Issue |
A&A
Volume 514, May 2010
|
|
---|---|---|
Article Number | A20 | |
Number of page(s) | 9 | |
Section | Cosmology (including clusters of galaxies) | |
DOI | https://doi.org/10.1051/0004-6361/200913271 | |
Published online | 04 May 2010 |
Constraints on dark energy evolution
L. Ferramacho1,2 - A. Blanchard1 - Y. Zolnierowski3 - A. Riazuelo4
1 - Laboratoire Astrophysique de Toulouse-Tarbes, CNRS, 14 avenue É. Belin, 31400 Toulouse, France
2 -
CENTRA, Departamento de Fisica, Instituto Superior Técnico, Avenida Rovisco Pais, 1 1049-001 Lisboa, Portugal
3 - LAPP, Université de Savoie, CNRS/IN2P3, 9 chemin de Bellevue, BP 110, 74941 Annecy-le-Vieux Cedex, France
4 - CNRS, UMR 7095, Institut d'Astrophysique de Paris, Université Pierre et Marie Curie-Paris 6, 75014 Paris,
France
Received 9 September 2009 / Accepted 12 January 2010
Abstract
We investigate a class of dark energy models in which the equation
of state undergoes a rapid transition and for which the Hubble
SN Ia diagram is known to be poorly discriminant. Interestingly
enough, we find that transitions at high redshift can lead to
distortion in the correlation function of dark matter at lower
redshift. We therefore use
a combination of the SN Ia Hubble diagram, cosmic microwave
background data and power spectrum from the Sloan Digital Sky Survey
luminous red galaxies (SDSS LRG) to constrain the redshift of a
possible transition.
We find that the fundamental cosmological parameters are well
constrained independently of the presence of a transition. Acceptable
transitions from an equation of state close to w = 0 to a value close to -1 are
strongly rejected at redshifts much higher than those for which large
scale structure and SN Ia data are available: the transition
redshift can be rejected up to a value as high as 10. We conclude that
no preference for a transition appears from present-day data.
Key words: cosmic microwave background - large-scale structure of Universe - cosmological parameters
1 Introduction
In 1998 and 1999 two groups collecting far supernovae data presented
evidence for an acceleration of the expansion of the universe, and
consequently for a non-zero cosmological constant, based on the Hubble
diagram of the SN Ia supernovae (Perlmutter et al. 1999; Riess et al. 1998).
Since these times published supernovae datasets have continuously increased and
strengthened the case for an acceleration of the expansion of the universe.
This has been corroborated by others data sets (Frieman et al. 2008;
Blanchard, in prep.).
Although the cosmological constant is entirely consistent with the
detected acceleration, the addition of this term to the theory of
general relativity has no known direct motivation. However, the
cosmological constant can also be interpreted as arising from the
vacuum contribution to the energy-momentum tensor. Indeed, the
contributions of the quantum fluctuations of all the fields filling the
universe provide a non-zero density to the vacuum and a negative
pressure acting exactly as a cosmological constant. However, such
anticipated contribution from quantum fluctuations is many orders of
magnitude larger than the presently observed value. The low level of
the energy scale of the cosmological constant is therefore a mystery.
Facing such a difficulty in understanding this discrepancy, one can
consider the existence of some unknown mechanism that cancels the
contribution from vacuum energy, and look for other physical components
in the Universe that can produce an acceleration of the expansion.
Motivated by these considerations, Ratra & Peebles (1988)
showed that the presence of a dynamical scalar field, not exactly at
rest (otherwise, it would behave exactly as a cosmological constant)
can actually generate an accelerated expansion. This scenario, known as
the quintessence paradigm, has received a lot of attention in recent
years after the discovery of the acceleration. Other options have been
proposed for its origin.
An attractive idea is the possibility that acceleration appears as a
non-linear contribution from inhomogeneities (Buchert 2008).
However, no convincing arguments have been proposed
to show that the actual contribution from these non-linearities can be
brought to an observable level much above the naive expectation
,
nor that there is reason why this contribution could have a significant
apparent ``negative pressure'' to actually produce an acceleration.
Another more radical option is to modify the equations of the general
relativity (Cognola et al. 2006).
However, adding new ``exotic'' components to the universe to obtain the
acceleration is the most simple solution, and quintessence is natural
in this context: in such models dark energy occurs from the late
domination of some scalar field
.
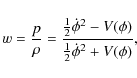
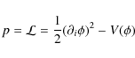
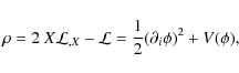
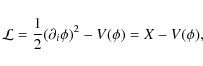
The canonical Lagrangian of such a scalar field is given by
with X being the kinetic energy of the field and

The stress-energy tensor has a form identical to that of an ideal fluid with pressure and density given by the two relations
![]() |
(3) |
![]() |
(4) |
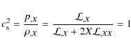
where ,X stands for

which remains greater than -1, while the sound velocity
is equal to the speed of light. However, more general Lagrangian for the scalar field have been advocated ( Armendariz-Picon et al. 2000; Avelino et al. 2009). In these models, known as k-essence models, the Lagrangian is written in a very general form



As the damping time scale in Eq. (2) is (3H)-1, the kinetical energy of the field is
not expected to change over a time scale much shorter than the Hubble time.
Therefore, for smooth potentials, w(z) is expected to vary over a time scale
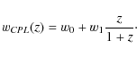
typical of the Hubble time. For these slowly varying models, the CPL model (Linder 2003; Chevalier & Polarski 2001)
is a
useful approximation that catches the essential feature of many models of varying
dark energy:
This model was used to define a figure of merit for a given set of astrophysical observations (Albrecht et al. 2006). However, rapid transitions in w at low redshift are not well described by such parametrization, and the correct dynamic of dark energy should be taken into account in cosmological parameter estimations (Virey et al. 2005). It is therefore interesting to investigate a wider class of parametrization. This is the purpose of the present work. In the second section we present the basics of the phenomenology of the quintessence scalar field and the parametrization used in this study. In the third section we examine the constraints coming from three commonly used observables, the type Ia supernovae Hubble diagram, the power spectrum of the cosmological microwave background (CMB) data published by the Wilkinson microwave anisotropy probe (WMAP) collaboration and the power spectrum of large red galaxies (LRG) from the Sloan Digital Sky Survey (SDSS).
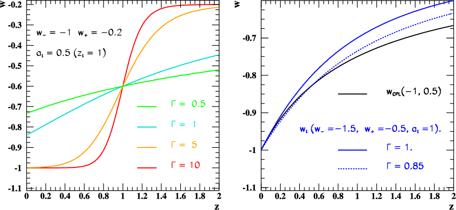
2 Dark energy parametrization
![]() |
Figure 1:
Left: the evolution of the equation of state parameter of dark energy w(z)
from Eq. (8) is illustrated on this plot for a transition redshift
|
Open with DEXTER |
For a pressureless regime like non-relativistic matter one has w = 0, for
radiation
,
while for a cosmological constant w = -1.
As we mentioned above, rapid transitions in w at non vanishing redshift
are not well described by CPL parametrization (Linden & Virey 2008). It is
therefore interesting to investigate a wider class of parametrization. A convenient
parametrization is (Douspis et al. 2008; Linder & Huterer 2005)
The equation of state parameter
evolves from
to
,
the transition occurs at redshift
or equivalently
.
The parameter
figures
the hardness of the transition: high values of
correspond to rapid
transitions, i.e. transitions with a shorter duration than the Hubble time at
,
while
corresponds to transitions occurring over a period
similar to the Hubble time. The above parametric form may hide complexities :
w < -1 (Caldwell 2002) models might be pathological (Carroll et al. 2003).
We try to keep our investigation as open as possible and do not
add theoretical constraints on the kinds of models we investigate. For instance,
modified gravity theories might lead to an evolution in w(z) which crosses the
phantom limit of w = -1 (Gannouji et al. 2006; Bouhmadi-López & Ferrera 2008). We therefore do not impose any restriction on the classes of models we investigate in terms of the values of w+ and w-.
With an appropriate choice of the parameter ,
this
parametrization is similar to the CPL parametrization (Eq. (7)) for
:
![]() |
(9) |
Requesting that the derivative of
function at z=0 is the same as the derivative
function (
)
imposes
and
.
However, slightly different values of
might lead to a
closer to w(z) over a wide redshift range. For instance,
with
,
w(z) is very close to the CPL parametrization in the redshift range 0 to 1 (see Fig. 1).
The above parametrization provides therefore a nice generalization,
comprising a close approximation of the CPL case, but also
allowing the investigation of more rapid transitions.
3 Constraints from present-day cosmological data
Modifications of the equation of state of dark energy obviously lead to
modification of the expansion rate through the Friedmann-Lemaître equation
![]() |
(10) |
This has direct consequences on geometrical tests. Another important aspect comes from the fact that the growth rate of fluctuations in the linear regime is modified because the nature of the background is changed. For

3.1 Supernovae Hubble diagram
In a preceding paper (Douspis et al. 2008) we presented some evidence that supernovae alone cannot reject a sharp transition between two values of w: w+ and w- above a transition redshift
at 2 sigma using a compilation of supernovae recently published (Davis et al. 2007). We chose for the two extreme values of w, -0.2 for w+ and -1 for w-. The choice of the second value was linked to the observation that the value of w now seems very close to -1, and the choice of w- was discussed in detail in the article.
There was also some surprising but weak evidence that supernovae prefer a sharp transition at low redshift (Bassett et al. 2002).
The number of published SN Ia samples has increased in recent years. In 2008, Kowalski and coworkers (Kowalski et al. 2008)
have applied a homogeneous treatment to 13 samples of SN1a published to
reduce the possible systematics due to the analysis done under
different conditions and by different teams as much as possible. The
tendency of SN Ia sample to prefer a transition has still be
claimed to be present in this last homogeneous supernovae data set (Shafieloo et al. 2009). This provides us with motivation for more detailed investigations.
3.2 Constraints from the CMB
In order to use measurements of the CMB fluctuations to constrain models with a rapid transition in dark energy we need to implement these models in a code which computes the CMB fluctuations angular spectrum. We therefore use a modified version of CAMB in which our dark energy parametrization has been implemented (see Douspis et al. 2008 for details on this implementation). As the value of the dark energy density is analytically known in this model, this implementation is straightforward, something which might not be the case if it has to be evaluated through numerical integration (Corasaniti et al. 2004), as is generally the case. The sound speed was kept constant. We did not use the reduced quantity R, which is closely related to the angular distance to the CMB, and which is the most changed quantity when adding a cosmological constant (Blanchard 1984; Efstathiou & Bond 1999). We used the 5-year release (Nolta et al. 2009) and the ACBAR data (Reichardt et al. 2008) for additional stringent constraint on small scales.
3.3 The effects of a transition model for dark energy in large scale structure data
Before trying to constrain any fast transition model using all data, it is interesting to examine how these models affect the predicted matter distribution at low redshifts. For this purpose, we used the correlation function data of Eisenstein et al. (2005), EO5 hereafter, which provide a helpful visualization of baryonic acoustic oscillations, since they appear as a well defined feature, the so-called acoustic peak in this correlation function corresponding to the oscillations in the power spectrum (BAO for baryonic acoustic oscillation).
We applied the procedure for determining the expected correlation
function as described in Ferramacho et al. (2009), with a modified
CAMB routine that comprises our varying dark energy parametrization (Douspis et al. 2008).
As discussed in Ferramacho et al. (2009), non-linear corrections
and scale dependent bias play an important role in the final
constraints obtained from LSS distribution and BAO. We have thus
applied the same prescriptions for these corrections, but taking some
caution. For instance, we did not include the modeling that accounts
for the suppression of the baryonic acoustic peak, since it uses the
no-wiggle approximation from Eisenstein & Hu (1998), which comprises fitting formulas derived for a standard CDM cosmology.
We checked however that correcting for this effect does not change the overall constraints on w and the density parameters, except for
,
which is expected since the amplitude of the acoustic peak depends
mostly on the baryonic content of the universe rather than on any other
quantity. In order to perform these corrections at low scales with less
model dependence, it is also preferable to choose a more general
correction model than the E05 approach. For this purpose, a Q-model (Cole et al. 2005) was used with b and Q as free parameters, which seems to be more appropriate for dark energy models with dynamical equation of state.
In Fig. 2 we
illustrate the effect of fast transitions in the correlation function
at low redshift by considering three different values for w+ and setting w-=-1. In each plot, the effect of changing the transition epoch ()
is shown. The remaining cosmological parameters were set to the best
values obtained in Ferramacho et al. (2009) when considering a
free but constant value for w.
The bias parameter was marginalized over in all the plots for a better
comparison of the effects in the overall shape. Matter fluctuation
amplitude, measured by
,
might therefore be different for the different models.
![]() |
Figure 2:
Expected shape for the correlation function in units of |
Open with DEXTER |
Transitions between w+=-0.2 and w-=-1
do not change the overall shape of the correlation function, even if we
consider transitions at relatively low redshifts. In this case, the
predicted matter distribution with the adopted model for dark energy
cannot be distinguished from the same distribution obtained with a
standard CDM model. However, when we let w+
be closer to 0, some interesting effects appear in the predicted
correlation function, noticeably at intermediate and large scales. We
observe then a relative increase of the power at these scales, which
boosts the amplitude of the baryonic peak (to a small degree when w+=-0.1 and much larger when w+=0)
and shifts its position, and furthermore the global shape of the
correlation function is modified. These effects show that the matter
distribution is sensitive to fast and strong variations in the dark
energy equation of state and provides in principle a good probe to test
such models. Also, in the view of these results changes in the
correlation function for these models cannot be fully reproduced with a
single geometrical factor, as for instance the A parameter from
E05. So, the full shape of the correlation function (or of the matter
power spectrum) must be taken into account when studying models that
have an effect on both the correlation function form and the position
of the baryonic peak due to other effects than angular diameter
distance changes. The precision of the SDSS LRG measurements on the
correlation function is not high, but as an example the model with w+=-0.1 and a transition redshift fixed at
has
a
reduced of 2 in comparison with
the concordance model, suggesting that a transition is preferred at 1
using only the correlation function data.
That transitions in w at redshifts as high as 1 could leave an imprint on the correlation function is an interesting issue requiring a further investigation. Below, we look into the impact on these models of the joint analysis of data from galaxy distribution, CMB anisotropies and SN Ia.
3.4 Hubble time transitions - CPL approximation
Let us start our analysis by taking the case of transitions occurring
at a rate typical of the Hubble time. As seen above, with
,
the parametrization provided by Eq. (8) becomes almost equivalent to the CPL parametrization.
It is interesting to compare the effect of considering
,
which fulfills the condition
,
as requested when deriving the CPL parametrization, and a slightly lower value for
like 0.85, which provides a better agreement for the overall shape of the w(z) curve in both parametrizations.
Both cases were evaluated together with the CPL parametrization (Eq. (7)). We performed a MCMC run by introducing the modified CAMB routines and the new parametrization for w(z) in the COSMOMC code. The total parameter space directly constrained was then
.
We used the matter power spectrum from Tegmark et al. (2006) to account for the SDSS LRG data. The modeling for non linear effects and scale dependent bias was done with a Q-model (Cole et al. 2005) as explained above. Since we are interested in models with w(z)<-1
in order to determine a valid figure of merit, dark energy
perturbations were ``turned off'' when solving for CMB and matter power
spectrum.
Table 1:
Table resuming the obtained constraints for a pure CPL model (1), parameterization 8 with
(2),
(3) and assuming a constant w (4).
![]() |
Figure 3:
2D contours at 68% and 95% confidence level, for the parameters
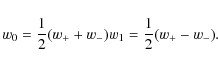
w0=1/2(w++w-) and
w1=1/2(w+-w-), setting
|
Open with DEXTER |
The obtained results on all parameters are summarized in Table 1.
All these constraints on individual parameters were obtained by
marginalization over other parameters. For comparison reasons, the last
column shows the results where w is a constant value (no
evolution). The constraints on nearly all parameters remain essentially
identical. Of course, the main exception regards parameters that govern
the equation of state itself, which have a bigger uncertainty compared
to a constant w. Considering the parametrization of a smooth transition with either
or
results in some small changes in the preferred values and the uncertainties, which seem to be smaller when
.
The 2D marginalized contours at 68% and 95% confidence level are presented in Fig. 3.
Again, the slightly different
values of the
parameter have an effect on the derived constraints on w0-w1, although it is rather small. Finally, we notice that using the parametrization given by Eq. (8) with
provides very similar constraints
to a pure CPL parametrization.
The Dark Energy Task Force report (Albrecht et al. 2006) introduced a numerical quantity to determine the capacity of future surveys in constraining dark energy models. This numerical quantity is referred to as the figure of merit (f.o.m.) for a given experiment or combination of experiments and is defined as the reciprocal of the area of the marginalized 2D region contour at 95% confidence in the w0-w1 parameter space. In terms of the f.o.m. for the present day data, the obtained values are summarized in the following table

These values can thus be used to compare the improvement of future
experiments in constraining dark energy evolution on Hubble timescales.
For more rapid transitions, one has to consider higher values of ,
which is done in the next section.
3.5 Joint constraints
In this section we examine what constraints can be derived when a rapid transition in the equation of state of dark energy ()
is considered, using the full data sets
presented above.
Only models with w(z)>-1
were constrained by including DE perturbations when solving the total
perturbations equations with CAMB. For each case we ran one long chain,
using the Rafetery-Lewis diagnostic to check for convergence. As for
the LRG SDSS data, we used the data on the matter power spectrum as
implemented in COSMOMC with a Q-model to correct for non-linear effects.
Finally, we restricted ourselves to a flat Universe (
)
for simplicity reasons.
As seen above, for transitions to w-=-1, the matter correlation function
shows a different sensitivity to the initial value w+. We
considered then three distinct transitions by setting w-=-1 and three low values
for w+ (0, -0.1 and -0.2). In each case the objective is to get
constraints on the transition epoch (), the value
corresponding to the standard
concordance model. As w+ approaches 0 the contribution of dark energy at high redshifts remains non vanishing, allowing us to investigate its
possible influence at earlier epochs.
3.5.1
w-=-1, w+=-0.2
Table 2: Table resuming the obtained constraints different combinations of data and setting w+=-0.2 and w-=-1.
Four different data combinations were used to constrain this model,
CMB, CMB+SN Ia, CMB+P(k) and finally CMB+P(k)+ SN Ia. The
results of the mean posterior values and 68% confidence intervals on
each parameter are summarized in Table 2. The posterior distribution in some parameter is clearly
non-Gaussian, so in some cases the 1
error bars are quoted using asymmetrical limits.
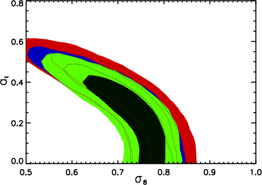
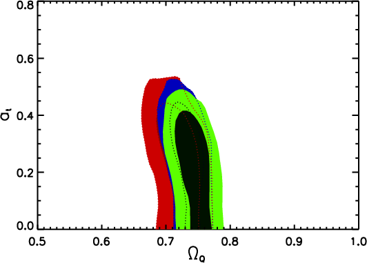
Figure 4 shows the contours in the space of
,
on which the effect of the different data combinations on these two
parameters can be appreciated. This figure shows that the combination
of the WMAP5 data on the CMB with supernovae already constrains the
possible transition to be at
at the two sigma level (95% confidence region), or in redshift space
.
When the matter power spectrum data is added, some small reduction on the allowed region in the transition parameter
is observed. Surprisingly, the combination CMB+P(k) without supernovae
leads to a better constraint on the transition epoch. This result is
not intuitive, since as demonstrated in the previous section, one
obtains only negligible differences in the matter correlation function
shape by changing the transition epoch. The cause for this reduction of
the allowed transition redshift is actually due to the shift in the
preferred
,
as the power spectrum data tend to prefer lower values of
.
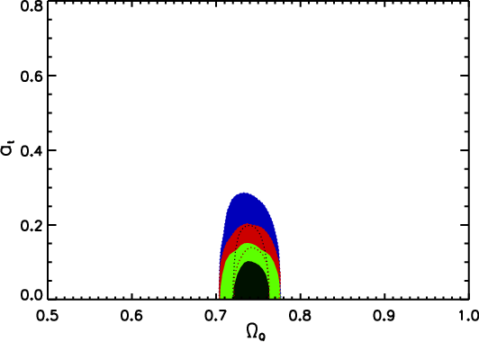
Another interesting factor of this dark energy modeling is the effect
that transitions at intermediate redshifts have in the allowed matter fluctuation amplitude - the
parameter. Figure 5
presents a peculiar degeneracy between these parameters. This figure shows that for transitions occurring between
(
)
and
(
), the allowed matter amplitude
decreases linearly, meaning that transitions which occur at lower redshifts necessarily yield a lower value of
.
This is because a value of w close to 0 has the effect of inhibiting the growth of matter perturbations, as shown in Douspis et al. (2003).
So, in the presence of a transition from a value of w
close to 0, the overall amplitude of fluctuations (for a given CMB
amplitude) is smaller at low redshifts. In principle the amplitude of
matter fluctuations can be estimated from local cluster abundances.
However, in practice the lack of reliable calibration of the mass
temperature limits the use of this constraint (Blanchard & Douspis 2005; Pierpaoli et al. 2001).
![]() |
Figure 4:
Confidence regions at 68% and 95% level for the transition epoch |
Open with DEXTER |
![]() |
Figure 5:
Confidence regions at 68% and 95% level for the transition epoch |
Open with DEXTER |
3.5.2 w-=-1, w+=-0.1
We have seen above that
for a value of w+
closer to 0 important changes in the predicted matter correlation
function arise, which can improve the quality of the fit of the SDSS
LRG data. We now check whether these models, which comprise transitions
at low redshifts, may accommodate other observational data. So, we
determine the same combined constraints as done previously, but setting
w+=-0.1.
The obtained results for the other data combinations are summarized in Table 3 and in Fig. 6, which shows the marginalized region contours in the
parameter space.
For these models the allowed transition redshift space is reduced:
models with
(
)
and
(
)
are excluded at the two sigma level. This
means that for these models the CMB data impose a stronger constraint, and the best fit model in middle panel of Fig. 2 with
becomes ruled out by the CMB.
Table 3: Table resuming the obtained constraints using different combinations of data and setting w+= -0.1 and w-=-1.
3.5.3 w-=-1, w+=0
![]() |
Figure 6:
Confidence regions at 68% and 95% level for the transition epoch |
Open with DEXTER |
Table 4: Table resuming the constraints using different combinations of data and setting w+=0 and w-=-1.
![]() |
Figure 7:
Confidence regions at 68% and 95% level for the transition epoch |
Open with DEXTER |
Finally we consider the case where the dark energy has a vanishing
equation of state parameter in the early Universe. This case is
phenomenologically interesting as dark energy then evolves as
pressureless matter, although it cannot be accounted for in standard
quintessence models like the inverse power law or SUGRA potentials (Douspis et al. 2008). In Table 4 and Fig. 7
we present the same information as above for the constraints on this
model. The result is somehow expected from what we saw when we passed
from w+-0.2 to w+=-0.1. While the constraints on
(
)
remain almost unchanged, the possible transition epoch is further pushed towards higher redshifts, with a value
at 95% confidence level. Again, this constraint comes mainly from the combination of the CMB observations with the other probes.
From the three considered cases,
the models with late transitions
seem to be excluded since they cause the angular distance to the CMB to
change significantly which disagrees with the position of the acoustic
peak in the temperature power spectrum. This finding does not allow for
lower values of the transition redshift when combined with the strong
constraint on
from the SDSS LRG distribution at low redshifts and the SN Ia data.
3.5.4 Relaxing the assumption of w-=-1
We have seen the effects of considering transitions that have a final value w- compatible with a cosmological constant, i.e.
at low redshifts and in the future. This assumption was based on the theoretical prior that a final w=-1
is easier to understand in existing quintessence models. Nevertheless,
one can relax this assumption on a purely phenomenological basis, and
check what happens to the constraints derived above when w- is left as a free parameter. We have performed this analysis, taking the same three values for w+ as before
and using the full combination of data CMB+P(k)+SN Ia.
Table 5: Table resuming the obtained constraints using the full combination of data (CMB+P(k)+SN Ia) and considering w- as a free parameter.
The results on the three chains are summarized in Table 5.
The main constraints on the transition parameters are summarized in Figs. 8 and 9 which show the effect of leaving w- as a free parameter in the transition epoch defined by .
The effect is drastic, pushing the possible transition to much higher redshifts while at the same time the preferred value for w- becomes
w-=-0.956, with w-=-1 just compatible at one sigma. That the constraint put on
for the different values of w+ becomes much more severe (
at two sigma, in the best case) may seem surprising since the obtained value is not so far from the fiducial w=-1 considered above. As a check,
we reevaluated our constraints setting w-=-0.95 and found identical constraints to those marginalized over w.
It seems that by letting the present day value for the equation of
state be a little higher than -1, current data tend to strongly prefer
the case of no transition, rejecting any acceptable transition to
higher redshifts. This agrees with the constraints obtained when we
considered for a constant value of w previously, which is a good cross-check of this analysis. That the value w=-0.95 is systematically preferred is somehow interesting, although with the current constraint precision, the CDM is obviously compatible with all derived constraints.
4 Discussion and conclusions
![]() |
Figure 8:
Confidence regions at 68% and 95% level for the transition epoch |
Open with DEXTER |
![]() |
Figure 9:
Confidence regions at 68% and 95% level for the transition epoch |
Open with DEXTER |
We have investigated quintessence models which undergo a
transition in the equation of state parameter w
of their dark energy component in
the light of latest cosmological data. We concentrated on a class of
models in which the duration of the transition is much
shorter than the Hubble time, for which we have previously shown that
the supernovae Hubble diagram alone provides, somewhat surprisingly,
poor constraints. A major difference to previous studies of varying
dark energy models is that we fully took into account the data on the
matter power spectrum rather than using a reduced geometrical factor A and used a class of models in which the dark energy component
at high redshift does not cross the matter regime, i.e. w remains below 0.
We concentrated on models in which the high redshift equation of state parameter approaches zero (specifically w = -0.2, w = -0.1, w = 0.), without marginalizing because of the sensitivity to w
when it approaches zero. The first noticeable result is the stability
of cosmological constraints obtained for the fundamental parameters:
all parameters that our five tables have in common are nearly unchanged
in comparison with those obtained for a
constant w (Ferramacho et al. 2009). In this respect we noticed that a value of
remains preferred at the one sigma level. The amplitude of matter
fluctuations reveals some sensitivity to dark energy dynamics, as the
parmeter is lower in the presence of dark energy with an equation of state parameter w>-1, a result consistent with previous findings for constant w (Douspis et al. 2008).
A second conclusion is that a transition is generally severely rejected
when combinations of data are used, although a transition would be
(weakly) preferred by a single set of data like supernovae or large
scale structure. We notice however that the redshift at which the
possible transition is rejected delicately depends on the assumed
hypothesis: with a present-day w set to
-1 and w+ set to -0.2we could formally reject at
a transition below
,
while
when we marginalize on w- and set w+ to 0, the transition
is allowed only at redshifts greater than
.
Very recently, new data and analysis have appeared in the literature on SN Ia (Freedman et al. 2009; Lampeitl et al. 2010; Kessler et al. 2009) and power spectrum (Percival et al. 2010; Reid et al. 2010).
It is therefore legitimate to wonder whether our conclusions can be
appreciably modified with this new information. However, there are some
reasons that this is not anticipated. A comparison of the columns in
Tables 2-4 reveals that our results are not sensitive to different data combinations: using the three data sets (CMB, P(k), SN Ia) or using only two (either CMB and P(k) or CMB and SN Ia) leads to nearly identical constraints, differences in preferred parameters being at most 1.5
,
less than the worse systematic difference discussed below. Since
preferred cosmological parameters from most recent analysis are
entirely consistent with our previous analysis (Ferramacho et al. 2009),
it is reasonable to assume that using the new data would make virtually
no difference.
Our general conclusion is, maybe not surprisingly, that the concordance
model is doing well and that possible variation in dark energy is
unlikely.
A final word of caution though: In the present analysis we used the constraint from the power spectrum of LRG
(Tegmark et al. 2006).
However, Ferramacho et al. (2009) noticed that the use of the
correlation function could lead to preferred values which differ up to
from the ones obtained with the power spectrum. Therefore, our
ranges can be regarded as indicative of possible systematic effects. We
have no certainty however that this systematic difference could not be
larger for varying dark energy models. The difference in the clustering
properties between red and blue galaxies
is also a subject that calls for caution in the detailed interpretation
of data
(Percival et al. 2007; Sánchez & Cole 2008), even if recent analysis tends to weaken earlier discrepancies (Percival et al. 2010).
Improvements of constraints on dark energy from future experiments would have to
control in an extremely accurate way their systematics to infer robust
constraints on the variation of dark energy.
We acknowledge useful comments from J.-M. Virey. L. Ferramacho acknowledges financial support provided by Fundação para a Ciência e Tecnologia (FCT, Portugal) under scholarship SFRH/BD/16416/2004 and project grant PTDC/FIS/66825/2006.
References
- Albrecht, A., Bernstein, G., Cahn, R., et al. 2006 [arXiv:astro-ph/0609591] (unpublished) [Google Scholar]
- Armendariz-Picon, C., Mukhanov, V., & Steinhardt, P. J. 2000, Phys. Rev. Lett., 85, 4438 [NASA ADS] [CrossRef] [PubMed] [Google Scholar]
- Armendariz-Picon, C., Mukhanov, V., & Steinhardt, P. J. 2001, Phys. Rev. D, 63, 103510 [NASA ADS] [CrossRef] [MathSciNet] [Google Scholar]
- Astier, P., Guy, J., Regnault, N., et al. 2006, A&A, 447, 31 [NASA ADS] [CrossRef] [EDP Sciences] [Google Scholar]
- Avelino, P. P., Trindade, A. M. M., & Viana, P. T. P. 2009, Phys. Rev. D, 80, 067302 [NASA ADS] [CrossRef] [Google Scholar]
- Bamba, K., Geng, C.-Q., Nojiri, S., & Odintsov, S. D. 2009, Phys. Rev. D, 79, 083014 [Google Scholar]
- Bassett, B. A., Kunz, M., Silk, J., & Ungarelli, C. 2002, MNRAS, 336, 1217 [NASA ADS] [CrossRef] [Google Scholar]
- Blanchard, A. 1984, A&A, 132, 359 [NASA ADS] [Google Scholar]
- Blanchard, A., & Douspis, M. 2005, A&A, 436, 411 [NASA ADS] [CrossRef] [EDP Sciences] [Google Scholar]
- Bouhmadi-López, M., & Ferrera, A. 2008, J. Cosmol. Astro-Part. Phys., 10, 11 [Google Scholar]
- Buchert, T. 2008, General Relativity and Gravitation, 40, 467 [Google Scholar]
- Caldwell, R. R. 2002, Phys. Lett. B, 545, 23 [NASA ADS] [CrossRef] [Google Scholar]
- Carroll, S. M., Hoffman, M., & Trodden, M. 2003, Phys. Rev. D, 68, 023509 [NASA ADS] [CrossRef] [Google Scholar]
- Chevalier, M., & Polarski, D. 2001, IJMPD, 10, 213 [Google Scholar]
- Cognola, G., Elizalde, E., Nojiri, S. et al. 2008, Phys. Rev. D, 77, 046009 [NASA ADS] [CrossRef] [Google Scholar]
- Cole, S., Percival, W. J., Peacock, J. A., et al. 2005, MNRAS, 362, 505 [NASA ADS] [CrossRef] [Google Scholar]
- Corasaniti, P. S., Kunz, M., Parkinson, D., Copeland, E. J., & Bassett, B. A. 2004, Phys. Rev. D, 70, 083006 [NASA ADS] [CrossRef] [Google Scholar]
- Davis, T. M., Mörtsell, E., Sollerman, J., et al. 2007, ApJ, 666, 716 [NASA ADS] [CrossRef] [Google Scholar]
- Douspis, M., Riazuelo, A., Zolnierowski, Y., Blanchard, A. 2003, A&A, 405, 409 [NASA ADS] [CrossRef] [EDP Sciences] [Google Scholar]
- Douspis, M., Zolnierowski, Y., Blanchard, A., & Riazuelo, A. 2008, A&A, 488, 47 [Google Scholar]
- Efstathiou, G., & Bond, J. R. 1999, MNRAS, 304, 75 [NASA ADS] [CrossRef] [MathSciNet] [Google Scholar]
- Eisenstein, D. J., Hu, W. 1998, ApJ, 496, 605 [NASA ADS] [CrossRef] [Google Scholar]
- Eisenstein, D. J., Zehavi, I., Hogg, D. W., et al. 2005, ApJ, 633, 560 [NASA ADS] [CrossRef] [Google Scholar]
- Ferramacho, L. D., Blanchard, A., & Zolnierowski, Y. 2009, A&A, 499, 21 [NASA ADS] [CrossRef] [EDP Sciences] [Google Scholar]
- Freedman, W. L., Burns, C. R., Phillips, M. M., et al. 2009, ApJ, 704, 1036 [NASA ADS] [CrossRef] [Google Scholar]
- Frieman, J. A., Turner, M. S., & Huterer, D. 2008, ARA&A, 46, 385 [NASA ADS] [CrossRef] [Google Scholar]
- Gannouji, R., Polarski, D., Ranquet, A., & Starobinsky, A. A. 2006, J. Cosmol. Astro-Part. Phys., 9, 16 [Google Scholar]
- Hannestad, S. 2005, Phys. Rev. D, 71, 103519 [NASA ADS] [CrossRef] [Google Scholar]
- Ichikawa, K., & Takahashi, T. 2006, Phys. Rev. D, 73, 083526 [NASA ADS] [CrossRef] [Google Scholar]
- Kowalski, M., Rubin, D., Aldering, G., et al. 2008, ApJ, 686, 749 [NASA ADS] [CrossRef] [Google Scholar]
- Kessler, R., Becker, A. C., Cinabro, D., et al. 2009, ApJS, 185, 32 [NASA ADS] [CrossRef] [Google Scholar]
- Lampeitl, H., Nichol, R. C., Seo, H.-J., et al. 2010, MNRAS, 401, 2331 [NASA ADS] [CrossRef] [Google Scholar]
- Linder, E. 2003, Phys. Rev. Lett., 90, 091301 [NASA ADS] [CrossRef] [PubMed] [Google Scholar]
- Linder, E. V., & Huterer, D. 2005, Phys. Rev. D, 72, 043509 [NASA ADS] [CrossRef] [Google Scholar]
- Linden, S., & Virey, J.-M. 2008, Phys. Rev. D, 78, 023526 [NASA ADS] [CrossRef] [Google Scholar]
- Maor, I., Brustein, R., & Steinhardt, P. J. 2001, Phys. Rev. Lett., 86, 6 [NASA ADS] [CrossRef] [PubMed] [Google Scholar]
- Nolta, M. R., Dunkley, J., Hill, R. S., et al. 2009, ApJS, 180, 296 [NASA ADS] [CrossRef] [Google Scholar]
- Percival, W. J., Nichol, R. C., Eisenstein, D. J., et al. 2007, ApJ, 657, 645 [NASA ADS] [CrossRef] [Google Scholar]
- Percival, W. J., Reid, B. A., Eisenstein, D. J., et al. 2010, MNRAS, 401, 2148 [NASA ADS] [CrossRef] [Google Scholar]
- Perlmutter, S., Aldering, G., Goldhaber, G., et al. 1999, ApJ, 517, 2, 565 [NASA ADS] [CrossRef] [Google Scholar]
- Pierpaoli, E., Scott, D., & White, M. 2001, MNRAS, 325, 77 [NASA ADS] [CrossRef] [Google Scholar]
- Ratra, B., & Peebles, P. J. E. 1988, Phys. Rev. D, 37, 3406 [NASA ADS] [CrossRef] [MathSciNet] [Google Scholar]
- Reid, B. A., Percival, W. J., Eisenstein, D. J., et al. 2010, MNRAS, 404, 60 [NASA ADS] [CrossRef] [Google Scholar]
- Reichardt, C. L., Ade, P. A. R., Bock, J. J., et al. 2009, ApJ, 694, 1200 [NASA ADS] [CrossRef] [Google Scholar]
- Riess, A. G., Filippenko, A. V., Challis, P., et al. 1998, AJ, 116, 1009 [NASA ADS] [CrossRef] [Google Scholar]
- Riess, A. G., Strolger, L.-G., Casertano, S., et al. 2007, ApJ, 659, 98 [NASA ADS] [CrossRef] [Google Scholar]
- Shafieloo, A., Sahni, V., & Starobinsky, A. A. 2009, Phys. Rev. D, 80, 101301 [Google Scholar]
- Sánchez, A. G., & Cole, S. 2008, MNRAS, 385, 830 [NASA ADS] [CrossRef] [Google Scholar]
- Tegmark, M., et al. 2006, Phys. Rev. D, 74, 123507 [Google Scholar]
- Virey, J.-M., Taxil, P., Tilquin, A., et al. 2005, Phys. Rev. D, 72, 061302 [NASA ADS] [CrossRef] [Google Scholar]
- Wood-Vasey, W. M., Miknaitis, G., Stubbs, C. W., et al. 2007, ApJ, 666, 694 [NASA ADS] [CrossRef] [Google Scholar]
All Tables
Table 1:
Table resuming the obtained constraints for a pure CPL model (1), parameterization 8 with
(2),
(3) and assuming a constant w (4).
Table 2: Table resuming the obtained constraints different combinations of data and setting w+=-0.2 and w-=-1.
Table 3: Table resuming the obtained constraints using different combinations of data and setting w+= -0.1 and w-=-1.
Table 4: Table resuming the constraints using different combinations of data and setting w+=0 and w-=-1.
Table 5: Table resuming the obtained constraints using the full combination of data (CMB+P(k)+SN Ia) and considering w- as a free parameter.
All Figures
![]() |
Figure 1:
Left: the evolution of the equation of state parameter of dark energy w(z)
from Eq. (8) is illustrated on this plot for a transition redshift
|
Open with DEXTER | |
In the text |
![]() |
Figure 2:
Expected shape for the correlation function in units of |
Open with DEXTER | |
In the text |
![]() |
Figure 3:
2D contours at 68% and 95% confidence level, for the parameters
w0=1/2(w++w-) and
w1=1/2(w+-w-), setting
|
Open with DEXTER | |
In the text |
![]() |
Figure 4:
Confidence regions at 68% and 95% level for the transition epoch |
Open with DEXTER | |
In the text |
![]() |
Figure 5:
Confidence regions at 68% and 95% level for the transition epoch |
Open with DEXTER | |
In the text |
![]() |
Figure 6:
Confidence regions at 68% and 95% level for the transition epoch |
Open with DEXTER | |
In the text |
![]() |
Figure 7:
Confidence regions at 68% and 95% level for the transition epoch |
Open with DEXTER | |
In the text |
![]() |
Figure 8:
Confidence regions at 68% and 95% level for the transition epoch |
Open with DEXTER | |
In the text |
![]() |
Figure 9:
Confidence regions at 68% and 95% level for the transition epoch |
Open with DEXTER | |
In the text |
Copyright ESO 2010
Current usage metrics show cumulative count of Article Views (full-text article views including HTML views, PDF and ePub downloads, according to the available data) and Abstracts Views on Vision4Press platform.
Data correspond to usage on the plateform after 2015. The current usage metrics is available 48-96 hours after online publication and is updated daily on week days.
Initial download of the metrics may take a while.