Issue |
A&A
Volume 514, May 2010
|
|
---|---|---|
Article Number | A51 | |
Number of page(s) | 23 | |
Section | Stellar structure and evolution | |
DOI | https://doi.org/10.1051/0004-6361/200913220 | |
Published online | 18 May 2010 |
The influence of model parameters on the prediction of gravitational wave signals from stellar core collapse
S. Scheidegger - R. Käppeli - S. C. Whitehouse - T. Fischer - M. Liebendörfer
Department of Physics, University of Basel, Klingelbergstrasse 82, 4056 Basel, Switzerland
Received 31 August 2009 / Accepted 18 January 2010
Abstract
We present a gravitational wave (GW) analysis of an extensive series of
three-dimensional
magnetohydrodynamical core-collapse simulations.
Our 25 models are based on a 15
progenitor
stemming from (i) stellar evolution calculations;
(ii) a spherically symmetric effective general
relativistic potential, either the Lattimer-Swesty (with three possible
compressibilities) or the Shen equation of state for hot, dense matter;
and (iii) a neutrino parametrisation
scheme that is accurate until about 5 ms postbounce. For three
representative models, we also included long-term neutrino physics by
means of a
leakage scheme, which is based on partial implementation of the
isotropic diffusion source approximation (IDSA).
We systematically investigated the effects of the equation of state,
the initial rotation rate, and both the toroidal and the poloidal
magnetic fields on the GW signature. We stress the importance
of including of postbounce neutrino physics, since it quantitatively
alters the GW signature.
Slowly rotating models, or those that do not rotate at all, show GW
emission caused by prompt and proto-neutron star (PNS) convection.
Moreover, the signal stemming from prompt convection allows for the
distinction between the two different nuclear equations of state
indirectly by different properties of the fluid instabilities.
For simulations with moderate or even fast rotation rates,
we only find the axisymmetric type I wave signature at core
bounce.
In line with recent results, we could confirm that the maximum GW
amplitude scales roughly linearly with the ratio of rotational to
gravitational energy at core bounce below a threshold value of about
10%.
We point out that models set up with an initial
central angular velocity of 2
rad s-1 or faster show nonaxisymmetric
narrow-band GW radiation
during the postbounce phase. This emission process is caused by a low T/|W|
dynamical instability. Apart from these two points, we show that it is
generally very difficult to discern the effects of the individual
features of the input physics in a GW signal from a rotating
core-collapse supernova
that can be attributed unambiguously to a specific model.
Weak magnetic fields do not notably influence the dynamical
evolution of the core and thus the GW emission.
However, for strong initial poloidal magnetic fields (
1012 G),
the combined action of flux-freezing and field winding leads to
conditions where the ratio of magnetic field pressure to matter
pressure reaches about unity which leads to the onset of a jet-like
supernova explosion.
The collimated bipolar out-stream of matter is then reflected
in the emission of a type IV GW signal.
In contradiction to axisymmetric simulations,
we find evidence that nonaxisymmetric fluid
modes can counteract or even suppress jet formation for models with
strong
initial toroidal magnetic fields.
The results of models with continued neutrino emission show that
including of the deleptonisation
during the postbounce phase is an indispensable issue for the
quantitative prediction of GWs from core-collapse supernovae,
because it can alter the GW amplitude up to a factor of 10 compared to
a pure hydrodynamical treatment.
Our collapse simulations indicate that corresponding events in our
Galaxy would be detectable either
by LIGO, if the source is rotating, or at least by the advanced LIGO
detector, if it is not or only slowly rotating.
Key words: gravitational waves - supernovae: general - hydrodynamics - neutrinos - stars: rotation - stars: neutron
1 Introduction
Gravitational wave (GW) astronomy may soon become a reality
and will allow humankind to address questions about many different
astrophysical objects that are
hidden from the electromagnetic detection. Within the past few years,
the first generation of
the ground-based GW detectors LIGO (USA), VIRGO (Italy),
GEO600 (Germany), and TAMA (Japan) have got very close to or
even reached design sensitivity and collected partially coincident
data, as discussed by Abbott
et al. (2009).
Lately, the two 4 km LIGO detectors were upgraded to
sensitivities increased by a factor of 2-3
(enhanced LIGO, see Adhikari
et al. 2006)
and resumed observations in 2009.
Upgrades of the three LIGO interferometers and VIRGO are expected to be
completed by 2014 and will increase the observable volume
by a factor of 1000.
Operating at such a high level of precision, GW detectors are sensitive
to many different sources, such as compact binary coalescence from
black-holes (BH) and neutron stars
up to distances of several 100 megaparsecs,
but might also very likely produce the
first detections of black-hole and neutron star mergers, core-collapse
supernovae, and neutron star
normal mode oscillations, as recently reviewed in Sathyaprakash & Schutz (2009).
The broad majority of GW sources can be subdivided into
two classes: (i) mathematically well-posed events such as
BH-BH coalescence; and (ii) scenarios that involve
matter.
The first category of sources can be modelled accurately, the waveform
can be calculated with
high precision, and thus a matched-filter analysis can be applied.
On the other hand, the latter kind of GW sources can only be modelled
imperfectly,
as matter effects carry large physics uncertainties and open up a huge
parameter space for initial conditions. Moreover, even if there
were ``perfect'' models, there is still a turbulent, stochastic
element in some GW emission mechanisms that makes it strictly
impossible to compute templates. As a result, more general, un-modelled
burst analysis techniques are used,
as summarised in Abbott et al.
(2009) and references therein.
One of the scenarios where burst data analysis must be applied
is the stellar core collapse, where in addition to the matter effects
even the fundamental explosion mechanism
is not fully settled.
It is still unclear which processes may convert some of the released
gravitational binding energy of order erg
into
the typically observed kinetic and internal energy of the ejecta of
erg = 1
Bethe [B] needed
to blow off the stellar envelope.
While most state-of-the art simulations investigate a mechanism based
on neutrino heating in combination with hydrodynamical instabilities,
such as Marek &
Janka (2009), others explore the alternative
magneto-rotational mechanism (Kotake et al. 2004a; Mikami
et al. 2008; Leblanc & Wilson 1970;
Takiwaki
et al. 2009; Burrows et al. 2007a),
or the acoustic mechanism which is driven by strong core g-modes (Burrows
et al. 2007b,2006). For a recent review see
Janka et al. (2007).
Takahara & Sato
(1988), Gentile
et al. (1993), and lately also
Nakazato et al.
(2008) and Sagert
et al. (2009) reported that a QCD phase transition
may power a secondary shock wave
which triggers a successful hydrodynamical explosion.
Beside neutrinos, which have already been observed in the context of stellar core collapse of SN1987A (Hirata et al. 1988), GWs could provide access to the electromagnetically hidden compact inner core of some such cataclysmic events. Since a core-collapse supernova is expected to show aspherical features (Leonard et al. 2006), there is reasonable hope that a tiny amount of the released binding energy will be emitted as GWs which could then provide us with valuable information about the angular momentum distribution (Dimmelmeier et al. 2008) and the baryonic equation of state (EoS) (Marek et al. 2009), both of which are uncertain. Furthermore, they might help to constrain theoretically predicted SN mechanisms (Ott 2009). Given the actual sensitivities of today's operating ground-based GW observatories (Whitcomb 2008) combined with knowledge of waveforms from state-of-the art modelling, GWs from a Galactic core-collapse supernova may be considered to be within the detector limits. The collapsing iron core and the subsequently newly formed PNS can be subject to a whole variety of asymmetric hydrodynamical and nonaxisymmetric instabilities which give rise to GW emission.
In this context probably most attention during the past three decades has been paid to rotational core collapse and bounce dynamics. In this particular phase, the core spins up due to angular momentum conservation, resulting in an oblate and time-dependent deformation that leads to strong GW emission (Janka & Müller 1996; Kotake et al. 2003; Rampp et al. 1998; Dimmelmeier et al. 2002; Kotake et al. 2004b; Obergaulinger et al. 2006; Dimmelmeier et al. 2008,2007; Müller 1982; Ott et al. 2007a; Scheidegger et al. 2008; Ott et al. 2004; Mönchmeyer et al. 1991; Ott et al. 2007b; Zwerger & Müller 1997). The steady improvement of the models (e.g. the inclusion of GR, a micro-physical EoS, treatment of neutrino physics) recently led to a theoretically well understood single and generic, so-called type I wave form which is characterised by a large negative peak at core bounce, followed by ring-down oscillations that damp quickly (Dimmelmeier et al. 2007; Ott et al. 2007a,b; Dimmelmeier et al. 2008; with detailed references therein). Despite the reduction to a single wave form, the combined information of the GW amplitude and the location of the narrow peak of the GW spectral energy density in frequency space contains information that makes it still possible to constrain progenitor- and postbounce rotation, but can barely distinguish between different finite-temperature EoS (see e.g. Dimmelmeier et al. 2008, who used the EoS of Lattimer & Swesty 1991 and Shen et al. 1998b).
Gravitational waves from magneto-rotational collapse were
considered in detail by Shibata et al. (2006);
Kotake
et al. (2004b) and Obergaulinger
et al. (2006). As main differences compared to
simulations which do not include magnetic fields it was found by these
groups
that only in the very special case of precollapse fields
as strong as 1012 G
the overall dynamics can be influenced. As Heger
et al. (2005) have argued, such strong fields are
unlikely to occur in standard core-collapse supernova progenitors.
The GW amplitude is then affected by (i) time-dependent
magnetic fields, which contribute considerably to the overall energy
density; and (ii) by bipolar magnetohydrodynamic (MHD) jet
outflows which give rise to a so-called type IV signal with
memory (Obergaulinger
et al. 2006).
Physically, such a memory effect in the GW signal arises
from the temporal history of asymmetric matter outflow, leaving behind
a constant
offset in the amplitude (Thorne 1989).
Recently it has been argued through numerical simulations of
equilibrium neutron star models or full core-collapse simulations that
PNSs with a high degree of differential rotation can be subject to
nonaxiymmetric rotational instabilities at low
values (= T/|W|, ratio of
rotational to gravitational energy), leading to strong narrow-band GW
emission (Ou
& Tohline 2006; Ott et al. 2005;
Watts
et al. 2005; Cerdá-Durán et al. 2007;
Saijo
& Yoshida 2006; Ott et al. 2007a;
Scheidegger
et al. 2008; Ott et al. 2007b;
Saijo
et al. 2003). However little is known about the true
nature of the instability at present.
Previous work has failed to establish an analytical instability
criterion, and the dependence of the instability on PNS rotation rate
and degree of differential rotation
is still unclear, as it was pointed out by Ott (2009).
Current state-of-the-art stellar evolution calculations (Heger et al. 2005) tell
us that iron cores of stars
generally lose most of their angular momentum during their evolution
due to magnetic torques. Therefore, they
cannot become subject to strong rotationally-induced aspherities.
However, anisotropic neutrino
emission, convection and standing accretion shock instability (SASI,
see e.g. Blondin et al.
2003) - driven deviations from spherical symmetry which can
lead to the emission of GWs of sizable amplitudes are likely to occur
inside the PNS and the post-shock gain region and last for probably
hundreds of ms (Kotake et al. 2007;
Müller
& Janka 1997; Müller et al. 2004; Kotake
et al. 2009a; Marek et al. 2009;
Murphy
et al. 2009; Kotake et al. 2009b).
Although there is qualitative consensus among the different
core-collapse supernova
groups about the aforementioned features being emitters of stochastic
broad-band signals, their detailed quantitative character still remains
quite uncertain, since self-consistent 3D simulations with
proper long-term neutrino transport were not carried out so far, but
would in principle be required.
The most recent, very elaborate 2D simulations in that context were
performed by Marek
et al. (2009). Their numerical setup includes
long-term multi-flavor neutrino transport, an effective relativistic
potential and two different EoS. The first 100 ms of after
bounce they observed GWs from early prompt postbounce convection,
peaking somewhat around or below 100 Hz, depending on the
employed EoS. After this early episode, the GW emission in their models
is dominated by a growing negative amplitude related to anisotropic
neutrino emission at frequencies 200 Hz, while
the GW signal associated with non-radial mass motions stems from
density regimes 1011-1013 g cm-3
and peaks in the frequency range of 300-800 Hz, highly
sensitive to the nuclear EoS.
In the core-collapse scenario, PNS pulsations can provide another mechanism for GW emission. Ott et al. (2006a) pointed out that in the context of the acoustic mechanism (Burrows et al. 2006) excited core g-mode oscillations might emit very strong GWs. The GW signal is due to the nonlinear quadrupole components of the pulsations that, at least initially, are of l=1 g-mode character (Ott et al. 2006a).
For recent reviews on GWs from core-collapse supernovae with complete lists of references see Ott (2009) and Kotake et al. (2006).
In this paper, we present the gravitational wave analysis of a comprehensive set of three-dimensional MHD core-collapse supernova simulations in order to investigate the dependencies of the resulting GW signal on the progenitor's initial conditions. Our calculations encompass presupernova models from stellar evolution calculations, a finite-temperature nuclear EoS and a computationally efficient treatment of the deleptonisation and neutrino emission during the collapse. General relativistic corrections to the spherically symmetric Newtonian gravitational potential are taken into account. Moreover, several models incorporate long-term neutrino physics by means of a leakage scheme. As for the progenitor configuration, we systematically consider not only variations in the precollapse rotation rate, but also in the nuclear EoS and the magnetic field topology. This study extends the work of Scheidegger et al. (2008), who investigated only two models with similar input physics. In this way, we carried out the so far largest parameter study of 3D MHD stellar collapse with respect to the prediction of GWs.
The structure of the paper is as follows. In Sect. 2 we briefly describe the numerical methods, input physics and progenitor configurations applied in our core-collapse simulations. Furthermore, we describe how we extract GWs from our model set. In Sect. 3 we discuss results of 25 three-dimensional MHD simulations with respect to the GW signal from convection, rotational core bounce, nonaxisymmetric rotational instabilities and very strong magnetic fields. In Sect. 4, we summarise and present conclusions.
2 Numerical methods
2.1 The 3D MHD code and its input physics
The algorithm used to solve the time-dependent, Newtonian MHD equations
in our 3D simulations is based on a simple and fast
cosmological MHD code of
Pen
et al. (2003); Liebendörfer et al. (2006),
which has been parallelised with a hybrid combination of MPI and openMP
and improved and adapted to the requirements of core-collapse supernova
simulations (Käppeli
et al. 2009).
The 3D computational domain consists of a central cube of 6003 km3
volume,
treated in equidistant Cartesian coordinates with a grid spacing of
1 km.
It is, as explained in detail in Scheidegger
et al. (2008), embedded in a larger spherically
symmetric computational domain that is
treated by the time-implicit hydrodynamics code ``Agile'' (Liebendörfer et al. 2002).
With this setup, the code scales nicely to at least
8000 parallel processes
(Käppeli et al.
2009).
The ideal MHD equations read
expressing the conservation of mass, momentum, energy and magnetic flux, respectively.




We employ the constrained transport method (Evans & Hawley 1988) to guarantee the divergence-free time evolution of the magnetic field. The right hand side of Eqs. (2) and (3) take into account the effect of gravitational forces on the magnetohydrodynamical variables. The gravitational potential

We only implement the monopole term of the gravitational potential by a spherically symmetric mass integration that includes general relativistic corrections (Marek et al. 2006). In this approach, the Newtonian gravitational potential


with p being the gas pressure,

where E is the neutrino energy. The metric function

![]() |
(9) |
where

The system of the MHD equations must be closed by a finite-temperature EoS. In core-collapse supernova simulations, an EoS has to handle several different regimes. For temperatures below 0.5 MeV, the presence of nuclei and time dependent nuclear processes dominate the internal energy evolution. For simplicity, an ideal gas of Si-nuclei is assumed, which, for our GW study, is sufficiently accurate to describe the low baryonic pressure contribution at low densities in the outer core. At higher temperatures, where matter is in nuclear statistical equilibrium, we employ two alternative EoS: The Lattimer & Swesty EoS (Lattimer & Swesty 1991, LS EoS) and the one by Shen et al. (1998a). The first EoS is based on a phenomenological compressible liquid drop model; it also includes surface effects as well as electron-positron and photon contributions. The LS EoS assumes a nuclear symmetry energy of 29.3 MeV and we will perform simulations with three choices of the nuclear compressibility modulus K (180, 220, 375 MeV) as provided by Lattimer & Swesty (1991). Since variations in K affect the stiffness of the nuclear component of the EoS, this enables us to probe the effects of variations in stiffness while keeping the general EoS model fixed. The pure baryon EoS from Shen et al. (1998a) has a compressibility of K=281 MeV and a symmetry energy of 36.9 MeV. It is based on relativistic mean field theory and the Thomas-Fermi approximation. For matter in non-NSE ( T (< 0.44 ) MeV), the Shen EoS is coupled to the baryonic and electron-positron EoS given in Timmes & Arnett (1999) and Timmes & Swesty (2000). It employs an ideal gas for the nuclei and additionally includes contributions from ion-ion-correlations and photons.
2.2 The treatment of neutrino physics
The treatment of neutrino physics is an essential ingredient of core-collapse supernova simulations (Mezzacappa 2005). Multidimensional core-collapse supernova simulations therefore must rely on more or less severe approximations of the neutrino physics. In state-of-the-art 2D simulations, one way in which Boltzmann transport is approximated is the so-called ray-by-ray plus scheme'' (Buras et al. 2006b). It solves the full transport in separate 1D angular segments, where the neighbouring rays are coupled. Other groups rely on multi-group flux limited diffusion (MGFLD, Ott et al. 2008; Swesty & Myra 2009). MGFLD treats all neutrinos in seperate energy groups, drops the momentum space angular dependence of the radiation field and evolves the zeroth moment of the specific intensity instead of the specific intensity itself. Ott et al. (2008) also compared MGFLD with angle-dependent (i.e. partly Boltzmann) transport in 2D. In three dimensions, simulations have been performed using ``grey'' flux-limited diffusion (Fryer & Warren 2004), which oversimplyfies the important neutrino spectrum. It is important to resolve the neutrino spectrum, since the charge-current interaction rates go with the square of the neutrino energy.
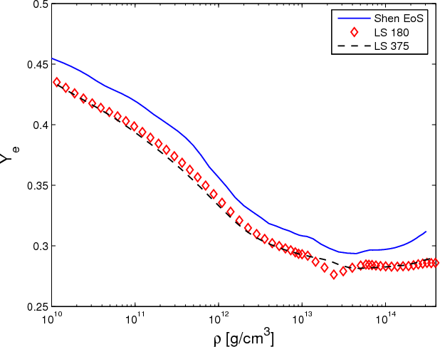
In our 3D MHD simulations, we apply a
parametrised deleptonisation scheme (Liebendörfer
2005). Detailed spherically-symmetric collapse calculations
with Boltzmann neutrino transport show that the electron fraction
in different layers in the homologously collapsing core follow a
similar deleptonisation trajectory with density. The local electron
fraction of a fluid element can be parametrised as a function of
density
.
For our 3D simulations, we apply tabulated
profiles which were obtained
from detailed general relativistic, spherically symmetric three-flavour
Boltzmann neutrino transport.
Exemplary profiles are shown in Fig. 1.
The offset between the
profiles from the LS- and the Shen EoS is consistent with the different
asymmetry energies of the two EoS.
This in turn is reflected in different neutrino reaction
rates and thus a different
at a given density.
These effects have been discussed in Sumiyoshi
et al. (2008)
and Fischer
et al. (2009) for massive
progenitor stars in the range of 40-50
.
However, this parametrisation scheme is only valid until a few
milliseconds
after bounce, since it cannot account for the neutronisation burst,
as explained in Liebendörfer
(2005) and Scheidegger
et al. (2008).
![]() |
Figure 1:
Electron fraction |
Open with DEXTER |
In order to give an estimate of how long the above approximation
is able to predict quantitatively reliable postbounce (pb) GW signals
for times
ms after bounce, we
carried out three representative simulations (R1E1CAL,
R3E1ACL and R4E1FCL,
see Table 1)
that incorporate a postbounce treatment for neutrino transport and
deleptonisation.
The scheme we apply is based on a partial implementation of the
isotropic diffusion source approximation (IDSA; Liebendörfer et al. 2009).
The IDSA splits the distribution function f of the
neutrinos into two
components, a trapped component ft
and a streaming component fs,
representing neutrinos of a given species and energy which find the
local zone opaque or transparent, respectively. The total distribution
function is the sum of the two components, f
= ft + fs.
The two
components are evolved using separate numerical techniques, coupled by
a
diffusion source term. The trapped component transports neutrinos by
diffusion to adjacent fluid elements, while in this paper the streaming
component is discarded (fs
= 0), implying that these neutrinos are lost from the
simulation immediately. The part of the IDSA for trapped neutrinos is
implemented in three
dimensions, including both
electron neutrinos and electron anti-neutrinos (Whitehouse &
Liebendörfer 2010, in preparation).
The use of this partial
implementation of the IDSA enables us to capture the neutrino burst and
to continue our simulations into the postbounce regime, as shown in
Fig. 2.
Table 1: Summary of initial conditionsa.
The leakage scheme is switched on at core bounce, when the
central density of the core reaches its first maximum value.
At present, we neglect the emission of
and
neutrinos and their antineutrinos, which in principle play an important
role in the cooling of the PNS.
However, since our leakage schemes neglects any absorption of
transported neutrinos, it already overestimates the cooling of the PNS,
even without the treatment of the
and
neutrinos.
This is shown in Fig. 3.
2.3 Initial model configurations
We construct the initial conditions of our simulations by a parametric
approach. All our models are launched from a
progenitor star from the stellar evolutionary calculations of Woosley & Weaver (1995).
Angular momentum was added to the presupernova model according to a
shell-type rotation law (Eriguchi
& Müller 1985)
![]() |
(10) |
where we define


In order to guarantee a divergence-free initial state, the
initial magnetic field configuration was set up employing
its definition via the vector potential .
The components of
we chose are
In order to mimic a dipole-like field, we scale the vector potential with density according to
![]() |
(12) |
Finally, the magnetic field is derived from this vector potential
![]() |
(13) |
The initial toroidal- and poloidal components of the magnetic field are specified at a reference density of

![]() |
Figure 2:
Comparison of the |
Open with DEXTER |
We compute a total of 25 models, changing the combination of
total angular momentum, the EoS, and toroidal- and poloidal magnetic
fields. The model parameters are summarised in Table 1.
The models are named after the combinations of initial central rotation
rate, the EoS, and toroidal- and poloidal
magnetic fields.
The first two letters of the model name represent the initial
central rotation rate
[rad s-1] according to

the second two letters stand for the applied EoS

while the last two letters assign the order of magnitude of the toroidal-, and poloidal field strength [G] according to

The final subscript L signs simulations
which were carried out with the leakage scheme.
Some of the values which we adopt
as rotation rate and magnetic fields correspond to the values suggested
in Heger et al. (2005).
However, we point out that some of the initial rotation rates (
rad s-1)
and magnetic fields (
G)
are larger and stronger compared to current predictions from stellar
evolution calculations.
However, we computed these models in order to cover a wide parameter
space for our three-dimensional models with neutrino transport
approximations.
2.4 Gravitational wave extraction
The two independent polarisations of the dimensionless gravitational
wave field in
the transverse traceless gauge are given by
The spatial indices i,j run from 1 to 3 (Misner et al. 1973). R is the distance from the source to the observer and the unit polarisation tensors e+ and

In the slow-motion limit (Misner et al. 1973; Finn & Evans 1990) the amplitudes A+ and

For convenience we evaluate below the GW amplitudes along the polar axis (

and in the equatorial plane (


Since a direct evaluation of Eq. (17) is numerically problematic, as discussed in Finn & Evans (1990), we apply alternative reformulations of the standard quadrupole formula, in which one or both time derivatives are replaced by hydrodynamic variables using the continuity and momentum equations. In the first moment of momentum density formula (see Finn & Evans 1990), the first time derivative of the quadrupole moment yields
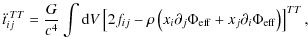
In the stress formulation Blanchet et al. (1990),

where

where

Table 2: Overlap.
Below, we generally apply Eq. (22) if not stated otherwise. Given our spherically-symmetric effective GR approach to the solution of the Poisson equation, this expression is physically best motivated, since it does not depend on spatial derivatives of the gravitational potential.We also point out that the Newtonian quadrupole formalism to
extract the gravitational radiation
is not gauge invariant and only
valid in the Newtonian slow-motion limit. However, it was shown by Shibata & Sekiguchi
(2003) that the above method seems to be sufficiently
accurate compared to more elaborate techniques, as it preserves phase
while being off in amplitude by 10% in neutron star
pulsations. The energy carried away by gravitational radiation can be
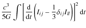
calculated by the following expression:
EGW | = | ![]() |
(26) |
= | ![]() |
||
![]() |
![]() |
||
![]() |
![]() |
where

where

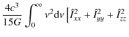
In order to calculate the contribution to the GW signal due to magnetic
stresses, we generalised Eq. (23), taking into
account contributions from the magnetic
field. Following the derivations of Kotake
et al. (2004a) and Obergaulinger
et al. (2006), the Cartesian quadrupole
gravitational wave amplitude in the MHD case yields
where


where


Table 3: Summary of GW related quantitiesa.
3 Results
In the subsequent four subsections we will discuss the GW signature of our 25 models. While presenting the resulting GW patterns, we will pay special attention to possible imprints of different finite temperature EoS, rotation rates, nonaxisymmetric instabilities, magnetic fields and a postbounce leakage scheme on the predicted 3D GW signals. The models' initial conditions and similar relevant quantities are summarised in Table 1, whilst the GW data is listed in Table 3.
3.1 Non- or slowly rotating core collapse
General remarks
Non- and slowly rotating progenitors (
rad s-1in
our model set)
all undergo quasi-spherically symmetric core collapse.
As the emission of GWs intrinsically depends on dynamical processes
that deviate from spherical symmetry, the collapse phase in our models
(that neglect inhomogenities in the progenitor star)
therefore does not provide any kind of signal, as shown in
Fig. 3
for t-tb<
0.
However, subsequent pressure-dominated core bounce, where
the collapse is halted due to the stiffening of the EoS at nuclear
density
g cm-3,
launches a shock wave that plows through the infalling material,
leaving behind a negative entropy gradient that induces so-called
``prompt''
convective activity (e.g. Müller
et al. 2004; Ott 2009; Marek
et al. 2009; Buras et al. 2006a; Dimmelmeier
et al. 2008).
The GW burst which is accompanied by such aspherities starts several ms
after bounce when convective overturn starts to be
effective. The criterion for convective instability (the ``Ledoux
condition'') is generally expressed as (Wilson & Mayle 1988;
Landau
& Lifshitz 1959)
where




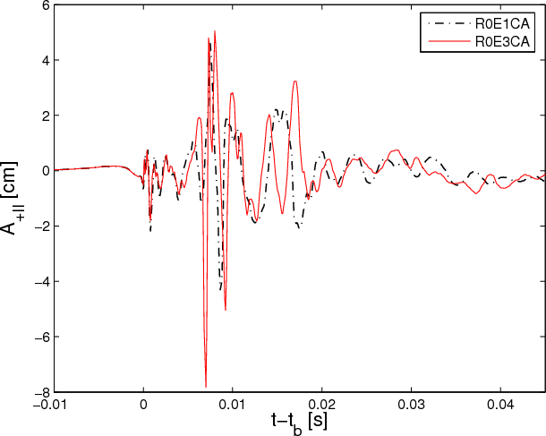
Models without deleptonisation in the postbounce phase: Effects of the EoS and magnetic fields on the GW signature
During the early postbounce stage (
ms),
prompt convective motion is predominantly driven by a negative entropy
gradient, as pointed out e.g. by Scheidegger
et al. (2009) (see also Ott 2009; Marek
et al. 2009; Dimmelmeier et al. 2008).
The GW burst to be associated with prompt convection sets in
6 ms
after bounce in models based on the LS EoS, generally
2-3 ms
before the same feature occurs in the corresponding simulations
using the Shen EoS, as indicated in
Fig. 3.
The reason for this behaviour is that the shock wave in the
``Shen''-models carries more energy compared to those in models using a
LS EoS.
Therefore, the shock wave stalls at slightly later times at larger
radii (see Fig. 4),
and the conditions for convective activity are delayed compared to the
LS runs.
Note that the convective overturn causes a smoothing of
the negative entropy gradient.
As a result, the GW amplitude quickly decays
(
ms after bounce)
and is not revived during the later evolution
of the models without deleptonisation in the postbounce phase, as
displayed in Figs. 3
and 5.
Simulations that incorporate the Shen EoS return up to a factor of
2 smaller maximum amplitudes compared to their counterparts,
as can be deduced from Fig. 3 and
Table 3.
We also find that the GWs from simulations which were carried
out with the stiff E3 show no significant
deviations from those computed with E1 (see Table 3 and Fig. 5). The minor
deviations of the GWs are entirely
due to the stochastic nature of convection.
The waveform spectra from the LS models cover a broad frequency band
ranging from 150-500 Hz,
as displayed in Fig. 6.
The spectral peak of the Shen models is shifted
somewhat to lower frequencies, covering a range from
150-350 Hz
(see Fig. 6).
When comparing the energy EGW
which is
emitted during the first 30 ms after bounce from the LS models
to that of the corresponding
Shen models, we find the latter models emit
less energy (see Table 3).
This discrepancy is due to the lower emission at higher frequency
Hz
in the Shen models and the fact that the emitted
energy
is proportional to
.
Moreover we find that already slow rotation (rotation rate R1)
leads to a deformation of the PNS. This can be quantified by
considering
e.g. a density cut at
g cm-3,
which is just inside the convectively unstable region.
For the slowly rotating model R1E1CA, this point is located at a radial
distance of 80 km along the polar axis at
20 ms after bounce. However, in the equatorial plane, the same
position is reached one radial grid zone further out relative to the
origin
due to the action of centrifugal forces.
The short time variation in the quadrupole due to rotation combines
with that of prompt convection and together they lead
to somewhat stronger GW emission in the slowly rotating case
compared to the non-rotating model set.
This effect is strongest for the GW amplitude A
,
which is the ``axisymmetric'' (l=2, m=0)
component of the wave field.
Despite this feature, the frequency content
of models which only differ in rotation rate, stays practically
unaltered.
![]() |
Figure 3:
Time evolution of the GW amplitude A
|
Open with DEXTER |
![]() |
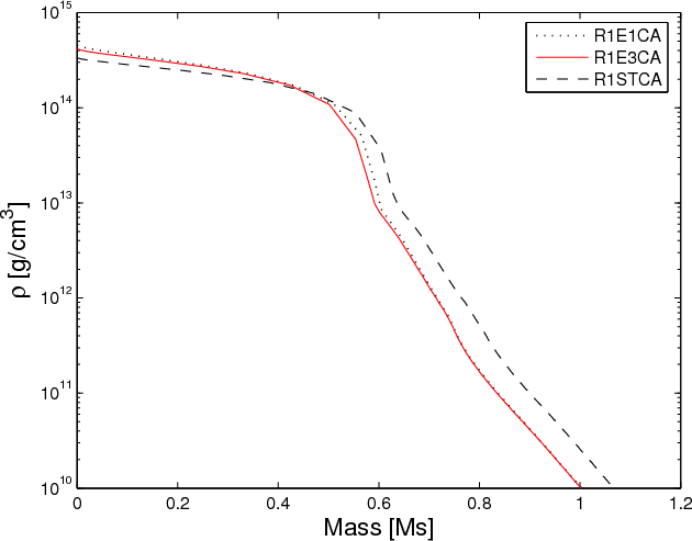
Figure 4: Spherically averaged density profiles from the slowly rotating models R1E1CA (red full line), R1E3CA (black dotted line) and R1STCA (black dashed line) at bounce. The second entropy time slice is chosen to be approximately at the onset of the GW signal from prompt convection. |
Open with DEXTER |
![]() |
Figure 5:
Time evolution of the GW amplitude A
|
Open with DEXTER |
We found the key controlling factors that govern
the GW emission from prompt convection
to be the i) radial location
of the convectively unstable zones; and ii) the related
characteristic dynamical timescales involved, for which we use as rough
estimate (Ott 2009, private
communication). Note that both i) and ii) are implicitly
determined by the applied EoS, being responsible e.g. for the
local speed of sound and the radial PNS density profile.
Our core-collapse simulations that use a version of the LS EoS
(E1 or E3) show at core bounce maximum central densities up to
25% higher
than the corresponding models that apply the Shen EoS (see
Table 1).
Moreover, the LS-models possess a PNS which is more strongly condensed
in central regions and has a steeper density gradient
further out.
![]() |
Figure 6: Spectral energy distribution from the models R0E1CA (dashed line) and R0STCA (full line) for a spectator in the equatorial plane at a distance of 10 kpc compared with the LIGO strain sensitivity (Shoemaker 2007, private communication) and the planned performance of Advanced LIGO. Optimal orientation between source and detector is assumed. |
Open with DEXTER |
![]() |
Figure 7: Spherically averaged density profiles from models R1E1CA (dotted line), R1E3CA (full line) and R1STCA (dashed line) at core bounce (t-tb=0). |
Open with DEXTER |









Computing the SNRs we find that all the simulations discussed above lie just below the detector limits of LIGO if we assume them to be located at a Galactic distance of 10 kpc. Their single-detector optimal-orientation SNR is just a little above unity. However, for a successful detection, at least a SNR of 7 to 8 is necessary. Note that the SNRs of models with different EoS do not differ much at this stage since all share a similar spectral energy distribution within the window of LIGO's maximum sensitivity. The current detector sensitivity does not allow for the detection of the high frequency tail of the LS models. Note, however, that for planned future detectors such as the Advanced LIGO facility, things change dramatically. As a direct consequence, these new detectors would permit the distinction between the prompt convection GW signal from the LS and Shen EoS, since the full spectral information would be available. However, we find it impossible to discriminate between the different LS EoS variants. Hence, our simulations indicate that the GW signature depends more strongly on the asymmetry energy than the compressibility parameter of the EoS.
These results are partly different from those previously
published.
Recently, Marek
et al. (2009) as well as Ott (2009)
reported to observe GW from
prompt convection in state-of-the-art 2D simulations which were
launched from similar initial conditions as ours, namely the same
progenitor star and the soft variant of the LS EoS (K=180 MeV).
Whilst the extracted GW amplitudes from early prompt convection of Marek et al. (2009)
(cf. their model M15LS-2D) are in rough agreement with our results,
the spectrum of their wave train peaks at considerably lower
frequencies, namely around about 100 Hz.
We suppose that this discrepancy is due mainly to different radial
locations of the unstable regions
and the consequently encompassed amount of overturning matter.
Ott (2009)
computed two models with different resolution.
While one of their models (s15WW95) in particular fits our results well
in all characteristic GW features, namely the size of amplitudes, band
of emission and the amount of emitted
energy, the better resolved model (s15WW95HR)
showed that convection is much weaker due to less seed perturbations
and hence the GW signal and the total amount of emitted energy
considerably lower. We recently also tested this issue with a better
resolved model (cf. model R1
of Scheidegger
et al. 2009, with a grid spacing of
0.6 km). This better resolved model showed considerably
smaller seed
perturbations around
,
as grid alignment effects are better suppressed at core bounce; hence
prompt convection then is much weaker and a
smaller GW amplitude (
50%)
is emitted.
However, better numerical resolution also leads to less numerical
dissipation in the system, which eases the dynamical effects that
follow. Thus, Scheidegger
et al. (2009) found for
ms
considerably stronger GW emission from early prompt convection compared
to the 1 km resolved models.
![]() |
Figure 8:
Model R1E1CAL's time
evolution of the quadrupole amplitudes A
|
Open with DEXTER |
Finally, we find that imposing initial magnetic fields ten times as strong as the values suggested in Heger et al. (2005) does not influence the model dynamics and therefore the GW signal at all, as can be deduced from Table 3 by a comparison of models R1E1CA and R1E1DB.
Model with deleptonisation in the postbounce phase
Due to the absence of accurate postbounce neutrino transport, it is unclear how reliably the models discussed in the previous subsection predict the GW signals from the early postbounce period. In order to investigate this question, we carried out one computationally expensive simulation, model R1E1CAL, that includes the emission of neutrinos after bounce but neglects the neutrino heating, which becomes relevant at
A detailed comparison of model R1E1CAL
with its
purely magnetohydrodynamical counterpart R1E1CA shows that both follow
a similar dynamical
behaviour until about 20 ms after bounce.
Asphericities leading to GW emission are predominantly driven by
entropy- and not lepton-induced
convection in this supernova stage.
Consequently, the wave trains emitted within this early period
fit each other qualitatively (cf. Figs. 3 and 8).
However, we find some quantitative deviations:
The GWs of R1E1CAL reach
lower maximum values (see Table 3), as the
``Ledoux''
unstable region encompasses less mass (Fig. 9), and
the presence of neutrino cooling leads to a more rapid smoothing of the
entropy gradient compared to the models
discussed in the previous subsection.
However, since the overturning matter in the top layers of the PNS has
the same radial position, densities and dynamical timescales as in
model R1E1CA, these models have similar GW spectra, peaking between 150-500 Hz
(cf. Figs. 6
and 10).
Therefore the physically simpler models still
provide reasonably accurate GW predictions in
frequency space
until about 20 ms after bounce, although the amplitudes are
overestimated a few
10%
(cf. Figs. 3
and 8).
Model R1E1CAL's later
postbounce evolution (
ms) differs strongly
compared to its purely hydrodynamical counterpart R1E1CA.
A negative radial lepton gradient, caused by
the neutronisation burst and subsequent deleptonisation, drives
convection
inside the lower layers of the PNS (Dessart
et al. 2006)
at a radial position
of
10-30 km
and a density range of
1012-1014 g cm-3
and therefore
causes now the entire GW emission.
The cooling PNS contracts with time, which causes the convective zones
to migrate towards smaller
radii and shrink. However, we point out that our leakage scheme
overestimates the neutrino cooling processes, as shown in Fig. 2.
Hence, this mechanism proceeds too quickly for model R1E1CAL
(Ott 2009, private communication).
The PNS convection exhibits GW emission of roughly
0.5-1 cm
amplitude,
as can be seen in Fig. 8
(
ms).
The corresponding spectral distribution is shown in Fig. 10. A broad peak
rises between
700-1200 Hz
and reflects the dynamical timescale
of the violent overturn activity of a millisecond scale inside the PNS.
The model's SNR for LIGO at 10 kpc is again around unity.
The high frequency tail of the spectrum (
700 Hz),
which is present due to PNS convection, cannot contribute to the SNR as
it lies below the current detector sensitivity.
Our computed GW strains for PNS convection agree roughly in amplitude
with the ones found in Ott
(2009) for axisymmetric MGFLD models. However, the amount of
released energy emitted is found to be about one order of magnitude
higher compared to his simulations.
This discrepancy is most likely due to the lower average frequency
content of the GWs in Ott's model (
350 Hz, see his
Fig. 7), as
.
We suppose the reason for this mismatch to be the different radial
location of the convectively unstable region
and thus the different related dynamical timescale
.
3.2 Rapidly rotating core collapse
3.2.1 Core bounce
![]() |
Figure 9:
Model R1E1CAL's spherically
averaged specific entropy (full line) and 10 |
Open with DEXTER |
![]() |
Figure 10:
Model R1E1CAL's spectral
energy distribution of the GW signals at a distance of 10 kpc.
Note that the spectrum interval from |
Open with DEXTER |
![]() |
Figure 11:
Left: time evolution of the GW amplitude A
|
Open with DEXTER |
Effects of the rotation rate on the GW signature
Rapidly rotating progenitors (
rad s-1
in our model set) undergo different core-collapse dynamics compared to
the previously discussed non- and slowly rotating
models.
Conservation of angular momentum in combination with contraction leads
to a massive spin-up and hence oblate deformation of the core. The
collapse is halted either by pure stiffening of the EoS above nuclear
saturation
density, or, if rotation is sufficiently strong, by a combination of
the centrifugal and the nuclear forces. The abrupt slowdown of
axisymmetrically axisymmetrically-arranged and quickly rotating bulk
matter gives rise
to rapid temporal variations in the quadrupole tensor, resulting in the
emission of GWs.
Note that the core remains essentially axisymmetric
during the collapse and the early postbounce times (
ms), as already
pointed out in Ott et al. (2007a,b).
Within the chosen parameter space of the rotation rate, all our models
exhibit
a so-called type I GW burst (Zwerger
& Müller 1997, see Fig. 11) around core
bounce, no matter what the initial choice of the EoS or the magnetic
field configuration. This was previously also found by Dimmelmeier et al.
(2008)
in 2D GR simulations without magnetic fields.
The question now arises what kind of information could
possibly be
delivered from a quasi-axisymmetric type I GW burst, since it
is a priori unclear how degenerate it is with respect to the model
parameters such as the EoS, rotation rate and so forth. This
was already investigated in great detail
by Dimmelmeier
et al. (2008) who performed
an extensive set of 2D GR core-collapse simulations.
Our 3D results show the same systematics:
the peak amplitude
A
R scales about linearly with
for models up to a moderately rapid rotation (
,
see Fig. 12).
The Fourier-transforms of the bounce wave trains (
5 ms
relative to core bounce) show for most models in the indicated
parameter a spectrum with a narrow bandwidth, peaking around
800-900 Hz
(see Table 3).
Moreover, with growing rotation rate, prompt convective overturn in the
rotational plane is suppressed by the influence of positive angular
momentum
gradients. This effect was first pointed out by Endal & Sofia (1978)
and
is known as the Solberg-Høiland instability criterion.
![]() |
Figure 12:
Summary of all model's dimensionless peak gravitational wave amplitude |
Open with DEXTER |
![]() |
Figure 13:
Precollapse central angular velocity |
Open with DEXTER |
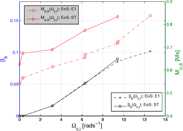
The outcome of our 3D models confirms the statement of Dimmelmeier et al.
(2008) that
two parameters are essential for the behaviour of the GW amplitude
around t-tb
= 0, namely the mass of the inner core at bounce,
which we denote as Mic,b,
and the initial central rotation rate .
Over the parameter range covered by our models,
is a strictly monotonic function of the initial central angular
velocity
,
as displayed in Fig. 13.
The mass of the inner core Mic,b
is linked to
via its
dependence on
(see Fig. 13).
The positive mass offset of the inner core (which is approximately
constant for all rotational configurations)
that occurs when switching from E1
to ST is interpreted as follows.
In a static initial configuration, the mass of the inner core is
proportional to the square of
the electron fraction
and the entropy per baryon (Goldreich
& Weber 1980).
As the minimum of
for E1 appears
at
0.276
compared to
0.293
for the Shen EoS (see Fig. 1), we attribute
the mass difference primarily to this relative difference, and
secondarily to changes in the specific entropy which occurs as the LS
EoS permits more efficient electron capture.
However, note that we may overestimate the
spread of the inner core mass Mic,b
in dependence with rotation
compared to simulations which are carried out with full
neutrino transport (Janka 2009, private communication).
The stronger the rotation becomes (at
),
the increased centrifugal forces start to play a dominant role, slowing
down the entire dynamics of the collapse and causing the core to
rebound at sub- or just above supra-nuclear matter densities.
The imprint of such behaviour is found in the GW signature
by a smaller maximum amplitude and lower
peak frequency compared to slower rotating models, as shown in
Fig. 11
and Table 3.
Similar to Dimmelmeier
et al. (2008), we also find that
depends sensitively
on the competition of both the amount of imposed quadrupolar
deformation due to rotation,
and on the other hand on the average density level in the for GW
emission
dynamically relevant region of the inner core.
The density in the central region of the PNS is lowered considerably by
centrifugal forces,
however, no longer compensated by a prominent
quadrupolar deformation which results from rapid rotation.
The ``optimal'' configuration for strong GW emission now is overshot,
which causes a smaller maximum amplitude and a lower
peak frequency.
Our findings stand in very good qualitative agreement with Dimmelmeier et al.
(2008), who recently performed a large
set of 2D core-collapse simulations in GR, nearly identical
micro-physical input, but without magnetic fields.
However, there are some quantitative differences.
For our models that undergo a pressure-dominated bounce, we find
spectra which peak in average some 100-150 Hz higher than the
models
in Dimmelmeier
et al. (2008). It has been shown by Dimmelmeier
(2007, private communication)
that the difference stems from the fact that fully relativistic
calculations shift the GW bounce spectrum to lower frequencies in
comparison to the ones using an effective, spherically symmetric
gravitational potential.
Furthermore, for comparable precollapse rotational configurations, our
models return higher peak GW values.
We suspect the size of the inner core is the major cause
of this difference. The mass of the inner core for all our simulations
is roughly
bigger
than the ones of Dimmelmeier
et al. (2008).
If we take into account that we are using different electron capture
rates
(Bruenn 1985
versus Langanke et al.
2003; Hix
et al. 2003),
we consider the mismatch to be understood, as
updated rates cause the mass of the inner core in our models to shrink.
Effects of magnetic fields on the GW signature
The presence of magnetic fields in our models
slows down the accretion of angular momentum onto the PNS
via field winding.
For example, the poloidal field's stress acts on fluid particles moving
in the x-y plane in a
direction opposing the motion,
leading to a deceleration.
Thus, while the GW signal from the initially ``weakly'' magnetised
model R4E1AC is already strongly affected by centrifugal forces at
bounce (the frequency peak at bounce is at 385 Hz,
while the central angular velocity is
rad s-1),
the initially more strongly magnetised but otherwise comparable model
R4E1FC still undergoes a pressure dominated bounce with a frequency
peak
at
860 Hz
and a central angular velocity of
rad s-1.
However, note that this effect only gets
prominent for initial magnetic fields that are by two orders of
magnitude stronger than
suggested by Heger et al.
(2005).
We will discuss the issue of strong magnetic fields in more detail in
Sect. 3.2.3.
Effects of the EoS on the GW signature
![]() |
Figure 14:
Radial profiles of the weighted density |
Open with DEXTER |
In order to understand the dependence of the GW burst at bounce on the
EoS, we repeated several simulations changing only
the EoS while keeping the other parameters fixed. The most prominent
change occurs when switching from E1 to
ST.
Applying the latter EoS in our models leads to systematically larger
absolute GW amplitudes at lower frequencies compared to its
counterparts, as shown in Table 3 and the left
panel of Fig. 11.
This was also observed e.g. by Kotake
et al. (2004b),
where the two EoS were compared.
The shift to lower frequencies can be explained by the fact that the
typical timescale of the GW burst at bounce is given by the free-fall
timescale
,
where
is the mean density of the
inner core.
Since E1 leads to substantially higher central densities at core bounce
compared to ST in simulations that are not dominated by centrifugal
forces, the spectral peak
of the GW signal
is shifted to higher frequencies.
The maximum GW burst amplitude depends on the dynamical timescale, the
mass of the inner core as well as on the global density distribution
inside the core, as pointed out e.g. in Kotake
et al. (2004b) and Dimmelmeier
et al. (2008).
The dimensionless GW amplitude is roughly proportional to Mic,
divided
by the square of the dynamical timescale (
).
Hence, it scales approximately linearly with
density. This implies that one could expect higher GW peak amplitudes
from the more compact cores in the case of E1. However, since models
using E1 are slightly more compact in central
regions, they exhibit lower densities
in the outer layers.
This is displayed in Fig. 7.
Following the reasoning of Dimmelmeier
et al. (2008),
we display the quantity
in Fig. 14.
It is the essential quantity in the integrand of the quadrupole GW
formula (see Eq. (17)).
From this plot it is apparent that models run with E1 have higher
at small radii, ST yields higher values at intermediate and
large radii.
Due to their larger volume, these regions
contribute more to the total quadrupole integral.
For fast rotators (
),
centrifugal forces start to play a dominant role, as already previously
observed by Dimmelmeier
et al. (2008). Here, the relative difference between
the
GW signatures of models run with two EoS decreases, since in the regime
of lower densities, the EoS
do not differ significantly. When comparing, e.g., models R3E1AC with
R3STAC, the absolute size of the burst amplitudes vary roughly 25%,
whereas R4E1AC and R4STAC are only discriminated by
4% (see
Table 3).
In summary we state that it seems very difficult to reveal information
about the different two EoS by considering the GW signature from core
bounce alone. For models run with either the LS or the
Shen EoS and all other parameters being indentical, the differences
brought
about by the EoS are clearly distinguishable.
However, since a small variation in one of the other parameters can
easily have
a similar effect as the EoS change, it will be nearly impossible to
constrain
the nuclear EoS in the general case.
When changing the LS compressibility from K=180 MeV
to K=220 MeV or K=375 MeV,
the features of the collapse dynamics
and the corresponding GW emission remain practically unaltered, as
displayed in the left panel of Fig. 11.
The only notable difference occurs in the vicinity of core bounce
at the center of the PNS: Models run with the softest version of the LS
EoS (E1)
allow the core to bounce at slightly higher central density
compared to E2 and E3 (see Table 1).
At the same time, models run with E1 exhibit
lower densities at larger radii compared to cases where E2 or E3 was
applied
(see Fig. 7).
However, since the differences in the radial density profiles are
relatively low, these effects cancel each other if we
consider again the quantity .
This
leads to GW amplitudes of similar size and frequencies.
3.2.2 Gravitational waves from the nonaxisymmetric rotational instability
General remarks
Rotating proto-neutron stars can be subject to non-axisymmetric
rotational instabilities in situations
when
exceeds a certain critical value.
Since the growing instabilities carry the object's spheroidal- into a
triaxial configuration with a time-dependent quadrupole moment, strong
GW emission is to be expected.
The best understood type of instability is the classical
dynamical bar mode rotational instability with a threshold value of
%.
However, strong evidence was found by Dimmelmeier
et al. (2008) that it is unlikely that the PNS
reaches rotation rates required for it to become
unstable during the core-collapse of and the early postbounce phase the
iron core.
Another possibility is the secular instability, triggered at moderately
high
%
if a dissipative mechanism is present.
It grows on the relatively slow dissipative timescale of the
order of a second (see, Tassoul
1978).
Since none of our models reach such high
-values,
both instabilities cannot play any role in our simulations.
![]() |
Figure 15:
Angular velocity profile along the positive x-axis
for different models at 10 ms after bounce. Note that the hump
in the angular velocity profile at about |
Open with DEXTER |
![]() |
Figure 16:
Snapshots of the vorticity's z-component |
Open with DEXTER |
![]() |
Figure 17:
The upper left panel shows the time evolution of
the GW amplitudes A+
and |
Open with DEXTER |
However, recent work, some of which has
been carried out in idealised setups and assumptions
(Cerdá-Durán
et al. 2007; Saijo & Yoshida 2006;
Shibata
et al. 2002; Watts et al. 2005;
Saijo
et al. 2003; Ou & Tohline 2006)
and later also in more self-consistent
core-collapse simulations (Ott et al. 2007a;
Scheidegger
et al. 2008; Ott et al. 2007b),
suggests that a differentially rotating PNS can become dynamically
unstable at T/|W|-values as low
as 1%.
Today this so-called low ``T/|W|''
instability is interpreted as being a resonance phenomenon (Watts et al. 2005).
The underlying mechanism is suspected to be the amplification of
azimuthal (non-axisymmetric) modes at co-rotation points,
where the pattern speed
of the unstable mode
matches the local angular velocity,
(
)
where
is the mode's eigenfrequency. The PNS is differentially rotating
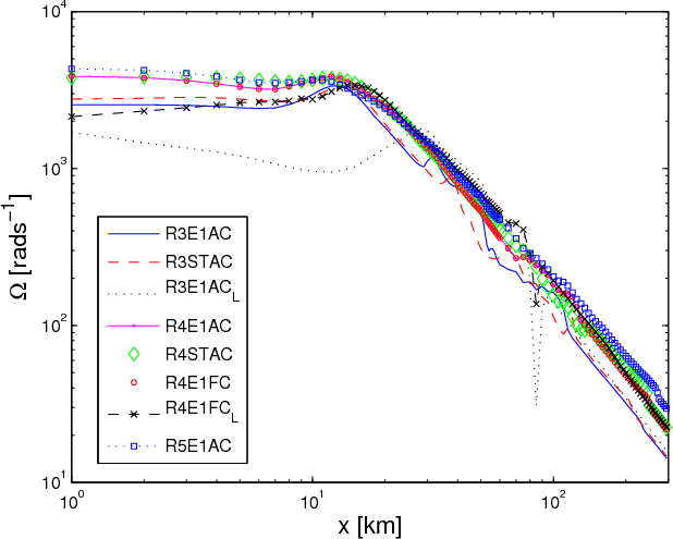
outside a radius of
10 km,
as displayed in Fig. 15.
This differential rotation provides a reservoir of shear energy may be
tapped by the instability. The latter leads to spiral waves, as
displayed in Fig. 16,
which transfer
angular momentum outwards (see, e.g., Lovelace
et al. 1999).
Note that this entire phenomenon appears to be closely related to the
Papaloizou-Pringle instability which occurs in accretion discs
around a central gravitating body (Papaloizou
& Pringle 1985).
In order to investigate the growth of the non-axisymmetric
structures, we monitor the PNS by decomposing the density at a given
radius R in the equatorial plane (z=0)
into its azimuthal Fourier components:
The gravitational wave morphology resulting from the nonaxisymmetric process generally shows narrow-band and highly periodic signals which persist until the end of our simulations. This is shown in Fig. 17 and the upper panels of Fig. 21. Bearing in mind that the effectively measured GW amplitude scales with the number of GW cycles N as

![]() |
(33) |
are plotted in order to follow the behaviour of unstable modes. We generally find modes with density wave numbers m = 1,2,3 being triggered, with the m = 1 or m = 2 as the overall dominant ones, depending on the individual model. Furthermore, note that all modes have the same pattern speed, as previously observed by Ott et al. (2007a,b) and Scheidegger et al. (2008). In Fig. 16, the upper panels of vorticity plots show nicely a two-armed m = 2 spiral pattern, while the middle plot of the lower panel mainly shows the same for a m = 1 mode, as we expect from a mode analysis of the corresponding model R4E1FCLpresented in Fig. 21. After the early linear growth phase, the modes saturate due to Kelvin-Helmholtz shear instabilities, which break the spirals apart in the outer layers, as displayed in Fig. 16 and previously observed and discussed in e.g. Cerdá-Durán et al. (2007). Note the close relation between the m = 2 bar mode and the emission of GWs. The growth and saturation of this mode is imprinted on the GWs emitted. As soon as it exceeds the Cartesian m = 4 noise background, strong GW emission at a frequency corresponding to twice the m = 2 pattern speed along the pole emerges, with the + and

Models without deleptonisation in the postbounce phase: effects of the EoS and magnetic fields on the GW signature
We now turn the discussion in more detail to individual simulations.
Models with an initial rotation rate of at least R3 (
)
sooner or later become low
dynamically unstable in our parameter set (see Table 3). Note, however,
that Scheidegger
et al. (2009) recently found models to become
dynamically unstable at even slower initial rotation rates (
).
When comparing models that were carried out with the Shen- and
the LS (E1) EoS, we find that the ``Shen''-models emit GWs at
significantly higher frequencies than their LS counterparts.
This result is a consequence of the fact that the specific angular
momentum, which scales
as ,
is roughly preserved on a mass shell (Keil
et al. 1996):
The innermost part of the
PNS in ``Shen''-simulations, which rotates nearly in perfect solid body
rotation at the pattern speed (see Fig. 19),
has lower density in this radial region. Hence the central rotation
rate must in turn
be higher to fulfill the conservation law. As an example, we compare
the models R3E1AC and R3STAC in detail.
While R3E1AC rotates at t-tb
= 10 ms with a central rotation rate of
rad s-1
and has a central density
g cm-3,
R3STAC revolves with the values of
rad s-1
and
g cm-3,
as displayed in Fig. 19.
Doing the maths, the ratios of
to
are about the same. We also state that the dynamical instability in the
``Shen'' cases
grows faster generically than in the LS simulations, as shown
in Fig. 17.
We generally observe slower growth of the T/|W|
unstable modes in situations where we applied
stronger initial poloidal- than toroidal magnetic fields.
Although such magnetic fields (
)
may not be motivated
by stellar evolution calculations (Heger
et al. 2005),
it is still important to study their effects.
Model R3E1AC for example starts to emit strong GWs due to the low T/|W|instability
around
50 ms
after bounce, while
model R3E1DB does not within the duration of the simulation, which we
followed until
65 ms
after bounce (note, however, that the latter model shows strong
growth of the m = 1, 2, 3 modes although GW
emission due to the low T/|W|
did not set in yet). The poloidal fields are able to suppress the
dynamical instability for some time as they slow down the spin-up of
the PNS. The detailed discussion of this issue is postponed to
Sect. 3.2.3.
Centrifugal forces set a limit to the maximum frequency of the
GW signal in similar fashion to the situation at core bounce. As
discussed
in the previous subsection, the limit is somewhere around 935 Hz
(which is twice the pattern speed!).
The faster the initial rotation rate, the stronger the influence of
centrifugal forces, which slow down in the postbounce phase the
advection of angular momentum onto the PNS. The result is a
slower central rotation rate, a lower
pattern speed and thus GW emission at lower frequencies.
Beside these semi-quantitative statements which allow
for the distinction of the simulations' input physics by its GW
signature
on a model-to-model basis, where only one parameter is varied while
keeping the others fixed, it is in general very difficult to discern
effects of individual features of the input physics in a GW signal that
cannot unambiguously be attributed to a specific model.
The degeneracy in the simulation results is large with respect to the
rotation rate, the magnetic fields and the underlying EoS.
![]() |
Figure 18: Spectral energy distribution of the GW signal emitted along the polar axis from model R4STCA at a distance of 10 kpc. |
Open with DEXTER |
![]() |
Figure 19:
The upper panel shows the angular velocity profile
at |
Open with DEXTER |
Models with deleptonisation during the postbounce phase
![]() |
Figure 20:
The figure shows the enclosed mass [ |
Open with DEXTER |
The improved input physics of the two leakage models R3E1ACL
and R4E1FCLallows us to
address the question how the inclusion of deleptonisation in the
postbounce phase quantitatively alters the GW signal of our 3D MHD
models.
While the results show qualitative agreement with our earlier findings,
they clearly deviate in quantitative terms.
As the most striking feature, these models show
bigger maximum GW amplitudes due to the nonaxisymmetric dynamics
compared to
their counterparts that neglect neutrino cooling, as one can see
in Table 3
or when comparing Fig. 17
with Fig. 21.
This suggests that the treatment of postbounce neutrino cooling plays
an important role when it comes to the quantitative forecast of GW
signals from a low
instability.
The neutrino cooling during the postbounce phase leads to a more
condensed PNS with a shorter dynamical
timescale compared to the purely hydrodynamical treatment, as shown in
Fig. 20.
This in turn is directly reflected in the dynamical evolution:
The shock wave stalls at considerably smaller radii and becomes more
quickly unstable to azimuthal fluid modes (see Fig. 16).
Since there is much more matter in the unstable region of these models,
the unstable modes
grow faster and the triggered spiral density waves cause the emission
of much more powerful GW.
We close this subsection by pointing out that previous core-collapse computations by Ott et al. (2007a,b) and Scheidegger et al. (2008) show both qualitative and quantitative agreement with the ones presented in the previous subsection as they incorporate nearly identical micro-physics. However, they mismatch on a quantitative scale with R3E1ACL & R4E1FCL due to the absence of the postbounce neutrino treatment. However, we point out that our leakage scheme overestimates the compactification of the PNS due to neutrino cooling. The ``reality'' for the strength of GW emission therefore sould lay in between the results from the pure MHD and the leakage treatment. We also want to point out that another limitation which might affect the absolute values of the GW signature from a T/|W| dynamical instability is the grid resolution. Our choice of a uniform grid leads to more than sufficient resolution at the stalled shock, but may underresolve the surface of the PNS. For example, Cerdá-Durán et al. (2007) showed that resolution can have a significant effect on the instability's developement and its GW signal.
![]() |
Figure 21:
The upper left panel displays the emission of the A+
and the A |
Open with DEXTER |
3.2.3 The influence of strong magnetic fields on the gravitational wave signature
![]() |
Figure 22:
The upper left panel shows the first
20 ms of the time evolution of the rotational energy parameter
|
Open with DEXTER |
In the previous three subsections we have shown that the core-collapse
dynamics and thus
the GW signal of initially weakly or moderately strong magnetised
stellar cores (1011 G)
is hardly affected
by magnetic fields.
However, in the case of strong initial fields (
1012 G)
things change dramatically.
The combined action of flux-freezing, field winding (Meier et al. 1976)
and also of the magneto-rotational instability MRI (Balbus & Hawley 1998)
generally may lead to growth of
magnetic fields by many orders of magnitude to values
where the magnetic pressure
reaches the order of magnitude of matter pressure.
This, in turn, triggers a
collimated, bipolar jet-explosion (see e.g. Burrows et al. 2007a,
and references therein) by converting magnetic energy into kinetic
energy.
However, with our current grid setup we are unable
to resolve exponential growth triggered by the MRI
(Etienne et al.
2006);
the initial magnetic fields are solely amplified by compression during
the infall phase and by magnetic winding.
For two reasons, magnetically-driven explosions are of
interest for the prediction of GWs.
Firstly, the bipolar outflow of matter results in a ``memory effect'' (Thorne 1989) in the GW
signature, as
observed e.g. by Obergaulinger
et al. (2006) and Shibata
et al. (2006).
As the out-stream of matter usually happens along the rotational axis,
the amplitude
will
grow over time, scaling as
,
where the ejected mass m increases
constantly in the early stage
of a magneto-rotational supernova.
Secondly, the GW amplitude of these (not necessarily) realistic models
is also affected passively
by strong magnetic fields, as they rise during collapse and early
postbounce phase to values as high
as
1016-17 G.
The magnetic energy density
may provide sizable contributions to the overall amplitude, as
estimated
approximately by the following formula (cf. Kotake
et al. 2004b Eq. (22)):
![]() |
(34) |
where Bc and

For the purpose of studying the effect of very strong magnetic fields on the GW signal in 3D, we have carried out three runs: R4E1CF, R4E1FC and a leakage model R4E1FCL. In order to overcome the technically challenging simulation of magnetic field growth through small scale (Obergaulinger et al. 2009) or long-term processes, we applied initial configurations which may not be realised in nature, but can deliver the formation of jets in a similar way as natural field growth would.
Model R4E1CF, which was set up with very strong initial
poloidal fields (see Table 1),
shows a typical
behaviour for a magneto-rotational core collapse followed
by a jet-like explosion. Field compression during the collapse phase
strongly amplifies both the toroidal- and poloidal magnetic fields,
since flux-freezing in stellar collapse
guarantees the B-field to scale as .
Note that we evaluate toroidal and poloidal
magnetic field components as:
Furthermore, the toroidal field is build up by tapping the magnetic energy contained in the poloidal component of the field trough winding, whilst the poloidal field component grows only little during the postbounce phase by action of meridional motions in the core as shown in the lower left panel of Fig. 22. In turn, the generated hoop stresses grow fast to reach high values near the polar region, and the ratio of magnetic to matter to fluid pressure reaches

Another remarkable feature is that, in contrast to weakly
magnetised models,
magnetic breaking efficiently decelerates the inner core by
redistributing angular momentum
(Meier et al. 1976).
This is shown in the upper left panel of Fig. 22. Note that
model R4E1FC slows down
at a higher rate than
R4E1FCL as its fluid can
re-expand to larger radii due to the absence of neutrino cooling.
The GW signal is displayed in Fig. 24.
In order to distinguish the different contributions to the total
GW amplitude ,
we split the magnetic and fluid part in the following way:
Around core bounce, the structure of the GW signal is very similar to
that of less magnetised
cores, exhibiting a clear type I signature.
However, shortly after bounce we observe a growing, slowly time-varying
offset of relative to
the horizontal axis compared to ring-down oscillations of the
weakly-magnetised simulations. There are two reasons for this
behaviour.
Firstly, the magnetic
contribution
to the total GW amplitude grows strongly as magnetic forces act on the
core.
Secondly, as we have explained earlier in this subsection,
matter-outflow along the z-axis also contributes to
the signal.
This behaviour was already observed by Obergaulinger
et al. (2006) in axisymmetric
simulations and its characteristical GW amplitude was named ``type IV
signal'' (Obergaulinger
et al. 2006). The contribution of the magnetic
amplitudes shrinks with the onset of the jet. The emerging matter gains
its
kinetic energy by tapping the energy stored in the magnetic field,
which causes a drop in
and hence also in
,
as
it can be seen in Figs. 22
and 24
at about
ms.
The non-axisymmetric amplitudes are negligible compared to the
axisymmetric part of the wave train
(see Table 3)
and the result of some prompt convective
motions and complicated time-variations in the postbounce
magnetic field configuration.
However, even if a Galactic supernova was
optimally orientated for the detection
of a type IV signal, it is still
questionable whether we could distinguish it in early stages
from an ordinary type I signal.
The characteristic offset of this particular signal type was suggested
e.g. by Obergaulinger
et al. (2006) to be a valid measure of aspherity of
the ongoing supernova
explosion. However, since the memory effect in the amplitude
appears on the long timescale of several times 10 ms,
it would be out of the LIGO band.
However, the planned space-based DECIGO instrument
(Kawamura et al. 2006)
could permit to track the low frequency contribution
of such a GW signal in the future.
![]() |
Figure 23: Snapshot of model R4E1CF's entropy distribution in the first octant at a representative instant of its evolution. The innermost 3003 km3 are displayed. |
Open with DEXTER |
![]() |
Figure 24:
Model R4E1CF's time evolution of the total
quadrupole amplitude |
Open with DEXTER |
We point out that at the onset of jet formation around ms,
the absolute value of the magnetic field in the polar region at the
edge of the PNS is
1016 G,
which translates into a mildly relativistic fast Alfvén speed.
Additionally, the velocity of the ejected matter accelerates up to
radial velocities of
0.1c
when leaving the boundary of our computational domain. These two points
challenge the Newtonian treatment of the dynamics in our scheme
and suggest to use a special or general
relativistic code for the further evolution of the jet dynamics.
Models R4E1FC and R4E1FCL show a very different dynamical outcome. For these two simulations, we assumed the initial toroidal field to be 103 times the values of the poloidal field, as suggested from stellar evolution calculations by Heger et al. (2005). During collapse the magnetic field components primarily grow due to compression as one can see in the lower right panel of Fig. 22. Right after bounce, the strong toroidal fields in both models cause the onset of a jet, as one can see in the left panel of Fig. 25. However, surprisingly and in contrast to the previously discussed models, or simulations from Kotake et al. (2004b) where they applied similar initial conditions and obtained jet explosions in 2D, the wind-up of the poloidal- into the toroidal field does not occur efficiently enough. The spiral wave of the standing accretion shock instability (SASI, see e.g. Blondin et al. 2003), which forms at the same time, hinders and delays the growth of a jet, as displayed in the right panel of Fig. 25. We interpret this phenomenon as follows: Matter can easily slip along, but not move perpendicular to magnetic field. In the x-y plane, the poloidal field's stress acts on matter in the opposite direction of the fluid motion. This is also reflected in the upper left panel of Fig. 22. It displays clearly that the magnetic forces are not capable of slowing down the inner core in case of strong initial toroidal fields as effectively as the poloidal ones that are anchored in the outer stellar layers. Since models R4E1FC and R4E1FCL have relatively weak initial poloidal magnetic fields, the fluid, which rotates around the z-axis, can develop nearly unhindered instabilities. The developing spiral waves then counteract successfully the formation of a jet-like explosion by turning matter aside the pole (see Fig. 25), where the magnetic hoop stresses are strongest (and in axisymmetry most probably would be able to launch a jet at this stage of the simulation). This corresponds also to our observation from the last subsection where we stated that the low T/|W| instability grows slower in the presence of dominant poloidal fields, because they cause stresses that act against the spiral instabilities. However, further discussion of this phenomenon is beyond the scope of this work and will be investigated in a subsequent study.
The resulting GW signals consequently show
a type I signal at core bounce,
subsequently followed by a low instability (see the right
panels of 21).
Although the GW contributions due to magnetic stresses in model
R4E1FCLshow qualitatively the
same features as the ones from model R4E1CF,
they are smaller and
dominated by the hydrodynamics part of the amplitude
(e.g.,
cm vs.
cm
at 30 ms after bounce).
![]() |
Figure 25: Snapshots of model R4E1FCL's entropy distribution in the first octant at two representative instants of its evolution. The innermost 3003 km3 are displayed. |
Open with DEXTER |
4 Summary and conclusions
Core-collapse supernovae are a source of GWs that can only be modelled imperfectly due to large uncertainties in the initial conditions, input physics and the technically challenging 3D neutrino transport. The parameter space of possible initial conditions is huge since many progenitor configurations are possible at the onset of collapse. In this paper we tried to outline some dependences of the 3D GW form upon a variety of these conditions, since for un-modelled burst analysis techiques, partial information on wave forms is already useful, e.g. typical waveform features, approximate spectra and the type of polarisation and burst duration.
With our model series containing 25 three-dimensional MHD core-collapse supernova simulations, we have tried to probe the GW signature with respect to different nuclear equations of state, rotation rates, poloidal and toroidal magnetic fields, and a postbounce deleptonisation scheme.
Similar to the findings of e.g.
Müller
et al. (2004); Scheidegger et al.
(2009); Ott (2009); Marek
et al. (2009); Dimmelmeier et al.
(2008),
our results show that all non- and slowly rotating models release GWs
due to prompt convection within the first 30 ms postbounce that
is caused by the presence of a negative radial entropy gradient.
Furthermore, we could show in simulations without deleptonisation
in the postbounce phase that the waveforms obtained from this early
stage of
a supernova explosion contain indirect information about the underlying
EoS.
Due to different radial locations
of the convectively unstable region and the amount of matter it
contains, we were able to distinguish
the LS EoS from the one of Shen.
While the LS EoS leads to GW emission in a frequency band peaking
between
150-500 Hz,
the spectrum of the models using the Shen EoS is restricted to roughly
150-350 Hz.
However, LIGO's current sensitivity
makes it impossible to see the high-frequency component of the LS
models. Thus, a distinction
between the two EoS is currently not possible.
Nevertheless, planned upgrades of the interferometers in the near
future
should enable the discrimination between the prompt convection GW
signal of the LS- and the Shen EoS.
We also found minor deviations in the GW characteristics for
simulations which were carried out with different compressibility
versions of the LS EoS.
However, the differences in the frequency domain of the GW signal are
negligibly small and thus not likely to be constrained by observation.
With the inclusion of a neutrino leakage scheme in a slowly
rotating model for the postbounce phase, we could show
that the GWs emitted during the first 20 ms after bounce
are predominantly due to entropy driven `prompt' convection.
In purely hydrodynamical models, the GW emission ends with the decaying
negative entropy gradient.
In more realistic models, a negative radial lepton gradient, caused by
the neutronisation burst
and the subsequent deleptonisation, takes over as driving
force of the convective activity at the edge of the PNS.
The long-lasting GW emission associated with this dynamical feature
is roughly of the size of
1 cm
and has a spectral
peak around
700-1200 Hz.
In our set of models, simulations with a precollapse core
angular velocity
within the parameter range of rad s-1undergo
a rotational core collapse.
The models all exhibit a so-called type I GW
burst at core bounce.
As the most important outcome, our 3D MHD models could confirm
the recent findings of Dimmelmeier
et al. (2008)
that the purely axisymmetric (l=2, m=0)
peak amplitude
scales about linearly with the rotation rate
at core bounce (
)
for
,
while the Fourier-transform of the bounce wave trains for most models
in the indicated parameter range align around a spectral peak of
800-900 Hz.
However, for very fast initial rotation rates of
rad s-1,
centrifugal forces significantly decelerate collapse and core bounce.
The longer timescale and the weakened spin-up of the core due to the
action of centrifugal forces leads generically to a decrease of the
peak amplitude and a broadened spectral peak
at lower frequencies.
Furthermore, our results indicate that the particular choice of the
nuclear EoS has little influence on the GW signal from rotational core
bounce.
These findings are in good qualitative agreement with the ones Dimmelmeier et al.
(2008) derived from axisymmetric models.
Models with a rotation rate of %
at core bounce become subject to a so-called low T/|W|instability
of dominant m=1 or m=2
character within the first several tens
of ms after bounce, depending on
the individual model.
This nonaxisymmetric dynamical shear instability leads to prolonged
narrow band GW emission at a frequency of twice the rotation
rate of the innermost part of the PNS that rotates as a solid body.
The fact that the effectively measured GW amplitude scales with the
number of GW cycles N as
suggests that the detection of such
a signal is tremendously enhanced compared to e.g. the short-lived
GW bursts from core bounce, and would allow us to probe
the rotational state of the PNS over a long period.
However, we point out that such a mechanism only operates if the
progenitor
is rotating much faster than predicted for most stars by stellar
evolution
calculations (Heger et al.
2005).
We also find that centrifugal forces set a limit to the maximum
frequency
of this periodic GW signal somewhere around
935 Hz as they
suppress
the inward advection of angular momentum.
Besides that, we point out that GWs from a low T/|W|
instability
are highly degenerate with respect to initial rotation rate, EoS and
magnetic fields.
Thus, it is very difficult to extract individual features of the input
physics from the GW signal that can clearly be attributed to the
initial conditions of a progenitor.
Rapidly rotating models that include the postbounce neutrino physics at
a
qualitative level reproduce the previous findings. However, the GW
signature from these more advanced models show huge quantitative
deviations from the ones
that treat the postbounce phase purely hydrodynamically.
As the neutrino cooling during the postbounce phase leads to a more
condensed PNS, the unstable regions contain considerably more mass,
which then results in 5 to 10 times bigger GW amplitudes.
Motivated by these findings, we will continue to improve the postbounce
neutrino physics
in future simulations by including neutrino heating
and the emission of
neutrinos.
Our simulations show that the impact of magnetic fields on the
overall supernova dynamics is generally small in cores
with relatively weak precollapse fields (
B <
1011 G).
Nevertheless, if we impose very strong and probably unrealistic initial
poloidal magnetic fields (1012 G),
the combined action of flux-freezing and field winding allows the
toroidal field component to grow over many orders of magnitude to
values where the magnetic pressure can trigger a
jet-like explosion along the poles. The bipolar outflow of matter then
causes a type IV gravitational signal.
However, if we assume a strong initial toroidal magnetic field,
the onset of a jet is effectively suppressed by the fast growing spiral
waves of the SASI.
This finding stands in contradiction to 2D simulations, where similar
configurations led to ``jet''-like explosions, as e.g. in Kotake et al. (2004b).
Thus, in simulations where the toroidal component of the magnetic field
dominantes
over the poloidal one, the magnetic contributions to the GW signal are
dominated by the hydrodynamical part of the amplitude.
This effect is even stronger in simulations with a deleptonisation
scheme in the postbounce phase.
The major limitation of our code now is
in the monopole treatment of gravity, since it cannot account for
spiral structures, which could be reflected
in GW. We are currently working on the improvement of this issue.
The IDSA includes at present only the dominant reactions relevant to
the neutrino transport problem (see Liebendörfer
et al. 2009, for details).
Future upgrades will also include contributions from electron-neutrino
scattering, which are indispensable
during the collapse phase. The inclusion of this reaction will also
make the cumbersome switch of the neutrino parametrisation scheme to
the IDSA at bounce obsolete. Finally, we work on the inclusion
of
and
neutrinos,
which are very important for the cooling of the PNS
to its final stage as neutron star.
We thank C. D. Ott for carefully reading and commenting the manuscript. Further acknowledgements go to F.-K. Thielemann from the University of Basel for his support, John Biddiscombe and Sadaf Alam from the Swiss Supercomputing Centre CSCS for the smooth and enjoyable collaboration, and C. von Arx and E. O'Connor for helpful comments. We also thank the referee for his valuable suggestions to improve our manuscript. This work would not have been possible without the support by the Swiss National Supercomputing Centre-CSCS under project ID 168. We acknowledge support by the Swiss National Science Foundation under grant No. 200020-122287 and PP0022-106627. Moreover, this work was supported by CompStar, a Research Networking Programme of the European Science Foundation.
References
- Abbott, B. et al. (LIGO Scientific) 2009, LIGO: the Laser Interferometer Gravitational-Wave Observatory, Rep. Prog. Phys., 72, 076901 [Google Scholar]
- Adhikari, R., Fritschel, P., & Waldman, S. 2006, Enhanced LIGO Tech. Rep. LIGO-T060156-01-I http://www.ligo.caltech.edu/docs/T/T060156-01.pdf [Google Scholar]
- Balbus, S. A., & Hawley, J. F. 1998, Rev. Mod. Phys., 70, 1 [Google Scholar]
- Blanchet, L., Damour, T., & Schaefer, G. 1990, MNRAS, 242, 289 [NASA ADS] [CrossRef] [Google Scholar]
- Blondin, J. M., Mezzacappa, A., & DeMarino, C. 2003, ApJ, 584, 971 [NASA ADS] [CrossRef] [Google Scholar]
- Bruenn, S. W. 1985, ApJS, 58, 771 [NASA ADS] [CrossRef] [Google Scholar]
- Buras, R., Rampp, M., Janka, H.-T., et al. 2006a, A&A, 447, 1049 [NASA ADS] [CrossRef] [EDP Sciences] [Google Scholar]
- Buras, R., Janka, H.-T., Rampp, M., et al. 2006b, A&A, 457, 281 [NASA ADS] [CrossRef] [EDP Sciences] [Google Scholar]
- Burrows, A., Livne, E., Dessart, L., Ott, C. D., & Murphy, J. 2006, ApJ, 640, 878 [NASA ADS] [CrossRef] [Google Scholar]
- Burrows, A., Dessart, L., Livne, E., Ott, C. D., & Murphy, J. 2007a, ApJ, 664, 416 [NASA ADS] [CrossRef] [Google Scholar]
- Burrows, A., Livne, E., Dessart, L., Ott, C. D., & Murphy, J. 2007b, ApJ, 655, 416 [NASA ADS] [CrossRef] [Google Scholar]
- Cerdá-Durán, P., Quilis, V., & Font, J. A. 2007, Comp. Phys. Comm., 177, 288 [NASA ADS] [CrossRef] [Google Scholar]
- Dessart, L., Burrows, A., Livne, E., & Ott, C. D. 2006, ApJ, 645, 534 [NASA ADS] [CrossRef] [Google Scholar]
- Dimmelmeier, H., Font, J. A., & Müller, E. 2002, A&A, 393, 523 [NASA ADS] [CrossRef] [EDP Sciences] [Google Scholar]
- Dimmelmeier, H., Ott, C. D., Janka, H.-T., Marek, A., & Müller, E. 2007, Phys. Rev. Lett., 98, 251101 [NASA ADS] [CrossRef] [PubMed] [Google Scholar]
- Dimmelmeier, H., Ott, C. D., Marek, A., et al. 2008, Phys. Rev. D, 78, 064056 [NASA ADS] [CrossRef] [Google Scholar]
- Endal, A. S., & Sofia, S. 1978, ApJ, 220, 279 [NASA ADS] [CrossRef] [Google Scholar]
- Eriguchi, Y., & Müller, E. 1985, A&A, 146, 260 [NASA ADS] [Google Scholar]
- Etienne, Z. B., Liu, Y. T., & Shapiro, S. L. 2006, Phys. Rev. D, 74, 044030 [NASA ADS] [CrossRef] [Google Scholar]
- Evans, C. R., & Hawley, J. F. 1988, ApJ, 332, 659 [Google Scholar]
- Flanagan, É. É. & Hughes, S. A. 1998, Phys. Rev. D, 57, 4535 [NASA ADS] [CrossRef] [Google Scholar]
- Finn, L. S., & Evans, C. R. 1990, ApJ, 351, 588 [NASA ADS] [CrossRef] [Google Scholar]
- Fischer, T., Whitehouse, S. C., Mezzacappa, A., Thielemann, F.-K., & Liebendörfer, M. 2009, A&A, 499, 1 [NASA ADS] [CrossRef] [EDP Sciences] [Google Scholar]
- Fryer, C. L., & Warren, M. S. 2004, ApJ, 601, 391 [NASA ADS] [CrossRef] [Google Scholar]
- Gentile, N. A., Aufderheide, M. B., Mathews, G. J., Swesty, F. D., & Fuller, G. M. 1993, ApJ, 414, 701 [Google Scholar]
- Giacomazzo, B., Rezzolla, L., & Baiotti, L. 2009, MNRAS, 399, L164 [NASA ADS] [Google Scholar]
- Goldreich, P., & Weber, S. V. 1980, ApJ, 238, 991 [NASA ADS] [CrossRef] [Google Scholar]
- Heger, A., Woosley, S. E., & Spruit, H. C. 2005, ApJ, 626, 350 [NASA ADS] [CrossRef] [Google Scholar]
- Hillebrandt, W., & Wolff, R. G. 1985, in Nucleosynthesis: Challenges and New Developments, ed. W. D. Arnett, & J. W. Truran, 131 [Google Scholar]
- Hirata, K. S., Kajita, T., Koshiba, M., et al. 1988, Phys. Rev. D, 38, 448 [NASA ADS] [CrossRef] [MathSciNet] [Google Scholar]
- Hix, W. R., Messer, O. E., Mezzacappa, A., et al. 2003, Phys. Rev. Lett., 91, 201102 [NASA ADS] [CrossRef] [PubMed] [Google Scholar]
- Janka, H.-T., & Müller, E. 1996, A&A, 306, 167 [NASA ADS] [Google Scholar]
- Janka, H.-T., Langanke, K., Marek, A., Martínez-Pinedo, G., & Müller, B. 2007, Phys. Rep., 442, 38 [NASA ADS] [CrossRef] [Google Scholar]
- Kawamura, S., Nakamura, T., Ando, M., et al. 2006, Class. Quant. Grav., 23, 125 [Google Scholar]
- Kaeppeli, R., Whitehouse, S. C., Scheidegger, S., Pen, U.-L., & Liebendoerfer, M. 2009 [arXiv:0910.2854] [Google Scholar]
- Keil, W., Janka, H.-T., & Müller, E. 1996, ApJ, 473, L111 [NASA ADS] [CrossRef] [Google Scholar]
- Kotake, K., Yamada, S., & Sato, K. 2003, ApJ, 595, 304 [NASA ADS] [CrossRef] [Google Scholar]
- Kotake, K., Sawai, H., Yamada, S., & Sato, K. 2004a, ApJ, 608, 391 [NASA ADS] [CrossRef] [Google Scholar]
- Kotake, K., Yamada, S., Sato, K., et al. 2004b, Phys. Rev. D, 69, 124004 [NASA ADS] [CrossRef] [Google Scholar]
- Kotake, K., Sato, K., & Takahashi, K. 2006, Rep. Prog. Phys., 69, 971 [NASA ADS] [CrossRef] [Google Scholar]
- Kotake, K., Ohnishi, N., & Yamada, S. 2007, ApJ, 655, 406 [NASA ADS] [CrossRef] [Google Scholar]
- Kotake, K., Iwakami, W., Ohnishi, N., et al. 2009a, ApJ, 704, 951 [NASA ADS] [CrossRef] [Google Scholar]
- Kotake, K., Iwakami, W., Ohnishi, N., et al. 2009b, ApJ, 697, L133 [NASA ADS] [CrossRef] [Google Scholar]
- Landau, L. D., & Lifshitz, E. M. 1959, Fluid mechanics, Course of theoretical physics (Oxford: Pergamon Press) [Google Scholar]
- Langanke, K., Martínez-Pinedo, G., Messer, O. E. B., et al. 2003, Phys. Rev. Lett., 90, 241102 [NASA ADS] [CrossRef] [PubMed] [Google Scholar]
- Lattimer, J. M., & Swesty, F. D. 1991, Nucl. Phys. A, 535, 331 [NASA ADS] [CrossRef] [Google Scholar]
- Leblanc, J. M., & Wilson, J. R. 1970, ApJ, 161, 541 [NASA ADS] [CrossRef] [Google Scholar]
- Leonard, D. C., Filippenko, A. V., Ganeshalingam, M., et al. 2006, Nature, 440, 505 [NASA ADS] [CrossRef] [PubMed] [Google Scholar]
- Liebendörfer, M. 2005, ApJ, 633, 1042 [NASA ADS] [CrossRef] [Google Scholar]
- Liebendörfer, M., Rosswog, S., & Thielemann, F. 2002, ApJS, 141, 229 [NASA ADS] [CrossRef] [Google Scholar]
- Liebendörfer, M., Rampp, M., Janka, H.-T., & Mezzacappa, A. 2005, ApJ, 620, 840 [NASA ADS] [CrossRef] [Google Scholar]
- Liebendörfer, M., Pen, U.-L., & Thompson, C. 2006, in International Symposium on Nuclear Astrophysics - Nuclei in the Cosmos, (NIC-IX), 132 [Google Scholar]
- Liebendörfer, M., Whitehouse, S. C., & Fischer, T. 2009, ApJ, 698, 1174 [NASA ADS] [CrossRef] [Google Scholar]
- Lovelace, R. V. E., Li, H., Colgate, S. A., et al. 1999, ApJ, 513, 805 [NASA ADS] [CrossRef] [Google Scholar]
- Müller, E. 1982, A&A, 114, 53 [NASA ADS] [Google Scholar]
- Müller, E., & Janka, H.-T. 1997, A&A, 317, 140 [NASA ADS] [Google Scholar]
- Müller, E., Rampp, M., Buras, R., Janka, H.-T., & Shoemaker, D. H. 2004, ApJ, 603, 221 [NASA ADS] [CrossRef] [Google Scholar]
- Müller, B., Dimmelmeier, H., & Müller, E. 2008, A&A, 489, 301 [NASA ADS] [CrossRef] [EDP Sciences] [Google Scholar]
- Marek, A., & Janka, H.-T. 2009, ApJ, 694, 664 [NASA ADS] [CrossRef] [Google Scholar]
- Marek, A., Dimmelmeier, H., Janka, H.-T., Müller, E., & Buras, R. 2006, A&A, 445, 273 [NASA ADS] [CrossRef] [EDP Sciences] [Google Scholar]
- Marek, A., Janka, H.-T., & Müller, E. 2009, A&A, 496, 475 [Google Scholar]
- Meier, D. L., Epstein, R. I., Arnett, W. D., et al. 1976, ApJ, 204, 869 [NASA ADS] [CrossRef] [Google Scholar]
- Mezzacappa, A. 2005, in Supernovae as Cosmological Lighthouses, ed. M. Turatto, S. Benetti, L. Zampieri, & W. Shea, ASP Conf. Ser. 342, 175 [Google Scholar]
- Mikami, H., Sato, Y., Matsumoto, T., et al. 2008, ApJ, 683, 357 [NASA ADS] [CrossRef] [Google Scholar]
- Misner, C. W., Thorne, K. S., & Wheeler, J. A. 1973, Gravitation (San Francisco: W.H. Freeman and Co) [Google Scholar]
- Murphy, J. W., Ott, C. D., & Burrows, A. 2009, ApJ, 707, 1173 [NASA ADS] [CrossRef] [Google Scholar]
- Mönchmeyer, R., Schäfer, G., Müller, E., et al. 1991, A&A, 246, 417 [NASA ADS] [Google Scholar]
- Nakazato, K., Sumiyoshi, K., & Yamada, S. 2008, Phys. Rev. D, 77, 103006 [NASA ADS] [CrossRef] [Google Scholar]
- Obergaulinger, M., Aloy, M. A., & Müller, E. 2006, A&A, 450, 1107 [NASA ADS] [CrossRef] [EDP Sciences] [Google Scholar]
- Obergaulinger, M., Cerdá-Durán, P., Müller, E., et al. 2009, A&A, 498, 241 [NASA ADS] [CrossRef] [EDP Sciences] [Google Scholar]
- Ott, C. D. 2009, Class. Quant. Grav., 26, 063001 [NASA ADS] [CrossRef] [Google Scholar]
- Ott, C. D., Burrows, A., Livne, E., et al. 2004, ApJ, 600, 834 [NASA ADS] [CrossRef] [Google Scholar]
- Ott, C. D., Burrows, A., Dessart, L., et al. 2006a, Phys. Rev. Lett., 96, 201102 [NASA ADS] [CrossRef] [PubMed] [Google Scholar]
- Ott, C. D., Burrows, A., Thompson, T. A., Livne, E., & Walder, R. 2006b, ApJS, 164, 130 [NASA ADS] [CrossRef] [Google Scholar]
- Ott, C. D., Dimmelmeier, H., Marek, A., et al. 2007a, Phys. Rev. Lett., 98, 261101 [NASA ADS] [CrossRef] [PubMed] [Google Scholar]
- Ott, C. D., Dimmelmeier, H., Marek, A., et al. 2007b, Class. Quant. Grav., 24, 139 [Google Scholar]
- Ott, C. D., Burrows, A., Dessart, L., et al. 2008, ApJ, 685, 1069 [NASA ADS] [CrossRef] [Google Scholar]
- Ott, C. D., Ou, S., Tohline, J. E., et al. 2005, ApJ, 625, L119 [NASA ADS] [CrossRef] [Google Scholar]
- Ou, S., & Tohline, J. E. 2006, ApJ, 651, 1068 [NASA ADS] [CrossRef] [Google Scholar]
- Papaloizou, J. C. B., & Pringle, J. E. 1985, MNRAS, 213, 799 [NASA ADS] [Google Scholar]
- Pen, U.-L., Arras, P., & Wong, S. 2003, ApJS, 149, 447 [NASA ADS] [CrossRef] [Google Scholar]
- Rampp, M., Muüller, E., & Ruffert, M. 1998, A&A, 332, 969 [NASA ADS] [Google Scholar]
- Sagert, I., Fischer, T., Hempel, M., et al. 2009, Phys. Rev. Lett., 102, 081101 [NASA ADS] [CrossRef] [PubMed] [Google Scholar]
- Saijo, M., Baumgarte, T. W., & Shapiro, S. L. 2003, ApJ, 595, 352 [NASA ADS] [CrossRef] [Google Scholar]
- Saijo, M., & Yoshida, S. 2006, in Albert Einstein Century International Conference, AIP Conf. Ser., 861, 728 [Google Scholar]
- Sathyaprakash, B. S., & Schutz, B. F. 2009, Physics, Astrophysics and Cosmology with Gravitational Waves, Living Rev. Relativity 12, 2. URL (cited on August), http://www.livingreviews.org/lrr-2009-2 [Google Scholar]
- Scheidegger, S., Fischer, T., Whitehouse, S. C., et al. 2008, A&A, 490, 231 [NASA ADS] [CrossRef] [EDP Sciences] [Google Scholar]
- Scheidegger, S., Whitehouse, S. C., Kaeppeli, R., et al. 2009 [arXiv:0912.1455] [Google Scholar]
- Shen, H., Toki, H., Oyamatsu, K., et al. 1998a, Nucl. Phys. A, 637, 435 [NASA ADS] [CrossRef] [Google Scholar]
- Shen, H., Toki, H., Oyamatsu, K., et al. 1998b, Prog. Theor. Phys., 100, 1013 [Google Scholar]
- Shibata, M., Karino, S., & Eriguchi, Y. 2002, MNRAS, 334, L27 [NASA ADS] [CrossRef] [Google Scholar]
- Shibata, M., Liu, Y. T., Shapiro, S. L., et al. 2006, Phys. Rev. D, 74, 104026 [NASA ADS] [CrossRef] [Google Scholar]
- Shibata, M., & Sekiguchi, Y.-I. 2003, Phys. Rev. D, 68, 104020 [NASA ADS] [CrossRef] [Google Scholar]
- Sumiyoshi, K., Suzuki, H., Yamada, S., et al. 2004, Nucl. Phys. A, A730, 227 [NASA ADS] [CrossRef] [Google Scholar]
- Sumiyoshi, K., Yamada, S., & Suzuki, H. 2008, ApJ, 688, 1176 [NASA ADS] [CrossRef] [Google Scholar]
- Swesty, F. D., & Myra, E. S. 2009, ApJS, 181, 1 [NASA ADS] [CrossRef] [Google Scholar]
- Takahara, M., & Sato, K. 1988, Prog. Theor. Phys., 80, 861 [NASA ADS] [CrossRef] [Google Scholar]
- Takiwaki, T., Kotake, K., & Sato, K. 2009, ApJ, 691, 1360 [NASA ADS] [CrossRef] [Google Scholar]
- Tassoul, J.-L. 1978, Theory of rotating stars, ed. J.-L. Tassoul [Google Scholar]
- Thorne, K. S. 1989, in Three hundred years of gravitation, ed. S. Hawking, & W. Israel (Cambridge University Press) [Google Scholar]
- Timmes, F. X., & Arnett, D. 1999, ApJS, 125, 277 [NASA ADS] [CrossRef] [Google Scholar]
- Timmes, F. X., & Swesty, F. D. 2000, ApJS, 126, 501 [NASA ADS] [CrossRef] [Google Scholar]
- Watts, A. L., Andersson, N., & Jones, D. I. 2005, ApJ, 618, L37 [NASA ADS] [CrossRef] [Google Scholar]
- Whitcomb, S. E. 2008, Class. Quant. Grav., 25, 114013 [NASA ADS] [CrossRef] [Google Scholar]
- Wilson, J. R., & Mayle, R. W. 1988, Phys. Rep., 163, 63 [NASA ADS] [CrossRef] [Google Scholar]
- Woosley, S. E., & Weaver, T. A. 1995, ApJS, 101, 181 [NASA ADS] [CrossRef] [Google Scholar]
- Zwerger, T., & Müller, E. 1997, A&A, 320, 209 [NASA ADS] [Google Scholar]
Footnotes
- ...
-
is the radially averaged sound speed of a convectively unstable layer with a radial extension of
.
All Tables
Table 1: Summary of initial conditionsa.
Table 2: Overlap.
Table 3: Summary of GW related quantitiesa.
All Figures
![]() |
Figure 1:
Electron fraction |
Open with DEXTER | |
In the text |
![]() |
Figure 2:
Comparison of the |
Open with DEXTER | |
In the text |
![]() |
Figure 3:
Time evolution of the GW amplitude A
|
Open with DEXTER | |
In the text |
![]() |
Figure 4: Spherically averaged density profiles from the slowly rotating models R1E1CA (red full line), R1E3CA (black dotted line) and R1STCA (black dashed line) at bounce. The second entropy time slice is chosen to be approximately at the onset of the GW signal from prompt convection. |
Open with DEXTER | |
In the text |
![]() |
Figure 5:
Time evolution of the GW amplitude A
|
Open with DEXTER | |
In the text |
![]() |
Figure 6: Spectral energy distribution from the models R0E1CA (dashed line) and R0STCA (full line) for a spectator in the equatorial plane at a distance of 10 kpc compared with the LIGO strain sensitivity (Shoemaker 2007, private communication) and the planned performance of Advanced LIGO. Optimal orientation between source and detector is assumed. |
Open with DEXTER | |
In the text |
![]() |
Figure 7: Spherically averaged density profiles from models R1E1CA (dotted line), R1E3CA (full line) and R1STCA (dashed line) at core bounce (t-tb=0). |
Open with DEXTER | |
In the text |
![]() |
Figure 8:
Model R1E1CAL's time
evolution of the quadrupole amplitudes A
|
Open with DEXTER | |
In the text |
![]() |
Figure 9:
Model R1E1CAL's spherically
averaged specific entropy (full line) and 10 |
Open with DEXTER | |
In the text |
![]() |
Figure 10:
Model R1E1CAL's spectral
energy distribution of the GW signals at a distance of 10 kpc.
Note that the spectrum interval from |
Open with DEXTER | |
In the text |
![]() |
Figure 11:
Left: time evolution of the GW amplitude A
|
Open with DEXTER | |
In the text |
![]() |
Figure 12:
Summary of all model's dimensionless peak gravitational wave amplitude |
Open with DEXTER | |
In the text |
![]() |
Figure 13:
Precollapse central angular velocity |
Open with DEXTER | |
In the text |
![]() |
Figure 14:
Radial profiles of the weighted density |
Open with DEXTER | |
In the text |
![]() |
Figure 15:
Angular velocity profile along the positive x-axis
for different models at 10 ms after bounce. Note that the hump
in the angular velocity profile at about |
Open with DEXTER | |
In the text |
![]() |
Figure 16:
Snapshots of the vorticity's z-component |
Open with DEXTER | |
In the text |
![]() |
Figure 17:
The upper left panel shows the time evolution of
the GW amplitudes A+
and |
Open with DEXTER | |
In the text |
![]() |
Figure 18: Spectral energy distribution of the GW signal emitted along the polar axis from model R4STCA at a distance of 10 kpc. |
Open with DEXTER | |
In the text |
![]() |
Figure 19:
The upper panel shows the angular velocity profile
at |
Open with DEXTER | |
In the text |
![]() |
Figure 20:
The figure shows the enclosed mass [ |
Open with DEXTER | |
In the text |
![]() |
Figure 21:
The upper left panel displays the emission of the A+
and the A |
Open with DEXTER | |
In the text |
![]() |
Figure 22:
The upper left panel shows the first
20 ms of the time evolution of the rotational energy parameter
|
Open with DEXTER | |
In the text |
![]() |
Figure 23: Snapshot of model R4E1CF's entropy distribution in the first octant at a representative instant of its evolution. The innermost 3003 km3 are displayed. |
Open with DEXTER | |
In the text |
![]() |
Figure 24:
Model R4E1CF's time evolution of the total
quadrupole amplitude |
Open with DEXTER | |
In the text |
![]() |
Figure 25: Snapshots of model R4E1FCL's entropy distribution in the first octant at two representative instants of its evolution. The innermost 3003 km3 are displayed. |
Open with DEXTER | |
In the text |
Copyright ESO 2010
Current usage metrics show cumulative count of Article Views (full-text article views including HTML views, PDF and ePub downloads, according to the available data) and Abstracts Views on Vision4Press platform.
Data correspond to usage on the plateform after 2015. The current usage metrics is available 48-96 hours after online publication and is updated daily on week days.
Initial download of the metrics may take a while.