Issue |
A&A
Volume 514, May 2010
|
|
---|---|---|
Article Number | A45 | |
Number of page(s) | 6 | |
Section | Stellar structure and evolution | |
DOI | https://doi.org/10.1051/0004-6361/200912991 | |
Published online | 12 May 2010 |
The instability strip and pulsation features of post-AGB star models
T. Aikawa
Tohoku gakuin University, Sendai 981-3193, Japan
Received 27 July 2009 / Accepted 15 January 2010
Abstract
Aims. The instability strip and characteristics of the
nonlinear behavior of the radial pulsation are examined for the
observed photometric variability of post-AGB stars.
Methods. A linear stability analysis for radial pulsation modes is performed in the domain
,
,
assuming a total mass
and
for post-AGB stars. Radial modes up to the 5th overtone are considered,
since we expect that there are some strange modes amongst high-order
modes. Nonlinear simulations are tried for all the models, which have
at least one pulsationally unstable mode.
Results. Pulsationally unstable modes are found in a large
region of the domain, and these modes may be responsible for the
observed variability. Nonlinear simulations on models that have
unstable modes with higher overtones reveal the variability through
small peak-to-peak variations. These variations are characteristics of
the observed variations for some post-AGB stars located in the bluer
region of the classical instability strip.
Key words: stars: oscillations - stars: AGB and post-AGB - hydrodynamics
1 Introduction
Post-AGB stars are luminous objects that evolve on a fast track to hotter effective temperatures at roughly constant luminosity after AGB evolution by a very strong mass loss. In the course of such evolution they cross the classical instability strip extended to higher luminosity. Photometric variability observed in some post-AGB stars thus are believed to be caused by stellar pulsation. However, the behavior of pulsation in the post-AGB stars may be quite different from those in classical Cepheid variables, since the post-AGB stars are low mass stars but they have high luminosities.
In this study, we first summarize the behavior of the photometric variability for a selected sample of post-AGB stars and post-AGB candidates. Then we construct the envelope models for linear analysis and nonlinear simulation of radial pulsation, intending to explain the observed photometric variability due to radial pulsation of post-AGB envelopes.
Pulsation is sometimes a key to understanding the nature of post-AGB stars (Córsico et al. 2007) and post-AGB related stars, such as FG Sagittae (Whitney 1978; Jeffery & Schönberner 2006). For a specific star, HD 56126, Jeannin et al. (1996, 1997) and Barthès et al. (2000) reported the results of nonlinear simulation of radial pulsation for comparison with the observed light variation. This study was the first attempt at direct comparison of the variability in post-AGB stars with theoretical nonlinear pulsation models.
Kiss et al. (2007) studied the instability strip of post-AGB stars based on 30 known and candidate binary post-AGB stars. They confirmed the instability strip; besides this, on the bluer side of the instability strip, they found some variable stars where the peak-to-peak light-curve amplitudes are relatively small (less than 0.5 mag) compared with the major stars in the strip. They found a few similar stars at redder side, too.
Schmidt (2001) presents a table of spectroscopic
parameters (
and g)
of selected post-AGB stars based on the literature. We start our
discussion with post-AGB stars in the table to confirm the existence of
the region for the small amplitude variables that are bluer than the
classical instability strip, as mentioned by Kiss et al. (2007) and to define the extension of the
region of small-amplitude variables beyond the classical instability strip,
though this table is preliminary (cf. Szczerba et al. 2007).
We first searched in the literature for the photometric variability of
the post-AGB stars in the table. We summarize the result in Fig. 1. It is pointed out that the photometric variability in the literatures is mainly reported for
the stars in the late type region of the HR diagram, and variable stars
with small amplitude (the peak-to-peak variation less than 0.5)
are located in a hotter part of the region. Pulsation stars
classified as RV Tau stars are located in the main part of the
region.
![]() |
Figure 1:
The features of photometric variability of post-AGB on the
|
Open with DEXTER |
In summary, the stars that show photometric variability are
confined to the late type region where
is less than 3.90.
The small-amplitude variations are observed in a bluer region of the
main domain. In Fig. 1, in the small-amplitude region, there are several stars
(i.e., IRAS Z02229+6208, IRAS 04296+3429, ROA 24, AFGL 2688)
that have no remarks on the variability and that might also have small-amplitude
variations.
Probably in the table we have missed some interesting variable stars in the early-type region classified as luminous hot-helium stars (Saio and Jeffery 1988). The cause of variability is known as iron-group bump in the opacity (Saio 1995; Fadeyev & Lynas-Gray 1996), and the stars are definitely related to post-AGB stars.
In this paper, we assume that the variability of the post-AGB stars is caused by radial pulsation of the envelope. In particular, we stress that the small-amplitude variability may be explained by the strange mode in radial pulsation. For examining the amplitude of model pulsation, we perform nonlinear simulation to get the pulsation behavior in the nonlinear regime. We first examine the linear stability of radial modes, and then the nonlinear simulations are performed for the models with pulsationally unstable modes. The nonlinear simulation, as well as linear analysis, are performed with a hydrodynamic code with the variable Eddington factor approximation of radiative transfer (Aikawa 2008).
In this paper we have entirely ignored convection effects. For a static point of view, convection acts an energy transporter, so the radiative transfer becomes less effective than a purelly radiative envelope. It is expected that convection may stabilize pulsation. But there must be a dynamic coupling between convection and pulsation. It is thus desirable to include convection, although Stothers (2003) studies the effects of convection on the stability of luminous envelopes qualitatively.
2 Hydrostatic models
We first construct the envelope models according to observed
effective temperature(
)
and surface gravity(
). We
adopt 0.6 and
as the total mass of post-AGB stars.
According to the hydrogen-rich envelope mass vs. the effective
temperature relationship by Paczynski (1971) and
Schönberner (1981, 1983),
Blöcker (1995) and Frankowski (2003), the envelope mass in the range of observed effective temperature is about
,
so the total mass should
be equal to the core mass. To convert
to the luminosity, we use the following equation
with using
and
are 5777 K and 4.4378 for the
Sun, respectively (Allen 2000):
![]() |
(1) |
The hydrostatic equilibrium envelope models were constructed as
described by Aikawa (2008).
In this method the variable Eddington factor
approximation is applied to radiative hydrodynamics instead of
the diffusion approximation. Chemical abundances are assumed as X=0.700,
Y=0.298, Z=0.002. The metal abundance ratio is a simplified version of
the solar abundance ratio. We used OP opacity (Seaton 1992;
Seaton et al. 1994) for the Roseland mean and Planck mean opacities. For
regions of low density and low temperature, the opacities supplied
by Alexander & Ferguson (1994) are used.
The equations of radiative hydrodynamics
are reduced to finite difference equations, and there are about 200 zones for
the difference equations. Equations of the hydrostatic equilibrium and equation of radiative
transfer are solved iteratively until obtaining a consistent
solution. We denote the Eddington factor in the hydrostatic
equilibrium as
.
The hydrostatic equations are integrated inward from the surface,
defined as the radius of the optical depth
,
until the ratio of the radius (R) of the bottom to one at the
surface (
)
becomes less than 0.05. For the mass
,
it is 0.005 at most. We assume that radial pulsation is confined to the region
defined by the two radii.
3 Linear analysis
The linear nonadiabatic eigenvalue problem for radial modes was solved
by using
as the Eddington factor.
While sometimes the
Eddington factor estimated by the linear perturbed quantities may yield
quantitatively different results on the growth rates for strange modes
(Zalewski 1992), we used
as the Eddington factor for linear
analysis for simplicity. Since we are interested in the strange
mode in post-AGB models, higher modes up to the fifth overtone were
examined.
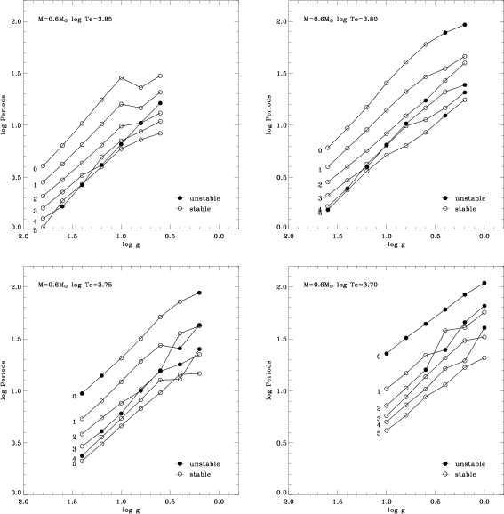
Since the present models have strong nonadiabatic effects, the periods and the growth rates deviate strongly from those in the adiabatic approximation (Wood 1976). We thus followed Aikawa (2008) to get the periods and the growth rates of radial pulsation at the fully nonadiabatic condition. Starting in the adiabatic condition, the periods and the growth rates were calculated step-by-step by increasing the effects of nonadiabaticity. The increment of the effect was carefully set to ensure the succession in the order of modes from those of an adiabatic case where we may know the complete set of the eigen-value problem. Thus, we may label the order of modes in fully nonadiabatic approximation with the correspondig modes in adiabatic condition, and so sometimes the order of modes in the fully nonadiabatic approximation is not the decrease in the periods, which is a definition of the order of modes in adiabatic condition(see, Fig. 2). The periods of strange modes that appear as unstable high-order modes with high growth rates seriously drift among those of other modes. Probably this comes from the strange modes being caused mainly by the hydrogen ionization zone at outer envelopes (Aikawa & Sreenivasan 1996), so those modes are strongly affected by nonadiabatic effects.
![]() |
Figure 2:
The results of linear analysis for model
sequences for fixed effective temperatures
(
|
Open with DEXTER |
![]() |
Figure 3:
Same as Fig. 2, but for the case of
|
Open with DEXTER |
The results are summarized in Fig. 2 for 0.6
.
For lower effective temperature models, such as
,
the fundamental and/or the 1st-overtone modes are pulsationally
unstable. For higher effective temperature models, however, these low-order
modes become stable but high-order modes become unstable. This
tendency first appears in the models of middle
values. Finally, all models
are stable in the low-order modes, but unstable in high-order modes at higher
effective temperature (for instance,
).
For
,
all the modes up to the 5th overtone are stable
in the range of
relevant to the observed post-AGB. The
results are summarized in Fig. 3 for 0.8
.
The
characteristics of instability are almost the same as in the case of 0.6
.
For
, all the modes are also stable.
For both the masses of
and
,
there are pulsationally unstable modes of high overtone in the
model sequences of higher effective temperatures (
). Aikawa (1991, 1993) showed that these
pulsationally unstable high-order modes have the characteristics of the
strange mode. In some models, only these high overtone modes are
unstable, so these strange modes should be responsible for the photometric
variability, if radial modes are assumed to be the cause of that.
![]() |
Figure 4:
The instability strip resulting from the linear
analysis for
|
Open with DEXTER |
![]() |
Figure 5:
Same as in Fig. 4, but for
|
Open with DEXTER |
In Figs. 4 and 5, we show summary maps of the instability strip of the radial
modes for
and
.
For both the masses, there is a instability region that comes from high
overtone modes (probably strange modes) at a hotter regime than in the
case of the fundamental and 1st-overtone modes.
The instability of the fundamental, and the 1st-overtone
at higher
at
and 3.70 comes from
the model location just inside the blue edge of the classical instability strip
extended to the high luminosity of low-mass stars (for instance W Verginis
stars, Bridger 1985). On the other hand, the
instability due to the fundamental and the 1st-overtone modes at
lower
are those found by Saio et al. (1984) and may be related
to the opacity-modified Eddington limit (Asplund 1998).
4 Nonlinear simulation
Nonlinear simulations for models with pulsationally unstable modes
were performed with the variable Eddington factor,
(Aikawa 2008), snapshot values of the Eddington factor at each time step.
The simulation of each model was started from the hydrostatic
equilibrium except for the velocity perturbation. The velocity profile
was the form of the eigenfunction and the amplitude of the velocity perturbation at the surface is 1 km s-1, which is quite small compared to one expected to the limit cycles
of classical Cepheids.
Besides not taking convection into account, the main ambiguities of
nonlinear modeling come from the artificial viscosity to stabilize
calculations and the boundary condition at the surface. For the
artificial viscosity, we
used the formula of the von Neumann-Richtmyer type with a cutoff
(Stellingwerf 1975a,b), i.e.,
![]() |
(2) |
where Pi and Vi are ordinary pressure and specific volume at the cell between i and i+1 shells, respectively, and uis are velocities of the shell at i. The constants of CQ = 4 and

![]() |
Figure 6:
The photospheric light curves predicted by nonlinear
models for
|
Open with DEXTER |
We assumed the perfect reflection of the wave at the surface as one of the necessary boundary
condition at the outer boundary:
![]() |
(3) |
The pressure


The resulting finite difference equations are time dependent and
solved by the fully implicit scheme (Castor et al. 1977).
Simulation for each model was followed enough to confirm
that the pulsation is settled into a stationary state.
The results are depicted as light curves at the model
photosphere in Figs. 6-8 for
.
![]() |
Figure 7:
Same as in Fig. 6 but for
|
Open with DEXTER |
![]() |
Figure 8:
Same as in Fig. 6 but for
|
Open with DEXTER |
We notice that the amplitudes of nonlinear pulsation in a stationary
state are quite small in higher effective temperature models (for
instance
). These amplitudes are much small
than those observed in post-AGB variables. The lower the models
effective temperature, the larger the amplitudes. For
,
the amplitudes are comparable to those observed, though the
pulsation driving modes are still high-order modes and probably strange modes. For
even lower temperature, there are large amplitude pulsations at a higher
region due to low-order modes(mainly the fundamental mode), as
expected, though there are small-amplitude pulsation caused by high-order modes at lower
region. It is known that pulsation amplitudes in stars in the instability strip
of low-mass supergiant stars classified as W Virginis stars are quite
large with propagating shock wave features (Davis 1972). The fundamental
pulsation at higher
is the same. We also notice that stationary pulsations at lower
models are irregular with small amplitudes, though those at higher
are
regular. This feature of nonlinear pulsation may be useful for comparing
to observed features.
Figures 9-11 show the results for
.
For a wide range of
the HR diagram the pulsation behavior for a parameter set with
and
is essentially the same as in the model of the same
parameter of
.
For
,
quite regular pulsations are realized but these are too small
amplitudes again. For lower temperatures, such as
,
the amplitudes of regular pulsation become larger, and irregular
pulsation is also realized for lower gravity models. For even lower
temperature, regular well-developed pulsation sets in for higher
gravity and irregular pulsation for lower gravity (see, Fig. 11).
![]() |
Figure 9:
Same as in Fig. 6, but for
|
Open with DEXTER |
![]() |
Figure 10:
Same as in Fig. 6, but for
|
Open with DEXTER |
![]() |
Figure 11:
Same as in Fig. 6, but for
|
Open with DEXTER |
It is very impressive that the variation amplitudes due to the instability of high-order modes are quite small compared with those from the instability of low-order modes. The high-order modes that are responsible to the variation are strange modes, and they have pulsation periods close to those of strongly damped modes, so nonlinear coupling between the strange modes and the very strong damped modes should be strong. This may suppress the amplitude of high-order modes drastically.
It is interesting to see the transition from regular pulsation to
irregular pulsation as seen in Figs. 7-11 at low values of .
The period doubling (Buchler et al. 1987) and
the intermittency (Aikawa 1987) have been found in pulsation
models as the transition routes from regular to irregular pulsation.
To see such a transition in the present model sequence, more fine tuning of
the model parameters would be necessary.
5 Discussion and concluding remarks
The instability strip for post-AGB pulsation was examined. On the bluer side of the classical instability strip of low-order pulsation modes, there is a significant size of the instability domain of high-order modes. The region may be responsible for the photometric variability of some post-AGB stars with small peak-to-peak variations.
For the models with the parameters of the bluer instability region, nonlinear simulations performed with a hydrodynamic code with the variable Eddington approximation of radiative transfer reveal small peak-to-peak variations like those observed in some of post-AGB stars. The time scale of the variations in general is comparatively shorter than that observed (for instance, Hrivnaket al. 2001). However, Bond et al. (1984) describe the variation of HD 46703 (which is included in Fig. 1) as brightness variations of 0.1 mag on the time scale of a week. The pulsation behavior of our models may be a perfect match to this star.
To get the stationary pulsation state of nonlinear models,
we met some difficulties on numerical treatments during the nonlinear
simulation. Starting with the initial conditions as mentioned before,
we could run the models for a while, but the convergence of implicit
calculation became very poor, and so we could not continue the simulation
to confirm stationary state of nonlinear pulsation. Those are models with higher
,
lower
(for instance,
,
), and lower
(for instance
). The first may be related to the
opacity-modified Eddington limit (Asplund 1998). The
region where the opacity-modified Eddington limit realized so
the radiation pressure is dominant becomes close to the dynamical
instability. Tuchman et al. (1979) show that pulsation
becomes violent and mass loss may occur in the model envelope close
to the dynamical instability.
We confirmed that the velocity of the outer shell reached the escape velocity during
pulsation. We need a pulsation code that includes running waves for these
stars. The second is the models in the redder region of the
instability strip and nonlinear amplitudes became too large to
continue the simulation, so our analysis should include some effects of
convection and/or pulsation-induced turbulence to get the stationary
state of moderate nonlinear amplitudes. There have been some attempts as
nonlinear pulsation related to the region (Fadeyev & Tutukov 1981;
Fadeyev 1982; Fadeyev & Muthsam 1990).
RV Tau stars are mainly located in the main part of the instability strip of post-AGB stars. Pulsation behavior of the models for parameters corresponding to that region should reproduce the photometric variations of RV Tau stars that are supposed to be post-AGB stars. AC Her and R Sct are ones that have been observed well and monitored for a long time. Kolláth (1990) and Kolláth et al. (1998) compiled data of the photometric variation of these two stars and tried to characterize the long-monitored pulsation. At the same time, they mention that the behavior of the variations of these two stars is quite different. The difference may come from the their locations located at different parts of the instability strip, because the effective temperatures of R Sct is estimated as 4500 K, while it is 5900 K for AC Her. This difference may cause the quite large difference in photometric variation, because AC Her may be located at the edge of the instability bay with a small amplitude pulsation, while R Sct is located well within the main instability strip. It is interesting to compare the models with observations using these well monitored data. We will discuss this problem in a future paper.
AcknowledgementsPart of this work was supported by the Japanese Grant-in-Aid for Scientific Research of the Ministry of Education, Culture, Sports, Science, and Technology, project number 14540229.
References
- Aikawa, T. 1987, Ap&SS, 139, 115 [Google Scholar]
- Aikawa, T. 1991, ApJ, 374, 700 [NASA ADS] [CrossRef] [Google Scholar]
- Aikawa, T. 1993, MNRAS, 262, 893 [NASA ADS] [Google Scholar]
- Aikawa, T. 2008, A&A, 484, 419 [NASA ADS] [CrossRef] [EDP Sciences] [Google Scholar]
- Aikawa, T., & Screenivasan, R. 1996, Pub. Astron. Soc. Japan, 48, 29 [Google Scholar]
- Allen's Astrophysical Quantities (Fourth Edition), Cox, A. N. (ed.), 2000, AIP Press [Google Scholar]
- Alexander, D. R., Ferguson, J. W. 1994, ApJ, 437, 879 [NASA ADS] [CrossRef] [Google Scholar]
- Asplund, M. 1998, A&A, 330, 641 [NASA ADS] [Google Scholar]
- Barthes, D., Lebre, A., Gillet, D., & Mauron, N. 2000, A&A, 359, 168 [NASA ADS] [Google Scholar]
- Blöcker, T. 1995, A&A, 299, 755 [NASA ADS] [Google Scholar]
- Bond, H. E., Carney, B. W., & Grauer A. D. 1994, PASP, 96, 176 [NASA ADS] [CrossRef] [Google Scholar]
- Bridger, A. 1985, in Cepheids: Theory and Observations, ed. Madore B. (CUP), 246 [Google Scholar]
- Buchler, J. R., Goupil, M.-J., & Kovacs, G. 1987, Phys. Lett. As, 126, 177 [NASA ADS] [CrossRef] [Google Scholar]
- Castor, J. I., Davis, C. G., & Davison, D. K. 1977, Los Alamos Scientific Lab., LA-6664 [Google Scholar]
- Córsico, A. H., Althaus, L. G., Miller Bertolami, M. M., & Werner, K. 2007, A&A, 461, 1095 [NASA ADS] [CrossRef] [EDP Sciences] [Google Scholar]
- Davis, C. D. 1972, ApJ, 172, 419 [NASA ADS] [CrossRef] [Google Scholar]
- Fadeyev, Yu. A. 1982, Ap&SS, 86, 143 [NASA ADS] [CrossRef] [Google Scholar]
- Fadeyev, Yu. A., & Lynas-Gray, A. E. 1996, MNRAS, 209, 38 [Google Scholar]
- Fadeyev, Yu. A., & Muthsam, H. 1990, A&A, 234, 188 [NASA ADS] [Google Scholar]
- Fadeyev, Yu. A., & Tutukov, A. V. 1981, MNRAS, 195, 811 [NASA ADS] [CrossRef] [Google Scholar]
- Frankowski, A. 2003, A&A, 265, 271 [Google Scholar]
- Hrivnak, B. J. et al. 2001, in Post-AGB Objects as a Phase of Stellar Evolution, ed. Szczeba R., & Górn, (Kluwer AP), 101 [Google Scholar]
- Jeannin, L., Fokin, A. B., Gillet, D., & Baraffe, I. 1996, A&A, 314, L1 [NASA ADS] [Google Scholar]
- Jeannin, L., Fokin, A. B., Gillet, D., & Baraffe, I. 1997, A&A, 326, 203 [NASA ADS] [Google Scholar]
- Jeffery, C. S., & Schönberner, D. 2006, A&A, 459, 885 [NASA ADS] [CrossRef] [EDP Sciences] [Google Scholar]
- Kiss, L. L., Derekas, A., Szabó, M., Bedding, T. R., & Szabados, L. 2007, A&A, 375, 1338 [Google Scholar]
- Kolláth, Z. 1990, MNRAS, 249, 377 [Google Scholar]
- Kolláth, Z., Buchler, J. R., Serre, T., & Mattei, J. 1998, A&A, 329, 147 [NASA ADS] [Google Scholar]
- Paczynski, B. 1971, AcA, 21, 417 [Google Scholar]
- Saio, H. 1995, MNRAS, 277, 1393 [NASA ADS] [Google Scholar]
- Saio, H., & Jeffery, C. S. 1988, ApJ, 328, 714 [NASA ADS] [CrossRef] [Google Scholar]
- Saio, H., Wheeler, J. C., & Cox, J. P. 1984, ApJ, 281, 318 [NASA ADS] [CrossRef] [Google Scholar]
- Schönberner, D. 1981, A&A, 103, 119 [NASA ADS] [Google Scholar]
- Schönberner, D. 1983, A&A, 272, 708 [Google Scholar]
- Schmidt, M. R. 2001, in Post-AGB Objects as s Phase of Stellar Evolution, ed. Szczeba R., & Górn, (Kluwer AP), 271 [Google Scholar]
- Seaton, M. J. 1992, MNRAS, 265, 125 [Google Scholar]
- Seaton, M. J., Yan, Yu., Mihalas, D., & Peadhan, A. K. 1994, MNRAS, 266, 805 [NASA ADS] [CrossRef] [Google Scholar]
- Stellingwerf, R. F. 1975a, ApJ, 195, 135 [NASA ADS] [Google Scholar]
- Stellingwerf, R. F. 1975b, ApJ, 199, 705 [NASA ADS] [CrossRef] [Google Scholar]
- Stothers, R. B. 2003, ApJ, 589, 960 [NASA ADS] [CrossRef] [Google Scholar]
- Szczerba, R., Siòdmiak, N., Stasinska, G., & Borkowski, J. 2007, A&A, 367, 799 (http://www.ncac.torun.pl/postagb) [NASA ADS] [CrossRef] [EDP Sciences] [Google Scholar]
- Tuchman, Y., Sack, N., & Z. Barkat 1979, ApJ, 234, 217 [NASA ADS] [CrossRef] [Google Scholar]
- Whitney, C. A. 1978, ApJ, 220, 245 [NASA ADS] [CrossRef] [Google Scholar]
- Wood, P. R. 1976, MNRAS, 174, 531 [NASA ADS] [Google Scholar]
- Zalewski, I. 1992, PASJ, 44, 27 [NASA ADS] [Google Scholar]
All Figures
![]() |
Figure 1:
The features of photometric variability of post-AGB on the
|
Open with DEXTER | |
In the text |
![]() |
Figure 2:
The results of linear analysis for model
sequences for fixed effective temperatures
(
|
Open with DEXTER | |
In the text |
![]() |
Figure 3:
Same as Fig. 2, but for the case of
|
Open with DEXTER | |
In the text |
![]() |
Figure 4:
The instability strip resulting from the linear
analysis for
|
Open with DEXTER | |
In the text |
![]() |
Figure 5:
Same as in Fig. 4, but for
|
Open with DEXTER | |
In the text |
![]() |
Figure 6:
The photospheric light curves predicted by nonlinear
models for
|
Open with DEXTER | |
In the text |
![]() |
Figure 7:
Same as in Fig. 6 but for
|
Open with DEXTER | |
In the text |
![]() |
Figure 8:
Same as in Fig. 6 but for
|
Open with DEXTER | |
In the text |
![]() |
Figure 9:
Same as in Fig. 6, but for
|
Open with DEXTER | |
In the text |
![]() |
Figure 10:
Same as in Fig. 6, but for
|
Open with DEXTER | |
In the text |
![]() |
Figure 11:
Same as in Fig. 6, but for
|
Open with DEXTER | |
In the text |
Copyright ESO 2010
Current usage metrics show cumulative count of Article Views (full-text article views including HTML views, PDF and ePub downloads, according to the available data) and Abstracts Views on Vision4Press platform.
Data correspond to usage on the plateform after 2015. The current usage metrics is available 48-96 hours after online publication and is updated daily on week days.
Initial download of the metrics may take a while.