Issue |
A&A
Volume 514, May 2010
|
|
---|---|---|
Article Number | A48 | |
Number of page(s) | 14 | |
Section | Numerical methods and codes | |
DOI | https://doi.org/10.1051/0004-6361/200913435 | |
Published online | 12 May 2010 |
An axis-free overset grid in spherical polar coordinates for simulating 3D self-gravitating flows
A. Wongwathanarat - N. J.
Hammer - E. Müller
Max-Planck Institut für Astrophysik, Karl-Schwarzschild-Straße 1, 85740 Garching, Germany
Received 9 October 2009 / Accepted 3 March 2010
Abstract
Aims. Three dimensional explicit hydrodynamic codes
based on spherical polar coordinates using a single spherical polar
grid suffer from a severe restriction of the time step size due to the
convergence of grid lines near the poles of the coordinate system. More
importantly, numerical artifacts are encountered at the symmetry axis
of the grid where boundary conditions have to be imposed that flaw the
flow near the axis. The first problem can be eased and the second one
avoided by applying an overlapping grid technique.
Methods. A type of overlapping grid in spherical
coordinates is adopted. This so called ``Yin-Yang'' grid is a two-patch
overset grid proposed by Kageyama and Sato for geophysical simulations.
Its two grid patches contain only the low-latitude regions of the usual
spherical polar grid and are combined together in a simple manner. This
property of the Yin-Yang grid greatly simplifies its implementation
into a 3D code already employing spherical polar coordinates.
It further allows for a much larger time step in
3D simulations using high angular resolution ()
than that required in 3D simulations using a regular spherical
grid with the same angular resolution.
Results. The Yin-Yang grid is successfully
implemented into a 3D version of the explicit Eulerian
grid-based code PROMETHEUS including self-gravity. The modified code
successfully passed several standard hydrodynamic tests producing
results which are in very good agreement with analytic solutions.
Moreover, the solutions obtained with the Yin-Yang grid exhibit no
peculiar behaviour at the boundary between the two grid patches. The
code has also been successfully used to model astrophysically relevant
situations, namely equilibrium polytropes, a Taylor-Sedov explosion,
and Rayleigh-Taylor instabilities. According to our results, the usage
of the Yin-Yang grid greatly enhances the suitability and efficiency of
3D explicit Eulerian codes based on spherical polar
coordinates for astrophysical flows.
Key words: methods: numerical - hydrodynamics - gravitation - supernovae: general
1 Introduction
Three dimensional hydrodynamic simulations employing a single spherical polar grid are computationally expensive because of the convergence of grid lines towards the north and south pole. The converging grid lines imply a severe restriction of the time step size for any hydrodynamic code using explicit time discretization due to the CFL condition. This so-called ``pole problem'' bothers astrophysicists when simulating self-gravitating flow in three dimensions (e.g., convection in stars, or stellar explosions) where the spherical coordinate system is often preferable. In particular, simulations of core-collapse supernovae are a problem with which astrophysicists have been struggling. While observations show clear evidence of asymmetric (3D) complex structures in supernova ejecta, numerical simulations, in most cases, are carried out only in two spatial dimensions assuming axisymmetry (e.g., Blondin & Mezzacappa 2006; Scheck et al. 2006; Ohnishi et al. 2007). Three dimensional core-collapse supernova simulations are rare (e.g., Iwakami et al. 2008; Janka et al. 2005; Mezzacappa et al. 2006; Scheck 2006). In addition to the severe restriction of the time step size, boundary conditions that have to be imposed at the symmetry axis![$\theta \in
[0, \pi]$](/articles/aa/full_html/2010/06/aa13435-09/img31.png)
There have been attempts to construct a new type of grid which
is able
to ease the pole problem. However, it is not possible to construct a
single grid patch that can cover the entire surface of a sphere, is
orthogonal, and at the same time does not contain any coordinate
singularity except at the origin. Therefore, multi-patch grid and
overlapping (or overset) grid approaches are employed. They are widely
used in the field of computational fluid dynamics where complex grid
structures are common. For flows possessing an approximate global
spherical symmetry, the ``cubed sphere'' grid (Ronchi et al. 1996)
has
been developed and is currently applied to several astrophysical
problems (e.g. Koldoba
et al. 2002; Fragile et al. 2009; Romanova
et al. 2003; Zink et al. 2008). It
is an overset grid consisting of six
identical patches covering a solid angle of
steradians. The
``Yin-Yang'' grid has the latter property, too, but up to now it has
not been used in astrophysical applications.
The Yin-Yang grid was introduced by Kageyama & Sato (2004). It consists of two overlapping grid patches named ``Yin'' and ``Yang'' grid. In comparison with other types of overset grids in spherical geometry, the Yin-Yang grid geometry is simple, as both the Yin and the Yang grid consist of a part of a usual spherical polar grid. The transformation of coordinates and vector components between the two patches is straightforward and symmetric, thus allowing for an easy and straightforward implementation of the grid into a 3D code already employing spherical polar coordinates. The Yin-Yang grid is successfully used on massively parallel supercomputers in the field of geophysical science for simulations of mantle convection and the geodynamo. In these applications the thermal convection equation and the magnetohydrodynamic (MHD) equations are solved on the Yin-Yang grid using a second-order accurate finite difference method. Here, we also adopt the Yin-Yang grid, and use it for astrophysically relevant (finite-volume) hydrodynamic simulations for the first time.
The paper is structured as follows. In Sect. 2, we describe the basics of the Yin-Yang grid configuration including the transformations of coordinates and vectors between the Yin and Yang grid patches. In Sect. 3, we provide the details of the implementation of the Yin-Yang grid into the PROMETHEUS hydrodynamic code, and also discuss the resulting necessary modifications of its 3D gravity solver that is based on spherical harmonics. In Sect. 4, we present the results of the test calculations we have performed including a test with self-gravity. In Sect. 5, we discuss the conservation problem arising when applying the Yin-Yang grid. Then we report on the efficiency and performance gain obtained with the Yin-Yang grid compared to a spherical polar grid in Sect. 6. Finally, we give the conclusions from our study in Sect. 7.
2 Yin-Yang grid
The Yin-Yang grid configuration is shown in Fig. 1. Both
the Yin and the Yang grid are simply a part of a usual spherical polar
grid and are identical in geometry. The angular domain of each grid
patch is given by
where








![]() |
Figure 1: An axis-free Yin-Yang grid configuration plotted on a spherical surface. Both the Yin (red) and Yang (blue) grid are the low latitude part of the normal spherical polar grid and are identical in geometry. The Yang grid is obtained from the Yin grid by two rotations, and vice versa. |
Open with DEXTER |
The Cartesian coordinates
corresponding to the Yin grid, denoted by a superscript (n), and the Cartesian coordinates
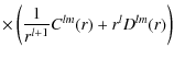
corresponding to the Yang grid, denoted by a superscript (e), are related to each other through the transformation
where
This Yin-Yang coordinate transformation can also be considered as two subsequent rotations. Accordingly, the transformation matrix M can be written as



The relation between the spherical coordinates of the Yin and
Yang
grid patches can be derived directly from the transformation matrix
M. Because the Yin-Yang coordinate transformation
involves only
rotations, it implies that the radial coordinate is identical on the
Yin and the Yang grid. The angular coordinates transform as
Note that the inverse transformation has the same form as (6) and (7) but exchanging the (grid) superscripts.
Vector components in spherical coordinates transform according
to
where
is the vector transformation matrix. When switching (grid) superscripts (e) and (n) in matrix P, the inverse vector transformation matrix is obtained. For a detailed derivation of the transformation matrix P, we refer to Sect. 3 of Kageyama & Sato (2004). Note that the vector transformation matrix P is singular at

3 Implementation
We have implemented the Yin-Yang grid into our explicit finite-volume Eulerian hydrodynamics code, PROMETHEUS, which integrates the equations of multidimensional hydrodynamics using the piecewise parabolic method (PPM; Collela & Woodward 1984) and dimensional splitting. The code also includes a Poisson solver based on spherical harmonics to handle self-gravity.
3.1 Hydrodynamics solver
Firstly, the Yin-Yang grid needs to be constructed. Since both the Yin
and the Yang grid are part of a spherical polar grid an analogous
spatial discretization in angular direction can be used. For example,
the
and
coordinates of the zone center of an angular
zone (j, k) of a Yin-Yang grid,
having
zones in
-direction
and
zones in
-direction,
are given
by
![]() |
(10) | |
![]() |
(11) |
where
![]() |
(12) | |
![]() |
(13) |
are the respective angular grid spacings.
The range of values for the colatitude
and the azimuth angle
are as given in (1),
and for simplicity we set
.
In radial direction no modification is
required. The geometric property of the Yin-Yang grid allows us to
make use of the coordinate arrays ri,
and
twice by
enforcing the same grid resolution for both grid
patches. This approach avoids doubling the coordinate arrays.
Only simple modifications are needed concerning the data and
program
structure. Arrays with three spatial indices, e.g., i,
j, and k,
need an extra grid index, say, l. For example, the
array for the
density field will be
instead of
.
As a
consequence any triple loop running over indices i,
j, and k in
the program becomes a fourfold loop over i, j,
k, and linstead. Otherwise, the
Yin-Yang grid allows one to exploit without
any further modification any already implemented finite-volume scheme
in spherical coordinates to solve the equations of hydrodynamics.
Different from the spherical polar grid, the Yin-Yang grid requires no boundary conditions in angular directions. Each grid patch communicates with its neighboring patch using information from ghost zones that is obtained by interpolation of data between internal grid zones of the neighboring grid patch. Interpolation is only required in the two angular coordinates as the radial part of the Yin-Yang grid is identical to that of a spherical polar grid. It is straightforward to determine the corresponding interpolation coefficients. The mapping of vector quantities between the Yin and Yang grid patches requires an additional step. After interpolating the vector components they must be transformed according to the transformation given in Eq. (8) from the Yin to the Yang angular coordinate system, and vice versa.
We tested two interpolation procedures. In the first one all primitive state variables (density, velocity, energy, pressure, temperature, abundances) are interpolated ignoring the resulting small thermodynamic inconsistencies. In the second procedure, we only interpolate the conserved quantities (density, momentum, total energy, and abundances), and compute the velocity and the remaining thermodynamic state variables consistently via the equation of state. Both procedures produce very similar results which differ at the level of the discretization errors. As the second procedure is more consistent we use it as the standard one in our code.
An example of overlapping situations which are encountered when using a Yin-Yang grid is shown in Fig. 2. For simplicity, we use bi-linear interpolation in order to prevent unwanted oscillation. Because the grid patches are fixed in both angular directions the interpolation coefficients for each ghost zone need to be calculated only once per simulation at the initialization step. After initialization, the coefficient map is stored in an array for later usage. Moreover, the symmetry property of the Yin-Yang transformation allows one to make use of the interpolation coefficients twice for both grids.
![]() |
Figure 2: A Mercator projection of an overlap region of the Yin-Yang grid. In case of bi-linear interpolation, four neighboring values of the underlying grid (red) will be used to determine the zone-centered value of a ghost zone in the grid on top (blue). The interpolation coefficients are determined by the relative distances, denoted by black lines, between the interpolation point (diamond) and the four neighboring points (crosses). |
Open with DEXTER |
Because the Yin-Yang grid is an overlapping grid integral quantities
such as the total mass or total energy on the computational domain
cannot be obtained by just summing local quantities from every grid
cells. Doing so will result in counting the contributions in the
overlapping region twice. To circumvent this problem, weights are
given to each grid zone during the summation. Suppose a grid zone has
an overlapping volume fraction
the cell will receive a weight
.
Zones in the non-overlapping region receive the
weight of 1.0, i.e., the entire zone contributes to the integral
while, on the other hand, zones that are fully contained within the
overlapping region have a weight 0.5. The volume fraction
does not
depend on the radial coordinate and can be thought of as an
area fraction since the grid patches are not offset in radial
direction. Prior to the area integration, one needs to determine for
each zone interface of the underlying grid the points where the
interface is intersected by the boundary lines of the other grid,
e.g., points on the Yin grid intersected by the boundary lines of the
Yang grid. The intersection points can be determined using the
Yin-Yang coordinate transformation in (6)
and (7),
respectively. The integration in the overlapping
area is then carried out using the trapezoidal method. This procedure
is also described in Peng
et al. (2006). Once the area or volume fraction
is
calculated, the weights for each cell are obtained
easily. Note that these weights need to be calculated only at the
initialization step, and are stored for later usage in a coefficient
map w(j,k),
where j and k are the indices
referring to the
and
coordinates, respectively. The coefficient map can
be applied to both grids without any modification. Using the above
described approach, the volume or surface area of the grids can be
calculated with an accuracy up to machine precision.
3.2 Gravity solver
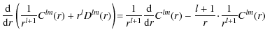
The 3D Newtonian gravitational potential is computed from Poisson's equation in its integral form using an expansion into spherical harmonics as described in Müller & Steinmetz (1995). Because the algorithm of these authors is based on a (single) spherical polar grid the density on the Yin-Yang sphere has to be interpolated onto an auxiliary spherical polar grid. The interpolation used is first-order accurate, and due to the simplicity of the Yin-Yang grid configuration has to be performed only in the two angular dimensions. Concerning the resolution of the auxiliary grid, it is natural to employ the same grid resolution as that used for the Yin-Yang grid in all three spatial dimensions. The orientation of the auxiliary grid can be chosen freely in principle. However, it is convenient to align it with one of the two grid patches (the Yin-grid in our case). Once the density is interpolated onto the auxiliary spherical grid we compute the gravitational potential, as suggested by Müller & Steinmetz (1995), at zone interfaces instead of at zone centers on both the Yin and Yang grid. The gravitational acceleration at zone centers can then be obtained by central differencing the potential. Note that the interpolation coefficients for the density need to be calculated only once per simulation, because both the auxiliary grid and the Yin-Yang grid are fixed in angular directions. In addition, all angular weights, Legendre polynomials, and their integrals required for the calculation of the gravitational potential are stored after the initialization step for later usage.
It is also possible to directly calculate the gravitational
acceleration at zone centers. The gravitational potential is given by
(see Eqs. (5)-(7) in Müller
& Steinmetz 1995)
with
![]() |
(15) | ||
![]() |
(16) |
where Ylm and Ylm* are the spherical harmonics and their complex conjugates,


Writing the radial derivative in Eq. (17) as
and noticing that the first and third term on the right hand side of this expression cancel each other because of the identities
![]() |
(19) |
and
![]() |
(20) |
the gravitational acceleration in radial direction becomes
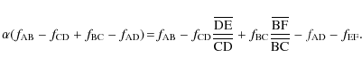
The corresponding expressions for the gravitational acceleration in the two angular directions are easy to obtain since the spherical harmonics Ylm are the only angular-dependent terms in Eq. (14). Therefore, we only need to consider the partial derivatives of the spherical harmonics with respect to the


![]() |
(22) |
where Nlm is the normalization constant and Plm the associated Legendre polynomial, one finds
![]() |
(23) |
and
![]() |
(24) |
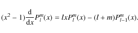
The derivatives of the associated Legendre polynomials are easily obtained using the recurrence formula
![]() |
(25) |
Thus, one finds for the gravitational acceleration in the angular directions
and
Obviously, the expressions for three components of the gravitational acceleration (see Eqs. (21), (26), and (27)) are similar to that for the gravitational potential itself (see Eq. (14)). Hence, besides computing derivatives of Legendre polynomials, our extended Poisson solver can provide without much additional effort both the gravitational potential and the corresponding acceleration.
Usage of the analytic expressions for the gravitational acceleration avoids the errors arising from the numerical differentiation of the gravitational potential. However, tests show that the results obtained using either the gravitational potential computed with the ``standard'' Poisson solver and subsequent numerical differentiation or directly the gravitational acceleration provided by the extended Poisson solver differ only very slightly (see next section). Thus, we decided to stick to the ``standard'' Poisson solver in our simulations and compute the gravitational acceleration by numerical differentiation, as it requires no modification of our code.
![]() |
Figure 3:
One dimensional profiles of density |
Open with DEXTER |
4 Test suites
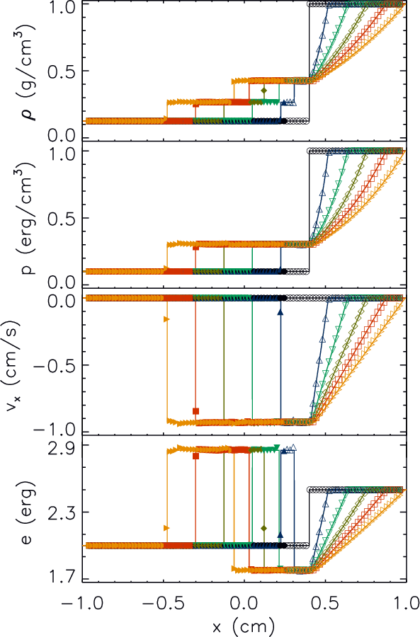
4.1 Sod shock tube
The first problem of our test suite is the planar Sod shock tube
problem, a classical hydrodynamic test problem (Sod
1978). We
simulated this (1D Cartesian) flow problem using spherical coordinates
and the Yin-Yang grid. The initial state consists of two constant
states given by
where







![]() |
Figure 4:
Snapshot of density contours in the meridional plane |
Open with DEXTER |
The solution of the shock tube problem is well-known. We compare our
results with the solution calculated using an exact Riemann solver
(Toro 1997). For comparison,
data are re-sampled along the
x-direction with a spacing cm.
Figure 3
shows one dimensional profiles of
,
p, vx,
and e (specific internal energy), respectively,
along
the x-direction at z(n)=0.25 cm
and y(n)=0 cm
(dashed-dotted line in Fig. 4) at
different
times. Our results agree very well with the solution obtained with the
exact Riemann solver. The grid resolution is sufficiently high to give
a sharp shock front and contact discontinuity while the rarefaction
wave is smooth. The shock position is correct at all time throughout
the simulation. The re-sampled data yield an accuracy of approximately
on average
for shock positions. The shock wave and the contact
discontinuity propagate smoothly across the Yin-Yang boundary located
at x(n)=0.25 cm
without any noticeable effect by the existence
of the boundary. To illustrate this behavior, Fig. 4
shows lines of constant density in the meridional plane
at time t=0.15 s.
The isocontours are nearly perfectly straight
lines perpendicular to the x-axis that are
unaffected by the
Yin-Yang boundary (dashed line). The contour lines are slightly bent
near the outer radial edge of the computational domain due to the
zero-gradient boundary condition we have imposed there.
In order to firmly demonstrate that the Yin-Yang boundary does
not
cause numerical artifacts, we also computed this shock tube problem
with a standard spherical polar grid using the same radial and angular
resolution as for the Yin-Yang grid described above, i.e.,
.
We imposed reflecting
boundary conditions in
-direction
and periodic ones in
-direction.
Figure 5
shows a comparison of the
results obtained with both simulations. The two panels give the
tangential velocity, defined as
,
in the meridional plane
at time
t=0.15 s for the Yin-Yang grid (left), and
the standard spherical
polar grid (right), respectively. This velocity component should
remain exactly zero because of the chosen initial conditions. Thus, it
is a sensitive indicator whether the Yin-Yang boundary works properly,
which obviously is indeed the case as the left panel of
Fig. 5
shows no hint of the location of that
boundary. The modulus of the tangential velocity does nowhere exceed
a value of 0.05 cm/s or approximately
of the shock velocity
(in x-direction) except near the outer radial edge
of the grids,
where the boundary condition causes larger numerical errors. Note
that nonzero tangential velocities are encountered on both the
Yin-Yang grid and the standard spherical polar grid in the same grid
regions at the same level. We thus conclude that they are the result
of numerical errors that unavoidably occur when propagating a planar
shock across a spherical polar grid, be it a standard one or a
Yin-Yang grid.
![]() |
Figure 5:
Color maps of the tangential velocity defined by |
Open with DEXTER |
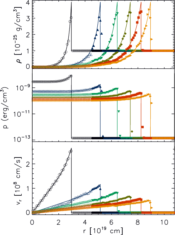
4.2 Taylor-Sedov explosion
As a second test for our code we consider the Taylor-Sedov explosion
problem. We set up the initial state for the problem by mapping a
spherically symmetric analytic solution (Landau
& Lifshitz 1959) onto the
computational grid. We choose the parameters of the problem to mimic a
supernova explosion in an interstellar medium. Because the shock wave
resulting from the explosion is spherically symmetric with respect to
the center of the explosion, we assume the explosion center to be
located at the point cm.
Hence, this second test problem also involves a
non-zero flux of mass, momentum, and energy across the Yin-Yang
boundary, and as the previous shock tube test, it probes whether that
boundary causes any numerical artifacts.
The initial shock radius is cm
orresponding to a time
s
past the
onset of the explosion, and the explosion energy was set to E0
=
1051 erg. The ambient medium into which
the shock wave is
propagating is at rest. It has a constant density
g/cm3,
and a constant pressure
erg/cm3.
The fluid is described by an ideal gas equation
of state with an adiabatic index
,
resulting in a
density jump across the shock front of
.
We use a grid resolution of
zones,
a computational domain covering the radial interval
cm,
and employ a zero-gradient boundary
condition at both the inner and the outer radial boundary.
Our results are shown together with the analytic solution in
Fig. 6.
We have re-sampled our data and calculated
radial profiles of the density ,
pressure p, and radial
velocity vr
along a line in z-direction through the explosion
center using a uniform radial spacing
cm.
As one
can see the numerical results agree very well with the analytic
solution. All flow quantities are smooth across the Yin-Yang boundary,
i.e., the shock wave passes that boundary without any
noticeable
numerical artifact. Due to the finite resolution the density jump
across the shock front is slightly smaller in the simulation than the
analytic value of four. However, the shock front is sharp throughout
the whole simulation, and it propagates with the correct speed. One
distinct feature of the Taylor-Sedov solution is its spherical
symmetry. To illustrate that the Yin-Yang grid does not destroy this
symmetry of the solution, we show a set of lines of constant density
in the meridional plane
in Fig. 7.
We also marked the line (dashed-dotted) along which the data given in
Fig. 6
are re-sampled. The contour lines, all of
which are almost perfectly circular, are drawn at a simulation time
s
(i.e., time step number 1276)
corresponding to an explosion time
s.
![]() |
Figure 6:
Distributions of density ( top), pressure (
middle) and radial velocity ( bottom)
versus radius from the explosion center (located at |
Open with DEXTER |
![]() |
Figure 7:
Lines of constant density in the meridional plane |
Open with DEXTER |
![]() |
Figure 8:
Evolution of the mass within the overlap region for the Taylor-Sedov
test case computed on the Yin grid, |
Open with DEXTER |
We further studied how the solution differs in the region where the
Yin and Yang grid overlap. To this end we compare the total mass
within the overlap region computed on the Yin and the Yang grid,
respectively. Figure 8 shows the
evolution of the
relative mass difference, i.e., the mass within the overlap
region
computed on the Yin grid,
minus the mass computed on
the Yang grid,
,
divided by the sum of these two
masses. We calculated this quantity for three different (angular)
grids with
zones (i.e.,
angular
resolution),
zones (i.e.,
angular
resolution), and
(i.e.,
angular resolution), respectively. For all three
grid resolutions the relative mass difference has a value of
about 10-4. Although its evolution with
time is different in case of
the
simulation (because the coarse angular grid causes large
errors when mapping the analytic initial data onto the grid which
determine the further evolution), Fig. 8 shows
that for an angular resolution better than
the relative mass
difference behaves similarly, its maximum value decreasing from
at
angular resolution to
at
angular resolution.
4.3 Rayleigh-Taylor instability
We also simulated a single mode Rayleigh-Taylor instability (RTI) on a
Yin-Yang sphere. The initial configuration consists of a spherical
shell of a heavier fluid of density g/cm3
that is
supported against a constant gravitational field g
= 1 cm/s2pointing in negative radial
direction by a spherical shell of a
lighter fluid of density
g/cm3.
The boundary between
the two fluid shells is initially located at a radius r=0.5 cm.
To
balance the gravitational force, the initial (radial) pressure
distribution is set to
where P0=1 erg/cm3. A radial velocity varying in angular direction as the spherical harmonics


The spherical harmonics

![]() |
(31) |
The perturbation mode (l,m)=(3,2) yields a maximum radial velocity in the directions
![]() |
(32) |
where



A snapshot of the resulting density distribution obtained with
the
Yin-Yang grid is displayed in Fig. 9 at epoch
t=2.85 s. The left panel shows color coded
contour lines in 3D, and
the right one a meridional cut at .
The contour lines are
drawn using different color tables for the Yin and Yang grid,
respectively. Four distinct bubbles of rising low density fluid (Yin:
blue; Yang: bright gray) are clearly visible that reflect the initial
perturbation mode (l,m)=(3,2).
High density fluid (Yin: yellow/red;
Yang: dark gray/black) sinks down and settles at the inner part of the
sphere. One can also notice Kelvin-Helmholtz instabilities developing
at the surface of the bubbles. This is particularly obvious in the
meridional cut (right panel). One of the RTI bubbles is within the
Yang grid, while the three others reside on the Yin grid. It is
obvious that the bubbles are distributed symmetrically following the
perturbation pattern regardless of the grid patch. The 2D contour
lines shown in the right panel of Fig. 9 emphasize this
fact.
The RTI bubbles grow with nearly the same growth rate in all
four
(perturbation) directions, as can also be seen from Fig. 10 that
displays the position of each bubble's head
versus time. The four curves lie exactly on top of each other during
the phase of linear growth. There are slight discrepancies between the
four curves in the non-linear regime, because the linear grid
resolution in angular direction is slightly non-equidistant (due to
its dependence).
Two curves from the Yin grid coincide
perfectly since they represent the two bubbles that lie symmetrically
above and below the equator in the Yin grid. The results confirm that
the Yin-Yang grid does not favor any angular direction on the
sphere. Since our aim was only to demonstrate this important fact, we
do not further analyze the growth rate of the RTI.
4.4 Gravitational potential of homogeneous spheroids
We investigate the accuracy of our gravity solver by calculating the
gravitational potential of homogeneous spheroids. We consider two
homogeneous self-gravitating configurations: a prolate spheroid with
an axis ratio of 0.7, and a sphere. The configurations have a
constant density g/cm3,
and are embedded into a
homogeneous background of much lower density
g/cm3
in order to minimize the background's contribution
to the gravitational potential. The semi-major axis of the spheroid
aligns with the x-axis, while its center is placed
at the origin of
the Yin-Yang grid. To provide a more difficult test for our multipole
based gravity solver, we shift the center of the sphere off the origin
of the computational grid by more than one sphere radius.
The analytical form of the gravitational potential for both
type of
configurations are known. The solution for the prolate spheroid can be
found in Chap. 3 of Chandrasekhar
(1969), and the sphere's potential
can be easily calculated. Figure 11 shows
contour
lines of the gravitational potential for both cases in the meridional
plane .
The potential is calculated on a grid of
zones with L=15, where L is the
number of spherical harmonics taken into account (see
Sect. 3.2).
The contour lines are smooth across the
Yin-Yang boundary for both the prolate spheroid and the sphere.
Concerning the convergence behavior of the solver, we consider
various
grid resolutions and a number of spherical harmonics ranging up to
L=25 for this convergence test. The grid resolutions
used in the
test are
zones,
zones,
zones,
and
zones, respectively. The
maximum and mean error of the gravitational potential are given as a
function of L for both considered configurations in
the middle and
right panels of Fig. 11,
respectively. Both errors
show a convergence behavior with higher grid resolution, and tend to
saturate at large values of L. This behavior is
similar to what is
described in Müller &
Steinmetz (1995). In addition, for lower grid
resolution the accuracy saturates at a lower number of spherical
harmonics compared to calculations with a higher grid resolution. This
is expected since higher order terms in the multipole expansion are
not well represented on grids of lower angular resolution.
![]() |
Figure 9:
Surfaces of constant density in 3D ( left)
and 2D ( right; meridional cut at |
Open with DEXTER |
We also tested our extended Poisson solver discussed in
Sect. 3.2.
In Table 1
we compare
the mean errors in the components of the gravitational acceleration
for both the prolate spheroid and the sphere test case computed with
the numerically differentiated gravitational potential given in
Eq. (14)
with those obtained from the analytic expression
given in Eqs. (21),
(26),
and (27),
respectively. We used a grid of
zones and L=15 for this comparison.
![]() |
Figure 10: Position of the heads of the RTI bubbles versus time. Red symbols (circles, triangles, and squares) show data from the Yin grid, while blue symbols (diamonds) represent data on the Yang grid. |
Open with DEXTER |
![]() |
Figure 11:
Contour lines of the gravitational potential ( left column)
for two homogeneous self-gravitating configurations: a prolate spheroid
( top row) with an axis ratio of 0.7, and a sphere (
bottom row). The configurations are indicated by the
dark-gray shaded areas. Dashed lines show the Yin-Yang boundary, while
dotted lines indicate the outer radial boundary of the computational
grid. The middle and right columns give the
maximum and mean error of the numerically calculated gravitational
potential for different grid resolutions as a function of the number of
spherical harmonics used in our multipole gravity solver. The solid,
dotted, dashed, and dashed-dotted lines in both columns correspond to a
grid resolution of |
Open with DEXTER |




Table 1: Mean errors in the gravitational acceleration.
4.5 Self-gravitating polytropes
Using our Yin-Yang grid based hydro-code we have also considered self-gravitating, non-rotating and rotating equilibrium polytropes. Both kinds of polytropes provide another test of the Poisson solver, and a test of how well our hydrodynamics code can keep a self-gravitating configuration in hydrostatic and stationary equilibrium, respectively. In addition, the rotating polytrope also serves to test the proper working of the Yin-Yang boundary treatment, as it involves a considerable and systematic flow of mass, momentum and energy flux across that boundary due to the polytrope's rotation.
The polytropes have a polytropic index n=1,
a polytropic constant
,
and a central density of
g/cm3.
For our test runs we interpolated
equilibrium polytropes calculated with the method of Eriguchi & Müller (1985)
onto a Yin-Yang sphere, and simulated their dynamic evolution
(occurring as the interpolated configuration is not in perfect
hydrostatic equilibrium). The central region (r
< 1 km) of the
polytrope is cut out and replaced by a corresponding point mass to
allow for a larger time step.
We use an artificial atmosphere technique to handle those
regions of
the computational grid that lie outside the (rotating, i.e.,
non-spherical) polytrope. The density in the atmosphere is set equal
to a value ,
where
is the
central density of the polytrope. Here, atmosphere denotes any grid
zone whose density is less than the cut-off density
.
Furthermore, for all zones in the atmosphere the
velocity is set to zero in order to keep the atmosphere quiet. This
procedure is applied at the end of every time step throughout the
simulation. A zero-gradient boundary condition is imposed at the outer
radial boundary, and a reflecting boundary condition at the inner
one. The polytrope's evolution is followed for 10 ms
corresponding
to approximately 10 dynamic time scales in order to check how well
the initial approximate equilibrium configuration is maintained by the
Yin-Yang code.
For the non-rotating polytrope, we employ a grid of
zones. Note that we are able to use a relatively
low angular resolution compared to the other tests, because the
problem has spherical symmetry. Our results show that the polytrope
stays perfectly spherically symmetric throughout the simulation, and
that the non-radial velocities inside the polytrope remain zero. This
demonstrates that the Yin-Yang grid is able to preserve the initial
spherical symmetry. Figure 12 shows the
evolution of
the central density (more precisely of the density of the innermost
radial zone at r=1 km), which exhibits
oscillations with an
amplitude of the order of 10-4 without
any sign of a systematic trend. Comparing the initial radial
distributions of the density
(Fig. 13,
upper panel) and the radial velocity
(Fig. 13,
lower panel) of the polytrope with those
after 10 ms of evolution, we find no significant
deviations. Relative changes in the density profile are of the order
of 10-4, comparable to the size of the
fluctuations of the
central density. Only for zones near the edge of the polytrope the
deviations can reach a level of up to
,
in particular in the
zone next to the atmosphere. The figure also shows that data points
from the Yin and the Yang grid lie on top of each other confirming
that the code preserves the initial spherical symmetry of the
polytrope very well. Except for the zones at the polytrope's surface,
where the radial velocity is fluctuating at a level of approximately
cm/s, the radial velocities
are less than
106 cm/s (i.e., less than
of the local sound speed). Thus,
we conclude that a non-rotating (n=1) equilibrium
polytrope is
correctly handled by our Yin-Yang hydro-code.
![]() |
Figure 12: Relative change of the central density of a non-rotating (nearly) equilibrium polytrope as a function of time. |
Open with DEXTER |
![]() |
Figure 13: Density ( top) and radial velocity ( bottom) of a non-rotating n=1 equilibrium polytrope as a function of radius after t=10 ms of ``evolution''. In the top panel, the solid line shows the initial density profile. Red circles and blue triangles correspond to data from the Yin and the Yang grid, respectively. |
Open with DEXTER |
The rotating polytrope needs a higher grid resolution in
-direction,
as it is no longer spherically symmetric. Thus, we
used a grid resolution of
zones
for this simulation. The initial oblate equilibrium configuration has
an axis ratio of 0.7. We, again, evolve the configuration for
10 ms to test the correct treatment of the situation by our
Yin-Yang hydro-code.
Figure 14
shows the relative variation of the central
density as a function of time along an equatorial ray
(
;
)
and along the pole (
),
respectively. One also recognizes a slight systematic trend in the
behavior of the density fluctuation, which is steeper along the
equator than at the pole. However, in both cases the relative increase
of the central density is very small (
10-3). The initial
radial density profiles along the pole and the equator do not show any
significant change during the 10 ms of evolution we have
simulated
with the Yin-Yang code (Fig. 15, upper
panel). The
axis ratio has slightly increased to a value of 0.719. The radial
velocities (Fig. 15,
lower panel) are larger than in
the non-rotating case by about an order of magnitude, because it is
obviously more difficult to keep a rotating polytrope in equilibrium
than a non-rotating (spherically symmetric) one. We again find the
largest radial velocities (a few times 108 cm/s)
near the surface
of the polytrope, especially along the equator. However, these
velocities vary with time. When averaged over time (in the time
interval t=
[9, 10] ms) the profiles become flatter and the
velocities smaller. This confirms that the polytrope is oscillating
around its equilibrium configuration.
![]() |
Figure 14:
Same as Fig. 12
but for a rotating polytrope. The solid and dashed curves show the
relative variation of the density along an equatorial ray (
|
Open with DEXTER |
![]() |
Figure 15:
Density ( upper panel) and radial velocity (
lower panel) of a n=1 rotating polytrope
in stationary equilibrium as a function of radius after t=10 ms
of ``evolution''. In both panels the solid and dashed lines show the
profiles along an equatorial ray (
|
Open with DEXTER |
5 Conservation problem
The Yin-Yang grid has a disadvantage common with other types of overlapping grids (see, e.g., Wang 1995; Wu et al. 2007; Chesshire & Henshaw 1994). The communication via interpolation between the two grid patches does not guarantee conservation of conserved quantities even though the finite-volume difference scheme employed on each grid patch is conservative. Non-conservation occurs when a flow across the Yin-Yang boundary is present. This is the case in most of our tests except for the simulation of the non-rotating polytrope that involves only radial flow.
Nevertheless, we are still able to obtain sufficiently good
results
for all the test simulations discussed in the previous section. The
degree of non-conservation is highly problem dependent. A simulation
involving a considerable and systematic flow across the Yin-Yang
boundary, as e.g., in the case of the rotating polytrope, will
result in
a larger degree of non-conservation. We observe that the total mass
increases by
within 10 ms (or about ten dynamical
timescales) in the case of the rotating polytrope. For the
Taylor-Sedov test case, which is the cleanest test case in this
respect (as it involves, e.g., no boundary effects like the
shock tube,
and e.g., no artificial atmosphere like the rotating
polytrope), we find
a mass loss of the order of 10-5, only. As
Fig. 16
demonstrates this mass loss can be reduced by
using a higher angular resolution.
![]() |
Figure 16:
Evolution of the relative mass loss, (M-M0)/M0,
where M0 is the initial
total mass, for the Taylor-Sedov test simulated on three different
(angular) grids with |
Open with DEXTER |
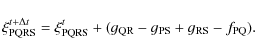
Conservation of conserved scalar quantities can be obtained to machine precision by applying the algorithm described in detail in Peng et al. (2006), and summarized below. According to this algorithm scalar fluxes at the outer edges of boundary zones of both the Yin and the Yang grid are replaced by scalar fluxes computed using only ``interior'' fluxes from adjacent grid zones.
As an illustration, consider the Yin-Yang grid overlap
configuration
in Fig. 17,
where PQRS is a grid zone at the boundary
of the Yang grid (blue) which overlaps with the underlying grid zone
of the Yin
grid (red). Fluxes referring to the Yin and the
Yang grid are denoted by f and g,
respectively.
The boundary flux
of the Yang grid is replaced by the flux
where




The flux
in Eq. (33)
is calculated using
information from zone
.
The evolution of a scalar quantity
of zone
is given by
Similarly, for the fraction of the zone


Assuming a piecewise constant state within the zone

where

Note that the flux



After obtaining the still missing flux


![]() |
(39) |
This procedure is then repeated to update all boundary grid zones.
After implementing the above algorithm we are able to conserve mass and total energy up to machine precision. However, the conservation of momentum is more complicated since the momentum equations in spherical coordinates involve not only flux (i.e., divergence) terms but also source terms (due to the presence of fictitious and pressure forces), and due to the ``mixing'' of momentum components as the Yin and Yang grid patches are rotated relative to each other (see Fig. 17).
As we have not yet devised and implemented a corresponding momentum conservation algorithm, momentum is not yet perfectly conserved in our code. For that reason we also refrain from using the scalar conservation algorithm described above, since in some simulations (e.g., in the Taylor-Sedov explosion simulation) we encountered a negative internal energy in some zones due to the inconsistency arising from the perfect conservation of mass and total energy on one hand and the imperfect conservation of momentum on the other hand. In our test runs the momentum violation is small, e.g., amounting to 0.24% (0.03%) angular momentum loss in the case of the rotating polytrope for a grid with three (one) degree angular resolution.
![]() |
Figure 17: Illustration of the Yin-Yang grid overlap configuration, where PQRS is a grid zone at the boundary of the Yang grid (blue) which overlaps with the underlying grid zone ABCD of the Yin grid (red). Fluxes referring to the Yin and the Yang grid are denoted by f and g, respectively. |
Open with DEXTER |
6 Performance and efficiency
One of the main purposes in implementing the Yin-Yang grid is to ease
the severe restriction imposed on the size of the time step for any
explicit hydrodynamics scheme by the CFL condition in the polar
regions of 3D simulations using a grid in spherical polar
coordinates. In most applications the size of the time step is
restricted most strongly by the size of the zones in -direction,
which is smaller than the size in
-direction by the factor
assuming an equal angular resolution
in both angular directions.
For a spherical polar grid the factor
implies (assuming
zone centered variables) a minimum zone size

(in radians) in



for the size of the smallest zone in

compared to the spherical polar grid.
Table 2 gives the value of this ratio for grids of various angular resolution, and various computational domains. These numbers provide an estimate of the gain in computation time one can expect when using the Yin-Yang grid instead of the spherical polar grid.
Table 2: Expected gain factor when using the Yin-Yang grid.
However, the gain factor calculated from the relative grid
spacings
does not determine the gain in the size of the time step, as the latter
is given in a more complicated way by the CFL condition
where C, vr,


Besides the performance gain due to the increased size of the
CFL time
step, the Yin-Yang grid also requires less computational zones to
cover the full sphere, and thus less computational time. For an
angular resolution
the spherical polar grid needs

zones to cover the full sphere, while the Yin-Yang grid requires only

zones. Hence, up to 25% fewer computational zones are required. The gain depends only weakly on angular resolution and is problem independent.
However, employing the Yin-Yang grid also requires some extra
amount
of computation compared to the spherical polar grid (see
Sect. 3). In
the following we only consider the extra costs of calculations during
the actual simulation, but not the extra costs arising during the
initialization, since these are negligible. We emphasize again that
there are two major extra sets of calculations necessary when applying
the Yin-Yang grid. The first set concerns the interpolation of the
ghost zone values that are needed for the communication between the
Yin and Yang grid patches. The second set arises from the
interpolation of the density onto the auxiliary spherical polar grid
grid and the interpolation of the gravitational potential back from
the auxiliary grid onto the Yin-Yang grid. Exploiting the algorithms
described in Sect. 3, the computational cost for both parts is
almost
negligible compared to the total computing time. Interpolation of the
ghost zone values requires only
of the total computing time
per cycle in simulations with self-gravity, while the interpolation of
density and gravitational potential performed within the gravity
solver accounts for
of the computing time needed for the
gravity solver. This corresponds to approximately
of the
computing time per cycle.
To obtain actual numbers for the gain, we performed several
timing
tests including simulations with and without self-gravity using four
different grid resolutions. The tests were carried on an IBM Power6
using a single processor. According to these tests the computing time
per cycle for the Yin-Yang grid averaged over five cycles is
approximately
and
smaller than for the spherical polar
grid for simulations without self-gravity and with
and
angular
resolution, respectively. For simulations including
self-gravity, the gain factor decreases by
approximately.
Concerning the gain from the less restrictive CFL condition,
we
consider the case of the rotating polytrope since the size of the time
step does not vary much throughout the simulation. For an angular
resolution of ,
we find a gain of approximately a factor of
63 when using the same Courant number both for the Yin-Yang grid and
the spherical polar grid.
7 Conclusion
A two-patch overset grid in spherical coordinates called the ``Yin-Yang'' grid is successfully implemented into our 3D Eulerian explicit hydrodynamics code, PROMETHEUS, including in particular the treatment of self-gravitating flows. The Yin-Yang grid eases the severe restriction of the time step size in the polar regions of the sphere, because each Yin-Yang grid patch contains only the low-latitude part of the usual spherical polar grid. From our experiences, the implementation steps are easy and straightforward for a hydrodynamics code using directional splitting and having 3D spherical polar coordinates already implemented due to the simplicity of the Yin-Yang transformation and its symmetry property. Basically it involves doubling the state variable arrays, calling the 1D core hydrodynamics solver in angular directions for both the Yin and the Yang grid, and adding a subroutine that handles the Yin-Yang transformation and the interpolation of variables between both grids.
We validated the code with several standard hydrodynamic tests. The test results show good agreement with analytic solutions if these are available. Furthermore, as demonstrated by three of our test problems - a planar shock crossing the Yin-Yang grid boundary, an off-center Taylor-Sedov explosion involving mass, momentum (all three components) and energy flux across the Yin-Yang grid boundary, and a polytrope whose rotation leads to considerable and systematic mass, momentum (only angular components) and energy flux across the Yin-Yang grid boundary - the Yin-Yang grid does not introduce any numerical artifact at the internal Yin-Yang boundary. The tests also confirm that the numerical solutions obtained with the Yin-Yang grid do not show any evidence of a preferred radial direction, as it eliminates numerical axes artifacts which seriously flaw the flow near the coordinate symmetry axis when using a spherical polar grid. Besides successfully simulating a Taylor-Sedov explosion and self-gravitating (rotating and non-rotating) equilibrium polytropes the code has also passed another astrophysically relevant test involving the growth of Rayleigh-Taylor instabilities.
Because the communication between the two grid patches involves interpolation, flows across the Yin-Yang boundary cause some small amount of non-conservation of conserved quantities. However, even for the (in this respect) severe test case of the rotating polytrope involving large flows across the Yin-Yang boundary, we observe only a small amount (less than one percent) of non-conservation.
The Yin-Yang grid offers a large gain in computing time
arising from
two sources. Firstly, the number of computational zones needed is
reduced by
approximately depending on the angular
resolution. This gain reduces the computing time per cycle and is
problem independent. Secondly, the size of the CFL time step is
considerably enhanced, because the polar regions with converging
meridional coordinate lines are not present in case of the Yin-Yang
grid. The corresponding gain in time step size highly depends on the
problem simulated. The extra costsfor interpolation between the two
grid patches and the interpolation performed in the gravity solver are
negligible compared to the gain in the time step size.
In conclusion, our implementation of the Yin-Yang grid into the multi-dimensional hydrodynamics code PROMETHEUS brings about the possibility to simulate three dimensional self-gravitating hydrodynamic flows in spherical coordinates which, in most cases, have been computationally inaccessible up to now due to the prohibitively large computational costs. With the possibility to add more physics such as neutrino transport (work in progress), the new code version can be used to carry out, e.g., core collapse supernova simulations in 3D.
AcknowledgementsThis research was supported by the Deutsche Forschungsgemeinschaft through the Transregional Collaborative Research Centers SFB/TR 27 ``Neutrinos and Beyond'' and SFB/TR 7 ``Gravitational Wave Astronomy'', and the Cluster of Excellence EXC 153 ``Origin and Structure of the Universe''. The simulations were performed at the Rechenzentrum Garching (RZG) of the Max-Planck-Society. We would like to thank Prof. A. Kageyama for sharing with us his Yin-Yang interpolation routine for scalar/vector fields, and the anonymous referee for his/her useful and supportive comments.
References
- Blondin, J. M., & Mezzacappa, A. 2006, ApJ, 642, 401 [NASA ADS] [CrossRef] [Google Scholar]
- Chandrasekhar, S. 1969, Ellipsoidal figures of equilibrium (Yale Univ. Press) [Google Scholar]
- Chesshire, G., & Henshaw, W. 1994, SIAM J. Sci. Comput., 15, 819 [CrossRef] [Google Scholar]
- Collela, P., & Woodward, P. R. 1984, J. Comput. Phys., 54, 174 [NASA ADS] [CrossRef] [MathSciNet] [Google Scholar]
- Eriguchi, Y., & Müller, E. 1985, A&A, 147, 161 [NASA ADS] [Google Scholar]
- Fragile, P. C., Lindner, C. C., Anninos, P., & Salmonson, J. D. 2009, ApJ, 691, 482 [NASA ADS] [CrossRef] [Google Scholar]
- Iwakami, W., Kotake, K., Ohnishi, N., Yamada, S., & Sawada, K. 2008, ApJ, 678, 1207 [NASA ADS] [CrossRef] [Google Scholar]
- Janka, H.-T., Scheck, L., Kifonidis, K., Müller, E., & Plewa, T. 2005, in The Fate of the Most Massive Stars, ed. R. Humphreys, & K. Stanek, ASP Conf. Ser., 332, 363 [Google Scholar]
- Kageyama, A., & Sato, T. 2004, Geochem. Geophys. Geosyst., 5 [Google Scholar]
- Kifonidis, K., Plewa, T., Janka, H.-T., & Müller, E. 2003, A&A, 408, 621 [NASA ADS] [CrossRef] [EDP Sciences] [Google Scholar]
- Koldoba, A. V., Romanova, M. M., Ustyugova, G. V., & Lovelace, R. V. E. 2002, ApJ, 576, L53 [NASA ADS] [CrossRef] [Google Scholar]
- Landau, L., & Lifshitz, E. 1959, Fluid mechanics, 6 (Pergamon) [Google Scholar]
- Mezzacappa, A., Bruenn, S., Blondin, J. M., Hix, W., & Messer, O. 2006, in AIP Conf. Proc., 924, 234 [Google Scholar]
- Müller, E., & Steinmetz, M. 1995, Comput. Phys. Commun., 89, 45 [NASA ADS] [CrossRef] [Google Scholar]
- Ohnishi, N., Kotake, K., & Yamada, S. 2007, ApJ, 667, 375 [NASA ADS] [CrossRef] [Google Scholar]
- Peng, X., Xiao, F., & Takahashi, K. 2006, Q.J.R. Meteorol. Soc., 132, 979 [Google Scholar]
- Romanova, M. M., Ustyugova, G. V., Koldoba, A. V., Wick, J. V., & Lovelace, R. V. E. 2003, ApJ, 595, 1009 [NASA ADS] [CrossRef] [Google Scholar]
- Ronchi, C., Iacono, R., & Paolucci, P. S. 1996, J. Comput. Phys., 124, 93 [NASA ADS] [CrossRef] [MathSciNet] [Google Scholar]
- Scheck, L. 2006, Ph.D. Thesis, Technical University Munich [Google Scholar]
- Scheck, L., Kifonidis, K., Janka, H.-T., & Müller, E. 2006, A&A, 457, 963 [NASA ADS] [CrossRef] [EDP Sciences] [Google Scholar]
- Sod, G. A. 1978, J. Comput. Phys., 27, 1 [NASA ADS] [CrossRef] [MathSciNet] [Google Scholar]
- Toro, E. F. 1997, Riemann solvers and numerical methods for fluid dynamics - a practical introduction (Springer) [Google Scholar]
- Wang, Z. 1995, J. Comput. Phys., 122, 96 [NASA ADS] [CrossRef] [Google Scholar]
- Wu, Z.-N., Xu, S.-S., Gao, B., & Zhuang, L.-S. 2007, Comput. Fluids, 36, 1657 [CrossRef] [Google Scholar]
- Zink, B., Schnetter, E., & Tiglio, M. 2008, Phys. Rev. D, 77 [Google Scholar]
Footnotes
- ... Hammer
- Present address: Max-Planck-Institut für Plasmaphysik, Boltzmannstraße 2, 85748 Garching, Germany.
All Tables
Table 1: Mean errors in the gravitational acceleration.
Table 2: Expected gain factor when using the Yin-Yang grid.
All Figures
![]() |
Figure 1: An axis-free Yin-Yang grid configuration plotted on a spherical surface. Both the Yin (red) and Yang (blue) grid are the low latitude part of the normal spherical polar grid and are identical in geometry. The Yang grid is obtained from the Yin grid by two rotations, and vice versa. |
Open with DEXTER | |
In the text |
![]() |
Figure 2: A Mercator projection of an overlap region of the Yin-Yang grid. In case of bi-linear interpolation, four neighboring values of the underlying grid (red) will be used to determine the zone-centered value of a ghost zone in the grid on top (blue). The interpolation coefficients are determined by the relative distances, denoted by black lines, between the interpolation point (diamond) and the four neighboring points (crosses). |
Open with DEXTER | |
In the text |
![]() |
Figure 3:
One dimensional profiles of density |
Open with DEXTER | |
In the text |
![]() |
Figure 4:
Snapshot of density contours in the meridional plane |
Open with DEXTER | |
In the text |
![]() |
Figure 5:
Color maps of the tangential velocity defined by |
Open with DEXTER | |
In the text |
![]() |
Figure 6:
Distributions of density ( top), pressure (
middle) and radial velocity ( bottom)
versus radius from the explosion center (located at |
Open with DEXTER | |
In the text |
![]() |
Figure 7:
Lines of constant density in the meridional plane |
Open with DEXTER | |
In the text |
![]() |
Figure 8:
Evolution of the mass within the overlap region for the Taylor-Sedov
test case computed on the Yin grid, |
Open with DEXTER | |
In the text |
![]() |
Figure 9:
Surfaces of constant density in 3D ( left)
and 2D ( right; meridional cut at |
Open with DEXTER | |
In the text |
![]() |
Figure 10: Position of the heads of the RTI bubbles versus time. Red symbols (circles, triangles, and squares) show data from the Yin grid, while blue symbols (diamonds) represent data on the Yang grid. |
Open with DEXTER | |
In the text |
![]() |
Figure 11:
Contour lines of the gravitational potential ( left column)
for two homogeneous self-gravitating configurations: a prolate spheroid
( top row) with an axis ratio of 0.7, and a sphere (
bottom row). The configurations are indicated by the
dark-gray shaded areas. Dashed lines show the Yin-Yang boundary, while
dotted lines indicate the outer radial boundary of the computational
grid. The middle and right columns give the
maximum and mean error of the numerically calculated gravitational
potential for different grid resolutions as a function of the number of
spherical harmonics used in our multipole gravity solver. The solid,
dotted, dashed, and dashed-dotted lines in both columns correspond to a
grid resolution of |
Open with DEXTER | |
In the text |
![]() |
Figure 12: Relative change of the central density of a non-rotating (nearly) equilibrium polytrope as a function of time. |
Open with DEXTER | |
In the text |
![]() |
Figure 13: Density ( top) and radial velocity ( bottom) of a non-rotating n=1 equilibrium polytrope as a function of radius after t=10 ms of ``evolution''. In the top panel, the solid line shows the initial density profile. Red circles and blue triangles correspond to data from the Yin and the Yang grid, respectively. |
Open with DEXTER | |
In the text |
![]() |
Figure 14:
Same as Fig. 12
but for a rotating polytrope. The solid and dashed curves show the
relative variation of the density along an equatorial ray (
|
Open with DEXTER | |
In the text |
![]() |
Figure 15:
Density ( upper panel) and radial velocity (
lower panel) of a n=1 rotating polytrope
in stationary equilibrium as a function of radius after t=10 ms
of ``evolution''. In both panels the solid and dashed lines show the
profiles along an equatorial ray (
|
Open with DEXTER | |
In the text |
![]() |
Figure 16:
Evolution of the relative mass loss, (M-M0)/M0,
where M0 is the initial
total mass, for the Taylor-Sedov test simulated on three different
(angular) grids with |
Open with DEXTER | |
In the text |
![]() |
Figure 17: Illustration of the Yin-Yang grid overlap configuration, where PQRS is a grid zone at the boundary of the Yang grid (blue) which overlaps with the underlying grid zone ABCD of the Yin grid (red). Fluxes referring to the Yin and the Yang grid are denoted by f and g, respectively. |
Open with DEXTER | |
In the text |
Copyright ESO 2010
Current usage metrics show cumulative count of Article Views (full-text article views including HTML views, PDF and ePub downloads, according to the available data) and Abstracts Views on Vision4Press platform.
Data correspond to usage on the plateform after 2015. The current usage metrics is available 48-96 hours after online publication and is updated daily on week days.
Initial download of the metrics may take a while.