Issue |
A&A
Volume 514, May 2010
|
|
---|---|---|
Article Number | A82 | |
Number of page(s) | 7 | |
Section | The Sun | |
DOI | https://doi.org/10.1051/0004-6361/200912907 | |
Published online | 26 May 2010 |
Soft X-ray coronal spectra at low activity levels observed by RESIK
B. Sylwester1 - J. Sylwester1 - K. J. H. Phillips2
1 - Space Research Center, Polish Academy of Sciences, Kopernika 11,
51-622 Wrocaw, Poland
2 - UCL-Mullard Space Science Laboratory, Holmbury St. Mary, Dorking,
Surrey RH5 6NT, UK
Received 16 July 2009 / Accepted 1 February 2010
Abstract
Context. The quiet-Sun X-ray emission is important
for deducing coronal heating mechanisms, but it has not been studied in
detail since the Orbiting Solar Observatory (OSO)
spacecraft era. Bragg crystal spectrometer X-ray observations have
generally concentrated on flares and active regions. The high
sensitivity of the RESIK (REntgenovsky Spectrometer s Izognutymi
Kristalami) instrument on the CORONAS-F solar
mission has enabled the X-ray emission from the quiet corona to be
studied in a systematic way for the first time.
Aims. Our aim is to deduce the physical conditions
of the non-flaring corona from RESIK line intensities in several
spectral ranges using both isothermal and multithermal assumptions.
Methods. We selected and analyzed spectra in
312 quiet-Sun intervals in January and February 2003, sorting
them into 5 groups according to activity level. For each
group, the fluxes in selected spectral bands have been used to
calculate values of parameters for the best-fit that leads to
intensities characteristic of each group. We used both isothermal and
multitemperature assumptions, the latter described by differential
emission measure (DEM) distributions. RESIK spectra cover the
wavelength range (3.3-6.1 Å). This includes emission lines of
highly ionized Si, S, Cl, Ar, and K, which are suitable for
evaluating temperature and emission measure, were used.
Results. The RESIK spectra during these intervals of
very low solar activity for the first time provide information on the
temperature structure of the quiet corona. Although most of the
emission seems to arise from plasma with a temperature between
2 MK and 3 MK, there is also evidence of a hotter
plasma ( MK)
with an emission measure 3 orders smaller than the cooler
component. Neither coronal nor photospheric element abundances appear
to describe the observed spectra satisfactorily.
Key words: Sun: X-rays, gamma rays - Sun: abundances - Sun: corona
1 Introduction
The RESIK X-ray spectrometer on the Russian CORONAS-F
solar
orbiting mission (circular polar orbit: altitude 550 km,
period 96 min) obtained numerous high-resolution flare and
active-region spectra in the 3.3-6.1 Å range over the period
August 2001-May 2003. The RESIK instrument (Sylwester
et al. 2005)
was a bent crystal spectrometer with four spectral channels in which
solar X-ray emission was diffracted by crystal wafers made of
silicon (Si 111, 2d = 6.27 Å) and quartz
(Qu ,
2d =
8.51 Å). Although most previous spacecraft crystal
spectrometers
suffered from the strong instrumental backgrounds caused by
fluorescence of the crystal material, RESIK had a system of
pulse-height analyzers enabling primary solar photons to be
distinguished from secondary photons produced by fluorescence. The
background could thus be practically eliminated for much of the
period 2003 January-March when the non flaring solar X-ray
activity was often below C1 class as measured by the GOES
1-8 Å sensor. The sensitivity of RESIK was maximized by not
having a collimator placed in front of the crystals. This, like the
equivalent Bragg Crystal Spectrometer on the Yohkoh
spacecraft
(operational 1991-2001), produced some spectral confusion when two
simultaneous bright sources were present on the Sun, but in practice
this rarely occurred. The low-activity corona gives rise to X-ray
line profiles in RESIK spectra having large line widths through
spatial broadening.
Several analyses have been done on spectra of solar flares from RESIK (Sylwester et al. 2006a; Chifor et al. 2007; Sylwester et al. 2008), but here we report on spectra obtained during a period of sustained low solar activity, which have high statistical quality because of the relatively high sensitivity of RESIK. The observed spectral shapes including continua are available for analysis of the temperature structure of the emitting regions, specifically the differential emission measure as a function of electron temperature T; and from this, the absolute abundances of the elements giving rise to the spectral lines can be assessed.
Quiet-Sun X-ray spectra have not received nearly as much
attention
in the past as those from flares, but some properties of the quiet
Sun have been widely studied using its ultraviolet emission, which
has been measured by the following experiments: Orbiting Solar
Observatory OSO series (1962-1975; see for
instance Dupree & Reeves 1971; Dupree
et al. 1973),
Aerobee rocket
spectrometer (1969, see Malinovsky & Heroux 1973),
9 months of
the Skylab mission
(May 1973-February 1974, see Vernazza &
Reeves 1978),
the series of 9 Solar EUV Rocket Telescope and
Spectrograph (SERTS) flights (the first in 1989, see Brosius
et al.
1996, 1998), the SOHO
mission (starting in December 1995, CDS
and SUMER data, see Warren et al. 1998). The data
obtained have been used as well to construct a reference atlas of
quiet-Sun ultraviolet radiation (Curdt et al. 2004)
from which differential emission measure (DEM) distributions can be
inferred. Brosius et al. (1996)
calculated DEM distributions for
quiet-Sun conditions during two observing periods near the maximum
of Cycle 21 (1991 May 7 and
1993 August 17) based on SERTS data.
Their DEM solutions included a power law in the temperature range
K-
K with hot plasma as
shown by a
localized maximum at 5 MK. A DEM with similar distribution was
obtained by Kretzschmar et al. (2004) based
on
SOHO SUMER data, having a power-law shape in the
range
-
K with a
high-temperature bump
at 1.1 MK. Ralchenko et al. (2007) have
studied
quiet-corona spectra as observed by SUMER during the
2000 June 13-19 period, deducing that the observed
line intensities can be
satisfactorily described by a model with two Maxwellian electron
distributions, a first population corresponding to an isothermal
temperature of
K, and a second,
smaller
population (
)
of hot (300-400 eV) electrons accounting
for the intensities of highly charged Ar and Ca ion lines observed
by SUMER. The DEM analysis was also performed using SOHO
Coronal
Diagnostic Spectrometer (CDS) data for the internetwork, network,
and bright network regions of the quiet Sun by O'Shea et al. (2000).
They find that the DEM distributions differ in each region over the
temperature range 0.25-1 MK.
Recently, Young et al. (2007) have published a quiet-Sun extreme ultraviolet (EUV) spectrum in the ranges 170-211 Å and 246-292 Å, as observed on 2006 December 23 by the Hinode EUV Imaging Spectrometer (EIS).
The quiet-Sun hard X-ray emission observed by RHESSI
has been
examined by Hannah et al. (2007) using a
fan-beam modulation
technique during seven periods of off-pointing of the RHESSI
spacecraft between 2005 June and 2006 October. They
established new
upper limits on the 3-200 keV X-ray emission for when the
GOES level of activity was below
A1 class, updating much
earlier measurements (Peterson et al. 1966). Schmelz
et al. (2010)
have investigated the emission of a nonflaring active region based
on the ten filters of the Hinode X-ray Telescope
data using
two independent algorithms to reconstruct the differential emission
measure distribution. In addition to the typical
low-temperature
emission measure (T<5 MK), they find
a very hot component (30 MK)
with small emission measure. These findings have recently
been modified by Schmelz (2009, priv. comm.): the temperature of the
hotter component is now much lower, around 10 MK. Reale
et al.
(2009) have
investigated the Hinode XRT data averaged over
one hour during a nonflaring period (2006 November 12),
finding a
hotter component (temperature
6.3 MK) corresponding to a
nonflaring active region. These observational results are supported
by the theoretical work of Klimchuk et al. (2008) who use
hydrodynamic simulations of nanoflares to predict a small amount of
hot plasma in addition to the dominant 2-3 MK plasma
component.
The RESIK spectra recorded during solar minimum can bridge the gap between the results obtained from ultraviolet and X-ray images and spectra and the models of coronal plasma heating. In earlier work, we analyzed RESIK spectra to determine the conditions of flaring plasmas, but here we apply the same techniques of analyzing emission during low-level periods to deduce the properties of the quiet-Sun corona.
2 RESIK spectra selection and isothermal analysis
![]() |
Figure 1: Histogram showing the respective GOES activity for selected 312 time intervals (January-February 2003). |
Open with DEXTER |
We selected 312 time intervals, each 5 min in duration, for
which
solar activity levels in the first quarter of 2003 were at their
lowest. The measurements were taken outside intervals of increased
background owing to passages of the CORONAS-F
spacecraft
through polar ovals or the South Atlantic Anomaly. Early in 2003,
the RESIK instrument characteristics (high voltage and amplitude
discrimination) were set at their optimum values. Each spectrum
analyzed was integrated over a 302 s interval, the longest
selectable period for a low-flux operating mode, so the overall
data accumulation time was 26.2 h. The spectra correspond to
GOES activity levels from A9 to
B5.
We found it
useful to group the observed spectra according to the activity level
at the time that they were recorded, so that the summed spectra for
any group has an improved statistical quality. The division into
groups was chosen according to activity level steps of 0.1 in
the
logarithm (0.1 dex).
In Fig. 1
we show the distribution of spectra with GOES
classes. The lowest class includes spectra from the GOES
class between A9 and B1 (1-8 Å flux from
to
W m-2),
attained between 2003 February 23
and February 25. Although flaring periods were always
carefully
avoided in selecting spectra, it was impossible to avoid the
presence of active regions, as RESIK operated close to the maximum
of Cycle 23.
A typical pattern of activity during the time of the selected spectra collection is illustrated (Fig. 2) with a set of full-disk EUV images from the Extreme-ultraviolet Imaging Telescope (EIT; Delaboudiniere et al. 1995) aboard the Solar and Heliospheric Observatory (SOHO) on 2003 February 24 around 19:00 UT. The images are in the spectral bands 304 Å (He II), 171 Å (Fe IX-X), 195 Å (Fe XII), and 284 Å (Fe XV), which are sensitive to temperatures of about 80 000 K, 1.3 MK, 1.6 MK, and 2 MK, respectively. Weak active-region emission is visible in all passbands. This is also true for all other times when RESIK spectra were selected, so our results therefore apply to times when the corona was quiet and also when there were weak active regions. In Fig. 3, the average of all the 312 spectra is shown, with spectral lines or their expected wavelengths identified. The background is a true solar continuum. Identification of main contributing lines is provided in Table 1.
For these quiet-Sun spectra, there is practically no line
emission
in channel 1 (shown in blue), though for flare spectra, the
prominent triplet of lines due to K XVIII
(3.53-3.57 Å) is
always present (Sylwester et al. 2006b).
Similarly, the Ar
XVII (3.95-4.00 Å) triplet in
channel 2 (dark red) is barely
distinguished but the lines are very prominent during flares. Only
weak line emission is visible in channel 3 (orange),
identifiable
with dielectronic satellites to the parent 1s-3p (w3)
transition of the H-like S XVI
ion. However, channel 4
(yellow) is rich in strong lines formed by relatively cool plasma
(T < 5 MK).
![]() |
Figure 2: Composite of four full-disk EIT/SOHO images obtained in the wavelength bands 304 Å, 171 Å, 195 Å, and 284 Å, on 2003 February 24 around 19:00 UT. This was the time of lowest activity in the period of the RESIK quiet-Sun spectra analyzed in this work. |
Open with DEXTER |
Table 1: Wavelength intervals used for DEM studies.
The He-like S XV line
triplet (5.05-5.10 Å) is prominent but
with only two components resolved owing to increased line widths. More
prominent line features correspond to Si XIII
transitions
1s2-1s4p and 1s2-1s3p (w4, w3)
at 5.40 and 5.68 Å,
with nearby Si XII dielectronic
satellites at 5.56 and 5.82 Å (d4, D).
The w4, d4 lines are
marked by red
arrows, the w3, D lines
by blue arrows. Ratios of the flux in an
Si XII dielectronic
satellite feature to that in the parent
Si XIII resonance line
is very sensitive to temperature in the
range 2-5 MK (Phillips et al. 2006). Here we
used the ratio D/w3 to
determine the cooler plasma component temperature characterizing
the general coronal emission that the selected RESIK spectra are
sensitive to. To do this, we fitted Gaussian profiles to the
lines
(continuum level subtracted) and the flux ratios compared with
theoretical values. The derived ``isothermal'' temperatures (TD/w3 raw)
are given in Table 2
for each activity class. The
temperatures range from 3.1 MK to 3.8 MK for the lowest and
highest activity classes. They are much lower than those
corresponding to flare temperatures (Phillips et al. 2006), even
those late in the decay phase. It is striking to see that the
intensity of the satellite line D is much
higher than the parent
line w3, even for a medium-Z
(Z=14) element like Si.
Generally, this has been seen in flare spectra only for Fe
XXIV satellites near Fe XXV lines
(near 1.9 Å: Z for
Fe = 26): note that the flux ratio scales as Z4.
![]() |
Figure 3: The absolute RESIK spectrum averaged over 312 quiet Sun intervals selected between 2003 January and March. The most prominent lines are identified. |
Open with DEXTER |
A simple way of deducing the physical characteristics of an emitting
plasma is by the ratio of fluxes in broad-band filters. For RESIK,
the corresponding technique is to take the flux ratio of the total
amount of emission in channels 3 and 4. An isothermal
assumption is
often too crude to be useful (as will be shown later), and
physical
interpretation of derived values can be ambiguous (Sylwester 1990).
The results of the analysis are given in Table 2 (denoted
by ``3/4''
entries). The T3/4 values
clearly decrease with increasing
activity levels, against expectation, whereas the values of
TD/w3
increase. This can be understood in terms of the DEM
analysis presented later. The most commonly used diagnostics of
physical conditions in the coronal thermal plasma component rely on
interpreting the flux ratios measured in the two standard
GOES bands. This standard approach (available,
e.g., in the
GOES section of the IDL SolarSoft
package: Freeland &
Handy 1998)
was used here, and values of temperatures and emission
measures are given in Table 2 as averages over
corresponding
activity groups (denoted by subscript G). It should
be stressed,
however, that the GOES values derived for the
lower intensity
classes may be somewhat biased by problems intrinsic to measurements
of very low flux levels. The results shown in Table 2 indicate that
decreases
with activity class, as with the values of T3/4.
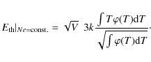
With average values of T and EM,
we may estimate the
total thermal energy in the soft X-ray emitting component.
It has
been shown by Sylwester et al. (2008) that
this energy content can
be expressed as
![]() |
(1) |
where V is the emitting volume and ThM, a ``thermodynamic measure'', is defined by
![]() |
(2) |
The use of ThM is convenient as its variation directly reflects the changes of thermal energy, provided the emitting volume does not change substantially. Derived values of ThM are given in Table 2. It is seen that, in spite of significant differences between the values of T3/4 and



Table 2: Derived plasma parameters for individual activity classes.
3 Differential emission measure determinations
It is generally known that the isothermal approach to determining the characteristics of emitting plasma has serious limitations (Sylwester 1990) and a more advanced approach relies on the concept of differential emission measure, DEM (Sylwester et al. 1980). We used the DEM approach to analyze of quiet-Sun RESIK spectra arranged by activity grouping. The algorithm we used follows the Bayesian approach, described in detail by Sylwester et al. (1980), and called the Withbroe-Sylwester algorithm. To apply this algorithm to the analysis of RESIK data, we selected 15 spectral intervals in all four RESIK channels. The wavelength ranges of channels 1 and 2 were divided into 2 broad ranges (between 0.15 Å and 0.25 Å wide) with the remaining 11 ranges in channels 3 and 4 placed around stronger lines or line groups. The ranges are given in Table 1, together with principal contributors to the emission. We performed tests by slightly varying the band widths to find which were the most suitable.
The spectral fluxes were then integrated over each band to improve the count statistics. These fluxes were then used as input to the DEM iterative algorithm. Theoretical spectra providing another source of input for the DEM inversions have been calculated from the CHIANTI v5.2 atomic code (SolarSoft) using the coronal, photospheric, and the other suitable plasma composition models.
![]() |
Figure 4: The differential emission measure distribution calculated from the fluxes in 15 passbands of the averaged nonflaring RESIK spectrum. The results are shown for assuming photospheric ( left) coronal ( middle) and optimized for the observed spectrum ( right) quiet elemental abundances. |
Open with DEXTER |
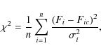
The goodness of the fit between the observed and DEM-fitted band
fluxes was determined by the standard normalized values,
![]() |
(3) |
which is easy to determine when the uncertainties (due to photon count rate statistics) are known. The absolute fluxes should have very small uncertainties because the RESIK intensity calibration is well known (Sylwester et al. 2005). The DEM iterative process was continued for 104 iterations or whenever continuous convergence was attained. In Eq. (3), Fi is the photon flux measured in band i, Fic is the flux calculated based on given DEM model, n the number of spectral bands used (n=15), and

It is not obvious which of the two generally used composition
models
(coronal or photospheric abundances) should be used in the analysis
of the quiet corona spectra, so we did the DEM inversions for
both
sets of plasma abundances. The resulting best-fit DEM shapes for the
averaged spectrum (integration time 26.2 h) are shown in the
left and middle panels of Fig. 4. The envelope of
uncertainties of
the DEM shape, from 100 Monte-Carlo runs, is shown by
the lengths of
the error bars. It can be seen how sensitive the resulting
shape of
the average DEM is to the assumed model of the plasma composition.
The best-fit values
are beyond an acceptable range for both
photospheric or coronal composition models. We thus concluded that
to provide reliable estimates of the DEM shape we should also
finely adjust the plasma composition in order to optimize the fit
between the observed and calculated spectral band fluxes. To do
this, we generated a large spectral look-up, many-dimensional
spectral database containing the synthesized profiles in the
spectral ranges covered by RESIK (each 0.001 Å),
in 101
temperature points (equidistant between
), with
varying abundances of the elements Ar, S, and Si. The
abundances of
the other elements not directly influencing the spectral shape for
the considered T-range of calculations were kept
equal to their
coronal values. The range of particular element variability was
taken from 0.1 to 20 times the coronal abundance
value.
![]() |
Figure 5:
Ratios of |
Open with DEXTER |
![]() |
Figure 6: The absolute RESIK spectra in linear scale grouped according to the GOES class. The most prominent lines are indicated. |
Open with DEXTER |
With such a large spectral look-up cube it has been relatively easy
to look for effects of the dependence of the DEM inversion on
particular-element composition. The results obtained are illustrated
in Fig. 5,
where we show the trend in the minimum value of as a
function of element absolute abundance for Ar, S, and Si.
A well-defined minimum is present in each of the plots. The
location of the minimum along the abundance axis is placed close to the
photospheric value for S and Si. For the element Ar, which has
a high value of first ionization potential (FIP), derived optimum
abundance is above the coronal value. It follows that neither
the
photospheric nor the coronal abundance models can be used to
describe the observed set of spectral intensities at the same time.
Therefore we performed the DEM inversion using the optimum abundance
values as determined from the position of the minima in Fig. 5. The
result is shown in Fig. 4
(right panel). It is seen that the
calculated shape of the DEM is smoother in comparison with the
photospheric or coronal cases and the error envelope decreases. The
calculated value of the normalized
is also brought now into
an acceptable range. As a consequence of this exercise, we
decided
to perform the composition optimization process for every DEM
inversion for corresponding activity class. The results are shown in
Table 2
and illustrated in Fig. 7.
![]() |
Figure 7: The histogram representation of differential emission measure (DEM) distributions as obtained from RESIK spectra for individual classes of solar activity. Different colors correspond to the following classes: black (dark) represents the B4-B5 class and yellow (lightest) A9-B1 class. |
Open with DEXTER |
The calculated, abundance-optimized shapes of DEM distribution are
presented in different colors. The black histogram represents the
highest activity class (B4-B5). No error bars are
shown in order to
increase the visibility. It is observed that all DEM
distributions
are bimodal with the cooler (lower temperature) and hotter (higher
temperature) components well separated. As the activity level
increases, the average temperatures of the low and high-T
components
shift toward lower temperatures. This is somewhat unexpected but can
be understood as partly due to the deconvolution process working
more effectively when the emission measure ratio of the lower and
higher-T components is decreasing. The amount of
cooler plasma found
is orders of magnitude higher than the hotter one. Depending on the
activity level, this amounts to 750 and 1190 for the
lower and
higher activity levels, respectively. In Table 2 the basic
characteristics of the cooler (index L) and hotter
(index H) plasma
components is presented. In calculating the total thermal energy
content from the obtained DEM =
distributions, we used
the following formulas, derived assuming a constant pressure or
density in the emission volume:
![]() |
(4) |
![]() |
(5) |
It is straightforward to assign the meaning of thermodynamic measure ThM to the righthand factors of Eqs. (4) and (5). It was found that the difference between results obtained in the constant pressure or constant density assumptions did not differ by more than a few percent for the considered DEM shapes, so in Table 2 we insert average values, characteristic of the cooler and hotter components. With the knowledge of respective volumes occupied by the cooler and the hotter plasma, it would be possible to estimate thermal energy content of respective components. This study is in progress.
The results of DEM calculations with the element-abundance
optimization for the five activity classes are shown in Fig. 7 in
different colors. The bimodal character of resulting DEM is evident.
The average values of the parameters characterizing each of the two
plasma components are given in Table 2 along with the
associated set
of optimum elemental abundances is provided. The data set in
Table 2
shows that the abundances of Ar and Si do not depend on the activity
level, but the sulfur abundance of the plasma contributing to RESIK
channel 4 spectra systematically increases by a factor of 4from a
level well below the photospheric to the coronal abundance
with activity increasing from lower to higher classes. The reason
for this behavior is not known at present. It is important to note
that the optimum abundances of Si are below the generally assumed
photospheric level, but the Ar abundances (Ar is a high-FIP
element)
lie even above coronal values. As concerns the energy content
associated with the two plasma components, it is interesting
to note
that the thermodynamic measure ratios of the lower and higher-Tcomponents
are much less than the ratio of respective emission
measures. Provided that the emitting volumes are comparable, this
would mean that the ratio of the total thermal energy content of the
hotter and cooler components is not all that different, and as a
consequence, the heating processes responsible for formation
of the
hotter component should not be disregarded in studies of the overall
energy balance even for nonflaring coronal conditions.
4 Concluding remarks
We analyzed 312 individual RESIK spectra grouped into 5 different activity classes based on GOES levels of activity recorded at the time of the spectra collection. All selected spectra were taken during the nonflaring, low activity conditions prevailing in the corona, though some weak active-region emission was always present. The spectral observations (all with a five-minute integration time) cover the period between 2003 January 1 and March 14. The analysis assumed both isothermal and multithermal distributions, the latter leading to determination of DEM distributions for each activity class. The DEMs were obtained with the Withbroe-Sylwester Bayesian iterative, maximum likelihood procedure. The fluxes integrated over 15 wavelength bands covering the range 3.3-6.1 Å were used as an input data for the deconvolution. We found it necessary to allow for the emitting plasma composition to be nonstandard, i.e. neither coronal nor photospheric, by varying the abundances of those elements making important contributions to the line emission in the spectra. This analysis has never been done before except for a few flares (to be published, Montreal COSPAR). The main results of the present study follow.
- 1.
- It is necessary to use the multithermal approach in analyzing the spectra. The results obtained in the isothermal approximation provide different values of T and EM parameters depending on the ratio considered. However, the values of so-called thermodynamic measure that is directly related to the total thermal energy plasma content are very close, because they are surprisingly independent of the particular ratio used for its determination.
- 2.
- It appears necessary to allow for the plasma composition differences when using the multitemperature approach in the analysis. Neither coronal nor photospheric composition models are able to describe the observed spectra satisfactorily. This result may also bias the outcome of any isothermal analysis performed with an isothermal approach.
- 3.
- The two-temperature character of the DEM shape determined
here for non-flaring plasmas has also been obtained for flares
(Sylwester et al. 2008).
The presence of the higher-T component,
with T somewhat below 10 MK, is
physically important. The emission measure associated with this hotter
plasma is
3 orders of magnitude smaller than in the generally accepted
MK component. This higher-T component is required because it is impossible to reproduce the observed spectra without it.
RESIK is a common project between the NRL (USA), MSSL and RAL (UK), IZMIRAN (Russia), and SRC (Poland). This work was partially supported by the International Space Science Institute in the framework of an international working team (No. 108). We acknowledge the travel support from a UK Royal Society/Polish Academy of Sciences International Joint Project. CHIANTI is a collaborative project involving the NRL (USA), RAL (UK), MSSL (UK), the Universities of Florence (Italy) and Cambridge (UK), and George Mason University (USA). The research leading to these results received partial funding from the European Commission's Seventh Framework Programme (FP7/2007-2013) under grant agreement No. 218816 (SOTERIA project, www.soteria-space.eu).
References
- Brosius, J. W., Davila, J. M., & Thomas, R. J. 1996, ApJS, 106, 143 [NASA ADS] [CrossRef] [Google Scholar]
- Brosius, J. W., Davila, J. M., & Thomas, R. J. 1998, ApJS, 119, 255 [NASA ADS] [CrossRef] [Google Scholar]
- Chifor, C., del Zanna, G., Mason, H. E., et al. 2007, A&A, 462, 323 [NASA ADS] [CrossRef] [EDP Sciences] [Google Scholar]
- Curdt, W., Landi, E., & Feldman, U. 2004, A&A, 427, 1045 [NASA ADS] [CrossRef] [EDP Sciences] [Google Scholar]
- Delaboundiniere, J.-P., Artzner, G. E., Brunaud, J., et al. 1995, Sol. Phys., 162, 291 [NASA ADS] [CrossRef] [Google Scholar]
- Dupree, A. K., & Reeves, E. M. 1971, ApJ, 165, 599 [NASA ADS] [CrossRef] [Google Scholar]
- Dupree, A. K., Huber, M. C. E., Noyes, R. W., et al. 1973, ApJ, 182, 321 [NASA ADS] [CrossRef] [Google Scholar]
- Freeland, S. L., & Hardy, B. N. 1998, Sol. Phys., 182, 497 [NASA ADS] [CrossRef] [Google Scholar]
- Hannah, I. G., Hurford, G. J., Hudson, H. S., Lin, R. P., & van Bibber, K. 2007, ApJ, 659, L77 [NASA ADS] [CrossRef] [Google Scholar]
- Klimchuk, J. A., Patsourakos, S., & Cargill, P. J. 2008, ApJ, 682, 1351 [Google Scholar]
- Kretzschmar, M., Lilensten, J., & Aboudarham, J. 2004, A&A, 419, 345 [NASA ADS] [CrossRef] [EDP Sciences] [Google Scholar]
- Malinovsky, M., & Heroux, L. 1973, ApJ, 181, 1009 [NASA ADS] [CrossRef] [Google Scholar]
- Peterson, L. E., Schwartz, D. A., Pelling, R. M., & Mckenzie, D. 1966, J. Geophys. Res., 71, 5778 [NASA ADS] [Google Scholar]
- Phillips, K. J. H., Dubau, J., Sylwester, J., & Sylwester, B. 2006, ApJ, 638, 1154 [NASA ADS] [CrossRef] [Google Scholar]
- Ralchenko, Yu., Feldman, U., & Doschek, G. A. 2007, ApJ, 659, 1682 [NASA ADS] [CrossRef] [Google Scholar]
- Reale, F., Testa, P., Klimchuk, J. A., & Parenti, S. 2009, ApJ, 698, 756 [CrossRef] [Google Scholar]
- O'Shea, E., Gallagher, P. T., Mathioudakis, M., et al. 2000, A&A, 358, 741 [NASA ADS] [Google Scholar]
- Schmelz, J. T., Saar, S. H., DeLuca, E. E., et al. 2009, ApJ, 693, L131 [NASA ADS] [CrossRef] [Google Scholar]
- Sylwester, B., Sylwester, J., Siarkowski, M., et al. 2006a, Adv. Space Res., 38, 1534 [NASA ADS] [CrossRef] [Google Scholar]
- Sylwester, B., Sylwester, J., Kepa, A., et al. 2006b, Sol. System Res., 40, 125 [NASA ADS] [CrossRef] [Google Scholar]
- Sylwester, B., Sylwester, J., & Phillips, K. J. H. 2008, J. Astrophys. Astr., 29, 147 [NASA ADS] [CrossRef] [Google Scholar]
- Sylwester, J. 1990, The Dynamic Sun, Proceedings of the 6th European Meeting on Solar Physics, Debrecen, 21-24 May, ed. L. Dezso, Debrecen Heliophysical Observatory of the Hungarian Academy of Sciences, 7, 212 [Google Scholar]
- Sylwester, J., Schrijver, J., & Mewe, R. 1980, Sol. Phys., 67, 285 [NASA ADS] [CrossRef] [Google Scholar]
- Sylwester, J., Gaicki, I., Kordylewski, Z., et al. 2005, Sol. Phys., 226, 45 [NASA ADS] [CrossRef] [Google Scholar]
- Sylwester, J., Sylwester, B., & Phillips, K. J. H. 2008, ApJ, 681, L117 [NASA ADS] [CrossRef] [Google Scholar]
- Warren, H. P., Mariska, J. T., & Lean, J. 1998, J. Geoph. Res., 103, 12077 [NASA ADS] [CrossRef] [Google Scholar]
- Vernazza, J. E., & Reeves, E. M. 1978, ApJS, 37, 485 [NASA ADS] [CrossRef] [Google Scholar]
- Young, P. R., Del Zanna, G., Mason, H. E., et al. 2007, PASJ, 59, S857 [NASA ADS] [CrossRef] [Google Scholar]
All Tables
Table 1: Wavelength intervals used for DEM studies.
Table 2: Derived plasma parameters for individual activity classes.
All Figures
![]() |
Figure 1: Histogram showing the respective GOES activity for selected 312 time intervals (January-February 2003). |
Open with DEXTER | |
In the text |
![]() |
Figure 2: Composite of four full-disk EIT/SOHO images obtained in the wavelength bands 304 Å, 171 Å, 195 Å, and 284 Å, on 2003 February 24 around 19:00 UT. This was the time of lowest activity in the period of the RESIK quiet-Sun spectra analyzed in this work. |
Open with DEXTER | |
In the text |
![]() |
Figure 3: The absolute RESIK spectrum averaged over 312 quiet Sun intervals selected between 2003 January and March. The most prominent lines are identified. |
Open with DEXTER | |
In the text |
![]() |
Figure 4: The differential emission measure distribution calculated from the fluxes in 15 passbands of the averaged nonflaring RESIK spectrum. The results are shown for assuming photospheric ( left) coronal ( middle) and optimized for the observed spectrum ( right) quiet elemental abundances. |
Open with DEXTER | |
In the text |
![]() |
Figure 5:
Ratios of |
Open with DEXTER | |
In the text |
![]() |
Figure 6: The absolute RESIK spectra in linear scale grouped according to the GOES class. The most prominent lines are indicated. |
Open with DEXTER | |
In the text |
![]() |
Figure 7: The histogram representation of differential emission measure (DEM) distributions as obtained from RESIK spectra for individual classes of solar activity. Different colors correspond to the following classes: black (dark) represents the B4-B5 class and yellow (lightest) A9-B1 class. |
Open with DEXTER | |
In the text |
Copyright ESO 2010
Current usage metrics show cumulative count of Article Views (full-text article views including HTML views, PDF and ePub downloads, according to the available data) and Abstracts Views on Vision4Press platform.
Data correspond to usage on the plateform after 2015. The current usage metrics is available 48-96 hours after online publication and is updated daily on week days.
Initial download of the metrics may take a while.