Issue |
A&A
Volume 514, May 2010
|
|
---|---|---|
Article Number | A19 | |
Number of page(s) | 8 | |
Section | Celestial mechanics and astrometry | |
DOI | https://doi.org/10.1051/0004-6361/200912500 | |
Published online | 04 May 2010 |
The instability transition for the restricted 3-body problem
II. The hodograph eccentricity criterion
J. Eberle1 - M. Cuntz1,2
1 - Department of Physics, Science Hall, University of Texas at Arlington,
Arlington, TX 76019-0059, USA
2 -
Institut für Theoretische Astrophysik, Universität Heidelberg,
Albert Überle Str. 2, 69120 Heidelberg, Germany
Received 14 May 2009 / Accepted 20 January 2010
Abstract
Aims. We present a new method that allows identifying the
onset of orbital instability, as well as quasi-periodicity and
multi-periodicity, for planets in binary systems. This method is given
for the special case of the circular restricted 3-body problem (CR3BP).
Methods. Our method relies on an approach given by differential
geometry that analyzes the curvature of the planetary orbit in the
synodic coordinate system. The centerpiece of the method consists in
inspecting the effective (instantaneous) eccentricity of the orbit
based on the hodograph in rotated coordinates and in calculating the
mean and median values of the eccentricity distribution.
Results. Orbital stability and instability can be mapped by
numerically inspecting the hodograph and/or the effective eccentricity
of the orbit in the synodic coordinate system. The behavior of the
system depends solely on the mass ratio
of the binary components and the initial distance ratio
of the planet relative to the stellar separation distance noting that
the stellar components move on circular orbits. Our study indicates
that orbital instability occurs when the median of the effective
eccentricity distribution exceeds unity. This instability criterion can
be compared to other criteria, including those based on Jacobi's
integral and the zero-velocity contour of the planetary orbit.
Conclusions. The method can be used during detailed numerical
simulations and in contrast to other methods such as methods based on
the Lyapunov exponent does not require a piece-wise secondary
integration of the planetary orbit. Although the method has been
deduced for the CR3BP, it is likely that it can be expanded to more
general cases.
Key words: binaries: general - celestial mechanics - planetary systems
1 Introduction
In the past few years the study of planets in stellar binary systems has reached a heightened level of intensity owing to significant new developments in both observations and theory (e.g., Jones 2008). Observations have shown that planets are able to exist in relatively close binary systems with separation distances of 20 to 25 AU, a result presented by Patience et al. (2002), Eggenberger et al. (2004), and Eggenberger & Udry (2007). In addition, theoretical simulations have been done on planet formation in binary systems, which have led to highly favorable outcomes; see, e.g., Kley (2001), Quintana et al. (2002), and subsequent studies. This type of research is also motivated by the ongoing quest to find new extra-solar planets and to analyze their orbital stability, noting that stellar binary systems occur in high frequency in the local Galactic neighborhood (Raghavan et al. 2006; Duquennoy & Mayor 1991; Lada 2006).
Another important aspect pertinent to planets in binary systems, the focus of this paper, is orbital stability. In previous work, we investigated the stability of both S-type and P-type orbits in stellar binary systems and deduced orbital stability limits for planets (Musielak et al. 2005). P-type orbits lie well outside the binary system, where the planet essentially orbits the center of mass of both stars, whereas S-type orbits lie near one of the stars, with the second star exerting perturbational influence. The limits of stability were found to depend on the mass ratio between the stellar components. Earlier results for S-type orbits were given by, e.g., Holman & Wiegert (1999), who considered orbital simulations for various eccentricities of the binary components, and deduced appropriate fitting formulas for the limits of orbital stability. For circular orbits, the Holman & Wiegert stability limit is similar to the one identified by Musielak et al. (2005).
The circular restricted 3-body problem (CR3BP) is a well-established
topic of celestial mechanics (Szebehely 1967; Roy 2005, and references therein).
The CR3BP describes the motion of a body of negligible mass moving in the gravitational
field of the two massive primaries. The primaries move on circular orbits
around their center of mass and their motion is not influenced by the
third body, the planet. Additionally, the initial velocity of the planet
is usually also assumed in the same direction as the orbital velocity of
its host star, which is typically the more massive of the two stars.
Research results have also been given for more general
orbital problems, including the elliptical restricted 3-body problem
(ER3BP), which has been studied by Dvorak (1984), Dvorak (1986),
Rabl & Dvorak (1988), and more recently by Pilat-Lohinger & Dvorak (2002) and Szenkovits & Makó (2008).
Both Dvorak (1986) and Pilat-Lohinger & Dvorak (2002) investigated the stability
domain for S-type orbits, whereas Szenkovits & Makó (2008) presented a
sophisticated analytical study.
In the case of the CR3BP, the stability limits previously obtained
have recently been updated by Cuntz et al. (2007) and (Eberle et al. 2008, Paper I)
based on an analytical approach. Cuntz et al. and
Eberle et al. were able to derive a stringent (sufficient)
criterion for orbital stability based on Jacobi's constant and
Jacobi's integral, akin to the criterion of ``Hill stability''. It
was found that the planetary orbital stability was guaranteed only
if its initial starting position is below a well-defined limit
,
which can also be found by inspecting the
``zero-velocity contour'' in the synodic coordinate system. The orbital
stability of a planet is ensured if the zero-velocity contour is
closed around the star it orbits, which limits the allowable region
of the planet as dictated by its available kinetic energy.
It is noteworthy that the property of the planet to remain within the zero-velocity contour is obviously tantamount to orbital stability, although it does not necessarily imply stability in the sense of quasi-periodicity. In fact, Eberle et al. (2008) encountered evidence that quasi-periodic orbits may even occur for planets outside the previously established stability region. This is a sincere motivation to revisit the onset of orbital instability by assessing the potential of different types of approaches. Our methodology for the study of orbital instability is discussed in Sect. 2. Detailed model simulations are given in Sect. 3, and our conclusions are presented in Sect. 4.
2 Theoretical approach
2.1 Basic equations
Following Paper I, we consider a binary system with the mass
M=M1+M2, where M1 and M2 are the masses of the primary and
secondary star, respectively. The mass of the planet is assumed
to be very small (``negligible mass'') compared to the stellar masses
and the two stars are assumed to orbit each other in circular orbits
(CR3BP); see, e.g., Szebehely (1967) and Roy (2005).
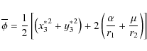
The distance of the planet to star i = 1, 2 is given as ri(t)noting that X3(t) and Y3(t) are the (sidereal) coordinates of
the planet with t as time.
The distance D between the binary stars can be used as a scale
factor to normalize distances using
X3 = Dx3 and
Y3 = Dy3.
Thus, the dimensionless position vector for the planetary mass in the
sidereal reference frame is given as (x3, y3).
Similar to Paper I, the dimensionless time
is defined as
where
denotes the angular frequency of
the motion of the binary components.
The dimensionless representation of the velocity and acceleration
for the planet is given as
and
,
respectively. Equivalent equations hold
for the variables in the y direction.
By introducing
and
,
equations for
and
can be deduced
with
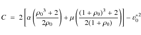
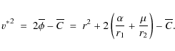
Next we introduce a synodic coordinate system where we use an asterisk (*) for distinction. We also introduce a scalar pseudo-potential given as
![]() |
(2) |
that is connected to the velocity of the planet v* via
![]() |
(3) |
This is an integral of motion in the rotating Cartesian coordinate system known as Jacobi's integral (see Paper I and references therein). The constant





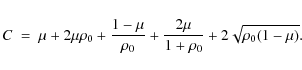
The system parameters
and
and the initial conditions, allowing
v*0 to be set, can also be used to formulate an expression for the
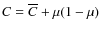
Jacobi constant C, which is
where


![]() |
(5) |
Obviously, the Jacobi constant depends solely on the parameters


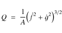
2.2 Introduction of the effective eccentricity
Sir William Rowan Hamilton is credited with the notion of the hodograph as a way of describing a planetary orbit based on the variation of the velocity vector (see Hamilton 1847). Simply put, the hodograph is the path that the tip of the velocity vector traces out as it varies about the fixed origin. In particular, Hamilton showed that under the influence of the central inverse square gravitational force, the hodograph is always a circle. For a more recent and accessible discussion see, e.g., Butikov (2000).
We consider polar coordinates by starting from the familiar form
of the Kepler orbit
![]() |
(6) |
where




In Cartesian vector form, we find
.
Now, we differentiate with respect to time to obtain the velocity
vector
,
which can be found with simple algebra as
![]() |
(7) |
and can be expressed in two parts

![]() |
= | ![]() |
(8) |
![]() |
= | ![]() |
(9) |
where



The velocity vector constitutes a vector of constant length
rotating about a center located at
,
where
.
To find a more appropriate representation, we consider the velocity
axes rotated
clockwise from the position axes.
In this case, the hodograph will be traced out in the same manner as the
orbit, e.g., if the orbit is counterclockwise, then the hodograph
will be traced out counterclockwise as well. Moreover, the length
and position of the velocity vector allow us to identify the
effective eccentricity (i.e., locally defined along-side the
hodograph), as we find e = O/Q.
For a Keplerian orbit, the situation is as follows: If e<1 then we have a closed elliptical orbit and the origin of the coordinate system lies within the circle; in the special case of e=0, we have a circular orbit and the center in velocity space coincides with the origin. If e=1, we have a parabolic orbit and the circular hodograph passes through the origin in velocity space. If e>1, the orbit is hyperbolic and the origin in velocity space lies outside the perimeter of the hodograph.
For a non-Kepler orbit, as obtained in conjunction with
the restricted three body problem, it is again possible to determine
at any given moment the eccentricity from the radius of
curvature and the center of curvature of the hodograph.
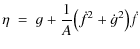
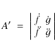
The radius of curvature of a parameterized function such as
x = f(t) and y = g(t) can be obtained as
![]() |
(10) |
whereas the location of the center of curvature

![]() |
(11) | |
![]() |
(12) |
with A=|A'| and
![]() |
(13) |
(see, e.g., Bronshtein & Semendyayev 1997). The distance of the center of curvature from the origin can thus be obtained as

![]() |
Figure 1: Two examples of a circle of curvature for a hodograph depicting the motion of a planet in the synodic coordinate system ( Vy*,Vx*). |
Open with DEXTER |
3 Results and discussion
![]() |
Figure 2:
Case studies for the initial planetary distance ratios
|
Open with DEXTER |
![]() |
Figure 3: Same as Fig. 2, but now the case studies are represented by the behavior of the hodograph. |
Open with DEXTER |
![]() |
Figure 4:
Same as Fig. 2, but now the case studies are represented by
the behavior of the effective eccentricity projected onto the unit
velocity vector, except for the model of
|
Open with DEXTER |
![]() |
Figure 5:
Effective eccentricity projected onto the unit velocity vector
for the case study
|
Open with DEXTER |
![]() |
Figure 6:
Case studies for the initial planetary distance ratios
|
Open with DEXTER |
![]() |
Figure 7: Same as Fig. 6, but now the case studies are represented by the behavior of the hodograph. |
Open with DEXTER |
![]() |
Figure 8: Same as Fig. 6, but now the case studies are represented by the behavior of the effective eccentricity projected onto the unit velocity vector. |
Open with DEXTER |

We performed simulations for stellar mass ratios from
to
in increments of 0.01. As a measure of the precision
of the integration scheme, we note that a time step of
yrs is used as it has been carefully tested by
inspecting the orbital paths under a variety of initial conditions
based on time steps of
and 10-6 yrs with no
discernable difference. We also set an upper time limit of 103 yrs
for our simulations. Although this value is very small, it is
sufficient for models of orbital stability if the stability can be
proven analytically (Eberle et al. 2008; Cuntz et al. 2007), or for determining and
evaluating orbital instability if the planet is ejected from the
system or captured by the secondary star prior to the pre-set time of
simulation. Surely, there is no guarantee that the orbit of a
potentially unstable planet that appears stable over the time of
integration will remain stable beyond the allotted time as this
would require longer simulations.
![]() |
Figure 9:
We depict the median effective eccentricity (color coded)
for various mass ratios |
Open with DEXTER |
We display runs for selected initial conditions (i.e., starting
distances
of the planet from the stellar primary)
corresponding to
in Figs. 2 to 5 and to
in
Figs. 6 to 8. In Figs. 2 and 6, we present the planetary orbits in
the synodic coordinate system (X*,Y*). In Figs. 3 and 7, the
same simulations are depicted by using the hodograph
(Vy*,-Vx*) and in Figs. 4, 5 and 8 by using the effective
eccentricity
(ex*,ey*) projected onto the unit velocity
vector. The selected starting distance ratios
of the
planet are 0.40, 0.474, 0.50, and 0.595 for
and 0.29,
0.37, 0.40, 0.43 for
.
Note that
indicates the
relative initial distance of the planet, given as R0/D, with D
= 1 AU as the distance between the two stars and R0 as the
initial distance of the planet from its host star, the primary star
of the binary system.
As this system has been studied before, both analytically and
numerically, we have solid information on the conditions for
planetary orbital stability. Absolute orbital stability occurs if
where
represents the point at
which the initial conditions result in a zero-velocity contour that
intersects L1. For larger values of
,
stability is not
guaranteed, because the zero-velocity contour opens at the Lagrange
points L1, L2, and L3 for
,
,
and
,
which for
are given as 0.311, 0.404,
and 0.593, and for
are given as 0.251, 0.442, and 0.442,
respectively (e.g., Eberle et al. 2008; Cuntz et al. 2007). Note that for
the zero-velocity contour opens at L2 and L3 simultaneously
for obvious reasons. Any such opening, in principle, allows the
planet to be captured by the secondary star or to escape from
the system entirely.
However, in certain cases this may not happen after all.
Eberle et al. (2008) identified a domain of quasi-periodic orbital
stability, embedded in the domain of instability in the
(
)
diagram. A key example studied here is
and
,
where the orbit and hodograph show periodic
behavior (see Figs. 2 and 3). The orbital data indicate that the
planet crosses the X* axis every quarter of the binary period.
The planet's orbit starts at the right outermost position (i.e.,
0.474 AU from the primary star),
then continues on to the innermost crossing on the left.
After another quarter period the planet is crossing on
the innermost path on the right. The rest of the orbit follows as
outermost left, innermost right again, then innermost left again and
then finally after a total of one and a half times the binary period
the planet returns to where it started and the orbital pattern
repeats.
The corresponding hodograph (Fig. 3) shows an equivalent behavior
except that at distances further away from the primary star slower
velocities are generally attained and vice versa. There is no
indication of planetary escape at all, although no firm statement
can be made about the long-term nature of the orbit. Note that the
effective eccentricity if projected onto the unit velocity vector
also traces out a periodic pattern (see Fig. 4). Moreover, the
point at which the effective eccentricity is at its largest, the
planet is passing closest to the L1 point. The eccentricity
distribution indicates a mean value of 0.82 and a median value of 0.75 (with a standard deviation of
;
see Table 1),
consistent with the previous interpretation. Note that the case of
also shows quasi-stability, but there is no
quasi-periodicity obtained for the planetary orbit.
A different situation occurs for
and 0.595. In these
cases, no multi-periodicity if found, and the hodograph shows a
highly complex topology. Additionally, larger values for the median
values of the eccentricity distribution are attained, which are 0.85
and 1.14, respectively. However, even though the model
should correspond to an unstable orbit, as previously pointed
out, no evidence of planetary escape surfaces. This situation is
very different for
,
a case where the planet escapes
from the system after nearly 211 yrs. This outcome is also
reflected by the extreme behavior of the eccentricity vector
(ex*,ey*) (see Fig. 5), exhibiting values beyond 6.3 and 1.4 for ex* and ey*, respectively.
A further analysis shows that the transition of the median in the
eccentricity distribution beyond unity occurs at about
,
which is surprisingly close to
,
where
the zero-velocity contour is open at all Lagrange points L1, L2,
and L3. For the sake of curiosity, we also pursued simulations with
relatively close planetary starting positions
,
which were 0.2 and 0.3 (see Table 1). In both cases, orbital stability is
guaranteed because of the stringent stability criterion, attained for
with
.
This result
is also supported by analyses invoking histograms of the eccentricity
distributions which again reveal the mean and median values of the
effective eccentricity during the onset of planetary orbital
instability.
The development of instability as
increases is different
for
.
The zero-velocity contour opens up at L1 for
;
therefore, unstable orbits occur for smaller
values as expected. For
the planetary
orbit is just on the verge of being unstable as it is slowly
spiraling away from the primary star and toward the secondary star
(see Fig. 6). For slightly larger
values, the planet
spirals away quickly and transfers to the secondary star and
possibly back again before it crashes into one of the stars. For
between 0.38 and 0.42 there appears to be a quasi-stable
region; note that
is particularly interesting
because it seems to correspond to a periodic case. The upper limit
of this quasi-stable region corresponds to
where the
zero-velocity contour close to the L2 and L3 points opens up
and the planetary orbits once again exhibit instability.
Table 1:
Effective eccentricity study for the models of .
In Fig. 9 we show the median effective eccentricity over the 1000 year time period for all
and
that we considered in
our simulations. The white regions with black crosses represent
simulations that were terminated before the maximum 1000 year limit
due to captures by one of the stars or ejection from the system. One
unstable region is in the upper mass ratio range, roughly from
to 0.50 and another is from 0.00 to 0.23. Between these
two regions (
to 0.34) there is a quasi-stable region
in which the effective eccentricity increases almost uniformly.
The boundaries of this region remain basically the same for the
duration of the simulation as obtained by the inspection of the
median effective eccentricity over the course of the binary period.
Of course, we should not be surprised if the
quasi-stable region were to shrink over a longer time period as
1000 orbits is not a very long time when considering long term
stability.
In fact, there is already an instability ``island chain'' slowly
forming right in the middle of this quasi-stable region. The reasons
for this instability ``archipelago'' are still under investigation.
As a comparison to other work, we show the minimum and maximum extension of the stable zone for the circular case taken from Pilat-Lohinger & Dvorak (2002) as pink diamonds. These limits were determined by setting various initial conditions for the third body such that it would have various initial eccentricities and then using the Fast Lyapunov Indicator method (Froeschlé et al. 1997) to determine the extents for which the orbit was unstable. This work conveys the minimum and maximum stable extensions of the stable zones, which apparently group around the C1 curve associated with the stringent limit of stability given by the CR3BP.
Table 2:
Effective eccentricity study for the models of .
4 Conclusion
We present a new method that allows identifying the onset of orbital instability for planets in binary systems. The method can be used ``along the way'' of detailed numerical simulations, and does not require a piece-wise secondary integration as, e.g., methods based on the Lyapunov exponent. Thus, it is an alternative to other methods such as, e.g., the Fast Lyapunov Indicator method (Fouchard et al. 2002) as it allows important insight into the properties of dynamic systems such as quasi-periodicity and multi-periodicity of orbits (as gauged by the hodograph), besides the identification of the onset of orbital instability. If a planet becomes orbitally unstable, high effective eccentricities are attained, which facilitates the new criterion. When the planet has left the system, it typically moves in a slowly expanding spiral if viewed in the synodic coordinate system corresponding to an effective eccentricity of close to zero. In this case, our criterion has become defunct, and if needed should be replaced by an assessment of the semimajor axis of the planet, which is expected to reach relatively high values.
Our method relies on a differential geometrical approach that analyzes
the curvature of the planetary orbit in the synodic coordinate system.
Based on our simulations, it is found that when the median of the
eccentricity distribution exceeds unity, orbital instability occurs.
This criterion can be included in detailed simulations in an automated
mode allowing the identification of planetary ejection in a
straightforward manner. Intuitively, this criterion also agrees with
the most basic property of conic sections representing closed orbits
for e < 1 and open orbits for ,
although it utilizes a
modified definition of eccentricity.
A comparison with the zero-velocity contour of the planetary orbit shows that this criterion, which is a sufficient criterion for orbital instability, closely coincides with the opening of the zero-velocity contour at the Lagrange point L3, located to the right of the primary star, as previously discussed by Cuntz et al. (2007) and Eberle et al. (2008). If instability occurs, extremely large effective eccentricities are found, indicating a highly hyperbolic planetary orbit in the synodic coordinate system, a stark indication of planetary escape. Although our results have been described for the special case of the CR3BP, we expect that it may also be possible to augment this criterion to planets in generalized stellar binary systems, and to used it for the assessment of long-term simulations. Clearly, the CR3BP is an idealized case which is barely (if at all) realized in nature. Desired generalizations should include studies of the ER3BP (e.g., Pilat-Lohinger & Dvorak 2002; Szenkovits & Makó 2008) as well as of planets on inclined orbits (Dvorak et al. 2007), noting that especially the former have important applications to real existing systems in consideration of the identified stellar and planetary orbital parameters (Eggenberger & Udry 2007).
AcknowledgementsThis work has been supported by the Department of Physics, University of Texas at Arlington.
References
- Bronshtein, I. N., & Semendyayev, K. A. 1997, Handbook of Mathematics, 3rd edn (New York: Springer)
- Butikov, E. I. 2000, Eur. J. Phys., 21, 297
- Cuntz, M., Eberle, J., & Musielak, Z. E. 2007, ApJ, 669, L105
- Duquennoy, A., & Mayor, M. 1991, A&A, 248, 485
- Dvorak, R. 1984, Celest. Mech. Dyn. Astron., 34, 369
- Dvorak, R. 1986, A&A, 167, 379
- Dvorak, R., Schwarz, R., Suli, Á., & Kotoulas, T. 2007, MNRAS, 382, 1324
- Eberle, J., Cuntz, M., & Musielak, Z. E. 2008, A&A, 489, 1329 (Paper I)
- Eggenberger, A., & Udry, S. 2007, in Planets in Binary Star Systems, ed. N. Haghighipour (New York: Springer), in press [arXiv:0705.3173]
- Eggenberger, A., Udry, S., & Mayor, M. 2004, A&A, 417, 353
- Fouchard, M., Lega, E., Froeschlé, Ch., & Froeschlé, Cl. 2002, Celest. Mech. Dyn. Astron., 83, 205
- Froeschlé, C., Lega, E., & Gonczi, R. 1997, Celest. Mech. Dyn. Astron., 67, 41
-
Hamilton, W. R. 1847, in Proc. Royal Irish Academy,
ed. D. R. Wilkins 3, 344
- Holman, M. J., & Wiegert, P. A. 1999, AJ, 117, 621
- Jones, B. W. 2008, Int. J. Astrobiol., 7, 279
- Kley, W. 2001, in The Formation of Binary Stars, ed. H. Zinnecker, & R. D. Mathieu (San Francisco: ASP), IAU Symp., 200, 511
- Lada, C. J. 2006, ApJ, 640, L63
- Musielak, Z. E., Cuntz, M., Marshall, E. A., & Stuit, T. D. 2005, A&A, 434, 355; Erratum, 480, 573, 2008
- Patience, J., White, R. J., Ghez, A. M., et al. 2002, ApJ, 581, 654
- Pilat-Lohinger, E., & Dvorak, R. 2002, Celest. Mech. Dyn. Astron., 82, 143
- Quintana, E. V., Lissauer, J. J., Chambers, J. E., & Duncan, M. J. 2002, ApJ, 576, 982
- Rabl, G., & Dvorak, R. 1988, A&A, 191, 385
- Raghavan, D., Henry, T. J., Mason, B. D., et al. 2006, ApJ, 646, 523
- Roy, A. E. 2005, Orbital Motion (Bristol and Philadelphia: Institute of Physics Publ.)
- Szebehely, V. 1967, Theory of Orbits (New York and London: Academic Press)
- Szenkovits, F., & Makó, Z. 2008, Celest. Mech. Dyn. Astron., 101, 273
Footnotes
- ... negligible
- Negligible mass means that although the body's motion is influenced by the gravity of the two massive primaries, its mass is too low to affect the motions of the primaries.
- ...
with
- Note that Eq. (1) also corrects a typo in Eq. (6) of Paper I.
- ... 344
- see http://www.maths.soton.ac.uk/EMIS/classics/Hamilton/Hodo.pdf
All Tables
Table 1:
Effective eccentricity study for the models of .
Table 2:
Effective eccentricity study for the models of .
All Figures
![]() |
Figure 1: Two examples of a circle of curvature for a hodograph depicting the motion of a planet in the synodic coordinate system ( Vy*,Vx*). |
Open with DEXTER | |
In the text |
![]() |
Figure 2:
Case studies for the initial planetary distance ratios
|
Open with DEXTER | |
In the text |
![]() |
Figure 3: Same as Fig. 2, but now the case studies are represented by the behavior of the hodograph. |
Open with DEXTER | |
In the text |
![]() |
Figure 4:
Same as Fig. 2, but now the case studies are represented by
the behavior of the effective eccentricity projected onto the unit
velocity vector, except for the model of
|
Open with DEXTER | |
In the text |
![]() |
Figure 5:
Effective eccentricity projected onto the unit velocity vector
for the case study
|
Open with DEXTER | |
In the text |
![]() |
Figure 6:
Case studies for the initial planetary distance ratios
|
Open with DEXTER | |
In the text |
![]() |
Figure 7: Same as Fig. 6, but now the case studies are represented by the behavior of the hodograph. |
Open with DEXTER | |
In the text |
![]() |
Figure 8: Same as Fig. 6, but now the case studies are represented by the behavior of the effective eccentricity projected onto the unit velocity vector. |
Open with DEXTER | |
In the text |
![]() |
Figure 9:
We depict the median effective eccentricity (color coded)
for various mass ratios |
Open with DEXTER | |
In the text |
Copyright ESO 2010
Current usage metrics show cumulative count of Article Views (full-text article views including HTML views, PDF and ePub downloads, according to the available data) and Abstracts Views on Vision4Press platform.
Data correspond to usage on the plateform after 2015. The current usage metrics is available 48-96 hours after online publication and is updated daily on week days.
Initial download of the metrics may take a while.