Issue |
A&A
Volume 514, May 2010
|
|
---|---|---|
Article Number | A97 | |
Number of page(s) | 58 | |
Section | Catalogs and data | |
DOI | https://doi.org/10.1051/0004-6361/200913437 | |
Published online | 28 May 2010 |
A high-resolution spectroscopic survey of late-type stars: chromospheric activity, rotation, kinematics, and age
,![[*]](/icons/foot_motif.png)
J. López-Santiago1 - D. Montes1 - M. C. Gálvez-Ortiz2 - I. Crespo-Chacón1 - R. M. Martínez-Arnáiz1 - M. J. Fernández-Figueroa1 - E. de Castro1 - M. Cornide1
1 - Departamento de Astrofísica y Ciencias de la Atmósfera, Universidad Complutense de Madrid, 28040 Madrid, Spain
2 -
Centre For Astrophysics Research, University of Hertfordshire, College Lane, Hatfield,
Hertfordshire, AL10 9AB, UK
Received 9 October 2009 / Accepted 5 February 2010
Abstract
Aims. We present a compilation of spectroscopic data from a
survey of 144 chromospherically active young stars in the solar
neighborhood, which may be used to investigate different aspects of its
formation and evolution in terms of kinematics and stellar formation
history. The data have already been used by us in several studies. With
this paper, we make all these data accessible to the scientific
community for future studies on different topics.
Methods. We performed spectroscopic observations with echelle
spectrographs to cover the entirety of the optical spectral range
simultaneously. Standard data reduction was performed with the IRAF ECHELLE
package. We applied the spectral subtraction technique to reveal
chromospheric emission in the stars of the sample. The equivalent width
of chromospheric emission lines was measured in the subtracted spectra
and then converted to fluxes using equivalent width-flux relationships.
Radial and rotational velocities were determined by the
cross-correlation technique. Kinematics, equivalent widths of the
lithium line
Å and spectral types were also determined.
Results. A catalog of spectroscopic data is compiled: radial and
rotational velocities, space motion, equivalent widths of optical
chromospheric activity indicators from Ca II H & K to the calcium infrared triplet and the lithium line in 6708 Å. Fluxes in the chromospheric emission lines and
are also determined for each observation of a star in the sample. We
used these data to investigate the emission levels of our stars. The
study of the H
emission line revealed two different populations of chromospheric emitters in the sample, clearly separated in the
- (V-J) diagram. The dichotomy may be associated with the age of the stars.
Key words: Galaxy: stellar content - solar neighborhood - stars: late-type - stars: activity - stars: chromospheres
1 Introduction
The velocity (or phase) space in the solar neighborhood is rather complicated. In particular, the UV-plane shows different structures that are associated with the Galactic potential characteristics. At large scales, the UV-plane is dominated by long branches (Skuljan et al. 1999) related to dynamical perturbations altering the kinematics of the solar neighborhood (Famaey et al. 2005), including the resonance of the rotating bar (Antoja et al. 2009; Famaey et al. 2007). The fine structure of the velocity distribution of disk stars is more likely related to the existence of the classic Eggen moving groups (see Montes et al. 2001a, for a review of the young moving groups problem). In fact, the substructures found inside the long branches appear to have on average different ages (Asiain et al. 1999; Antoja et al. 2008), which agree with the idea of the moving groups being formed by coeval stars. These young substructures are mixed in phase space with old stars and it is difficult to discern between young and old stars only by their kinematics. In some cases, the vertical component of the Galactic velocity (W) can be used to reject membership of the star in one of the young moving groups. The vertical velocity dispersion in the solar vicinity is only dependent on the scale height (Toth & Ostriker 1992). Old stars (2-10 Gyr) present higher scale heights than young stars (<1 Gyr), and hence high values of W are more typical of old stars. However, the division between high and low velocity is subtle.
From the classical point of view of the Galactic velocity ellipsoid, early-type stars show lower dispersion in their Galactic velocities (U, V, and W) than late-type stars and are usually restricted to the spiral arms or star-forming regions. This result has already been interpreted in the past as a consequence of the increase of dispersion with increasing age (see Mihalas & Binney 1981). A recent study of the kinematics of M dwarfs in the solar vicinity by Bochanski et al. (2005) shows that the most chromospherically active (i.e. youngest) stars really show lower velocity dispersion than non-active (i.e. older) stars. Because of this and their ubiquity, late-type stars are excellent tracers of the Galactic potential (Bochanski et al. 2007). Distinguishing between young and old stars is then crucial to an understanding of the kinematics of the Galaxy and of stellar formation history in our neighborhood (López-Santiago et al. 2007).
An effort has been made in the past to quantify the proportion of young and old stars in samples of candidates of the young moving groups and associations using different age indicators. In particular, the level of magnetic activity is a powerful tool for this purpose (see López-Santiago et al. 2009). The activity level of late-type stars is inversely correlated with age due to the decrease of stellar rotation with increasing age (e.g. Rutten & Schrijver 1987; Pizzolato et al. 2003; Noyes et al. 1984; Skumanich 1972; Randich et al. 1996). The rotation-age-activity relationship persists into the fully convective regime (e.g. West et al. 2008; Reiners & Basri 2007). M dwarfs indeed have finite active lifetimes (West et al. 2009). Therefore, the level of magnetic activity is a good indicator of age for late-F to M dwarfs.
For four years, between 1999 and 2002, our group carried out a spectroscopic survey of chromospherically active late-type stars in the solar neighborhood, selected from a list of possible members of classical young stellar kinematic groups (Montes et al. 2001a). The aim was to use different age indicators (chromospheric activity, lithium, rotational velocity) to constrain some properties of the moving groups and to study in detail the existence of age subgroups in large samples of stars selected, mainly, by their kinematics. Since then, the information derived from this project has been extensively used by us in different works. For instance, Montes et al. (2001b) carried out a multi-wavelength study of a sample of active stars, which allowed us to constrain the age of 14 young late-type stars. The results put constraints on the age of some young moving groups. Also, López-Santiago et al. (2003) studied the relation between variations observed in the photosphere and chromosphere of PW And using data from this spectroscopic survey.
More recently, part of the data from this survey was used to investigate nearby young moving groups (López-Santiago et al. 2006). A consequence of this study was the confirmation of the existence of two age subgroups in the previously discovered AB Dor moving group (Zuckerman et al. 2004). Through age indicators (mainly chromospheric activity and lithium abundance), we showed that the Local Association is indeed a mixture of subgroups of stars with different ages. In López-Santiago et al. (2009), we used the information on the chromospheric activity of the stars provided by the spectroscopic survey, together with X-ray data from the ROSAT All Sky Survey (RASS) to quantify the contamination by old main-sequence stars of the sample of possible members of the Local Association in Montes et al. (2001a).
At present, two projects are being progressed by our group based on the stars in this survey: studying the connection between various chromospheric activity indicators and the star formation process in the chromosphere (see some preliminary results in López-Santiago et al. 2005; Crespo-Chacón et al. 2005); and determining abundances of different elements in each star of the sample.
In this paper, we compile data derived by us for the stars observed in our survey. Our aim is to make the spectroscopic data accessible to the scientific community for future studies. In this new era of Virtual Observatory and extensive photometric databases and catalogs, the compilation of spectroscopic data is important for the purpose of constraining the properties of different astronomical objects, in particular, of stars (e.g. Sciortino et al. 1995; Klutsch et al. 2008; Takeda et al. 2007; López-Santiago et al. 2007; Micela et al. 2007; López-Santiago et al. 2009). The utility of substantial spectroscopic compilations has been demonstrated in the past by various groups. For instance, the Geneva-Copenhagen group derived metallicities, ages and kinematics from spectroscopic observations of a very large sample of F to K-type (FGK) stars of the solar neighborhood (Nordström et al. 2004). These data were then used to investigate relations between metallicity, kinematics and age in the context of the evolution of the Galactic disk (Holmberg et al. 2009,2007; Nordström et al. 2004). Also, Fuhrmann (2008,2004) determined spectroscopic parameters (temperature, gravity, metallicity, mass) of FGK stars in the solar vicinity with the aim of constructing an unbiassed sample of stars in the Galactic thin and thick disk. Similarly, Allende Prieto et al. (2004) assembled a catalog of metallicities of late-type stars less than 25 pc from the sun.
Several spectroscopic surveys were performed mainly to study the evolution of magnetic activity with age in late-type stars, or simply to investigate chromospheric activity in general. Thus, the Palomar/MSU group compiled an extensive sample of nearby M stars and determined both kinematics (Reid et al. 1995) and chromospheric activity (Hawley et al. 1996). The data were also used to study the star formation history and luminosity function of the solar neighborhood (Reid et al. 2002; Gizis et al. 2002). Another study on chromospheric emission is that of Rauscher & Marcy (2006), who measured Ca II H & K in a large sample of K7-M stars. Some groups are carrying out studies on how variations in line profiles produced by chromospheric activity affect the detection of planets. These studies are producing new catalogs of natural targets of planet searches with chromospheric emission measurements (e.g. Martínez-Arnáiz et al. 2010, and references therein).
Other surveys have specifically focused on determining spectroscopic parameters of active stars. For instance, Strassmeier et al. (2000) presented measurements of equivalent widths of Ca II H & K, H,
and Li I in addition to the kinematics of a substantial sample of active and inactive FGK stars. Also, Torres et al. (2006) and Guillout et al. (2009)
determined kinematics and age indicators in comprehensive samples of
late-type stars to select members of young moving groups and
associations. White et al. (2007) determined the same parameters for stars in the Spitzer
Legacy Science Program ``The Formation and Evolution of Planetary
Systems'', aimed at studying the formation and evolution of
protoplanetary disks. And Shkolnik et al. (2009) performed a spectroscopic survey of young M dwarfs within 25 pc. As Valenti & Fischer (2005)
demonstrated in their spectroscopic analysis of effective temperature,
surface gravity, metallicity, projected rotational velocity and
abundance of 1040 nearby FGK stars, the use of automated
tools provides uniform results and makes the analysis of large samples
practical.
We determine here equivalent widths and fluxes of most of the chromospheric activity indicators from Ca II H & K to the Ca II infrared triplet (including the Balmer series and the Na I doublet and Mg I triplet) in a sample of stars of the spectral types F to M. In this sense, our study implies an extension in terms of both spectral type range and wavelength coverage. We use the subtraction technique to subtract the photospheric contribution from the observed spectra, avoiding the use of calibrations to determine chromospheric emission. This approach represents an advance on previous studies. Together with the kinematics, rotation, and equivalent widths of Li I determined in this work, the sample constitutes an excellent laboratory for understanding the formation and evolution of the solar neighborhood during the past billion years.
The structure of the paper is as follows: in Sect. 2 we give details of the sample selection, the observations, and the data reduction methodology. In Sect. 3 we describe how we determined each parameter from the spectra. A brief summary of the results is given in Sect. 4. The Appendix contains tables with all the data and some figures with the spectra of stars in terms of selected chromospheric and photospheric features.
2 Sample selection, observations and data reduction
Our sample contains a total of 144 late-type stars. We selected 105 single stars from Montes et al. (2001a). Due to their membership in any of the moving groups studied in Montes et al. (2001a) (see Sect. 3.2
for a more detailed discussion on the stellar kinematic groups), we
were quite certain that they are young and present chromospheric
emission lines. Although late-type K and M stars remain
active for a long period of their life (e.g. West et al. 2008),
adding the condition of being member of a young moving group places a
greater restriction on a star's age. Nevertheless, since the Montes et al. (2001a) sample also contains some old stars (López-Santiago et al. 2009), several stars of our
present work could be older than Gyr.
The remaining 39 stars of our sample were selected because they
showed a high level of magnetic activity, rotational rate, and/or
lithium abundance. A complete list of the stars observed by us is
given in Table 1. The sample is
restricted in declination since the observations were taken in
telescopes sited in the Northern Hemisphere. The minimum declination
reached is approximately
.
Another restriction is the brightness of the star. Since echelle spectrographs have low efficiency, only stars with approximately
mag were selected. Our aim was to obtain spectra with high S/N even for the faintest stars (70-200 in the region of H
).
Spectral-type reference stars and radial velocity standards,
used to determine the chromospheric excesses and heliocentric
velocities of our stars, were also observed in each campaign.
To obtain robust results, we ensured good spectral-type coverage
in each observing run. A complete list of these stars is given in
Table A.1.
Table 1: Late-type stars studied in this work (HD number or other name).
The observations were carried out during twelve observing runs between 1999 and
2002. We used high resolution echelle spectrographs (resolving power,
,
ranging from 30 000 to 60 000 at 6500 Å,
Å),
with the exception of one observing run, where we used a long-slit spectrograph with
spectral resolution
Å. Eighteen stars were observed
with the latter configuration, nine of them were observed only during this observing run.
For these nine stars, we determined only radial and rotational velocities and measured
equivalent widths of Li I when possible. In general, errors in the measurements are
only slightly larger for these stars than for those observed with higher resolution
(see Table A.2). However, the low resolution of the spectra in this observing
run prevented us from measuring chromospheric emission in these nine stars to compare
with our high resolution spectra (see Walkowicz & Hawley 2009, for a discussion on this issue).
Details of each observing run are given in Table 2: date,
telescope, spectrograph, CCD chip, spectral range covered, number of orders
included in each echelle spectrum, range of reciprocal dispersion and
spectral resolution (determined as the full width at half maximum,
FWHM, of the arc comparison lines).
Some of the stars were observed more than once (in the same campaign or even
in different ones). The total number of spectra collected for this survey is 518 for
targets and more than 50 for standards.
Table 2: Observing run details.
For data reduction, we used the standard procedures in the IRAF
package (bias subtraction, extraction of scattered light produced by
optical system, division by a normalized flat-field and wavelength
calibration). After reduction, each spectrum was normalized to its
continuum, order by order, by fitting a polynomial function.
3 Results
3.1 Radial velocities
Heliocentric radial velocities were determined with the cross-correlation technique. In each observing run, the spectrum of each star was cross-correlated order by order against spectra of radial velocity standards of similar spectral type (stars marked with an asterisk in Table A.1) with the routine fxcor in IRAF. For each observed spectrum, radial velocities were derived for different spectral orders from the position of the peak of the cross-correlation function (CCF) by fitting a Gaussian to the function. Then, weighted means were calculated with the individual values obtained for each spectral order. To avoid systematic errors produced by the effect of cool spots in the CCF, we fitted the Gaussian to the entire CCF profile, instead of fitting only the peak.
Our results are listed in Table A.2. We give radial velocities for each observation of the star ()
and a mean velocity determined from the individual results for each observation (
).
Although our sample was selected from a list of single stars, some of
them are actually single-line spectroscopic binaries. Known binaries in
our sample are: HD 16525, HD 17190,
HD 17382, HD 140913,
HD 167605, HIP 89874
and HD 208472. During our observations, other stars
presented variations in their radial velocities that were hardly
attributable to spots. If caused by spots, they should
produce noticeable asymmetries in the absorption line profiles, which
was not observed in their spectra. For other stars, we determined
radial velocities that were quite different from those given in the
literature. Therefore, we classified all these stars as possible
binaries: BD+28 1779, HD 85270,
GJ 466, HD 112542,
HD 112733, HD 238224,
HD 160934, BD-05 5480, and
GJ 842.2. The star HD 160934 was
confirmed as a binary system by Hormuth et al. (2009) with preliminary orbital parameters determined by Gálvez et al. (2006).
Variations in the radial velocity measurements of up to several kilometers per second are induced in the CCF by assymetries caused by spots on the stellar disk. This was even then the case when a fit to the entire cross-correlation profile was performed (Strassmeier et al. 2000; Dempsey et al. 1992; López-Santiago et al. 2003). We observed variations of this order for several stars in our sample for which we took spectra during different nights of the same observing run: HD 1405, BD+17 232, BD+20 1790, HD 72905, HD 82558, AD Leo, HD 135363, HD 171488, V383 Lac and HD 220140.
In Table A.2 we also give the photometric periods available in the literature for some of the stars in the sample.
3.2 Space motion
Galactic space-velocity components (U, V, W) were determined as in Montes et al. (2001a), who used a modified version of the original procedure of Johnson & Soderblom (1987) to calculate Galactic velocities and associated uncertainties. As in Montes et al. (2001a), we did not correct (U, V, W) for solar motion to make comparisons with other works regarding moving groups easier. We used Hipparcos and Tycho-2 data (Høg et al. 2000; ESA 1997) and radial velocities determined by us. For the ten stars with no available distance measurements in the literature, we determined a spectroscopic parallax using information on spectral type and luminosity class from our spectra. The Schmidt-Kaler (1982) color-magnitude relations were used to determine MV for these stars. Note that for late-K and M stars, classic relations are not appropriate for determining some observed quantities. In particular, better spectroscopic parallax relations have been developed in the literature using molecular bands (e.g. Bochanski et al. 2005). Nevertheless, the spectral types of the stars in our sample for which we have determined a spectroscopic parallax are in the range F5-K3. Note also that small variations in the parallax (<10 mas) of stars produce only small variations in the Galactic velocities (<0.1 km s-1).
The resultant U, V and W velocity components are listed in Table A.2. We used the mean radial velocity determined by us (
in
the table) for this computation. For the possible binary systems, we
did not correct for binarity, because their orbits are as yet unknown.
Thus, we used the observed radial velocities - or the mean
value when more than one observation was performed - as a
first approximation.
As we mentioned in Sect. 2, most of the stars in our sample (105) were selected from Montes et al. (2001a),
who give a list of members and possible members of the young moving
groups. For these, we obtained Galactic velocity components very
similar to those given in Montes et al. (2001a). The remaining 39 stars of our sample had no previous measurement of velocities. As a first estimate from their position in the UV- and WV-plane,
50 stars could be classified as members or possible members of the
Local Association (in its various subgroups), 25 of the
Hyades Supercluster, 20 of the Ursa Major Moving Group, 9 of
the IC 2391 Supercluster, 5 of the Castor Moving Group, and
the other 17 as young disk stars with no clear membership
(see Table A.2). The same velocity dispersion as in Montes et al. (2001a)
was used for determining the membership of the stars in any of the
moving groups. We refer the reader to that paper for a detailed
explanation. Surprisingly, 18 stars are well outside the classical
boundaries of the young disk population in the UV-plane. Most
of them are the lowest active stars in our sample, but two of them are
very active stars: HIP 79796 and
HD 216899 (see Figs. A.1-A.4).
3.3 Rotational velocities
To determine the rotational velocities in our sample, we used a methodology based on the cross-correlation technique, as we did for radial velocities (see Soderblom et al. 1989, for a detailed discussion). The width of the peak of the CCF depends on the physical processes contributing to the line profile. The mathematical concept is very similar to that of the convolution of a theoretical spectrum with a rotation profile (see Gray 2005, for details). But, instead of comparing the stellar spectrum with a rotationally broadened one, the cross-correlation is performed between the spectrum of the program star and a non-rotating one observed with the same instrument. Best results are obtained when both the comparison and the program stars have similar spectral types.
For each reference (non-rotating) star observed with our sample we first calibrated the relation between the CCF width and value
by cross-correlating the star with itself after rotationally broadening
its spectrum at different velocities (with values ranging from 1
to 60 km s-1). The result is a relation between CCF width and rotational velocity (see Fig. 1).
The relation depends on the spectral type of the star (as shown in
the figure). Then we cross-correlated the program star with a standard
with similar spectral type and used the relation for this standard to
determine the rotational velocity of the program star. Since the
relation also depends on the instrumental configuration, the
cross-correlation was performed separately in each observing run.
A detailed explanation of the method can be found in López-Santiago et al. (2003).
For our study, the CCF peak width was determined by
fitting a Gaussian function to it. This method ensures good
results for
km s-1 (Soderblom et al. 1989). In our sample, there is only one star with
km s-1
(LO Peg). For this star, we determined its
rotational velocity by comparison with artificially broadened spectra
of different stars with similar spectral types.
In Table A.2, we give each value of
obtained for the stars in the sample and a mean value determined from
the individual results. Uncertainties were determined with the
parameter R defined by Tonry & Davis (1979) as the ratio of CCF height to the rms antisymmetric component. This parameter is computed by fxcor and provides a measurement of the signal-to-noise ratio of the CCF. Tonry & Davis (1979) showed that errors in the CCF width are proportional to
(1 + R)-1, while Hartmann et al. (1986) and Rhode et al. (2001) found that the quantity
provides a good estimate for the
confidence level of the
measurement. Thus we adopted
as a reasonable estimate of the uncertainties in our determinations.
![]() |
Figure 1:
CCF
|
Open with DEXTER |
3.4 Spectral types and the lithium line
During each observing run, a number of spectral-type standards were observed, covering the range of spectral types in our sample (from F to M). To determine spectral types, we performed fits of our sample stars to spectral-type standards with a modified version of STARMOD (Barden 1985, see Sect. 3.5 for a detailed description of the procedure). The software first rotationally broadens the spectrum of the standard star until the best fit is obtained. Then it subtracts the obtained synthetic spectrum from the sample star. In theory, if both stars have the same spectral type, the resultant (subtracted) spectrum should be null. In practice, the subtracted spectrum shows some noise, due to small differences in metallicity and/or gravity and also when the S/N of one of the spectra is low. Nevertheless, small differences in metallicity and gravity are lower than those produced by the difference of one spectral subtype. The procedure of fitting is repeated with each of the standard stars until the best result is obtained. Errors are estimated in one spectral subtype.
Lines sensitive to spectral type were also used to determine spectral type. In particular, we used the lines Fe I 6430 Å, Fe II
6432 and 6457 Å, Ca I
6449 and 6456 Å, Co I
6455 Å, and V I
6452 Å, as described in Strassmeier & Fekel (1990). Other spectral lines used in this work for spectral classification are the Mg I triplet
5167, 5172, and 5183 Å, the Na I doublet
5590 and 5596 Å, Ca I
6573 Å and Fe I
6575 Å. In contrast to the subtraction technique, this method is suitable
only for slow rotators, since the lines involved in each relation of Strassmeier & Fekel (1990)
are blended in stars with high rotational velocities. Note that the
relations are calibrated only for FGK stars, but not for
M ones. We used this method to test the results obtained with the
subtraction technique for the stars in our sample showing small values
of
.
The most significant differences are two spectral subtypes for
F stars and one subtype for G and K stars. These values
are inside the uncertainties of the relations of Strassmeier & Fekel (1990). Our final results are given in Table A.2 (see also Fig. 2).
![]() |
Figure 2: Spectral type distribution of the stars in the sample. |
Open with DEXTER |
We measured the equivalent width of the lithium line at 6707.8 Å
in the observed spectra. The lithium abundance is an appropriate age
indicator for approximately
Myr
(the age of the Hyades cluster) because this element is easily
destroyed by thermonuclear reactions in the stellar interior. Thus
detection of the lithium line is generally a sign of stellar youth in
single stars (high rotation velocities could preserve the lithium from
depletion over longer time scales in binaries). The lithium-age
relation is mass-dependent. The usual way to determine the age range is
by comparison with stars of similar spectral type in clusters of a
well-known age (e.g. Neuhaeuser et al. 1997; Montes et al. 2001b; Soderblom & Mayor 1993). In our spectra, the Li I
6707.8 Å line is blended with the Fe I
6707.4 Å line. To correct the measured equivalent width (EW[Li I+Fe I]) for the Fe I line, we used the empirical relationship of Soderblom et al. (1993). The results are given in Table A.2. An error-weighted mean value of the individual EW[Li I] measured on different nights and over different observing runs was also determined (see Table A.2). Many stars in the sample still show the Li I absorption line in their spectra (see Table A.2 and Fig. A.3). Some of them are very young (
Myr). They belong to the young stellar associations (Torres et al. 2008; Zuckerman et al. 2004). In particular, López-Santiago et al. (2006) established different age subgroups in the AB Dor moving group using results from this study.
3.5 Chromospheric activity
A special feature of echelle spectrographs is that they
cover a large fraction of the optical spectrum. It allows
simultaneous observations of all the activity indicators in this
spectral range to be obtained. We measured equivalent widths of the
chromospheric optical lines Ca II H & K, H,
H
,
H
,
H
,
H
,
and the Ca II infrared
triplet, for each observation of each star in our sample, when the
spectrograph configuration permitted it. In very active stars
(active M dwarfs and flare stars), we also measured equivalent
widths of the lines He I
5876 Å and the Na I doublet (
5890, 5896 Å).
![]() |
Figure 3: Histograms for results on some chromospheric activity indicators (absolute flux after subtraction of the photosphere). |
Open with DEXTER |
![]() |
Figure 4:
Left:
|
Open with DEXTER |
To remove the photospheric contribution, we used the spectral subtraction technique (see details in Montes et al. 2000). The advantage of this method is that no assumption about the continuum value for the equivalent width measurement is needed. Reference (non-active) stars with similar spectral types to our targets were taken as templates (see Table A.1). The subtraction was performed with JSTARMOD, a modified version of the Fortran code STARMOD developed at the Pennsylvania State University (Barden 1985; Huenemoerder & Barden 1984). Our modifications permit the program to use echelle spectra in the file format given by the majority of observatories. JSTARMOD first selects the region of the spectrum indicated by the user. Then it rotationally broadens and shifts the template spectrum to fit the target one. Finally it subtracts the synthetic spectrum from the observed one. If both stars - active and non-active - are identical in terms of photosphere, the resultant subtracted spectrum is the chromospheric emission of the active star, i.e. a flat spectrum with emission features at the positions of the chromospheric lines. In practice, the subtracted spectrum shows some noise away from the chromospheric lines, due to small differences in metallicity and/or gravity.
A source of uncertainties is the possible basal emission of the non-active stars used as templates. Its consequence is a reduction in the measured equivalent widths of the Ca II H & K chromospheric emissions of the target. However, for the subtraction we used reference stars situated close to the lower boundary of the surface flux in Ca II H & K of Rutten (1984). We estimate the largest uncertainty in logarithm fluxes as 0.1 dex, due to basal chromospheric emission from standard non-active stars.
The equivalent widths were determined by fitting a Gaussian function to the emission line profiles. For the Ca II H and H lines,
which are blended in our spectra, we used a double Gaussian fit.
To obtain an estimation of the errors, we followed the methodology
explained in López-Santiago et al. (2003). Our results are given in Table A.3.
Each measurement of the equivalent width and its uncertainty is listed
in the table, together with the observing run and the Modified Julian
Date (MJD) of the observation. Equivalent widths were later converted
to absolute chromospheric fluxes at the stellar surface with the
calibrations of Hall (1996) (see results in Table A.4).
In Fig. 3 we show the
distribution of fluxes in different chromospheric lines (to allow
statistical comparisons with other works). The sample has a peak
towards high chromospheric fluxes in chromospheric calcium.
Two peaks are observed in H.
The peak at high fluxes in each line is a consequence of the selection method. The double peak in H
is presumably caused by the presence of two populations of H
emitters: saturated and non-saturated. To verify this hypothesis, we constructed plots of the ratio
versus temperature for each chromospheric line. In Fig. 4, we show the result for H
and the Ca II
8542 Å (IRT2) line. Two well-defined branches are observed for H
.
A similar behavior was observed for coronal sources (e.g. López-Santiago et al. 2009) and was attributed to X-ray emission saturation. Similarly, the stars in our sample show saturation in H
at a mean value
,
as was found for early to mid-M stars (e.g. West et al. 2008; Walkowicz et al. 2004). The effect of saturation is less marked in other indicators, like the Ca II lines (see Fig. 4, right).
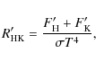
In addition to the absolute fluxes in the different chromospheric lines we also determined the
index (see Table A.4), which is defined as the ratio of the emission from the chromosphere in the Ca II H & K lines to the total bolometric emission of the star, i.e.
![]() |
(1) |
where



Figures A.1-A.3 show the spectra of the stars in the sample in spectral regions containing the Ca II K line, H,
and part of the Ca II infrared triplet.
3.6 Summary
Radial and rotational velocities were derived from each observation of a star in our sample with the cross-correlation technique. We derived mean radial and rotational velocities for each star. In some cases (see Sect. 3.1) we observed significant variations in the radial velocity of the star, which we attributed to binarity. Mean values of radial velocities were used to derive space motions. We also determined spectral types from the spectra of stars. Table A.2 summarizes these results.
With regard to spectral lines, we determined equivalent widths of all
optical chromospheric activity indicators of each star as well as the
Li I 6708 Å line (see Table A.2 for results of the Li I line).
To reveal chromospheric emission lines in the spectra, we used the
spectral subtraction technique. Non-active stars with spectral types
similar to those of our targets were taken as templates for the
subtraction. Their spectra were conveniently broadened and shifted to
fit our targets (see Sect. 3.4). The equivalent widths of the
emission lines were converted into flux using equivalent width-flux
relations. Tables A.3 and A.4 summarize the results of the spectroscopic survey.
For completeness, we performed a simple statistical study of our
results on chromospheric activity indicators. In our sample,
a large spread in fluxes is observed for the different activity
indicators. The spread is especially noticeable for the H line (Fig. 3, middle). To investigate this finding, we analyzed the
and
ratios
as a function of the color of the stars. The results indicate the
presence of two populations of chromospherically active stars in our
sample. In the
- (V-J) diagram (Fig. 4, left), two branches are clearly observed for
mag
(corresponding to an early-K dwarf). This dichotomy is
statistically significant. Out of the 79 stars in our sample
with chromospheric H
emission, 53 have
V - J > 1.4 with 23 stars in the upper branch and the remaining 30 in the lower one. The two groups have mean values
with variance 0.04 and
with variance 0.13, respectively. A simple two-sample t-test (e.g. Snedecor & Cochran 1989)
assures that the two means are different (i.e. the two branches
are statistically different), with a significance of 0.01
(corresponding to a probability of 99
). The presence of the two branches is less clear when using other chromospheric activity indicators (see Fig. 4, right).
In a recent work, López-Santiago et al. (2009) demonstrated that the sample of possible members of the young stellar kinematic groups of Montes et al. (2001a) is partially contaminated
by active field stars that do not belong to the moving groups. In that
work, the stars in the X-ray saturation regime also showed high H fluxes. In their Fig. 4, López-Santiago et al. (2009) observed two branches: one for the high H
emitters and the other for the remaining active stars. Those stars populating the upper branch were indeed young (
Myr). In contrast, field stars populated the lower branch. The study of López-Santiago et al. (2009)
was performed using part of the data presented by us in this work.
Therefore their results on the nature of the two populations of
chromospheric active stars are applicable here. In fact,
the stars in the top branch in Fig. 4 (left) are known to be young stars (see López-Santiago et al. 2006) and very active M dwarfs. A similar conclusion was already reached by Vaughan & Preston (1980) for G and K stars. In their study, the authors observed two branches in the
- (B-V) diagram
with a gap between them. The authors called the active one the ``young
branch'' and the less active one the ``old branch''. Recent results
show that this dichotomy between very active stars and less active ones
is also present in M dwarfs. In Fig. 4 (left), we over-plotted the data obtained by West et al. (2004)
for the active M stars in the SLOAN Digital Sky Survey
(the dispersion observed by the authors for each sub-spectral type
is represented by vertical bars). Although our method for measuring the
line flux is slightly different from that of West et al. (2004),
the figure clearly shows that M active dwarfs are located over the
young active branch. A similar trend can be observed for the early
M dwarfs of Reiners (2007). In general, these results suggest that H
saturates equally in K to M stars.
Part of this work was co-supported by the Spanish MICINN, Ministerio de Ciencia e Innovación project numbers: AYA2008-00695 and AYA2008-06423-C03-03. J. López-Santiago is a postdoctoral fellow of the ASTROCAM (Red de Astrofísica en la CAM) with project number S-0505/ESP/000237 of the IV PRICIT Plan Regional de Investigación Científica e Innovación Tecnológica de la Comunidad de Madrid. The authors would like to thank the referee for useful comments and suggestions that allowed us to improve our work.
References
- Allende Prieto, C., Barklem, P. S., Lambert, D. L., & Cunha, K. 2004, A&A, 420, 183 [NASA ADS] [CrossRef] [EDP Sciences] [Google Scholar]
- Antoja, T., Figueras, F., Fernández, D., & Torra, J. 2008, A&A, 490, 135 [NASA ADS] [CrossRef] [EDP Sciences] [Google Scholar]
- Antoja, T., Valenzuela, O., Pichardo, B., et al. 2009, ApJ, 700, L78 [NASA ADS] [CrossRef] [Google Scholar]
- Asiain, R., Figueras, F., Torra, J., & Chen, B. 1999, A&A, 341, 427 [NASA ADS] [Google Scholar]
- Barden, S. C. 1985, ApJ, 295, 162 [NASA ADS] [CrossRef] [Google Scholar]
- Barnes, T. G., III, Moffett, T. J., & Slovak, M. H. 1986, PASP, 98, 223 [NASA ADS] [CrossRef] [Google Scholar]
- Beavers, W. I., Eitter, J. J., Ketelsen, D. A., & Oesper, D. A. 1979, PASP, 91, 698 [NASA ADS] [CrossRef] [Google Scholar]
- Benz, W., & Mayor, M. 1984, A&A, 138, 183 [NASA ADS] [Google Scholar]
- Bochanski, J. J., Hawley, S. L., Reid, I. N., et al. 2005, AJ, 130, 1871 [NASA ADS] [CrossRef] [Google Scholar]
- Bochanski, J. J., Munn, J. A., Hawley, S. L., et al. 2007, AJ, 134, 2418 [NASA ADS] [CrossRef] [Google Scholar]
- Böhm-Vitense, E. 2007, ApJ, 657, 486 [NASA ADS] [CrossRef] [Google Scholar]
- De Medeiros, J. R., & Mayor, M. 1999, A&AS, 139, 433 [NASA ADS] [CrossRef] [EDP Sciences] [Google Scholar]
- Crespo-Chacón, I., Montes, D., Fernández-Figueroa, M. J., & López-Santiago, J. 2005, in Proceedings of the 13th Cambridge Workshop on Cool Stars, Stellar Systems and the Sun, 5-9 July, 2004, Hamburg, Germany, ed. F. Favata, G. A. J. Hussain, & B. Battrick, European Space Agency, ESA SP-560, 491 [Google Scholar]
- De Medeiros, J. R., Do Nascimento, J. D., Jr., Sankarankutty, S., Costa, J. M., & Maia, M. R. G. 2000, A&A, 363, 239 [NASA ADS] [Google Scholar]
- Dempsey, R. C., Bopp, B. W., Strassmeier, K. G., et al. 1992, ApJ, 392, 187 [NASA ADS] [CrossRef] [Google Scholar]
- Dufflot, M., Figon, P., & Meyssonnier, N. 1995, A&AS, 114, 269 [Google Scholar]
- Dyer, E. R., Jr. 1954, AJ, 59, 218 [NASA ADS] [CrossRef] [Google Scholar]
- ESA 1997, The Hipparcos and Tycho Catalogues, ESA SP-1200 [Google Scholar]
- Famaey, B., Jorissen, A., Luri, X., et al. 2005, A&A, 430, 165 [NASA ADS] [CrossRef] [EDP Sciences] [Google Scholar]
- Famaey, B., Pont, F., Luri, X., et al. 2007, A&A, 461, 957 [NASA ADS] [CrossRef] [EDP Sciences] [Google Scholar]
- Fekel, F. C. 1997, PASP, 109, 514 [NASA ADS] [CrossRef] [Google Scholar]
- Flower, P. J. 1996, ApJ, 469, 355 [NASA ADS] [CrossRef] [Google Scholar]
- Fuhrmann, K. 2004, Astron. Nachr., 325, 3 [NASA ADS] [CrossRef] [MathSciNet] [Google Scholar]
- Fuhrmann, K. 2008, MNRAS, 384, 173 [NASA ADS] [CrossRef] [Google Scholar]
- Gálvez, M. C., Montes, D., Fernández-Figueroa, M. J., & López-Santiago, J. 2006, Ap&SS, 304, 59 [NASA ADS] [CrossRef] [Google Scholar]
- Gray, C. D. F. 2005, Stellar Photospheres (Cambridge: Cambridge University Press) [Google Scholar]
- Guillout, P., Klutsch, A., Frasca, A., et al. 2009, A&A, 504, 829 [NASA ADS] [CrossRef] [EDP Sciences] [Google Scholar]
- Gizis, J. E., Reid, I. N., & Hawley, S. L. 2002, AJ, 123, 3356 [NASA ADS] [CrossRef] [Google Scholar]
- Hall, J. C. 1996, PASP, 108, 313 [NASA ADS] [CrossRef] [Google Scholar]
- Hartmann, L., Hewett, R., Stahler, S., & Mathieu, R. D. 1986, ApJ, 309, 275 [NASA ADS] [CrossRef] [Google Scholar]
- Hawley, S. L., Gizis, J. E., & Reid, I. N. 1996, AJ, 112, 2799 [NASA ADS] [CrossRef] [Google Scholar]
- Herbig, G. H., & Bell, K. R. 1988, in Catalog of emission line stars of the orion population, Lick Observatory Bulletin, Santa Cruz, Lick Observatory [Google Scholar]
- Høg, E., Fabricius, C., Makarov, V. V., et al. 2000, A&A, 355, L27 [NASA ADS] [Google Scholar]
- Holmberg, J., Nordström, B., & Andersen, J. 2007, A&A, 475, 519 [NASA ADS] [CrossRef] [EDP Sciences] [MathSciNet] [Google Scholar]
- Holmberg, J., Nordström, B., & Andersen, J. 2009, A&A, 501, 941 [NASA ADS] [CrossRef] [EDP Sciences] [Google Scholar]
- Hormuth, F., Brandner, W., Hippler, S., et al. 2007, A&A, 463, 707 [NASA ADS] [CrossRef] [EDP Sciences] [Google Scholar]
- Huenemoerder, D. P., & Barden, S. C. 1984, BAAS, 16, 510 [NASA ADS] [Google Scholar]
- Jensen, E. L. N., Mathieu, R. D., & Fuller, G. A. 1996, ApJ, 458, 312 [Google Scholar]
- Johnson, D. H., & Soderblom, D. R. 1987, AJ, 93, 864 [NASA ADS] [CrossRef] [Google Scholar]
- Klutsch, A., Frasca, A., Guillout, P., et al. 2008, A&A, 490, 737 [NASA ADS] [CrossRef] [EDP Sciences] [Google Scholar]
- López-Santiago, J., Montes, D., Fernández-Figueroa, M. J., & Ramsey, L. W. 2003, A&A, 411, 489 [NASA ADS] [CrossRef] [EDP Sciences] [Google Scholar]
- López-Santiago, J., Montes, D., Fernández-Figueroa, M. J., et al. 2005, in Proceedings of the 13th Cambridge Workshop on Cool Stars, Stellar Systems and the Sun, 5-9 July, 2004, Hamburg, Germany, ed. F. Favata, G. A. J. Hussain, & B. Battrick, ESA SP-560, European Space Agency, 775 [Google Scholar]
- López-Santiago, J., Montes, D., Crespo-Chacón, I., & Fernández-Figueroa, M. J. 2006, ApJ, 643, 1160 [NASA ADS] [CrossRef] [Google Scholar]
- López-Santiago, J., Micela, G., Sciortino, S., et al. 2007, A&A, 463, 165 [NASA ADS] [CrossRef] [EDP Sciences] [Google Scholar]
- López-Santiago, J., Micela, G., & Montes, D. 2009, 499, 129 [Google Scholar]
- Marcy, G. W., & Chen, G. H. 1992, ApJ, 390, 550 [NASA ADS] [CrossRef] [Google Scholar]
- Martínez-Arnáiz, R., Maldonado, J., Montes, D., Eiroa, C., & Montesinos, B. 2010, A&A, in press [arXiv:1002.4391] [Google Scholar]
- Micela, G., Affer, L., Favata, F., et al. 2007, A&A, 461, 977 [NASA ADS] [CrossRef] [EDP Sciences] [Google Scholar]
- Mihalas, D., & Binney, J. 1981 (San Francisco: W. H. Freeman and Co.), 422 [Google Scholar]
- Montes, D., Fernández-Figueroa, M. J., De Castro, E., et al. 2000, A&AS, 146, 103 [Google Scholar]
- Montes, D., López-Santiago, J., Gálvez, M. C., et al. 2001a, MNRAS, 328, 45 [NASA ADS] [CrossRef] [MathSciNet] [Google Scholar]
- Montes, D., López-Santiago, J., Fernández-Figueroa, M. J., & Gálvez, M. C. 2001b, A&A, 379, 976 [NASA ADS] [CrossRef] [EDP Sciences] [Google Scholar]
- Neuhaeuser, R., Torres, G., Sterzik, M. F., & Randich, S. 1997, A&A, 325, 647 [NASA ADS] [Google Scholar]
- Nidever, D. L., Marcy, G. W., Butler, R. P., et al. 2002, ApJS, 141, 503 [NASA ADS] [CrossRef] [Google Scholar]
- Nordström, B., Mayor, M., Andersen, J., et al. 2004, A&A, 418, 989 [NASA ADS] [CrossRef] [EDP Sciences] [Google Scholar]
- Noyes, R. W., Hartmann, L. W., Baliunas, S. L., et al. 1984, ApJ, 279, 763 [NASA ADS] [CrossRef] [Google Scholar]
- Pizzolato, N., Maggio, A., Micela, G., et al. 2003, A&A, 397, 147 [NASA ADS] [CrossRef] [EDP Sciences] [Google Scholar]
- Randich, S., Schmitt, J. H. M. M., Prosser, C. F., & Stauffer, J. R. 1996, A&A, 305, 785 [NASA ADS] [Google Scholar]
- Rauscher, E., & Marcy, G. W. 2006, PASP, 118, 617 [NASA ADS] [CrossRef] [Google Scholar]
- Reid, I. N., Hawley, S. L., & Gizis, J. E. 1995, AJ, 110, 1838 [NASA ADS] [CrossRef] [Google Scholar]
- Reid, I. N., Gizis, J. E., & Hawley, S. L. 2002, AJ, 124, 2721 [NASA ADS] [CrossRef] [Google Scholar]
- Reiners, A. 2007, in Annual Meeting of the German Astronomical Society [arXiv:0712.2357] [Google Scholar]
- Reiners, A., & Basri, G. 2007, ApJ, 656, 1121 [NASA ADS] [CrossRef] [Google Scholar]
- Rhode, K. L., Herbst, W., & Mathieu, R. D. 2001, AJ, 122, 3258 [NASA ADS] [CrossRef] [Google Scholar]
- Rutten, R. G. M. 1984, A&A, 130, 353 [NASA ADS] [Google Scholar]
- Rutten, R. G. M., & Schrijver, C. J. 1987, A&A, 177, 155 [NASA ADS] [Google Scholar]
- Schmidt-Kaler, T. 1982, in Landolt-Bornstein, ed. K. Schaifers, & H. H. Voig (Heidelberg: Springer), 2 [Google Scholar]
- Sciortino, S., Favata, F., & Micela, G. 1995, A&A, 296, 370 [Google Scholar]
- Shkolnik, E., Liu, M. C., & Reid, I. N. 2009, ApJ, 699, 649 [NASA ADS] [CrossRef] [Google Scholar]
- Skuljan, J., Hearnshaw, J. B., & Cottrell, P. L. 1999, MNRAS, 308, 731 [NASA ADS] [CrossRef] [Google Scholar]
- Snedecor, G. W., & Cochran, W. G. 1989, Statistical Methods, eighth edn. (Ames, Iowa: Iowa State University Press) [Google Scholar]
- Soderblom, D. R. 1982, ApJ, 263, 239 [NASA ADS] [CrossRef] [Google Scholar]
- Soderblom, D. R., & Mayor, M. 1993, ApJ, 402, L5 [NASA ADS] [CrossRef] [Google Scholar]
- Soderblom, D. R., Pendleton, J., & Pallavicini, R. 1989, AJ, 97, 539 [NASA ADS] [CrossRef] [Google Scholar]
- Soderblom, D. R., Jones, B. F., Balachandran, S., et al. 1993, AJ, 106, 1059 [NASA ADS] [CrossRef] [Google Scholar]
- Skumanich, A. 1972, ApJ, 171, 565 [NASA ADS] [CrossRef] [Google Scholar]
- Strassmeier, K. G., & Fekel, F. C. 1990, A&A, 230, 389 [NASA ADS] [Google Scholar]
- Strassmeier, K. G., Hall, D. S., Fekel, F. C., & Scheck, M. 1993, A&AS, 100, 173 [NASA ADS] [Google Scholar]
- Strassmeier, K. G., Washuettl, A., Granzer, Th., et al. 2000, A&AS, 142, 275 [Google Scholar]
- Takeda, G., Ford, E. B., Sills, A., et al. 2007, ApJS, 168, 297 [NASA ADS] [CrossRef] [Google Scholar]
- Tokovinin, A. A. 1992, A&A, 256, 121 [NASA ADS] [Google Scholar]
- Tonry, J., & Davis, M. 1979, AJ, 84, 1511 [NASA ADS] [CrossRef] [Google Scholar]
- Torres, C. A. O., Quast, G. R., da Silva, L., et al. 2006, A&A, 460, 695 [NASA ADS] [CrossRef] [EDP Sciences] [Google Scholar]
- Torres, C. A. O., Quast, G. R., Melo, C. H. F., & Sterzik, M. F. 2008, Handbook of Star Forming Regions, Volume II: The Southern Sky, ASP Monograph Publications, ed. B. Reipurth, 5, 757 [Google Scholar]
- Toth, G., & Ostriker, J. P. 1992, ApJ, 389, 5 [NASA ADS] [CrossRef] [Google Scholar]
- Udry, S., Mayor, M., Maurice, E., et al. 1999, in Precise Stellar Radial Velocities, ed. J. B. Hearnshaw, & C. D. Scarfe, IAU Colloq., 170, ASP Conf. Ser., 185, 383 [Google Scholar]
- Valenti, J. A., & Fischer, D. A. 2005, ApJS, 159, 141 [NASA ADS] [CrossRef] [MathSciNet] [Google Scholar]
- Vaughan, A. H., & Preston, G. W. 1980, PASP, 92, 385 [NASA ADS] [CrossRef] [Google Scholar]
- Walkowicz, L. M., Hawley, S. L., & West, A. A. 2004, PASP, 116, 1105 [NASA ADS] [CrossRef] [Google Scholar]
- Walkowicz, L. M., & Hawley, S. L. 2009, AJ, 137, 3297 [NASA ADS] [CrossRef] [Google Scholar]
- West, A. A., Hawley, S. L., Walkowicz, L. M., et al. 2004, AJ, 128, 426 [NASA ADS] [CrossRef] [Google Scholar]
- West, A. A., Hawley, S. L., Bochanski, J. J., et al. 2008, AJ, 135, 785 [NASA ADS] [CrossRef] [Google Scholar]
- West, A. A., Hawley, S. L., Bochanski, J. J., et al. 2009, IAU Symp., 258, 327 [NASA ADS] [Google Scholar]
- White, R. J., Gabor, J. M., & Hillenbrand, L. A. 2007, AJ, 133, 2524 [NASA ADS] [CrossRef] [Google Scholar]
- Zuckerman, B., Song, I., & Bessell, M. S. 2004, ApJ, 613, L65 [NASA ADS] [CrossRef] [Google Scholar]
Appendix A: Description of the on-line material
- Table A.1: spectral-type reference stars and radial velocity standards used for the subtraction of the photospheric spectrum and for determining radial and rotational velocities. Column 1 is the name/identification of the star; Col. 2 is the spectral type; Col. 3 is the radial velocity (and standard deviation); Col. 4 is the bibliographic reference for the radial velocity; Col. 5 is the rotational velocity (and standard deviation); Col. 6 is the bibliographic reference of the rotational velocity; Col. 7 is the activity index S (and standard deviation); and Col. 8 is the observing run in which the star was observed by us.
- Table A.2: spectroscopic parameters of the stars in the sample. Each line corresponds to a measurement/observation of the star. Column 1 is the HD number or other name of the star; Col. 2 is the observing run in which the observation was performed; Col. 3 is the Modified Julian Date of the observation; Col. 4 is the spectral type of the star determined by us; Col. 5 is the B-V color from Tycho-2; Col. 6 is the radial velocity determined by us in that observation; Col. 7 is a mean radial velocity of every observation performed for the star; Cols. 8-10 are the Galactic velocities; Col. 11 is the rotational velocity determined in that observation; Col. 12 is a mean value of the rotational velocity of the star determined in each observation; Col. 13 is the photometric period found in the literature; Col. 14 is the equivalent width of the lithium line in 6707.8 Å determined in that observation; Col. 15 is a mean value of the equivalent width of the lithium line of the star; and Col. 16 is the preliminary assignation to a moving group made by us in base to the Galactic velocity given in Cols. 8-10.
- Table A.3:
equivalent widths of the different chromospheric lines determined in
each observation from the subtracted spectrum. Column 1 is the
identification of the star in our sample (the same as in
Table A.2; Col. 2 is the
observing run of the observation; Col. 3 is the Modified Julian
Date of the observation; Cols. 4 to 16 are the equivalent
widths in the chromospheric lines (in order): Ca II K & H, H
, H
, H
, H
, He I D3, Na I D2 & D1, H
, and Ca II infrared triplet (
8498, 8542, 8662 Å), with errors.
- Table A.4: surface fluxes of the different chromospheric lines determined in each observation from the equivalent widths in Table A.3. Column 1 is the identification of the star in our sample (the same as in Table A.2;
Col. 2 is the observing run of the observation; Col. 3 is the
Modified Julian Date of the observation; Cols. 4 to 16 are
the surface fluxes in the chromospheric lines (in order): Ca II K & H, H
, H
, H
, H
, He I D3, Na I D2 & D1, H
, and Ca II infrared triplet (
8498, 8542, 8662 Å), with errors; Col. 17 is the
index.
- Figures A.1 to A.4: figures with the normalized spectrum of the stars in our sample in the spectral regions of the Ca II K, H
, Li I, and Ca II
8498 and 8542 Å lines, respectively.
Table A.1: Spectral-type reference stars and radial velocity standards (marked with *).
Table A.2: Spectroscopic results of the sample. The stars marked with * in Col. 16 (MG) are inside the boundaries of the young disk population, but have high W velocities.
Table A.3: Chromospheric emission lines equivalent widths.
Table A.4:
Chromospheric emission lines surface fluxes and
.
![]() |
Figure A.1: Ca II K spectra of the stars of our sample with observations in the H & K wavelength range. |
Open with DEXTER |
![]() |
Figure A.1: continued. |
Open with DEXTER |
![]() |
Figure A.1: continued. |
Open with DEXTER |
![]() |
Figure A.1: continued. |
Open with DEXTER |
![]() |
Figure A.1: continued. |
Open with DEXTER |
![]() |
Figure A.1: continued. |
Open with DEXTER |
![]() |
Figure A.2:
H |
Open with DEXTER |
![]() |
Figure A.2: continued. |
Open with DEXTER |
![]() |
Figure A.2: continued. |
Open with DEXTER |
![]() |
Figure A.2: continued. |
Open with DEXTER |
![]() |
Figure A.2: continued. |
Open with DEXTER |
![]() |
Figure A.2: continued. |
Open with DEXTER |
![]() |
Figure A.2: continued. |
Open with DEXTER |
![]() |
Figure A.3: Li I spectra of the stars of our sample with observations of this line. |
Open with DEXTER |
![]() |
Figure A.3: continued. |
Open with DEXTER |
![]() |
Figure A.3: continued. |
Open with DEXTER |
![]() |
Figure A.3: continued. |
Open with DEXTER |
![]() |
Figure A.3: continued. |
Open with DEXTER |
![]() |
Figure A.3: continued. |
Open with DEXTER |
![]() |
Figure A.3: continued. |
Open with DEXTER |
![]() |
Figure A.4:
Ca II
|
Open with DEXTER |
![]() |
Figure A.4: continued. |
Open with DEXTER |
![]() |
Figure A.4: continued. |
Open with DEXTER |
![]() |
Figure A.4: continued. |
Open with DEXTER |
![]() |
Figure A.4: Continued. |
Open with DEXTER |
![]() |
Figure A.4: continued. |
Open with DEXTER |
![]() |
Figure A.4: continued. |
Open with DEXTER |
Footnotes
- ... age
- Based on observations made with the 2.2 m telescope of the German-Spanish Astronomical Centre, Calar Alto (Almería, Spain), operated jointly by the Max-Planck-Institute for Astronomy, Heidelberg, and the Spanish National Commission for Astronomy; the Nordic Optical Telescope (NOT), operated on the island of La Palma jointly by Denmark, Finland, Iceland, Norway and Sweden, in the Spanish Observatorio del Roque de Los Muchachos of the Instituto de Astrofísica de Canarias; the Isaac Newton Telescope (INT) operated on the island of La Palma by the Isaac Newton Group in the Spanish Observatorio del Roque de Los Muchachos of the Instituto de Astrofísica de Canarias; with the Italian Telescopio Nazionale Galileo (TNG) operated on the island of La Palma by the Centro Galileo Galilei of the INAF (Istituto Nazionale di Astrofisica) at the Spanish Observatorio del Roque de Los Muchachos of the Instituto de Astrofísica de Canarias; and with the Hobby-Eberly Telescope (HET) operated by McDonald Observatory on behalf of The University of Texas at Austin, the Pennsylvania State University, Stanford University, Ludwig-Maximilians-Universität München, and Georg-August-Universität Göttingen. This research has made use of the SIMBAD database and VizieR catalog access tool, operated at CDS, Strasbourg, France.
- ...
- Tables A.1-A.4 and reduced spectra are also available in electronic form at the CDS via anonymous ftp to cdsarc.u-strasbg.fr (130.79.128.5) or via http://cdsweb.u-strasbg.fr/cgi-bin/qcat?J/A+A/514/A97
- ... IRAF
- IRAF is distributed by the National Optical Observatory, which is operated by the Association of Universities for Research in Astronomy, Inc., under contract with the National Science Foundation.
- ...
HIP 89874
- HIP 89874 (FK Ser) is a binary with a separation of 1.33 arcsec (Jensen et al. 1996; Herbig & Bell 1988). In our spectra, we were not able to separate the two components.
All Tables
Table 1: Late-type stars studied in this work (HD number or other name).
Table 2: Observing run details.
Table A.1: Spectral-type reference stars and radial velocity standards (marked with *).
Table A.2: Spectroscopic results of the sample. The stars marked with * in Col. 16 (MG) are inside the boundaries of the young disk population, but have high W velocities.
Table A.3: Chromospheric emission lines equivalent widths.
Table A.4:
Chromospheric emission lines surface fluxes and
.
All Figures
![]() |
Figure 1:
CCF
|
Open with DEXTER | |
In the text |
![]() |
Figure 2: Spectral type distribution of the stars in the sample. |
Open with DEXTER | |
In the text |
![]() |
Figure 3: Histograms for results on some chromospheric activity indicators (absolute flux after subtraction of the photosphere). |
Open with DEXTER | |
In the text |
![]() |
Figure 4:
Left:
|
Open with DEXTER | |
In the text |
![]() |
Figure A.1: Ca II K spectra of the stars of our sample with observations in the H & K wavelength range. |
Open with DEXTER | |
In the text |
![]() |
Figure A.1: continued. |
Open with DEXTER | |
In the text |
![]() |
Figure A.1: continued. |
Open with DEXTER | |
In the text |
![]() |
Figure A.1: continued. |
Open with DEXTER | |
In the text |
![]() |
Figure A.1: continued. |
Open with DEXTER | |
In the text |
![]() |
Figure A.1: continued. |
Open with DEXTER | |
In the text |
![]() |
Figure A.2:
H |
Open with DEXTER | |
In the text |
![]() |
Figure A.2: continued. |
Open with DEXTER | |
In the text |
![]() |
Figure A.2: continued. |
Open with DEXTER | |
In the text |
![]() |
Figure A.2: continued. |
Open with DEXTER | |
In the text |
![]() |
Figure A.2: continued. |
Open with DEXTER | |
In the text |
![]() |
Figure A.2: continued. |
Open with DEXTER | |
In the text |
![]() |
Figure A.2: continued. |
Open with DEXTER | |
In the text |
![]() |
Figure A.3: Li I spectra of the stars of our sample with observations of this line. |
Open with DEXTER | |
In the text |
![]() |
Figure A.3: continued. |
Open with DEXTER | |
In the text |
![]() |
Figure A.3: continued. |
Open with DEXTER | |
In the text |
![]() |
Figure A.3: continued. |
Open with DEXTER | |
In the text |
![]() |
Figure A.3: continued. |
Open with DEXTER | |
In the text |
![]() |
Figure A.3: continued. |
Open with DEXTER | |
In the text |
![]() |
Figure A.3: continued. |
Open with DEXTER | |
In the text |
![]() |
Figure A.4:
Ca II
|
Open with DEXTER | |
In the text |
![]() |
Figure A.4: continued. |
Open with DEXTER | |
In the text |
![]() |
Figure A.4: continued. |
Open with DEXTER | |
In the text |
![]() |
Figure A.4: continued. |
Open with DEXTER | |
In the text |
![]() |
Figure A.4: Continued. |
Open with DEXTER | |
In the text |
![]() |
Figure A.4: continued. |
Open with DEXTER | |
In the text |
![]() |
Figure A.4: continued. |
Open with DEXTER | |
In the text |
Copyright ESO 2010
Current usage metrics show cumulative count of Article Views (full-text article views including HTML views, PDF and ePub downloads, according to the available data) and Abstracts Views on Vision4Press platform.
Data correspond to usage on the plateform after 2015. The current usage metrics is available 48-96 hours after online publication and is updated daily on week days.
Initial download of the metrics may take a while.