Issue |
A&A
Volume 514, May 2010
|
|
---|---|---|
Article Number | A40 | |
Number of page(s) | 11 | |
Section | Atomic, molecular, and nuclear data | |
DOI | https://doi.org/10.1051/0004-6361/200913006 | |
Published online | 07 May 2010 |
Atomic data from the IRON project
LXVIII. Electron impact excitation of Fe XI![[*]](/icons/foot_motif.png)
G. Del Zanna1 - P. J. Storey2 - H. E. Mason1
1 - DAMTP, Centre for Mathematical Sciences, Wilberforce Road Cambridge, CB3 0WA, UK
2 -
Department of Physics and Astronomy, University College London,
Gower Street, London, WC1E 6BT, UK
Received 28 July 2009 / Accepted 11 January 2010
Abstract
A new R-matrix scattering calculation for electron
collisional excitation of Fe XI is presented and compared to
earlier calculations. The calculation includes 145 LS
terms and 465 fine-structure levels and uses
the intermediate-coupling frame transformation method (ICFT).
We discuss the strong interactions that exist between three J=1levels in the 3s2 3p3 3d electron configuration. These levels
give rise to strong lines in the EUV spectrum and their energies and
identifications have been the source of much confusion in the
literature. We show that the oscillator and collision strengths
linking these levels to the ground levels of the ion are very
sensitive to the choice of configuration basis and argue that most
earlier calculations have failed to represent these levels adequately.
Key words: atomic data - line: identification - techniques: spectroscopic
1 Introduction
Fe XI is an important ion for the quiet solar corona because it produces strong spectral lines that can be used both for plasma diagnostics and for instrument calibration. Spectral lines from Fe XI have been recorded by many solar coronal missions (e.g. Skylab, SOHO), and are of particular importance for the recent Hinode mission, in particular the Extreme ultraviolet Imaging Spectrometer (EIS), as discussed e.g. in Young et al. (2007).
To date, there have been many scattering calculations for electron collisional excitation of Fe XI, all of which are unsatisfactory in some regard when comparisons are made with observations.
The first extensive work on this ion was from Mason (1975), who performed a distorted-wave (DW) calculation using the University College London (UCL) suite of codes. This work enabled Mason & Nussbaumer (1977) to confirm line identifications in the EUV.
Bhatia & Doschek (1996, hereafter BD96) performed a DW calculation using the same codes, and a basic set of 4 electron configurations (3s2 3p4, 3s 3p5, 3s2 3p3 3d, 3p6) for their scattering calculation. These calculations were then extended by Bhatia et al. (2002, hereafter BDE02) by including some n=4 levels, for a total of 96 fine-structure levels.
Gupta & Tayal (1999a,b)
calculated collision strengths for transitions
between 38 fine-structure levels using a semi-relativistic R-matrix approach.
Large differences with the DW results of Bhatia & Doschek (1996)
were found, partly due to the resonance contribution,
partly due to the use of a different target and configuration basis.
GT99 adopted a 20 LS state target, expanded in a 78-state basis,
from Deb & Tayal (1998, hereafter DT98).
We note that this 20 state calculation is not actually described in
Deb & Tayal (1998) but as discussed below, is not in good agreement with the experimental
data. Moreover, the GT99 calculation was incomplete from an
application point of view, because it
did not include the important
5D, 3G
and
1G
LS terms.
Some of the levels originating from these terms
are metastable and it is necessary to include
them when calculating the level populations.
Aggarwal & Keenan (2003a,b) used an
8-configuration basis for their scattering calculation, in which they
included configuration-interaction (CI) among the four main spectroscopic
configurations and the additional
3s2 3p2 3d2, 3s2 3p3 4s,
3s2 3p3 4p, and 3s2 3p3 4d configurations.
There are various problems with the above calculations,
mostly due to the strong interactions
present between some Fe XI levels, as described below.
2 The target and the line identifications
The construction of a good target has been particularly challenging for this ion. This is because the energies of a large number of fine-structure levels have remained unknown experimentally, and there is strong level mixing among some levels, in particular for the three energetically highest J=1 levels in the 3s2 3p3 3d configuration. These levels are important because they give rise to some of the strongest Fe XI spectral lines, which fall in the EUV.
As part of the preliminary work to identify the best target we re-assessed all the literature and experimental data not only for Fe XI, but also for many of the ions along the same S I-like isoelectronic sequence. Most previous line identifications have been made using laboratory measurements. For the Fe ions in particular see the work by Fawcett and the group at the Culham laboratories in the 1960's and 70's (see, e.g. Fawcett & Gabriel 1965; Gabriel et al. 1965; Fawcett & Gabriel 1966; Gabriel et al. 1966; Bromage et al. 1977). Further work has been produced by a few other authors (e.g. Jupén et al. 1993; Träbert et al. 2003), however some level and line identifications were contradictory.
The spectra obtained at the Culham laboratories were
not free from impurities, but
had an excellent spectral resolution and are still the best
available to identify
lines that are formed in high-density plasmas.
As part of the assessment we have re-analysed some of the
original plates, and used some unpublished material
from Fawcett.
The spectral resolution was slightly better than the
quiet-Sun integrated rocket spectrum of Behring et al. (1976)
which has become the basic reference for many
wavelength measurements.
The result of this work, and in particular
what we refer to here as our experimental energies
,
will be published in a separate
paper (Del Zanna 2010).
2.1 Previous structure calculations
The main (spectroscopically important) configurations for Fe XI are 3s23p4, 3s 3p5, 3s23p33d, and 3p6, which give rise to 48 fine-structure levels. Decays from 3s 3p5 and 3s23p33d to the ground configuration 3s23p4 produce strong EUV lines. Additional lines in the X-ray are produced mostly by decays from n=4 levels.
Bromage et al. (1977) used Cowan's Hartree-Fock (HF) atomic structure code with the Slater parameters optimization procedure to provide experimentally-adjusted energies for the 3s2 3p3 3d levels, and oscillator strengths for transitions from these levels to the ground configuration. This was an excellent piece of work, showing the importance of combining laboratory measurements with atomic structure calculations, something rarely found in the literature. Fawcett (1986) used the Hartree-Fock-Relativistic code of Cowan with the Slater parameters optimization procedure to provide 3s2 3p3 3d level energies and oscillator strengths for 3s2 3p4-3s2 3p3 3d transitions in various ions of the S I-like sequence. The adjustments took into account the experimental wavelengths available at that time, and only included CI among the main four configurations and the additional 3s 3p4 3d, 3p5 3d, 3s 3p3 3d2 and 3s2 3p3 4s configurations.
Mendoza & Zeippen (1983) calculated transition probabilities for the forbidden transitions in the ground configuration along the isoelectronic sequence by using SUPERSTRUCTURE (see Eissner et al. 1974; Nussbaumer & Storey 1978) and a set of eight configurations.
BD96 used a basic set of four configurations within SUPERSTRUCTURE. These calculations were then extended by BDE02 by including some n=4 levels, for a total of 96 fine-structure levels. We note that this extension did not significantly alter oscillator strengths for transitions to the 3s2 3p3 3d levels, i.e. did not improve the representation of the n=3 configurations.
Fritzsche et al. (2000) calculated transition probabilities for forbidden and allowed Fe XI transitions using the GRASP92 atomic structure code and a multiconfiguration Dirac-Fock (MCDF) approach. Unfortunately, no adjustments to experimental energies were applied, nor experimental wavelengths used in the calculations of the transition probabilities. Large discrepancies (more than 50 Å) between their calculated wavelengths and the observed ones are present, particularly for the forbidden lines.
Table 1: Electron configuration basis for the benchmark calculation (48C) and orbital scaling parameters.
DT98 calculated ab initio energies and oscillator strengths with the CIV3 atomic structure code by initially including all configurations (up to n=4) with 2-electron excitations from the basic four configurations.
2.2 Our target
We have carried out a large number of structure calculations with different sets of configurations and orbitals using SUPERSTRUCTURE and AUTOSTRUCTURE (Badnell 1997). We found that the positioning and mixing of some levels changes considerably, strongly affecting energies and oscillator strengths. We have also made structure calculations using the same set of configurations as those reported in literature, and obtained similar energies and oscillator strengths, thus confirming that the large differences between different calculations were mainly due to the different sets of configurations included and not to the use of different approximations and codes.
As our best ``benchmark'' configuration basis we have chosen the
48 configurations (48C) listed in Table 1 and
used AUTOSTRUCTURE.
The scaling parameters,
,
for the potentials in which the orbital functions are
calculated are given in Table 2. A positive scaling parameter
indicates a statistical model potential while a negative scaling
parameter signifies a correlation orbital that is calculated in a
Coulomb potential with central charge number
where Z
= 26. The scaling parameters were chosen to minimise the equally
weighted sum of the energies of the 24 lowest LS terms.
Table 3 clearly shows good agreement between
the energies
and
our experimental energies
(Del Zanna 2010), in particular in terms of
relative differences between levels.
In order to further improve the energies (and help the identification
process), we have also applied term energy
corrections (TEC) based on the observed energies of
Del Zanna (2010) (48CT). The TEC procedure (see,
e.g. Zeippen et al. 1977; Nussbaumer & Storey 1978)
introduces empirical corrections to the LS Hamiltonian matrix.
The energies
(TEC) are also shown in Table 3.
We then searched for a more limited set of configurations
which provided energies (and weighted oscillator strengths gf)
as close as possible to our 48CT calculation. We identified the
basis of 13 configurations (13C) listed in Table 2.
This was used as the target basis for our scattering
calculation.
The energies
from our target calculation (13C) agree well with
those from the benchmark calculation and our experimental energies
(Del Zanna 2010), as shown in
Table 3.
Recently, Ishikawa & Vilkas (2008) have published theoretical level
energies for ions along the S I-like sequence obtained with the
relativistic multireference many-body perturbation theory (hereafter
referred to as MR-MP). This procedure yields very accurate energies,
as known from previous work (see Ishikawa & Vilkas 2001;
Del Zanna & Mason 2005, for Fe XII;
Del Zanna & Ishikawa 2009, for Fe XVII;
Ishikawa et al. 2009, for ions along the Ne I-like sequence).
Table 3 clearly shows good agreement between
our experimental energies
(Del Zanna 2010) and those calculated by the MR-MP
method. This confirms the reliability of our
experimental energies (which were obtained independently
before the MR-MP ones were published).
Table 2: The target electron configuration basis (13C) and orbital scaling parameters.
Table 4 lists the
weighted oscillator strengths (gf) for a
few of the most important transitions from the five levels
of the ground configuration obtained from our benchmark
basis (with and without TEC) and from the target basis.
A remarkably good agreement between the
gf values obtained with our target and benchmark calculations
can be seen.
Table 4 also lists gf values calculated
by DT98, AK03, BDE02.
Large differences are found for all the transitions from
highly mixed levels. This includes for example the strong
3P2-3P
(1-38) transition
for which AK03 calculated a gf of 3.4 and BDE02 of 4.0
compared to our best value of 2.5.
The special case of the three highly mixed J=1 levels
is discussed in detail in the following Section.
Note that the gf values obtained by F86 are often more accurate than
any of the previous ab-initio calculations, because
experimental adjustments were applied.
Table 3: List of energies (cm-1) for the lowest 48 levels of Fe XI.
The large differences in gf values are directly reflected in large differences in collision strengths as we shall discuss later. This occurs because the main contribution for strong dipole-allowed transitions comes from high partial waves, where the collision strength is approximately proportional to the gf value for the transition.
Given that gf values from our target calculation are very similar to those of the benchmark + TEC one, it follows that transition probabilities are also very similar. Mixing and level ordering changes with any experimental adjustement, so transition probabilities to be associated with the present scattering calculation were calculated from the target calculation, by only adding all spin-spin interactions within the lowest four configurations, and by replacing energies with the experimental ones of Del Zanna (2010), whenever available.
Table 4: Weighted absorption oscillator strengths (gf).
2.3 Identification of the three 3s2 3p3 3d J = 1 levels
The strength of the interaction between levels of the same J and parity depends, to a first approximation, on the inverse of the energy difference between them. There are three J=1 levels (indices 37, 39, 41 in Table 3) within the 3s2 3p3 3d which lie very close in energy, and hence interact strongly. This makes the definition of a good target, which represents these levels well, challenging. Another complexity lies in the fact that levels change their percentage composition and energy ordering along the isoelectronic sequence, as shown in Fig. 2. These results were obtained with AUTOSTRUCTURE applying the same benchmark basis (with correlation orbitals) and minimization procedure to all the ions in the sequence.
Whilst the lower and upper J=1levels are so strongly interacting that no designation in LS terms is
meaningful, the middle J=1
3s2 3p3 (2D) 3d
3S
level remains identifiable throughout the sequence
and becomes the ``middle'' J=1 level for Fe XI.
The ``labelling'' used for these levels varies in the literature, however we prefer to call them ``lower, middle and upper J=1 level'' here, the ordering being their energy relative to the ground state (our levels 37, 39 and 41 respectively).
To establish the identifications and energies of the mixed J=1levels we started by confirming the identification of the
3s2 3p3 (2D) 3d 3P
level (38 in
Table 3). This level produces two strong decays to
the ground 3P
levels (1-38 and 2-38). The 1-38
line is observed at 188.216 Å and is the second strongest
Fe XI line in low-density plasmas. The 2-38 transition is observed
at 192.813 Å, in exact agreement with the splitting between the
ground 3P
levels, known from the strong forbidden
line at 7891.8 Å.
The separation between the 3P
levels calculated in the
48C basis suggests an energy for the upper J=1 level in broad agreement
with the value 541 410 cm-3 derived by Bromage et al. (1977)
and based on the following correct assignments made by those authors:
2-41: 189.129 Å; 3-41: 189.735 Å;
4-41: 198.549 Å.
Jupén et al. (1993) labelled this level 1P
and incorrectly identified the 2-41 and 4-41
transitions with the lines observed at
192.619 and 202.405 Å in the laboratory spectra.
BD96 had the same correct assignment as Bromage et al. (1977).
![]() |
Figure 2:
Difference between the theoretical energies
of the three 3s2 3p3 3d J=1 levels and the theoretical energy of the
3s2 3p3 (2D) 3d 3P
|
The middle J=1 level 3s2 3p3 (2D) 3d
3S
(39) produces four observable
transitions: 4-39, 1-39, 2-39, 3-39, correctly
identified by Bromage et al. (1977) with the lines
observed at 201.737, 187.446, 192.020 and 192.641 Å.
Jupén et al. (1993) instead incorrectly identified
the 1-39 transition with the line observed in the
laboratory spectra at 184.704 Å.
Note that the labelling for this level given by
Jupén et al. (1993) was 3P
.
BD96 had the same correct assignment as Bromage et al. (1977).
Keenan et al. (2005) incorrectly identified the
2-39, 3-39 transitions with the lines observed at
189.19 and 189.72 Å respectively.
The lowest J=1 level (level 37) is the most complex one, since the oscillator strength for its decay to the ground state is very sensitive to mixing. The gf values obtained in the benchmark, 48CT, calculation suggest that this transition should be third strongest from this ion. We identify this transition (1-37) with the strong 188.299 Å line. This line is very close to the 1-38 transition (188.216 Å), and is about 70% its intensity. The ratio in gf values means that (neglecting cascading) we predict a relative intensity of 60%, not too far from the measured value. Notice that AK03 and DT98 predict about 20% and 50% respectively.
Bromage et al. (1977) had a calculated wavelength for the 1-37
transition of 188.40 Å, very close to the actual value (188.299 Å),
however they
identified it with a weaker line observed at 189.940 Å.
This error was caused by the fact that the 188.299 Å line
was incorrectly assigned to an Fe XII transition.
BD96 also gave the same incorrect assignment.
Jupén et al. (1993) correctly identified this level,
although they gave it an incorrect labelling (3S
)
which has caused confusion in the literature.
As we have already seen, Ishikawa & Vilkas (2008) provided very good level energies, however in terms of identifications there are a few incorrect assignments, which originated from previous literature (Ishikawa, priv. comm.). Furthermore, the comparisons listed in Ishikawa & Vilkas (2008) between their results and those of Jupén et al. (1993) were not appropriate because the assignments followed the labelling of the levels given by Jupén et al. (1993), rather than their order in energy.
In terms of labelling, the National Institute of Standards and Technology (NIST)
version 3 database
provides incorrect assignments for the three J=1 levels.
However, in terms of wavelength assignments, it provides
correct identification for the middle and upper J=1 levels,
because the original assignments of Bromage et al. (1977)
were adopted.
3 The scattering calculation
The R-matrix method used in the scattering calculation is described in Hummer et al. (1993) and Berrington et al. (1995). We performed the calculation in the inner region in LS coupling and included mass and Darwin relativistic energy shifts. The configuration basis describing the target for the present calculation is shown in Table 2 and Fig. 1. We used the AUTOSTRUCTURE code (Badnell 1997) to obtain the target radial wavefunctions using radial scaling parameters to minimize the equally-weighted sum of all LS term energies as listed in Table 2. The energies of the target terms are listed in Table 5, together with the experimental ones (Del Zanna 2010), which were used within the calculation to accurately position the resonance thresholds.
The set of 13 electron configurations gives rise to 465 LS terms and 1103 fine-structure levels. For the scattering calculation we have retained only the lowest 145 LS terms, which give rise to 365 levels and 66 430 transitions. The expansion of each scattered electron partial wave was done over a basis of 25 functions within the R-matrix boundary, and the partial wave expansion extended to a maximum total orbital angular momentum quantum number of L=16.
The outer region calculation used the intermediate-coupling frame transformation method (ICFT) described by Griffin et al. (1998), in which the transformation to intermediate coupling uses the so-called term-coupling coefficients (TCCs), and is complete up to a total angular momentum quantum number, J=23/2. We have supplemented this calculation, which includes exchange, with a non-exchange calculation that extends from J=25/2 to J=73/2. Dipole-allowed transitions were topped-up to infinite partial wave using an intermediate coupling version of the Coulomb-Bethe method as described by Burgess (1974) while non-dipole allowed transitions were topped-up assuming that the collision strengths form a geometric progression in J for J>73/2(see Badnell & Griffin 2001).
Table 5:
Theoretical
energies of target terms
(Rydberg),
with the experimental energies
adopted for the scattering calculation.
Only the terms from the lowest 4 configurations are shown here.
![]() |
Figure 4: Collision strengths for transitions within the ground configuration, averaged over 1 Ryd. Boxes indicate the GT99 values, while triangles the AK03 ones. |
![]() |
Figure 5: Collision strengths for a selection of 3s2 3p4-3s 3p5 transitions, averaged over 1 Ryd. Boxes indicate the GT99 values, while triangles the AK03 ones. |
3.1 Collision strengths
The R-matrix calculation extended to an incident electron energy of 141 Ry. At higher energies we used the method of scaling and extrapolating to the appropriate high-energy limits as described in Burgess & Tully (1992). The high-energy limits were calculated with AUTOSTRUCTURE for both optically-allowed (see Burgess et al. 1997) and forbidden transitions (see Chidichimo et al. 2003).
The collision strengths of all the transition from the levels of the ground configuration have been visually inspected, to check that the values converged to the respective high-energy limits.
Figure 3 shows as an example the collisions strengths of the 1-2 transition in the resonance region. Notice the large number of resonances. Figures 4-7 show a sample of collision strengths, averaged over 1 Ry for an easier comparison with literature data. At energies above all resonances, good agreement was found with the values calculated by GT99 and AK03 for transitions within the ground configuration (see Fig. 4), with the exception of the 3P0-1S0 values calculated by GT99. Good agreement is found for the transitions to 3s 3p5 calculated by GT99 (see Fig. 5), with some differences with the AK03 values. Larger differences are found for transitions to the 3s2 3p3 3d levels (see Fig. 6). The large discrepancies seen in the gf values for the especially ``troublesome'' transitions to the J=1 levels are reflected in the large discrepancies in the collision strengths seen in Fig. 7.
![]() |
Figure 6: Collision strengths for a selection of 3s2 3p4-3s2 3p3 3d transitions, averaged over 1 Ryd. Boxes indicate the GT99 values, while triangles the AK03 ones. |
![]() |
Figure 7: Collision strengths for transitions involving the three J=1 levels, averaged over 1 Ryd. Boxes indicate the GT99 values, while triangles the AK03 ones. |
Table 6:
Effective collision strengths for a
selection of transitions from the ground state, at 4
temperatures (log T[K] = 5.7, 6.0, 6.3, 6.7;
).
3.2 The effective collision strengths
We calculated the temperature-dependent effective
collision strength
by assuming a
Maxwellian electron distribution:

where Ej is the final energy of the colliding electron (after excitation has occurred) and k is the Boltzmann constant. We performed the numerical integration by linearly interpolating the

The effective collision strengths
were calculated in a wide temperature range
(
K) to
cover all astrophysical applications.
A selection of values for transitions from the ground state
up to the 3p6 1S0 level (48) are shown in Table 6
(the full dataset is available on-line).
Given that results obtained with the intermediate-coupling frame transformation
are known to be comparable in accuracy to those obtained using a full Breit-Pauli R-matrix calculation,
the main uncertainty in the rates derives from the accuracy of the target. Rates for most
strong transitions are expected to have a relative accuracy of 10% or so, although
those involved with the highly mixed levels 37, 39, 41 are expected to be less
accurate. Comparison with experimental data (Del Zanna 2010) indicates agreement within 20% for most line intensities, which is encouraging.
Figures 8-11 show effective collision strengths for the same selection of transitions for which we plotted collision strengths. In Fig. 12 we plot our effective collision strengths for dipole-allowed transitions at 106 K against the AK03 values. Strong transitions with differences of more than a factor of two are labelled. In Fig. 13 we plot our effective collision strengths for dipole-allowed transitions at two temperatures against the GT99 values. In Fig. 14 we plot our values for forbidden transitions at a low temperature, against the AK03 and GT99 values.
![]() |
Figure 8: Effective collision strengths for transitions within the ground configuration. Boxes indicate the GT99 values, while triangles the AK03 ones. |
![]() |
Figure 9: Effective collision strengths for a selection of 3s2 3p4-3s 3p5 transitions. Boxes indicate the GT99 values, while triangles the AK03 ones. |
![]() |
Figure 10: Effective collision strengths for a selection of 3s2 3p4-3s2 3p3 3d transitions. Boxes indicate the GT99 values, while triangles the AK03 ones. |
![]() |
Figure 11: Effective collision strengths for transitions involving the three J=1 levels. Boxes indicate the GT99 values, while triangles the AK03 ones. |
Significant differences with the R-matrix calculations of GT99 and AK03 are found for a large number of transitions. The largest (more than a factor of two) differences are, as expected from the large discrepancies seen in the gf values, for the ``troublesome'' transitions to the J=1 levels (Figs. 11-13). We believe that most of the differences at 106 K are due to the different target basis.
At high temperatures, the AK03 values tend to have the correct behaviour overall, while the GT99 values for all the strong dipole-allowed transitions are underestimated as shown in Figs. 9-11, 13. This does not occur for the forbidden transitions (see Figs. 8, 14). The fact that good agreement in the collision strengths is found at low energies possibly means missing high partial wave and/or high energy contributions to the dipole-allowed collision strengths in the work of Gupta & Tayal (1999b). The same finding is reported in a study of Fe XIII by Storey & Zeippen (2009).
![]() |
Figure 14:
Comparison of effective collision strength for forbidden transitions
at
|
At low temperatures, and in particular for the forbidden transitions, very large differences are found, in particular with the AK03 values which are consistently lower, as Fig. 14 shows. The most likely explanation is the additional resonances present in our calculation due to the larger number of target states, which are particularly significant at lower temperatures.
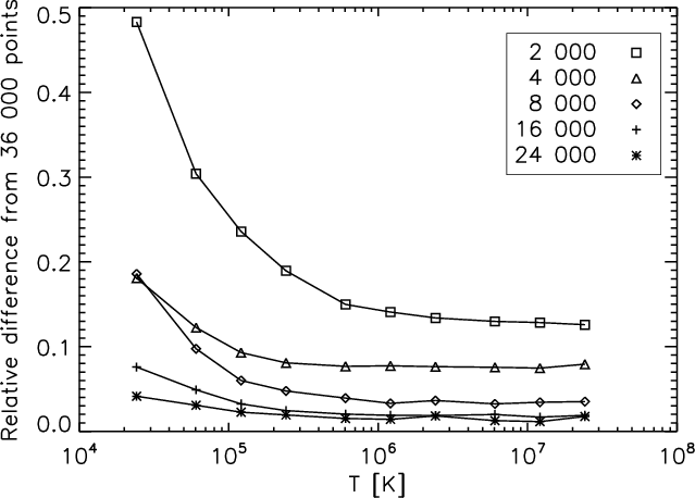
3.3 Convergence on energy resolution
Several calculations of the collision strengths
were made using
different energy resolutions.
A coarse mesh of 0.75 Ry was used beyond the resonance region of the
exchange calculation and over the entire energy range of the non-exchange
calculation up to an energy of 141 Ry in all the calculations.
In order to test the importance of the energy resolution in
the resonance region, the number of energy points
was increased from 2000 up to 32 000 in steps of 2000 points.
For each of these cases, we calculated the final collision
strength and the thermally-averaged ones.
We have then considered all the transitions from the
ground configuration to the other spectroscopically-important
configurations shown in Table 3,
and calculated the maximum deviation
of the thermally-averaged collision
strength for a set of temperatures. The results are shown in
Fig. 15, where it is clear that for a number of mesh
points larger than 16 000 the maximum deviation is less than
10% at all temperatures.
4 Summary and conclusions
A number of scattering calculations for electron collisional excitation of Fe XI have been produced in the literature, none of which have been able to correctly represent the excitation for some of the most important levels for the EUV spectrum of this ion.
After a long iterative procedure in which we combined experimental data with structure calculations along the S I-like sequence, we have been able to identify a good basis for our scattering calculations, and to provide reliable energies and oscillator strengths.
During this procedure we were able to identify most of the previously unknown fine-structure levels within the important 3s23p33d configuration, which gives rise to strong EUV transitions observed for example by Hinode/EIS.
In terms of collision strengths, we find large differences with values found in previous literature, in particular for those few transitions arising from levels highly mixed and very sensitive to the target. We believe that several outstanding discrepancies between astronomical observations and theory are resolved with this new calculation, as described in Del Zanna (2010).
G.D.Z. acknowledges support from STFC via the Advanced Fellowship program. We acknowledge support from STFC (UK) via the APAP network grant. We thank N. R. Badnell for various advices on the calculations. G.D.Z. warmly thanks B. C. Fawcett for continuous support and encouragement, together with many exchanges of correspondence.
References
- Aggarwal, K. M., & Keenan, F. P. 2003a, A&A, 399, 799 [NASA ADS] [CrossRef] [EDP Sciences] [Google Scholar]
- Aggarwal, K. M., & Keenan, F. P. 2003b, MNRAS, 338, 412 [NASA ADS] [CrossRef] [Google Scholar]
- Badnell, N. R. 1997, J. Phys. B Atomic Molecular Physics, 30, 1 [Google Scholar]
- Badnell, N. R., & Griffin, D. C. 2001, J. Phys. B Atomic Molecular Physics, 34, 681 [Google Scholar]
- Behring, W. E., Cohen, L., Doschek, G. A., & Feldman, U. 1976, ApJ, 203, 521 [NASA ADS] [CrossRef] [Google Scholar]
- Berrington, K. A., Eissner, W. B., & Norrington, P. H. 1995, Comp. Phys. Comm., 92, 290 [Google Scholar]
- Bhatia, A. K., & Doschek, G. A. 1996, Atomic Data and Nuclear Data Tables, 64, 183 [NASA ADS] [CrossRef] [Google Scholar]
- Bhatia, A. K., Doschek, G. A., & Eissner, W. 2002, Atomic Data and Nuclear Data Tables, 82, 211 [Google Scholar]
- Bromage, G. E., Cowan, R. D., & Fawcett, B. C. 1977, Phys. Scr, 15, 177 [Google Scholar]
- Burgess, A. 1974, J. Phys. B Atomic Molecular Physics, 7, L364 [Google Scholar]
- Burgess, A., Chidichimo, M. C., & Tully, J. A. 1997, J. Phys. B Atomic Molecular Physics, 30, 33 [NASA ADS] [CrossRef] [Google Scholar]
- Burgess, A., & Tully, J. A. 1992, A&A, 254, 436 [NASA ADS] [Google Scholar]
- Chidichimo, M. C., Badnell, N. R., & Tully, J. A. 2003, A&A, 401, 1177 [NASA ADS] [CrossRef] [EDP Sciences] [Google Scholar]
- Deb, N. C., & Tayal, S. S. 1998, Atomic Data and Nuclear Data Tables, 69, 161 [Google Scholar]
- Del Zanna, G. 2010, A&A, 514, A41 [NASA ADS] [CrossRef] [EDP Sciences] [Google Scholar]
- Del Zanna, G., & Ishikawa, Y. 2009, A&A, 508, 1517 [NASA ADS] [CrossRef] [EDP Sciences] [Google Scholar]
- Del Zanna, G., & Mason, H. E. 2005, A&A, 433, 731 [NASA ADS] [CrossRef] [EDP Sciences] [Google Scholar]
- Eissner, W., Jones, M., & Nussbaumer, H. 1974, Computer Physics Communications, 8, 270 [Google Scholar]
- Fawcett, B. C. 1986, Atomic Data and Nuclear Data Tables, 35, 185 [Google Scholar]
- Fawcett, B. C., & Gabriel, A. H. 1965, ApJ, 141, 343 [NASA ADS] [CrossRef] [Google Scholar]
- Fawcett, B. C., & Gabriel, A. H. 1966, Proc. Phys. Soc., 88, 262 [NASA ADS] [CrossRef] [Google Scholar]
- Fritzsche, S., Dong, C. Z., & Träbert, E. 2000, MNRAS, 318, 263 [NASA ADS] [CrossRef] [Google Scholar]
- Gabriel, A. H., Fawcett, B. C., & Jordan, C. 1965, Nature, 206, 390 [NASA ADS] [CrossRef] [Google Scholar]
- Gabriel, A. H., Fawcett, B. C., & Jordan, C. 1966, Proc. Phys. Soc., 87, 825 [NASA ADS] [CrossRef] [Google Scholar]
- Griffin, D. C., Badnell, N. R., & Pindzola, M. S. 1998, J. Phys. B Atomic Molecular Physics, 31, 3713 [Google Scholar]
- Gupta, G. P., & Tayal, S. S. 1999a, ApJ, 510, 1078 [NASA ADS] [CrossRef] [Google Scholar]
- Gupta, G. P., & Tayal, S. S. 1999b, ApJS, 123, 295 [NASA ADS] [CrossRef] [Google Scholar]
- Hummer, D. G., Berrington, K. A., Eissner, W., et al. 1993, A&A, 279, 298 [NASA ADS] [Google Scholar]
- Ishikawa, Y., & Vilkas, M. J. 2001, Phys. Rev. A, 63, 042506 [NASA ADS] [CrossRef] [Google Scholar]
- Ishikawa, Y., & Vilkas, M. J. 2008, Phys. Rev. A, 78, 042501 [NASA ADS] [CrossRef] [Google Scholar]
- Ishikawa, Y., López-Encarnación, J. M., & Träbert, E. 2009, Phys. Scr., 79, 025301 [NASA ADS] [CrossRef] [Google Scholar]
- Jupén, C., Isler, R. C., & Trabert, E. 1993, MNRAS, 264, 627 [NASA ADS] [CrossRef] [Google Scholar]
- Keenan, F. P., Aggarwal, K. M., Ryans, R. S. I., et al. 2005, ApJ, 624, 428 [NASA ADS] [CrossRef] [Google Scholar]
- Mason, H. E. 1975, MNRAS, 170, 651 [NASA ADS] [Google Scholar]
- Mason, H. E., & Nussbaumer, H. 1977, A&A, 54, 547 [NASA ADS] [Google Scholar]
- Mendoza, C., & Zeippen, C. J. 1983, MNRAS, 202, 981 [NASA ADS] [CrossRef] [Google Scholar]
- Nussbaumer, H., & Storey, P. J. 1978, A&A, 64, 139 [NASA ADS] [Google Scholar]
- Storey, P. J., & Zeippen, C. 2010, A&A, 511, A78 [NASA ADS] [CrossRef] [EDP Sciences] [Google Scholar]
- Träbert, E., Calamai, A. G., Gwinner, G., et al. 2003, J. Phys. B Atomic Molecular Physics, 36, 1129 [NASA ADS] [CrossRef] [Google Scholar]
- Young, P. R., Del Zanna, G., Mason, H. E., et al. 2007, PASJ, 59, 857 [Google Scholar]
- Zeippen, C. J., Seaton, M. J., & Morton, D. C. 1977, MNRAS, 181, 527 [NASA ADS] [CrossRef] [Google Scholar]
Footnotes
- ... XI
- Detailed tables of the present data are available in electronic form at the CDS via anonymous ftp to cdsarc.u-strasbg.fr (130.79.128.5) or via http://cdsweb.u-strasbg.fr/cgi-bin/qcat?J/A+A/514/A40
- ... database
- http://physics.nist.gov
All Tables
Table 1: Electron configuration basis for the benchmark calculation (48C) and orbital scaling parameters.
Table 2: The target electron configuration basis (13C) and orbital scaling parameters.
Table 3: List of energies (cm-1) for the lowest 48 levels of Fe XI.
Table 4: Weighted absorption oscillator strengths (gf).
Table 5:
Theoretical
energies of target terms
(Rydberg),
with the experimental energies
adopted for the scattering calculation.
Only the terms from the lowest 4 configurations are shown here.
Table 6:
Effective collision strengths for a
selection of transitions from the ground state, at 4
temperatures (log T[K] = 5.7, 6.0, 6.3, 6.7;
).
All Figures
![]() |
Figure 1: The energetically lowest electron configurations of Fe XI. The energies are those of the benchmark calculation (48C), with all orbitals treated as spectroscopic. Configurations included within the target basis are highlighted in bold. Notice that the last two of the 13 target configurations are not shown in the plot, because they lie at higher energies, mixed with many other configurations. The 3s2 3p2 3d 4p levels start at 15.14 Ryd, while those of the 3s2 3p2 3d 4f configuration at 17.57 Ryd. The 145 terms which produce levels having energies below the dashed line have been retained for the scattering calculation. |
In the text |
![]() |
Figure 2:
Difference between the theoretical energies
of the three 3s2 3p3 3d J=1 levels and the theoretical energy of the
3s2 3p3 (2D) 3d 3P
|
In the text |
![]() |
Figure 3: Collision strength for the 1-2 transition. |
In the text |
![]() |
Figure 4: Collision strengths for transitions within the ground configuration, averaged over 1 Ryd. Boxes indicate the GT99 values, while triangles the AK03 ones. |
In the text |
![]() |
Figure 5: Collision strengths for a selection of 3s2 3p4-3s 3p5 transitions, averaged over 1 Ryd. Boxes indicate the GT99 values, while triangles the AK03 ones. |
In the text |
![]() |
Figure 6: Collision strengths for a selection of 3s2 3p4-3s2 3p3 3d transitions, averaged over 1 Ryd. Boxes indicate the GT99 values, while triangles the AK03 ones. |
In the text |
![]() |
Figure 7: Collision strengths for transitions involving the three J=1 levels, averaged over 1 Ryd. Boxes indicate the GT99 values, while triangles the AK03 ones. |
In the text |
![]() |
Figure 8: Effective collision strengths for transitions within the ground configuration. Boxes indicate the GT99 values, while triangles the AK03 ones. |
In the text |
![]() |
Figure 9: Effective collision strengths for a selection of 3s2 3p4-3s 3p5 transitions. Boxes indicate the GT99 values, while triangles the AK03 ones. |
In the text |
![]() |
Figure 10: Effective collision strengths for a selection of 3s2 3p4-3s2 3p3 3d transitions. Boxes indicate the GT99 values, while triangles the AK03 ones. |
In the text |
![]() |
Figure 11: Effective collision strengths for transitions involving the three J=1 levels. Boxes indicate the GT99 values, while triangles the AK03 ones. |
In the text |
![]() |
Figure 12: Comparison of effective collision strengths for dipole-allowed transitions at T=106 K, compared to AK03. Strong transitions with values differing by more than a factor of 2 are labelled with our level indices. |
In the text |
![]() |
Figure 13: Comparison of effective collision strength for dipole-allowed transitions at two temperatures, compared to GT99. Strong transitions with values differing by more than a factor of 2 are labelled with our level indices. |
In the text |
![]() |
Figure 14:
Comparison of effective collision strength for forbidden transitions
at
|
In the text |
![]() |
Figure 15: Maximum relative difference between the thermally-averaged collision strengths calculated with 36 000 mesh points in the resonance region, and a number of increasing mesh points from 2000 to 24 000. Only transitions from the 3s23p4 levels to 3s23p4, 3s 3p5, 3s23p33d and 3p6 were considered. |
In the text |
Copyright ESO 2010
Current usage metrics show cumulative count of Article Views (full-text article views including HTML views, PDF and ePub downloads, according to the available data) and Abstracts Views on Vision4Press platform.
Data correspond to usage on the plateform after 2015. The current usage metrics is available 48-96 hours after online publication and is updated daily on week days.
Initial download of the metrics may take a while.