Issue |
A&A
Volume 514, May 2010
|
|
---|---|---|
Article Number | A56 | |
Number of page(s) | 4 | |
Section | The Sun | |
DOI | https://doi.org/10.1051/0004-6361/200913502 | |
Published online | 19 May 2010 |
Flux emergence and coronal eruption
V. Archontis - A. W. Hood
School of Mathematics and Statistics, University of St. Andrews, North Haugh, St. Andrews, Fife, KY16 9SS, UK
Received 19 October 2009 / Accepted 5 February 2010
Abstract
Aims. Our aim is to study the photospheric flux distribution
of a twisted flux tube that emerges from the solar interior. We also
report on the eruption of a new flux rope when the emerging tube rises
into a pre-existing magnetic field in the corona.
Methods. To study the evolution, we use 3D numerical simulations
by solving the time-dependent and resistive MHD equations. We
qualitatively compare our numerical results with MDI magnetograms of
emerging flux at the solar surface.
Results. We find that the photospheric magnetic flux
distribution consists of two regions of opposite polarities and
elongated magnetic tails on the two sides of the polarity inversion
line (PIL), depending on the azimuthal nature of the emerging field
lines and the initial field strength of the rising tube. Their shape is
progressively deformed due to plasma motions towards the PIL. Our
results are in qualitative agreement with observational studies of
magnetic flux emergence in active regions (ARs). Moreover, if the
initial twist of the emerging tube is small, the photospheric magnetic
field develops an undulating shape and does not possess tails. In all
cases, we find that a new flux rope is formed above the original axis
of the emerging tube that may erupt into the corona, depending on the
strength of the ambient field.
Key words: magnetohydrodynamics (MHD) - Sun: activity - Sun: corona - magnetic fields
1 Introduction
Active regions are often associated with episodes of magnetic flux emergence from the solar interior (Zwaan 1985, and references therein).
An important question then is, what is the evolution of the magnetic field configuration at the photosphere during emergence?
Observations of emerging flux regions (EFRs) as recorded at the photospheric level, show that they consist
of two main flux bundles of opposite magnetic polarity that may be the
manifestation of an emerging flux tube. There is strong
evidence that, in many EFRs, the rising magnetic fields are twisted.
The idea of a flux rope configuration has been supported by photospheric measurements and observations
of emerging fields in normal and complex
(the so-called
sunspot) ARs (Tanaka 1991; Lites et al. 1995; Leka et al. 1996; Canou et al. 2009).
A common feature in EFRs is the presence of magnetic tongues or tails, which are connected with the main polarities on the two sides of the PIL of the AR (Li et al. 2007; Canou et al. 2009; Chandra et al. 2009). The appearance of magnetic tails is interpreted as the result of the emergence of twisted magnetic field lines at the photosphere (López Fuentes et al. 2000). However, a study of how the formation and evolution of the tails depend on the physical properties of the emerging field is still missing. Canou et al. (2009) used SOHO/MDI magnetograms and they reported on the existence of tails, which formed along the PIL and accompanied the emergence of magnetic flux in the region NOAA AR 1808. The shape of the tails was deformed during the evolution of the system. They also used the THEMIS vector magnetogram to reconstruct the coronal field (via a nonlinear force-free model) and found evidence for a pre-eruptive twisted flux tube above the emerging field.
![]() |
Figure 1:
Top: SOHO/MDI magnetograms during flux emergence in NOAA AR 10808. Bottom: magnetograms
produced in the numerical experiments, at z=21 and t=40, t=125 and t=175 for the panels d)- f) respectively. Arrows
show the horizontal component of the magnetic field,
|
Open with DEXTER |
In this paper, for the first time, we focus on the photospheric distribution of an emerging flux tube and the formation of the tails, showing the relationship between the topology of the tails and the initial tube parameters. We compare some of the numerical results with the observations by Canou et al. (2009) and we find a preliminary, qualitative agreement. Secondly, we report on the emergence of the tube into a magnetized corona and the subsequent coronal eruption of a flux rope. Similar to previous experiments (Magara 2001; Manchester et al. 2004; Archontis & Török 2008; Hood et al. 2009; Archontis & Hood 2008), we find that the emerging twisted flux tube and the coronal rope are two distinct structures. More importantly, we find that the evolution of the erupting rope (ejective vs. confined eruption) depends on the strength of the ambient field.
2 Model
The results in our experiments are obtained from a 3D MHD simulation. The basic setup of the experiment follows the simulation by Archontis et al. (2005) and consists of a hydrostatic atmosphere and a horizontal twisted magnetic flux tube. All variables are made dimensionless by choosing photospheric values of density,









![$[-70,70] \times [-80,80] \times[-10,110]$](/articles/aa/full_html/2010/06/aa13502-09/img16.png)





![$\Delta~\rho=[p_{\rm t}(r)/p(z)]~\rho(z)~{\rm exp}~(-y^2/\lambda^2)$](/articles/aa/full_html/2010/06/aa13502-09/img22.png)






![]() |
Figure 2:
Top: the colour-scaled maps correspond to the
|
Open with DEXTER |
3 Results
3.1 Emergence into the photosphere
Figure 1 (panels 1a-1c) shows the evolution of the emerging field in the NOAA AR 10808. At the beginning (panel 1a) there is a clear appearance of a bipolar region at the photosphere with a North-South orientation. The two polarities progressively diverge from each other in an approximate East-West direction (panels 1b, 1c). During the evolution of the system, two elongated tails or tongues are formed in the wake of the two polarities (panel 1b). Initially, the tails possess an apparently coherent shape but as time goes on their structure appears to be more fragmented on the two sides of the PIL (panel 1c).
Panels 1d-1f show the photospheric distribution of the emerging field in our numerical experiments. Panel 1d shows the bipolar appearance of the emerging field, shortly after it intersects the photosphere. The North-South orientation of the bipolar field is due to the strong initial twist of the flux tube. Eventually (panel 1e), the two main polarities drift apart toward an East-West orientation. Similar to the observations, they are followed by magnetic tails that develop an intricate geometrical shape. The projection of the horizontal component of the magnetic field (arrows) is overplotted onto the magnetograms of panels 1d and 1e. At t=40, the direction of the horizontal magnetic field vectors shows a normal configuration, i.e. from the positive to the negative polarity, at the PIL. Later on, as more magnetic flux emerges from the solar interior, the direction of the magnetic field reveals a dominant inverse configuration along the PIL. This is due to the rise of the original axis of the twisted flux tube above this height (z=21). However, the main axis does not emerge above 2-3 pressure scale heights, as has been shown in previous experiments of flux emergence (Magara 2001; Fan 2001; Archontis et al. 2005).
At a later stage of the evolution (Panel 1f), the elongated tails develop fingers seperated by dips along the curved PIL.
In the fingers, the magnetic field remains strong (around
of the maximum value of Bz at this height). At the
dips, the magnetic field is weak and the plasma density is relatively small. In fact, we find that there is a good correlation
between the location of the dips and sites where plasma is moving in the transverse direction. There, the converging flows
may reach values up to
and the kinetic energy density becomes larger than the magnetic energy of the field. Thus, it seems that
the shape of the magnetic tails is deformed due to inflows that are able to compress and advect the magnetic field.
The origin of the inflows depends on the evolution of the total pressure (
= magnetic + gas pressure) at photospheric heights.
Panel 2a shows the distribution of
at z=25, when the outer magnetic field has expanded into the corona. Due to the rapid expansion,
a total pressure deficit has developed at the central area of the EFR and so the plasma moves towards the small
pressure, and deforms the tails.
The link between the appearance of the tails and the topology of the fieldlines is shown in panel 2b. The yellow fieldlines have been traced from a far edge of the fingers (at x=-11, y=0). These are the outermost fieldlines with a strongly azimuthal nature. The blue fieldlines are highly twisted and are traced from the fingers of the tails that are closer to the PIL. They make a full turn around the main axis of the emerging tube connecting the central area of the two tails. The red fieldlines have been traced from the region closer to the main positive polarity of the field. They are very weakly twisted, possessing an arch-like bundle of fieldlines, joining the two sunspots. These fieldlines do not go through the tails. The above configuration shows that the appearance of the tails is due to the projection of the azimuthal component of the magnetic field at the photosphere.
Panels 2c-2f show the magnetic flux distribution at the photosphere for
the experiments E1-E4 respectively. We take as a reference case the E1
and we examine the effect of varying the initial field strength B,
and
on the appearance of the tails.
For comparison, we consider the configuration of the field at a certain time for all experiments. The increase of B (in E2) results in
keeping a coherent shape of the tails for a longer time period: at t=165, the tails in E2 are less fragmented than in E1. This is
due to the fact that the total pressure within the EFR is large enough for the tails to be distinctively deformed by the inflows. However, we should
emphasize that the shape of the tails is altered at a later time, when the two sunspots have seperated enough and the magnetic field in the
EFR becomes weak. The increase of
(panel 2e) affects the downward tension of the fieldlines upon the
buoyant part of the emerging field. The tension is less in the E3 and
the field is emerging at the photosphere relatively faster. Thus, at a
certain time, the magnetic field at the photosphere appears stronger in
E3 than in E2. As we mentioned above, the stronger the magnetic field
the less effective is the deformation of the tails' shape. This is clearly shown in panel 2e, compared to the
E2 (panel 2d). Also, the appearance of the tails critically depends on the initial twist of the emerging field.
In E4, the twist parameter
is equal to 0.1 and the emerging field is almost horizontal and parallel to the E-W direction,
shortly after its arrival to the photosphere. We find that there is no tail formation when the emerging field has
.
In this case, the EFR consists of the two sunspots and patches of
magnetic flux with mixed polarity on the two sides of the PIL. Some of
these photospheric flux segments are connected with the same
fieldlines, possessing an overall undulating magnetic system. This is
reminiscent of the ``sea-serpent'' configuration, which is produced
during the emergence of a magnetic flux sheet. The latter develops
undulations when it becomes unstable to the Parker instability (Archontis & Hood 2009).
3.2 Eruption into the corona
In Sect. 3.1, we showed that the photospheric fingerprints of the EFR in E1 consist of features (e.g. tails) with a similar configuration to observed ARs (e.g. the AR 10808). In addition, the activity in the region NOAA AR 10808 is known to lead to filament and CME eruption (Canou et al. 2009). Thus, an important question is whether our twisted flux tube model can produce a coronal eruption. Our experiment shows that a new flux rope is formed above the original axis of the emerging flux tube due to reconnection of sheared fieldlines. The reconnection occurs in the higher photosphere/lower chromosphere in a similar manner to the model by van Ballegooijen & Martens (1989). A key issue is whether this eruption is confined (and, thus, the flux rope cannot fully escape into the outer atmosphere) or ejective. In previous experiments, Archontis & Török (2008) found that the inclusion of a pre-existing magnetic field in the corona may induce a runaway situation, via reconnection, during which the new flux rope fully erupts into the outer solar atmosphere. Here, we perform a similar experiment but using different initial parameters for the pre-existing coronal field. Our aim is to study whether the field strength of the ambient field affects the rising motion of the erupting flux rope.
![]() |
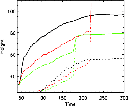
Figure 3: Height-time profiles of the apex of the emerging field (solid) and the flux rope (dashed) in experiments B1 (black), B2 (red) and B3 (green). |
Open with DEXTER |
The observed magnetogram in the AR 10808 shows that the emerging
flux is rising into a pre-existing field oriented in the E-W direction.
The emerging field has a N-S orientation and, thus, the relative
orientation of the two fields is about 90 degrees. To simulate this, we
include a horizontal and uniform magnetic field in the corona along the
y-axis, parallel to the main axis
of the twisted tube (for example, see Archontis et al. 2005).
To a first approximation, this field may correspond to the upper part
of the observed AR's field, which is likely to be anchored in the
surrounded diffuse polarities. We find that the field strength of the
ambient field (
)
plays a critical role in the eruptive motion of the new flux rope. Figure 3
shows the height-time profile of the front of the emerging field (solid
lines) and the center of the new flux rope (dashed lines) for three
experiments (B1, B2 and B3) where:
(B1, black lines),
(B2, red lines) and
(B3, green lines) respectively.
The heights are calculated at the vertical midplane after the emerging field enters the transition region.
In B1, the front of the expanding tube rises slowly within the magnetized corona and eventually it saturates at a height of
.
The new flux rope is formed at the low atmosphere at
and, thereafter, it follows a similar evolution to the envelope field
of the expanding tube. Firstly, it rises almost linearly with time but
then it reaches an equilibrium where the magnetic pressure force is
balanced by the tension of the fieldlines. In this case, the eruption
is confined: the flux rope is trapped within the envelope field. In B2,
the apex of the emerging field reaches lower heights during its rising
motion. This is because it comes into contact with an ambient field
that is stronger and able to delay the emergence. At the same time, a
considerable amount of the rising magnetic flux is removed from the
envelope field due to reconnection. As a result, the distance between
the new flux rope and the front of the envelope field is reduced. As
more magnetic layers above the flux rope are peeled off, the downward
tension of the envelope fieldlines decreases. Eventually, the flux rope
experiences an ejective eruption reaching the upper boundary of the
domain very quickly. Due to the short distance between the erupting
rope and the closed top boundary, the velocity of the center of the
flux rope is restricted to
.
However, the plasma underneath the flux rope is rising with even higher velocity at
.
This is a reconnection jet that is formed due to internal (i.e. within
the EFR) reconnection of fieldlines and helps the flux rope to
accelerate during its eruption. According to these calculations, it is
possible that the rise of the flux rope might account for a CME-like
eruption.
In B3, the eruption of the flux rope is triggered earlier. Again, this
is because the stronger ambient field reconnects
more effectively with the flux above the rope and removes more magnetic
layers from the emerging system. However, for the same reason, the
front of the envelope field rises with a slower rate and the distance
between the new flux rope and the front decreases. As a result, soon
after the triggering of the ejective eruption, the erupting rope
collides with the front and loses its distinct circular shape, possibly
due to reconnection with the ambient field. After the collision, the
leading edge of the emerging system is lifted up for a few pressure
scale heights. However, it does not reconnect effectively with the
magnetic flux above it, and eventually reaches a quasi-static state at
a height of
.
Thus, in B3, the ejective flux rope is trapped by the dominant ambient field and not by the envelope field.
4 Summary and discussion
In this paper, we have presented a 3D model to study the emergence of a twisted flux tube throughout the solar atmosphere. Our model gives new insights into the photospheric distribution of the emerging magnetic field: it consists of a bipolar region and tails on the two sides of the PIL. The appearance of tails reveal that the emerging magnetic field is twisted. For small twist, the emerging field possess undulations. Our results predict that the irregular structure of the tails is due to the interplay between the flows and the dynamical evolution of the magnetic field. The configuration of the emerging field at the photosphere is in qualitative agreement with observations (Canou et al. 2009).
In agreement with previous simulations, our experiments show the eruption of a flux rope, which is formed above the
original axis of the emerging tube. For the first time, we find that the field strength of a pre-existing coronal
magnetic field is a crucial parameter affecting the eruptive phase of the rope. Under the specific conditions of the
present experiments, we found that the eruption is ejective when
.
For other values, the
eruption is confined within the envelope field.
The aim of these experiments is not a direct comparison with the observations, but rather to suggest possible mechanisms that drive the dynamical behaviour of the system. Further experiments are required to verify the effect of the initial parameters (e.g. field strength, radius, initial atmospheric height and twist, etc.) of the twisted flux tube and the pre-existing field on (a) the characteristics of its photospheric appearance (formation and evolution of the tails, shear and transverse flows, etc.) and (b) the dynamics of the associated eruption.
AcknowledgementsFinancial support by the European Comission through the SOLAIRE network (MTRM-CT-2006-035484) is gratefully acknowledged. Simulations were performed on the UKMHD consortium cluster, funded by STFC and a SRIF grant to the University of St Andrews.
References
- Archontis, V., & Hood, A. W. 2008, ApJ, 674, L113 [NASA ADS] [CrossRef] [Google Scholar]
- Archontis, V., & Hood, A. W. 2009, A&A, 508, 1469 [NASA ADS] [CrossRef] [EDP Sciences] [Google Scholar]
- Archontis, V., & Török, T. 2008, A&A, 492, L35 [NASA ADS] [CrossRef] [EDP Sciences] [Google Scholar]
- Archontis, V., Moreno-Insertis, F., Galsgaard, K., & Hood, A. W. 2005, ApJ, 635, 1299 [NASA ADS] [CrossRef] [Google Scholar]
- Canou, A., Amari, T., Bommier, V., et al. 2009, ApJ, 693, L27 [NASA ADS] [CrossRef] [Google Scholar]
- Chandra, R., Schmieder, B., Aulanier, G., & Malherbe, J. M. 2009, Sol. Phys., 258, 53 [NASA ADS] [CrossRef] [Google Scholar]
- Fan, Y. 2001, ApJ, 554, L111 [NASA ADS] [CrossRef] [Google Scholar]
- Hood, A. W., Archontis, V., Galsgaard, K., & Moreno-Insertis, F. 2009, A&A, 503, 999 [NASA ADS] [CrossRef] [EDP Sciences] [Google Scholar]
- Leka, K. D., Canfield, R. C., McClymont, A. N., & van Driel-Gesztelyi, L. 1996, ApJ, 462, 547 [NASA ADS] [CrossRef] [Google Scholar]
- Li, H., Schmieder, B., Song, M. T., & Bommier, V. 2007, A&A, 475, 1081 [NASA ADS] [CrossRef] [EDP Sciences] [Google Scholar]
- Lites, B. W., Low, B. C., Martinez Pillet, V., et al. 1995, ApJ, 446, 877 [NASA ADS] [CrossRef] [Google Scholar]
- López Fuentes, M. C., Demoulin, P., Mandrini, C. H., & van Driel-Gesztelyi, L. 2000, ApJ, 544, 540 [Google Scholar]
- Magara, T. 2001, ApJ, 549, 608 [NASA ADS] [CrossRef] [Google Scholar]
- Manchester, IV, W., Gombosi, T., DeZeeuw, D., & Fan, Y. 2004, ApJ, 610, 588 [NASA ADS] [CrossRef] [Google Scholar]
- Tanaka, K. 1991, Sol. Phys., 136, 133 [NASA ADS] [CrossRef] [Google Scholar]
- van Ballegooijen, A. A., & Martens, P. C. H. 1989, ApJ, 343, 971 [NASA ADS] [CrossRef] [Google Scholar]
- Zwaan, C. 1985, Sol. Phys., 100, 397 [NASA ADS] [CrossRef] [Google Scholar]
All Figures
![]() |
Figure 1:
Top: SOHO/MDI magnetograms during flux emergence in NOAA AR 10808. Bottom: magnetograms
produced in the numerical experiments, at z=21 and t=40, t=125 and t=175 for the panels d)- f) respectively. Arrows
show the horizontal component of the magnetic field,
|
Open with DEXTER | |
In the text |
![]() |
Figure 2:
Top: the colour-scaled maps correspond to the
|
Open with DEXTER | |
In the text |
![]() |
Figure 3: Height-time profiles of the apex of the emerging field (solid) and the flux rope (dashed) in experiments B1 (black), B2 (red) and B3 (green). |
Open with DEXTER | |
In the text |
Copyright ESO 2010
Current usage metrics show cumulative count of Article Views (full-text article views including HTML views, PDF and ePub downloads, according to the available data) and Abstracts Views on Vision4Press platform.
Data correspond to usage on the plateform after 2015. The current usage metrics is available 48-96 hours after online publication and is updated daily on week days.
Initial download of the metrics may take a while.