Science with AKARI
Free Access
Issue
A&A
Volume 514, May 2010
Science with AKARI
Article Number A5
Number of page(s) 13
Section Extragalactic astronomy
DOI https://doi.org/10.1051/0004-6361/200913466
Published online 03 May 2010
A&A 514, A5 (2010)

Science with AKARI

Polycyclic aromatic hydrocarbon (PAH) luminous galaxies at z $\sim$ 1

T. Takagi1 - Y. Ohyama2 - T. Goto3,4 - H. Matsuhara1 - S. Oyabu1 - T. Wada1 - C. P. Pearson5 - H. M. Lee6 - M. Im6 - M. G. Lee6 - H. Shim6 - H. Hanami7 - T. Ishigaki8 - K. Imai9 - G. J. White5,10 - S. Serjeant10 - M. Malkan11

1 - Institute of Space and Astronautical Science, Japan Aerospace Exploration Agency, Sagamihara, Kanagawa 229-8510, Japan
2 - Academia Sinica, Institute of Astronomy and Astrophysics, Taiwan
3 - Institute for Astronomy, University of Hawaii, 2680 Woodlawn Drive, Honolulu, HI, 96822, USA
4 - National Astronomical Observatory, 2-21-1 Osawa, Mitaka, Tokyo, 181-8588, Japan
5 - Rutherford Appleton Laboratory, Chilton, Didcot, Oxfordshire, OX11 0QX, UK
6 - Department of Physics and Astronomy, FPRD, Seoul National University, Shilim-Dong, Kwanak-Gu, Seoul 151-742, Korea
7 - Physics Section, Faculty of Humanities and Social Sciences, Iwate University, Morioka 020-8550, Japan
8 - Asahikawa National College of Technology, Asahikawa, Hokkaido 071-8124, Japan
9 - TOME R&D Inc. Kawasaki, Kanagawa 213-0012, Japan
10 - Astrophysics Group, Department of Physics, The Open University, Milton Keynes, MK7 6AA, UK
11 - Department of Physics and Astronomy, UCLA, Los Angeles, CA, USA

Received 14 October 2009 / Accepted 17 February 2010

Abstract
Aims. The NEP-deep survey, an extragalactic AKARI survey towards the north ecliptic pole (NEP), provides a comprehensive wavelength coverage from 2 to 24 $\mu $m using all 9 photometric bands of the infrared camera (IRC). It allows us to photometrically identify galaxies whose mid-IR emission is clearly dominated by PAHs.
Methods. We propose a single-colour selection method to identify such galaxies, using two mid-IR flux ratios at 11-to-7 $\mu $m and 15-to-9 $\mu $m (PAH-to-continuum flux ratio in the rest frame), which are useful for identifying starburst galaxies at $z\sim 0.5$ and 1, respectively. We perform a fitting of the spectral energy distributions (SEDs) from optical to mid-IR wavelengths, using an evolutionary starburst model with a proper treatment of radiative transfer (SBURT), in order to investigate their nature.
Results. The SBURT model reproduces observed optical-to-mid-IR SEDs of more than a half of the PAH-selected galaxies. Based on the 8 $\mu $m luminosity, we find ultra luminous infrared galaxies (ULIRGs) among PAH-selected galaxies. Their PAH luminosity is higher than local ULIRGs with a similar luminosity, and the PAH-to-total IR luminosity ratio is consistent with that of less luminous starburst galaxies. They are a unique galaxy population at high redshifts, and we call these PAH-selected ULIRGs ``PAH-luminous'' galaxies. Although they are not as massive as submillimetre galaxies at $z\sim 2$, they have the stellar mass of > $3\times 10^{10}~M_\odot$ and therefore are moderately massive.

Key words: galaxies: starburst - infrared: galaxies - galaxies: active - galaxies : evolution

1 Introduction

In recent studies of galaxy formation and evolution, the most massive and luminous galaxies have played a leading role. Most luminous galaxies, such as submillimetre galaxies and ultraluminous infrared galaxies (ULIRGs[*]) at high redshifts are now believed to be the progenitors of massive spheroids and to highlight the early formation of massive galaxies (e.g. Smail et al. 2004; Chapman et al. 2005; Tacconi et al. 2008). This supports the scenario of anti-hierarchical or ``down-sizing'' galaxy formation (e.g. Cimatti et al. 2006; Heavens et al. 2004).

Mid-infrared (IR) surveys are a powerful tool for studying the most luminous galaxies at high redshifts by providing the infrared luminosity function and the star formation rate in a large cosmic volume as a function of redshift (e.g. Goto et al. 2010; Le Floc'h et al. 2005; Pérez-González et al. 2005; Babbedge et al. 2006; Caputi et al. 2007). However, this work can suffer uncertainty from the k-correction, which requires knowing the appropriate mid-IR spectral energy distribution (SED). In fact, sensitive IRS observations with the Spitzer space telescope reveal that the mid-IR spectra of submillimetre galaxies resembles that of over 2 orders of magnitude less luminous starburst galaxies (Valiante et al. 2007; Pope et al. 2008; Farrah et al. 2008), which have prominent emission features of polycyclic aromatic hydrocarbons (PAHs). This raises questions about the nature of most luminous galaxies and how they differ systematically from low-z to high-z.

Multi-wavelength mid-IR surveys with AKARI provide a unique measure of the mid-IR properties of infrared galaxies at high redshifts with a statistically valid sample. Takagi et al. (2007a) demonstrate that AKARI/IRC all-band photometry is capable of identifying the approximate spectral shape of the PAH emission, specifically the steep rise in flux at the blue side of the PAH 6.2 $\mu $m feature. Such a steep flux rise can only be accounted for by PAH emission. Using this fact, we propose a new photometric selection method for galaxies whose mid-IR emission is dominated by PAH emission. This is possible if photometric observations are comprehensive enough to trace the PAH  emission feature in the SED, as in the AKARI/IRC all-band photometric survey. We call galaxies selected in this method PAH-selected galaxies.

In this paper, we utilise the multi-wavelength mid-IR coverage of the NEP-deep survey with AKARI to identify galaxies with strong PAH emission. Sections 2 and 3 describe the data and sample selection, respectively. Our SED-fitting method using the optical to mid-IR wavelength range and its results are presented in Sect. 4. We discuss the properties of PAH-selected galaxies in Sect. 5 and summarise the results in Sect. 6. Throughout this paper, a flat cosmology with H0 = 70 km s-1 Mpc-1 and $\Omega_\Lambda =0.7$ is used. All magnitudes are given in the AB system, unless otherwise stated.

2 Data

Here we use the multi-wavelength data set of the AKARI NEP-deep survey, described in detail in Wada et al. (2008). The NEP-deep survey covers a circular area of 0.38 deg2, centred at $\alpha = 17^{\rm h} 56^{\rm m} 01^{\rm s}$ and $\delta = 66^\circ 33' 48.4''$ (J2000.0), with all nine IRC bands, i.e. 2.4, 3.2, 4.1, 7.0, 9.0, 11, 15, 18, and 24 $\mu $m (N2, N3, N4, S7, S9W, S11, L15, L18W, and L24 in conventional band names, respectively). The 5$\sigma $ sensitivities in these bands are 9.61, 7.51, 5.4[*], 49, 58, 71, 117, 121, and 275 $\mu $Jy from N2 to L24, respectively (Wada et al. 2008). Deep optical (BVRi'z' and NB711) images with the Subaru/Suprime-cam (S-cam), reaching a limiting magnitude of B=28 and z'=26 AB mag, are available for a part of the NEP-deep field with an area of $27'\times 34'$, i.e. one field-of-view of S-cam. We also have ground-based near-IR ( $JK_{\rm s}$) images with KPNO-2.1 m/FLAMINGOS for the S-cam field (Imai et al. 2007), reaching a Vega magnitude of $K_{\rm s} = 19.5$. The ground-based near-IR images have higher spatial resolution (FWHM of 1.08'') than that of IRC, and are therefore quite useful for resolving source confusion in IRC images. In this paper, we concentrate on sources in the S-cam field.

We performed an optical spectroscopic survey of 242 mid-IR sources with $R\la 24$ mag in the S-cam field using Keck/DEIMOS (Takagi et al., in prep.). Here we use the spectroscopic redshifts for calibrating photometric redshifts. The optical emission line diagnostics of mid-IR sources will be given elsewhere.

3 Sample selection

3.1 All-band-detected sources

To evaluate and to maximize the new diagnostic capabilities becoming available from the NEP-deep survey, we have constructed a source catalogue of objects, detected in all nine IRC bands (hereafter all-band-detected sources). We combined the S7,S9W,S11-band images for source detection and used SExtractor (Bertin & Arnouts 1996) to make an initial catalogue. We then followed Takagi et al. (2007a) for photometry with IRC images, in which the aperture photometry with 2 pixel and 3 pixel radii are used for near-IR (N2,N3,N4) and mid-IR images ( S7,S9W,S11,L15,L18W,L24), respectively. Appropriate aperture corrections were then applied. We also followed Takagi et al. (2007a) for band merging. Starting from the centroid position of S11 sources, we searched for the centroid in the other images. If the angular distance between centroids is less than 3'', the objects are considered to be the same (see Wada et al. 2008). Since we have not adopted a specific signal-to-noise ratio for the detection at all of the IRC bands other than S11, the resulting catalogue includes less significant detections (<$3\sigma$) in some cases. Nevertheless, we include these sources in our all-band-detected sample, since the less significant detections are rare, and the resulting SED is still well constrained.

There are 1100 all-band-detected sources in the entire NEP-deep field, and 630 in the S-cam field. We searched for optical identification using sky positions in the N2 band, where the astrometry is based on the Two Micron All Sky Survey (2MASS) and therefore most reliable. The resulting optical identifications were all visually inspected. We found that about 10% of sources have ambiguous optical identifications. Excluding these sources, we obtained 568 all-band-detected sources in the S-cam field with unambiguous optical identification, of which 113 have optical spectra with DEIMOS.

\begin{figure}
\par\includegraphics[width=7.5cm,clip]{13466fig1.eps}
\end{figure} Figure 1:

A colour-colour plot of all-band-detected sources with 15-to-9 $\mu $m and 11-to-7 $\mu $m flux ratios. Dashed lines indicate the colour cuts for selecting PAH-selected galaxies. Points with error bars indicate the PAH-selected galaxies.

Open with DEXTER

3.2 PAH-selected galaxies

At the mid-IR wavelength region, emission from galaxies is usually dominated by small and hot dust grains experiencing the temperature fluctuation. PAHs are believed to be the smallest of those, consisting of $\sim$100 carbon atoms grouped into $\sim$10 $\AA\ $ in dimensions and having emission bands. PAH emission features have sometimes been used as star formation indicators, which are prominent in starburst galaxies (Brandl et al. 2006), but weak or absent in AGNs (Weedman et al. 2005).

Using the very steep flux rise on the blue side of the 6.2 $\mu $m PAH feature, we attempted to identify galaxies whose mid-IR emission is dominated by PAHs, based on AKARI photometric observations. The steep flux rise due to PAH emission can be characterised by the flux ratio at the rest-frame wavelengths of approximately 7 to 4 $\mu $m. For galaxies at $z\sim 0.5$ and 1, we could use 11-to-7 $\mu $m flux ratio and 15-to-9 $\mu $m flux ratio, respectively, in order to identify galaxies with prominent PAH emission. For convenience, we hereafter use the term, the PAH-to-continuum flux ratio, for these flux ratios. Figure 1 shows a colour-colour plot of all-band-detected sources using these flux ratios. There are galaxies with the PAH-to-continuum flux ratio as high as 10 for both ratios. We hereafter call galaxies with the flux ratio of >8 as PAH-selected galaxies.

For star-forming galaxies, it is likely that the flux at the rest-frame 4 $\mu $m is dominated by the stellar continuum, while PAH 7.7 $\mu $m feature dominates the flux at the rest-frame 7 $\mu $m. The PAH luminosity is believed to be a good tracer of total infrared luminosity of star-forming galaxies, hence the SFR (e.g. Genzel et al. 1998; Rigopoulou et al. 1999; Farrah et al. 2007). Thus, these flux ratios are roughly proportional to the mass-normalized SFRs, i.e. specific SFRs. We thus expect that PAH-selected galaxies are the best candidates for starburst galaxies.

In Fig. 2a, we show the 11-to-7 $\mu $m flux ratio as a function of redshift, using the SED template of various galaxy types - the SWIRE template library (Polletta et al. 2007). This template confirms that the 11-to-7 $\mu $m flux ratio has a peak at $z\sim 0.5$, although no SEDs in the template can reproduce the flux ratios greater than 8. The SWIRE template library has only a few SEDs of starburst-dominated galaxies. To explain the high flux ratio of PAH-selected galaxies, we may need more comprehensive SED templates of starburst galaxies.

\begin{figure}
\par\includegraphics[width=7.5cm,clip]{13466fig2a.eps}\par\vspace*{2mm}
\includegraphics[width=7.5cm,clip]{13466fig2b.eps}
\end{figure} Figure 2:

11-to-7 $\mu $m flux ratio as a function of redshift. Solid circles with error bars indicate the spectroscopic sample with S7, S9, S11 > 30 $\mu $Jy, and S15 > 100 $\mu $Jy. a) Flux ratio estimated from the SED template of Polletta et al. (2007). The names of galaxies in the template are given in the legend. b) Same as  a), but with the SBURT model with different starburst age and compactness of the starburst region ( $\Theta =1.4$, 1.6, 1.8, 2.0), which controls the optical depth. The MW dust model is adopted. ( See the electronic edition of the Journal for a colour version of this figure.)

Open with DEXTER
For the comprehensive SED template of starburst galaxies, we adopted an evolutionary starburst SED model with radiative transfer (Takagi et al. 2003a, SBURT). This is an SED model for starburst regions, assumed to be spherical and to have a concentrated stellar distribution and homogeneous dust distribution. SBURT adopts a stellar population synthesis model of Kodama & Arimoto (1997) as input. The amount of dust is calculated, based on the chemical evolution assuming gas infall. The time scale of gas infall and of star formation is assumed to be 0.1 Gyr[*]. Thus, the SBURT model can be regarded as a population synthesis model with physically consistent treatment of dust extinction and re-emission. The optical depth of the system is controlled by the compactness ($\Theta$) of the starburst region. In the SBURT model, there are three choices of the extinction curve, corresponding to the dust model for the Milky Way (MW), Large or Small Magellanic Clouds (LMC or SMC). The fraction of PAHs in dust is 5, 1, and 0.5% in the MW, LMC, and SMC dust models, respectively. Thus, models with the MW dust has the highest PAH-to-continuum flux ratio. See Takagi et al. (2003b,a) for more details of SBURT.

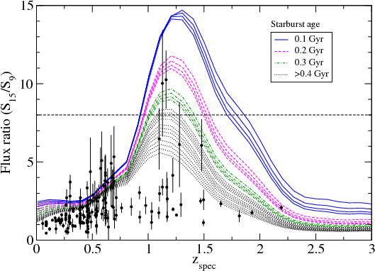
In Figs. 2b and 3, we show the 11-to-7 $\mu $m and 15-to-9 $\mu $m flux ratios estimated from the SBURT model, respectively. We found that the MW dust model is required, in order to reproduce high flux ratios of PAH-selected galaxies. According to the model, younger galaxies may have higher flux ratios, because the contribution from the stellar component to the $4~\mu$m continuum is less for younger starbursts. The flux ratios over 8 are satisfied with the model younger than 0.4 Gyr. However, this is only one possible interpretation, since the dust model adopted has only three choices (MW, LMC, or SMC), and limited capability of reproducing large variations in mid-IR properties. Specifically, this model does not take the ionization status of PAHs into account, which significantly affects the optical constants of PAHs around $8~\mu$m (e.g. Li & Draine 2001).

\begin{figure}
\par\includegraphics[width=7.5cm,clip]{13466fig3.eps}
\end{figure} Figure 3:

Same as Fig. 2b), but for 15-to-9 $\mu $m flux ratio.

Open with DEXTER

Among all-band-detected sources, we identified 56 (39) PAH-selected galaxies from the 11-to-7 $\mu $m (15-to-9 $\mu $m) flux ratio in the entire NEP-deep field, of which 38 (18) lie in the S-cam field with unambiguous optical identification. We include sources with less significant detection at the rest-frame 4 $\mu $m, if the 2.5$\sigma $ upper limit is consistent with the selection criterion. In Table A.1, we tabulate the IRC photometry of PAH-selected galaxies.

4 Photometric redshifts and SED fits

4.1 Method

We fit the optical-to-MIR SEDs of all-band-detected sources with the SBURT model[*]. We use the model with the starburst age of 0.01-0.6 Gyr, which is long enough to represent the starburst phase. The SBURT model originally covers the wavelength range from UV to submillimetre. Takagi et al. (2007b) empirically added the radio component to reproduce the observed radio-IR correlation. This model does not include any emission from AGN. Thus, it is expected that the SBURT model underpredicts the mid-IR fluxes from AGN hosts, which usually have hot dust excess compared to pure starburst galaxies (Hunt et al. 1997).

We adopted the same SED fitting method as in Takagi et al. (2007a), using a standard $\chi^2$ minimization technique. Takagi et al. (2007a) adopted relatively large minimum photometric errors, 20-30% depending on the band. Since the photometric calibration of IRC has been recently improved (Tanabé et al. 2008), we here set the minimum photometric errors to 15% for all IRC bands. As in Takagi et al. (2007a), we quadratically added an additional 20% error for data at the rest-frame UV wavelengths, <4000 Å, in order to account for the uncertainty of the extinction curve.

We applied the SBURT model to all-band-detected sources. By nature, all-band-detected sources are a heterogeneous sample, even including stars. Since we used a starburst SED template, SBURT, for this sample, it is important to distinguish starburst candidates from other types of sources. To do this, we used the goodness of SBURT fitting and reject sources with no acceptable SBURT model in further analyses. We reject the best-fitting SBURT model if the value of resulting $\chi^2$ is so high that the corresponding probability is less than 1%.

4.2 Fitting results

4.2.1 All-band-detected sources

We performed SED-fitting for 568 all-band-detected sources using the SBURT model. We obtained good fits for $\sim$40% (211/568) of all-band-detected sources. On the other hand, using the SWIRE template library, instead of SBURT, we obtained good fits for only $\sim$10% (69/568) of the sources, although it covers a wide range of SED types. The SWIRE library only has a few SEDs of starbursts. We think that a wide variety of starburst SEDs, such as in the SBURT model, is needed to reproduce a good fraction of observed UV-mid-IR SEDs of IR-selected galaxies.

To show what kinds of sources are rejected in the SBURT fitting, we plot both accepted and rejected samples in a colour-colour plot of N3-S7 vs. N2-N3 in Fig. 4. Takagi et al. (2007a) used this colour-colour plot to differentiate AGNs from normal star-forming galaxies. AGNs identified with optical spectroscopy have red colours in both N2-N3 and N3-S7. The accepted fits avoid this AGN colour region, because the SBURT model does not have any AGN component. The accepted sample also avoids the clump of objects with blue colours at $N2-N3\simeq 0.6$ and $N3-S7\simeq -1.5$, which are stars. The rest of the rejected sample has similar N2-N3 and N3-S7 colours to those of the accepted sample. These include quiescent spiral galaxies, which have systematically redder optical-near-IR colours than any of the SBURT models. As we discuss in Sect. 5.1, limitations on the dust model may also cause rejection of the best-fitting model.

\begin{figure}
\par\includegraphics[width=7.7cm,clip]{13466fig4.eps}
\end{figure} Figure 4:

Colour-colour plot with N3-S7 versus N2-N3. Solid circles and small crosses indicate the good and bad-fit samples, respectively. Solid circles with error bars represent optically identified AGN.

Open with DEXTER

\begin{figure}
\par\includegraphics[width=7.7cm,clip]{13466fig5.eps}
\end{figure} Figure 5:

Photometric versus spectroscopic redshifts. Solid circles indicate the redshifts of the good-fit sample, while small crosses are for the bad-fit sample. Dotted lines represent $\frac{\Delta z}{(1+z)} = \pm$0.1. Squares indicate the photometric redshifts of the good-fit sample, based only on the ground-based optical-NIR photometry.

Open with DEXTER

To derive any firm conclusions, photometric redshifts of the good-fit sample should be accurate enough. Figure 5 shows the comparison of photometric redshifts to spectroscopic redshifts. Defining a catastrophic error by $\frac{\Delta z}{(1+z)} > 0.2$, we find no catastrophic errors and $\sigma_\frac{\Delta z}{(1+z)} = 0.034$ for the good-fit sample, and 21/68 catastrophic errors for the bad-fit sample. Thus, the goodness of the SBURT fit is actually a good measure of the accuracy of photometric redshifts.

In Fig. 5, we also plot photometric redshifts derived only from ground-based optical-NIR (BVRi'z'JK) bands, using a widely-used photometric redshift code, Hyperz (Bolzonella et al. 2000). In Hyperz, we adopted a population synthesis model of Bruzual & Charlot (2003), which is distributed along with the code, and the extinction curve of starbursts (Calzetti et al. 2000) for dust reddening. In order to compare the photometric redshifts with AKARI bands to those without AKARI, we only show the good-fit sample (with SBURT fitting) in Fig. 5. We find one catastrophic error in ground-based photometric redshifts, while this galaxy has a reasonable photometric redshift with AKARI bands. Furthermore, ground-based photometric redshifts seem to have systematic errors; i.e., at $z\sim 0.5$, most of photometric redshifts are lower than the spectroscopic redshifts. These errors can be removed by using AKARI bands.

To check the statistical reliability of our photometric redshifts, we used a correlation between the NIR colour N2-N3 and redshift (Takagi et al. 2007a). With this test, we could detect systematic effects, if any, of using mid-IR fluxes for deriving photometric redshifts. In Fig. 6, we show the correlations for both spectroscopic and photometric samples. For the photometric sample, we obtain the correlation of $(N2-N3) = (2.37\pm0.12) \log(1+z) - 0.56$, which is consistent with that of the spectroscopic sample, i.e. $(N2-N3) = (2.43\pm0.05) \log(1+z) - 0.59$. Therefore, we find no systematic errors in our photometric redshifts.

4.2.2 PAH-selected galaxies

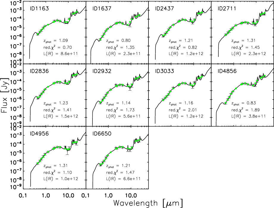
We here show more details of SED fitting results specifically for PAH-selected galaxies. In Figs. A.1-A.4, we show the best-fitting (both accepted and rejected) SED models for PAH-selected galaxies at $z\sim 0.5$ and 1. We obtained acceptable SED fits for 22/38 and 10/18 of the PAH-selected galaxies at $z\sim 0.5$ and 1, respectively. Even though PAH-selected galaxies are starbursts, the SBURT model does not provide acceptable fits for 40% of PAH-selected galaxies, although the success rate of the fitting is better than for the whole sample. This topic is discussed in detail in the next section.

We show the redshift distributions of PAH-selected galaxies in Fig. 7. They are consistent with the expectation from the model templates, shown in Figs. 2 and 3. There are no systematic differences in photometric redshifts between the good- and bad-fit samples. This may indicate that the resulting large $\chi^2$ does not come from an incorrect redshift. The total-IR luminosity from the SED model is indicated in each panel of Figs. A.1-A.4. The PAH-selected galaxies at $z\sim 1$ include ULIRGs. This type of ULIRGs can be found only at high redshifts (see Sect. 5.2).

\begin{figure}
\par\includegraphics[width=7.8cm,clip]{13466fig6.eps}
\end{figure} Figure 6:

Correlation between N2-N3 colour and redshift for both photometric and spectroscopic samples. Open circles with error bars indicate the spectroscopic sample. Solid circles represent the photometric sample. Solid and dashed lines are the regression line for photometric and spectroscopic sample, respectively.

Open with DEXTER

\begin{figure}
\par\includegraphics[width=7.8cm,clip]{13466fig7.eps}
\end{figure} Figure 7:

Redshift distribution of PAH-selected galaxies. Vertically and diagonally shaded histograms represent 11-to-7 $\mu $m and 15-to-9 $\mu $m selected galaxies with good SED fits, respectively. Histograms with thin dashed and solid lines indicate the redshift distribution including the bad-fit sample. Spectroscopic redshifts are adopted if available.

Open with DEXTER

\begin{figure}
\par\includegraphics[width=7.8cm,clip]{13466fig8a.eps}\par\vspace*{2mm}
\includegraphics[width=7.8cm,clip]{13466fig8b.eps}
\end{figure} Figure 8:

$\mu $m luminosity and stellar mass as a function of redshift. All-band-detected sources and PAH-selected galaxies are represented by small dots and open circles, respectively. We only show galaxies with good SED fits.

Open with DEXTER

5 Discussion

5.1 Nature of PAH-selected galaxies

In Fig. 8, we show 8 $\mu $m luminosities and stellar masses of PAH-selected galaxies, along with those of all-band-detected sources. The 8 $\mu $m luminosity is derived from the observed flux in the IRC bands closest to the reset-frame 8 $\mu $m and the luminosity distance from photometric redshifts. Some of PAH-selected galaxies at $z\sim 1$ have $L_{\rm 8~\mu m}> 10^{11}~L_\odot$, which correspond to the luminosity of ULIRGs for a typical starburst SED (Weedman & Houck 2008).

Stellar masses are derived from the best-fitting SED model when it is accepted. The adopted initial mass function (IMF) is a top-heavy one with the power-law index of x=1.10 (the Salpeter IMF has x=1.35), and the lower and upper mass limits are 0.1 and 60 $M_\odot$ (see also Takagi et al. 2004). For the Salpeter IMF, stellar mass increases by a factor of 2. Stellar masses thus derived should be regarded as a lower limit, since the contribution from evolved stellar populations is not included. Most of PAH-selected galaxies at $z\sim 1$ have stellar masses of > $3\times 10^{10}~M_\odot$. Even some fraction of PAH-selected galaxies at $z\sim 0.5$ have similar stellar masses. What are descendants of such massive PAH-selected, i.e. starburst galaxies? At redshift $z\sim 2$, massive starburst galaxies have been found mainly as submillimetre galaxies (SMGs; e.g. Borys et al. 2005), and they are good candidates for massive spheroids (Smail et al. 2004; Bouché et al. 2007; Blain et al. 2004; Tacconi et al. 2008). However, PAH-selected galaxies are not as massive as SMGs. Their luminosity is typically an order of magnitude less than that of SMGs, corresponding to luminous infrared galaxies (LIRGs[*]). Recent high-resolution images of LIRGs at $z\sim 1$ show that the majority of LIRGs have disk morphology (Melbourne et al. 2008; Elbaz et al. 2007), although the sample size is still small. Clearly, we need more comprehensive studies to identify what triggers the starburst activity of PAH-selected galaxies, in order to constrain their evolutionary path.

What is the main cause of a large PAH-to-continuum flux ratio? As shown in Figs. 2 and 3, the SBURT model predicts that galaxies with high PAH-to-continuum flux ratios are young starbursts with the starburst age of $\la$0.4 Gyr. For the whole sample of PAH-selected galaxies with good SED fits, we derive the mean starburst age of 0.4 Gyr. In the SED fitting, the starburst age depends not only on the PAH-to-continuum flux ratio, but also on the optical colours (Takagi et al. 1999). The lack of very young starbursts in the sample may be accounted for by a selection effect, i.e. such young systems are hard to observe because of their short lifetimes.

Indeed, star-forming regions, i.e. young stellar systems in a galaxy, have a large PAH-to-continuum flux ratio, as shown in Spitzer/IRAC images of nearby galaxies in the literature. Wang et al. (2004) study the Antennae galaxies (NGC4038/4039) and show the map of the 8.0[*]-to-4.5 $\mu $m flux ratio, which is close to the PAH-to-continuum flux ratio in our definition. This flux ratio is quite high only in the overlap region of the two disks where the most of IR emission come from. They estimate that such active star-forming region comprise only $\sim$10% of the total stellar mass of the entire system; i.e., the activity is localized rather than global. On the other hand, PAH-selected galaxies should have global star-forming activity, since the flux ratio for the entire system is high.

\begin{figure}
\par\includegraphics[width=7.8cm,clip]{13466fig9a.eps}\par\vspace*{2mm}
\includegraphics[width=7.8cm,clip]{13466fig9b.eps}
\end{figure} Figure 9:

Ratio of observed-to-model fluxes as a function of rest-frame wavelengths for PAH-selected galaxies at 0.4<z<0.5. Open and solid circles indicate individual galaxies and the weighted average for each photometric band, assuming the mean redshift of 0.46 and 0.45 for good- and bad-fit samples, respectively.

Open with DEXTER

For a fair discussion, we should also pay attention to the case with no acceptable fits and clarify the cause of poor fits. In Fig. 9, we show the observed-to-model flux ratio as a function of rest-frame wavelength for PAH-selected galaxies at 0.4<z<0.5. All of the rejected models, but one in Fig. 9, have a starburst age of 0.6 Gyr, that is the oldest and reddest model in the template. This means that the model-fitting fails for galaxies with relatively red optical colours, but with strong PAH emission (see also Ohyama et al., in prep.). Since the SBURT model is a rather simple model of starbursts, which only have a single starburst region and starburst stellar population, it is not surprising to find its limitation.

Figure 9 shows that a large discrepancy between observations and the model can be found in the 5-7 $\mu $m range with a sharp rising trend towards longer wavelength. We can see the same trend for the good-fit sample as well, although it is less significant. This indicates that the dust model adopted in the SBURT may need to be modified. One possibility is the ionization of PAHs. The optical constant of PAHs in the SBURT model is for neutral PAHs, which may not be true for all PAHs. Li & Draine (2001) suggest that ionized PAHs have systematically higher absorption cross section at 4-10 $\mu $m, compared to neutral PAHs. If some fraction of PAHs are ionized, the discrepancies found in the SED fitting may be recovered.

Another possibility is that the stars dominating optical light are not the same as those responsible for strong PAH emission. As starbursts age, dust heating would mostly be dominated by newly formed stars in molecular clouds, while most of optical light come from stars having already exited from molecular clouds; i.e., older stars are less attenuated and dominate optical light, while younger stars embedded in dense molecular clouds dominate infrared light. Such age-dependent dust attenuation would be more effective in the later stage of starbursts. This may explain why we find larger discrepancy in optically red, probably old, starbursts.

The above two possibilities could be distinguished by the far-IR photometry. The former, the case of ionized PAHs, would change only mid-IR luminosity and does not affect the far-IR luminosity. If the latter (age-dependent attenuation) is the case, the current model would underestimate not only mid-IR luminosity but also far-IR luminosity. Thus, expected PAH-to-total-IR luminosity depends on the scenario. Sensitive far-IR photometry of red PAH-selected galaxies, e.g. with the Herschel Space Observatory, could have diagnostic power to identify the main cause of the discrepancy.

\begin{figure}
\par\includegraphics[width=16cm,clip]{13466fig10.eps}
\end{figure} Figure 10:

7.7 $\mu $m peak luminosity versus infrared luminosity. Solid and dashed lines represent the correlation between these luminosities found for less luminous starburst galaxies and its 1$\sigma $ uncertainty (Houck et al. 2007). Legend describes symbols for local galaxies from Spitzer IRS sample from Weedman & Houck (2008), all-band-detected sources, and PAH-selected galaxies at both $z\sim 0.5$ and 1. Solid circles indicate galaxies with z>1. Typical uncertainty of both luminosities is indicated in the bottom righthand corner.

Open with DEXTER

5.2 PAH-to-total IR luminosity relation

The PAH luminosity of local ULIRGs is less than the value expected from the correlation of PAH and total IR luminosity for less luminous starburst galaxies. In Fig. 10, we show this luminosity relation for galaxies at z<0.2. The PAH luminosity is represented with the PAH 7.7 $\mu $m peak luminosity taken from Weedman & Houck (2008). The total infrared luminosity is taken from the references in Weedman & Houck (2008), and converted to the cosmology adopted here. The 7.7 $\mu $m peak luminosity of ULIRGs is systematically below the correlation for local starbursts. A most plausible explanation of this systematic effect is an AGN contribution to the total IR luminosity. Imanishi et al. (2007) claim that 30-50% of optical non-Seyfert ULIRGs at z<0.15 have dust-enshrouded AGN. Combined with optical Seyfert ULIRGs, their results indicate that $\sim$50% of ULIRGs at z<0.15 harbour AGN (see also Genzel et al. 1998; Lutz et al. 1998). However, Fig. 10 shows that none of the z<0.2 ULIRGs are consistent with the pure starburst case. This may indicate another explanation for the lower 7.7 $\mu $m luminosity of ULIRGs. If the starburst region is heavily obscured, the absorption of PAH emissions by silicate dust may not be negligible.

High-redshift ULIRGs may behave differently, owing to possible evolutionary effects. We investigated the PAH-to-total IR luminosity relation of the all-band-detected sources, including PAH-selected galaxies. The 7.7 $\mu $m peak luminosities are estimated from the IRC photometry by the following method. For a local starburst spectral template of Brandl et al. (2006), filter-convolved flux at the rest-frame 8 $\mu $m is approximately half of the 7.7 $\mu $m peak flux: 0.50 in the L15 filter at z=1 and 0.42 for the S11 filter at z=0.5, for example. Here we adopt 0.50 for the conversion factor, since $z\sim 1$ sources are our prime targets. This estimate would be accurate within a 30% uncertainty, as long as the 8 $\mu $m emission is dominated by starbursts. Intrinsic spectral variation at 5-8 $\mu $m is found to be small in starbursts (Nardini et al. 2008). The rest-frame 8 $\mu $m luminosities are estimated from the observed fluxes at the band closest to the rest-frame 8 $\mu $m and the luminosity distance derived from the redshift estimates. We have not done any interpolation or k-correction in this step, considering the uncertainty of the photometric redshift. The total IR luminosities are derived from the best-fitting SED model. Therefore, we only consider the good-fit sample. A well-known tight correlation between the global far-IR and radio emission allows us to check the reliability of estimated total-IR luminosity from the SED fitting. Among all-band-detected sources, we detected five galaxies in our 1.4 GHz observation with WSRT (White et al. 2010, in prep.), which covers a part of the NEP-deep field. By comparing the observed radio fluxes to those predicted from the best-fitting SBURT models based on the far-IR/radio correlation, we estimate that the derived total-IR luminosities have uncertainties of 50%. Since the derivations of both the 7.7 $\mu $m and total IR luminosity assume that starbursts dominate the infrared emission, the results for PAH-selected galaxies, the most plausible starburst candidates in our sample, should be the most reliable.

As shown in Fig. 10, some PAH-selected galaxies at $z\sim 1$ are ULIRGs. Their 7.7 $\mu $m peak luminosities are larger than local ULIRGs with a similar luminosity, and consistent with the PAH-to-total IR luminosity ratio of less luminous starbursts. They have no local counterparts and we specifically call these PAH-selected ULIRGs ``PAH-luminous galaxies''. The total IR luminosity of individual galaxies can be found in the legend of Figs. A.1-A.4. In our sample, we find no PAH-luminous galaxies at $z\sim 0.5$.

Normal starbursts, which have unabsorbed PAH emission features and no AGN contribution, can reach higher luminosity at higher redshifts. Weedman & Houck (2008) reach the same conclusion by compiling various Spitzer IRS spectroscopic samples. Rigby et al. (2008) investigate the rest-frame 8 $\mu $m luminosity of galaxies at $z\sim 2$ as a function of total IR luminosity and find a similar trend. Using Spitzer/IRS, Huang et al. (2009) also report ULIRGs with high PAH-to-total IR luminosity ratio at $z\sim 2$. Our results show that there are extreme starbursts with ULIRG luminosity even at $z\sim 1$.

\begin{figure}
\par\includegraphics[width=7.7cm,clip]{13466fig11.eps}
\end{figure} Figure 11:

Same as Fig. 9 but for PAH-selected galaxies at 1.1<z<1.4. Open and solid circles indicate individual galaxies and the average for each photometric band, assuming a mean redshift of 1.22. Dashed lines bracket the 3.3 $\mu $m region.

Open with DEXTER

5.3 Photometric detection of PAH 3.3 $\mu $m feature?

For galaxies at $z\sim 1$, the PAH 3.3 $\mu $m feature falls into the S7 band. PAH-selected galaxies at $z\sim 1$ are good candidates for detecting this feature, because of both redshift and PAH prominence. Magnelli et al. (2008) made a similar attempt using Spitzer IRAC photometry for galaxies at 0.6<z<0.9, and detected an excess over the stellar continuum, which may originate from the PAH 3.3 $\mu $m feature.

In Fig. A.3, we can see that some objects, i.e. ID2711, 2836, 2932, 3033, and 4956 have blue S7-S9W colours, which might be caused by the PAH 3.3 $\mu $m feature. Surprisingly, this excess is notable even if compared with the model flux that already includes the contribution from the 3.3 $\mu $m feature. We show the comparison of observed fluxes to model fluxes in Fig. 11. Here we use the sample of PAH-selected galaxies at 1.1<z<1.4 with good SED fits. The average observed-to-model flux ratios range from 0.75 to 1.23, depending on the wavelength. At PAH-dominated wavelengths, i.e. >7 $\mu $m, the scatter is large and the ratios are marginally consistent with the model. At the rest-frame 3 $\mu $m band, including PAH 3.3 $\mu $m feature, the flux ratio is systematically high by a factor of 1.23 on average. If this excess is accounted for only by a systematically strong 3.3 $\mu $m feature, this feature must be unusually strong by a factor of 3-7, compared with the model. In the literature, no galaxies with such a strong 3.3 $\mu $m feature can be found to our knowledge. This anomaly could come from the continuum emission, rather than PAH 3.3 $\mu $m feature. However, we stress that, for galaxies at $z\sim 0.5$, the SBURT model reproduces the rest-frame 1-3 $\mu $m continuum emission well, as shown in Fig. 9.

It may be possible that the model lacks additional very hot dust components that contribute to the rest frame 3-4 $\mu $m emission. Such a near-IR excess with a colour temperature of $\sim$103 K is reported in study of nearby galaxies (e.g. Flagey et al. 2006; Lu et al. 2003). However, we note that galaxies with large 3 $\mu $m flux tend to have small 4 $\mu $m flux as well, compared with the model. If the additional component has a grey body emission, it is difficult to explain such a trend. Furthermore, PAH-selected galaxies at $z\sim 0.5$ show no systematic near-IR excess, compared to the model, as shown in Fig. 9.

We need more careful investigation of the origin of the flux anomaly at this wavelength range. In fact, the model does not take into account the absorption features due to hydrogenated amorphous carbon (HAC) and/or H2O. Unfortunately, we have to wait for the launch of JWST (Clampin 2008) and SPICA (Nakagawa 2004) to obtain mid-IR spectra of these galaxies and reveal the origin of this flux anomaly.

6 Summary

Using a multi-wavelength mid-IR survey, the AKARI NEP-deep, we have constructed a catalogue of all-band-detected sources. From this catalogue, we photometrically identified galaxies whose mid-IR emission is dominated by PAH emission. These PAH-selected galaxies have high PAH-to-continuum flux ratios, i.e. 11-to-7 $\mu $m and 15-to-9 $\mu $m flux ratios at $z\sim 0.5$ and 1, respectively. PAH-selected galaxies are the best candidates for starburst galaxies at these redshifts. Some of PAH-selected galaxies have stellar masses of > $3\times 10^{10}~M_\odot$ and could be progenitors of present-day massive galaxies, which are mostly spheroids.

An evolutionary SED model of starbursts, SBURT, reproduces observed optical-to-mid-IR SEDs of more than half of PAH-selected galaxies. According to the SED model, the PAH-to-continuum flux ratio of >8 can be explained with the starburst age of 0.4 Gyr or younger. The average starburst age from the SED fitting is 0.4 Gyr, which is marginally consistent with the PAH-to-continuum flux ratio. The lack of young starbursts may be the selection effect of the short lifetime of young starbursts. On the other hand, SBURT has a difficulty in reproducing the large PAH fluxes of optically red PAH-selected galaxies, which are probably evolved starbursts. This may require the SED model to include the age-dependent extinction and/or to adopt improved optical properties of PAHs.

At $z\sim 1$, the infrared luminosity of some PAH-selected galaxies corresponds to that of ULIRGs, and we call them PAH-luminous galaxies. They have high PAH luminosity, compared with local ULIRGs, but the PAH-to-total IR luminosity ratio is comparable to that of less luminous starbursts. PAH-luminous galaxies seem to be a unique galaxy population at high redshifts. The number density of PAH-luminous galaxies will be given elsewhere, using the whole area of the NEP-deep survey.

There is a hint that the PAH 3.3 $\mu $m feature is quite strong in PAH-luminous galaxies by a factor of 3-7, but this needs to be confirmed with next-generation infrared telescopes, such as JWST and SPICA, with infrared spectroscopy.

Acknowledgements
We would like to thank all the AKARI team members for their extensive efforts. We also appreciate the careful reading and constructive comments of the anonymous referee. This work is supported by the Japan Society for the Promotion of Science (JSPS; grant number 18$\cdot$7747). This research is based on observations with AKARI, a JAXA project with the participation of ESA, and is partly supported with the Grant-in-Aid for Scientific Reserch (21340042) from the JSPS.

Appendix A: SED fitting results

Here we show the results of the SED fitting analysis of PAH-selected galaxies in Figs. A.1-A.4, and present the AKARI photometry in Table A.1. One source (ID4475) has problematic photometry in the S-cam images, owing to a nearby bright source, so is not included in the figure.

\begin{figure}
\par\includegraphics[width=15.5cm,clip]{13466figA1.eps}
\end{figure} Figure A.1:

Results of SED fitting for PAH-selected galaxies at $z\sim 0.5$. Here we only show the good-fit sample. Data with error bars indicate the observed flux densities and errors adopted for the SED fitting. Solid circles are filter convolved fluxes of the best-fit model. Spectroscopic redshifts are reported if available.

Open with DEXTER

\begin{figure}
\par\includegraphics[width=15.5cm,clip]{13466figA2.eps}
\vspace{10cm}
\end{figure} Figure A.2:

Same as Fig. A.1, but for the bad-fit sample.

Open with DEXTER

\begin{figure}
\par\includegraphics[width=15.5cm,clip]{13466figA3.eps}
\end{figure} Figure A.3:

Same as Fig. A.1, but for PAH-selected galaxies at $z\sim 1$ with acceptable fits.

Open with DEXTER

\begin{figure}
\par\includegraphics[width=15.5cm,clip]{13466figA4.eps}
\end{figure} Figure A.4:

Same as Fig. A.3, but for the bad-fit sample.

Open with DEXTER

Table A.1:   AKARI coordinates and flux densities of PAH-selexted galaxies in the S-cam field.

References

  1. Babbedge, T. S. R., Rowan-Robinson, M., Vaccari, M., et al. 2006, MNRAS, 370, 1159 [NASA ADS] [CrossRef] [Google Scholar]
  2. Bertin, E., & Arnouts, S. 1996, A&AS, 117, 393 [NASA ADS] [CrossRef] [EDP Sciences] [Google Scholar]
  3. Blain, A. W., Chapman, S. C., Smail, I., & Ivison, R. 2004, ApJ, 611, 725 [NASA ADS] [CrossRef] [Google Scholar]
  4. Bolzonella, M., Miralles, J.-M., & Pelló, R. 2000, A&A, 363, 476 [NASA ADS] [Google Scholar]
  5. Borys, C., Smail, I., Chapman, S. C., et al. 2005, ApJ, 635, 853 [NASA ADS] [CrossRef] [Google Scholar]
  6. Bouché, N., Cresci, G., Davies, R., et al. 2007, ApJ, 671, 303 [NASA ADS] [CrossRef] [Google Scholar]
  7. Brandl, B. R., Bernard-Salas, J., Spoon, H. W. W., et al. 2006, ApJ, 653, 1129 [NASA ADS] [CrossRef] [Google Scholar]
  8. Bruzual, G., & Charlot, S. 2003, MNRAS, 344, 1000 [NASA ADS] [CrossRef] [Google Scholar]
  9. Calzetti, D., Armus, L., Bohlin, R. C., et al. 2000, ApJ, 533, 682 [NASA ADS] [CrossRef] [Google Scholar]
  10. Caputi, K. I., Lagache, G., Yan, L., et al. 2007, ApJ, 660, 97 [NASA ADS] [CrossRef] [Google Scholar]
  11. Chapman, S. C., Blain, A. W., Smail, I., & Ivison, R. J. 2005, ApJ, 622, 772 [NASA ADS] [CrossRef] [Google Scholar]
  12. Cimatti, A., Daddi, E., & Renzini, A. 2006, A&A, 453, L29 [NASA ADS] [CrossRef] [EDP Sciences] [Google Scholar]
  13. Clampin, M. 2008, Adv. Space Res., 41, 1983 [NASA ADS] [CrossRef] [Google Scholar]
  14. Elbaz, D., Daddi, E., Le Borgne, D., et al. 2007, A&A, 468, 33 [NASA ADS] [CrossRef] [EDP Sciences] [Google Scholar]
  15. Farrah, D., Bernard-Salas, J., Spoon, H. W. W., et al. 2007, ApJ, 667, 149 [NASA ADS] [CrossRef] [Google Scholar]
  16. Farrah, D., Lonsdale, C. J., Weedman, D. W., et al. 2008, ApJ, 677, 957 [NASA ADS] [CrossRef] [Google Scholar]
  17. Flagey, N., Boulanger, F., Verstraete, L., et al. 2006, A&A, 453, 969 [NASA ADS] [CrossRef] [EDP Sciences] [Google Scholar]
  18. Genzel, R., Lutz, D., Sturm, E., et al. 1998, ApJ, 498, 579 [NASA ADS] [CrossRef] [Google Scholar]
  19. Goto, T., Takagi, T., Matsuhara, H., et al. 2010, 514, A6 [Google Scholar]
  20. Heavens, A., Panter, B., Jimenez, R., & Dunlop, J. 2004, Nature, 428, 625 [NASA ADS] [CrossRef] [PubMed] [Google Scholar]
  21. Houck, J. R., Weedman, D. W., Le Floc'h, E., & Hao, L. 2007, ApJ, 671, 323 [NASA ADS] [CrossRef] [Google Scholar]
  22. Huang, J.-S., Faber, S. M., Daddi, E., et al. 2009, ApJ, 700, 183 [NASA ADS] [CrossRef] [Google Scholar]
  23. Hunt, L. K., Malkan, M. A., Salvati, M., et al. 1997, ApJS, 108, 229 [NASA ADS] [CrossRef] [Google Scholar]
  24. Imai, K., Matsuhara, H., Oyabu, S., et al. 2007, AJ, 133, 2418 [NASA ADS] [CrossRef] [Google Scholar]
  25. Imanishi, M., Dudley, C. C., Maiolino, R., et al. 2007, ApJS, 171, 72 [NASA ADS] [CrossRef] [Google Scholar]
  26. Kodama, T., & Arimoto, N. 1997, A&A, 320, 41 [NASA ADS] [Google Scholar]
  27. Le Floc'h, E., Papovich, C., Dole, H., et al. 2005, ApJ, 632, 169 [NASA ADS] [CrossRef] [Google Scholar]
  28. Li, A., & Draine, B. T. 2001, ApJ, 554, 778 [Google Scholar]
  29. Lu, N., Helou, G., Werner, M. W., et al. 2003, ApJ, 588, 199 [NASA ADS] [CrossRef] [Google Scholar]
  30. Lutz, D., Spoon, H. W. W., Rigopoulou, D., Moorwood, A. F. M., & Genzel, R. 1998, ApJ, 505, L103 [NASA ADS] [CrossRef] [Google Scholar]
  31. Magnelli, B., Chary, R. R., Pope, A., et al. 2008, ApJ, 681, 258 [NASA ADS] [CrossRef] [Google Scholar]
  32. Melbourne, J., Ammons, M., Wright, S. A., et al. 2008, AJ, 135, 1207 [NASA ADS] [CrossRef] [Google Scholar]
  33. Nakagawa, T. 2004, Adv. Space Res., 34, 645 [NASA ADS] [CrossRef] [MathSciNet] [Google Scholar]
  34. Nardini, E., Risaliti, G., Salvati, M., et al. 2008, MNRAS, 385, L130 [NASA ADS] [Google Scholar]
  35. Pérez-González, P. G., Rieke, G. H., Egami, E., et al. 2005, ApJ, 630, 82 [NASA ADS] [CrossRef] [Google Scholar]
  36. Polletta, M., Tajer, M., Maraschi, L., et al. 2007, ApJ, 663, 81 [NASA ADS] [CrossRef] [Google Scholar]
  37. Pope, A., Chary, R.-R., Alexander, D. M., et al. 2008, ApJ, 675, 1171 [Google Scholar]
  38. Rigby, J. R., Marcillac, D., Egami, E., et al. 2008, ApJ, 675, 262 [NASA ADS] [CrossRef] [Google Scholar]
  39. Rigopoulou, D., Spoon, H. W. W., Genzel, R., et al. 1999, AJ, 118, 2625 [NASA ADS] [CrossRef] [Google Scholar]
  40. Smail, I., Chapman, S. C., Blain, A. W., & Ivison, R. J. 2004, ApJ, 616, 71 [NASA ADS] [CrossRef] [Google Scholar]
  41. Tacconi, L. J., Genzel, R., Smail, I., et al. 2008, ApJ, 680, 246 [NASA ADS] [CrossRef] [PubMed] [Google Scholar]
  42. Takagi, T., Arimoto, N., & Vansevicius, V. 1999, ApJ, 523, 107 [NASA ADS] [CrossRef] [Google Scholar]
  43. Takagi, T., Arimoto, N., & Hanami, H. 2003a, MNRAS, 340, 813 [NASA ADS] [CrossRef] [Google Scholar]
  44. Takagi, T., Vansevicius, V., & Arimoto, N. 2003b, PASJ, 55, 385 [NASA ADS] [CrossRef] [Google Scholar]
  45. Takagi, T., Hanami, H., & Arimoto, N. 2004, MNRAS, 355, 424 [NASA ADS] [CrossRef] [Google Scholar]
  46. Takagi, T., Matsuhara, H., Wada, T., et al. 2007a, PASJ, 59, 557 [Google Scholar]
  47. Takagi, T., Mortier, A. M. J., Shimasaku, K., et al. 2007b, MNRAS, 381, 1154 [NASA ADS] [CrossRef] [Google Scholar]
  48. Tanabé, T., Sakon, I., Cohen, M., et al. 2008, PASJ, 60, 375 [NASA ADS] [CrossRef] [Google Scholar]
  49. Valiante, E., Lutz, D., Sturm, E., et al. 2007, ApJ, 660, 1060 [NASA ADS] [CrossRef] [Google Scholar]
  50. Wada, T., Matsuhara, H., Oyabu, S., et al. 2008, PASJ, 60, 517 [NASA ADS] [Google Scholar]
  51. Wang, Z., Fazio, G. G., Ashby, M. L. N., et al. 2004, ApJS, 154, 193 [NASA ADS] [CrossRef] [Google Scholar]
  52. Weedman, D. W., & Houck, J. R. 2008, ApJ, 686, 127 [NASA ADS] [CrossRef] [Google Scholar]
  53. Weedman, D. W., Hao, L., Higdon, S. J. U., et al. 2005, ApJ, 633, 706 [NASA ADS] [CrossRef] [Google Scholar]

Footnotes

... (ULIRGs[*]
Galaxies with a total infrared (8-1000 $\mu $m) luminosity of 10 $^{12{\rm -}13}~L_\odot$.
... 5.4[*]
Corrected from the values in Wada et al. (2008), in which the adopted conversion factors for N2, N3, and N4 bands are not correct. The correct sensitivity is better by a factor of 1.47.
... 0.1 Gyr[*]
The model SED of starbursts scales with the time scale of gas infall and star formation (Takagi et al. 2003a). Therefore, the starburst age from the SBURT model fitting should only be considered in the relative sense.
... model[*]
The model grid is available at http://www.ir.isas.jaxa.jp/ takagi/sedmodel/.
... (LIRGs[*]
Galaxies with a total infrared (8-1000 $\mu $m) luminosity of 10 $^{11{\rm -}12}~L_\odot$.
... the 8.0[*]
Non-stellar emission, i.e. $\sim$5% of stellar emission is subtracted from the total flux.
Copyright ESO 2010

All Tables

Table A.1:   AKARI coordinates and flux densities of PAH-selexted galaxies in the S-cam field.

All Figures

  \begin{figure}
\par\includegraphics[width=7.5cm,clip]{13466fig1.eps}
\end{figure} Figure 1:

A colour-colour plot of all-band-detected sources with 15-to-9 $\mu $m and 11-to-7 $\mu $m flux ratios. Dashed lines indicate the colour cuts for selecting PAH-selected galaxies. Points with error bars indicate the PAH-selected galaxies.

Open with DEXTER
In the text

  \begin{figure}
\par\includegraphics[width=7.5cm,clip]{13466fig2a.eps}\par\vspace*{2mm}
\includegraphics[width=7.5cm,clip]{13466fig2b.eps}
\end{figure} Figure 2:

11-to-7 $\mu $m flux ratio as a function of redshift. Solid circles with error bars indicate the spectroscopic sample with S7, S9, S11 > 30 $\mu $Jy, and S15 > 100 $\mu $Jy. a) Flux ratio estimated from the SED template of Polletta et al. (2007). The names of galaxies in the template are given in the legend. b) Same as  a), but with the SBURT model with different starburst age and compactness of the starburst region ( $\Theta =1.4$, 1.6, 1.8, 2.0), which controls the optical depth. The MW dust model is adopted. ( See the electronic edition of the Journal for a colour version of this figure.)

Open with DEXTER
In the text

  \begin{figure}
\par\includegraphics[width=7.5cm,clip]{13466fig3.eps}
\end{figure} Figure 3:

Same as Fig. 2b), but for 15-to-9 $\mu $m flux ratio.

Open with DEXTER
In the text

  \begin{figure}
\par\includegraphics[width=7.7cm,clip]{13466fig4.eps}
\end{figure} Figure 4:

Colour-colour plot with N3-S7 versus N2-N3. Solid circles and small crosses indicate the good and bad-fit samples, respectively. Solid circles with error bars represent optically identified AGN.

Open with DEXTER
In the text

  \begin{figure}
\par\includegraphics[width=7.7cm,clip]{13466fig5.eps}
\end{figure} Figure 5:

Photometric versus spectroscopic redshifts. Solid circles indicate the redshifts of the good-fit sample, while small crosses are for the bad-fit sample. Dotted lines represent $\frac{\Delta z}{(1+z)} = \pm$0.1. Squares indicate the photometric redshifts of the good-fit sample, based only on the ground-based optical-NIR photometry.

Open with DEXTER
In the text

  \begin{figure}
\par\includegraphics[width=7.8cm,clip]{13466fig6.eps}
\end{figure} Figure 6:

Correlation between N2-N3 colour and redshift for both photometric and spectroscopic samples. Open circles with error bars indicate the spectroscopic sample. Solid circles represent the photometric sample. Solid and dashed lines are the regression line for photometric and spectroscopic sample, respectively.

Open with DEXTER
In the text

  \begin{figure}
\par\includegraphics[width=7.8cm,clip]{13466fig7.eps}
\end{figure} Figure 7:

Redshift distribution of PAH-selected galaxies. Vertically and diagonally shaded histograms represent 11-to-7 $\mu $m and 15-to-9 $\mu $m selected galaxies with good SED fits, respectively. Histograms with thin dashed and solid lines indicate the redshift distribution including the bad-fit sample. Spectroscopic redshifts are adopted if available.

Open with DEXTER
In the text

  \begin{figure}
\par\includegraphics[width=7.8cm,clip]{13466fig8a.eps}\par\vspace*{2mm}
\includegraphics[width=7.8cm,clip]{13466fig8b.eps}
\end{figure} Figure 8:

$\mu $m luminosity and stellar mass as a function of redshift. All-band-detected sources and PAH-selected galaxies are represented by small dots and open circles, respectively. We only show galaxies with good SED fits.

Open with DEXTER
In the text

  \begin{figure}
\par\includegraphics[width=7.8cm,clip]{13466fig9a.eps}\par\vspace*{2mm}
\includegraphics[width=7.8cm,clip]{13466fig9b.eps}
\end{figure} Figure 9:

Ratio of observed-to-model fluxes as a function of rest-frame wavelengths for PAH-selected galaxies at 0.4<z<0.5. Open and solid circles indicate individual galaxies and the weighted average for each photometric band, assuming the mean redshift of 0.46 and 0.45 for good- and bad-fit samples, respectively.

Open with DEXTER
In the text

  \begin{figure}
\par\includegraphics[width=16cm,clip]{13466fig10.eps}
\end{figure} Figure 10:

7.7 $\mu $m peak luminosity versus infrared luminosity. Solid and dashed lines represent the correlation between these luminosities found for less luminous starburst galaxies and its 1$\sigma $ uncertainty (Houck et al. 2007). Legend describes symbols for local galaxies from Spitzer IRS sample from Weedman & Houck (2008), all-band-detected sources, and PAH-selected galaxies at both $z\sim 0.5$ and 1. Solid circles indicate galaxies with z>1. Typical uncertainty of both luminosities is indicated in the bottom righthand corner.

Open with DEXTER
In the text

  \begin{figure}
\par\includegraphics[width=7.7cm,clip]{13466fig11.eps}
\end{figure} Figure 11:

Same as Fig. 9 but for PAH-selected galaxies at 1.1<z<1.4. Open and solid circles indicate individual galaxies and the average for each photometric band, assuming a mean redshift of 1.22. Dashed lines bracket the 3.3 $\mu $m region.

Open with DEXTER
In the text

  \begin{figure}
\par\includegraphics[width=15.5cm,clip]{13466figA1.eps}
\end{figure} Figure A.1:

Results of SED fitting for PAH-selected galaxies at $z\sim 0.5$. Here we only show the good-fit sample. Data with error bars indicate the observed flux densities and errors adopted for the SED fitting. Solid circles are filter convolved fluxes of the best-fit model. Spectroscopic redshifts are reported if available.

Open with DEXTER
In the text

  \begin{figure}
\par\includegraphics[width=15.5cm,clip]{13466figA2.eps}
\vspace{10cm}
\end{figure} Figure A.2:

Same as Fig. A.1, but for the bad-fit sample.

Open with DEXTER
In the text

  \begin{figure}
\par\includegraphics[width=15.5cm,clip]{13466figA3.eps}
\end{figure} Figure A.3:

Same as Fig. A.1, but for PAH-selected galaxies at $z\sim 1$ with acceptable fits.

Open with DEXTER
In the text

  \begin{figure}
\par\includegraphics[width=15.5cm,clip]{13466figA4.eps}
\end{figure} Figure A.4:

Same as Fig. A.3, but for the bad-fit sample.

Open with DEXTER
In the text


Copyright ESO 2010

Current usage metrics show cumulative count of Article Views (full-text article views including HTML views, PDF and ePub downloads, according to the available data) and Abstracts Views on Vision4Press platform.

Data correspond to usage on the plateform after 2015. The current usage metrics is available 48-96 hours after online publication and is updated daily on week days.

Initial download of the metrics may take a while.