Issue |
A&A
Volume 514, May 2010
|
|
---|---|---|
Article Number | A61 | |
Number of page(s) | 9 | |
Section | Astrophysical processes | |
DOI | https://doi.org/10.1051/0004-6361/200913391 | |
Published online | 20 May 2010 |
Optical depths for gamma-rays in the radiation field of a star heated by an external X-ray source in LMXBs
Application to Hercules X-1 and Scorpius X-1
W. Bednarek - J. Pabich
Department of Astrophysics, University of ódz, 90-236
ódz, ul. Pomorska 149/153, Poland
Received 1 October 2009 / Accepted 24 January 2010
Abstract
The surface of a low mass star inside a compact low mass X-ray
binary system (LMXB) can be heated by an external X-ray source
apparently caused by the accretion of mass onto a companion compact
object (a neutron star or a black hole). As a result, the surface
temperature of the star can become significantly higher than it is in
the normal state resulting from thermonuclear burning. We investigate
whether high energy electrons and gamma-rays, injected within the
binary system, can efficiently interact with this enhanced radiation
field. To decide this, we calculate the optical depths of the gamma-ray
photons in the radiation field of such an irradiated star as a function
of the phase of the binary system. Based on these calculations, we
conclude that compact low mass X-ray binary systems may also become
sources of high energy gamma-rays since conditions for the interaction
of electrons and -rays are quite similar to those found within high mass TeV
-ray binaries such as LS 5039 and LSI 303 +61.
However, because of differences in the soft radiation field, the expected
-ray
light curves can differ significantly between low mass and high mass
X-ray binaries. As an example, we apply these calculations to two well
known LMXBs Her X-1 and Sco X-1. It is concluded that
electrons accelerated to high energies inside these binaries should
collide with a sufficient number of soft photon targets from the
companion star to achieve efficient
-ray production.
Key words: binaries: close - gamma rays: general - radiation mechanisms: non-thermal
1 Introduction
TeV -rays have been observed from a few massive X-ray binaries (e.g., Aharonian et al. 2005a; Albert et al. 2006).
Up to now, this
-ray emission has not been reported from low mass X-ray binaries (see e.g., observations of SS 433, Aharonian et al. 2005b), which are very luminous X-ray sources (
erg s-1, see the catalog of LMXB by Liu et al. 2007).
However, LMXBs have not been monitored intensively by modern Cherenkov
telescopes until now. In this paper, we attempt to demonstrate that
very compact LMXBs are also promising targets for TeV
-ray astronomy.
LMXBs probably consist of a neutron star that accretes matter from a companion star. Their X-ray emission at times exhibits pulsations with the rotational period of the neutron star (Nagase 1989; Karino 2007). Some LMXBs also exhibit optical modulation with the period of the binary system, which can be interpreted as a result of external heating of the stellar surface by the X-ray source (e.g., Her X-1, Sco X-1).
The mechanism for particle acceleration and -ray production in the massive TeV
-ray
binaries is not at present clear. Two general scenarios are considered.
In the first, an energetic pulsar creates a relativistic wind that
collides with the strong wind of the massive star creating a shock wave
(e.g., Maraschi & Treves 1984; Vestrand & Eichler 1982; Harding & Gaisser 1990; Tavani & Arons 1997; Kirk et al. 1999).
Electrons can be accelerated to TeV energies by the shock acceleration
or in the not so well known mechanism occurring in the pulsar wind. In
the second scenario, a compact object accretes matter from the massive
star. Electrons can be accelerated in the shock waves created either in
the stream of matter expelled from the inner part of the accretion disk
(a jet) (e.g. Levinson & Blandford 1996; Georganopoulos et al. 2002; Romero et al. 2002) or at the border in which accreting matter is stopped by the rotating neutron star magnetosphere (Bednarek 2009a,b).
The second scenario can also occur in the case of low mass X-ray
binaries, hence the acceleration of particles to TeV energies should
also occur within low mass X-ray binaries. We note that TeV
-ray
emission is observed from a variety of cosmic sources (jets of active
galaxies, vicinity of pulsars, supernova remnants, clusters of stars)
that significantly differ in structure and physical parameters. Even if
the parameters of objects responsible for the acceleration of particles
within HMXBs and LMXBs differ significantly, this does not preclude
acceleration of particles to TeV energies in LMXBs. However, the
efficiency
of the particle acceleration may differ. Searching for
-ray
emission from LMXBs with the present and future Cherenkov telescopes
(e.g., CTA) will help us to answer this basic question. The aim of this
paper is to ascertain the most favorable conditions for detection of
TeV
-ray signal from the class of very compact LMXBs.
Efficient -ray
production within massive binaries probably occurs due to the
Comptonization by relativistic electrons of the soft radiation produced
by the massive star. This strong radiation is not present inside the
low mass binaries, where a normal star has a characteristic surface
temperature of lower than
104 K. Therefore, efficient TeV
-ray
production is in general not expected to occur there. However, in very
compact LMXBs, a low mass star can be heated extensively by the X-ray
source produced by the accretion of matter onto the companion compact
object. As a result, some parts of the stellar surface can reach
temperatures comparable to those observed in the case of high mass
stars (i.e., a few 104 K). This soft radiation
intensity is sufficient to generate relativistic electrons, which are
accelerated inside these compact low mass binaries, and consequently
TeV
-rays. In this paper, we calculate the optical depths of
-ray photons in the radiation field of irradiated low mass star to check whether
-ray production in these systems can occur efficiently and whether produced
-rays can escape from the vicinity of the star. We note, that the cross sections for
-ray production by means of inverse Compton scattering (ICS) and
-ray
absorption in collision with soft photons are comparable. Therefore,
directions within the binary system in which significant absorption of
-rays can occur should also correspond to the directions of efficient
-ray production in the ICS process.
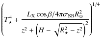
2 Soft radiation from irradiated star
The X-ray emission produced in the vicinity of a compact source in some close low mass X-ray binaries can reach values of
1036-39 erg s-1.
Part of this X-ray emission can illuminate the surface of a companion
star. As a result, the surface temperature rises significantly. We
calculate the temperature profile on the surface of the irradiated star
by a point X-ray source located at the distance, H, from the
center of the star. We assume that all X-ray emission absorbed by the
stellar surface is irradiated as black body emission of characteristic
temperature T(z), where z is the distance
measured from the direction defined by both the center of the star and
the X-ray source, to a specific point on the stellar surface (see
Fig. 1). Simple considerations infer the temperature profile on the stellar surface to be given by,
where distances are defined in Fig. 1,









![]() |
Figure 1:
Schematic picture of the geometrical situation considered in thepaper. A |
Open with DEXTER |
![]() |
Figure 2:
The radiation field seen by a |
Open with DEXTER |
The distribution of temperatures on the surface of the irradiated star
seen by the external observer located at different places outside the
star is shown in Fig. 2. Two effects determine this soft radiation field at a specific place: (a) the distance,
R, from the stellar surface determines the solid angle intercepted by the star; (b) the angle, ,
at which the hot region is seen (measured with respect to the direction defined by the X-ray source and the star).
We note that for reasonable parameters of the low mass X-ray binary system (e.g.,
erg s-1, and
), the surface temperature can increase, because of the irradiation of the star, to a few 104 K.
This is comparable to the surface temperature of the massive stars
within the high mass X-ray binaries. Therefore, we expect that the
optical depths of TeV
-rays
in the soft radiation of these irradiated low mass stars can also reach
substantial values, exceeding unity in some cases.
Since the -ray
photon injected at a specific place sees the hot part of the star at
different angles, the soft radiation field seen by the
-ray
photon changes significantly during its propagation in the vicinity of
the star (because of the change in both the viewing angle and the
distance from the stellar surface). In Fig. 2, we show an example radiation field from the stellar surface seen by the
-ray photon at different propagation distances L, assuming that the primary
-ray is injected from the X-ray source. For the propagation angles
(see Fig. 1), we note that the solid angle subtracted by the star at first increases since the
-ray approaches the stellar surface. For small angles
,
the solid angle subtracted by the star continuously drops with the
-ray propagation path and the hot region becomes less visible.
3 The optical depths of gamma-rays
In the case of fixed surface temperature, the optical depths of -ray
photons injected at an arbitrary distance from the surface of the star
were calculated for the first time in the general case by Bednarek
(1997, 2000). With respect to previous calculations (e.g., Moskalenko et al. 1993),
Bednarek also took into account the dimensions of the star, which
allowed them to apply their method to very compact binaries such as
e.g., Cyg X-3. These calculations are necessary for IC
pair cascades developing within the massive binaries since in principle secondary
pairs and
-rays can appear everywhere within the binary. They can also fall onto the surface of the companion star. The optical depths of
-rays
calculated in the radiation field of the star with specific parameters
can be easily rescaled to the cases of massive stars with other surface
temperatures and radii (Bednarek 2009a). For example,
-ray photons with energies,
,
propagating from a specific distance D from the star, and in a direction (defined by the angle
)
approaching close to the star with specific parameters (
and
)
are related to the optical depths around arbitrary stars with
and
by,
where




![]() |
Figure 3:
The optical depths for |
Open with DEXTER |
Here we are interested in a more complicated scenario appropriate to
low mass X-ray binary systems. In LMXBs, the companion stars produce
relatively weak soft radiation field due to its low surface temperature
resulting from nuclear burning. However, a nearby strong X-ray source
can significantly increase the surface temperature of a star because of
the irradiation process (as discussed in Sect. 2). Therefore,
relativistic electrons injected not far from the surface of the low
mass star in a compact X-ray binary can also suffer strong energy
losses because of the ICS process. Primary -rays and secondary cascade
-rays can be efficiently absorbed in this soft radiation field.
To check whether these processes may become important, we calculate the optical depths of
-rays in this more complicated scenario following the standard prescription
where








![]() |
Figure 4:
As in Fig. 3 but for the X-ray source at the distance
|
Open with DEXTER |
We investigate the optical depths of -rays
as a function of their energies and other free parameters describing
the geometry of the picture, such as the injection distance R and the angle
(see Fig. 1).
The low mass stars with different radii and surface temperatures are
considered. For the purpose of the example calculations, the X-ray
luminosity of the compact object (a neutron star) is fixed on
erg s-1. The optical depths as a function of
-ray photon energy for selected injection angles and distances from the companion star are shown in Fig. 3.
The calculations show that the optical depths are significant for some range of investigated energies of
-ray photons. They are clearly above unity provided that
-rays are injected within
from the center of the star at a part of the hemisphere containing the
star. We note that the optical depths increase also for stars with
lower radii in the case of similar compactness of the binary system
(expressed as the ratio of the injection distance to the radius of the
star). This is caused by the fact that irradiating X-ray source being
closer to the stellar surface in these cases. We note that the amount
of power supplied to the stellar surface from the X-ray source
increases as a square of its distance but the optical depths depend
only linearly on this distance. Owing to the closer X-ray source, the
surface is heated to higher temperature.
In Fig. 4, we show how the optical depths depend on the angle ,
which is the angle between the direction defined by both the location
of the X-ray source and by the center of the star and the injection
place of
-rays and the center of the star (see Fig. 1). This situation may correspond to the case of injection of
-rays from different places of the jet launched from the compact object. We note, that for larger angles
the hottest region on the stellar surface is also seen at larger
angles. Therefore, the effective radiation field from the stellar
surface seen from the injection place of the
-ray drops significantly. As a consequence, the optical depths for
-ray photons are lower (compare e.g., Figs. 4a,c).
In summary, we conclude that the optical depths of -rays
can also exceed unity in very compact low mass X-ray binary systems.
Therefore, we predict that these LMXBs can become sources of GeV-TeV
-rays as high mass X-ray binaries are, provided that the acceleration mechanism of electrons to TeV energies still operates.
4 Gamma-ray optical depth light curves
We also investigate how the -ray
optical depths can change in the case of a low mass compact binary
system in which the X-ray source is on a circular orbit around the
solar-type star. The angle
between the direction towards the observer and the direction defined by
the X-ray source and the star can change significantly depending on the
inclination angle
of the binary system. In this case,
is determined by the phase
of the X-ray source (for the geometrical situation see Fig. 5).
![]() |
Figure 5:
The geometrical situation considered in the case of a compact X-ray
source on an orbit around a low mass star. The X-ray source irradiates
the stellar surface heating it to a temperature significantly above
that one caused by nuclear burning. The observer sees the heated
stellar surface at the angle |
Open with DEXTER |
![]() |
Figure 6:
The dependence of the |
Open with DEXTER |
The example -ray
optical depth light curves are calculated for the range of the
inclination angles of the binary system and specific energies of
-ray photons injected in the direction of the observer. The results for the X-ray source on a circular orbit of radius
and the injection place of
-rays also at the X-ray source are shown in Fig. 6.
We note the characteristic optical depth light curves in the case of
the non-eclipsing systems with inclination angles that differ from
zero. In this case, the optical depths reach the maximum when the X-ray
source (and also
-ray
source) is behind the star (with respect to the observer). At the peak
of the maximum, the optical depths are larger for larger inclination
angles of the binary system. For the considered parameters of the
binary system, the optical depths are above unity at least for some
range of phases close to the phase
.
In the case of the eclipsing binaries, the observer should see two
peaks in the optical depth light curve due to the eclipse of the X-ray
and
-ray source by the star. At the phases at which the
-ray
optical depth light curves reach the maximum, we note that the hot,
irradiated part of the stellar surface is not clearly visible.
Therefore, it is natural to expect an anticorrelation between the
maximum of the
-ray
light curve and the maximum of the optical light curve from these low
mass binary systems. This prediction might be useful in increasing the
probability of the detecting the GeV-TeV
-ray signal from compact X-ray luminous LMXBs.
Since the assumed orbit of the X-ray source (and -ray
source) is circular, the light curve looks symmetric. This light curve
can change significantly when the distance of the X-ray source varies
with the phase of the binary. To obtain an impression of the influence
of the ellipticity of the orbit, we calculate the optical depth light
curves for other distances of the X-ray and
-ray sources from the star. In Fig. 7, we investigate the optical depths for the orbits of the X-ray source in the range
and the distances of the
-ray source in the range
.
We note a significant dependence of the optical depths on the two parameters
and R. However,
for the complete range of these parameters, the optical depths are always above unity
at some phases. Therefore, we expect that intensive absorption (and also production) of
-ray photons might occur in the case of compact low mass X-ray
binary systems. However in the realistic case, the spectrum of
-ray photons should be generated by a the complicated cascade process triggered by
a highly anisotropic soft radiation from this irradiated star.
This cascade scenario will be clearly more complicated than considered up to now for the
-ray production inside the massive binary systems (see e.g., early results by Bednarek 2000).
For comparison, we also show the -ray light curves for the case of a stellar mass companion in the giant phase (other parameters of the binary as in Fig. 7b).
Because of the greater distance to the X-ray source from the surface,
the optical depths are clearly lower than in the case of a binary
system with a solar mass star on the main sequence.
However, for a small range of phases and relatively large inclination
angles of the binary system, the optical depths overcome unity.
Therefore, in some geometrical situations these more geometrically
extended binaries (i.e., with longer orbital periods) can provide
conditions for efficient production of GeV-TeV
-rays.
Calculated here -ray optical depth light curves allow us to conclude that
the highest fluxes of GeV
-rays should be expected in the phases where
the optical depths are clearly above unity. In these cases, the cascading effects degrade part of the primary
-ray spectrum in the TeV energy range by means of efficient cascading. On the other hand, the highest fluxes of TeV
-rays are expected in phases where the optical depths are close to unity. In this case, primary TeV
-rays are efficiently produced and not severely absorbed in the IC
pair cascades. Based on the analysis of Figs. 6 and 7, we expect the highest fluxes of the GeV
-rays
when the X-ray source (a compact object) is behind the normal star
(except the eclipsing binaries). The highest fluxes of the TeV
-rays are expected during the intermediate phases, i.e., just before and after the highest fluxes of GeV
-rays.
![]() |
Figure 7:
As in Fig. 6 but for different distances of the X-ray source from the star ( |
Open with DEXTER |
5 The example cases of LMXBs
As an example, we show the -ray optical depth light curves for two
LMXB systems that exhibit optical modulation with the binary system period.
This modulation is interpreted as being caused by the irradiation of the companion star by the X-ray source (e.g., Milgrom 1976). They have been previously reported as possible TeV-PeV
-ray sources.
5.1 Her X-1
The famous LMXB, Her X-1,
is characterised by the X-ray luminosity
erg s-1 (White et al. 1983). The companion star has the radius
and mass
and a neutron star in orbit has a radius
.
The inclination of the binary system was estimated to be
degrees and its orbital period is 1.7 days (Nagase 1989).
Her X-1 was claimed to be a pulsed TeV -ray source
by the Whipple Collaboration (e.g. Gorham et al. 1986; Lamb et al. 1998). However, subsequent analysis did not confirm these reports (Reynolds et al. 1991). The modern Cherenkov telescope collaborations have not reported any additional observations of this source.
We calculated the -ray optical depth light curves for the parameters of Her X-1. We assumed that the source of primary
-rays (produced by accelerated electrons) is close to the X-ray source. The results are shown in Fig. 8 for selected
-ray photon energies.
It is clear that the optical depths are greater than unity for some relatively small range of phases in the case of
-rays with energies in the range
TeV. The optical depths can reach the maximum values
.
Therefore, the possible cascading effects have to be taken into account when calculating detailed
-ray spectrum escaping towards the observer. However, the primary
-ray spectrum should not be very severally degraded at the TeV
-ray energies as expected in the case of massive binary systems, such as LS 5039 or LSI 61 303.
We predict that the highest fluxes of GeV-TeV
-rays should appear
in the range of phases just before and after the eclipse of the X-ray source by the companion star, i.e., in the ranges
and
0.55-0.65. We note that zero phase corresponds to the situation where
the X-ray compact source is in front of the companion star. This
-ray
emission should be unticorrelated with the optical emission from the
part of the stellar surface irradiated by the X-ray source. Evidence of
the optical modulation with the period of the binary system
Her X-1 has been clearly detected.
For the injection place of primary -rays
which significantly differ from the location of the X-ray source (e.g.
farther from the X-ray source along the jet or at the shock structure),
the phase patterns of the
-ray optical depths should of course change accordingly.
5.2 Sco X-1
The second binary system, Sco X-1, has significantly different parameters from Her X-1. It contains a low mass star,
,
and a neutron star (Liu et al. 2007). Sco X-1 belongs to the class of Z sources with three states of X-ray emission characterised by the luminosities
erg s-1 (Hasinger & van der Klis 1989).
The accretion disk around the neutron star in this binary system
launches a jet. Therefore, the object also belongs to the class of
microquasars. The inclination angle of the binary system was estimated
to be
(Fomalont et al. 2001). The period of the binary system is 18.9 h (Gottlieb et al. 1975).
In our calculations, we apply the radius of the companion star
(evolved subgiant, Steeghys & Casares 2002),
the radius of the binary system
cm, the inclination of the binary system
,
and the power of the X-ray source 1038 erg s-1.
Sco X-1 has been also claimed as a TeV-PeV
-rays source but with low significance (e.g., Brazier et al. 1990; Tonwar et al. 199). Also these results have not been confirmed by latter observations.
As for Her X-1, the -ray optical light curves were calculated as a function of the energy of
-ray
photons. We note that Sco X-1 is more compact binary system than
Her X-1. Therefore, the range of phases, for which the
-ray
optical depths are above unity, is significantly broader. The absolute
values of the optical depths are also larger. We therefore expect much
stronger modification of the escaping
-ray spectra by IC
pair cascading effects. The TeV
-ray emission can then be severally attenuated for the phases close to
0.5 and the TeV
-ray light curve may show two minima, the first due to inefficient production in the region close to
0.0 phase and the second due to strong absorption in the region close to the phase
0.5. In contrast, the GeV
-ray
light curve should exhibit one broad maximum centered on
the phase 0.5. These conclusions are derived by assuming the
circular orbit of the compact object around the companion star. A more
detailed analysis is at present not possible because of the lack of
information about the orbit of the compact object in Sco X-1
(i.e., ellipticity, phase of periastron).
It is not clear at present whether the companion star in Sco X-1
is really efficiently irradiated by the X-ray source. Early
calculations by Milgrom (1976)
suggest that irradiation is
important and consistent with observational results at that time. In
these calculations, relatively small inclination angles were considered
(up to
). The analysis of more recent observations infers more intermediate inclination angles (Fomalont et al. 2001; Steeghys & Casares 2002),
which were applied in this paper. The present lack of strong modulation
of UV emission
might be understood by assuming that a significant part of the hot
region on the stellar surface is shadowed by the large accretion disk
in this system. We note that the outer radius of this accretion disk
was estimated on
cm (Vrtilek et al. 1991), which is comparable to the separation of stars in this binary.
![]() |
Figure 8:
The |
Open with DEXTER |
6 Discussion and conclusions
We have demonstrated that the optical depths for TeV -rays,
which have been injected inside the LMXBs close to the surface of the
companion stars irradiated by the X-ray sources, are larger than unity
for specific locations of the observer. It is then straighforward to
show that because of similar cross-section for the
absorption process and the cross-section for the ICS process of soft
photons by relativistic electrons, the optical depths for electrons on
these same stellar radiation should have similar values. Therefore, it
is expected that the production and cascading of
-rays
can be efficient in the LMXBs in which the companion star is
effectively heated by the close X-ray source. However, the optical
depths of irradiated low mass stars are generally lower than the
optical depths expected in the HMXBs detected in the TeV
-rays (such as LS 5039 or LSI 303 +61; e.g., Bednarek 2006). The cascading effects in the LMXBs should then not occur so efficiently as shown for those sources (Bednarek 2006b, 2007; Sierpowska-Bartosik & Torres 2009, 2009). Owing to these substantial optical depths, we expect that the GeV-TeV
-ray
emission can also be efficiently produced within compact LMXBs in which
the compact X-ray source strongly irradiates the companion star
provided that electrons are accelerated to TeV energies also inside
LMXBs. The mechanism of particle acceleration inside LMXBs can either
differ from one operating within
the HMXBs or can be quite similar. The TeV
-rays
are observed from different types of sources (e.g., jets of AGNs,
vicinity of pulsars, or shocks of supernova remnants). Therefore,
different conditions around compact objects in HMXBs and LMXBs can
accelerate particles to TeV energies. On the other hand, TeV
-ray
emission inside LMXBs may be produced in scenarios similar to those
proposed for HMXBs (e.g., accreting neutron star scenario as proposed
by Bednarek 2009b). However, as we have shown, the TeV
-ray
emission from LMXBs should be limited to specific narrow range of
phases that are expected to differ from the range of phases observed in
the HMXBs due to differences in the soft radiation field (see the
considered example cases of Her X-1 and Sco X-1).
Based on the results of calculations of the optical depths and
a simple application of the law of gravity, we can envisage that LMXBs
are expected to be potential GeV-TeV -ray sources.
We conclude that in the case of the solar type star in the evolutionary phase on the main sequence (
and
)
and the orbit of radius
,
the
-rays
may efficiently absorb, which means also their efficient production in
IC process by electrons. This will occur provided that the period of
the binary system is shorter than
h, where
and
are in the solar units. We note that many LMXBs have orbital periods within this limit (Liu et al. 2007).
Based on the analysis of the optical depth light curves, we conclude that
the emission patterns of escaping -rays
from the low mass binary system depend strongly on its inclination
angle. We predict that in the simplest considered model of a point-like
source of primary
-rays on a circular orbit around irradiated low mass star, the observer located at:
- Small inclination angles detects significant
GeV-TeV
-ray emission only from very compact binaries in which the compact object is at the distance of less than 2 stellar radii from the companion star (compare the triple-dot dashed lines with the thin dotted lines in Figs. 6 and 7). In this case, the modulation of the UV emission from an irradiated companion star with the period of the binary system may be significantly reduced since the hottest parts of the stellar surface are not well visible.
- Intermediate inclination angles detects a single pulse of
-ray emission with the maximum corresponding to the phases when the X-ray source is behind the companion star. In this case, the observer should detect significant modulation of the UV emission from the stellar surface, which in addition should be modulated with the period of the binary system.
- Large inclination angles and eclipsing binaries detects two narrow pulses of
-rays just before and after the eclipse of the X-ray source by the companion star. In this case the modulation of the UV emission should be clearly observed but in some cases can also be strongly suppressed because of the obscuration of the hottest parts on the stellar surface by the large accretion disk.





We may ask whether absorption of -rays
should not occur efficiently in the radiation field of the X-ray source
on the surface of the accreting neutron star. We show below that this
is not the case provided that
-rays
are injected at some reasonable distance from the X-ray source.
Assuming the characteristic dimension of the X-ray source equal to
105 cm (the order of the polar cap on the neutron star surface) and the luminosity of the X-ray source 1038 erg s-1, we estimate the characteristic temperature of the X-ray source on
K, where
cm is the characteristic dimension of the X-ray source. For simplicity, we note that
we assumed the black-body type emission from the X-ray source. From this X-ray source, we estimate the distance, D, at which the optical depths in the radiation of this X-ray source become lower than unity from
,
where
is the cross section for
pair creation in
collision and
cm-3 is density of X-ray photons at the distance D. By assuming that the cross section for the
collision is inversely proportional to the energy of a
-ray photon, we estimate that the optical depth becomes lower than unity for distances larger than
cm and energies of
-rays above
10 GeV. We also note that most of the
-rays
move in the outward direction in respect to the location of the X-ray
source. Thus, the geometrical effects can also decrease the optical
depths in the X-rays. This estimate of the possible location of the
-ray source is clearly consistent with the dimensions of the binary system.
Based on similar estimate, it is possible to show that the radiation
field from the inner part of the accretion disk around the neutron star
may not prevent the escape of -ray photons, even if they are created within or close to this region. For example, in the case of Her X-1 the inner disk
temperature is estimated to be in the range
K (Sazonov 2009) and the disk inner radius is at a distance of a few
108 cm from the neutron star (Ghosh & Lamb 1979). We estimate the mean free path for
-rays propagating in this radiation to be
cm. This is clearly larger than the dimension of the disk inner radius. Therefore,
-rays
can escape from the inner part of the accretion disk without
significant absorption. We
note that the region of particle acceleration may be located at some
distance from the hot neutron star surface and the inner accretion disk
but still inside the binary systems. For example, there are models that
propose the acceleration of particles within the jets that are observed
in the case of some LMXBs (e.g. Sco X-1).
We can envisage a realistic situation in which the absorption of TeV -rays
in the radiation of the X-ray source can be safely neglected. For
example, in the case of Her X-1, the X-ray source can be produced
on the neutron star surface by the accretion of matter. However, the
acceleration of electrons (and production of the primary
-rays)
can occur close to or within a very turbulent, magnetized region at the
inner accretion disk radius where the pressure of the accreting matter
is balanced by a strongly magnetized rotating neutron star
magnetosphere (the surface magnetic field of Her X-1 is estimated
to be
G, e.g., Karino 2007). The inner radius of the accretion disk in Her X-1 is then expected to be at a distance of a few 108 cm from the neutron star. In the case of Sco X-1, the production of
-rays
can occur inside part of the jet at some distance from the neutron star
and the inner disk, but still inside the binary system.
This work is supported by the Polish MNiSzW grant No. N203 390834.
References
- Aharonian, F., Akhperjanian, A. G., Aye, K.-M., et al. 2005a, Science, 309, 746 [NASA ADS] [CrossRef] [PubMed] [Google Scholar]
- Aharonian, F., Beilicke, M., Aharonian, F., et al. 2005b, A&A, 439, 635 [NASA ADS] [CrossRef] [EDP Sciences] [Google Scholar]
- Albert, J., Aliu, E., Anderhub, H., et al. 2006, Science, 312, 1771 [NASA ADS] [CrossRef] [PubMed] [Google Scholar]
- Bednarek, W. 2000, A&A, 363, 646 [NASA ADS] [Google Scholar]
- Bednarek, W. 2006a, MNRAS, 368, 579 [NASA ADS] [CrossRef] [Google Scholar]
- Bednarek, W. 2006b, MNRAS, 371, 1737 [NASA ADS] [CrossRef] [Google Scholar]
- Bednarek, W. 2007, A&A, 464, 259 [NASA ADS] [CrossRef] [EDP Sciences] [Google Scholar]
- Bednarek, W. 2009a, A&A, 495, 919 [NASA ADS] [CrossRef] [EDP Sciences] [Google Scholar]
- Bednarek, W. 2009b, MNRAS, 397, 1420 [NASA ADS] [CrossRef] [Google Scholar]
- Böttcher, M., & Dermer, C. D. 2005, ApJ, 634, 81 [Google Scholar]
- Brazier, K. T. S., Carraminana, A., Chadwick, P. M., et al. 1990, A&A, 232, 383 [NASA ADS] [Google Scholar]
- Dubus, G. 2006, A&A, 451, 9 [NASA ADS] [CrossRef] [EDP Sciences] [Google Scholar]
- Fomalont, E. B., Geldzahler, B. J., & Bradshaw, C. F. 2001, ApJ, 512, L121 [Google Scholar]
- Georganopoulos, M., Aharonian, F. A., & Kirk, J. G. 2002, A&A, 388, L25 [NASA ADS] [CrossRef] [EDP Sciences] [Google Scholar]
- Gorham, P. W., Cawley, M. F., Fegan, D. J., et al. 1986, ApJ, 308, L11 [NASA ADS] [CrossRef] [Google Scholar]
- Ghosh, P., & Lamb, F. 1979, ApJ, 234, 296 [NASA ADS] [CrossRef] [Google Scholar]
- Gottlieb, E. W., Wright, E. L., & Lillier, W. 1975, ApJ, 195, L33 [NASA ADS] [CrossRef] [Google Scholar]
- Harding, A. K., & Gaisser, T. K. 1990, ApJ, 358, 561 [NASA ADS] [CrossRef] [Google Scholar]
- Hasinger, G., & van der Klis, M. 1989, A&A, 225, 79 [NASA ADS] [Google Scholar]
- Karino, S. 2007, PASJ, 59, 961 [NASA ADS] [Google Scholar]
- Kirk, J. G., Ball, L., & Skjaeraasen, O. 1999, APh, 10, 31 [Google Scholar]
- Lamb, R. C., Cawley, M. F., Fegan, D. J., et al. 1988, ApJ, 328, L13 [NASA ADS] [CrossRef] [Google Scholar]
- Levinson, A., & Blandford, R. 1996, ApJ, 456, L29 [NASA ADS] [CrossRef] [Google Scholar]
- Liu, Q. Z., van Paradijs, J., van den Heuvel, E. P., et al. 2007, A&A, 469, 807 [NASA ADS] [CrossRef] [EDP Sciences] [Google Scholar]
- Maraschi, L., & Treves, A. 1981, MNRAS, 194, 1 [Google Scholar]
- Milgrom, M. 1976, ApJ, 208, 191 [Google Scholar]
- Moskalenko, I. V., Karaku▯a, S., & Tkaczyk, W. 1993, MNRAS, 260, 681 [NASA ADS] [Google Scholar]
- Nagase, F. 1989, PASJ, 41, 1 [NASA ADS] [Google Scholar]
- Reynolds, P. T., Cawley, M. F., Fegan, D. J., et al. 1991, ApJ, 382, 640 [NASA ADS] [CrossRef] [Google Scholar]
- Romero, G. E., Kaufman Bernado, M. M., & Mirabel, F. 2002, A&A, 393, 61 [Google Scholar]
- Sierpowska, A., & Bednarek, W. 2005, MNRAS, 356, 711 [NASA ADS] [CrossRef] [Google Scholar]
- Sierpowska-Bartosik, A., & Torres, D. 2007, ApJ, 671, 145 [Google Scholar]
- Sierpowska-Bartosik, A., & Torres, D. 2009, ApJ, 693, 1462 [NASA ADS] [CrossRef] [Google Scholar]
- Tavani, M., & Arons, J. 1997, ApJ, 477, 439 [NASA ADS] [CrossRef] [Google Scholar]
- Tonwar, S. C., Gopalakrishnan, N. V., Gupta, S. K., et al. 1991, PRL, 67, 2248 [NASA ADS] [CrossRef] [Google Scholar]
- Sazonov, A. N. 2009 [arXiv:0912.0706] [Google Scholar]
- Steeghys, D., & Casares, J. 2002, ApJ, 568, 273 [NASA ADS] [CrossRef] [Google Scholar]
- Vestrand, W. T., & Eichler, D. 1982, ApJ, 261, 251 [NASA ADS] [CrossRef] [Google Scholar]
- Vrtilek, S. D., Penninx, W., Raymond, J. C., et al. 1991, ApJ, 376, 278 [NASA ADS] [CrossRef] [Google Scholar]
- White, N. E., Swank, J. H., & Holt, S. S. 1983, ApJ, 270, 711 [NASA ADS] [CrossRef] [Google Scholar]
All Figures
![]() |
Figure 1:
Schematic picture of the geometrical situation considered in thepaper. A |
Open with DEXTER | |
In the text |
![]() |
Figure 2:
The radiation field seen by a |
Open with DEXTER | |
In the text |
![]() |
Figure 3:
The optical depths for |
Open with DEXTER | |
In the text |
![]() |
Figure 4:
As in Fig. 3 but for the X-ray source at the distance
|
Open with DEXTER | |
In the text |
![]() |
Figure 5:
The geometrical situation considered in the case of a compact X-ray
source on an orbit around a low mass star. The X-ray source irradiates
the stellar surface heating it to a temperature significantly above
that one caused by nuclear burning. The observer sees the heated
stellar surface at the angle |
Open with DEXTER | |
In the text |
![]() |
Figure 6:
The dependence of the |
Open with DEXTER | |
In the text |
![]() |
Figure 7:
As in Fig. 6 but for different distances of the X-ray source from the star ( |
Open with DEXTER | |
In the text |
![]() |
Figure 8:
The |
Open with DEXTER | |
In the text |
Copyright ESO 2010
Current usage metrics show cumulative count of Article Views (full-text article views including HTML views, PDF and ePub downloads, according to the available data) and Abstracts Views on Vision4Press platform.
Data correspond to usage on the plateform after 2015. The current usage metrics is available 48-96 hours after online publication and is updated daily on week days.
Initial download of the metrics may take a while.