the
smaller-scale structures in our map are real, and required in order to
reproduce the observations. We also computed magnetic field maps using
just the Stokes IV spectra. These maps were noticeably less structured than those derived from the full Stokes IQUV
data set, confirming that the linear polarization observations are
essential to detecting this complex, smaller-scale component of the
magnetic field.
A spherical harmonic decomposition was applied to
quantitatively study the derived magnetic field topology. This analysis
suggests that the field geometry of CVn is dominated by
modes. At the same time, the contribution of the higher-
modes and the amplitude of the toroidal field components is also non-negligible, with contributions of modes with
up to 5-6.
We also re-visited the analysis of 53 Cam performed in 2004,
obtaining a new field map of this star using the current version of the
mapping software. Despite this consistent analysis using the same
inversion methodology and spectropolarimetric data of the same origin,
and of similar quality and phase coverage, the level of magnetic field
complexity is found to be dramatically different for CVn and 53 Cam. For
CVn the
mode is more important relative to other components and the
contribution of the toroidal field is small. For 53 Cam the power
is not concentrated in the dipolar component but is distributed over
the entire
-10 range, with a broad maximum at
,
and toroidal components that noticeably stronger than those of
CVn. Also, the clear hemispheric asymmetry of the qualitative field properties of
CVn
- with small-scale structures confined essentially to the stronger,
positive pole, the origin of which is not known - is not obviously
reflected in the field of 53 Cam. Therefore, we conclude that the
surface magnetic field complexity of the two Ap stars studied using
high-resolution four Stokes parameter observations is intrinsically
different. The reason for this difference is currently a mystery -
similar maps of a larger sample of stars will be needed before a
clearer understanding will be possible.
The surface abundance maps of Cr and Fe show high-contrast distributions of both elements, varying in abundance by 3-4 dex and with pronounced abundance minima at a location corresponding roughly to the negative magnetic pole. We also observed that the map obtained from the two strong Fe II lines exhibits noticeably smaller abundances in the region around the negative magnetic pole than those obtained for this star using weaker Fe lines by Kochukhov et al. (2002). We discussed how this could be ascribed to the effects of vertical chemical stratification, which would lead to substantial weakening of the cores of intrinsically strong Fe II lines relative to intrinsically weak lines, yielding a smaller abundance if such lines are analyzed neglecting chemical stratification.
The investigations of the magnetic fields of both CVn (in this paper) and 53 Cam (by Kochukhov et al. 2004b)
lead to the view of a hidden complexity of the magnetic fields of Ap
stars - a complexity which is only revealed with the help of linear
polarization measurements. Despite the successes achieved, the data on
which these studies have been based is fundamentally limited. The
resolving power of the M US IC OS
spectropolarimeter was rather low - just 35 000 - and the
throughput of the instrument below 1%. These characteristics led to
polarization spectra in which Zeeman signatures were often undetectable
(particularly in linear polarization), or only detectable at relatively
low significance. The current generation of high-resolution Stokes IQUV
spectropolarimeters - including ESPaDOnS on the Canada-France-Hawaii
Telescope, Narval on the Télescope Bernard Lyot (both with
and 20% throughput) and HARPSpol on the ESO La Silla 3.6 m telescope (with
and 10% throughput) - are capable of acquiring data of far greater quality. In particular, observations acquired by Silvester et al. (2008)
with ESPaDOnS and NARVAL show the importance of high resolving power
for confidently measuring linear polarization. Not only are these
instruments capable of acquiring much better data, they also allow us
to acquire such data for a much larger sample of stars. Application of
these new tools to investigating the detailed magnetic topologies of Ap
stars - with a range of field strengths, rotation rates, ages and
masses - is critical to understanding the physics of their magnetic
fields. This includes not only the puzzling structures revealed in the
present study, but also the much broader problems of field origin and
evolution.
In conclusion we would like to add that our studies of magnetic field geometries of Ap stars unequivocally demonstrate the necessity of using spectra in all four Stokes parameters for reliable reconstruction of the field topologies at various spatial scales. We found that a relatively simple and smooth field structure inferred from circular polarization is invariably superseded by a substantially more complex magnetic topology when linear polarization is incorporated in the Doppler imaging analysis. There are no reasons to believe this trend to be specific to Ap stars. Thus, we suggest that full Stokes vector observations of magnetic stars in other parts of the H-R diagram will lead to a similar dramatic change of the inferred field structure, especially for the late-type active stars which lack a dominant low-order field component. Understanding of stellar magnetism remains fundamentally incomplete without four Stokes parameter spectropolarimetry.
Acknowledgements
Calculations presented in this paper were carried out at the supercomputer facility provided to the Uppsala Astronomical Observatory by the Knut and Alice Wallenberg Foundation and at the UPPMAX supercomputer centre at Uppsala University. O.K. is a Royal Swedish Academy of Sciences Research Fellow supported by grants from the Knut and Alice Wallenberg Foundation and from the Swedish Research Council. G.A.W.'s research is supported by a Discovery Grant from the Natural Science and Engineering Research Council of Canada, as well as a grant from the Academic Research Program of the Department of National Defence (Canada). Resources provided by the electronic databases (VALD, Simbad, NASA ADS) are gratefully acknowledged.
References
- Babcock, H. W., & Burd, S. 1952, ApJ, 116, 8 [NASA ADS] [CrossRef] [Google Scholar]
- Bagnulo, S., Landi degl'Innocenti, M., & Landi degl'Innocenti, E. 1996, A&A, 308, 115 [NASA ADS] [Google Scholar]
- Bagnulo, S., Wade, G. A., Donati, J.-F., et al. 2001, A&A, 369, 889 [NASA ADS] [CrossRef] [EDP Sciences] [Google Scholar]
- Baudrand, J., & Bohm, T. 1992, A&A, 259, 711 [NASA ADS] [Google Scholar]
- Bessell, M. 2000, Magnitude Scales and Photometric Systems, Encyclopedia of Astronomy and Astrophysics [Google Scholar]
- Borra, E. F., & Landstreet, J. D. 1977, ApJ, 212, 141 [NASA ADS] [CrossRef] [Google Scholar]
- Cohen, J. G. 1970, ApJ, 159, 473 [NASA ADS] [CrossRef] [Google Scholar]
- Cowley, A., Cowley, C., Jaschek, M., & Jaschek, C. 1969, AJ, 74, 375 [NASA ADS] [CrossRef] [Google Scholar]
- Donati, J.-F., Semel, M., Carter, B. D., Rees, D. E., & Collier Cameron, A. 1997, MNRAS, 291, 658 [NASA ADS] [CrossRef] [MathSciNet] [Google Scholar]
- Donati, J.-F., Catala, C., Wade, G. A., et al. 1999, A&AS, 134, 149 [Google Scholar]
- Farnsworth, G. 1932, ApJ, 75, 364 [NASA ADS] [CrossRef] [Google Scholar]
- Folsom, C. P., Wade, G. A., Kochukhov, O., et al. 2008, MNRAS, 391, 901 [NASA ADS] [CrossRef] [Google Scholar]
- Gerth, E., Glagolevskij, Y. V., Hildebrandt, G., Lehmann, H., & Scholz, G. 1999, A&A, 351, 133 [NASA ADS] [Google Scholar]
- Glagolevskii, Y. V., Piskunov, N. E., & Khokhlova, V. L. 1985, SvA Lett., 11, 154 [NASA ADS] [Google Scholar]
- Goncharskii, A. V., Ryabchikova, T. A., Stepanov, V. V., Khokhlova, V. L., & Yagola, A. G. 1983, SvA, 27, 49 [Google Scholar]
- Khalack, V. R., & Wade, G. A. 2006, A&A, 450, 1157 [NASA ADS] [CrossRef] [EDP Sciences] [Google Scholar]
- Khokhlova, V. L., & Pavlova, V. M. 1984, SvA Lett., 10, 158 [NASA ADS] [Google Scholar]
- Kochukhov, O., & Piskunov, N. 2002, A&A, 388, 868 [NASA ADS] [CrossRef] [EDP Sciences] [Google Scholar]
- Kochukhov, O., Piskunov, N., Ilyin, I., Ilyina, S., & Tuominen, I. 2002, A&A, 389, 420 [NASA ADS] [CrossRef] [EDP Sciences] [Google Scholar]
- Kochukhov, O., Bagnulo, S., Wade, G. A., et al. 2004a, A&A, 414, 613 [NASA ADS] [CrossRef] [EDP Sciences] [Google Scholar]
- Kochukhov, O., Ryabchikova, T., & Piskunov, N. 2004b, A&A, 415, L13 [NASA ADS] [CrossRef] [EDP Sciences] [Google Scholar]
- Kochukhov, O., Khan, S., & Shulyak, D. 2005, A&A, 433, 671 [NASA ADS] [CrossRef] [EDP Sciences] [Google Scholar]
- Kochukhov, O., Tsymbal, V., Ryabchikova, T., Makaganyk, V., & Bagnulo, S. 2006, A&A, 460, 831 [NASA ADS] [CrossRef] [EDP Sciences] [Google Scholar]
- Kochukhov, O., Shulyak, D., & Ryabchikova, T. 2009, A&A, 499, 851 [NASA ADS] [CrossRef] [EDP Sciences] [Google Scholar]
- Kupka, F., Piskunov, N., Ryabchikova, T. A., Stempels, H. C., & Weiss, W. W. 1999, A&AS, 138, 119 [NASA ADS] [CrossRef] [EDP Sciences] [MathSciNet] [PubMed] [Google Scholar]
- Kurucz, R. L. 1993, SYNTHE spectrum synthesis programs and line data, Kurucz CD-ROM (Cambridge, MA: Smithsonian Astrophysical Observatory) [Google Scholar]
- Landolfi, M., Landi degl'Innocenti, E., Landi degl'Innocenti, M., & Leroy, J. L. 1993, A&A, 272, 285 [NASA ADS] [Google Scholar]
- Landstreet, J. D. 1982, ApJ, 258, 639 [NASA ADS] [CrossRef] [Google Scholar]
- Leroy, J. L. 1995, A&AS, 114, 79 [Google Scholar]
- Lipski, ▯., & Stepien, K. 2008, MNRAS, 385, 481 [NASA ADS] [CrossRef] [Google Scholar]
- Lüftinger, T., Kochukhov, O., Ryabchikova, T., et al. 2010, A&A, 509, A71 [NASA ADS] [CrossRef] [EDP Sciences] [Google Scholar]
- Maury, A. C., & Pickering, E. C. 1897, Annals of Harvard College Observatory, 28, 1 [Google Scholar]
- Mestel, L. 2003, in ASP Conf. Ser., ed. L. A. Balona, H. F. Henrichs, & R. Medupe, 305, 3 [Google Scholar]
- Piskunov, N. 2005, in EAS Publ. Ser. 17, ed. G. Alecian, O. Richard, & S. Vauclair, 245 [Google Scholar]
- Piskunov, N., & Kochukhov, O. 2002, A&A, 381, 736 [NASA ADS] [CrossRef] [EDP Sciences] [Google Scholar]
- Pyper, D. M. 1969, ApJS, 18, 347 [NASA ADS] [CrossRef] [Google Scholar]
- Schaerer, D., Charbonnel, C., Meynet, G., Maeder, A., & Schaller, G. 1993, A&AS, 102, 339 [NASA ADS] [Google Scholar]
- Schaller, G., Schaerer, D., Meynet, G., & Maeder, A. 1992, A&AS, 96, 269 [Google Scholar]
- Semel, M., Donati, J.-F., & Rees, D. E. 1993, A&A, 278, 231 [NASA ADS] [Google Scholar]
- Shulyak, D., Tsymbal, V., Ryabchikova, T., Stütz, C., & Weiss, W. W. 2004, A&A, 428, 993 [NASA ADS] [CrossRef] [EDP Sciences] [Google Scholar]
- Silvester, J., Wade, G. A., Kochukhov, O., Landstreet, J. D., & Bagnulo, S. 2008, Contributions of the Astronomical Observatory Skalnate Pleso, 38, 341 [NASA ADS] [Google Scholar]
- van Leeuwen, F. 2007, A&A, 474, 653 [NASA ADS] [CrossRef] [EDP Sciences] [Google Scholar]
- Wade, G. A., Donati, J.-F., Landstreet, J. D., & Shorlin, S. L. S. 2000a, MNRAS, 313, 851 [Google Scholar]
- Wade, G. A., Donati, J.-F., Landstreet, J. D., & Shorlin, S. L. S. 2000b, MNRAS, 313, 823 [NASA ADS] [CrossRef] [MathSciNet] [Google Scholar]
Footnotes
- ... parameters
- Based on data obtained using the Télescope Bernard Lyot at Observatoire du Pic du Midi.
All Tables
Table 1:
Four Stokes parameter
spectropolarimetric observations of CVn used for Magnetic Doppler Imaging.
Table 2:
Fundamental parameters of CVn.
Table 3: Atomic parameters of spectral lines employed in magnetic inversions.
All Figures
![]() |
Figure 1:
Photopolarimetric measurements of the longitudinal magnetic field in |
Open with DEXTER | |
In the text |
![]() |
Figure 2:
Comparison of the net linear polarization (symbols) obtained from the LSD Stokes Q and U profiles
of |
Open with DEXTER | |
In the text |
![]() |
Figure 3:
The relative standard deviation of the fit to Cr II and Fe II Stokes I profiles is plotted as a function of
|
Open with DEXTER | |
In the text |
![]() |
Figure 4:
The relative total discrepancy function
is plotted against the azimuth angle |
Open with DEXTER | |
In the text |
![]() |
Figure 5:
The comparison between observed (symbols) and synthetic (solid curves) four
Stokes parameter spectra of |
Open with DEXTER | |
In the text |
![]() |
Figure 6:
Surface magnetic field distribution of |
Open with DEXTER | |
In the text |
![]() |
Figure 7:
Rectangular projection of the magnetic field geometry of |
Open with DEXTER | |
In the text |
![]() |
Figure 8: Same as Fig. 6 but for the Stokes IQUV imaging with ten times larger Tikhonov regularization for the magnetic field. |
Open with DEXTER | |
In the text |
![]() |
Figure 9:
Surface distribution of the Cr and Fe abundances derived simultaneously with the magnetic field geometry in Fig. 6.
The star is shown at five equidistant rotational
phases as indicated at the top of the figure. The aspect corresponds to the inclination angle
|
Open with DEXTER | |
In the text |
![]() |
Figure 10:
Same as Fig. 5 except that theoretical four Stokes parameter spectra shown with
thin lines correspond to the best-fit magnetic geometry reconstructed in the Stokes
IV imaging with multipolar regularization.
The corresponding magnetic field geometry of |
Open with DEXTER | |
In the text |
![]() |
Figure 11: Same as Fig. 6 but for the Stokes IV imaging with multipolar regularization. |
Open with DEXTER | |
In the text |
![]() |
Figure 12:
Coefficients for the spherical harmonic expansion of the MDI maps of |
Open with DEXTER | |
In the text |
Copyright ESO 2010
Current usage metrics show cumulative count of Article Views (full-text article views including HTML views, PDF and ePub downloads, according to the available data) and Abstracts Views on Vision4Press platform.
Data correspond to usage on the plateform after 2015. The current usage metrics is available 48-96 hours after online publication and is updated daily on week days.
Initial download of the metrics may take a while.