Issue |
A&A
Volume 514, May 2010
|
|
---|---|---|
Article Number | A26 | |
Number of page(s) | 14 | |
Section | Astrophysical processes | |
DOI | https://doi.org/10.1051/0004-6361/200913218 | |
Published online | 06 May 2010 |
Reconnection in weakly stochastic B-fields in 2D
K. Kulpa-Dybe1 -
G. Kowal1,2 -
K. Otmianowska-Mazur1 -
A. Lazarian2 -
E. Vishniac3
1 - Astronomical Observatory, Jagiellonian
University, ul Orla 171, 30-244 Kraków, Poland
2 -
Department of Astronomy, University of Wisconsin,
475 North Charter Street, Madison, WI 53706, USA
3 -
Department of Physics and Astronomy, McMaster University, 1280 Main Street West, Hamilton, ON L8S 4M1, Canada
Received 31 August 2009 / Accepted 5 January 2010
Abstract
We study two-dimensional turbulent magnetic reconnection in a compressible fluid
in the gas pressure dominated limit. We use open boundary conditions and start from a Harris current sheet configuration
with a uniform total pressure. A small perturbation of the vector potential initiates
laminar reconnection at the Sweet-Parker rate, which is allowed to evolve for several
dynamical times. Subsequently sub-Alfvenic turbulence is produced through random
forcing at small wave numbers. The magnetic field topology near the current sheet is strongly
affected by the turbulence. However, we find that the resulting reconnection
speed depends on the resistivity. In contrast to previous results in three
dimensions, we find no evidence for fast reconnection. The reconnection speed
exhibits strong variations, but the time averages increase smoothly with the
strength of the turbulence.
Key words: galaxies: magnetic fields - turbulence - magnetohydrodynamics (MHD)
1 Introduction
Radio observations of a wide variety of astrophysical bodies (the Sun, spiral galaxies, the Earth) show that a magnetic field is usually present (see Priest & Forbes 2000, for review). These magnetic fields have significant large scale components, i.e on the scale of the objects themselves. The origin of these fields is typically ascribed to the operation of a large scale magnetohydrodynamic dynamo (Ruzmaikin et al. 1988; Parker 1979; Hanasz et al. 2004; Parker 1992; Lazarian & Vishniac 2008). Since dynamo theory involves the twisting and folding of field lines, it is important that there is some process which can lead to efficient smoothing of the small scale components of the field. In other words, we need to invoke some kind of fast local magnetic diffusion. Even though astrophysical fluids are turbulent (see Armstrong et al. 1995; Horbury & Balogh 2001; McKee & Ostriker 2007; Elmegreen & Scalo 2004), the concept of turbulent magnetic diffusivity (see Blackman & Field 2008), a popular heuristic concept used in early dynamo work, is known to be ill-founded (Vainshtein & Cattaneo 1992; Cattaneo & Vainshtein 1991; Gruzinov & Diamond 1994). In particular, it does not address the key question of how intersecting magnetic fluxes can change their topology. In an ionized plasma, Ohmic diffusivity fails by many orders of magnitude to supply the required magnetic diffusion.
For astrophysical dynamos to function smoothly, there must be a process
which allows reconnection to proceed at speeds characteristic of local dynamical
velocities. Since rms fluid velocities are often comparable to the local
Alfvén speed, this requirement is in practice indistinguishable from
.
This is called fast reconnection, meaning that it does not
depend on resistivity or depends on the resistivity logarithmically
(see Parker 1979). There is also direct evidence for fast reconnection from studies of
solar flares (Pagano et al. 2008; Yokoyama & Shibata 1995; Innes et al. 1997).
The idea that there could be some way of producing fast magnetic reconnection
even in highly conducting fluids is not new (Moffat 1978; Krause & Radler 1980), but early
models of reconnection (e.g. see Sweet 1958; Parker 1957) using realistic
astrophysical temperatures and densities gave a very slow reconnection rate,
,
where
is the Lundquist number,
is
the resistivity, and L is the size of the current sheet. It was Petschek (1964)
who for the first time introduced a model for fast reconnection with a rate
proportional to
.
Subsequent numerical simulations and
theoretical analyses have shown that the Petschek reconnection rate is only
attainable in very restricted circumstances. For instance, a modified version
can stably persist in a collisionless plasma (e.g. see Drake et al. 2006). This
means that the length of the current sheet should not exceed approximately 50
electron mean free paths (Yamada et al. 2006; Uzdensky 2006). This condition cannot be
satisfied in many astrophysical environments, e.g. in the interstellar medium
(Vishniac & Lazarian 1999). In a collisional plasma the X-point region required for Petschek
reconnection will collapse to the Sweet-Parker geometry for large S(Biskamp 1996).
The failure of the Petschek model has increased interest in the role of turbulence in reconnection. This interest has been further stimulated because the turbulence is ubiquitous in astrophysical environments where reconnection occurs, e.g. the ISM, stars, the Sun and accretion disks (Ruzmaikin et al. 1988). The idea that turbulence can affect reconnection has a long history, although it was usually studied in two-dimensions (2D) (Priest & Forbes 2000). Several researchers have approached this problem numerically, e.g. Fan et al. (2005); Matthaeus & Lamkin (1986); Fan et al. (2004); Servidio et al. (2009); Matthaeus & Lamkin (1985); Loureiro et al. (2009). They found that it was possible to get many features expected from reconnection theory, i.e. large and small-scale magnetic islands, fluid jetting, and current filamentation and that the maximum reconnection speed was higher for more powerful turbulence and exceeded the Sweet-Parker rate (Fan et al. 2005,2004).
The most interesting result of their calculations (Fan et al. 2005,2004) was that under the influence of turbulence they observed a two-step process of magnetic reconnection: beginning with a slow Sweet-Parker mechanism and changing later to a faster reconnection state that they identified with the Petscheck process. In a similar manner, the most recent paper (Loureiro et al. 2009) also observed that the presence of turbulence significantly enhances the reconnection rate. They further found that for a given value of diffusion and above a critical value of the turbulent injection power the reconnection process accelerates substantially. However, in all these simulations the authors used periodic boundary conditions, which prevents inflow or outflow and conserves the total magnetic flux. This made the actual reconnection rates difficult to evaluate. In particular, it was impossible to calculate the average reconnection rate, which is important in view of the large fluctuations induced by turbulence. In addition, one can argue that the reconnection rate in these simulations is influenced by the conservation of the total magnetic helicity (Blackman 2000). These difficulties can be avoided by using boundary conditions that allow the inflow and outflow of plasma and magnetic flux (Kowal et al. 2009).
More recently interest in the magnetic reconnection process has moved from 2D magnetic configurations to more realistic and generic three-dimensional ones. In particular, Lazarian & Vishniac (1999, LV99) and Lazarian & Vishniac (2000) proposed that in three dimensions a stochastic magnetic field component can dramatically enhance reconnection rates, leading to reconnection speeds comparable to the local turbulent velocity. Their model is based on the Sweet-Parker reconnection scheme, with a long narrow current sheet between two regions of dramatically different polarizations but similarly strong magnetic fields, but it also includes the effects of turbulence and substructure in the magnetic field. This has two principal effects. First, in three dimensions many independent patches of magnetic field come into contact with the current sheet and undergo reconnection. Second, the outflow of plasma and shared magnetic flux happens not over a microscopically narrow region determined by Ohmic diffusion, but through a substantially wider region determined by field wandering. Neither effect is present in two-dimensions, although the formation of magnetic islands in two-dimensions is roughly similar to the broadening of the outflow. Together these effects are sufficient to trigger fast magnetic reconnection. In this model the reconnection rate does not depend on the Ohmic resistivity, but is determined only by turbulence, in particular by its strength and injection scale. This fast reconnection model has been tested numerically by Kowal et al. (2009) using inflow/outflow boundary conditions and a wide range of injection scales and power for the turbulence. These simulations have confirmed all of the predicted features of the LV99 model, including the insensitivity to the Lundquist number.
In this paper we return to two-dimensional reconnection using the same inflow/outflow boundary conditions. We have two objectives in this work. First, since the explanation for fast reconnection advanced in LV99 was intrinsically three dimensional, we are interested in examining the effects of dimensionality on the reconnection rate. Second, this work constitutes an examination of the importance of boundary conditions on the two-dimensional model and a test of claims for fast reconnection in two-dimensions. Our numerical model of turbulent reconnection in the ISM is calculated in a 2D box with open boundary conditions. We use a Harris current sheet setup as an initial configuration. Reconnection develops as a result of an initial vector potential perturbation. We do not drive reconnection. We solve 2D non-ideal normalized isothermal MHD equations numerically while varying the power and scale of turbulence, and the magnetic resistivity (Kowal et al. 2009).
The plan of this paper is as follows. In Sect. 2 we describe the numerical setup and input parameters, and we present our method to measure the reconnection rate. The results are discussed in Sect. 3, where we analyze the time evolution of models with different power of injecting turbulence. We present the dependencies of the reconnection rate on the power of turbulence, the injection scale, the viscosity and uniform and anomalous resistivities. We also check the influence of initial magnetic field configuration, boundary conditions and the method of driving turbulence. We discuss our results in Sect. 4 and give our conclusions in Sect. 5.
2 Methods
2.1 Basic equations
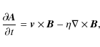
We studied the problem of magnetic reconnection in the presence of weak turbulence
using the magnetized fluid approximation governed by the isothermal non-ideal
MHD equations of the form
where











We solved the MHD equations using the same code as in Kowal et al. (2009) based on the
following methods: a higher-order shock-capturing Godunov-type scheme, the
essentially non-oscillatory (ENO) spatial reconstruction
(e.g. see Londrillo & Del Zanna (2000); Del Zanna et al. (2003)), a multi-state Harten-Lax-van Leer (HLLD)
approximate Riemann solver for isothermal MHD equations (Mignone 2007) and the
Runge-Kutta (RK) time integration (e.g. see Del Zanna et al. 2003). The choice of HLLD
Riemann solver guarantees a good solution for the Alfvén wave propagation,
which is important in our model, since most of the kinetic energy is transported
through Alfvén waves (see Kowal et al. 2009). The divergence of the magnetic
field must be kept zero everywhere at all times (
). To
satisfy this condition the field interpolated constraint transport (CT) scheme
based on the staggered grid is used (e.g. see Londrillo & Del Zanna 2000).
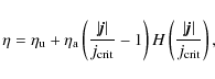
Some selected simulations that we performed include anomalous resistivity modeled
as
![]() |
(4) |
where




2.2 Initial and boundary conditions
![]() |
Figure 1:
2D magnetic field configuration in our problem. The grey area
describes the diffusion region where the incoming field lines reconnect. The
longitudinal and transverse scales of the diffusion region are described by the
parameters |
Open with DEXTER |
We numerically investigated the turbulent magnetic reconnection model in 2D in
a computational box of the size
,
where Lx=1 and Ly=2 with
a spatial resolution of
grid zones in the x and ydirections, respectively. Figure 1 shows a 2D visualization of the
reconnection problem setup. The domain contains two regions of oppositely
directed magnetic lines separated by a diffusion region with a thickness
and a length
,
where the magnetic lines reconnect and the product
of this process is ejected along the X direction with a speed
(see
Fig. 1). The initial magnetic field configuration is described by
a Harris current sheet
,
where Bx0 is
the initial strength of the anti-parallel magnetic field component and
is the initial thickness of the current sheet. The Sweet-Parker
reconnection is triggered by a small initial perturbation of the
vector potential
,
where d and
denote the thickness of the
perturbed region and the strength of the initial perturbation, respectively. The
initial setup is completed by setting the density profile from the condition of
the uniform total pressure
and setting the
initial velocity to zero everywhere.
The code (Kowal et al. 2009) uses dimensionless units. The velocity and
magnetic field are expressed in units of the characteristic Alfvén speed
,
where the initial anti-parallel component of
magnetic field Bx0=1 and the density
far from the diffusion region
so that
far from the diffusion region in all models.
Time is measured in units of the Alfvén transit
time
.
In all models we used the same value of the initial
thickness of the current sheet
.
The speed of sound was set to
(the plasma
was 32.0 for all models). We varied the resistivity
coefficient
between values
and
(in dimensionless units). In the models which include anomalous effects, we
varied the anomalous resistivity coefficient
between 0.0 and
.
The parameters describing the initial perturbation were set to
and d = 0.1.
We used outflow boundary conditions along the X direction and inflow boundary
conditions along the Y direction, setting the normal derivatives of the fluid
variables (density and momentum) to zero. In the treatment of vector potential
at the boundary we set its components transverse to the considered
boundary using the first order extrapolation, while the normal derivative of the
normal component was set to zero. This guaranteed that all waves generated in
the system were free to leave the box without significant reflections. For a more
detailed description of these boundary conditions including their advantages
and drawbacks we refer the reader to Kowal et al. (2009).
2.3 Model of turbulence
In order to drive turbulence in our model we followed Kowal et al. (2009) and used the method
proposed by Alvelius (1999). The forcing was driven across a specified distribution of wave vectors.
Here we used a Gaussian profile around a shell in Fourier space with a radius
which determined the injection scale
.
The forcing was
random in time and it was therefore uncorrelated with any of the time scales
of the turbulent flow. For the same reason the power input was defined
purely by the force-velocity correlation. The driving was completely
solenoidal and did not directly produce density fluctuations.
Forcing was imposed in the vicinity of the midplane, namely in the region between y=-0.25
and y=0.25. Turbulence was introduced at a given injection scale and grew gradually in time
until it reached the desired amplitude corresponding to the turbulent power
.
We drove the turbulence to its saturation level over one Alfvénic time from
to
.
According to the LV99 model, the injection scale
and turbulent power determine the rate of reconnection in 3D. Thus, in our model
we tested this correlation in 2D by changing these properties of turbulence.
2.4 Input parameters
Our simulations can be divided into five groups. In each of them we analyze the
dependence of the reconnection rate by changing only one of the crucial parameters:
for models PD - the power of turbulence
,
for models SD - the injection wavenumber
,
for models VD - viscosity
,
for models RD and AD the uniform
and anomalous
resistivities, respectively. In Table 1 we list
parameters of all the models presented in this paper.
Among all parameters of the model we list those which vary, i.e. the uniform and
anomalous resistivities,
and
,
respectively, the uniform
viscosity
,
the power of turbulence
and its injection wavenumber
with the half-thickness of the injection shell
,
the
number of perturbed Fourier components of velocity
and the amplitude of
perturbation
at the injection scale. In addition, we include the
mean velocity amplitude obtained at the end of each simulation.
2.5 Reconnection rate measure
Table 1: List of models.
For the laminar reconnection (Sweet-Parker and Petschek) the rate can be
measured by averaging the inflow velocity
divided by the Alfvén speed
over the inflow boundaries, i.e.
![]() |
(5) |
Since we had two X boundaries, located at


where

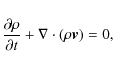
3 Results
3.1 Laminar reconnection
During the first stage of our simulations, before we start driving the turbulence, the system evolves to reach the stationary state of Sweet-Parker reconnection. After that the influence of turbulence on the evolution of our system can be studied in detail. As mentioned above we start our simulations with a configuration of the oppositely directed initial magnetic fields with a small magnetic perturbation. The perturbation initiates the Sweet-Parker reconnection which reaches a stationary state in a few Alfén time units which lasts until we start injecting turbulence.
![]() |
Figure 2:
Time variations of the total mass M (solid line), magnetic
|
Open with DEXTER |
![]() |
Figure 3:
Time variation evolution of the reconnection rate in the Sweet-Parker stage
with the uniform resistivity
|
Open with DEXTER |
We assume that we get the steady state of Sweet-Parker reconnection when the
total mass, reconnection rate, kinetic and magnetic energies show very small time derivatives.
Figure 2 shows the evolution of mass,
kinetic and magnetic energy during the laminar reconnection stage. In the
beginning all these quantities change slightly, but then reach almost constant values.
The reconnection rate (Fig. 3) initially increases
until
,
when it starts to oscillate, finally stabilizing
after a few time units.
![]() |
Figure 4:
Absolute value of the current density distribution ( right panel), the
magnetic ( middle panel) and velocity field ( left panel) topology during the
Sweet-Parker stage for a time t=9 in a model with the uniform resistivity
|
Open with DEXTER |
Figure 4 shows the topology of the velocity (left panel) and magnetic fields (middle panel), and the absolute value of the current density (right panel) just before we start injecting turbulence. The brighter shades correspond to high values of the displayed quantities. The velocity field and magnetic field are shown in the form of texture. The initial oppositely directed magnetic field lines are transported to the middle of the box. The Y-component of magnetic field emerges from the current sheet and is ejected near the midplane through the left and right boundaries. The reconnection process in the diffusion region and the ejection of By cause the strong outflow of gas which is clearly visible in the left panel of Fig. 4. The system reaches a steady state despite this loss of mass due to the inflow of gas through the top and bottom of the computational box.
The absolute value of the current density is shown in the right panel of Fig. 4. As expected the highest values of the current density appear in the midplane and determine the diffusion region. The state of the Sweet-Parker reconnection described above is stationary and sufficient to study the influence of turbulence on the reconnection process.
3.2 Reconnection in the presence of turbulence
In this section we present the influence of turbulence on the reconnection
process. Turbulence was injected
at a time t=9 and at a given injection scale
in the
vicinity of the midplane. We gradually increased the strength of turbulence during
one Alfvén time, thus at a time t=10 the power reached its input value
defined by
.
Figure 5 shows the reconnection rate obtained for a model with
the uniform resistivity
,
a turbulent power
and an injection wavenumber
.
Adding turbulence to
the system results in slight fluctuations of the reconnection rate until
t=11.5. Next, the reconnection rate increases significantly until it reaches
the maximum at a time
and then drops. We can distinguish four of these
maxima, which are roughly separated by two Alfvén times (
,
,
,
). In Fig. 5 we mark three time
steps corresponding to the same time stages shown in Fig. 6,
where we plot the current density, magnetic and gas velocity fields.
In Fig. 6 (top and middle row) we see that the structure
of the magnetic and velocity fields are considerably different than in the case of
the Sweet-Parker reconnection (see Fig. 4). At
t1=12.15 (Fig. 6, first column, top panel) we are injecting
turbulence with the maximum power
in a large volume surrounding the the midplane.
Thus the velocity field is strongly perturbed and mixed in this region.
Although the topology of the velocity field is very complicated, we can
distinguish the main direction of the velocity fluctuations, which is parallel to
the mean magnetic field.
A smaller number of distinct features in the velocity field are pointed perpendicular to the mean magnetic field. Close to the midplane the magnetic field lines change their directions and are substantially reduced in strength. Thus, velocity fluctuations can bend magnetic field lines in this region. Another noticeable difference in comparison to the Sweet-Parker configuration is a significant change of the current density distribution. Adding turbulence to the system creates a very complex configuration of the magnetic field, so that we observe multiple reconnection events happening at the same time (Fig. 6, t1=12.15, bottom panel).
The magnetic field configuration looks quite different at the next time step t2=13.85 (Fig. 6, second column, middle panel). In the vicinity of the midplane we observe the formation of a magnetic island. The velocity field (Fig. 6, second column, top panel) is also more mixed in this region. However, the outflow velocity of the gas velocity is quite low, which is confirmed by the small reconnection rate (Fig. 5).
As the simulation proceeds a large loop of magnetic field lines moves to the left boundary (Fig. 6, t3=15.15, last column). This causes a powerful outflow of gas, which results in a violent and rapid growth of the reconnection rate (Fig. 5). We see that the maxima of the velocity field associated with this loop are where the value of magnetic field is low. The area of the magnetic island t2=13.85 and t3=15.15 is also well defined by the current density distribution (Fig. 6, bottom panel, middle and right column).
Figure 7 shows the evolution of the reconnection speed for
,
five times larger than in the
previous case. As before the reconnection rate does not reach a stationary
state. We observe a few maxima, but they do not appear periodically as in the
previous case (Fig. 5). In fact, we have two main well defined
maxima at times
and
.
The peak in the reconnection
speed is again caused by a fast outflow of gas visible at a time
t1=13.90 in Fig. 8 (first column, top panel). If we look at
the magnetic field topology at the same time (Fig. 8
first column, middle panel), we see a magnetic island which appears in the region
of the fast outflow.
![]() |
Figure 5:
The evolution of the reconnection speed for a model with
|
Open with DEXTER |
At the next time step (
t2= 15.70) the topology of magnetic and velocity fields are
still very mixed and complex (Fig. 8, second column, top and
middle panel), but the magnetic field does not exhibit the very strong bending
seen in the previous step. As the simulation proceeds the reconnection rate slowly
decreases, reaching even slightly negative values (Fig. 7, from
to
).
At the time step t3=18.15 (Fig. 8,
last column) we show how our
model looks when the measured reconnection rate is negative. We can see
a strong
accumulation of the magnetic field around the midplane which extends
over
almost the whole computational domain. The region of velocity
fluctuations is broadened in
comparison to the previous time steps, even though the volume within
which we drive turbulence is unchanged. This quite unstable situation
sets off
the extreme growth of the reconnection rate (from
to
)
shown in Fig. 7. The current density distribution is plotted
in the bottom row in Fig. 8. At every time step many small
reconnection events occur, as indicated by the local growth of the current
density.
To verify the influence of magnetic islands on the overall recconection rate
we calculated the mean reconnection rate in the two defined periods of time. First, when
the magnetic island is presented in the computational domain (from t=13.5 to t=15.5 for
the model with
and from t=13.5 to t=15.0for model with
)
and second, when
magnetic islands do not appear (from t=17.0 to t=19.0 for the
model with
and from t=15.0 to t=16.0 for the model with
).
For the magnetic islands created in the domain and subsequently ejected through the boundaries,
the mean reconnection rate is equal to
and
for models with
and
,
respectively. On the other hand, when we do not observe any magnetic
island the corresponding reconnection rates are
and
for models with
and
,
respectively. Comparing these values with the overall reconnecton rate
(
for
and
for
)
we notice that
the magnetic islands do not lead to a significant growth of the reconnection pace
but are the sources of the very large fluctuations.
3.2.1 Dependence on the strength of turbulence
![]() |
Figure 6:
Topology of the velocity ( top panels) and magnetic field ( middle panels)
in the presence of turbulence shown at three times
t1 = 12.15,
t2 = 13.85,
t3 = 15.15. In the lower panels we plot the absolute value of the current density
at these times. The variation of the
reconnection speed
|
Open with DEXTER |
![]() |
Figure 7:
The evolution of the reconnection speed for the model with
|
Open with DEXTER |
To check how the reconnection rate
depends on the strength
of turbulence we made several simulations with different values of the turbulent
power
(see model PD in Table 1). The rest of the input
parameters had the same value in all these models.
In Fig. 9 we present the dependence of the averaged reconnection
speed on the power of the injected turbulence. Diamonds and squares correspond
to the reconnection rate with and without the turbulence respectively. Both
were averaged over the fixed period of time: from t = 7 to t = 9 - laminar
reconnection (Sweet-Parker stage) and from t = 10 to t = 20 - turbulent
reconnection. The variance of the reconnection rate was calculated with the
standard deviation method. For the Sweet-Parker reconnection the variance
is negligible and is not shown here. On the other hand, in the presence of turbulence the
reconnection rate undergoes continuous strong variations, and the variance is only slightly
smaller than the mean reconnection rate. We find that the reconnection rate
increases with the power of turbulence and scales as
.
3.2.2 Dependence on the injection scale
Similarly we determined the dependence of the reconnection rate
on the
wavenumber at which we inject turbulence
.
We computed several models with
varying
while keeping all other parameters the same (see
model PD in Table 1).
Figure 10 shows the resulting dependence. We can clearly see the strong
relation between the injection scale
and the reconnection speed, i.e. the reconnection rate
and errors increase with a decreasing injection wavenumber
.
Fitting to the simulation
results gives
.
![]() |
Figure 8:
Topology of the velocity ( top panels) and magnetic field ( middle panels)
in the presence of turbulence shown at three times t1=13.90, t2=15.70,
t3 = 18.15. In the lower panels we plot the absolute value of the current density
for the same times. The evolution of the reconnection speed
|
Open with DEXTER |
3.2.3 Dependence on the resistivity
The most important goal in our study was to check the dependence of the
reconnection rate on the uniform resistivity. We run several
simulations with different values of the uniform resistivity
and the power of
turbulence
(see model RD in Table 1).
In Fig. 11 we plot the obtained dependence of reconnection rate on
uniform resistivity. For the Sweet-Parker configuration the averaged reconnection
rate
is represented by squares. The dispersion of the calculated points is
almost negligible and not shown. As we can see the reconnection speed
increases with uniform resistivity. From the fitting we obtain that
the reconnection rate
scales with the uniform resistivity as
.
This agrees with the theoretical prediction
(Sweet 1958; Parker 1957) and confirms that our 2D model works well in the laminar
reconnection stage.
Adding turbulence to the system leads to a weaker dependence between the reconnection
rate and the uniform resistivity. Moreover,
the power of turbulence also influences this relationship, as is clearly
visible in Fig. 11 (triangles -
,
squares -
). We fit lines to calculated points and find that the dependence
between reconnection rate and uniform resistivity is stronger for lower values
of
.
Namely, for
and
we see that the
reconnection rate scales as
and
,
respectively.
For low values of the uniform resistivity (
-
and
-
)
we see that the obtained reconnection
speeds
are almost the same. These similar values of the reconnection
rate may be caused by prevailing numerical diffusion. Even if we take into account
higher values of
,
it does not modify the overall value of the total
resistivity. However, in this case the numerical diffusion will also influence
the reconnection rate in the Sweet-Parker configuration, which does not happen in
our simulations (see Fig. 11).
Results described above indicate that in 2D turbulent reconnection depends on
the uniform resistivity. However, the obtained dependencies are not certain
because of the large dispersion of results for low values of the uniform
resistivity
.
We also tested the dependence of the reconnection rate on the anomalous
resistivity. We run several models with the same value of the uniform resistivity
and the critical current density
,
but for
different values of the anomalous resistivity
(see model AD in Table 1). In Fig. 12 we plot the reconnection rate
calculated for the Sweet-Parker configuration (squares) and in the presence of turbulence
(diamonds). The dash-dotted line determines the mean value of the
reconnection rate (
)
obtained for
models with the anomalous resistivity. As we see, the presence of
anomalous resistivity causes an increase in the reconnection speed compared
to a model with
- dotted line (
). However, for
different values of the anomalous resistivity the reconnection speed is almost
the same. More precisely, we observe a nearly negligible increase in the reconnection
rate and a clear increase in the variance at higher values of
the anomalous resistivity
.
3.3 Dependence on the viscosity
In a next step we tested the influence of viscosity on the reconnection rate for fixed
values of the injection scale, turbulence strength and uniform resistivity
(see model VD in Table 1). The results are shown in
Fig. 13 where we plot averaged reconnection rates for the laminar
(squares) and turbulent (diamonds) cases. In the Sweet-Parker configuration the
reconnection rate
is almost the same for viscosity
and starts to decrease for
.
In the
presence of turbulence the fit to the calculated points shows that the
reconnection rate
scales with the viscosity as
.
Furthermore, when the viscosity is higher than
,
the rates of
reconnection for models with and without turbulence are similar.
![]() |
Figure 9:
Dependence of the reconnection rate on the power of the injected turbulence
|
Open with DEXTER |
![]() |
Figure 10:
Dependence of the reconnection rate on the injection scale
|
Open with DEXTER |
![]() |
Figure 11:
Dependence of the reconnection rate on the uniform resistivity
|
Open with DEXTER |
![]() |
Figure 12:
Dependence of the reconnection rate on the anomalous resistivity
|
Open with DEXTER |
![]() |
Figure 13:
Dependence of the reconnection rate on the viscosity |
Open with DEXTER |
3.4 The case of a uniform initial configuration
To check the influence of our boundary conditions and method
of driving turbulence on the reconnection process we compare two models with
different initial magnetic field configurations: antiparallel and uniform. The
antiparallel initial configuration of the magnetic field is the same as
for the Sweet-Parker reconnection, the uniform one is horizontal with
Bx = 1. The rest of the parameters characterizing both models are
,
,
P = 0.1 and inflow/outflow boundary
conditions. In both models we injected turbulence in the same way from t = 9 to
t = 10.
![]() |
Figure 14:
Comparison of the reconnection rates obtained for models with
uniform and antiparallel initial magnetic field configurations. All parameters
for the models are the same: the power of turbulence
|
Open with DEXTER |
In Fig. 14 we show the comparison of reconnection rates obtained for the uniform and antiparallel initial magnetic field configuration. In the first case the reconnection rate is almost equal zero. We can see some small fluctuations, but we cannot observe any significant growth of the reconnection rate. In the second case the value of reconnection rate is higher and changes violently. For a more precise description of this case see Sect. 3.2.
The almost negligible value of the reconnection rate for the model with a uniform initial magnetic field indicates that as expected magnetic reconnection does not occur. This also supports the conclusion that our calculation of the reconnection rate is not an artifact of our boundary conditions or our method for implementing turbulence.
Figure 15 shows the topology of the magnetic and velocity field as well as the distribution of current density for the model with an initial uniform configuration of the magnetic field. As before turbulence was injected in a volume surrounding the midplane, which causes perturbations of the velocity field in this region (see the left panel in Fig. 15). Most of the fluctuations propagate along the mean magnetic field, running more or less parallel to the midplane (see the middle panel in Fig. 15). The well defined bend of the magnetic lines presented in the case of turbulent reconnection is not visible here. This is because we do not have a diffusion region, where the magnetic lines change their direction and strength and can be bent by fluctuations. On the other hand, turbulence causes small perturbations of magnetic field, which leads to an enhancement of the absolute value of the current density (see the middle panel in Fig. 15).
3.5 Long term variance of the reconnection rate
The time evolution of the reconnection rate for the same model as in Fig. 5
but calculated over a longer period of time (
)
is
shown in Fig. 16. We see that even after 50 Alfénic
times the reconnection rate does not reach a steady state. Strong and
continuous fluctuations are seen over the whole simulation time. All these quasiperiodic
changes of the reconnection rate are apparently driven by something like the tearing mode
instability, namely, big loops of magnetic field are continuously created (see
Fig. 18) and ejected through boundaries.
![]() |
Figure 15:
Topology of the velocity ( left panel) and magnetic field ( middle panel),
and the absolute value of the current density distribution ( right panel)
for the initially uniform magnetic field at the time t=14. Brighter
shades correspond to higher values of the displayed quantities. Turbulence is
injected with the power
|
Open with DEXTER |
![]() |
Figure 16:
Time evolution of the reconnection speed for the model with t
|
Open with DEXTER |
In Fig. 17 we show the evolution of mass, magnetic and kinetic energy during the Sweet-Parker reconnection (from t = 0 to t = 9) and turbulent (from t=9to t = 50) reconnection. We see that adding turbulence to the system or using open boundary conditions does not introduce instabilities in the total mass or kinetic and magnetic energies.
What is more, increasing
from 20 to 50 only slightly influences the
average reconnection rate and its variance. For models with
and
we get
and
,
respectively. This indicates that extending the simulation time does not lead to a stable state
of reconnection and does not change our results.
4 Discussion
4.1 The goals of this study
The present paper provides a follow-up study to Kowal et al. (2009). In that paper fast magnetic reconnection of a 3D weakly stochastic magnetic field, predicted in the LV99 theoretical study, was confirmed. Can turbulent reconnection be fast in 2D as well? The question may sound rather academic, as the nature we deal with is definitely three dimensional. However, there are at least two reasons why answering this question is important. First of all, the claim in LV99 is that 3D effects are essential for fast reconnection. Thus it is important to test this claim and to explore whether fast reconnection in the presence of turbulence can be carried over to 2D. Then, in a number of earlier studies it was conjectured that magnetic reconnection could become fast in the presence of turbulence for purely 2D reconnection configurations.
In all respects apart from dimensionality the present numerical set-up is identical to that in Kowal et al. (2009). In particular, the excitation of turbulence in both cases takes place at subAlfvénic velocities, thereby preventing field reversals arising from turbulence. For measurements of the reconnection rate we adopt the procedure presented in Kowal et al. (2009). This enables us to make easy comparisons between the 3D and 2D reconnection results.
4.2 2D versus 3D reconnection
Until very recently 2D geometry has been favored for magnetic
reconnection studies. Its advantage stems from the fact that it allows one to
achieve much higher Lundquist numbers compared to its 3D counterpart. The most
important question is whether the nature of reconnection is the same in 3D and
in 2D. An affirmative answer is likely if the
reconnection of laminar magnetic field is involved. Our results on the
Sweet-Parker reconnection above are very similar to the results
of the Sweet-Parker reconnection in Kowal et al. (2009). At the same time our
comparison of the results in the present paper with those in Kowal et al. (2009) shows
that the reconnection in the presence of turbulence is very different.
The aforementioned difference is not surprising if one takes into account that the nature of the 2D and 3D MHD turbulence is rather different. In particular, magnetic field wandering, which is an essential part of the LV99 reconnection model, has a radically different nature in 3D and 2D. What we have in 2D is a coherent displacement of magnetic field lines by Alfvénic perturbations, while in 3D magnetic field lines can slip past one another, enjoying the freedom provided by the additional dimension. As a result, in LV99 different bundles of wandering magnetic field lines can enter the reconnection zone independently, and reconnect simultaneously. It was shown in LV99 that it is this simultaneous reconnection of independent magnetic flux bundles that makes reconnection insensitive to resistivity. This effect is absent in 2D, where the entry of fresh flux into the reconnection zone is constrained by the rate of removal of reconnected flux.
![]() |
Figure 17:
Time evolution of the total mass M (solid line), magnetic
|
Open with DEXTER |
![]() |
Figure 18:
Topology of magnetic field in the presence of turbulence at a time
t=49. The uniform resistivity
|
Open with DEXTER |
The second effect that enables fast reconnection in the LV99 model is an increase of the thickness of the outflow region. There we see some similarity between 2D and 3D reconnection. Indeed, while the outflow in the Sweet-Parker reconnection is constrained by the thin slot determined by Ohmic diffusivity, it is due to an increase of the thickness of the outflow through turbulence that 2D turbulent reconnection is faster than the Sweet-Parker rate. The outflow region for both 2D and 3D depends on the intensity of driving and the scale of turbulence injection. However, the functional dependencies are different, and this difference stems from the difference in the reconnection physics.
As we mentioned earlier, magnetic field wandering plays a decisive role in
3D reconnection. In 2D reconnection it is not fast, since we observe the creation of
magnetic islands as a result of turbulence. This process is rather limited
unless the turbulent injection velocity approaches .
We believe that this
explains why the dependence of the reconnection rate on the Ohmic resistivity becomes
steeper as the turbulence weakens (see Fig. 11). Indeed, for a weaker turbulence
the alternate compression and expansion of the current sheet, which leads to magnetic island formation,
is weaker and the reconnection is similar to the
Sweet-Parker model. Similarly, the combination of anomalous resistivity and
magnetic island formation
reaches a saturated level of efficiency for modest values of the anomalous
resistivity and appears to become insensitive to further increases (see Fig. 12).
It is important to note that magnetic field structures, i.e. the magnetic islands, which we observe in 2D simulations do not appear in 3D simulation (Kowal et al. 2009). What is more, Kowal et al. (2009) obtained a stable value of the reconnection speed in the presence of turbulence in a short period, about one Alvén time. In our work we are unable to reach this state because the reconnection rate continuously and violently fluctuates. Consequently the average speed of turbulent magnetic reconnection in 2D is burdened with much higher statistical errors than in 3D.
In our work we determine the dependence of the reconnection rate on four
quantities: the power of turbulence
,
the injection wavenumber
,
the
uniform
and the anomalous
resistivities. The same analysis was
done by Kowal et al. (2009) in three dimensions. For the power of turbulence and injection scale they
found the following scalings:
and
.
Compared to our findings the dependencies obtained in 3D are
stronger. Namely, in the 2D case the reconnection rate grows with the power of
turbulence as
and with the injection scale as
.
4.3 Earlier studies of 2D turbulent reconnection and their relation to work
As we mentioned in the introduction, the concept of turbulent enhancement of reconnection is not unprecedented. In Kowal et al. (2009) we presented a list of papers where turbulent effects were cited as the source of fast astrophysical reconnection. Compared to the present paper, all these papers lacked a precise means of measuring the reconnection speed, and therefore the numerical simulations were providing mostly qualitative results. Moreover, they adopted periodic boundary conditions, which made it difficult to study turbulent reconnection for more than a single Alfvén time.
Among these papers, the pioneering works were the numerical studies in Matthaeus & Lamkin (1986,1985). There the analysis of 2D simulations of turbulence revealed the formation of magnetic islands and X-points reminiscent of the Petscheck process.
In our 2D model of turbulent reconnection we also observe the continuous formation of magnetic islands which are ejected from the reconnection zone due to open boundary conditions. For instance, we observe that when a big loop of the magnetic field is removed from the box through boundaries, the reconnection rate increases sharply. After that the reconnection rate drops until a new magnetic island can be created.
The formation of islands is also a consequence of the tearing instability. In this vein, Loureiro et al. (2005) examined the nonlinear growth of tearing modes and obtained a fast growth of magnetic islands. However, in their simulations they used periodic boundary conditions, which keep such islands in the reconnection zone.
The most directly relevant work is Fan et al. (2005,2004). They found that the turbulent magnetic reconnection in the solar atmosphere could be described by a two phase process: first-slow and second-fast. The rapid stage of reconnection is caused by the coalescence instability described in Biskamp & Welter (1980); Wu & Chang (2001), which may also enhance the reconnection rate in our simulations.
Here, and in contrast to the 3D model of LV99, we find that in 2D the influence of the
uniform resistivity on the reconnection
rate is stronger for higher values of
and lower values of
.
Similar results have also been obtained by Loureiro et al. (2009). They claimed that
the reconnection process is fast in 2D only in some particular circumstances,
i.e. for higher values of the Lundquist number and moderate levels of
turbulence. We disagree with the claim of fast turbulent reconnection
in 2D. In fact, in most of the models analyzed by
Loureiro et al. (2009) the reconnection process depends on the uniform resistivity.
Again an important limitation of the aforementioned study is their limited averaging,
arising from their choice of boundary conditions.
4.4 Implications
Two-dimensional magnetic reconnection is the result of a rather artificial configuration. The value of our present study is that it clarifies the role of the effects of dimensionality for the actual 3D reconnection of astrophysical magnetic fields in the presence of weak turbulence. The latter has many essential implications starting from the First Order Fermi acceleration of energetic particles (de Gouveia dal Pino & Lazarian 2005; Lazarian & Opher 2009) to Solar Flares (see Lazarian et al. 2009) and the removal of the magnetic field during star formation (Santos-Lima et al. 2010) These implications are discussed in more detail in Kowal et al. (2009).
5 Conclusions
In this paper we have examined the results of 2D simulations of the reconnection process in the presence of subAlfvenic turbulence. Our findings may be summarized as follows:
- Unlike the Sweet-Parker reconnection, the reconnection of a weakly stochastic magnetic field is fundamentally different in 2D and 3D, in agreement the LV99 study. Reconnection in 2D depends on resistivity and is not fast.
- The enhancement of magnetic reconnection in 2D arises from an increase in the thickness of the plasma outflow layer due to the creation of magnetic islands, which are ejected from the reconnection layer.
- The power of turbulence
and the injection scale
have an influence on the reconnection rate. In our study this is
.
This work of K.K. and K.O. was supported by the Polish Ministry of Science and Higher Education through grants: 92/N-ASTROSIM/2008/0 and 3033/B/H03/2008/35. G.K.'s work was supported by the Polish Ministry of Science and Higher Education through 3033/B/H03/2008/35 and by the National Science Foundation through AST 0808118. The work of A.L. was supported by AST 0808118 and ATM 0648699. The work by E.V. was supported National Science and Engineering Research Council of Canada. The computations presented here have been performed on the GALERA supercomputer in TASK Academic Computer Centre in Gdansk.
References
- Alvelius, K. 1999, Phys. Fluids, 11, 1880 [NASA ADS] [CrossRef] [Google Scholar]
- Armstrong, J. W., Rickett, B. J., & Spangler, S. R. 1995, ApJ, 443, 209 [NASA ADS] [CrossRef] [Google Scholar]
- Biskamp, D. 1996, Ap&SS, 242, 165 [Google Scholar]
- Biskamp, D., & Welter, H. 1986, , 44, 1069 [Google Scholar]
- Blackman, E. G., & Field, G. B. 2000, ApJ, 534, 984 [NASA ADS] [CrossRef] [Google Scholar]
- Blackman, E. G., & Field, G. B. 2008, MNRAS, 386, 1481 [NASA ADS] [CrossRef] [Google Scholar]
- Cattaneo, F., & Vainshtein, S. I. 1991, ApJ, 376, L21 [NASA ADS] [CrossRef] [Google Scholar]
- Cho, J., & Lazarian, A. 2003, MNRAS, 345, 325 [Google Scholar]
- Del Zanna, L., Bucciantini, N., & Londrillo, P. 2003, A&A, 400, 397 [NASA ADS] [CrossRef] [EDP Sciences] [Google Scholar]
- Drake, J. F., Swisdak, M., Che, H., & Shay, M. A. 2006, Nature, 443, 553 [NASA ADS] [CrossRef] [PubMed] [Google Scholar]
- Elmegreen, B. G., & Scalo, J. 2004, ARA&A, 42, 211 [NASA ADS] [CrossRef] [Google Scholar]
- Fan, Q.-L., Feng, X.-S., & Xiang, C.-Q. 2004, Phys. Plasmas, 12, 052901 [NASA ADS] [CrossRef] [Google Scholar]
- Fan, Q.-L., Feng, X.-S., & Xiang, C.-Q. 2005, Phys. Plasmas, 11, 12 [Google Scholar]
- de Gouveia dal Pino, E., & Lazarian, A. 2005, A&A, 441, 845 [NASA ADS] [CrossRef] [EDP Sciences] [Google Scholar]
- Gruzinov, A. V., & Diamond, P. H. 1994, , 72, 1651 [Google Scholar]
- Hanasz, M., Kowal, G., Otmianowska-Mazur, K., & Lesch, H. 2004, ApJ, 605, L33 [NASA ADS] [CrossRef] [Google Scholar]
- Horbury, T. S., & Balogh, A. 2001, J. Geophys. Res., 106, 15929 [NASA ADS] [CrossRef] [Google Scholar]
- Innes, D. E., Inhester, B., Axford, W. I., & Wilhelm, K. 1997, Nature, 386, 811 [NASA ADS] [CrossRef] [Google Scholar]
- Kowal, G., Lazarian, A., Vishniac, E. T., & Otmianowska-Mazur, K. 2009, ApJ, 700, 63 [NASA ADS] [CrossRef] [Google Scholar]
- Krause, F., & Radler, K. H. 1980, Mean-Field Magnetohydrodynamics and Dynamo Theory (Oxford: Pergamon Press) [Google Scholar]
- Lazarian, A., & Opher, M. 2009, ApJ, 703, 8 [NASA ADS] [CrossRef] [Google Scholar]
- Lazarian, A., & Vishniac, E. T. 1999, ApJ, 517, 700 (LV99) [NASA ADS] [CrossRef] [Google Scholar]
- Lazarian, A., & Vishniac, E. T. 2000, Rev. Mex. Astron. Astrofis., 9, 55 [Google Scholar]
- Lazarian, A., & Vishniac, E. T. 2008, in Rev. Mex. Astron. Astrofís. Conf. Ser., 36, 81 [Google Scholar]
- Lazarian, A., Vishniac, E., & Kowal, G. 2009, ASP Conf. Ser., 406, 23 [NASA ADS] [Google Scholar]
- Lesch, H. 1993, The Cosmic Dynamo, ed. F. Krause, Conf. Proc. IAU Symp., 157, 395 [Google Scholar]
- Londrillo, P., & Del Zanna, L. 2000, ApJ, 530, 508 [NASA ADS] [CrossRef] [Google Scholar]
- Loureiro, L., Cowley, S. C., Dorland, W. D., Haines, M. G., & Schekochihin, P. 2005, Phys. Rev. Lett., 95, 235003 [NASA ADS] [CrossRef] [PubMed] [Google Scholar]
- Loureiro, L., Uzdensky, N., Schekochihin, P., Cowley, S. C., & Yousef, T. A. 2009, MNRAS, 399, L146 [NASA ADS] [Google Scholar]
- Matthaeus, W. H., & Lamkin, S. L. 1985, Phys. Fluids, 28, 303 [NASA ADS] [CrossRef] [Google Scholar]
- Matthaeus, W. H., & Lamkin, S. L. 1986, Phys. Fluids, 29, 2513 [NASA ADS] [CrossRef] [Google Scholar]
- Matthaeus, W. H., Ambrosiano, J. J., & Goldstein, M. L. 1984, , 53, 1449 [Google Scholar]
- McKee, C. F., & Ostriker, E. C. 2007, ARA&A, 45, 565 [NASA ADS] [CrossRef] [Google Scholar]
- Mignone, A. 2007, J. Comput. Phys., 225, 1427 [Google Scholar]
- Moffat, H. K. 1978, Magnetic Field Generation in Electrically conducting Fluids (London, UK/New York, NY: Cambridge University Press) [Google Scholar]
- Pagano, P., Raymond, J. C., Reale, F., & Orlando, S. 2008, A&A, 481, 835 [NASA ADS] [CrossRef] [EDP Sciences] [Google Scholar]
- Parker, E. N. 1957, J. Geophys. Res., 62, 509 [Google Scholar]
- Parker, E. N. 1979, Cosmical Magnetic Fields (Oxford, USA: Clarendon Press) [Google Scholar]
- Parker, E. N. 1992, ApJ, 401, 137 [NASA ADS] [CrossRef] [Google Scholar]
- Petschek, H. E. 1964, in Conf. Proc. AAS-NASA Symposium, Physics of Solar Flares, ed. W. H. Hess (Washington, DC: NASA Science and Technical Information Division), 425 [Google Scholar]
- Priest, E., & Forbes, T. 2000, Magnetic Reconnection (Cambridge, UK: Cambridge University Press) [Google Scholar]
- Ruzmaikin A. A., Shukurov A. M., & Sokoloff D. D. 1988, Magnetic Fields of Galaxies, Ap&SS Library (Dordrecht: Kluwer Academic Publishers) [Google Scholar]
- Santos-Lima, R., Lazarian, A., de Gouveia Dal Pino, E. M., & Cho, J. 2010, ApJ, 714, 442 [NASA ADS] [CrossRef] [Google Scholar]
- Servidio, S., Matthaeus, W. H., Shay, M. H., Cassak, P. A., & Dmitruk, P. 2009, Phys. Rev. Lett., 101, 115003 [NASA ADS] [CrossRef] [Google Scholar]
- Sweet, P. A. 1958, Electromagnetic Phenomena in Cosmical Physics, ed. B. Lehnert (Cambridge, UK:Cambridge University Press), Conf. Proc. IAU Symp., 6, 123 [Google Scholar]
- Tóth, G. 2000, JCoPh, 161, 605 [Google Scholar]
- Uzdensky, D. A. 2006, [arXiv:astro-ph/0607656] [Google Scholar]
- Vainshtein, S. I., & Cattaneo, F. 1992, ApJ, 393, 165 [NASA ADS] [CrossRef] [Google Scholar]
- Vishniac, E. T., & Lazarian, A. 1999, ApJ, 511, 193 [Google Scholar]
- Wu, C. C., & Chang, T. 2001, J. Atmos. Sol.-Terr. Phys., 63, 1447 [NASA ADS] [CrossRef] [Google Scholar]
- Yamada, M., Ren, Y., Ji, H., et al. 2006, Phys. Plasmas, 13, 052119 [NASA ADS] [CrossRef] [Google Scholar]
- Yokoyama, T., & Shibata, K. 1995, Nature, 375, 42 [NASA ADS] [CrossRef] [Google Scholar]
Footnotes
- ... values
- This should not be taken too literally. Our measure of the reconnection speed is misleading when the midplane magnetic field topology becomes progressively more tangled.
- ... similar
- The obtained
dependence of reconnection pace on the uniform resistivity coincide in
2D and 3D
and is consistent with theory, i.e.
.
- ... formation
- While the 3D reconnection of a weakly stochastic magnetic field depends on the Alfvénic, i.e. the incompressible, component of magnetic turbulence, the creation of magnetic islands depends on the compressible component of the turbulence (see Cho & Lazarian 2003, for the decomposition of MHD turbulent motions).
All Tables
Table 1: List of models.
All Figures
![]() |
Figure 1:
2D magnetic field configuration in our problem. The grey area
describes the diffusion region where the incoming field lines reconnect. The
longitudinal and transverse scales of the diffusion region are described by the
parameters |
Open with DEXTER | |
In the text |
![]() |
Figure 2:
Time variations of the total mass M (solid line), magnetic
|
Open with DEXTER | |
In the text |
![]() |
Figure 3:
Time variation evolution of the reconnection rate in the Sweet-Parker stage
with the uniform resistivity
|
Open with DEXTER | |
In the text |
![]() |
Figure 4:
Absolute value of the current density distribution ( right panel), the
magnetic ( middle panel) and velocity field ( left panel) topology during the
Sweet-Parker stage for a time t=9 in a model with the uniform resistivity
|
Open with DEXTER | |
In the text |
![]() |
Figure 5:
The evolution of the reconnection speed for a model with
|
Open with DEXTER | |
In the text |
![]() |
Figure 6:
Topology of the velocity ( top panels) and magnetic field ( middle panels)
in the presence of turbulence shown at three times
t1 = 12.15,
t2 = 13.85,
t3 = 15.15. In the lower panels we plot the absolute value of the current density
at these times. The variation of the
reconnection speed
|
Open with DEXTER | |
In the text |
![]() |
Figure 7:
The evolution of the reconnection speed for the model with
|
Open with DEXTER | |
In the text |
![]() |
Figure 8:
Topology of the velocity ( top panels) and magnetic field ( middle panels)
in the presence of turbulence shown at three times t1=13.90, t2=15.70,
t3 = 18.15. In the lower panels we plot the absolute value of the current density
for the same times. The evolution of the reconnection speed
|
Open with DEXTER | |
In the text |
![]() |
Figure 9:
Dependence of the reconnection rate on the power of the injected turbulence
|
Open with DEXTER | |
In the text |
![]() |
Figure 10:
Dependence of the reconnection rate on the injection scale
|
Open with DEXTER | |
In the text |
![]() |
Figure 11:
Dependence of the reconnection rate on the uniform resistivity
|
Open with DEXTER | |
In the text |
![]() |
Figure 12:
Dependence of the reconnection rate on the anomalous resistivity
|
Open with DEXTER | |
In the text |
![]() |
Figure 13:
Dependence of the reconnection rate on the viscosity |
Open with DEXTER | |
In the text |
![]() |
Figure 14:
Comparison of the reconnection rates obtained for models with
uniform and antiparallel initial magnetic field configurations. All parameters
for the models are the same: the power of turbulence
|
Open with DEXTER | |
In the text |
![]() |
Figure 15:
Topology of the velocity ( left panel) and magnetic field ( middle panel),
and the absolute value of the current density distribution ( right panel)
for the initially uniform magnetic field at the time t=14. Brighter
shades correspond to higher values of the displayed quantities. Turbulence is
injected with the power
|
Open with DEXTER | |
In the text |
![]() |
Figure 16:
Time evolution of the reconnection speed for the model with t
|
Open with DEXTER | |
In the text |
![]() |
Figure 17:
Time evolution of the total mass M (solid line), magnetic
|
Open with DEXTER | |
In the text |
![]() |
Figure 18:
Topology of magnetic field in the presence of turbulence at a time
t=49. The uniform resistivity
|
Open with DEXTER | |
In the text |
Copyright ESO 2010
Current usage metrics show cumulative count of Article Views (full-text article views including HTML views, PDF and ePub downloads, according to the available data) and Abstracts Views on Vision4Press platform.
Data correspond to usage on the plateform after 2015. The current usage metrics is available 48-96 hours after online publication and is updated daily on week days.
Initial download of the metrics may take a while.