Issue |
A&A
Volume 514, May 2010
|
|
---|---|---|
Article Number | A100 | |
Number of page(s) | 12 | |
Section | Extragalactic astronomy | |
DOI | https://doi.org/10.1051/0004-6361/200913049 | |
Published online | 28 May 2010 |
The warm absorber and X-ray variability of the Seyfert 1 galaxy NGC 3516 as seen by the XMM-Newton RGS
M. Mehdipour - G. Branduardi-Raymont - M. J. Page
Mullard Space Science Laboratory, University College London, Holmbury St. Mary, Dorking, Surrey, RH5 6NT, UK
Received 1 August 2009 / Accepted 17 February 2010
Abstract
Aims. We present a new analysis of the soft and
medium energy X-ray spectrum of the Seyfert 1 galaxy
NGC 3516 taken with the Reflection Grating Spectrometer (RGS)
and European Photon Imaging Camera (EPIC) on board the XMM-Newton
observatory. We examine four observations made in
October 2006. We investigate whether the observed variability
is due to absorption by the warm absorber and/or is intrinsic to the
source emission.
Methods. We analyse in detail the EPIC-pn and
RGS spectra of each observation separately.
Results. The warm absorber in NGC 3516 is
found to consist of three phases of ionisation, two of which
have outflow velocities of more than 1000
.
The third phase (the least ionised one) is much slower at
100
.
One of the high ionisation phases, with
of 2.4, is found to have a partial covering fraction
of about 60%. It has previously been suggested that the passage of a
cloud, part of a disc wind, in front of the source (producing a change
in the covering fraction) was the cause of a significant dip in the
lightcurve during one of the observations. From our modelling of the
EPIC-pn and RGS spectra, we find that variation in the
covering fraction cannot be solely responsible for this. We show that
intrinsic change in the source continuum plays a much more significant
role in explaining the observed flux and spectral variability than
originally thought.
Key words: galaxies: active - galaxies: Seyfert - galaxies: individual: NGC 3516 - X-rays: galaxies - techniques: spectroscopic
1 Introduction
Recent X-ray observations of many Seyfert 1 galaxies and some quasars show evidence of absorbing photoionised gas in our line of sight towards the active nucleus (e.g. Blustin et al. 2005; Costantini et al. 2007; Kaastra 2008; Reeves et al. 2003; Kaastra et al. 2000). This gas is normally found to be outflowing with often several distinct components, and is referred to as a ``warm absorber''; its absorption signatures are clearly seen in the high resolution X-ray spectra. Active galactic nucleus (AGN) outflows, in general, are believed to have important astrophysical implications. For example, strong outflows from the AGN can affect the growth of the supermassive black hole at its core and enrichment of the interstellar medium and the intergalactic medium could alter the course of the host galaxy evolution through feedback processes. The extent of the outflow contribution depends on its kinetic luminosity and the mass outflow rate. To reconstruct the kinetic luminosity of the outflow, the ionisation state and structure of the warm absorber need be to determined from photoionisation modelling of the high resolution X-ray spectra.
The first warm absorber identification was reported by Halpern (1984) from an observation of the QSO MR2251-178 with the Einstein Observatory. Then in the days of ROSAT and ASCA, warm absorbers were found through the detection of what was interpreted as broad and blended continuum absorption edges of ions such as O VII and O VIII. For examples of early studies of AGN warm absorbers using ROSAT see Nandra & Pounds (1992), Nandra et al. (1993) and Turner et al. (1993); for those using ASCA, see Reynolds (1997) and George et al. (1998). However, the instruments used at that time had insufficient spectral resolution to measure any details, like the presence and parameters of narrow absorption lines. With the advent of high resolution X-ray spectrometers onboard XMM-Newton and Chandra, the availability of high-resolution spectra has allowed a major leap forward in the study of AGN outflows in the last decade, starting with the original discovery of numerous blue-shifted absorption lines from photoionised, outflowing gas in QSO MR2251-178 by Kaastra et al. (2000), the subsequent identification of similar features in a number of AGN and the discovery of an unresolved transition array (UTA) of low ionised iron ions in QSO MR2251-178 by Sako et al. (2001).
The source QSO MR2251-178 is a
Seyfert 1.5 SB0 galaxy at a redshift of 0.008836 (Keel 1996) in the constellation of
Ursa Major. Even from early X-ray observations of this object,
signatures of a multi-phase warm absorber have been evident.
From simultaneous far-UV and ASCA X-ray
observations in 1995, a warm absorber with at least two
absorption components was reported by Kriss
et al. (1996). The two components differ by a factor
of 8 in the ionisation parameter; the more highly ionised has
a column density twice as large as the less ionised component. Netzer et al. (2002)
investigated spectral variations of NGC 3516 over a period of
seven years, by using archival ASCA and early Chandra
observations. They reported a large drop in flux (factor of 50
at 1 keV) between an ASCA
observation in 1994 and the Chandra
observation in 2000. Netzer
et al. (2002) concluded that the variations in the
observed flux and spectra at these epochs were consistent with a
constant column density of line-of-sight material reacting to changes
in the ionising continuum.
The galaxy NGC 3516 was observed twice by XMM-Newton
in April and November 2001; both observations were partially
overlapping with Chandra observations. Turner et al. (2002)
presented results from the simultaneous Chandra
High Energy Transmission Grating (HETG) and XMM-Newton
observations made in November 2001: analysis of the
Fe K
regime showed
evidence of several narrow emission features and of rapid evolution of
the Fe K
line during the
observation. From the 2001 observations, Turner
et al. (2005) reported three distinct zones (phases)
of gas with different ionisation parameters covering the active
nucleus. The ionisation parameter (
)
is defined as
where






The warm absorber phases found in Turner
et al. (2005) are a low-ionisation UV/X-ray absorber
with
and hydrogen column density of
;
a more highly ionised gas with
and
outflowing at a velocity of
;
and a phase with
and a very large hydrogen column density of
covering
of the continuum. Turner et al.
(2005) found the spectral variability in the
2001 observations to be consistent with the ionisation-state
of the absorbing gas layers responding to the continuum flux variation.
More recently, four observations of NGC 3516 were
performed by XMM-Newton in October 2006,
interwoven with Chandra observations. The analysis
of the EPIC-pn and Chandra HETG data is published
in Turner et al. (2008).
They discovered a previously unknown ionisation phase in the
Fe K
regime, with
and
.
In line with the results from the 2001 observations, a
phase with a covering fraction of
was confirmed. This phase was found to have
and
.
The source showed significant flux variability between observations,
especially a dip in the lightcurve of the third observation. Turner et al. (2008)
concluded that changes in the covering fraction of the
phase partially covering the continuum provide a simple
explanation of the dip in the lightcurve. They interpreted this as an
eclipse of the continuum due to passage of a cloud across the line of
sight over half a day.
We present a new analysis of the EPIC-pn, RGS and OM data from the four XMM-Newton observations of October 2006, with the emphasis put on the RGS spectra. Section 2 describes the observations and data analysis and Sect. 3 focuses on the lightcurves; the spectral modelling is described in detail in Sects. 4 and 5; we discuss our findings in Sect. 6 and give concluding remarks in Sect. 7.
2 Observations and data analysis
We extracted the EPIC-pn, RGS and OM data for the four 2006 observations from the XMM-Newton Science Archive (XSA). The XMM-Newton observation IDs are 04012010401 (51.6 ks), 04012010501 (68.8 ks), 04012010601 (68.2 ks) and 04012011001 (67.8 ks). Hereafter, we refer to them as Obs. 1, Obs. 2, Obs. 3 and Obs. 4, respectively.
All the Observation Data File (ODF) data were processed using SAS v7.12, unless specified otherwise in the text. For EPIC-pn, RGS1 and RGS2, periods of high flaring background were filtered out before extracting scientific products. For the EPIC-pn, this was done by creating Good Time Intervals (GTIs), and using them in conjunction with the internal GTI tables to remove periods with single event count rates exceeding 0.4 counts per second in the energy range E > 10 keV. For the RGS instrument, in addition to the internal GTIs, we constructed an extra GTI table to filter out periods with count rates above 0.4 counts per second in CCD number 9, which is the closest to the optical axis of the telescope and therefore the most affected by background flares.
The spectra and lightcurves of EPIC-pn, operating in the Small Window mode, were extracted from a circular region of 40'' radius centred on the source. The background was extracted from a source-free region of the same radius, located at the same RAWY as the source on the same chip. The EPIC-pn showed no evidence of pile-up. The EPIC-pn lightcurves were background-subtracted and corrected (using the epiclccorr SAS v8 task) for various effects on the detection efficiency such as vignetting, bad pixels, chip gaps, Point Spread Function (PSF) variation and quantum efficiency; the task also makes corrections, which vary with time and thus affect the stability of the detection, like dead time and GTIs. The RGS instruments were operated in the standard Spectro+Q mode. The first and second order spectra of RGS1 and RGS2 were extracted, and the response matrices were generated with the rgsproc processing task.
The OM was operated in Image+Fast mode in all
observations, as well as in Science User Defined mode in the last two
exposures of Obs. 1, Obs. 3 and Obs. 4. The
images in all four observations were taken with the U filter
(3000-3900 ).
The OM Image mode data were processed with the omichain pipeline.
The resulting images are each of 1400 s exposure. The
FWHM of the source is about 1.6
,
which is consistent with the OM on-board PSF FWHM
of 1.55
in the U filter. We performed photometry
on each image in a fully interactive way using the omsource
program: we carefully selected the source and background regions to
extract the count rate, and applied all the necessary corrections such
as for the PSF and coincidence losses, including time-dependent
sensitivity (TDS) corrections. The OM lightcurves were
extracted from a circle of 8 pixels radius (1 pixel =
0.48
)
centred on the source nucleus. The background was extracted from a
source-free region of the same radius.
![]() |
Figure 1:
Upper panel: top lightcurves:
the OM background-subtracted U band
(3000-3900 |
Open with DEXTER |
All the results presented in this work are from simultaneous fits of
the EPIC-pn and the first-order RGS1 and RGS2 spectra, unless specified
otherwise in the text. The EPIC-pn spectra are in the range
0.2-10 keV and are binned to a minimum of 200 counts
per bin. The RGS data are in the range 6-38
(0.33-2.07 keV), binned by a factor of 3 (this
corresponds to an average bin size of 0.04
,
which still over-samples the RGS resolution element of
0.07
FWHM). All the spectra shown in this paper are
background-subtracted and are in the observed frame. The spectral
analysis and modelling was done using the SPEX
(version 2.01.02) fitting code (Kaastra
et al. 1996). All the parameter errors quoted in
this paper correspond to a
of 2.
3 X-ray and UV lightcurves
Figure 1 shows the OM (UV, top) and EPIC-pn (X-ray) lightcurves of the four observations. The source shows significant X-ray flux variability between observations, notably the flare in Obs. 1 and the dip in Obs. 3. From visual inspection of the X-ray lightcurves, the variations in the 0.2-2.0 keV (soft X-ray) and 2.0-10.0 keV (hard X-ray) bands follow each other closely; however in Obs. 3 the ratio of soft to hard X-ray count rates clearly increases as the observation progresses, which indicates spectral variability; some evidence for a softer spectrum when brighter is also present in Obs. 1 and Obs. 4.
In contrast to the X-ray, the UV lightcurve shows no significant flaring in Obs. 1 and there is no a significant dip in the UV flux in Obs. 3; it is not unusual to see variability in the X-rays, and none in the UV (e.g. see Blustin et al. 2002, for analysis of QSO MR2251-178).
4 Preliminary modelling of the X-ray continuum and Fe K
line
Table 1:
Power-law and Fe K
emission line
parameters, obtained from preliminary EPIC-pn fits (including the
Galactic absorption) of all four observations over the
4.0-10 keV energy range.
![]() |
Figure 2: EPIC-pn spectra of Obs. 1 (red), Obs. 2 (purple), Obs. 3 (black) and Obs. 4 (blue) binned to a minimum of 200 counts per bin. In the inset are the fluxed, combined RGS1 and RGS2 spectra binned by a factor of 3. Note that Obs. 2 and Obs. 4 are practically indistinguishable. |
Open with DEXTER |
Figure 2 depicts an overview of the EPIC-pn and RGS spectra of the four observations: while Obs. 2 and 4 display very similar spectra (so much so that they are practically indistinguishable), that of Obs. 1 lies slightly above them, and that of Obs. 3 is clearly much fainter than all the others. The features of the spectra, in particular during the dip in Obs. 3, are discussed in sections below.
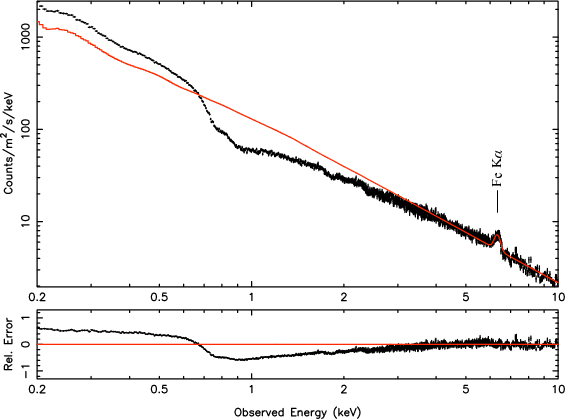
We started modelling the 4.0-10.0 keV EPIC-pn
spectrum of Obs. 2 (which is the longest of the four
observations) by a simple power-law (pow) redshifted
to z =
0.008836. The transmission of the Galactic neutral absorption was
included by applying the hot model (collisional
ionisation equilibrium) in SPEX. The Galactic H I column
density in our line of sight was fixed to
(Kalberla et al. 2005)
and the gas temperature to 0.5 eV to mimic a neutral
gas (Kaastra et al. 2009).
The prominent Fe K
emission line at
6.4 keV
was modelled by a simple Gaussian profile (Gaus) with its width left
free to vary. The parameters obtained from the preliminary modelling of
the continuum and Fe K
line are shown in
Table 1.
Interestingly, we find that whereas the power-law flux falls
significantly in Obs. 3, that of the Fe K
emission line
remains unchanged compared to the other observations.
Figure 3 shows the 4.0-10.0 keV EPIC-pn fit, extrapolated to lower energies, displaying the presence of a soft excess and additional absorption in the 0.6-2.5 keV band. The latter is most likely due to the warm absorber and will be modelled in the next section, by fitting the RGS and EPIC-pn data simultaneously.
To include modelling of the soft excess, we refitted the
EPIC-pn spectrum of Obs. 2 over the 0.2-10.0 keV
energy range. We found that the power-law continuum model cannot fit
the spectrum at all; a reduced Chi-squared (
)
value of 143 is obtained for 1111 degrees of freedom (d.o.f.).
We then added a modified black body component (mbb)
to the continuum in addition to the power-law. The mbb
model describes the spectrum of a black body modified by coherent
Compton scattering, and is often used to represent the accretion disk
spectra of AGN (Kaastra & Barr
1989). The addition of the mbb component
(
)
caused the
to fall from 143 (1111 d.o.f.) to 21.0 (1109 d.o.f.).
This is not yet a satisfactory fit, which shows the need for further
modelling of the absorption in the 0.6-2.5 keV range (i.e. the
warm absorber); this is discussed in the following section.
5 Spectral modelling of the warm absorber
In the following subsections we describe the process of fitting the spectra with a model including warm absorption. We start by fitting in detail the spectrum of Obs. 2, which represents an ``average'' state of the source. In Sect. 5.1 we fit only the RGS spectrum of Obs. 2 and in Sect. 5.2 both the RGS and EPIC-pn simultaneously; we then proceed to fit the spectra of all the other observations.
5.1 Spectral fit using a thin slab absorption model
We began the analysis of the warm absorber by identifying and
characterising the main absorption lines in the RGS spectrum
of Obs. 2, shown in Fig. 4. The slab
model in SPEX calculates the transmission through a slab of material
with adjustable ionic column densities. We started by adding a slab
component to the best-fit continuum model obtained from the EPIC-pn.
All the continuum parameters except the power-law photon index were
left free. The photon index was let free only after an overall good fit
was obtained. This helps prevent being caught in false
minima and obtaining a photon index incompatible with the EPIC-pn
during the
minimisation. This method of fixing the power-law photon index until
close to the end of the fitting is also used in Steenbrugge
et al. (2003).
![]() |
Figure 3:
Observation 2 EPIC-pn power-law fit (including the Gaussian
Fe K
|
Open with DEXTER |
![]() |
Figure 4: RGS spectrum of Obs. 2, fitted using the slab model described in Sect. 5.1. Some of the strongest absorption features are labelled. |
Open with DEXTER |
Initially all the ions in the slab component have
negligible column densities. We fitted the column density of each ion
one by one, starting from the ions responsible for the strongest
absorption lines in the spectrum. All the ions in a slab
component have the same flow and rms (broadening) velocities. So after
fitting the column densities of all the ions, we decoupled the
velocities of some of the ions by creating a separate slab
component for each ion. Table 2 shows the
velocities determined for these ions. Only decoupling the velocities of
the ions with strong absorption lines improves the fit. Decoupling
velocities of the ions with weak lines does not improve the fit because
large errors are associated with these ions. The ions with weak lines,
which do not appear in Table 2, are modelled as
one slab component with an outflow velocity of
and rms velocity of
.
We only used the slab model to get some understanding of the scale of velocity and column density of the ions, especially those with the clearest absorption lines in the RGS spectrum (e.g. O VIII). To analyse the warm absorber in detail, we used a more realistic model described in the following subsection.
5.2 Spectral fit using a photoionised absorption model
The xabs model in SPEX calculates the transmission through a slab of material, where all ionic column densities are linked in a physically consistent fashion through a grid of the XSTAR (Bautista & Kallman 2001) photoionisation models. We used the default xabs model where the Spectral Energy Distribution (SED) is based on the one from NGC 5548 as used in Steenbrugge et al. (2005). This is a good approximation for NGC 3516 because both Seyfert 1.5 AGN have very similar SEDs as shown in the NASA/IPAC Extragalactic Database (NED). The advantage of the xabs model over the slab model is that all relevant ions are taken into account, including those that would be detected only with marginal significance or not detected at all with the slab model (Kaastra et al. 2009).
We started with the EPIC-pn best-fit continuum and
Fe K
model established in
Sect. 4,
leaving the power-law, mbb and Fe K
parameters free
(except for the power-law photon index, which was kept fixed to the
value given in Table 1
until close to the end of the fitting procedure). We applied the xabs
model to the continuum to fit the ionisation parameter (
), the
hydrogen column density (
),
the flow and rms velocities in the EPIC-pn and RGS spectra of
Obs. 2 simultaneously. The elemental abundances were fixed at
the proto-solar values of Lodders (2003).
Because we were fitting EPIC-pn, RGS1 and RGS2 spectra
simultaneously, we allowed the relative normalisations of the EPIC-pn
and the two RGS instruments to be free parameters. We fixed
the instrumental normalisation of RGS1 to 1 and freed the
normalisation of the RGS2 and EPIC-pn instruments. This way problems
with differences in relative normalisations between different
instruments are avoided (Blustin
et al. 2003).
Table 2: Flow and rms (broadening) velocities of the ions with the strongest absorption lines in the Obs. 2 RGS spectrum, determined from the slab model best fit.
We then included one xabs component in the
model. This corresponds to phase B in Table 4, where the
phases are sorted by increasing value of .
Adding the first xabs component improved
from 25.3 (2801 d.o.f.) to 3.91
(2797 d.o.f.), by fitting
,
,
flow and rms velocities. Our model still required more absorption at
11-15
(expected to be due to hot iron, Fe XVII-Fe
XXIV) and
16-17
(most likely due to cold iron, Fe I-Fe XIV).
To produce a better fit to the data, we accordingly introduced
a second xabs component to our model. This
corresponds to phase C in Table 4. The addition
of phase C, which is the one with the highest ionisation
parameter, further improved
from 3.91 (2797 d.o.f.) to 1.88
(2793 d.o.f.). We found that after adding two xabs
components, absorption by iron, especially the M-shell iron (Fe I-Fe
XIV) forming the Unresolved Transition Array
(UTA) at
16-17
(Behar et al. 2001),
was still not properly modelled. To model the UTA, a
phase with an ionisation lower than the two previously
identified was required. Therefore, a third xabs
component (phase A) was added to our model. The addition of
phase A improved
from 1.88 (2793 d.o.f.) to 1.63 (2789 d.o.f.) as the
UTA was fitted well. At this point, the power-law photon
index (
)
was left free to vary in the fitting procedure for Obs. 2, but
neither the value of
(1.82) nor
changed significantly.
To attempt to further improve the quality of our fit, we freed
the abundances of only those elements with the strongest absorption
features in the RGS spectrum: N, O and Fe. In order
not to increase the number of free parameters unnecessarily, we coupled
the abundances of all three phases. The precise abundances of elements
in each phase cannot be accurately determined, because letting
them all free results in some cases in unphysical values. Assuming that
different phases have the same abundances is already a more
progressive approach than the alternative of assuming cosmic abundances
for all the phases. The abundance coupling approach is also used in Kaastra et al. (2003),
where they fixed the abundances of a cool gas component to those of a
hot one to reduce the number of free parameters. Freeing the N, O and
Fe abundances produced a better fit, because
fell from 1.63 (2788 d.o.f.) to 1.52
(2785 d.o.f.).
One of the ionisation phases in Turner
et al. (2008) with
of 2.2 has a partial covering fraction. Therefore we tested at
this stage of the fitting process whether any of our three
phases was partially covering the source. We freed the
covering fraction (fcov) of the three
phases from the default value of 1. The covering
fraction of one of the phases (Phase B with
of 2.4) was found to change from 1 to 0.55,
while the fcov of the other two
phases remained practically unchanged. By freeing the covering
fraction of phase B,
fell from 1.52 (2785 d.o.f.) to 1.44
(2784 d.o.f.). Indeed there are absorption lines in the
11-13
region of the RGS spectrum that are not fitted well if fcov
is fixed to 1, as well as the UTA and the O VII He-
line. This made a partial covering of the continuum necessary for
phase B, but not for the other two phases. Consequently below
we allowed phase B to have a partial covering fraction, and
the fcov of phases A and C were
fixed to 1. The best-fit parameters for Obs. 2
(power-law, mbb, xabs and
abundances) are listed in Tables 3-5. A plot of the
whole RGS spectrum, the EPIC-pn data and the best-fit model
for Obs. 2 is shown in Fig. 5. In
Fig. 6,
close-ups of the RGS spectrum and the best-fit model
are presented.
Table 3: Best-fit parameters of the continuum, obtained from the three-phase xabs model simultaneous fit to the EPIC-pn, RGS1 and RGS2 spectra.
Table 4: Best-fit parameters of the three-phase xabs model for all four observations.
Table 5: The elemental abundances of the three-phase xabs model of Obs. 2 fitted simultaneously to the EPIC-pn, RGS1 and RGS2 spectra.
Having obtained the xabs model best-fit
for Obs. 2, we used it as the starting point for each of the
other observations, leaving all the parameters quoted so far free, with
the exception of the abundances of the xabs phases,
which were fixed at the Obs. 2 best-fit (the abundance values
are shown in Table 5).
The best-fit parameters of the continuum and ionisation
phases of Obs. 1, Obs. 3 and
Obs. 4, modelled with the xabs
photoionised absorption, are also shown in Tables 3 and 4. Note that the
values
in Table 4
are further improved by modelling the observed emission features
discussed in Sect. 5.5.
In the following subsection (Sect. 5.3), we describe how
the Obs. 2 best-fit was applied to the Obs. 3
spectrum to investigate whether the covering fraction of
phase B is variable or not.
5.3 Spectral variability in Obs. 3
As shown in Table 4,
phase B in Obs. 2 has a best-fit covering fraction (fcov)
of 0.55. Our phase B is very similar to the partially
covering phase (zone 3) of Turner
et al. (2008) in terms of the ionisation parameter.
We found a
versus Turner et al.'s
.
However, the column density of our phase B (
)
is about a factor of 10 smaller than that in Turner
et al. (2008) (
).
In Sect. 6.2,
we discuss the values of
of warm absorber phases in NGC 3516 found by
different authors.
Turner et al. (2008)
explained the dip in the X-ray lightcurve of Obs. 3 by varying
only the covering fraction of their zone 3. In order to try
and reproduce their results, we applied our Obs. 2 best fit
(described in Sect. 5.2)
to Obs. 3 by keeping all the parameters fixed and freeing only
the covering fraction. As for Obs. 2, we fitted the EPIC-pn
and RGS spectra simultaneously. Applying the Obs. 2
best fit to Obs. 3 we obtained an initial
of 225 (2711 d.o.f.). We found that by freeing only
the covering fraction no good fit was achieved; the covering fraction
goes to 1 and a
of 130 (2710 d.o.f.) is obtained. On the other hand,
when we freed only the continuum parameters, a much better fit was
obtained,
of 1.76 (2707 d.o.f.). Figures 7 and 8 depict the
difference between the two approaches to Obs. 3, which proves
that changing the continuum parameters is a much more feasible solution
than changing only the covering fraction of phase B in order
to fit the Obs. 3 spectrum.
![]() |
Figure 5: Observation 2 best-fit xabs model, fitted simultaneously to the RGS and EPIC-pn spectra. The RGS data are shown in blue, the EPIC-pn data in red and the models in black. Close-ups of the RGS spectrum, showing the spectral features more clearly, are presented in Fig. 6. Note that both RGS and EPIC-pn spectra in this figure have been divided by the instrument's effective area, thus are plotted on the same scale. |
Open with DEXTER |
![]() |
Figure 6: Observation 2 best fit xabs model, fitted simultaneously to the RGS and EPIC-pn spectra. The RGS data are shown in blue, the EPIC-pn data in red and the models in black. |
Open with DEXTER |
![]() |
Figure 7:
Simultaneous fit made to the EPIC-pn and RGS spectra of
Obs. 3 with the best-fit model of Obs. 2 and fitting
only the covering fraction of phase B. The |
Open with DEXTER |
![]() |
Figure 8:
Simultaneous fit made to the EPIC-pn and RGS spectra of
Obs. 3 with the best-fit model of Obs. 2 and fitting
only the continuum parameters (maintaining |
Open with DEXTER |
We then tried freeing both the continuum and covering fraction. In this
case, the covering fraction becomes 0.70 and
goes to 1.65 (2706 d.o.f.). We then freed the
ionisation parameter and
of the three xabs phases, parameters of the
Fe K
line and the
relative normalisations of the EPIC-pn and RGS instruments;
the
improved to 1.42 (2695 d.o.f.). Finally, we freed the
velocities of the xabs phases, keeping the
abundances fixed. In this case, the fit does not improve significantly,
a
of 1.41 (2689 d.o.f.) was obtained. The best-fit
results for Obs. 3, as for the other three observations, are
shown in Tables 3
and 4.
It is worth noting the advantage of modelling both the RGS and EPIC-pn together, which leads to simultaneously constraining the broadband continuum using the EPIC-pn and modelling the absorption features with the RGS. This approach has a drawback because due to smaller statistical fractional errors associated with the EPIC-pn compared to the RGS, the best fit favours the EPIC-pn. But by making sure that the RGS absorption features are fitted properly, this weakness is not a problem.
5.4 The partially covering phase B
![]() |
Figure 9: Our best-fit warm absorber xabs model showing the three phases applied separately to the continuum (phase A: black, phase B: blue, phase C: red) from simultaneous fitting of the EPIC-pn and RGS spectra of Obs. 2 ( top) and Obs. 3 ( bottom). The best-fit parameters of the models are given in Tables 3-5. The models for Obs. 1 and Obs. 4 look identical to that of Obs. 2 ( top). |
Open with DEXTER |
Figure 9
shows how each one of the three phases in our warm absorber
model contributes to the best fit for the four observations.
Phases A, B and C are plotted in black, blue and red,
respectively. Phase A, which is the lowest ionisation phase,
is associated with M-shell Fe absorption forming the UTA (Behar et al. 2001)
between 16 and 17 .
Phase C, the highest ionisation phase, is associated with
highly ionised Fe. Phase B, of intermediate
ionisation, is the phase with the partial covering
fraction.
In the previous subsection (Sect. 5.3), we showed that
by changing only the covering fraction of phase B, one cannot
fit the Obs. 3 spectrum. To confirm that fcov
of phase B does not change significantly between observations,
we examined our model closely to look for absorption lines unique to
phase B (i.e. that do not appear in phases A
and C) and to see if they change between Obs. 2 and
Obs. 3. This is important because by observing a change in the
depth of these lines, we can investigate the effect of a covering
fraction change. We found three such absorption lines, which are only
modelled by phase B. They are O VII He- (
), Ca XIV (
)
and S XII (
). Figure 10 shows
the O VII He-
and Ca XIV lines in our model; the
S XII line is not displayed
separately to save space, but the following is also true for the S XII line.
Comparing the fits in Figs. 6
(Obs. 2) and 8
(Obs. 3), we can see that the O VII He-
and Ca XIV are fitted well in both.
It is important to note that in both figures the covering
fraction value is the same (i.e. 0.55). If the covering
fraction of phase B had changed significantly in
Obs. 3, we would have expected the O VII He-
and Ca XIV lines in Fig. 8 not to be fully
fitted. The fact that they are fitted well by varying only the
continuum parameters is an extra piece of evidence that the variability
seen in the lightcurve is mostly intrinsic to the source, and not the
warm absorber.
![]() |
Figure 10:
Observation 2 best-fit xabs model, showing that
the O VII He- |
Open with DEXTER |
5.5 Narrow and broad emission features
The only significant narrow emission feature in the
RGS spectra of the four observations of NGC 3516 is
the O VII forbidden line (rest
frame wavelength of ).
Figure 11
shows the Obs. 2 and Obs. 3 spectra and best fit
around the O VII triplet region.
This line was modelled with a Gaussian profile (Gaus), and its best-fit
parameters are given in Table 6. The
RGS spectrum of NGC 3516 around the O VII triplet
is very similar to that of NGC 5548 presented by Steenbrugge et al. (2003):
in that case, the forbidden line is present in emission and outflowing
at around 110
,
the intercombination line is absent or very weak and the resonance line
is seen in absorption; there are also absorption lines by O V
and O VI. As suggested by Steenbrugge et al. (2003),
one possible explanation for not detecting O VII intercombination
emission is blending of the intercombination line with the O VI absorption
line.
Table 6: The best-fit parameters of the narrow O VII forbidden emission line shown in Fig. 11.
![]() |
Figure 11: Presence of forbidden O VII line emission in Obs. 2 ( top) and Obs. 3 ( bottom). The RGS data are shown in blue, the EPIC-pn data in red and the models in black. |
Open with DEXTER |
From Figs. 6
and 8
an excess of emission is noticeable in the RGS data at
around 18.0 to 18.5 Å. This excess is
observed in all four observations. Also, in this region of the
spectrum, phase A, the lowest-ionised phase, produces
absorption by O VI. We first fitted the
excess in Obs. 2 with a simple Gaussian profile; best-fit line
wavelength of
(in the rest frame of the AGN) and FWHM of
(
)
were obtained with a
of 1.40 (2781 d.o.f.). The wavelength of the emission line
does not correspond to any prominent transition, unless this is
emission by O VIII Ly-
(rest-frame
of 18.97 Å) with an outflow velocity of about
13 000
.
Therefore we investigated as an alternative whether the excess could be
caused by a relativistically-broadened O VIII accretion
disk emission line. If emission from the inner disk is influenced by
general relativistic effects, the lines would appear to be broad and
asymmetric. These lines were first proposed to explain the spectra of
the Narrow Line Seyfert 1 galaxies
QSO MR2251-178 and QSO MR2251-178 (Branduardi-Raymont et al. 2001).
We added a narrow emission line (delt component in
SPEX) at the rest frame wavelength of the O VIII Ly-
line (18.97 Å) at the redshift of NGC 3516, and
convolved it with the relativistic disk line profile of Laor (1991) (laor).
Parameters of the laor component are the disk inner
and outer radii
and
,
its inclination angle i and the emissivity
index q, which appears in the emissivity
law and is taken to be proportional to (r2
+ h2 ) - q/2,
where r is the radius in the accretion disk and h
a scale height (Kaastra et al.
2002). By adding the relativistic O VIII line
to the xabsbest-fit model of Obs. 2, our
fit improved as
fell from 1.44 (2784 d.o.f.) to 1.40 (2779 d.o.f.)
and the excess was well fitted. The line profile and the best fit are
shown in Fig. 12.
The inner disk radius is found to be
and the outer disk radius is poorly constrained. The signal of the red
tail of the line is not strong enough to be modelled accurately;
therefore, as the asymmetry of the line is not very clear in the data,
the broadened Gaussian and the Laor profile fit the excess equally well
in our modelling; however, as explained earlier, a Gaussian
profile does not correspond to any prominent transition.
The disk inclination angle is constrained very well in our
model for all four observations; this is because its value strongly
depends on the position of the bulk of the excess emission in the
spectrum: a higher inclination angle causes the emission line
profile, shown in Fig. 12
(bottom), to move to lower energies and vice versa. As the excess
emission is clear with respect to the continuum, the disk inclination
angle is derived to be .
![]() |
Figure 12:
Top panel: the Obs. 2 best-fit
xabsmodel fitted simultaneously to the RGS and
EPIC-pn spectra with the relativistic emission line included (compare
with Fig. 6,
where the line is not included). The RGS data are shown in
blue, the EPIC-pn data in red and the models in black.
Middle panel: residuals of the fit in the top panel.
Bottom panel: the Obs. 2 best-fit
model of the relativistic O VIII Ly- |
Open with DEXTER |
6 Discussion
In this work we demonstrated the advantage of combining
RGS high resolution with EPIC-pn spectroscopy in modelling an
AGN warm absorber. EPIC-pn constrains the continuum well, but has
insufficient resolution to resolve absorption and emission features
seen in the warm absorber (e.g. the Fe UTA and O VIII Ly-
absorption as well as the O VII He-
(f) emission line shown in Figs. 6 and 11). Therefore, to
investigate changes in the warm absorber between observations, careful
examination and fitting of the RGS spectrum are needed
alongside fitting the EPIC-pn spectrum. In the subsections below we
discuss our results and their physical implications.
6.1 The
Fe K
line
We modelled the broad Fe K
line at
6.4 keV
with a simple Gaussian profile. For an in-depth spectral analysis of
the Fe K regime, we refer the reader to Turner et al. (2008) in
which the Chandra HETG spectrum is used to model
the Fe K
,
Fe K
and Fe XXVI emission lines in
detail. However, from our simple modelling of the line, described in
Sect. 4
(Table 1),
we find that the Fe K
flux remains
practically unchanged between observations, whereas the power-law flux
falls significantly in Obs. 3. It is known that the
variability of the Fe K
line in general is
not correlated to that of the observed continuum in a trivial manner (Miniutti & Fabian 2004). The
iron line does not always respond to variations in the continuum: in
some cases the Fe K
line can appear to
be constant while the continuum varies by a large amplitude (e.g. Markowitz et al. 2003).
Using the EPIC-pn spectra, we cannot examine the Fe K
profile as
accurately as with the Chandra HETG, so we will not
discuss this any further.
Table 7:
Comparison of the ionisation parameters, hydrogen column densities and
outflow velocities of the NGC 3516 warm absorber
phases found in recent observations, shown in increasing order
of .
6.2 The warm absorber structure
We found that three phases of ionisation are adequate to model the warm absorption in NGC 3516. The elemental abundances are unlikely to be different in the three phases, because it is possible to fit the spectrum very well by coupling all the abundances at values close to solar (Table 5). There is also no need for a large over-abundance of iron to fit the UTA.
A comparison of ,
and
outflow velocity values of warm absorber phases from recent
observations of NGC 3516 reported by different authors is
shown in Table 7.
The ionisation parameters of our phases B and C are remarkably
similar to those found by Turner
et al. (2005) during the 2001 observations. We found
no need for an absorption by a fourth phase (identified by Chandra
HETG to correspond to
in Turner et al. 2008)
from our simultaneous EPIC-pn and RGS fittings, which are not
very sensitive to this high ionisation gas. Note that
values are not strictly comparable as they are SED dependent, although
the differences are likely to be only of the order of some tenth of
dex. The outflow velocity of our partially covering phase B is
practically the same as that in Turner
et al. (2008) (their partially covering Zone 3);
these phases also have very similar ionisation parameters,
suggesting they represent the same photoionised gas. The second
phase in Turner et al.
(2005), which was also partially covering, is again very
similar to our phase B in terms of ionisation parameter and
outflow velocity (albeit this is smaller in 2005). The pattern that
emerges by comparing the outflow velocities of all the
phases found by different authors is the existence of
low-ionised phases with a very low outflow velocity and higher
ionisation phases with outflow velocities between
1000
and 1500
.
The partially covering phase is the
phase with the highest outflow velocity and most likely
closest to the central engine. Since we do not find changes in the
occultation of the nuclear source, there is no evidence of a transverse
component of velocity for the phase. The minimum distance of this
phase from the central engine can be estimated assuming the
outflow velocity we measure to be greater than or equal to the escape
velocity ,
where G is the gravitational constant, M
the black hole mass and r the distance of
the absorber phase from the black hole. Since the partially
covering phase B is outflowing at 1500
,
using the NGC 3516 black hole mass estimate of
(Nikoajuk et al. 2006),
we obtain
.
Using the expression for the ionisation parameter definition
(Eq. (1))
and taking
(derived from the fit of Obs. 2) we find the hydrogen number
density
.
Combining this with the relation
,
where
is the thickness of the absorber phase, we find
.
This suggests a thin spherical shell of gas, which is a feasible
scenario for partial covering.
The column densities
of all three phases of our warm absorber cover a relatively
small range:
,
and we do not find ``heavy'' (
)
absorber phases as in Turner et al. (2008,2005),
especially those corresponding to our phase B. Still our range
of
is consistent with the values obtained from other X-ray observations of
NGC 3516: Costantini
et al. (2000) found a warm absorber column of
from BeppoSAX spectra; Netzer
et al. (2002) found a line-of-sight absorber with
of
from both a 1994 ASCA observation and a 2000 Chandra
observation; Markowitz et al.
(2008) found their two warm absorber phases to have
of
4
and
.
Turner et al. (2005)
concluded that their three absorber phases cannot be in
thermal equilibrium with each other in NGC 3516. We can
consider the photoionisation equilibrium curve technique (S-curve, Krolik et al. 1981) for the
SED used in our analysis (NGC 5548, Steenbrugge
et al. 2005). The S-curve marks the points of a
temperature T versus a pressure form of the
ionisation parameter
at which the pressure P is constant. The
parameter
is related to
by
![]() |
(2) |
where

6.3 Narrow and broad emission features
The RGS spectrum shows evidence for both narrow and broad emission features. The O VII (f) emission line is found to have a lower flow velocity compared to the observed absorption lines of the high ionisation phases B and C; the flow velocity is in fact consistent with zero and with that of the lowest ionisation phase A. Smith et al. (2008) have observed the O VII (f) line to have a very low outflow velocity compared to other soft X-ray emission lines in QSO MR2251-178, although in that case all absorption phases also have flow velocities consistent with zero. This lack of a velocity shift from the rest wavelength agrees with a scenario in which we are observing emission from a fully visible spherically symmetric outflowing shell around the nuclear source, thus no net velocity of O VII will be detected. Another possible explanation is that the O VII line originates in the Narrow Line Region (NLR), where the emission lines are produced in a gas of comparatively small velocity dispersion and low density (see for e.g. Kaastra et al. (2002), where the forbidden O VII line in NGC 5548 is suggested to come from the NLR). As the forbidden line is the most intense line in the O VII triplet, a photoionised gas with low density is required.
We have found possible evidence for a relativistically
broadened emission line of O VIII Ly-.
However, the line is weaker than the strong O VIII,
N VII and C VI Ly-
lines reported by Branduardi-Raymont
et al. (2001) and Sako
et al. (2003) in MCG -6-30-15 and Mrk 766.
Evidence for weak broadened emission lines of O VIII and
N VII Ly-
is also found in NGC 5548 by Kaastra
et al. (2002). The disk inclination angle obtained
from our fit to the O VIII Ly-
profile is
.
Wu & Han (2001) and Zhang & Wu (2002) have
calculated the inclination angles of the Broad Line Region (BLR) of
several Seyfert 1 galaxies using already published bulge
stellar velocity dispersions and black hole masses estimated by
reverberation mapping. They calculated an inclination angle of
for NGC 3516, which would imply co-planarity of the BLR with
the AGN accretion disk.
6.4 Intrinsic continuum versus warm absorber variability
The galaxy NGC 3516 has a history of large amplitude continuum
variability between observations. Netzer
et al. (2002) reported a large drop in flux (factor
of 50 at
1 keV) between an ASCA observation in 1994
and a Chandra observation in 2000. They
found that the observed flux and spectral variability at these epochs
were consistent with a constant column density of line-of-sight
material reacting to changes in the ionising continuum. In the 2006 XMM-Newton
data we have found the observed spectral and flux variability to be
unrelated to changes in the covering fraction of phase B,
unlike what is reported by Turner
et al. (2008). Furthermore, the X-ray absorption
line depths are sensitive to changes in the covering fraction; from
close examination of RGS high resolution spectra, there is no
evidence to suggest that the covering fraction of phase B
changed between observations.
The only parameters that indicate a change during the low flux
XMM-Newton Obs. 3 are the ionisation
parameter
of phase A and the column density
of phase B. We find
and
in Obs. 3, whereas in the other three observations they
are
1.0
and
,
respectively. However, these changes in the warm absorber parameters
are very small compared to those in the continuum parameters: power-law
slope
from
1.8
to 1.7 in Obs. 3, and normalisation from
3 to
photons
at
1 keV; modified black body temperature from
190
to 210 eV in Obs. 3, and normalisation
(emitting area times square root of electron density) from
1.5
to
.
The power-law contribution to the continuum heavily outweighs the modified black body in all our four observations and is responsible for nearly all of the continuum variability. From the X-ray lightcurve (Fig. 1) and spectrum (Fig. 2), the variation in Obs. 3 is larger in the soft X-ray (0.2-2.0 keV) energy band than in the hard X-ray (2.0-10.0 keV) band. This type of variability has been seen in other X-ray observations of Seyfert 1 AGN (such as QSO MR2251-178, Blustin et al. 2003), in which the source is softer when brighter.
7 Conclusions
- 1.
We have studied the warm absorber in NGC 3516 by analysing in detail EPIC-pn and RGS high resolution spectra from four observations made in October 2006 by XMM-Newton. The warm absorber consists of three phases of ionisation: phase A (
), phase B (
) and phase C (
) in increasing order of ionisation. Phase A has a hydrogen column density of
, which is smaller than those of the other two phases (
). There is evidence that the lower-ionisation phase A is outflowing at
, whereas the two higher-ionisation phases are outflowing faster at around 1000 to 1500
.
- 2.
Phase B covers about 60% of the source continuum. We investigated whether variation in the covering fraction of phase B could account for the observed flux and spectral variability in Obs. 3 (as claimed by Turner et al. 2008). We found that (1) the covering fraction does not show significant variation between observations; (2) even if the covering fraction is altered significantly, this does not properly account for the observed variability in the EPIC-pn and especially RGS spectra. This makes a clumpy disk-wind scenario a rather unfeasible explanation.
- 3.
Similar to Netzer et al. (2002), we conclude that the variably in the 2006 observations presented here (albeit much smaller than in previous observations) is better understood as the consequence of changes in the source continuum emission than in the warm absorber. Our results suggest that the X-ray variability of NGC 3516 (and by inference, possibly that of other AGN where a similar behaviour has been observed) cannot be reduced to occultation and absorption effects, such as proposed by Turner et al. (2008) (see also review by Turner & Miller 2009, and references therein); rather, the variability is likely to arise in a scenario where intrinsic changes of the continuum and ionisation state are also important. In this context, a careful analysis of the softX-ray spectrum at high resolution, in combination with data in the Fe Ka regime, can provide essential constraints and clues to the source's physical behaviour.
This work is based on observations obtained with XMM-Newton, an ESA science mission with instruments and contributions directly funded by ESA member states and the USA (NASA). Missagh Mehdipour acknowledges the support of a PhD studentship awarded by the UK Science and Technology Facilities Council (STFC). We thank the referee, Elisa Costantini, for all her useful comments that improved the paper.
References
- Bautista, M. A., & Kallman, T. R. 2001, ApJS, 134, 139 [NASA ADS] [CrossRef] [Google Scholar]
- Behar, E., Sako, M., & Kahn, S. M. 2001, ApJ, 563, 497 [NASA ADS] [CrossRef] [Google Scholar]
- Blustin, A. J., Branduardi-Raymont, G., Behar, E., et al. 2002, A&A, 392, 453 [NASA ADS] [CrossRef] [EDP Sciences] [Google Scholar]
- Blustin, A. J., Branduardi-Raymont, G., Behar, E., et al. 2003, A&A, 403, 481 [NASA ADS] [CrossRef] [EDP Sciences] [Google Scholar]
- Blustin, A. J., Page, M. J., Fuerst, S. V., Branduardi-Raymont, G., & Ashton, C. E. 2005, A&A, 431, 111 [NASA ADS] [CrossRef] [EDP Sciences] [Google Scholar]
- Branduardi-Raymont, G., Sako, M., Kahn, S. M., et al. 2001, A&A, 365, L140 [NASA ADS] [CrossRef] [EDP Sciences] [Google Scholar]
- Chakravorty, S., Kembhavi, A. K., Elvis, M., & Ferland, G. 2009, MNRAS, 393, 83 [NASA ADS] [CrossRef] [Google Scholar]
- Costantini, E., Nicastro, F., Fruscione, A., et al. 2000, ApJ, 544, 283 [NASA ADS] [CrossRef] [Google Scholar]
- Costantini, E., Kaastra, J. S., Arav, N., et al. 2007, A&A, 461, 121 [NASA ADS] [CrossRef] [EDP Sciences] [Google Scholar]
- George, I. M., Turner, T. J., Mushotzky, R., Nandra, K., & Netzer, H. 1998, ApJ, 503, 174 [NASA ADS] [CrossRef] [Google Scholar]
- Halpern, J. P. 1984, ApJ, 281, 90 [NASA ADS] [CrossRef] [Google Scholar]
- Kaastra, J. S., & Barr, P. 1989, A&A, 226, 59 [NASA ADS] [Google Scholar]
- Kaastra, J. S., Mewe, R., & Nieuwenhuijzen, H. 1996, in UV and X-ray Spectroscopy of Astrophysical and Laboratory Plasmas, ed. K. Yamashita, & T. Watanabe, 411 [Google Scholar]
- Kaastra, J. S., Mewe, R., Liedahl, D. A., Komossa, S., & Brinkman, A. C. 2000, A&A, 354, L83 [NASA ADS] [Google Scholar]
- Kaastra, J. S., Steenbrugge, K. C., Raassen, A. J. J., et al. 2002, A&A, 386, 427 [NASA ADS] [CrossRef] [EDP Sciences] [Google Scholar]
- Kaastra, J. S., Lieu, R., Tamura, T., Paerels, F. B. S., & den Herder, J. W. 2003, A&A, 397, 445 [NASA ADS] [CrossRef] [EDP Sciences] [Google Scholar]
- Kaastra, J. S. 2008, Astron. Nachr., 329, 162 [NASA ADS] [CrossRef] [Google Scholar]
- Kaastra, J. S., Mewe, R., & Raassen, A. J. J. 2009, SPEX User's Manual, http://www.sron.nl/files/HEA/SPEX/manuals/manual.pdf [Google Scholar]
- Kalberla, P. M. W., Burton, W. B., Hartmann, D., et al. 2005, A&A, 440, 775 [NASA ADS] [CrossRef] [EDP Sciences] [Google Scholar]
- Keel, W. C. 1996, AJ, 111, 696 [NASA ADS] [CrossRef] [Google Scholar]
- Kriss, G. A., Krolik, J. H., Otani, C., et al. 1996, ApJ, 467, 629 [NASA ADS] [CrossRef] [Google Scholar]
- Krolik, J. H., McKee, C. F., & Tarter, C. B. 1981, ApJ, 249, 422 [NASA ADS] [CrossRef] [Google Scholar]
- Laor, A. 1991, ApJ, 376, 90 [NASA ADS] [CrossRef] [Google Scholar]
- Lodders, K. 2003, ApJ, 591, 1220 [NASA ADS] [CrossRef] [Google Scholar]
- Markowitz, A., Edelson, R., & Vaughan, S. 2003, ApJ, 598, 935 [NASA ADS] [CrossRef] [Google Scholar]
- Markowitz, A., Reeves, J. N., Miniutti, G., et al. 2008, PASJ, 60, 277 [NASA ADS] [Google Scholar]
- Miniutti, G., & Fabian, A. C. 2004, MNRAS, 349, 1435 [NASA ADS] [CrossRef] [Google Scholar]
- Nandra, K., & Pounds, K. A. 1992, Nature, 359, 215 [NASA ADS] [CrossRef] [Google Scholar]
- Nandra, K., Fabian, A. C., George, I. M., et al. 1993, MNRAS, 260, 504 [NASA ADS] [Google Scholar]
- Netzer, H., Chelouche, D., George, I. M., et al. 2002, ApJ, 571, 256 [NASA ADS] [CrossRef] [Google Scholar]
- Niko▯ajuk, M., Czerny, B., Zió▯kowski, J., & Gierlinski, M. 2006, MNRAS, 370, 1534 [NASA ADS] [CrossRef] [Google Scholar]
- Reeves, J. N., O'Brien, P. T., & Ward, M. J. 2003, ApJ, 593, L65 [NASA ADS] [CrossRef] [Google Scholar]
- Reynolds, C. S. 1997, MNRAS, 286, 513 [NASA ADS] [CrossRef] [Google Scholar]
- Sako, M., Kahn, S. M., Behar, E., et al. 2001, A&A, 365, L168 [NASA ADS] [CrossRef] [EDP Sciences] [Google Scholar]
- Sako, M., Kahn, S. M., Branduardi-Raymont, G., et al. 2003, ApJ, 596, 114 [NASA ADS] [CrossRef] [Google Scholar]
- Smith, R. A. N. 2009, Ph.D. Thesis, Mullard Space Science Laboratory, University College London, Holmbury St. Mary, Dorking, Surrey RH5 6NT, UK [Google Scholar]
- Smith, R. A. N., Page, M. J., & Branduardi-Raymont, G. 2008, A&A, 490, 103 [NASA ADS] [CrossRef] [EDP Sciences] [Google Scholar]
- Steenbrugge, K. C., Kaastra, J. S., de Vries, C. P., & Edelson, R. 2003, A&A, 402, 477 [NASA ADS] [CrossRef] [EDP Sciences] [Google Scholar]
- Steenbrugge, K. C., Kaastra, J. S., Crenshaw, D. M., et al. 2005, A&A, 434, 569 [NASA ADS] [CrossRef] [EDP Sciences] [Google Scholar]
- Turner, T. J., & Miller, L. 2009, A&A Rev., 17, 47 [NASA ADS] [CrossRef] [Google Scholar]
- Turner, T. J., Nandra, K., George, I. M., Fabian, A. C., & Pounds, K. A. 1993, ApJ, 419, 127 [NASA ADS] [CrossRef] [Google Scholar]
- Turner, T. J., Mushotzky, R. F., Yaqoob, T., et al. 2002, ApJ, 574, L123 [NASA ADS] [CrossRef] [Google Scholar]
- Turner, T. J., Kraemer, S. B., George, I. M., Reeves, J. N., & Bottorff, M. C. 2005, ApJ, 618, 155 [NASA ADS] [CrossRef] [Google Scholar]
- Turner, T. J., Reeves, J. N., Kraemer, S. B., & Miller, L. 2008, A&A, 483, 161 [NASA ADS] [CrossRef] [EDP Sciences] [Google Scholar]
- Wu, X.-B., & Han, J. L. 2001, ApJ, 561, L59 [NASA ADS] [CrossRef] [Google Scholar]
- Zhang, T.-Z., & Wu, X.-B. 2002, Chinese J. Astron. Astrophys., 2, 487 [Google Scholar]
All Tables
Table 1:
Power-law and Fe K
emission line
parameters, obtained from preliminary EPIC-pn fits (including the
Galactic absorption) of all four observations over the
4.0-10 keV energy range.
Table 2: Flow and rms (broadening) velocities of the ions with the strongest absorption lines in the Obs. 2 RGS spectrum, determined from the slab model best fit.
Table 3: Best-fit parameters of the continuum, obtained from the three-phase xabs model simultaneous fit to the EPIC-pn, RGS1 and RGS2 spectra.
Table 4: Best-fit parameters of the three-phase xabs model for all four observations.
Table 5: The elemental abundances of the three-phase xabs model of Obs. 2 fitted simultaneously to the EPIC-pn, RGS1 and RGS2 spectra.
Table 6: The best-fit parameters of the narrow O VII forbidden emission line shown in Fig. 11.
Table 7:
Comparison of the ionisation parameters, hydrogen column densities and
outflow velocities of the NGC 3516 warm absorber
phases found in recent observations, shown in increasing order
of .
All Figures
![]() |
Figure 1:
Upper panel: top lightcurves:
the OM background-subtracted U band
(3000-3900 |
Open with DEXTER | |
In the text |
![]() |
Figure 2: EPIC-pn spectra of Obs. 1 (red), Obs. 2 (purple), Obs. 3 (black) and Obs. 4 (blue) binned to a minimum of 200 counts per bin. In the inset are the fluxed, combined RGS1 and RGS2 spectra binned by a factor of 3. Note that Obs. 2 and Obs. 4 are practically indistinguishable. |
Open with DEXTER | |
In the text |
![]() |
Figure 3:
Observation 2 EPIC-pn power-law fit (including the Gaussian
Fe K
|
Open with DEXTER | |
In the text |
![]() |
Figure 4: RGS spectrum of Obs. 2, fitted using the slab model described in Sect. 5.1. Some of the strongest absorption features are labelled. |
Open with DEXTER | |
In the text |
![]() |
Figure 5: Observation 2 best-fit xabs model, fitted simultaneously to the RGS and EPIC-pn spectra. The RGS data are shown in blue, the EPIC-pn data in red and the models in black. Close-ups of the RGS spectrum, showing the spectral features more clearly, are presented in Fig. 6. Note that both RGS and EPIC-pn spectra in this figure have been divided by the instrument's effective area, thus are plotted on the same scale. |
Open with DEXTER | |
In the text |
![]() |
Figure 6: Observation 2 best fit xabs model, fitted simultaneously to the RGS and EPIC-pn spectra. The RGS data are shown in blue, the EPIC-pn data in red and the models in black. |
Open with DEXTER | |
In the text |
![]() |
Figure 7:
Simultaneous fit made to the EPIC-pn and RGS spectra of
Obs. 3 with the best-fit model of Obs. 2 and fitting
only the covering fraction of phase B. The |
Open with DEXTER | |
In the text |
![]() |
Figure 8:
Simultaneous fit made to the EPIC-pn and RGS spectra of
Obs. 3 with the best-fit model of Obs. 2 and fitting
only the continuum parameters (maintaining |
Open with DEXTER | |
In the text |
![]() |
Figure 9: Our best-fit warm absorber xabs model showing the three phases applied separately to the continuum (phase A: black, phase B: blue, phase C: red) from simultaneous fitting of the EPIC-pn and RGS spectra of Obs. 2 ( top) and Obs. 3 ( bottom). The best-fit parameters of the models are given in Tables 3-5. The models for Obs. 1 and Obs. 4 look identical to that of Obs. 2 ( top). |
Open with DEXTER | |
In the text |
![]() |
Figure 10:
Observation 2 best-fit xabs model, showing that
the O VII He- |
Open with DEXTER | |
In the text |
![]() |
Figure 11: Presence of forbidden O VII line emission in Obs. 2 ( top) and Obs. 3 ( bottom). The RGS data are shown in blue, the EPIC-pn data in red and the models in black. |
Open with DEXTER | |
In the text |
![]() |
Figure 12:
Top panel: the Obs. 2 best-fit
xabsmodel fitted simultaneously to the RGS and
EPIC-pn spectra with the relativistic emission line included (compare
with Fig. 6,
where the line is not included). The RGS data are shown in
blue, the EPIC-pn data in red and the models in black.
Middle panel: residuals of the fit in the top panel.
Bottom panel: the Obs. 2 best-fit
model of the relativistic O VIII Ly- |
Open with DEXTER | |
In the text |
Copyright ESO 2010
Current usage metrics show cumulative count of Article Views (full-text article views including HTML views, PDF and ePub downloads, according to the available data) and Abstracts Views on Vision4Press platform.
Data correspond to usage on the plateform after 2015. The current usage metrics is available 48-96 hours after online publication and is updated daily on week days.
Initial download of the metrics may take a while.