Issue |
A&A
Volume 514, May 2010
Science with AKARI
|
|
---|---|---|
Article Number | A16 | |
Number of page(s) | 6 | |
Section | Interstellar and circumstellar matter | |
DOI | https://doi.org/10.1051/0004-6361/200913455 | |
Published online | 03 May 2010 |
Science with AKARI
The interface between the stellar wind and interstellar
medium around R Cassiopeiae revealed by far-infrared
imaging![[*]](/icons/foot_motif.png)
T. Ueta1 - R. E. Stencel1 - I. Yamamura2 - K. M. Geise1 - A. Karska3,4 - H. Izumiura5 - Y. Nakada6 - M. Matsuura7,8 - Y. Ita2,9 - T. Tanabé6 - H. Fukushi6 - N. Matsunaga6 - H. Mito10 - A. K. Speck11
1 - Department of Physics and Astronomy, University of Denver,
2112 E. Wesley Ave., Denver, CO 80208, USA
2 - Institute of Space and Aeronautical Science,
Japan Aerospace Exploration Agency, 3-1-1 Yoshinodai, Sagamihara,
Kanagawa 229-8510, Japan
3 - Max-Planck-Institut für Extraterrestrische Physik,
Giessenbachstraat 1, 85748 Garching, Germany
4 - Leiden Observatory, Leiden University, PO Box 9513,
2300 RA Leiden, The Netherlands
5 - Okayama Astrophysical Observatory, National
Astronomical Observatory, Kamogata, Asakuchi, Okayama 719-0232, Japan
6 - Institute of Astronomy, School of Science,
University of Tokyo, 2-21-1 Osawa, Mitaka, Tokyo 181-0015, Japan
7 - Department of Physics and Astronomy, University
College London, Gower Street, London WC1E 6BT, UK
8 - Mullard Space Science Laboratory, University
College London, Holmbury St. Mary, Dorking, Surrey RH5 6NT, UK
9 - National Astronomical Observatory of Japan, 2-21-1
Osawa, Mitaka, Tokyo 181-8588, Japan
10 - Kiso Observatory, Institute of Astronomy, School of
Science, University of Tokyo, Mitake, Kiso, Nagano 397-0101, Japan
11 - Department of Physics & Astronomy, University of Missouri,
Columbia, MO 65211, USA
Received 12 October 2009/ Accepted 6 November 2009
Abstract
Aims. The circumstellar dust shells of intermediate initial-mass (1 to 8
)
evolved stars are generated by copious mass loss during the asymptotic
giant branch phase. The density structure of their circumstellar shell
is the direct evidence of mass loss processes, from which we can
investigate the nature of mass loss.
Methods. We used the AKARI infrared astronomy satellite and the Spitzer
space telescope to obtain the surface brightness maps of an evolved
star R Cas at far-infrared wavelengths, since the temperature of
dust decreases as the distance from the star increases and one needs to
probe dust at lower temperatures, i.e., at longer wavelengths. The
observed shell structure and the star's known proper motion suggest
that the structure represents the interface regions between the dusty
wind and the interstellar medium. The deconvolved structures are fitted
with the analytic bow shock structure to determine the inclination
angle of the bow shock cone.
Results. Our data show that (1) the bow shock cone of
dust mass is inclined at
with respect to the plane of the sky; and (2) the dust temperature in
the bow shock cone is raised to more than 20 K by collisional
shock interaction in addition to the ambient interstellar radiation
field. By comparison between the apex vector of the bow shock and space
motion vector of the star we infer that there is a flow of interstellar
medium local to R Cas whose flow velocity is at least
55.6 km s-1, consistent with an environment conducive to dust heating by shock interactions.
Key words: circumstellar matter - infrared: stars - stars: AGB and post-AGB - stars: individual: R Cas - stars: mass loss - ISM: kinematics and dynamics
1 Introduction
Numerous observations have elucidated the magnitude and ubiquity
of mass loss across the upper-right side of the Hertzsprung-Russell
diagram in the fifty years since Deutsch (1956) discussed the existence of
blue-shifted circumstellar cores in the spectrum of the red supergiant
star Her, which constituted one of the first pieces of direct
evidence for high rates of mass loss.
Since such high rates of mass loss among asymptotic giant branch (AGB)
stars rival evolutionary timescales and substantially affect stellar
evolutionary tracks, careful investigations into mass loss from these
stars are indeed necessary.
Moreover, since mass loss defines the boundary conditions for stellar
evolutionary tracks, the rate of mass loss from these stars is hardly
time-invariant.
These facts have had theorists perplexed, who are struggling with the
basic challenge of how to lift so much mass away from the gravitational
hold of the star (e.g. Gustafsson & Höfner 2004).
Table 1: Characteristics of the far-IR observations of R Cas with AKARI and Spitzer.
Observations made with IRAS during the 1980's in the far-infrared (far-IR) have demonstrated that extended shells of evolved stars - the anticipated effect of continuous dusty mass loss - were present (e.g. Stencel et al. 1988; Young et al. 1993). During the 1990s, the ISO and ground-based IR work began to refine those results (e.g. Izumiura et al. 1997; Meixner et al. 1999), indicating variations in the mass loss rate over time that resulted in multiple shells and axisymmetric structures. This decade, we are fortunate to have new instruments with higher resolution and sensitivity, such as the AKARI infrared astronomy satellite (AKARI, formerly known as ASTRO-F;Murakami et al. 2007) and the Spitzer space telescope (Spitzer;Werner et al. 2004) that can more carefully map out the mass loss history of evolved stars.
In parallel with investigations into the mass loss history of evolved stars, evidence of interactions between the circumstellar matter and interstellar medium (ISM) around AGB stars is growing, with new observations of bow shocks around R Hya (Ueta et al. 2006) and Mira (Ueta 2008; Martin et al. 2007), plus theoretical considerations of the phenomena (e.g. Wareing et al. 2007; Villaver et al. 2003). This report is one of the first of several studies of well-resolved extended circumstellar dust shells of AGB stars under AKARI and Spitzer observing programs labeled ``Excavating Mass Loss History in Extended Dust Shells of Evolved Stars'' (MLHES). In this paper, we explore the detection of an arcminute-sized dust shell around the oxygen-rich AGB star, R Cassiopeiae (HD 224490; hereafter R Cas), in context of interactions between the AGB wind from R Cas and the ISM.
2 R Cas: the star and its circumstellar dust shell
The Mira type variable, R Cas, is an oxygen-rich, M7IIIe star with a
period of 431 days (Kukarkin et al. 1969) and estimated mass loss rate of
yr-1 (Knapp & Morris 1985).
This star is known to show an extended circumstellar shell originally
detected by IRAS at 60
m, having angular extent up to
(Young et al. 1993).
Bauer & Stencel (1994) later reported the angular size of
using
deconvolution of the point-spread-function (PSF).
The linear extent of the shell depends on the distance determination.
Hipparcos (Perryman et al. 1997) measured a parallax for R Cas to be
milli-arcseconds (mas), corresponding to
pc.
A new calculation done by van Leeuwen (2007) yielded
mas,
corresponding to
pc.
Other authors prefer values as small as 100 pc
(Knapp et al. 2003; Pourbaix et al, 2003) or as large as 220 pc (Knapp & Morris 1985).
Hipparcos also detected a 10 mas shift of the centroid of the
star, whose time-dependent, asymmetric size was determined
interferometrically to be 20-40 mas diameter (Hofmann et al. 2001).
Since the rotation of a bright stellar spot, for example, could increase
the apparent parallax value, the Hipparcos measurement for the
distance to R Cas is more uncertain than the quoted error values above.
Vlemmings et al. (2003) performed VLBI astrometry and obtained a significantly
smaller parallax value (
mas) for R Cas with respect
to the Hipparcos measurement.
Their analysis suggests the distance of
176-92+45 pc.
This maser astrometry value is more in line with the larger distance
estimate of 160 pc inferred from the Period-Luminosity relations
(Haniff et al. 1995).
Since an ensemble of VLBI measurements over a long time-basis is
less affected by uncertainties induced by changes on smaller time scales
that probably affected Hipparcos measurements, we will adopt the
VLBI distance measurement of 176 pc for our purposes.
3 Far-IR observations of R Cas
3.1 AKARI FIS imaging
We observed R Cas in the four bands at 65, 90, 140 and m with
the far-infrared surveyor (FIS; Kawada et al. 2007) on-board AKARI on
2007 January 16 as part of the AKARI-MLHES mission program (PI: Yamamura).
Observations were made with the FIS01 (compact source photometry) slow-scan
mode, in which two linear strips of forward and backward scans were performed
with a 70
spacing between the scan strips at the
s-1 scan rate with a reset rate of 0.5 s, resulting in the sky
coverage of roughly
centered at the target.
The FIS slow-scan toolkit (ver. 20070914; Verdugo et al. 2007) was used
to reduce the data.
We found that the quality of the resulting map was improved when we used
a temporal median filter with the width of 200 s (or longer), a temporal
boxcar filter with the width of 90 s, and the sigma clipping threshold
of 1.5.
For the reduction of data in the short wavelength bands (at 65 and
m), the results were also improved when we performed
flat-fielding of the data using the local ``blank'' sky data.
The resulting maps are in
and
pixel-1(nominal scale) for the short wavelength (65 and
m; SW) and
long wavelength (140 and
m; LW) bands, respectively, with the
average of 6, 9, 15, and 10 sky coverages per pixel at 65, 90, 140
and
m, respectively.
The resulting 1
sensitivities and the average
sky emission (the component removed by median filtering during the
reduction) are found to be 1.2, 0.6, 1.3 and 1.3 MJy sr-1
and
,
,
and
MJy sr-1 at 65, 90, 140 and
m, respectively.
Characteristics of the AKARI observations and images are
summarized in Table 1: images themselves are shown in
the top row of Fig. 1.
![]() |
Figure 1:
AKARI/FIS maps of R Cas in the SW bands - N60
(65 |
Open with DEXTER |
3.2 Spitzer MIPS imaging
R Cas observations at 70 m by Spitzer was made with the
multiband imaging photometer for Spitzer (MIPS; Rieke et al. 2004)
on 2008 February 18 as part of the Spitzer-MLHES project (PI: Ueta).
Observations were done in the photometry/fixed-cluster-offset mode, in
which a series of 12 exposures were made in a spiral pattern around R Cas.
This exposure pattern was intended not to allow the bright central star
fall on the 70
m Ge:Ga detector array in ``prime'' and on the
24
m Si:As detector array in ``non-prime'' in order to avoid
saturation and severe transient effects due to the central star.
In effect, we achieved the sky coverage of
centered at the target (but the central
around the star is unobserved).
For the data reduction, we started with the basic calibrated data (BCD),
which are relatively free from instrumental artifacts.
However, to optimize the detection of intrinsically faint extended shells
we used a custom IDL script to remove time- and pixel-dependent
instrumental effects still remaining in the BCD.
This script was developed originally to reduce similar MIPS data
obtained in the MIPS IR imaging of AGB dust shells (MIRIAD) project (PI:
Speck), based on the idea that it is highly unlikely that there
arises any periodicity in the time-series pixel readings given the way
the Spitzer aperture was dithered around in the target region.
This extra BCD cleaning has proven to be effective in correcting those
residual instrumental effects and removing residual background sky
emission (cf. Ueta et al. 2006).
We then used the MOsaicker and Point source EXtractor (MOPEX) software
(ver. 20080819; Makovoz et al. 2006) to produce
a final mosaicked image.
The resulting map is in 4
92 pixel-1 (sub-pixelized by a
factor of 2 from the nominal scale) with the average
of 9, and up to 24, sky coverages per pixel.
The 1
sensitivity and the average sky emission (the component
removed during the reduction) are found to be
1.1 MJy sr-1 and
MJy sr-1, respectively.
Characteristics of the Spitzer observations and image are
summarized in Table 1: image itself is shown in the
top-left frame of Fig. 2.
3.3 Photometry and deconvolution
Photometry was done only with the AKARI images that capture the circumstellar shell for its entirety. Because the absolute calibration of the FIS slow-scan data is based on the measurements of the diffuse sky emission from zodiacal light and interstellar cirrus done by CODE/DIRBE measurements (Verdugo et al. 2007), the surface brightness of the extended shell has already been calibrated. However, for the emission core that is essentially a point source a series of corrections (aperture, flux, and color corrections) needs to be applied. Thus, we separated the structure into two parts - the extended shell and the emission core - and performed photometry separately. For the emission core, we followed a method of aperture photometry elucidated by Shirahata et al. (2009) and evaluated flux correction factors. For the extended shell, we simply integrated the surface brightness over the shell. However, a care was taken not to double-count the flux component in the extended shell part that is accounted for as part of the core emission via aperture correction. For each flux value obtained for the core and shell, we independently applied color correction and obtained the final flux values, which are listed in Table 1.
For PSF calibration purposes, we also observed an M5 III giant
Gru (Engelke et al. 2006) with AKARI on 2006 November 16
and
an asteroid Ceres (Müller & Lagerros 2002) with Spitzer on 2008 February 17.
The same instrumental/mapping set-up was used for both PSF observations,
except for Spitzer observations, for which the
photometry/moving-cluster-offset mode was used because Ceres is a moving
target.
With the observed PSF maps, deconvolution was performed using an
IRAF
task lucy, which is based on the
Lucy-Richardson algorithm.
The average gain and read-out noise were computed for each map given the
documented detector responsivity for FIS and MIPS, integration time, and
the averaged number of sky-coverage per pixel.
Corresponding deconvolved images are shown in the bottom row of Fig. 1 and in the bottom-left frame of Fig. 2.
![]() |
Figure 2:
Spitzer/MIPS map of R Cas in the 70 |
Open with DEXTER |
4 Results: the extended dust shell of R Cas
Both AKARI (Fig. 1) and Spitzer
(Fig. 2) images of R Cas look very much extended, while the
faint surface brightness in the shell becomes progressively harder to
make out in the AKARI LW bands, especially at 160 m.
The radial surface brightness profile centered at the position of the
star yielded
to
radius for the AKARI SW
bands and Spitzer 70
m band and about
radius for
the AKARI LW bands (at 3
;
Table 1).
While the position of the star is obviously off-centered, the extended
shell is roughly circular whose
radius is 2
3
to 2
8 at 65, 70, and 90
m.
To clarify we also note that the AKARI SW band images (N60 and WIDE-S) are affected by the cross-talk of the FIS detector that
manifests itself as a linearly extended emission structure emanating from
the central source into the position angles at
and
E of N (Shirahata et al. 2009).
The shell's emission structure consists of the relatively flat
``plateau'' region on the west side (of surface brightness 15 to
20 MJy sr-1 at 65 to 90
m and <10 MJy sr-1 at 140
m) and
the region of higher surface brightness (emission core) on the east side
around the central star.
This particular emission structure, however, does not appear to be
caused by the off-centered central star.
The deconvolved maps in the AKARI SW bands (the bottom-left images
in Fig. 1) and in the PSF-subtracted Spitzer
70
m band (the bottom-left image in Fig. 2) all
show consistently that the surface brightness is enhanced along a
relatively well-defined rim that goes around the periphery of the shell
for almost half the shell on its east side.
Assuming that the detected far-IR emission is mostly of dust continuum,
the surface brightness enhancement on the east side can be caused by
either the density or temperature enhancement of dust grains in the
shell (or both).
This is because in such an optically thin environment at far-IR
the surface brightness
is proportional to
,
where
is optical depth along the line of sight
and
is the blackbody function for dust grains at the
temperature T.
Thus, we fit the
curve with the measured surface
brightnesses at 65, 70, and 90
m to infer the dust temperature
and the optical depth at 70
m,
simultaneously at each pixel.
This was done by rescaling the Spitzer 70
m map to the same
pixel scale as the AKARI SW band images (
pixel-1)
and performing the fitting using PSF-subtracted maps.
The results are shown in the right frames of Fig. 2.
The dust temperature map (the top-right frame of Fig. 2)
shows the peripheral enhancement similar to the one seen in the
(deconvolved) surface brightness maps (the bottom frames of Fig. 1).
The dust temperature is the highest (>20 K) in the well-defined
peripheral rim on the east side of the shell and in the less
well-defined, clumpier structures on the west side.
However, the
map (the bottom-right frame of
Fig. 2) does not show any obvious enhancement near the
periphery of the shell.
This suggests that the observed surface brightness enhancement in the
extended shell of R Cas is due to the temperature enhancement in the
shell rather than the density enhancement.
What would cause such a temperature enhancement in the shell, then?
Vlemmings et al. (2003) measured proper motion of R Cas,
mas yr-1,
by VLBI astrometry.
This translates to the position angle of
east of
north, which agrees remarkably well with the direction along which
there is a positive gradient of surface brightness.
In other words, the emission structure of the extended shell appears to
show mirror symmetry with respect to a line defined by the direction of
proper motion.
Interestingly, the direction of the measured proper motion is parallel
to the direction of the apparent shift of the central star from the
geometric center of the shell.
The shape of the circumstellar shell was fit by an ellipse using
the MIPS 70
m map, in which the pixel resolution is the highest.
We defined the shell edge at the 3
level and measured
the radius (the distance from the star to the edge) in all directions at
a certain azimuthal interval.
The best-fit semi-major axis length (a) and eccentricity (
)
were thus searched for by adjusting these two values while minimizing
the difference between the measured shape and the ellipse defined by the
particular
pair.
During this fit, we assumed that the central star would fall on one of
the foci and the semi-major axis would lie along the vector defined by
the direction of the measured proper motion.
The best-fit semi-major axis and eccentricity pair,
,
turned out to be
and
(hence, the
semi-minor axis length
):
indeed, the extended shell of R Cas is not quite circular in projection.
According to this best-fit ellipse, the distance from the ellipse center
to one of the foci is
.
This means that the central star is
displaced from the
ellipse center over the course of the shell expansion.
At the preferred distance for R Cas, 176 pc (Vlemmings et al. 2003), the semi-major
and semi-minor axes correspond to 0.13 to 0.14 pc.
If we assume that the measured CO expansion rate of 12 km s-1(Bujarrabal et al. 1994) is the (constant) expansion velocity of the extended dust
shell, the crossing time of the shell is therefore roughly 104 years.
If the elongation of the R Cas shell is solely due to the motion of the
central star with respect to the shell (in an otherwise stationary local
environment), the star must have been moving roughly at 5 mas yr-1,
which is much less than the observed proper motion of 82.3 mas yr-1.
Thus, the elliptical elongation of the shell and the offsetting of the
central star do not seem to be self-inflicted, as in the case where
a pile-up of AGB wind material occurs at the interface between
fast and slow AGB winds and defines the edge of the observed shell
(Steffen et al. 1998).
Rather, we speculate that the shell shaping is orchestrated by the
interactions between the AGB winds and ambient ISM, as in the
AGB wind-ISM interaction discovered around an AGB star,
R Hya, by Spitzer (Ueta et al. 2006).
In this scenario, the temperature enhancement seen in the east side of
the shell is due to dust heating along the contact discontinuity between
the AGB wind and the ISM flow.
The temperature enhancement seen in the west side is then probably due
to dust heating in the wake of the AGB wind-ISM interactions flowing
downstream (e.g. Wareing et al. 2007).
This dust heating is likely due to collisions rather than shock
emission because there is no known H emission source at the
position of R Cas (Finkbeiner 2003).
This interpretation is consistent with recent H I observations of
R Cas (Matthews & Reid 2007), which identifies a head-and-tail structure whose
alignment in the western wake of our far-IR maps is nearly perfect .
Unlike the R Hya case, however, we do not see any clear parabolic
bow shock structure that is expected to arise at the interface between
the AGB wind and ISM.
Still, we recognize rather round temperature-enhanced regions toward the
windward direction in the shell and wake-like temperature-enhanced
structures toward the leeward direction.
This is similar to the bow shock of Betelgeuse, for which its bow shock
appears rather circular due to the inclination angle of the shock
surface (Ueta et al. 2008).
Assuming momentum conservation across a physically thin (i.e.
radiative-cooling dominating) shock interface between the AGB wind and
ISM, one can express the bow shock shape analytically as a function of
the latitudinal angle
measured from the apex of the bow with
respect to the position of the central star as follows (Wilkin 1996):
where R0 is the stand-off distance between the star and bow apex defined as
for which



The best-fit of the Wilkin solution fitting yields the inclination of
the bow shock to be
and the position angle of
.
The inclination angle has a degeneracy because this fitting method alone
would not determine if the structure is inclined to us or away from us
with respect to the plane of the sky.
Nevertheless, the direction of the relative motion of the AGB wind shell
with respect to the ambient ISM determined from the apparent bow shock
structure is very much different than inferred from the observed motion
of the central star (
toward us at the
position angle of
).
The discordance between these two values can be resolved only by
incorporating the idea that the ISM itself is flowing in a particular
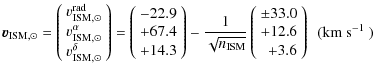
direction.
In other words, the difference between the vector of the apparent
(heliocentric) space motion of the central star
and the vector of the space motion of the star relative to the
ambient ISM
(as derived from the 3-D
orientation of the shock structure) is the heliocentric flow vector of
the ambient ISM
:
The stand-off distance of








![]() |
(4) |
as a function of the remaining unknown,









In the frame of stellar winds at 12 km s-1 (Knapp et al. 1998),
the relative velocity of the ambient ISM flow into the interface regions
is
km s-1, which translates into at
least 37 km s-1 if
cm-3.
Such a velocity could induce relatively weak (collisional) shock
interactions that can raise the dust temperature of the AGB wind-ISM
interface regions to
20-30 K as seen from the present far-IR data.
Given the nature of the central star, it is highly unlikely that dust
heating is solely due to radiation from the central star.
Typically the ambient interstellar radiation field is thought to
contribute in heating dust grains in the outermost regions of the
extended circumstellar shells.
The present analysis of the far-IR data indicates that the AGB wind-ISM
interactions can contribute as yet another source for dust heating in an
otherwise cold environment.
In future radiative transfer studies with our far-IR data sets, we will
quantify relative contributions of these dust heating sources at the
periphery of the extended dust shells around evolved stars as they would
impact the physical and chemical conditions of the AGB wind ejecta upon
injection into the ISM.
The dust temperature and optical depth maps together with a surface
brightness map would yield crude estimates of dust mass in the shell:
![]() |
(5) |
where













5 Conclusion
We obtained far-IR images of an oxygen-rich Mira variable R Cas at
65, 70, 90, 140, and 160 m using AKARI and Spitzer
and revealed its very extended (
to
radius,
corresponding to 0.1 pc at its adopted distance of 176 pc), slightly
elliptical (
)
dust shell, in which the central star is
located offset from the geometric center of the shell in the direction
of the measured proper motion of the central star.
We recognize a positive gradient of the surface brightness along the
direction of the ``shift'' of the central star, which apparently is
caused by the surface brightness enhancement along the periphery of the
shell in the east side seen in deconvolved images.
Fitting of the surface brightness using data in the 3 shortest bands
suggests that the observed enhancement is caused by the temperature
enhancement rather than the density enhancement, prompting a need to
warm up dust grains primarily on the east side of the outer rim.
Given the coincidence between the direction of the proper motion of the
central star and the direction of the apex of the peripheric surface
brightness/temperature enhancement in the shell, we infer that the
observed shell structure represents the contact surface of the AGB
wind-ISM interaction which is inclined to give an overall spherical
shape instead of a typical parabolic bow shock structure.
This AGB wind-ISM (collisional) interaction therefore warm up dust
grains in the interface regions, causing the temperature enhancement
towards the windward direction of the shell.
Using the maps, we also estimated the total dust mass in the shell to be
.
The shape of the observed enhancement was fitted with the analytical
function for the bow shock cone to derive the inclination angle of
.
The apex vector of the bow shock cone and the space motion vector of
proper motion of the central starwere compared to deduce that there is
an ISM flow local to R Cas that has a flow velocity of at least 55.6 km s-1.
Then, the relative velocity of the ambient ISM flow with respect to the
AGB wind-ISM interface regions is at least 37 km s-1.
Therefore, such weak shocks can play a role in heating dust grains in
the outermost regions of these extended dust shells around evolved
stars in addition to the interstellar radiation field that is originally
expected to play a role in an environment where luminosity from the
central source is not enough for required dust heating.
We are grateful for financial support from the Institute of Space and Astronautical Science under the auspices of the Japan Aerospace Exploration Agency as well as the Jet Propulsion Laboratory/California Institute of Technology.
References
- Bauer, W. H., & Stencel, R. E. 1994, AJ, 107, 2233 [NASA ADS] [CrossRef] [Google Scholar]
- Bujarrabal, V., Fuente, A., & Omont, A. 1994, A&A, 285, 247 [NASA ADS] [Google Scholar]
- Deutsch, A. 1956, ApJ, 123, 210 [NASA ADS] [CrossRef] [Google Scholar]
- Dorschner, J., Begemann, B., Henning, T., Jaeger, C., & Mutschke, H. 1995, A&A, 300, 503 [NASA ADS] [Google Scholar]
- Engelke, C. W., Price, S. D., & Kraemer, K. E. 2006, AJ, 132, 1445 [NASA ADS] [CrossRef] [Google Scholar]
- Finkbeiner, D. P. 2003, ApJS, 146, 407 [NASA ADS] [CrossRef] [Google Scholar]
- Gustafsson, B., & Höfner, S. 2004, Atmospheres og AGB Stars, in Asymptotic Giant Branch Stars, ed. H. J. Habing, & H. Olofsson (New York: Springer), 149 [Google Scholar]
- Haniff, C. A., Scholz, M., & Tuthill, P. G. 1995, MNRAS, 276, 640 [NASA ADS] [CrossRef] [Google Scholar]
- Hofmann, K.-H., Balega, Y., Scholz, M., & Weigelt, G. 2001, A&A, 376, 518 [NASA ADS] [CrossRef] [EDP Sciences] [Google Scholar]
- Izumiura, H., Waters, L. B. F. M., de Jong, T., et al. 1997, A&A, 323, 449 [NASA ADS] [Google Scholar]
- Kawada, M., Baba, H., Barthel, P. D., et al. 2007, PASJ, 59, 389 [Google Scholar]
- Knapp, G. R., & Morris, M. 1985, ApJ, 292, 640 [NASA ADS] [CrossRef] [Google Scholar]
- Knapp, G. R., Young, K., Lee, E., & Jorissen, A. 1998, ApJS, 117, 209 [NASA ADS] [CrossRef] [Google Scholar]
- Knapp, G. R., Pourbaix, D., Platais, I., & Jorissen, A. 2003, A&A, 403, 993 [NASA ADS] [CrossRef] [EDP Sciences] [Google Scholar]
- Kukarkin, B. V., Kholopov, P. N., Efremov, Yu. N., et al. 1969, General Catalog of Variable Stars, 3rd edn. (Moscow, USSR: Academy of Sciences) [Google Scholar]
- Makovoz, D., Roby, T., Khan, I., & Booth, H. 2006, in Advanced Software and Control for Astronomy, ed. H. Lewis, & A. Bridger (Bellingham: SPIE), Proc. SPIE, 6274, 10 [Google Scholar]
- Martin, D., Seibert, M., Neill, J. D., et al. 2007, Nature, 448, 780 [NASA ADS] [CrossRef] [PubMed] [Google Scholar]
- Matthews, L. D., & Reid, M. J. 2007, AJ, 133, 2291 [NASA ADS] [CrossRef] [Google Scholar]
- Meixner, M., Ueta, T., Dayal, A., et al. 1999, ApJS, 122, 221 [NASA ADS] [CrossRef] [Google Scholar]
- Müller, T. G., & Lagerros, J. S. V. 2002, A&A, 381, 324 [NASA ADS] [CrossRef] [EDP Sciences] [Google Scholar]
- Murakami, H., Baba, H., Barthel, P., et al. 2007, PASJ, 59, 369 [Google Scholar]
- Perryman, M. A. C., Lindegren, L., Kovalevsky, J., et al. 1997, A&A, 323, L49 [NASA ADS] [Google Scholar]
- Pourbaix, D., Platais, I., Detournay, S., et al. 2003, A&A, 399, 1167 [Google Scholar]
- Rieke, G., Young, E. T., Engelbracht, C. W., et al. 2004, ApJS, 154, 25 [NASA ADS] [CrossRef] [Google Scholar]
- Shirahata, M., Matsuura, S., Hasegawa, S., et al. 2009, PASJ, 6, 737 [NASA ADS] [CrossRef] [Google Scholar]
- Steffen, M., Szczerba, R., & Schönberner, D. 1998, A&A, 337, 149 [NASA ADS] [Google Scholar]
- Stencel, R. E., Pesce, J. E., & Bauer, W. H. 1988, AJ, 95, 141 [NASA ADS] [CrossRef] [Google Scholar]
- Ueta, T. 2008, ApJ, 687, L33 [NASA ADS] [CrossRef] [Google Scholar]
- Ueta, T., Speck, A. K., Stencel, R. E., et al. 2006, ApJ, 648, L39 [NASA ADS] [CrossRef] [Google Scholar]
- Ueta, T., Izumiura, H., Yamamura, I., et al. 2008, PASJ, 60, S407 [NASA ADS] [Google Scholar]
- van Leeuwen, F. 2007, A&A, 474, 653 [NASA ADS] [CrossRef] [EDP Sciences] [Google Scholar]
- Verdugo, E., Yamamura, I., & Pearson, C. P. 2007, AKARI FIS Data User Manual, Version 1.3 [Google Scholar]
- Villaver, E., García-Segura, G., & Manchado, A. 2003, ApJ, 585, 49 [Google Scholar]
- Vlemmings, W. H. T., van Langevelde, H. J., Diamond, P. J., Habing, H. J., & Schilizzi, R. T. 2003, A&A, 407, 213 [NASA ADS] [CrossRef] [EDP Sciences] [Google Scholar]
- Wareing, C. J., Zijlstra, A. A., & O'Brien, T. J. 2007, MNRAS, 382, 1233 [NASA ADS] [CrossRef] [Google Scholar]
- Werner, M. W., Roellig, T. L., Low, F. J., et al. 2004, ApJS, 154, 1 [Google Scholar]
- Wilkin, F. P. 1996, ApJ, 459, L31 [NASA ADS] [CrossRef] [Google Scholar]
- Young, K., Phillips, T. G., & Knapp, G. R. 1993, ApJS, 86, 517 [NASA ADS] [CrossRef] [Google Scholar]
Footnotes
- ...
imaging
- Based in part on observations with AKARI, a JAXA project with the participation of ESA, and with the Spitzer Space Telescope, which is operated by the Jet Propulsion Laboratory, California Institute of Technology under a contract with NASA.
- ... 20070914
- Available at http://www.ir.isas.jaxa.jp/AKARI/Observation/
- ... 20080819
- Available at http://ssc.spitzer.caltech.edu/postbcd/
- ...
IRAF
- IRAF is distributed by the National Optical Astronomy Observatories, which are operated by the Association of Universities for Research in Astronomy, Inc., under cooperative agreement with the National Science Foundation.
All Tables
Table 1: Characteristics of the far-IR observations of R Cas with AKARI and Spitzer.
All Figures
![]() |
Figure 1:
AKARI/FIS maps of R Cas in the SW bands - N60
(65 |
Open with DEXTER | |
In the text |
![]() |
Figure 2:
Spitzer/MIPS map of R Cas in the 70 |
Open with DEXTER | |
In the text |
Copyright ESO 2010
Current usage metrics show cumulative count of Article Views (full-text article views including HTML views, PDF and ePub downloads, according to the available data) and Abstracts Views on Vision4Press platform.
Data correspond to usage on the plateform after 2015. The current usage metrics is available 48-96 hours after online publication and is updated daily on week days.
Initial download of the metrics may take a while.