Issue |
A&A
Volume 514, May 2010
|
|
---|---|---|
Article Number | A99 | |
Number of page(s) | 13 | |
Section | Planets and planetary systems | |
DOI | https://doi.org/10.1051/0004-6361/200913339 | |
Published online | 28 May 2010 |
Polarimetry and photometry of the
peculiar main-belt object 7968 = 133P/Elst-Pizarro![[*]](/icons/foot_motif.png)
S. Bagnulo1 - G. P. Tozzi2 - H. Boehnhardt3 - J.-B. Vincent3 - K. Muinonen4,5
1 - Armagh Observatory, College Hill, Armagh BT61 9DG, Northern
Ireland, UK
2 - INAF - Osservatorio Astrofisico di Arcetri, Largo E. Fermi 5, 50125
Firenze, Italy
3 - Max-Planck-Institut für Sonnensystemforschung, Max-Planck-Strasse
2, 37191 Katlenburg-Lindau,
Germany
4 - Observatory, PO Box 14, 00014 University of Helsinki, Finland
5 - Finnish Geodetic Institute, PO Box 15, 02431 Masala, Finland
Received 22 September 2009 / Accepted 26 January 2010
Abstract
Context. Photometry and polarimetry have been
extensively used as a diagnostic tool for characterizing the activity
of comets when they approach the Sun, the surface structure of
asteroids, Kuiper-Belt objects, and, more rarely, cometary nuclei.
Aims. 133P/Elst-Pizarro is an object that has been
described as either an active asteroid or a cometary object in the main
asteroid belt. Here we present a photometric and polarimetric study of
this object in an attempt to infer additional information about its
origin.
Methods. With the FORS1 instrument of the ESO VLT,
we have performed during the 2007 apparition of 133P/Elst-Pizarro
quasi-simultaneous photometry and polarimetry of its nucleus at nine
epochs in the phase angle range
.
For each observing epoch, we also combined all available frames to
obtain a deep image of the object, to seek signatures of weak cometary
activity. Polarimetric data were analysed by means of a novel physical
interference modelling.
Results. The object brightness was found to be
highly variable over timescales <1 h, a result fully
consistent with previous studies. Using the albedo-polarization
relationships for asteroids and our photometric results, we found for
our target an albedo of about 0.06-0.07 and a mean radius of about
1.6 km. Throughout the observing epochs, our deep imaging of
the comet detects a tail and an anti-tail. Their temporal variations
are consistent with an activity profile starting around mid May 2007 of
minimum duration of four months. Our images show marginal evidence of a
coma around the nucleus. The overall light scattering behaviour
(photometry and polarimetry) resembles most closely that of F-type
asteroids.
Key words: comets: individual: 7968 133P/Elst-Pizarro - minor planets, asteroids: individual: 7968 133P/Elst-Pizarro - techniques: polarimetric - techniques: photometric
1 Introduction
Light scattering of minor solar system bodies, such as asteroids, comets, and Kuiper-Belt objects, plays a central role in determining global physical parameters such as size and albedo, and the detailed understanding of the surface structure such as micro structure and single scattering albedo of the body surface (Muinonen 2004). This applies to both remote sensing observations from Earth and to in situ measurements during spacecraft encounters. Light scattering is studied by means of photometric and linear polarimetric measurements obtained at different phase angles, i.e., the angle between the Sun, the object, and the observer. The way in which photometry and linear polarization change as a function of the phase angle helps us to characterize the scattering medium, in both the case of solid surfaces and dust ejecta around comets.
The phase angle range between 0
and about 30
is of particular interest. At small phase angles
,
the linear polarization of small bodies in the solar system is usually
parallel to the scattering plane, in contrast to
what is expected from the simple single Rayleigh-scattering or
Fresnel-reflection model, and the intrinsic brightness may increase
above the normal linear brightening with phase angle. Both phenomena
are a consequence of the surface micro structure and usually attributed
to the combined action of the shadowing effect and the coherent
backscattering of light. At larger phase angle values, the value of the
polarization minimum, the inversion angle at which the polarization
changes from being parallel to the scattering plane to becoming
perpendicular to it, and the slope of the polarimetric curve at the
cross-over point differ for asteroids of different surface taxonomy and
may even be used to assess the albedo of the object.
The systematic research and classification of the linear polarimetric and photometric phase functions for the zoo of small bodies in the solar system remains in its infancy, mostly because of a lack of good coverage by measurements for the various objects types to be considered (for instance, asteroids, cometary nuclei, Kuiper-Belt objects, Trojans, minor satellites). Photometric and polarimetric techniques have been used to study asteroids (e.g., Muinonen et al. 2002), Kuiper-Belt objects (e.g., Bagnulo et al. 2008; Boehnhardt et al. 2004; Bagnulo et al. 2006), and the activity of comets while approaching the Sun, (e.g. Penttilä et al. 2005). In contrast, photometric and polarimetric data of cometary nuclei are scarce in the literature. Photometric phase functions of cometary nuclei are available for fewer than a dozen of objects (see Lamy et al. 2007a,c; Boehnhardt et al. 2008; Lamy et al. 2004; Li et al. 2007a,b; Snodgrass et al. 2008; Lamy et al. 2007b; Tubiana et al. 2008). The polarization of cometary nuclei is even less observed and studied than photometry. To the best of our knowledge, only a single comet nucleus, that of 2P/Encke, has been observed in polarized light (Boehnhardt et al. 2008), over an extented phase-angle range. Although the shape of the polarimetric curve of 2P/Encke resembles to those of asteroids, the numerical values of the polarization minimum, slope, and inversion phase-angle differ remarkably from those of other small bodies (including asteroids) in the solar system measured so far.
Here we present new observations of 133P/Elst-Pizarro, an object classified as both a comet and an asteroid (7968 Elst-Pizarro) and seems to be by its nature in between comets and asteroids. It is a small km-size body (Hsieh et al. 2009) that belongs to the type of so-called main-belt comets (MBC, Hsieh & Jewitt 2006) of which only five objects are known so far - P/2005 U1 (Read), 176P/(118401) LINEAR, P/2008 R1 (Garradd), and P/2010 A1 (LINEAR) are the four others. It has an orbit rather typical of main-belt asteroids, for which reason it is also designated as asteroid, is similar to the Themis collision family, or a sub-family of it, called the Beagle family, (Nesvorny et al. 2008). It was discovered in 1996 by Elst et al. (1996) at the European Southern Observatory (ESO) in La Silla (Chile); at that time it displayed a long thin dust tail, which triggered its initial designation as a comet. Although details of the activity's origin are as yet unknown, the activity producing the tail seems to be recurrent and occur close to perihelion passage, while the object may be inactive over the remainder of its orbit around the Sun (Hsieh et al. 2004; Jewitt et al. 2007). Rather than a mostly inactive comet, 133P/Elst-Pizarro is nowadays more commonly regarded as an asteroid with an ice reservoir, which periodically sublimates, with consequent material ejection (Hsieh et al. 2004; Toth 2006; Boehnhardt et al. 1997).
2 Observations
Polarimetric and photometric observations of 133P/Elst-Pizarro were
obtained in service mode at the ESO Very Large Telescope (VLT) from May
to September 2007, with the FORS1 instrument (Appenzeller et al. 1998),
using broadband Bessell R and V
filters. Linear polarization measurements were obtained at nine
different epochs, one before perihelion (in May 2007), and the
remaining eight after perihelion (from July to
September 2007). Each series of polarimetric observations
consisted of a 30 s acquisition image obtained in the R
Bessell filter without polarimetric optics, and a series of images
obtained with the half waveplate set at 12 to 24 position
angles in the range 0-337.5
,
in steps of 22.5
,
both with R and V Bessell
filters. We also obtained photometric imaging in R
and V Bessell filters (i.e., without polarimetric
optics) at the same
nine epochs (quasi-simultaneous to the polarimetric series).
We performed a preliminar inspection of the Line of Sight Sky
Absorption Monitor
(LOSSAM) plots of each observing night showing the atmospheric
conditions on site, and we found that for all epochs, except one, sky
transparency was close to photometric at the time of the observations.
Night 29 to 30 August 2007,
corresponding to our target
at phase-angle =15.3
,
was cloudy. For polarimetry, the only impact is in terms of a reduced
signal-to-noise ratio, while photometric measurements and tail length
measurements obtained during
that night should not be considered reliable. Some of the frames
obtained on 24 September could not be used because of background
objects overlapping the image of 133P/Elst-Pizarro.
3 Data analysis
Both polarimetric and photometric data, including acquisition frames and science frames, were pre-processed in a similar way. Frames were bias-subtracted using a master bias obtained from a series of five frames taken the morning after the observations, then divided by a flat-field obtained by combining four sky flat images taken during twilight with no use of polarimetric optics. From this point, we proceeded with different strategies tailored to the specific analysis that we aimed to perform.
3.1 Deep imaging and tail analysis
Deep imaging of 133P/Elst-Pizarro was obtained by coadding the
polarimetric images as follows. For each frame, we considered
separately the two images with opposite polarization that are split by
the Wollaston prism, from which we subtracted the background using SEXTRACTOR with the mesh
option. ``Full resolution'' background images were checked to ensure
that they were constant around the target, and that background
subtraction neither remove nor added small scale features. We then
coadded the two images with opposite polarization for each of the
frames obtained at various positions of the retarder waveplate. These
frames were corrected for their corresponding airmass values.
Extinction coefficients, colour correction terms, and zeropoints were
obtained from the observations performed within the framework of the
FORS1 instrument calibration plan. For the R
filter, we adopted the values of
and
for the extinction and the colour correction, respectively; for the V
filter, we adopted
and
.
For the colour indices of 133P/Elst-Pizarro we adopted
V-R=0.41 and B-V=0.60,
which are close to solar colours. However, the instrument calibration
plan does not include photometric calibration of the images obtained
with the polarimetric optics, and the transmission function of the
polarimetric optics is documented in neither the FORS user manual nor
the literature. We therefore performed a quick photometric calibration
of the images obtained with the polarimetric optics by comparing the
flux of the same objects observed with and without polarimetric optics.
We estimated that the absorption of the polarimetric optics is about
0.60 and 0.54 mag in R, and V,
respectively. Instrument zeropoints for the polarimetric mode were thus
calculated by subtracting 0.60 or 0.54 from the night zeropoints
obtained within the context of the instrument calibration plan in
imaging mode. We note that this correction was obtained without
accounting for a change in the extinction and colour coefficients
caused by the polarimetric optics. The impact of this approximation
should be minimal, relative to the uncertainties discussed in
Sect. 3.3.
All frames obtained during a single epoch were
average-combined using a -clipping
algorithm, adopting the pixel median value as a
center for clipping, and calculating the average of
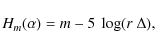
the non-clipped pixels. These combined images were then calibrated in Af,
where A is the albedo and f the
filling factor, using Eq. (1) of Tozzi
et al. (2007)
![]() |
(1) |
where r is the heliocentric distance in AU,




Images were finally magnified using a scale factor
![]() |
(2) |
where

![]() |
Figure 1:
Contour plots of Af in R and V
Bessell filter ( left and right columns,
respectively). North is up, and east to the left. The black arrow and
red arrow represent the direction of the Sun, and the negative target
velocity as seen from the observer in the plane of the sky,
respectively. The x and y axes
are in units of 103 km. Contour levels
are calibrated in Af (for explanations see text).
Contour levels correspond to
|
Open with DEXTER |
Figure 1 shows the contour plots of the coadded polarimetric images of 133P/Elst-Pizarro at the nine observing epochs, i.e., from 38 days before to 87 days after perihelion.
The image of 22 May 2007 shows a marginal indication of a tail
in the anti-solar direction. In all images obtained after perihelion,
we clearly detected one or two narrow tails, either at position angles
PA corresponding to the direction of the Sun, at 180
from it, or in both directions. Since the tails are seen in both V
and R filters, we conclude that they represent
dust-reflected sunlight (and not so much - or possibly not at all -
from gas emission). Table 1 provides
geometric information about the two tail features measured from the
images.
Table 1: Geometric information about the dust tails of 133P/Elst-Pizarro.
For comparison purpose, in Fig. 1 we adopted
the same contour levels for all epochs,
being the one at the smallest Af value. However, we
note that in all images, apart from one obtained before perihelion,
tails extend to a greater distance than indicated by the
contour level (although, below this value, background noise becomes
quite significant). The tail was detected with the highest
signal-to-noise ratio in the two images
obtained in July 2007, extending at least up to
25 000 km from the photometric centre of the object,
pointing toward the Sun. We note that because of projection
foreshortening, the measured length of the tail in the sky compares to
a much longer extension in space. In the images obtained on July 13,
and in the regions at projected distance between 6000 and
20 000 km, we estimate that the scattering
cross-section of the tail (i.e., the projected surface multiplied by
the albedo) is
about 0.27 km2 and 0.19 km2
in the R and V filter,
respectively. In the images obtained on July 17 for the same regions,
we measure about 0.24 km2 and
0.21 km2 in the R
and V filter, respectively. Figure 2 shows the
contour plot for the combined image obtained on July 17 in the R
filter setting for the lower contour level curve of value
.
![]() |
Figure 2:
Contour plots of Af in R
Bessell filter for the combined image obtained on July 17. Contour
levels correspond to
|
Open with DEXTER |
In August, we detected, apart from the primary tail, a weak secondary tail, which then prevailed in brightness over the first tail in the two images obtained in September 2007. Hereafter, the primary one will be referred to as ``Tail 1'', the secondary tail as ``Tail 2''. Tail 1 points westward, i.e., close to opposition it is directed towards the Sun. It appears as an anti-tail (a sun-ward pointing dust tail) in our July 2007 image, and thereafter as a normal tail. It is brighter than Tail 2 before about mid-August 2008, then fades away and is no longer detectable in our last exposure series on 24 September 2007. Tail 2 in the eastern hemisphere always appears as an anti-tail. It is first imaged in early August 2007 as a short eastward extension in the isophote pattern in Fig. 1, then brightens above Tail 1 by the end of August, and remains detectable until the end of our observations in late September 2007. The appearance of the two tails in 133P/Elst-Pizarro resembles in terms of its behaviour the dust phenomena observed in this object in 1995 and described by Boehnhardt et al. (1997).
Using the Finson-Probstein (FP) code (Beisser 1990; Beisser &
Drechsel 1992), we could develop a qualitative and in part
also quantitative understanding of the dust activity
of 133P/Elst-Pizarro. The FP code allows one to calculate and
display the so-called synchrone-syndyne pattern of cometary dust tails,
where synchrones represent the location of the dust emitted from the
nucleus at the same time and
syndynes represent the dust subject to the same solar radiation
pressure characterized by the
parameter, the ratio of the force of solar radiation pressure to that
of the gravity of the Sun. During perihelion passage in 2007,
the synchrone-syndyne pattern of 133P/Elst-Pizarro shows a very dense
and narrow grid of overlapping lines, indicating a very narrow and
spiky dust tail. It also suggests that the two observed tails are
phenomena of projection caused by a
single dust tail, formed by the dust activity of the object that lasted
over a certain period around perihelion. Owing to the low orbital
inclination of 133P/Elst-Pizarro, the dust tail is seen almost
edge-on from Earth during the whole observing interval. Depending on
the observing dates, the FP calculations show that the two tails
represent different dust grain populations, emitted by the nucleus at
different time before the observing epoch and located on different
sides of the nucleus as projected onto the sky of the observer on
Earth. The projection-induced transition between Tails 1 and 2
happened shortly after opposition passage of the object on 20 July
2007.
From the images, we conclude that the dust activity of 133P/Elst-Pizarro was very low (or even absent) during our first observing night (22 May 2007) 38 days before perihelion (top panels of Fig. 1). However, the presence of Tail 1 on 30 August 2007, and possibly on 19 Sept. 2007, suggests that significant dust activity had started shortly (a few days) after 22 May 2007, since the dust grains seen in this tail region must have been released by the nucleus about 100 days or more before the date of observation, i.e., in late May 2007. On the other side, the existence of Tail 2 in September 2007 is indicative of dust release by the nucleus that was still ongoing by the time of our observations, i.e., almost 90 days after perihelion passage.
The extension of Tail 2 from the nucleus allows us to estimate
an approximate maximum
value for grains in the most distant region of this tail: we found a
maximum
of
about 0.15, which is characteristic for instance of a few
m or ten
m size
grains from silicate or absorptive materials. On 9 August 2007, the
width of Tail 1 is about 1000 km at a projected distance of
5000 km from the nucleus indicating a slow (out-of-plane)
expansion speed of
the dust of only about 1.5 m/s. The tail width on 13 and 17
July 2007 at the same distance range (4000-5000 km) was
measured to be 1750 and 2250 km, respectively, which results
in an expansion speed out of the orbital plane of about
1.45 m s-1. Both results
support the conclusions of a low expansion velocity of the dust grains
in this object.
Finally, to obtain tighter constraints of the tail(s)
brightness, we calculated the average Af at
different distances along the direction identified by the tail(s). We
measured the average flux in rectangular areas of 20 pixels, five along
the direction identified by the tail, and four in the direction
perpendicular to it.
Figure 3
shows the Af in the R and V
filters, and the colour index V-R,
versus distance from the photometric centre of the object. The points
at positive distances refer to Tail 1, and those at negative distances
refer to Tail 2. The V-R points
of the rightmost panels were plotted only when flux was detected in
both filters at the minimum 2
level. The V-R colour of the
tails is about 0.4. It is mostly constant along the tail axes, and
close to a neutral intrinsic colour typical of a flat spectrum in the
visible. It is also in good agreement with the V-R
colour of the nucleus itself (see Sect. 3.3). The
neutral colour of the dust tails is compatible with light scattering by
grains that were much larger than the wavelengths of the filter
measurements. It also implies that the surface material and the dust
released by 133P/Elst-Pizarro is not ``red'' as frequently observed for
cometary dust and considered indicative of the space weathering effects
on the surface materials.
![]() |
Figure 3: Tail Af measured along the direction identified by the tail, with respect to the photometric center, and tail colour indices V-R. In the left and middle column panels, green lines show the zero axes (corresponding to the nucleus position). In the right panels, they correspond to the colour index derived for the nucleus. |
Open with DEXTER |
3.2 Searching for coma activity
We provide a formal description of our approach to evaluate coma contribution from our measurements. This is based on a strategy originally developed by Tozzi & Licandro (2002) and Tozzi et al. (2004). Thereafter, we describe the results of the analysis performed on the combined polarimetric images of 133P/Elst-Pizarro.
We assume that the number of detected electrons e-
of the object per unit of time within a circular aperture of radius a,
,
is the sum of the contribution of the nucleus,
,
plus the contribution of the coma,
and, possibly, a spurious contribution
,
due to non-perfect background subtraction
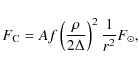
where a is the radius of the aperture in pixels. Following A'Hearn et al. (1984), the flux of a (weak) coma around the nucleus in a certain wavelength band can be written as
where A is the mean albedo (unitless), f is the filling factor (unitless),







where


Plotting



Assuming that the nucleus is a point source, the term
is the point spread function, and, for apertures sizes that are large
compared to the seeing, should tend to zero. If an extended coma
is present, we expect a contribution from the term
constant with a. The coma contribution can then be
evaluated by measuring the constant
as a weighted average of
in the aperture interval
[ai1,ai2],
with ai1
< ai2.
The
value can finally be used in Eq. (5) to
distinguish, for each aperture value, the flux due to the coma and that
due to the nucleus. In particular, the former one increases linearly
with aperture, and the latter should appear constant at the aperture
values at which
is constant, and which were used to determine
.
The nucleus contribution
can then be transformed to magnitude m, following
the standard recipes for photometry. The coma contribution
can be transformed into astrophysically meaningful terms using the
quantity
introduced by A'Hearn
et al. (1984), using the formula
where r and




To test this algorithm, we used the frames obtained on
22 May 2007, when 133P/Elst-Pizarro exhibited the least
evidence of tail activity, and its image appeared relatively isolated
from background objects. We applied our algorithm to both
133P/Elst-Pizarro and an isolated background star of similar
brightness. Suitable comparison objects are extremely rare in our
images. During a series
of exposures, differential tracking causes background objects to shift
away from the field of view limited by the 22
wide strip mask used in
polarimetric mode. However, since individual
exposures were short (between 30 s and 100 s), star
trailing was limited always to less than 1 pixel size,
compared to a typical seeing of 4 pixels.
![]() |
Figure 4:
From top to bottom:
|
Open with DEXTER |
The results of our test are illustrated in Fig. 4, which shows
that for the background star
tends to zero for
pixels,
while for 133P/Elst-Pizarro
converges to a positive constant value. In Fig. 4, the
constant used to disentangle the
and
profiles was calculated by interpolating with a constant term the
profiles (shown in the middle panel) between 22 and 28 pixels.
For both the background star and 133P/Elst-Pizarro, all profiles were
normalised imposing that the fluxes integrated within a
15 pixel (=3.75
)
aperture are equal to 1.
The most critical issue is that the coma region (if a coma is
present at all) is contaminated by the tail contribution, which so far
we have implicitly neglected. Therefore, we transformed our images
into polar coordinates
and removed the regions within those azimuth ranges that were clearly
contaminated by tail(s) or background sources. The flux pertaining to a
certain annulus
was then calculated by
integrating the pixel values at the various
values contaminated by netiher tail nor background sources, multiplied
by a factor
to account for the image trimming. The errorbars in the
profiles were estimated by associating with the measured flux the
standard deviation of the distribution of the fluxes at the various
values. Finally, we applied an algorithm similar to that described in
the case of cartesian coordinates. The coma contribution was measured
in circular regions between 4500 and 9000 km from the nucleus
photo-centre.
The results of this analysis, shown in Fig. 5, are consistent
with there being a coma with
cm
detected at a 2-5
level. This result could well be ascribed
to stray light in the instrument (which may mimic a diffuse halo). We
therefore repeated the same analysis on the images of a number of
background stars at various observing epochs. We found that the ratios
were generally substantially higher for 133P/Elst-Pizarro than for
background objects. In conclusion, our data exclude the presence of a
coma with
cm,
but certainly do not allow us to rule out the possibility that a faint
coma, with
of the order of 1 cm or smaller, exists. Data shown in
Fig. 5
marginally suggest a change of the colour index, but reaching a firm
conclusion in that respect would require higher signal-to-noise ratio
data.
This value compares to a dust production rate of the order of 100 g s-1 (Boehnhardt et al. 2008), which would be one of the lowest level ever measured for a comet, although lasting most likely for several months around perihelion. Despite its large uncertainty (order of one magnitude), this dust production rate is still higher than that obtained by Hsieh et al. (2004), which could be caused by temporal variability in the nucleus activity and/or measurement and modeling errors (in both datasets). The most logical explanation of the almost absent coma and the narrow dust tails is low nucleus activity and the small terminal expansion velocity of the dust grains after release by the nucleus of 133P/Elst-Pizarro. Small dust expansion velocities can be concluded from estimations of the tails. Hence, the dust coma is weak and confined very much to the near-nucleus region, which makes it difficult to detect in the atmospheric seeing disk of the latter.
3.3 Nucleus photometry
![]() |
Figure 5:
|
Open with DEXTER |
For each observing night, our data set typically consists of an acquisition image in R, a series of 12 to 32 polarimetric images in V, followed by a series of 12 to 32 polarimetric images in R, and a series of two photometric images in R and two in V. Images were taken approximately two or three minutes apart, except for the photometric series, which was occasionally taken ten to thirty minutes before or after the polarimetric series. For each epoch, the set of photometric data consists of the acquisition image of the polarimetric series in R, the averaged frames obtained from all polarimetric images in R and V, and images obtained in R and V with no polarimetric optics.
For all images, we used aperture photometry, adopting an
aperture radius of 12 pixels
.
Our nucleus brightness measurements are contaminated by the emission of
a tail and (possibly) a coma. Tail emission was roughly taken into
account by subtracting, from the flux integrated in a circular aperture
of radius a (in pixels), the amount corresponding
to
per pixel,
multiplied by an area of 4 (a-2) pixels,
both for the R and the V
filter, for all observing epochs apart from the one before perihelion,
when the tail was very faint. For the adopted 12 pixel
aperture, this corresponds typically to a 0.1 mag correction.
Coma contribution was subtracted using the results of the previous
section. For a 12 pixel aperture,
this corresponds to a correction generally of the order of
0.1 mag. Finally, the apparent magnitudes were converted into
normalised magnitude using
where r and


For each observing epoch, we finally obtained a light curve
with a typical time baseline of the order of 1 h 15 m
to 1 h 30 m. At all the observing epochs, we could
clearly note that the object
photometry varyed within a short timescale ( h). The most extreme
case, shown in Fig. 6, is night
22 May 2007, during which we measured an amplitude of about
0.5 mag and 0.6 mag in R and V,
respectively, to be compared to a variability of
mag
measured for a nearby background star. In the observations obtained on
19 September 2007, which have the shortest time baseline of our dataset
(1.1 h), 133P/Elst-Pizarro exhibited the smallest brightness
variability
mag
in both filters. While in some cases, the variability of
133P/Elst-Pizarro may be explained by the close presence of background
objects or by changes in the sky transparency, in most of the cases the
observed variability is intrinsic to the object. Hsieh et al. (2004)
estimated a light curve amplitude of the order of 0.4 magnitude in R
filter, with a 3.471 h period. Earlier observations reported
substantially larger variability (see Hsieh
et al. 2004, and references therein), which may
indicate changes of the nucleus aspect angle along the orbit (although
some results reported previously may be affected by poor calibration).
![]() |
Figure 6: Photometry in the R (red circles) and V (blue squares) filters for 133P/Elst-Pizarro as function of time, obtained on 22 May 2007. Filled symbols refer to the photometry obtained from the polarimetric images, empty symbols refer to the photometry obtained from the images with no polarimetric optics in. Asterisks show the photometry obtained from the averaged polarimetric images. Point at t=0 is obtained from the acquisition image of the polarimetric series. |
Open with DEXTER |
Table 2: Photometry of comet 133P/Elst-Pizarro.
We note that our observational dataset may possibly be suited
to a detailed period analysis based on differential photometry, which
is beyond the scope of this paper. The aim of our photometric
measurements is to determine, by extrapolating of the brightness
measured at various phase angles, an estimate of the absolute
brightness of the object nucleus at phase angle 0.
With this in mind, the uncertainty introduced by using simple aperture
photometry (as opposed to the PSF fitting method), and by a less than
optimal photometric characterization of the observing nights, is
negligible compared to the variability of the object due to its
rotation. The major contribution to the errorbars comes from the
uncertainty in the zeropoints, and in both the tail and coma
contributions, the sum of which was finally estimated to be
0.1 mag for all points.
Our results are given in Table 2 and
plotted in Fig. 7.
The slopes of the brightness curves are
mag/deg
in R, and
mag/deg
in V, indicating a phase darkening coefficient in
the range typical of cometary nuclei. The extrapolated average
brightnesses at phase angle =0
are
and
in the R and V filters,
respectively, resulting in an average colour index V-R=0.38,
which is equivalent to an average spectral gradient of
+2%/100 nm in the V and R wavelength
range, i.e., the intrinsic color of 133P/Elst-Pizarro appears to be
neutral, and a flat solar reflectance spectrum in the visible is
expected, at least beyond about 500 nm.
![]() |
Figure 7: Photometry in the R (red circles) and V (blue squares) filters for 133P/Elst-Pizarro as function of the phase angle. Solid lines show the corresponding linear best-fits. Points that were not used to calculate the best-fit are represented with empty symbols. |
Open with DEXTER |
The absolute brightness of 133P/Elst-Pizarro in R and V filter clearly increases towards zero phase angle, but no indication of an opposition brightening is found. Deviations from linearity may be caused by measurement errors and (mostly) rotation variations of the elongated body (Hsieh et al. 2004, give a minimum axis ratio of 1.45 and a rotation period of 3.471 h). The absolute brightnesses at zero phase-angle correspond to an average equivalent radius of 1.6 km (range is 1.64-1.72 km in R to 1.47-1.57 km in V), assuming the 0.07 and 0.06 albedo values (in R and V, respectively) obtained from our polarimetric measurements.
We finally compare our results with those of previous studies, noting that previous photometric measurements were obtained more than four months (Boehnhardt et al. 1997) and more than seven months (Hsieh et al. 2004) after perihelion in 1996 and 2002, respectively, while the measurements presented in this work cover the orbit arc from about one month before to three months after perihelion in 2007.
Hsieh et al. (2004)
and Jewitt et al. (2007)
found a phase darkening coefficient
mag/deg
and an average V-R color of
,
which are fully consistent with our own measurements. We note that
colour indices obtained from quasi-simultaneous images in R
and V vary between 0.29 and 0.48, which is
marginally larger than reported by Hsieh
et al. (2004), who measured V-R
varying between 0.35 and 0.49.
Table 3: Polarization measurements of 133P/Elst-Pizarro.
The nucleus size has been previously estimated (neglecting
possible contamination from coma and tails) to be about
km
assuming an albedo of 0.04, which is also consistent with our values
when applying identical albedo parameters. Hsieh
et al. (2009) give an equivalent radius of the
nucleus of 133P/Elst-Pizarro of
km for a geometric
albedo of 0.05.
We note that the variation amplitudes of 0.5 to 0.6 mag seen in our photometric data over time intervals between 1 h and 1.5 h, compare to a minimum aspect ratio (ratio of the long to short axes lengths for a prolate ellipsoid rotating about its small axis) of about 1.6 to 1.7. These values are slightly larger than that measured by Hsieh et al. (2004), which could be due to the different aspect angles of the varying nucleus cross-section along the orbit of the object.
![]() |
Figure 8:
The measured |
Open with DEXTER |
3.4 Imaging polarimetry
![]() |
Figure 9:
Distribution of the |
Open with DEXTER |
Polarimetry was calculated using the method outlined, e.g., by Bagnulo et al. (2006)
and Bagnulo et al. (2008).
Null parameters (see Bagnulo
et al. 2009) were also systematically calculated to
check the reliability of the results. The final reduced Stokes
parameters
and
were obtained by adopting as a reference direction the perpendicular to
the great circle passing through the object and the Sun, using
Eq. (5) of Bagnulo
et al. (2006). In this way,
represents the flux perpendicular to the plane defined by the Sun,
Object, and Earth (the scattering plane) minus the flux parallel to
that plane, divided by the sum of these fluxes. Our final polarimetric
measurements are reported in Table 3.
Figure 8
shows
results as a function of the phase angle in both filters.
For symmetry reasons,
values are always expected to be zero, and inspection of their values
allows us to perform an indirect quality check of the
values. Figure 9
shows the distribution of the
values in the R and V filters
expressed in errorbar units. Since the distribution appears to be
peaked at about zero, and none of the
values exceed a 3-
detection, this test represents a positive quality check of our
polarimetric measurements of 133P/Elst-Pizarro.
3.4.1 Polarimetry of the tail
We attempted to measure the polarization of the tail, but, not
unexpectedly, the low signal-to-noise ratio prevented us from obtaining
accurate measurements. The highest precision was reached in the images
obtained on 13 July 2007 and 17 July 2007,
where
and
could be measured with a
% errorbar. In the R
filter, we integrated the signals over an area of 110 and
130 pixels, respectively, and we obtained
%
and
%
on 13 July 2007, and
%
and
%
on 17 July 2007. On the image obtained on 5 August 2007, we integrated
over a 40 pixel area of the tail, and we obtained
%
%.
In all cases, the null parameters were consistent with zero at the 1.5
level.
3.4.2 Identifying the polarization of the nucleus
We now discuss whether our measurements can be considered representative of the nucleus of 133P/Elst-Pizarro, and to what extent they are contaminated by the coma and tail of the object.
We used the results obtained in the polar coordinate system to
estimate the true fluxed produced by the nucleus of 133P/Elst-Pizarro
within the aperture used for our polarimetric measurements (see
Col. 8 of Table 3), and we found
that for the apertures selected for the polarimetric measurements, the
contributions from the coma were between 0.05 and 0.1 mag,
while the contribution
from tail was generally 0.02-0.03 mag. We can therefore assume
that, for the aperture values used for polarimetry, at least about 90%
of the measured flux is related to the nucleus contribution. Assuming
that the flux contribution due to coma and tail is entirely produced by
a dust scattering mechanism rather than gas emission, we conclude that
the radiation due to coma and tails is either parallel to the light
reflected by the nucleus, or perpendicular to it. This hypothesis is
supported by all of our
measurements being consistent with zero. Following Eq. (1) of Bagnulo et al. (2008),
we can thus write the nucleus polarization
as
![]() |
(9) |
where






3.4.3 Characterization of the polarimetric curve
As for the large number of atmosphere-less solar system bodies, the
nucleus of the 133P/Elst-Pizarro exhibits the phenomenon of negative
polarization: at small phase angles, the electric field vector
component parallel to the scattering plane predominates over the
perpendicular component, in contrast to what is expected from the
simple single Rayleigh-scattering or Fresnel-reflection model. This
phenomenon is generally explained in terms of coherent backscattering
(e.g., Muinonen 2004).
For small bodies of the solar system, the polarization reaches a
minimum value generally between phase angle 7
and 10
,
and becomes positive at phase angles of between 17
and 22
(e.g., Penttilä et al. 2005).
In conclusion, for those small bodies for which it is possible to
measure the behaviour of the polarization for an extended range of
phase angles, three important characteristics can be measured well, and
used to perform an empirical classification: the minimum polarization
and its corresponding phase angle, the slope of the polarimetric curve
in the linear part beyond polarization minimum, and the inversion angle
at which the polarization changes from being parallel to the scattering
plane and becomes, at larger phase angles, perpendicular to the
scattering plane. Following these guidelines, we perform an analysis of
our polarimetric data for the nucleus of 133/Elst-Pizarro.
Inspection of Fig. 8
shows that measurements in both the R and V
filters agree within the errors (except for a point at phase angle 3).
Nevertheless, we perform our basic analysis based on the measurements
obtained in the R and V filters
separately.
The best-fit relation obtained using a second order polynomial
(constrained to pass through the origin) shows that in the R filter,
the minimum is reached at phase angle
,
for a minimum polarization value of
%.
In the V filter, the minimum is reached at phase
angle
,
with a minimum polarization value of
%.
The positive crossover, when the observed polarization changes sign
from negative to positive, is at phase angle
in the R filter, and at phase angle
in the V filter.
Using a second order polynomial, the slope of the polarization
depends clearly on the phase angle in which it is calculated. With
reference to the the crossover point, the polarization
slopes are

and

for the R and the V filter, respectively. We note however that these estimates are obtained based on the assumption that the measurements may be fitted with a second order polynomial.
![]() |
Figure 10:
Polarimetric observations of the nucleus of comet 2P/Encke (
left panel)
and of 133P/Elst-Pizarro ( right panel), modeled
using MCMC for the empirical linear-exponential model. Blue squares
refer to V Bessell filter, and red circles to R
Bessell filter. For 2P/Encke, red and blue asterisks refer to narrow
band filters centred about 834 and 485 nm, respectively. The
best-fit models are shown with solid line, while the 3 |
Open with DEXTER |
3.4.4 Relationships between polarization and albedo
For asteroids, two empirical relationships have been found between the
polarization characteristics and the albedo, namely, both slope and
polarization minimum seem to be related to the geometric albedo of the
body by means of a simple expression as given, e.g., by Lupishko & Mohamed (1996)
and
where p is the albedo,






The average albedo value obtained from our polarization
measurements agrees remarkably well with that determined via the
classical method of combined visible and thermal flux measurements of
133P/Elst-Pizarro, i.e.,
as published by Hsieh
et al. (2009). However, it remains to be shown that
the albedo-polarization relationships are indeed applicable to our
target since they were verified and calibrated using asteroid data for
different taxonomic types than those that we have found for
133P/Elst-Pizarro (see Sect. 4).
Table 4: MCMC parameters for 133P/Elst-Pizarro, 2P/Encke, and (1) Ceres.
4 Discussion
There are two main aspects to the properties of 133P/Elst-Pizarro. On the one hand, it is located in the asteroid belt with an orbit similar to the Themis collision family or a subgroup of it, the Beagle family, and over a large part of its orbital revolution it appears asteroid-like. On the other hand, around and after perihelion it displays activity producing a dust tail, as comets do. In the following, we discuss whether our new polarimetric measurements could help us to identify whether it is an asteroid (with cometary activity) or a comet (scattered into the asteroid belt).
We first compare the polarimetric curve of the nucleus of
133P/Elst-Pizarro with that of the nucleus of comet 2P/Encke (Boehnhardt et al. 2008)
by making use of the scattering parametrisation provided in Muinonen
et al. (2009b,a). By using lines of electric
dipoles with an inverse-gamma distribution for the line lengths, and by
estimating the parameters with a Markov-Chain Monte-Carlo (MCMC) method
(see, e.g., Muinonen
et al. 2009b), we have computed, for
133P/Elst-Pizarro and 2P/Encke, physical interference models. The eight
parameters of the full model are: the exponents or shape parameters s1
and s2 and the scale
parameters y1 and y2
of the inverse-gamma distributions for the two polarization states
(subscripts 1 and 2 are for positive and negative states,
respectively); the complex amplitude Z and
interdipole distance kd3 (
is the wave number and d3
the physical distance) for the longitudinal electric-dipole
contribution; and the normalized weight w of the
Rayleigh-like contribution to the polarization curve.
For 133P/Elst-Pizarro and 2P/Encke, reduced six parameter
models already suffice to explain the polarimetric observation. We
assume that s1=s2=s
and fix .
Least squares fitting analysis and MCMC sampling provide the
polarization curve corresponding to the best-fit relations (solid
lines), and in the 3
error envelopes (dashed lines) depicted in Fig. 10. Best-fit model
parameters and their 3
errors are given in Table 4.
Among the parameters, the weights w, exponents s
and scale parameters y1 and y2
are of importance for the present study. The weights w
obtained realistic values w > 0.5, which, in
the physical model, indicate a positive contribution from point-like
Rayleigh scatterers in addition to the contributions from the lines of
dipoles. The exponents s and the scale parameters y1
and y2 are loosely
constrained by the polarimetric data in the current case of
considerable observational errors.
In addition to 2P/Encke and 133P/Elst-Pizarro, the physical model has so far been applied only to the polarimetric data of asteroid (1) Ceres (Muinonen et al. 2009b). The corresponding best-fit model parameters are given in Table 4.
We conclude that it is too early to reach definitive
conclusions using MCMC models, beyond that the polarization
characteristics of 133P/Elst-Pizarro are closer to those of
(1) Ceres than those of
2P/Encke. The polarimetric slope at the inversion angle is larger for
133P/Elst-Pizarro than for (1) Ceres. All three weights w
can overlap within their 3-
error domains and the same is true for the scale parameter y2.
Mainly in terms of the scale parameter y1,
2P/Encke differs from the others.
A more statistically meaningful approach is offered by a straight comparison of the photometric and polarimetric properties of 133P/Elst-Pizarro with those of different types of asteroids, cometary dust, Centaurs and Kuiper-Belt objects. Table 2 of Boehnhardt et al. (2008) lists the typical numerical values for albedo, slope of the photometric phase function, spectral gradient, minimum polarization and the related phase angle, slope of the polarization phase function, inversion angle, and spectral gradient of the polarization for different classes of small bodies of the solar system. A comparison with the values of 133P/Elst-Pizarro derived in this work allows us to conclude that 133P/Elst-Pizarro does not exhibit the typical properties of Kuiper-Belt objects and Centaurs, C, S, E and M type asteroids, cometary dust, while there is a rather good agreement in all parameters with those of F-type asteroids.
F-type asteroids are considered to be primitive (Bus et al. 2002), and they are sometimes claimed to be related to comet-like objects (Weissman et al. 2002). A weakness in this comparison is the meager knowledge of polarimetric parameters of certain types of small bodies, such as cometary nuclei, Centaurs, and also F-type asteroids themselves (although the polarimetric dataset for F-type asteroids is substantially larger than that for Centaurs and cometary nuclei). However, if the parameter similarity between 133P/Elst-Pizarro and F-type asteroids is to be seen as an indicator of the similarity of these objects, one can predict that more objects with cometary activity will be found among asteroids with F-type taxonomy.
Licandro et al.
(2007a) assigned 133P/Elst-Pizarro a C- or B-type
classification taxonomy classes to which F-type asteroids are closely
related to (the water absorption feature around 3 m is missing
and differences in the continuum below 0.4
m exist for
F-type objects). Other notable, peculiar C-class objects include
107P/Wilson-Harrington (C- or F-type; Tholen
& Barucci 1989), 3200 Phaethon (B- or F-type; Licandro
et al. 2007b; Tholen & Barucci 1989),
and 2005 UD (B- or F-type; Kinoshita et al. 2007; Jewitt &
Hsieh 2006). The former two objects at least have displayed
cometary activity in the past. An F-type 133P/Elst-Pizarro would thus
have good company with respect to cometary activity.
Comet migration into the asteroid belt does not seem to be a very efficient process dynamically (Levison et al. 2006), and the ``snowline'', i.e., the distance to the Sun at which water vapour in the protoplanetary disk condenses and becomes accreted in forming planetesimal, falls into the (outer) asteroid belt. Therefore, one may be inclined to accept 133P/Elst-Pizarro as a ``child of the inner solar system'', and not of the cold outskirts where cometary nuclei originate. Our observational results are certainly compatible with this scenario, although it implies that cometary activity can also occur in asteroids. The dust activity in 133P/Elst-Pizarro and the other so-called ``main-belt comets'' require a driving mechanism. Ice sublimation is considered a possibility, but is not as yet supported by observational evidence.
5 Conclusions
With the FORS1 instrument of the 8 m ESO VLT, we have carried
out imaging observations in polarimetric mode of the object
133P/Elst-Pizarro at nine observing epochs. The first observation was
performed
in May 2007, about one month before perihelion, and the remaining eight
from July to September 2007, up to about three months after perihelion.
These observations cover the phase-angle range of
0-20
.
Our images have detected one or two tails close to perihelion, and, to a marginal level of evidence, the presence of a coma. We have then performed an analysis of the dust production. The dust release of 133P/Elst-Pizarro may have started about one month before perihelion passage and continued at least until about three months after perihelion. The onset of dust activity in 2007 happened earlier than concluded for the 1996 apparition of the comet by Pravec & Sekanina (1996) and Boehnhardt (1996), although, admittedly, the latter analyses could not really constrain dust release before perihelion passage. However, the dust release in 133P/Elst-Pizarro is clearly repetitive and it starts and extends around perihelion passage. The dust grains that dominate the optical appearance of the tail were of micrometer size and larger, and were released at a relatively low speed. The appearance of the tail in 2007 resembles that seen in 1996, although the two tail patterns refer to different emission periods with respect to perihelion passage. The 1996 tail appearance supports the scenario of dust production that continued for up to half a year after perihelion passage. Considering the results of Hsieh et al. (2004), the active period would even extend to about a year after perihelion. The dust tails seen in 133P/Elst-Pizarro during the 1995, 2002, and 2007 apparitions support the concept that the activity of 133P/Elst-Pizarro is recurrent and that it extends over the same arc of the orbit (from about 1 month before perihelion to at least 1 year after perihelion). A possible yet unproven scenario, described in greater detail by Hsieh et al. (2004) and implicitly assumed also in earlier publications by Pravec & Sekanina (1996) and Boehnhardt et al. (1997), is that a main region of local activity is switched on - possibly due to solar illumination - shortly before perihelion and continues to be active along the orbit over a year or so. The repetitive behaviour of the activity would suggest a rather stable orientation of the rotation axis over the past three apparitions of 133P/Elst-Pizarro. The activity level of the nucleus is not very high and produces micron-size dust at low speed. The true release mechanism could not be constrained from our observations.
We have used our observations to characterize the polarimetric and photometric behaviour of the object as a function of its phase-angle, and we have compared it to that of the nucleus of comet 2P/Encke, and other small bodies of the solar-system. In particular, the comparison with the polarimetric curve of 2P/Encke was performed by adopting a physical classification tool for the polarization phase curves, but our results are not conclusive because current lack of a statistically meaningful sample of objects that have been analysed in a similar fashion. However, a direct comparison of the polarimetric and photometric curves identified several similarities with the observational parameters of F-type asteroids.
AcknowledgementsWe thank Dr. H. Hsieh for a useful discussion at the early stages of the work, and the anonymous referee for a very careful review of the original manuscript.
References
- Appenzeller, I., Fricke, K., Furtig, W., et al. 1998, The Messenger, 94, 1 [NASA ADS] [Google Scholar]
- A'Hearn, M. F., Schleicher, D. G., Feldman, P. D., Millis, R. M., & Thompos, D. T. 1984, AJ, 89, 579 [NASA ADS] [CrossRef] [Google Scholar]
- Bagnulo, S., Boehnhardt, H., Muinonen, K., et al. 2006, A&A, 450, 1239 [NASA ADS] [CrossRef] [EDP Sciences] [Google Scholar]
- Bagnulo, S., Belskaya, I., Muinonen, K., et al. 2008, A&A, 491, L33 [NASA ADS] [CrossRef] [EDP Sciences] [Google Scholar]
- Bagnulo, S., Landolfi, M., Landstreet, J. D., et al. 2009, PASP, 121, 993 [NASA ADS] [CrossRef] [Google Scholar]
- Boehnhardt, H. 1996, IAUC, 6473 [Google Scholar]
- Boehnhardt, H., Sekanina, Z., Fiedler, A., et al. 1997, Highlights Astron., 11A, 233 [Google Scholar]
- Boehnhardt, H., Bagnulo, S., Muinonen, K., et al. 2004, A&A, 415, L21 [NASA ADS] [CrossRef] [EDP Sciences] [Google Scholar]
- Boehnhardt, H., Tozzi, G. P., Bagnulo, S., et al. 2008, A&A, 489, 1337 [NASA ADS] [CrossRef] [EDP Sciences] [Google Scholar]
- Beisser, K. 1990, Ph.D. Thesis, Univ. Erlangen [Google Scholar]
- Beisser, K., & Drechsel, H. 1992, Ap&SS, 181, 1 [NASA ADS] [CrossRef] [Google Scholar]
- Bus, S. J., Vilas, F., & Barucci, M. A. 2002, in Asteroids III, ed. W. F. Bottke, A. Cellino, P. Paolicchi, & R. P. Binzel (Tucson: Univ. Arizona Press), 169 [Google Scholar]
- Donati, J.-F., Semel, M., Carter, B. D., et al. 1997, MNRAS, 291, 658 [NASA ADS] [CrossRef] [MathSciNet] [Google Scholar]
- Elst, E. W., Pizarro, O., Pollas, C., et al. 1997, IAU Circ., 6456 [Google Scholar]
- Hsieh, H. H., & Jewitt, D. C. 2006, Science, 312, 561 [NASA ADS] [CrossRef] [PubMed] [Google Scholar]
- Hsieh, H. H., Jewitt, D. C., & Fernandez, Y. R. 2004, AJ, 127, 2997 [NASA ADS] [CrossRef] [Google Scholar]
- Hsieh, H. H., Jewitt, D. C., & Fernandez, Y. R. 2009, ApJ, 694, L111 [NASA ADS] [CrossRef] [Google Scholar]
- Jewitt, D., & Hsieh, H. H. 2006, AJ, 132, 1624 [NASA ADS] [CrossRef] [Google Scholar]
- Jewitt, D. C., Lacerda, P., & Peixinho, N. 2007, IAUC, 8847 [Google Scholar]
- Kinoshita, D., Ohtsuka, K., Sekiguchi, T., et al. 2007, A&A, 466, 1153 [NASA ADS] [CrossRef] [EDP Sciences] [Google Scholar]
- Lamy, P. L., Toth, I., Fernandez, Y. R., & Weaver, H. A. 2004, in Comets II, ed. M. C. Festou, H. U. Keller, & H. A. Weaver (Tucson: Univ. Arizona Press), 223 [Google Scholar]
- Lamy, P. L., Toth, I., A'Hearn, M. F., et al. 2007a, Icarus, 187, 132 [NASA ADS] [CrossRef] [Google Scholar]
- Lamy, P. L., Toth, I., A'Hearn, M. F., et al. 2007b, Icarus, 191, 310 [NASA ADS] [CrossRef] [Google Scholar]
- Lamy, P. L., Toth, I., Davidsson, B., et al. 2007c, SSRv, 128, 223 [Google Scholar]
- Levison, H. F., Terrell, D., Wiegert, P. A., et al. 2006, Icarus, 182, 161 [NASA ADS] [CrossRef] [Google Scholar]
- Li, J. Y., A'Hearn, M. F., Belton, M. J. S., et al. 2007a, Icarus, 187, 41 [NASA ADS] [CrossRef] [Google Scholar]
- Li, J. Y., A'Hearn, M. F., Belton, M. J. S., et al. 2007b, Icarus, 187, 195 [NASA ADS] [CrossRef] [Google Scholar]
- Licandro, J., Pinilla Alonso, N., de Leon J., et al. 2007a, BAAS, 38, 470 [NASA ADS] [Google Scholar]
- Licandro, J., Campins, H., Motte-Diniz, T., et al. 2007b, A&A, 461, 751 [NASA ADS] [CrossRef] [EDP Sciences] [Google Scholar]
- Lupishko, D. F., & Mohamed, R. A. 1996, Icarus, 11, 209 [NASA ADS] [CrossRef] [Google Scholar]
- Marsden, B. G., 1996, IAU, Circ., 6457 [Google Scholar]
- Muinonen, K. 2004, Waves in Random Media, 14, 365 [NASA ADS] [CrossRef] [Google Scholar]
- Muinonen, K., Piironen, J., Shkuratov, Y. G., & Ovcharenko, A. 2002, in Asteroids III, ed. W. F. Bottke, A. Cellino, P. Paolicchi, & R. P. Binzel (Tucson: Univ. Arizona Press), 123 [Google Scholar]
- Muinonen, K., Tyynelä, J., Zubko, E., & Videen, G. 2009a, Scattering parameterization for interpreting asteroid polarimetric and photometric phase effects, Earth, Planets, and Space, in press [Google Scholar]
- Muinonen, K., Tyynelä, J., Zubko, E., & Videen, G. 2009b, Coherent backscattering in planetary regoliths. Light Scattering Reviews, in press [Google Scholar]
- Nesvorný, D., Bottke, W. F., Vokrouhlický, D., et al. 2008, ApJ, 679, L143 [NASA ADS] [CrossRef] [Google Scholar]
- Penttilä, A., Lumme, K., Hadamcik, E., & Levasseur-Regourd, A. C. 2005, A&A, 432, 1081 [NASA ADS] [CrossRef] [EDP Sciences] [Google Scholar]
- Pravec, P., & Sekanina, Z. 1996, IAUC, 6459 [Google Scholar]
- Snodgrass, C., Lowry, S. C., & Fitzsimmons, A. 2008, MNRAS, 385, 737 [Google Scholar]
- Shurcliff, W. A. 1962, Polarized Light (Cambridge, Mass: Harward University Press) [Google Scholar]
- Tholen, D. J., & Barucci, M. A. 1989, in Asteroids II, ed. R. P. Binzel, T. Gehrels, & M. S. Matthews (Tucson: Univ. Arizona Press), 289 [Google Scholar]
- Toth, I. 2006, A&A 446, 333 [NASA ADS] [CrossRef] [EDP Sciences] [Google Scholar]
- Tozzi, G. P., & Lincandro, J. 2002, Icarus, 157, 187 [NASA ADS] [CrossRef] [Google Scholar]
- Tozzi, G. P., Lara, L. M., Kolokolova, L., et al. 2004, A&A, 424, 325 [NASA ADS] [CrossRef] [EDP Sciences] [Google Scholar]
- Tozzi, G. P., Boehnhardt, H., Kolokolova, K., et al. 2007, A&A, 476, 979 [NASA ADS] [CrossRef] [EDP Sciences] [Google Scholar]
- Tubiana, C., Barrera, L., Drahus, M., & Boehnhardt, H. 2008, A&A, 490, 377 [NASA ADS] [CrossRef] [EDP Sciences] [Google Scholar]
- Weissman, P. R., Bottke, W. F., & Levison, H. F. 2002, in Asteroids III, ed. W. F. Bottke, A. Cellino, P. Paolicchi, & R. P. Binzel (Tucson: Univ. Arizona Press), 669 [Google Scholar]
Footnotes
- ... 133P/Elst-Pizarro
- Based on observations made with ESO Telescopes at the Paranal Observatory under programme ID 079.C-0653 (PI = Tozzi).
- ... Monitor
- Online data available at the ESO web site.
- ... SEXTRACTOR
- http://astromatic.iap.fr/software/sextractor
- ... it
- We note that the measured tail Af values may be possibly overestimated by up to 10% because of a faint coma (see Sect. 3.2).
All Tables
Table 1: Geometric information about the dust tails of 133P/Elst-Pizarro.
Table 2: Photometry of comet 133P/Elst-Pizarro.
Table 3: Polarization measurements of 133P/Elst-Pizarro.
Table 4: MCMC parameters for 133P/Elst-Pizarro, 2P/Encke, and (1) Ceres.
All Figures
![]() |
Figure 1:
Contour plots of Af in R and V
Bessell filter ( left and right columns,
respectively). North is up, and east to the left. The black arrow and
red arrow represent the direction of the Sun, and the negative target
velocity as seen from the observer in the plane of the sky,
respectively. The x and y axes
are in units of 103 km. Contour levels
are calibrated in Af (for explanations see text).
Contour levels correspond to
|
Open with DEXTER | |
In the text |
![]() |
Figure 2:
Contour plots of Af in R
Bessell filter for the combined image obtained on July 17. Contour
levels correspond to
|
Open with DEXTER | |
In the text |
![]() |
Figure 3: Tail Af measured along the direction identified by the tail, with respect to the photometric center, and tail colour indices V-R. In the left and middle column panels, green lines show the zero axes (corresponding to the nucleus position). In the right panels, they correspond to the colour index derived for the nucleus. |
Open with DEXTER | |
In the text |
![]() |
Figure 4:
From top to bottom:
|
Open with DEXTER | |
In the text |
![]() |
Figure 5:
|
Open with DEXTER | |
In the text |
![]() |
Figure 6: Photometry in the R (red circles) and V (blue squares) filters for 133P/Elst-Pizarro as function of time, obtained on 22 May 2007. Filled symbols refer to the photometry obtained from the polarimetric images, empty symbols refer to the photometry obtained from the images with no polarimetric optics in. Asterisks show the photometry obtained from the averaged polarimetric images. Point at t=0 is obtained from the acquisition image of the polarimetric series. |
Open with DEXTER | |
In the text |
![]() |
Figure 7: Photometry in the R (red circles) and V (blue squares) filters for 133P/Elst-Pizarro as function of the phase angle. Solid lines show the corresponding linear best-fits. Points that were not used to calculate the best-fit are represented with empty symbols. |
Open with DEXTER | |
In the text |
![]() |
Figure 8:
The measured |
Open with DEXTER | |
In the text |
![]() |
Figure 9:
Distribution of the |
Open with DEXTER | |
In the text |
![]() |
Figure 10:
Polarimetric observations of the nucleus of comet 2P/Encke (
left panel)
and of 133P/Elst-Pizarro ( right panel), modeled
using MCMC for the empirical linear-exponential model. Blue squares
refer to V Bessell filter, and red circles to R
Bessell filter. For 2P/Encke, red and blue asterisks refer to narrow
band filters centred about 834 and 485 nm, respectively. The
best-fit models are shown with solid line, while the 3 |
Open with DEXTER | |
In the text |
Copyright ESO 2010
Current usage metrics show cumulative count of Article Views (full-text article views including HTML views, PDF and ePub downloads, according to the available data) and Abstracts Views on Vision4Press platform.
Data correspond to usage on the plateform after 2015. The current usage metrics is available 48-96 hours after online publication and is updated daily on week days.
Initial download of the metrics may take a while.