Issue |
A&A
Volume 514, May 2010
Science with AKARI
|
|
---|---|---|
Article Number | A1 | |
Number of page(s) | 14 | |
Section | Catalogs and data | |
DOI | https://doi.org/10.1051/0004-6361/200913811 | |
Published online | 03 May 2010 |
Science with AKARI
The AKARI/IRC mid-infrared all-sky survey![[*]](/icons/foot_motif.png)
D. Ishihara1,2 - T. Onaka2 - H. Kataza3 -
A. Salama4 - C. Alfageme4, - A. Cassatella4,5,6 -
N. Cox4,
- P. García-Lario4 - C. Stephenson4,
- M. Cohen7 -
N. Fujishiro3,8,
- H. Fujiwara2 - S. Hasegawa3 - Y. Ita9 - W. Kim3,2,
- H. Matsuhara3 -
H. Murakami3 - T. G. Müller10 - T. Nakagawa3 - Y. Ohyama11 - S. Oyabu3 - J. Pyo12 - I. Sakon2 - H. Shibai13 - S. Takita3 - T. Tanabé14 - K. Uemizu3 -
M. Ueno3 - F. Usui3 - T. Wada3 - H. Watarai15 -
I. Yamamura3 - C. Yamauchi3
1 - Department of Physics, Nagoya University, Furo-cho, Chikusa-ku, Nagoya, Aichi, 464-860, Japan
2 -
Department of Astronomy, Graduate School of Science, University of Tokyo, 7-3-1 Hongo, Bunkyo-ku, Tokyo, 113-0033, Japan
3 - Institute of Space and Astronautical Science (ISAS), Japan
Aerospace Exploration Agency (JAXA), 3-1-1 Yoshinodai, Sagamihara,
Kanagawa, 229-8510, Japan
4 -
European Space Astronomy Center (ESAC), Villanueva de la Cañada, PO Box 78, 28691 Madrid, Spain
5 -
INAF, Istituto di Fisica dello Spazio Interplanetario, via del Fosso del Cavaliere 100, 00133 Roma,
Italy
6 -
Dipartimento di Fisica, Universita' Roma Tre, via della Vasca Navale 100, 00146 Roma, Italy
7 -
Radio Astronomy Laboratory, University of California, Berkeley, USA
8 -
Department of Physics, Faculty of Science, University of Tokyo, 3-1-1 Hongo, Bunkyo-ku, Tokyo, 113-0003, Japan
9 -
National Astronomical Observatory of Japan, Mitaka, Tokyo, 181-8588, Japan
10 -
Max-Planck-Institut für extraterrestrische Physik, Giessenbachstrae, 85748 Garching, Germany
11 -
Academia Sinica, Institute of Astronomy and Astrophysics (ASIAA), Taipei 10617, Taiwan
12 -
Korea Astronomy and Space Science Institute (KASI), 61-1, Hwaam-dong, Yuseong-gu, Daejeon, 305-348, Republic of Korea
13 -
Graduate School of Science, Osaka University, 1-1, Machikaneyama, Toyonaka, Osaka, 560-0043, Japan
14 -
Institute of Astronomy, Faculty of Science, University of Tokyo, Mitaka, Tokyo, 181-8588, Japan
15 - Space Applications Mission Directorate, Japan Aerospace
Exploration Agency (JAXA), 2-1-1, Sengen, Tsukuba, Ibaraki, 305-8505,
Japan
Received 6 December 2009 / Accepted 17 February 2010
Abstract
Context. AKARI is the first Japanese astronomical satellite
dedicated to infrared astronomy. One of the main purposes of AKARI is
the all-sky survey performed with six infrared bands between 9 m and 200
m
during the period from 2006 May 6 to 2007 August 28.
In this paper, we present the mid-infrared part (9
m and 18
m bands) of the survey carried out with one of the on-board instruments, the infrared camera (IRC).
Aims. We present unprecedented observational results of the 9 m and 18
m AKARI all-sky survey and detail the operation and data processing leading to the point source detection and measurements.
Methods. The raw data are processed to produce small images for every scan, and the point sources candidates are derived above the 5 noise
level per single scan. The celestial coordinates and fluxes of the
events are determined statistically and the reliability of their
detections is secured through multiple detections of the same source
within milli-seconds, hours, and months from each other.
Results. The sky coverage is more than 90% for both bands. A total of 877 091 sources (851 189 for 9 m, 195 893 for 18
m)
are confirmed and included in the current release of the point source
catalog. The detection limit for point sources is 50 mJy and
90 mJy for the 9
m and 18
m
bands, respectively. The position accuracy is estimated to be better
than 2''. Uncertainties in the in-flight absolute flux calibration
are estimated to be 3% for the 9
m band and 4% for the 18
m
band. The coordinates and fluxes of detected sources in this survey are
also compared with those of the IRAS survey and are found to be
statistically consistent.
Key words: infrared: general - techniques: image processing - surveys
1 Introduction
Unbiased and sensitive all-sky surveys at infrared wavelengths are
important for the various fields of astronomy. The first extensive
survey of the mid- to far-infrared sky was made by the IRAS mission
launched in 1983 (Neugebauer et al. 1984). IRAS surveyed 87% of the sky in four photometric bands at 12 m, 25
m, 60
m and 100
m and substantially pioneered the various new fields of astronomy, like circumstellar debris disks around Vega-like stars (Aumann et al. 1984) and a new class of galaxies that radiate most of their energy in the infrared (Soifer et al. 1987).
A decade later than IRAS, the Midcourse Space Experiment (MSX; Price et al. 2001)
surveyed the Galactic plane as well as the regions not observed by or
confused in the IRAS mission with higher sensitivity and higher spatial
resolution (18.3'') in four mid-infrared broad bands centered at
8.28 m,
12.13
m, 14.65
m and 21.23
m and two narrow bands at 4.29
m and 4.35
m.
The MSX catalog (version 1.2) of the Galactic plane survey
contains 323 052 sources, three times as many as IRAS listed
for the same region.
AKARI, the first Japanese space mission dedicated to infrared astronomical observations (Murakami et al. 2007),
was launched in 2006 and was brought into a sun-synchronous polar orbit
at an altitude of 700 km. It has two scientific instruments,
the infrared camera (IRC; Onaka et al. 2007) for 2-26 m and the Far-Infrared Surveyor (FIS; Kawada et al. 2007) for 50-200
m. AKARI has a Ritchey-Chretien type cooled telescope with a primary-mirror aperture size of 685 mm (Kaneda et al. 2007),
which is operated at 6 K by liquid helium and mechanical coolers.
One of the major observational objectives of AKARI is an all-sky survey
observation. The survey was executed
during the life time of the cooling medium between 2006 May 8
and 2007 August 28. The 9
m and 18
m bands of the IRC and the 65
m, 90
m, 140
m, and 160
m bands of the FIS were used for the all-sky survey.
In this paper, we present the mid-infrared part of the all-sky survey
performed with the IRC.
The IRC was originally designed for imaging and spectroscopic
observations in the pointing mode, but
the all-sky observation mode was added as an operation mode following
ground tests, in which the acceptable performance of continuous
survey-type observations was confirmed (Ishihara et al. 2006a).
The data of the IRC all-sky survey observation have been processed by a
dedicated program and a point source catalog has been prepared. The
content of this paper is based on the -1 version of the AKARI/IRC all-sky survey point source catalog.
The outline of the observation is presented in Sect. 2. The data reduction is described in Sect. 3. The quality of the catalog is statistically evaluated in Sect. 4, and a summary is given in Sect. 5.
2 Observations
2.1 The AKARI satellite
The AKARI satellite has two observational modes: the all-sky survey and pointed observations. In the pointed observations, the telescope stares at the target or makes round trip scans around the target for about 10 min. In the all-sky survey, the spacecraft spins around the Sun-pointed axis once every orbit, keeping the telescope toward a great circle and making continuous scans of the sky at a scan rate of 216'' s-1. The orbit rotates around the axis of the Earth at the rate of the yearly round of the earth. Thus, the whole sky is in principle covered in half a year.
In the first half year (Phase 1) of the mission the all-sky survey was dedicated as a first priority with pointed observations toward the North Ecliptic Pole and the Large Magellanic Cloud. In the second and third half year (Phase 2a and 2b), the all-sky survey was continued until the cooling medium (liquid helium) was exhausted. The time was divided between pointed observations survey observations to increase the final sky coverage of the all-sky survey.
2.2 The infrared camera (IRC)
The mid-infrared component of the AKARI all-sky survey was performed
with one of the two focal-plane instruments: the IRC. The IRC covers
the wavelength range of 2-26 m with three independent channels: NIR (2-5.5
m), MIR-S (6-12
m) and MIR-L (12-26
m).
The IRC was primarily designed for deep imaging and spectroscopy
in pointed observations. All the channels have filter wheels, which
hold three filters and two spectroscopic dispersers. Each channel has a
large format array that provides a wide field-of-view (FOV) of
.
The MIR-S and MIR-L channels have infrared sensor arrays of 256
256 pixels (Si:As/CRC-744 manufactured by Raytheon). The pixel scales for MIR-S and MIR-L are
and
,
respectively.
The field-of-views of MIR-S and MIR-L are separated by 20' in the cross-scan direction.
More details and the in-flight performance are described in Onaka et al. (2007).
2.3 All-sky survey operations of the IRC
Table 1: Parameters for mid-infrared all-sky survey operation.
Array operation.
During the all-sky survey observations, only two out of 256 rows in the sensor array are operated in the continuous and non destructive readout mode (scan operation of the array; Ishihara et al. 2006a). The first row used in the operation can be selected arbitrarily out of 256 rows, and we adopted the 117th row (hereafter row#1). The second row (hereafter row#2) was fixed to be eight rows from the first row the sampling rate of the array and the designed scan rate of the satellite.The sampling rate was set to 22.72 Hz (one sampling per 44 ms) taking account of the array operation conditions and the data down-link capacity. All the pixels were reset at a rate of 0.074 Hz (one reset per 306 samplings) to discharge the photo-current.
The NIR channel is not used during the all-sky survey because of the capacity of the down link rate and because the alignment of the NIR array is not suited for the all-sky survey observation.
Exposure time.
The scan speed of the satellite in the survey observation mode is 216''

Filter bands.
The all-sky survey is performed with two broad bands centered at 9


![]() |
Figure 1:
Relative spectral response curve of the S9W (solid curve) and L18W bands (dashed) in units of electron/energy normalized to the peak. The system response curves of the IRAS 12 |
Open with DEXTER |
Pixel scale.
The effective pixel size in the survey observation (hereafter virtual pixel size) is







Confirmation strategy.
It is difficult to distinguish events of real celestial objects from those due to cosmic ray hits only from the shape of signal because the virtual pixel size is not small enough to sample the PSF. We improved the reliability of source detections by adopting a three-step confirmation scheme.The detection of a celestial source in row#1 is confirmed by a second detection in row#2 87 ms later. In this process, a large fraction of the signals due to cosmic ray hits are expected to be removed (milli-seconds confirmation).
The width of the array in the cross-scan direction is about 10'. The scan path shifts at most by 4' (on the ecliptic plane) due to the orbital motion. In this way the scan path overlaps at least by 6' with the next scan 100 min after. The detection is thus confirmed by the next scan observation (hours confirmation).
Furthermore, the scan path rotates by 180 degrees around the axis of the Earth in half a year, giving another chance of detection six months later (months confirmation). Objects such as asteroids, comets and geostationary satellites, can be distinguished from stars and galaxies by hours and/or months-confirmations.
Sky coverage.
Large portions of the sky have a chance to be covered more than three times during the survey period (Phase1, Phase2a, and Phase2b; Sect. 2.1). During the semi-continuous survey, observational gaps (where no data are effectively available) appear for several reasons: (1) the survey observations are halted for every pointed observation. A sky area of about 10'

Taking into account reasons (1), (2), and (3), which are automatically
detected from the telemetry data, the final sky coverage is higher than
90% for both bands. Note that the actual sky area in which the source
confirmation is carried out is smaller than this number
(see Sect. 3.5). Figure 2 shows the AKARI 9 m
low-resolution intensity map derived through the data processing
described in this paper, from which the zodiacal light has been
subtracted.
![]() |
Figure 2:
All-sky image taken with the AKARI 9 |
Open with DEXTER |
3 Data processing
The outline of the data processing (Fig. 3) for deriving the first point source catalog of the AKARI/IRC mid-infrared all-sky survey is summarized below.
- The raw telemetry data, which include the output of the sensor array, the house keeping data, and the output of the attitude control system, are down-linked from the satellite. Their timing is matched with each other and then they are registered to the database.
- The raw data that are sandwiched by two successive resets
in the scan are processed to make pieces of images corresponding to
10'
50' wide sky regions (hereafter unit images) (basic process; Sect. 3.1).
- Then signals of the point source detections (events) are extracted from each processed image (event detection and milli-seconds confirmation; Sect. 3.2).
- Next, the coordinates of all the events are determined according to the output of the attitude control system and are refined with the cross-correlations between the detected events and the prepared standard stars for the position determination (pointing reconstruction; Sect. 3.3).
- After the absolute flux calibration based on the measurements of standard stars, the fluxes of all the detected events are statistically derived (flux calibration; Sect. 3.4).
- Finally, reliable events are compiled into point source lists and the source lists of the 9
m band and 18
m band are merged to produce the IRC all-sky survey catalog (catalog compilation; Sect. 3.5).
![]() |
Figure 3: Outline of AKARI/IRC all-sky survey data processing. |
Open with DEXTER |
3.1 Basic process
The basic process derives a unit image of 10'
50' from the raw data for the extraction of point source candidates.
ADU to electron conversion.
First, the pixel value of the raw data is converted from ADU into electrons as![]() |
(1) |
where i is the pixel number, t is the time from the latest reset, S(n)(i,t) is the pixel value at (i,t) as the result of applying the nth step, and CF is the conversion factor measured from laboratory tests and assumed to be a constant for the pixels in the detector array (Ishihara et al. 2003).
Reset anomaly correction.
An anomalous behavior of the output level that persists a few seconds after the reset (reset anomaly) is corrected. An example of this phenomenon and its correction are shown in Fig. 4. The offset level of the output of the detector is fairly sensitive to the temperature (Ishihara et al. 2003). We thus suppose that this phenomenon is explained by the drift of the offset level of the read-out circuit, which is hybridized to the detector array because of the temperature drift invoked by the reset current to discharge the stacked photo-electrons. Assuming that this behavior is pixel-independent in the detector array, the reset anomaly is corrected as![]() |
(2) |
where i is the pixel number, t is the time from latest reset,



![]() |
(3) |
where C1 and C2 are constants statistically derived from laboratory tests.
![]() |
Figure 4: Example of the reset
anomaly correction. The output signal level of a pixel in units of
electron is plotted against the time from latest reset. This data set
was taken under the constant illuminating source in the laboratory
test. The raw output of the sensor (solid points) is fitted by the
reset anomaly function
|
Open with DEXTER |
Masking invalid data
A masking pattern is created to ignore unusable data. (1) All the pixels are masked during the resets and the periods heavily affected by the reset anomaly. (2) Saturated pixels are masked from the moment of the saturation to the next reset. (3) The pixels under the slit masks are always masked. Both MIR-S and MIR-L channels have a slit and slit masks at the edge of the FOV for spectroscopic observations of extended objects. The slit mask covers a few pixels located near the edge of the rows used in the survey operation.
Linearity correction.
We corrected for the non linearity of the photo-response (

![]() |
(4) |
assuming that their behaviors are the same for all the pixels. The non linearity function

![]() |
(5) |
where j (j=0,1,2) represents the


![]() |
Figure 5: Example of the non-linearity of the photo-response of a pixel. The left panel shows the time from reset versus output level of two pixels at the constantly illuminated condition in a laboratory test. The output profiles are fitted by linear functions using the data in the range, where the photo-response is still linear because the number of stacked electrons is small (7000-15 000 ADU). The right panel shows the number of charged electrons (Y-axis) versus the deviation of the output level from the linear functions (X-axis). |
Open with DEXTER |
Differentiation.
The signal is differentiated with respect to time,![]() |
(6) |
where

Flat fielding.
The differentiated signal S(4)(i,t) is corrected for flat-fielding.S(5)(i,t) = S(4)(i,t) / F(i), | (7) |
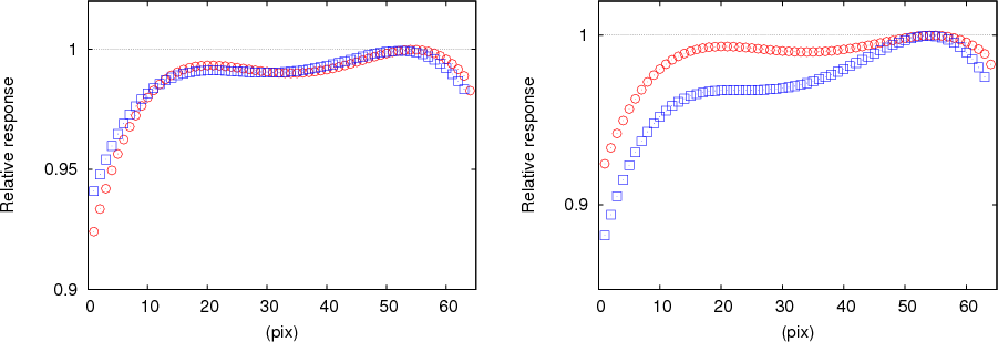
where F(i) is the normalized flat correction factor for each pixel operated in the survey mode representing the dispersion of the photo-response among the pixels. The flat function F(i) is derived from multiple detections of the stars on different pixels. The background sky data are not used to avoid the effects of the scattered light. Figure 6 shows the flat functions for both rows in both bands.
![]() |
Figure 6:
Flat functions for the one dimensional array for the 9 |
Open with DEXTER |
Image construction from data of the two rows.
The data from row#1 and row#2 are combined into a single image with a pixel scale of

3.2 Event detection and milli-seconds confirmation
After the basic processing, signals above 5per
scan are extracted from each image and checked by milli-seconds
confirmation for point source detection (hereafter event).
An example of these processes is shown in Fig. 8.
First, events are extracted from two images obtained independently by the two rows with the Source Extractor (Bertin et al. 2000) with a 3 threshold. Then events above 3
are extracted again on the finer combined image. Events from row#1,
row#2 and the combined image are cross-identified by the detected
position. Celestial sources are expected to be detected in both rows on
the same pixel number (i)
with similar fluxes, whereas false detections like cosmic ray hits
are expected to be detected only on one side. A pair of detections
at the same sky position
with similar fluxes (
)
are selected as milli-seconds confirmed sources. Finally, the flux
(photometric result) and the position (timing and pixel number of the
detection) of the combined image are recorded for the confirmed events.
3.3 Pointing reconstruction
The celestial coordinate of a source (
)
detected on the ith pixel at the moment t are derived from
![]() |
(8) |
where

The improvement of boresight position of the telescope
is carried out in collaboration with ESA by associating detected events in the 9
m and 18
m
bands and signals of the focal-star sensors at near-infrared on the
focal plane with the stars in the positional reference catalog prepared
from MSX, R2MASS and IRAS (pointing reconstruction). The actual
alignment of the FOV of each pixel E(i) including the effect of the distortion is optimized statistically in the pointing reconstruction process.
Figure 9 shows
the accuracy of the pointing reconstruction. The plot shows the
fraction of the IRC events with an error smaller than the given
values. The error is estimated from the distance between the positions
determined from the pointing reconstruction and those from the position
reference catalog. To make a fair evaluation, the pointing
reconstruction for this test is carried out using randomly selected
sources amounting to half of the catalog, and then the positions of the
sources from the other half of the catalog are determined for the
evaluation. The error includes the pointing reconstruction processing
and the measurement errors. For the brightest sources the measurement
error should be a minor contributor. We conclude that the position
accuracy is better than
for 95% of the events.
![]() |
Figure 7: Example of the processed data. ( Left) Raw data from Row#1 and Row#2 are shown separately. ( Middle) Processed data. The data from both rows are combined. ( Right) Mask for the processed data. |
Open with DEXTER |
Details of the pointing reconstruction are summarized in Salama et al. (2010, in prep.). We adopt the position of each detected event derived from the pointing reconstruction process.
3.4 Flux calibration
The photometric output for all the milli-seconds confirmed events is
converted from electrons into physical units (Jy). The conversion
function from electrons to Jy is derived statistically by
comparing the model fluxes with the measurements of hundreds of
standard stars. The standard stars are selected from the infrared
standard star network consisting of K- and M-giants (Cohen et al. 1999)
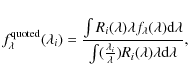
and additional faint standard stars located around the north and south ecliptic poles (Ishihara et al. 2006b; Reach et al. 2005), which have a high visibility for the AKARI survey. The expected fluxes (
)
of the standard stars at the effective wavelengths (9
m and 18
m) are calculated for the incident spectrum of
by convolving the model spectra of the standard stars (
)
with the relative spectral response curves (Ri) in electron units as
![]() |
(9) |
where i represents the band i,

The fitting function to convert the measured signals P into fluxes F is given by
![]() |
(10) |
where Ci's are fitting coefficients (their values are given in the release note). Finally, the derived conversion functions are applied to all the milli-seconds confirmed events. The zero magnitude flux is 56.26




![]() |
Figure 8: Example of the event detection and milli-seconds confirmation. The left image is obtained by row#1 and the center image is obtained by row#2. The right image is constructed by combining data from two rows. The crosses mark events extracted on a single row image, but rejected in milli-seconds confirmation. The circles show events extracted on both rows with similar fluxes, which are thus confirmed. |
Open with DEXTER |
Figure 10 (top) shows the flux derived (by Eq. (10)) from the pipeline output as a function of the predicted in-band flux of the standard stars.
The accuracy of the calibrated flux is investigated by the ratio of the
measured flux to the predicted flux of the standard stars. The results
shown in the bottom panels of Fig. 10
indicate an accuracy for the absolute calibration of about 3% for the 9 m band and 4% for the 18
m band.
A systematic offset between A-type and K-M type giant standard stars is
reported by Reach et al. (2005) for the calibration of the IRAC on
Spitzer. We have only three A-type standard stars in our calibration for the 9 m band and no A-type stars are used for the calibration of the 18
m
band due to the detection limit. No systematic offset is seen in
the present calibration between A-type stars and K-M giants within
the measurement uncertainties (Fig. 10). Note that the calibration of pointing observations of the IRC imaging mode does not show
any appreciable offsets either (Tanabe et al. 2008).
To test the long-term stability of the photo response we investigated five standard stars
that have been observed more than 30 times during the time of the survey. Figure 11
shows the ratio of the fluxes of individual measurements to the average
fluxes of these stars as a function of time. From these data we deduce
that the sensitivity is stable at the 2% level during the entire period of the observations.
![]() |
Figure 9: Statistical error of the pointing reconstruction using 50% of the catalog data. The error is defined as the distance between the position determined by the pointing reconstruction and the position of the input reference catalog for events in the remaining 50% data. The lines show the fraction of the IRC events with an error smaller than the given values. The color of the lines denotes the flux range of events. |
Open with DEXTER |
Laboratory measurements of the filter transmission indicate possible blue leaks between the 3 m and 4
m for the 9
m band and between the 6
m and 7
m for the 18
m
band. They are 0.01% at maximum and much smaller than the
measurement errors. Thus the presence of the blue leaks is not
confirmed. We calculated the predicted fluxes of the standard stars
with and without the blue leak and confirmed that the difference is
less than 0.1%. We have verified
that the blue leak of the 18
m
band is negligible (<1%) compared to the systematic errors by using
asteroid calibrators whose flux can be well predicted (Müller &
Hasegawa, private communication).
3.5 Catalog compilation
The final list of the sources (hereafter point source catalog; PSC)
has been prepared based on the following criteria. First, groups of
multiple events located within a region of
radius
are recognized as a same source. In this process, events in the
south Atlantic anomaly (SAA) are excluded. Only groups containing at
least two events are recognized as an actual celestial
source. After the first grouping process, the distance from a source
candidate to the nearest one
is investigated, and if there are two or more groups within
,
we consider them as a single source associated with outskirts events.
In this case we take the group with the maximum number of events
as a source candidate and discard the other groups. Then the source
lists in the 9
m
and 18
m
band are merged into a single list. Sources within 7'' are
regarded as the same source in both bands. The
position (RA, Dec) and associated position error
(the major and minor axes and the position angle) are calculated
from the events in the 9
m
band only, if the number of available events is larger than or
equal to 2. Otherwise, these data are calculated from the events
in the 18
m
band only. The flux and associated error of the source are estimated
from
the mean and the mean error of multiple measurements of the events,
respectively. Event data near the edge of the image strips are excluded
from the flux calculation unless the exclusion leaves
only zero or one event.
![]() |
Figure 10:
( Top left)
Calibrated fluxes obtained from the pipeline output through
Eq. (10) are plotted as a function of the predicted in-band fluxes
of the standard stars in the 9 |
Open with DEXTER |
![]() |
Figure 11:
Ratio of the measured fluxes to the average fluxes as a function of
observing time for five bright (>1 Jy) standard stars observed
at 9 |
Open with DEXTER |
![]() |
Figure 12:
Spatial distribution in an Aitoff Galactic coordinates projection of the 18 |
Open with DEXTER |
The numbers of the events obtained in each step of the process are summarized in Table 2. The spatial distribution of the rejected events (those without hours and months confirmation) is shown in Fig. 12.
Most of the rejected events are ascribed to asteroids, geostationary
satellites, and the high-energy particle hits in the SAA. These objects
are recognized as such because of their spatial distribution and
characteristic features. It should be noted that the actual sky
coverage for this catalog is smaller than the value quoted in
Sect. 2.3; this is due to the severe condition of
as well as to the exclusion of all data affected by the SAA.
4 Evaluation of the catalog
4.1 Spatial distribution
Figure 13 shows the spatial distribution of the number density of the cataloged sources in the 9 m and 18
m
bands after removal of the rejected events. One can easily recognize
the highly populated regions, which correspond to the Galactic plane,
the Large Magellanic
Cloud (LMC), the Small Magellanic Cloud (SMC), and the nearby star
forming regions like
Oph, Orion and Taurus. Note that the 18
m sources are strongly concentrated near the thick Galactic
plane, whereas the 9
m source counts fall off smoothly with the galactic latitude.
![]() |
Figure 13:
Spatial number density distribution of the detected sources in the Galactic coordinates of the Aitoff projection. ( Left) 9 |
Open with DEXTER |
![]() |
Figure 14:
Relative flux errors (%) for 9 |
Open with DEXTER |
4.2 Flux accuracy
The histogram in Fig. 14 shows the relative flux errors in the 9 m and 18
m
bands as a function of flux. As expected, the largest errors are
associated with sources with the lowest fluxes. We find that the most
probable error is 2-3% and the probability of larger errors is small.
The relative errors are smaller than 15% for 80% of the sources and
smaller than 30% for 96% of the sources. It should be
stressed that at this stage we cannot quantify how much variable
objects ``artificially'' contribute to an increase of the scatter in
the observed fluxes. The inclusion of mid-IR variability of the objects
will be considered in future catalog releases.
Figure 15 shows a typical signal-to-noise ratio (S/N) associated with the different flux levels. The figure indicates that the expected S/N is 6 for the faintest sources of
0.045 Jy in the 9
m band, while it is
3 for
0.06 Jy sources in the 18
m band. The figure also shows that the S/N increases with increasing flux, but above 0.6 Jy and 0.9 Jy it becomes constant or slightly decreases to
20 and
15 for 9
m band and 18
m band, respectively. This leveling-off of the S/N is due to uncertainties in the data reduction process. Errors in the correction for the detector reset anomaly, linearity,
and flat-fielding limit accuracy of the flux measurement.
![]() |
Figure 15:
Signal-to-noise ratio as a function of the 9 |
Open with DEXTER |
Table 2: Number of events at each step of the process for the preparation of the PSC.
4.3 Position accuracy
A test of the AKARI position accuracy is indicated in Fig. 16, which shows the angular separation between AKARI sources and the nearest R2MASS source (Cutri et al. 2003).
The figure indicates that about 73% of the sources have an angular
separation <1'', nearly 95% of the sources have a
separation <2''. On average, the mean separation between
AKARI and R2MASS coordinates of matching sources is 0.8 0.6''.
![]() |
Figure 16: Histogram of the angular separation between the AKARI coordinates and the R2MASS coordinates for the common sources. |
Open with DEXTER |
4.4 Number of detections per source
The histogram in Fig. 17 shows the number of detections per source, both in differential and integrated counts. As described in Sect. 3.5, all the cataloged sources are detected at least twice. Over 80% of the sources have more than three detections and about half of the sources have more than five detections (right side scale of Fig. 17). The average number of detections of the cataloged sources is six.
![]() |
Figure 17:
Number of detections per source at 9 |
Open with DEXTER |
4.5 False detections and missing sources
False detections.
False detections are in principle rejected in the two-step source confirmation process. However, there is an off-chance of including (1) high energy particle hit events; (2) slow moving objects; (3) ghosts produced in the camera optics; and (4) those triggered by the signal saturation.Missing bright sources.
Some of the bright sources which have IRAS measurements are not included in the catalog because they are (1) not recognized as a point source with the beam size of AKARI because of the spatial extension (Fig. 18 shows histograms of the spatial size of the AKARI/MIR sources); (2) located in the area not covered by this survey; or (3) observed only once. A total 1722 IRAS sources with the good quality flag (



![]() |
Figure 18:
Histograms of the spatial extension of AKARI sources at 9 |
Open with DEXTER |
4.6 Source counts versus flux
![]() |
Figure 19:
The distribution of source counts as a function of the 9 |
Open with DEXTER |
![]() |
Figure 20:
Flux distributions of the detected sources. ( Left) Flux distribution for the 9 |
Open with DEXTER |
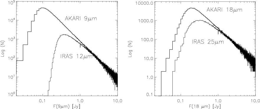
It is instructive to compare the overall distribution of the source counts between the AKARI and IRAS PSCs. The histograms of the source counts in the two surveys are compared in Fig. 19. The large difference in terms of the lower cutoff flux in the source counts between the two surveys is a clear signature of the considerably higher sensitivity, up to a factor of nearly 10, of the AKARI survey compared to IRAS.
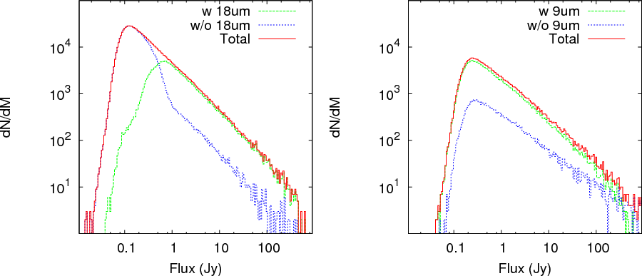
The distribution of source counts of the subsets of the 9 m sources with and without a
18
m counterpart are shown in the left panel of Fig. 20. Similarly that for the 18
m sources with and without a 9
m counterpart is shown in the right panel of Fig. 20. Most of the 18
m sources have 9
m detections, whereas fainter 9
m sources do not have their 18
m counter parts.
4.7 Completeness
The completeness of a survey above a given flux level is usually defined as the fraction of true sources that can be detected above that level. It is difficult to apply this concept to the AKARI survey because one should dispose of a statistically significant sample of true sources with known IRC fluxes. The standard stars used for the AKARI/IRC PSC calibration might not represent a statistically significant sample in view of the rather poor coverage at low flux levels.
To assess the completeness of the AKARI-MIR survey we have thus taken a different approach
based on the distribution of sources according to their flux. Figure 19 shows an interesting feature: source counts decline exponentially with increasing flux after a peak value
is reached around 0.1 Jy (9 m band) and 0.2 Jy (18
m
band). One can thus make a reasonable assumption that the exponential
decay is an intrinsic property of source counts at the relevant
wavelengths and, on this basis, one can define completeness as the
ratio of the number of sources actually observed by the number of
sources predicted by the above equations. The results of completeness
are shown in Fig. 21. From this figure we deduce the completeness ratios reported in Table 3.
To evaluate the detection limit of the survey, we can make use of the S/N characteristics shown in Fig. 15. From this figure one can deduce that for S/N 5 the detection limit is
about 0.05 and 0.09 Jy in the 9
m and 18
m bands, respectively.
A summary of the completeness of the survey at various flux levels together with the corresponding values of the S/N ratio are given in Table 3. These results agree fairly well with a pre-launch prediction in Ishihara et al. (2006a).
The completeness is also tested separately for different Galactic latitude ranges,
,
,
and
,
where the division is made to have roughly similar numbers of the objects. Figure 21 indicates that the completeness becomes worse in the Galactic plane (|b|<2.2 degree), which can be attributed to either the source confusion or the spatially variable background.
![]() |
Figure 21:
Completeness ratio of the AKARI/IRC survey in the 9 |
Open with DEXTER |
Table 3: Completeness and signal-to-noise ratio.
4.8 Comparison with the IRAS catalog
To further evaluate the reliability of the AKARI flux measurements at 9 m and 18
m, we have carried out a comparison of these with the IRAS 12
m and 25
m fluxes for common sources.
In Fig. 22 a
comparison is given between AKARI and IRAS fluxes observations for the
cross-identified objects. It is evident that there is a close
correlation between the two sets of data. This is especially true for
stellar sources; indeed, many MIR sources like compact H II regions,
reflection nebulae and planetary nebulae, have extended emission or are
located within extended objects. In such cases, IRAS measures the
total flux of the extended
emission because of the larger apertures (
pixel size), whereas AKARI measures the flux of the peak emission on the extended objects with a smaller aperture (
beam size) as demonstrated in the case of a reflection nebula (Ishihara et al. 2007).
Some sources are brighter in the IRAS PSC than in the AKARI PSC. The
difference could be attributed to the effect of the difference in the
spatial resolution.
![]() |
Figure 22:
( Left) Comparison of the AKARI 9 |
Open with DEXTER |
5 Summary
The AKARI mid-infrared all-sky survey was performed with two mid-infrared broad bands centered at 9 m and 18
m.
More than 90% of the entire sky was observed in both bands.
A total of 877 091 sources (851 189 for 9
m, 195 893 for 18
m) are detected and included in the present release of the point source catalog. This AKARI mid-infrared point source catalog
is scheduled for public release in 2010 after the prioritized period for the team members (Release Note 2009).
We present the spatial distribution, flux distribution, flux accuracy,
position accuracy, and completeness of the sources in the AKARI MIR
all-sky survey catalog version
-1.
The AKARI mid-infrared survey provides a unique data-set relevant to interstellar, circumstellar-, and extra galactic astronomy. This new deep, large survey is well suited to research in the various fields of astronomy, like the search for warm debris disks, of asteroid analog (Fujiwara et al. 2009a,b), and provides valuable information for the study of planet formation and other fields. The chemical compositions of an unprecedented number of dust-forming asymptotic giant branch (AGB) stars can also be investigated (Ita et al. 2009), making use of the characteristics of the filter bands of this survey. These studies enable new discussions on the structure, the star formation history and the cycle of matter in our Galaxy. The mid-infrared all-sky survey also provides a chance to detect highly obscured active galactic nuclei (AGN), which are difficult to observe in previous optical or X-ray surveys. The population of obscured AGN is expected to contribute to the hard X-ray background, which is not completely resolved into individual source yet (Ueda et al. 2003).
Acknowledgements
This research is based on observations with AKARI, a JAXA project with the participation of ESA. This research has made use of the SIMBAD database, operated at CDS, Strasbourg, France. This work was supported by the the Nagoya University Global COE Program, ``Quest for Fundamental Principles in the Universe (QFPU)'' from JSPS and MEXT of Japan. This work was supported by a Grant-in-Aid for Scientific Research on Priority Areas from the Ministry of Education, Culture, Sports, Science and Technology, Japan (No. 16077201). H.F. is financially supported by the Japan Society for the Promotion of Science. S.H. was supported by Space Plasma Laboratory, ISAS, JAXA.
References
- Aumann, H. H., Beichman, C. A., Gillett, F. C., et al. 1984, ApJ, 278, 23 [Google Scholar]
- Bertin, E., & Arnouts, S. 2000, A&A, 117, 393 [Google Scholar]
- Beichman, C. A., Neugebauer, G., Habing, H. J., Clegg, P. E., & Chester, T. J. 1988, Infrared astronomical satellite (IRAS) catalogs and atlases, Explanatory supplement, 1 [Google Scholar]
- Cohen, M., Walker, R. G., Carter, B., et al. 1999, AJ, 117, 1864 [NASA ADS] [CrossRef] [Google Scholar]
- Cutri, R. M., Skrutskie, M. F., van Dyk, S., et al. 2003, The IRSA 2MASS All-Sky Point Source Catalog, NASA/IPAC Infrared Science Archive, http://irsa.ipac.caltech.edu/applications/Gator/ [Google Scholar]
- Fujiwara, H., Yamashita, T., Ishihara, D., et al. 2009a, ApJ, 695, L88 [NASA ADS] [CrossRef] [Google Scholar]
- Fujiwara, H., Ishihara, D., Kataza, H., et al. 2009b, A&A, submitted [Google Scholar]
- Ishihara, D., Wada, T., Watarai, H., et al. 2003, Proc. SPIE, 4850, 1008 [NASA ADS] [CrossRef] [Google Scholar]
- Ishihara, D., Wada, T., Onaka, T., et al. 2006a, PASP, 118, 324 [NASA ADS] [CrossRef] [Google Scholar]
- Ishihara, D., Onaka, T., Kataza, H., et al. 2006b, AJ, 131, 1074 [NASA ADS] [CrossRef] [Google Scholar]
- Ishihara, D., Onaka, T., Kaneda, H., et al. 2007, PASJ, 59, S443 [NASA ADS] [Google Scholar]
- Ita, Y., Matsuura, M., Ishihara, D., et al., 2010, A&A, 514, A2 [NASA ADS] [CrossRef] [EDP Sciences] [Google Scholar]
- Kaneda, H., Kim, W., Onaka, T., et al. 2007, PASJ, 59, S423 [NASA ADS] [Google Scholar]
- AKARI/IRC team, Kataza, H., Alfageme, C., Cassatella, A., et al. 2009, AKARI/IRC All-Sky Survey Bright Source Catalog Version Release Note Rev.1 [Google Scholar]
- Kawada, M., Baba, H., Barthel, P. D., et al. 2007, PASJ, 59, S389 [NASA ADS] [CrossRef] [Google Scholar]
- Murakami, H., Baba, H., Barthel, P., et al. 2007, PASJ, 59, S369 [NASA ADS] [CrossRef] [MathSciNet] [Google Scholar]
- Neugebauer, G., Habing, H. J., van Duinen, R., et al. 1984, ApJ, 278, 1 [NASA ADS] [CrossRef] [Google Scholar]
- Onaka, T., Matsuhara, H., Wada, T., et al. 2007, PASJ, 59, S401 [NASA ADS] [Google Scholar]
- Price, S. D., Egan, M. P., Carey, S. J., Mizuno, D. R., & Kuchar, T. A. 2001, AJ, 121, 2819 [NASA ADS] [CrossRef] [Google Scholar]
- Reach, W. T., Megeath, S. T., Cohen, M., et al. 2005, PASP, 117, 978 [NASA ADS] [CrossRef] [Google Scholar]
- Soifer, B. T., Sanders, D. B., Madore, B. F., et al. 1987, ApJ, 320, 238 [NASA ADS] [CrossRef] [Google Scholar]
- Takita, S., Kitamura, Y., Kataza, H., et al. 2009, PASJ, 61, 291 [NASA ADS] [Google Scholar]
- Tanabé, T., Sakon, I., Cohen, M., et al. 2008, PASJ, 60, 375 [NASA ADS] [CrossRef] [Google Scholar]
- Wada, T., Fujishiro, N., Ishihara, D., et al. 2003, Proc. SPIE, 4850, 179 [NASA ADS] [CrossRef] [Google Scholar]
- Ueda, Y., Akiyama, M., Ohta, K., & Miyaji, T. 2003, ApJ, 598, 886 [NASA ADS] [CrossRef] [Google Scholar]
Appendix A: Nest 4
4 mode operation and unit image construction
Here we explain in more detail of the data acquisition in the all-sky
survey mode and subsequent image reconstruction method to describe the
pixel scale (Fig. A.1). Though the original pixel scale of the MIR-S camera is
(
for MIR-L), we degrade the spatial resolution in the survey observation
to reduce the amount of output data to meet the downlink capacity. The
pixel scale of the data taken by a single row in the in-scan direction
is adjusted to
by setting the sampling rate as 22.7 Hz
under the scan rate of the satellite of 216'' s-1. The pixel scale in the cross-scan direction is adjusted as
by
binning of the output of four adjacent pixels. The resulting effective
pixel scale obtained in the scan by a single row (hereafter virtual
pixel scale) is four times larger than the original pixel scale. The
scan observation was made by two rows to enable two independent
observations in the milli-seconds interval. The sampling timing and the
combination of the binning pixels are adjusted to construct two
independent grids on the sky.
Because the scan rate was changed from the value expected before launch
due to the change in the altitude from the planned 750 km to
700 km, the shift of the grids in the in-scan direction
is not exactly a half of the virtual pixel size.
Figure A.2 compares
an image of the same star constructed from a single-row observation in
the survey mode to one processed from a two-row observation in the
survey mode, and one obtained in the imaging mode in the pointed
observation with the original pixel scale. The FWHM of the PSF for the
9 m and 18
m bands is
and
,
respectively. The virtual pixel size is larger than the PSF size.
However, the process of the two-row observations in the survey mode
reconstructs the image with thespatial resolution compatible with that
obtained in the pointed observations with the original pixel size
(center of Fig. A.2).
Thus the process of the two-row observation allows us to make (1) a
confirmation of the source detection in milli-seconds after
(2) reduction in the output data rate and (3) higher spatial
resolution than that in the single-row operation. The apparent
asymmetry seen in the pointed data (Fig. A.2a)
can be attributed to the effect of the telescope truss. Part of the
asymmetry seen in the survey data may also be attributed to the
under-sampling operation. No variation of the PSFs is recognized
in the 9 m and 18
m bands during the liquid helium period in the pointing mode data.
![]() |
Figure A.1:
(Left) Illustration of the nest 4 |
Open with DEXTER |
![]() |
Figure A.2:
9 |
Open with DEXTER |
Footnotes
- ... survey
- Catalog is available in electronic form at the CDS via anonymous ftp to cdsarc.u-strasbg.fr (130.79.128.5) or via http://cdsweb.u-strasbg.fr/cgi-bin/qcat?J/A+A/514/A1
- ...
- Present address: INTA, Ctra. de Ajalvir km. 4. 28850 Torrejón de Ardoz, Madrid, Spain.
- ...
- Present address: Instituut voor Sterrenkunde, Katholieke Universiteit Leuven, Celestijnenlaan 200D, 3001 Leuven, Belgium.
- ...
- Present address: Deimos Space S.L., Ronda de Poniente, 19, Edificio Fiteni VI, 28760 Tres Cantos, Madrid, Spain.
- ...
- Present address: Cybernet system Co. Ltd., 3 Kanda-neribeicho, Chiyoda-ku, Tokyo, 101-0022, Japan.
- ...
- Present address: SONY Co. Ltd., 4-14-1, Asahi-cho, Atsugi-shi, Kanagawa, 243-0014, Japan.
All Tables
Table 1: Parameters for mid-infrared all-sky survey operation.
Table 2: Number of events at each step of the process for the preparation of the PSC.
Table 3: Completeness and signal-to-noise ratio.
All Figures
![]() |
Figure 1:
Relative spectral response curve of the S9W (solid curve) and L18W bands (dashed) in units of electron/energy normalized to the peak. The system response curves of the IRAS 12 |
Open with DEXTER | |
In the text |
![]() |
Figure 2:
All-sky image taken with the AKARI 9 |
Open with DEXTER | |
In the text |
![]() |
Figure 3: Outline of AKARI/IRC all-sky survey data processing. |
Open with DEXTER | |
In the text |
![]() |
Figure 4: Example of the reset
anomaly correction. The output signal level of a pixel in units of
electron is plotted against the time from latest reset. This data set
was taken under the constant illuminating source in the laboratory
test. The raw output of the sensor (solid points) is fitted by the
reset anomaly function
|
Open with DEXTER | |
In the text |
![]() |
Figure 5: Example of the non-linearity of the photo-response of a pixel. The left panel shows the time from reset versus output level of two pixels at the constantly illuminated condition in a laboratory test. The output profiles are fitted by linear functions using the data in the range, where the photo-response is still linear because the number of stacked electrons is small (7000-15 000 ADU). The right panel shows the number of charged electrons (Y-axis) versus the deviation of the output level from the linear functions (X-axis). |
Open with DEXTER | |
In the text |
![]() |
Figure 6:
Flat functions for the one dimensional array for the 9 |
Open with DEXTER | |
In the text |
![]() |
Figure 7: Example of the processed data. ( Left) Raw data from Row#1 and Row#2 are shown separately. ( Middle) Processed data. The data from both rows are combined. ( Right) Mask for the processed data. |
Open with DEXTER | |
In the text |
![]() |
Figure 8: Example of the event detection and milli-seconds confirmation. The left image is obtained by row#1 and the center image is obtained by row#2. The right image is constructed by combining data from two rows. The crosses mark events extracted on a single row image, but rejected in milli-seconds confirmation. The circles show events extracted on both rows with similar fluxes, which are thus confirmed. |
Open with DEXTER | |
In the text |
![]() |
Figure 9: Statistical error of the pointing reconstruction using 50% of the catalog data. The error is defined as the distance between the position determined by the pointing reconstruction and the position of the input reference catalog for events in the remaining 50% data. The lines show the fraction of the IRC events with an error smaller than the given values. The color of the lines denotes the flux range of events. |
Open with DEXTER | |
In the text |
![]() |
Figure 10:
( Top left)
Calibrated fluxes obtained from the pipeline output through
Eq. (10) are plotted as a function of the predicted in-band fluxes
of the standard stars in the 9 |
Open with DEXTER | |
In the text |
![]() |
Figure 11:
Ratio of the measured fluxes to the average fluxes as a function of
observing time for five bright (>1 Jy) standard stars observed
at 9 |
Open with DEXTER | |
In the text |
![]() |
Figure 12:
Spatial distribution in an Aitoff Galactic coordinates projection of the 18 |
Open with DEXTER | |
In the text |
![]() |
Figure 13:
Spatial number density distribution of the detected sources in the Galactic coordinates of the Aitoff projection. ( Left) 9 |
Open with DEXTER | |
In the text |
![]() |
Figure 14:
Relative flux errors (%) for 9 |
Open with DEXTER | |
In the text |
![]() |
Figure 15:
Signal-to-noise ratio as a function of the 9 |
Open with DEXTER | |
In the text |
![]() |
Figure 16: Histogram of the angular separation between the AKARI coordinates and the R2MASS coordinates for the common sources. |
Open with DEXTER | |
In the text |
![]() |
Figure 17:
Number of detections per source at 9 |
Open with DEXTER | |
In the text |
![]() |
Figure 18:
Histograms of the spatial extension of AKARI sources at 9 |
Open with DEXTER | |
In the text |
![]() |
Figure 19:
The distribution of source counts as a function of the 9 |
Open with DEXTER | |
In the text |
![]() |
Figure 20:
Flux distributions of the detected sources. ( Left) Flux distribution for the 9 |
Open with DEXTER | |
In the text |
![]() |
Figure 21:
Completeness ratio of the AKARI/IRC survey in the 9 |
Open with DEXTER | |
In the text |
![]() |
Figure 22:
( Left) Comparison of the AKARI 9 |
Open with DEXTER | |
In the text |
![]() |
Figure A.1:
(Left) Illustration of the nest 4 |
Open with DEXTER | |
In the text |
![]() |
Figure A.2:
9 |
Open with DEXTER | |
In the text |
Copyright ESO 2010
Current usage metrics show cumulative count of Article Views (full-text article views including HTML views, PDF and ePub downloads, according to the available data) and Abstracts Views on Vision4Press platform.
Data correspond to usage on the plateform after 2015. The current usage metrics is available 48-96 hours after online publication and is updated daily on week days.
Initial download of the metrics may take a while.