Issue |
A&A
Volume 514, May 2010
Science with AKARI
|
|
---|---|---|
Article Number | A12 | |
Number of page(s) | 12 | |
Section | Interstellar and circumstellar matter | |
DOI | https://doi.org/10.1051/0004-6361/200913815 | |
Published online | 03 May 2010 |
Science with AKARI
Spectroscopic observations of ices around embedded young stellar objects in the Large Magellanic Cloud with AKARI
T. Shimonishi1 - T. Onaka1 - D. Kato1 - I. Sakon1 - Y. Ita2 - A. Kawamura3 - H. Kaneda3
1 - Department of Astronomy, Graduate School of
Science, The University of Tokyo, 7-3-1 Hongo, Bunkyo-ku, Tokyo
113-0033, Japan
2 -
National Astronomical Observatory of Japan, 2-21-1 Osawa, Mitaka, Tokyo, 181-8588, Japan
3 -
Graduate School of Science, Nagoya University, Chikusa-ku, Nagoya, 464-8602, Japan
Received 7 December 2009 / Accepted 12 March 2010
Abstract
Aims. The aim of this study is to understand the chemical
conditions of ices around embedded young stellar objects (YSOs) in the
metal-poor Large Magellanic Cloud (LMC).
Methods. We performed near-infrared (2.5-5 m)
spectroscopic observations toward 12 massive embedded YSOs and
their candidates in the LMC using the infrared camera (IRC) onboard
AKARI. We estimated the column densities of the H2O, CO2, and CO ices based on their 3.05, 4.27, and 4.67
m absorption features, and we investigated the correlation between ice abundances and physical properties of YSOs.
Results. The ice absorption features of H2O, CO2, 13CO2, CO, CH3OH,
and possibly XCN are detected in the spectra. In addition,
hydrogen recombination lines and PAH emission bands are detected
toward the majority of the targets. The derived typical CO2/H2O ice ratio of our samples (0.36
0.09) is greater than that of Galactic massive YSOs (
0.17
0.03), while the CO/H2O ice ratio is comparable. It is shown that the CO2 ice
abundance does not correlate with the observed characteristics of YSOs:
the strength of hydrogen recombination line and the total
luminosity. Likewise, clear correlation is not seen between the
CO ice abundance and YSO characteristics, but it is
suggested that the CO ice abundance of luminous samples is
significantly lower than in other samples.
Conclusions. The systematic difference in the CO2 ice abundance
around the LMC's massive YSOs, which was suggested by previous studies,
is confirmed with the new near-IR data. We suggest that the strong
ultraviolet radiation field and/or the high dust temperature in the LMC
are responsible for the observed high abundance of the CO2 ice. It is suggested that the internal stellar radiation does not play an important role in the evolution of the CO2 ice
around a massive YSO, while more volatile molecules like CO are
susceptible to the effect of the stellar radiation.
Key words: astrochemistry - circumstellar matter - ISM: abundances - ISM: molecules - Magellanic Clouds - infrared: ISM
1 Introduction
The infrared spectra of embedded young stellar objects (YSOs) show
absorption features originating in various ice species (solid state
molecules, e.g., Gerakines et al. 1999; Gibb et al. 2004; Boogert et al. 2008).
It is believed that a large amount of heavy elements and complex
molecules of the interstellar medium (ISM) are preserved as ices in the
dense and cold regions (
104 cm-3, T
10-20 K), such as an envelope of a deeply embedded YSO (van Dishoeck & Blake 1998; Boogert & Ehrenfreund 2004).
Since the star formation proceeds in the region of dense molecular
clouds, these ices dominate the chemical evolution of YSOs. Absorption
profiles of ices are known to be sensitive to a chemical composition
and a temperature of dust grains, and ices are important tracers of the
thermal history of circumstellar environments of YSOs (e.g., Zasowski et al. 2009; Pontoppidan et al. 2008).
Thus, investigating the compositions of ices as a function of physical
environments is crucial for understanding the chemical evolution of
YSOs and is one of the key topics in the current astrochemistry. Ices
are also detected toward solar system objects such as comets, icy
satellites, and Mars. Interstellar ices are thought to be taken into
planets and comets as a result of subsequent planetary formation
activities (Ehrenfreund & Schutte 2000).
Therefore the chemical evolution of ices around YSOs is also of
interest in terms of chemical conditions of the planetary formation.
Observations of ices around extragalactic YSOs are one of the challenges in current ice studies (Shimonishi et al. 2008; Oliveira et al. 2009; van Loon et al. 2005,2010a; Seale et al. 2009). So far, infrared spectroscopic observations of extragalactic embedded YSOs are still limited by observational difficulties, and their circumstellar chemistry is poorly understood. However, it is probable that different galactic environments (e.g., metallicity or radiation field) could affect the properties of circumstellar material. Thus detailed investigations of extragalactic YSOs provide us important information for understanding the diversity of chemical conditions of YSOs in the universe. Thanks to the progress of infrared space telescopes, such as AKARI (Murakami et al. 2007) and Spitzer (Werner et al. 2004), we are now able to extend the study of ices around YSOs to extragalactic objects.
The Large Magellanic Cloud (LMC), the nearest irregular galaxy to our
Galaxy, offers an ideal environment for studying extragalactic star
formations since individual YSOs can be identified with reasonable
spatial resolution (1'' 0.25 pc) thanks to its proximity (
50 kpc; Alves 2004). A unique metal-poor environment of the LMC (Z
0.3
,
Luck et al. 1998) results in a generally
high UV radiation field over the galaxy, and these factors can
affect the chemical conditions of circumstellar materials. The nearly
face-on viewing angle of this galaxy (
35 degrees, van der Marel & Cioni 2001)
allows correlation studies of individual YSOs and the ISM. Because of
these advantages, various types of surveys have been performed toward
the LMC, which provide information of both ISM and stars over a wide
wavelength range (e.g., Zaritsky et al. 2004; Kato et al. 2007; Meixner et al. 2006).
Shimonishi et al. (2008) spectroscopically confirmed seven massive YSOs in the LMC based on the AKARI LMC spectroscopic survey (Ita et al. 2008) and reported the detection of the H2O and CO2 ices toward these objects. Oliveira et al. (2009) analyzed the 15.2 m feature of the CO2 ice for 15 embedded YSOs in the LMC and discuss the chemical properties of the ice mantles. The H2O and CO2 ices are ubiquitous and are the major components of interstellar ices. Based on the low-resolution (R
20) spectra obtained in Shimonishi et al. (2008), we derived a typical CO2/H2O ice ratio and showed that the ratio around the LMC's massive YSOs (0.45
0.17) is higher than previously reported toward Galactic massive YSOs (0.17
0.03, Gerakines et al. 1999). The result suggests the chemically different nature of YSOs in the metal-poor galaxy.
An accurate determination of column densities of major ice species is crucial when discussing the variation of ice abundances between the objects. However, the uncertainties in the derived column densities from our previous low-resolution spectra are large, and the number of samples for which the column densities of major ice species are determined is still small. In addition, the features of relatively minor ice species, such as CH3OH and CO are difficult to identify by the low-resolution spectra. Investigation of these minor ices should help in constraining the processing of ices in a YSO envelope (e.g., Dartois et al. 1999; Thi et al. 2006). Thus follow-up observations with higher spectral resolution are required to further understand the chemical conditions of extragalactic YSOs.
In the present study, we used the higher spectral resolution (R 80) mode of the infrared camera (IRC, Onaka et al. 2007)
onboard AKARI to observe massive embedded YSOs and their candidates in
the LMC. The correlation between the chemical properties of ices
and the YSO characteristics, which could not be discussed in Shimonishi et al. (2008)
due to the large uncertainties of the observed spectra,
is discussed in this paper. In addition, the improved
calculation method of the ice column density by using the
curve-of-growth is presented in an Appendix.
2 Targets
The sample of massive YSOs presented in this study is mainly selected from Shimonishi et al. (2008),
which spectroscopically discovered several massive YSOs in the LMC
by using a combination of the low-resolution, near-infrared
spectroscopic survey and the color-color diagram. The H2O and CO2 ice features toward these targets have already been reported in Shimonishi et al. (2008), and this indicates the embedded nature of these YSOs. In addition, we include several YSO ``candidates''.
These objects were selected by the same photometric criteria described in Shimonishi et al. (2008)
and their infrared spectral energy distributions (SEDs) are red enough
to be identified as a YSO. But absorption features of ices seen in
their low-resolution 2-5 m spectra are too weak to definitely classify them as YSOs, so they are not included in the YSO list of Shimonishi et al. (2008). Some other targets were selected based on the YSO candidates catalog presented in Whitney et al. (2008), which performed photometric selection of YSOs using the database of Spitzer SAGE project (Meixner et al. 2006). We selected relatively bright and red objects from their catalog. van Loon et al. (2005) observed IRAS 05328-6827 with the infrared spectrograph (IRS, Houck et al. 2004) onboard Spitzer
and the infrared spectrometer and array camera (ISAAC) at the Very
Large Telescope (VLT), and report the presence of ice features in its
near- to mid-infrared spectrum. This object is also added to the
present targets.
To understand the nature of the targets, we carried out the SED fitting of each YSO by using the Online SED Fitter (Robitaille et al. 2007). The photometric dataset used for the SED fitting are obtained from the available database and recent YSO catalogs (Ita et al. 2008; Zaritsky et al. 2004; Kato et al. 2007; Meixner et al. 2006; Gruendl & Chu 2009), and 2-24
m data were typically used as the input data. The estimated total luminosities and masses of our targets are
4-340
10
and 12-47
,
respectively. Thus the targets in the present study are
massive YSOs. Details of all the targets are listed
in Table 1.
Table 1: Targets of the present observations.
3 Observation and data reduction
Spectra of 2-5
The slit-less NG spectroscopy mode with the Np point source aperture was used to obtain spectra between 2.5 and 5 m with a spectral resolution of R
80. The wavelength accuracy of the spectroscopy is estimated to be
0.01-0.015
m.
The spatial resolution of a point source is approximately
5-8 arcsec. Overlapping of dispersed spectra with other objects is
a serious problem for slit-less spectroscopies, which makes extraction
of reliable spectra difficult. The use of the Np point source
aperture reduces the effect of spectral overlapping and enables spectra
to be extracted from the objects located in crowded regions (see Ohyama et al. 2007, and AKARI data users manual for details of the IRC spectroscopy).
The basic spectral analysis was performed using the standard IDL pipeline prepared for reducing AKARI IRC post-helium mission data. Raw data were converted to dark-subtracted and linearity-corrected frames in the pipeline. We used a newly calibrated spectral response curve to analyze the present spectra. At that time, appropriate flat field data were not available for post-helium Np data. However, because of the faintness of the natural background and the small pixel-to-pixel variation of the flux at the Np aperture, there are no significant differences between the spectra with and without flat-fielding (AKARI data users manual ver. 1.3). In fact, spectra processed without the flat-fielding is better in terms of S/N because of the relatively low S/N of the flat field data. Therefore, we did not perform the flat-fielding in the pipeline. Four to seven pixels were integrated in the spatial direction to extract the point source spectrum. Each pixel was smoothed in the dispersion direction across the width of three pixels to suppress the effect of bad pixels. Background signals of each source were estimated from the signal counts of the adjacent region of the target spectrum and subtracted.
Table 2: Details of detected ice features.
4 Results
4.1 Observed spectra
Observed spectra for all the objects are shown in Fig. 1 and details of the detected ice features are summarized in Tables 2 and 3. The absorption feature of the 3.05 m H2O ice is detected toward all the objects except ST6 and ST9. The profile of the H2O ice feature is resolved, and this permits more accurate determination of the column density than in Shimonishi et al. (2008). One object (ST8) shows a structured profile of the H2O ice, which is often linked to the thermal processing of the ice mantles (Öberg et al. 2007). The water-ice band of ST6 is seen in the spectrum of Shimonishi et al. (2008),
but it is not detected in the present spectra owing to the slightly
poor sensitivity of the present observation mode. The 3
m
region of ST9 overlaps prominent emission components, which makes
it difficult to identify the underlying absorption bands
around 3
m. A broad depression is seen in the 4.3-4.7
m region of ST7. It can probably be attributed to a combination mode of the H2O ice, which typically peaks around 4.5
m (Gibb et al. 2000).
![]() |
Figure 1:
AKARI IRC NG 2.5-5 |
Open with DEXTER |
The absorption feature of the 4.27 m CO2 ice is detected toward all the objects. Some objects show the absorption features of 3.53
m CH3OH ice, 4.38
m 13CO2 ice, 4.62
m XCN, and the 4.67
m CO ice. Since the CO2
and CO ice features are not completely resolved in our spectra,
the widths of the observed features are larger than those of their
typical laboratory spectra. The detections of the 13CO2 ice
and XCN features are still tentative because of the unresolved
absorption bands of gaseous CO, which sometimes appear in the
wavelength region of these features (Boogert et al. 2000; Chiar et al. 1998). The non-detection of the 13CO2 ice in ST10, on the other hand, gives a rough lower limit of 13CO2/12CO2 of about 95. This is in the same range as the isotopic ratio for Galactic YSOs (Boogert et al. 2000). These minor features are labeled in Fig. 2 and summarized in Table 3.
![]() |
Figure 2:
Observed spectra of sample YSOs after the continuumd subtraction.
A vertical axis represents the optical depth. The positions of the detected features are labeled.
( Left) 2.6-3.8 |
Open with DEXTER |
![]() |
Figure 2: continued. |
Open with DEXTER |
![]() |
Figure 2: continued. |
Open with DEXTER |
Table 3: Detection of ice features in our YSO spectra.
Several emission features that were not resolved in the low-resolution spectra of Shimonishi et al. (2008) are detected in the present spectra. They are hydrogen recombination lines (2.62 m Br
,
3.05
m Pf
,
3.29
m Pf
,
3.74
m Pf
,
4.05
m Br
,
4.64
m Pf
)
and polycyclic aromatic hydrocarbon (PAH) emission bands (3.3
m and 3.4
m).
Detection of these emission features allows detailed discussions about
the correlation between ice abundances and YSO characteristics
(see Sect. 5.2).
4.2 Spectral fitting and calculation of ice column densities
To subtract the continuum, we fitted a polynomial of the second to
fourth order to the continuum regions and derived the optical depth
spectra. The wavelength regions used for the continuum were set to
avoid a region with emission or absorption features, and they were
typically 2.5-2.7 m, 4.1-4.15
m, and 4.85-4.95
m. The absorption features of ices except H2O
were not completely resolved with our spectral resolution. Therefore,
to calculate ice column densities, we used different methods for
the H2O ice and the other ices.
4.2.1 H2O ice
The spectral resolution of the present spectra is sufficient to resolve a broad feature of the H2O ice,
and the true optical depth can be measured. Thus a direct comparison of
laboratory spectra is possible. We fitted laboratory ice profiles to
the observed spectra by a minimization method and derived the column density from the equation
![]() |
(1) |
where A is the band strength of each ice feature (in units of cm molecule-1) as measured in the laboratory, N the column density in cm-2,





![[*]](/icons/foot_motif.png)

4.2.2 CO2 ice and CO ice
In case the spectral resolution is insufficient to resolve the
absorption features, we cannot derive the ``true'' optical depth from
the spectra and we can not use Eq. (1) to calculate column
densities. Instead, we use the equivalent width of the absorption
features to calculate column densities since it does not depend on the
spectral resolution. The equivalent width (EW) is defined as
![]() |
(2) |
![]() |
(3) |
and






Gas-phase CO2 shows narrow absorption lines around the wavelength range of the CO2 ice feature, and it is difficult to resolve it with our spectral resolution. However, the contribution of the gas-phase CO2 is generally small toward YSOs (Gerakines et al. 1999; Nummelin et al. 2001), and we assume that it has a negligible effect on the derived equivalent widths, except for ST12, which shows a strong absorption band of the gas-phase CO2. On the other hand, the gas-phase CO ro-vibrational lines sometimes appear in the spectra of YSOs and are blended with the CO ice feature with our spectral resolution (Chiar et al. 1998). Unresolved gas-phase CO absorption bands are expected to cause shallow and broad absorption features on either or both sides of the CO ice feature. Therefore, in cases where these bands are seen on the sides of the CO ice feature, we subtracted them by assuming a Gaussian profile. The derived column densities are listed in Table 4.
4.2.3 CH3OH ice, 13CO2 ice, and XCN
In this study, we did not estimate the column densities of these minor ice species because the observed strengths of these ice features are too weak to discuss the column densities with the present S/N. In addition, it is difficult to distinguish the 13CO2 ice and XCN features from the unresolved CO gas absorption bands by our spectral resolution. Observations of these minor ice features with higher spectral resolution and better S/N are challenges for the future.
Table 4: Column density of ices and properties of YSOs.
5 Discussion
5.1 Large CO2/H2O ice ratio in the LMC
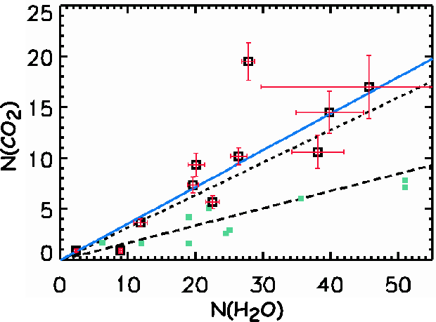
The derived column densities of the H2O and CO2 ices are plotted in Fig. 3.
The average CO2/H2O ice column density ratio of our samples is calculated to be 0.36 0.09.
The present samples are massive YSOs and should be compared to
Galactic massive samples. Thus the column densities of Galactic
massive YSOs (CO2/H2O
0.17
0.03, Gerakines et al. 1999; Gibb et al. 2004) are also plotted in the figure for comparison. It is reported that Galactic quiescent molecular clouds show a similar CO2 ice abundance (
0.18
0.04, Whittet et al. 2007). As can be seen in the figure, the typical abundance
of the CO2 ice toward the LMC's massive YSOs is larger than for Galactic massive YSOs. Also, the scatter of the CO2/H2O ratio is larger than for Galactic samples.
![]() |
Figure 3:
CO2 ice vs. H2O ice column density in units of 1017 cm-2.
Open squares with error bars represent the results of this study.
Filled squares represent those of Galactic massive YSOs (Gerakines et al. 1999; Gibb et al. 2004). An average CO2/H2O ice ratio of our samples (0.36) is plotted as a solid line. Dotted and dashed lines represent CO2/H2O ratio |
Open with DEXTER |
Shimonishi et al. (2008) reported that the typical CO2/H2O ice ratio in the LMC is 0.45 0.17
based on the low-resolution spectra of the LMC's YSO (targets included
in the present samples). The present result is consistent with the CO2/H2O ratio of Shimonishi et al. (2008)
within the uncertainties, but it is slightly lower than our previous
result. It is mostly attributed to the effect of the
PAH 3.3
m emission, which was not resolved and thus not correctly counted in the previous study. Oliveira et al. (2009) have estimated the column densities of the CO2 ice for some common objects with the present targets based on the 15.2
m feature and also revised some of the column density estimates of Shimonishi et al. (2008). The CO2 ice column densities estimated in Oliveira et al. (2009) are slightly lower than our estimate in Table 4, but generally consistent within the uncertainties. They also suggest that the CO2 ice abundance of the LMC samples is higher than in massive YSOs in our Galaxy (CO2/H2O
0.32, Fig. 3).
The high CO2/H2O ratio in the LMC
indicated by the previous studies is now confirmed with the increased
number of samples. In addition, the uncertainties of the derived
column densities decreased from those of Shimonishi et al. (2008)
thanks to the higher S/N, the higher spectral resolution, and the
improved treatment of the curve-of-growth method. It is also worth
mentioning that a relatively high CO2/H2O ratio of 0.32 0.02 is observed toward Galactic low- and intermediate-mass YSOs (Pontoppidan et al. 2008). Their samples also show a large scatter in the CO2 ice abundance as seen in the present samples. A similar trend in the CO2 ice
abundance between the LMC's massive YSOs and Galactic low- and
intermediate-mass YSOs may indicate some similarities of star formation
conditions between these different samples, but a qualitative
explanation is an issue for future investigation.
The derived CO/H2O ice ratio of the LMC's YSO ranges from 0.01 to 0.2 (Table 4), and this is similar to what is observed toward Galactic massive YSOs (
0.02-0.2, Gibb et al. 2004; Chiar et al. 1998). Also, the distribution range of the H2O ice
column densities of our samples is nearly comparable to that of the
Galactic YSOs. Therefore, we can assume that there should be a
different physical or chemical environment that selectively enhances
the production of CO2 ice in the LMC.
It is widely accepted that the CO2 ice in the cold envelope of a YSO is formed by grain surface reactions since gas-phase reactions are not able to produce the observed abundance of the CO2 ice, while molecules like CO are mainly formed by the gas-phase reaction (e.g., Millar et al. 1991). However, the formation mechanism of the CO2 ice still remains unclear, and it is one of the key topics in astrochemistry. Laboratory experiments indicate that the CO2 ice is efficiently produced by the UV photon irradiation to H2O-CO ice mixtures (e.g., Gerakines et al. 1996; Watanabe et al. 2007). It is reported by several authors that the LMC has an order-of-magnitude stronger UV radiation field than our Galaxy owing to its active star formation and its metal-poor environment (Lee et al. 2007; Israel et al. 1986). Thus the strong UV radiation field is able to help the efficient formation of the CO2 ice in the LMC.
![]() |
Figure 4:
The equivalent width of the hydrogen recombination line (Br |
Open with DEXTER |
On the other hand, an alternative mechanism of the CO2 ice formation has been proposed to explain the detection of the abundant CO2 ice toward quiescent molecular clouds, where energy sources of UV photon are not expected (Whittet et al. 1998). A theoretical study suggests that the CO2 ice can also be formed through the diffusive surface chemistry without UV irradiation (Ruffle & Herbst 2001). This model suggests that a sufficient abundance of the CO2 ice can be produced at relatively high dust temperatures, but this process is quite sensitive to the dust temperature and other assumed conditions. Several studies report that the interstellar dust temperature in the LMC is generally higher than in our Galaxy based on far-infrared to submillimeter observations of diffuse emission (e.g., Sakon et al. 2006; Aguirre et al. 2003). In addition, van Loon et al. (2010b,a) derived the dust temperatures of YSOs in the LMC and Small Magellanic Cloud (SMC) and suggest that the dust temperatures become higher in more metal-poor environments of the SMC. Thus the dust temperatures of the present samples may be systematically higher than their Galactic counterparts, which are in more metal-rich environments. Therefore the high dust temperature in the LMC can also be a possible cause for the enhanced production of the CO2 ice. From the discussion, we conclude that the general properties of the LMC's environments, the strong UV radiation field, and the high dust temperature are responsible for the observed high CO2 ice abundance.
One of the interstellar molecular features that likely develop from UV photolysis is the 4.62 m ``XCN'' feature, which is probably due to the OCN- (e.g., Bernstein et al. 2000; Pendleton et al. 1999). This feature provides a diagnostic of the local radiation field of objects (Spoon et al. 2003).
In our galaxy, the XCN feature is generally very weak or
absent toward YSOs and dark clouds, but is very strong toward a few
high-mass YSOs and Galactic center objects (Gibb et al. 2004). Thus this feature could suggest that the LMC's strong UV radiation field is a dominant factor for the high CO2 ice
abundance in the LMC. Some of our samples show a hint of this
XCN feature on the shorter side of the CO ice
feature (ST6, 7, 10). There may also be an additional
component seen in the spectrum of ST4 and ST8, but the peak wavelength
seems to be slightly shorter than the XCN feature. No clear
trends are seen in the CO2/H2O ratio of the
objects with possible detection of the XCN. However, we cannot
separate this feature from unresolved CO gas lines because the
spectral resolution is not high enough, and the detection of XCN is
still tentative, so that no definite conclusion can be drawn from
the present spectra. Future observations should provide the needed
resolution.
5.2 Correlation of ice abundance with YSO properties
As described in Sect. 2, the present samples basically possess similar characteristics (high-mass Class I objects). Despite this, column densities of the H2O, CO2 and CO ices and their ratio show large variations. To investigate which physical condition is dominant in the formation and evolution of ices, we compare the chemical conditions of ices and the properties of individual YSOs. It is probable that the radiation from the central star dominates the circumstellar environment of a massive YSO. If the formation of ices is controlled by the radiation from the star, there should be some parameters of YSOs that correlate well with the ice abundances.
First, we compared the strength of the hydrogen emission lines with the CO2 and CO ice abundance. Although it is not seen in the low-resolution spectra of Shimonishi et al. (2008),
the present spectra clearly detect hydrogen recombination lines toward
the target YSOs. It is known that massive YSOs in their more
evolved stage ionize their circumstellar gas by stellar
UV radiation and form compact HII regions around the central
star (van den Ancker et al. 2000).
A variation in their hydrogen line strength thus indicates that
the present targets are in their various evolutionary stages and
possess different radiation environments (especially as for UV) in
their circumstellar region, as discussed in Seale et al. (2009). We measured the equivalent width of the Br line at 4.05
m, which is the strongest hydrogen recombination line in the wavelength range of our observations.
Figure 4 shows the comparison of the equivalent width of the Br line with the CO2/H2O and CO/H2O ice ratio. It seems that the abundance of the CO2 ice does not correlate with the strength of the Br
line. The objects with similar CO2 abundance show various Br
line
strengths. This result indicates that the UV radiation from the
central star is a less dominant factor for the evolution of the CO2 ice. However, in the previous section, we mentioned that the UV irradiation can help form CO2 ice.
Several authors have demonstrated by simple calculation that the
interstellar radiation field can penetrate the site where the CO2 ice forms (e.g., Whittet et al. 1998; Watanabe et al. 2007). We therefore suggest that the external (interstellar) UV radiation field may play an important role in CO2 ice formation. On the other hand, it seems that objects with strong Br
line strengths (ST2, ST11) show a small CO ice abundance (upper limit), and one with the weakest Br
line (ST10) shows the highest CO ice abundance. Although the CO ice abundance of relatively weak Br
objects
is rather scattered, the result indicates that the CO ice around
YSOs is more likely to be affected by the stellar radiation than the CO2 ice.
A similar comparison was also made for the total luminosity of the
YSOs, which is also a good estimate of the radiation environment of
a YSO. The total luminosity was derived by the SED fitting
described in Sect. 2. As seen in Fig. 4, no clear correlation is seen between the CO2 ice
abundance and total luminosity of YSOs. The trend seen in the plot
of the CO ice against the total luminosity is somewhat similar to
what is seen in the comparison with the Br strength;
i.e., the overall correlation is weak, but the most luminous
objects in the present sample (ST2 and ST11) show a
small abundance of CO.
The low CO ice abundance toward luminous and probably evolved (indicated by strong Br emission)
YSOs can be explained by the low sublimation temperature of the
CO ice. The sublimation temperature of the pure CO ice is
lower than that of the pure H2O and CO2 ices (16 K, 50 K, and 90 K, for CO, CO2, and H2O, Tielens 2005).
Although the sublimation temperature changes depending on the chemical
compositions of ices, their general trend does not change. The
CO ice is therefore more easily affected by the stellar radiation
owing to its low sublimation temperature. Given a similar geometry and
distance between the central star and the circumstellar dust, the dust
around more luminous YSOs is expected to be warmer since the radiation
from the central star is the dominant heating source of their
circumstellar dust. Likewise, dust around more evolved objects is
expected to be warmer thanks to the dissipation of the circumstellar
dust. The relatively high luminosity of ST2 and ST11 suggests that
these objects might be clusters. However, we regard them here as YSOs
of a similar kind as in other samples, because their infrared SEDs are
well-fitted by the single YSO model of Robitaille et al. (2007),
as well as in other samples. We thus suggest that the CO ice
around the present luminous samples (ST2 and ST11) may
be sublimated thanks to the intense radiation from the central star.
The CO abundance of less luminous objects also has a scatter,
which suggests that other factors than the stellar radiation may be
important for the CO ice chemistry as for these objects.
6 Summary
To understand the chemical conditions of ices around YSOs in the Large
Magellanic Cloud, we performed spectroscopic observations toward
massive embedded YSOs and the candidates using the IRC onboard the
infrared satellite AKARI. We obtained near-infrared spectra (R 80, 2.5-5
m) of 12 objects in total. The ice absorption features of H2O, CH3OH, CO2, 13CO2,
CO, and possibly XCN were detected in the spectra.
In addition, hydrogen recombination lines and PAH emission
bands were detected toward the majority of the targets.
Compared to our previous study (Shimonishi et al. 2008), the increased number of LMC's YSO samples, the higher spectral resolution, and the improved treatment of the curve-of-growth method make it possible to derive column densities of ices and their typical abundances more accurately. Also, the detection of hydrogen emission lines and the SED analysis of individual YSOs allow discussion of the correlation between ice abundances and YSO properties.
We derived the column densities of the H2O, CO2 and CO ices by fitting the laboratory ice spectra (for 3.05 m H2O ice feature) and by the curve-of-growth method (for 4.27
m CO2 and 4.67
m CO ice features). As a result, it is shown that the typical CO2/H2O ice ratio of our samples (
0.36
0.09) is higher than that of Galactic massive YSOs (
0.17), while the CO/H2O ice ratio is comparable to Galactic ones. The systematical difference in the CO2 ice abundance around the LMC's massive YSOs, which was suggested by previous studies (Shimonishi et al. 2008; Oliveira et al. 2009), is now confirmed with the new near-infrared data. It is also shown that the scatter of the CO2/H2O ratio in the LMC is larger than for Galactic ones.
Although the formation mechanisms of the CO2 ice is still unclear, we suggest that the strong ultraviolet radiation field and/or the high dust temperature in the LMC are responsible for the observed high abundance of the CO2 ice. Our result provides evidence that YSOs in the metal-poor LMC maintain different chemical conditions in their circumstellar environments.
A relatively high CO2 ice abundance (0.32)
and a large scatter are also reported toward Galactic low- and
intermediate-mass YSOs. A similar trend of the CO2 ice
abundance between the LMC's massive YSOs and Galactic low- and
intermediate-mass YSOs may indicate some commonality in these
objects, but a qualitative explanation considering both the structure
of a YSO envelope and the ice chemistry is required in the
future.
The present YSO samples possess similar characteristics in their infrared SEDs, but they show a large variation in the CO2 and CO ice abundances and in their near-infrared emission features. We compared the CO2 and CO ice abundances with the strength of the hydrogen recombination line and total luminosity of the sample YSOs. It is shown that the CO2 ice abundance and these YSO characteristics do not show a correlation. The present result indicates that the internal stellar radiation does not play an important role in the evolution of the CO2 ice around a massive YSO. We thus need further investigations to shed light on the dominant physical factors in the CO2 ice formation. Similar to the CO2 ice, a clear correlation is not seen between the CO ice abundance and the YSO properties. However, it is suggested that the CO ice abundance of luminous and probably evolved samples are significantly lower than other samples. We infer that more volatile molecules like CO are susceptible to the effect of the stellar radiation.
The present results revealed the presence of a massive YSO that shows a CO2/H2O ratio of up to 0.7.
If there is also a chemical difference in the LMC's lower
mass YSOs, it will indirectly tell us the chemical diversity
of subsequently-formed planets since the interstellar ices are thought
to be an origin of planetary system ices, as discussed in Ehrenfreund & Schutte (2000).
The future infrared telescope missions SPICA, JWST, and SOFIA will
allow better understanding of the diversity of solid materials in
the universe.
This work is based on observations with AKARI, a JAXA project with the participation of ESA. We are deeply grateful to the referee J. Th. van Loon for his useful comments, which greatly improved this paper. We thank all the members of the AKARI project for their continuous help and support. We are grateful to Youichi Ohyama for kind support in the analysis of spectroscopic data. We also thank Helen Fraser and Jennifer Noble for fruitful discussions in Glasgow. This research has made extensive use of the Leiden University's Laboratory ice database. This work is supported by a Grant-in-Aid for Scientific Research from the JSPS (No. 180204014).
Appendix A: The curve-of-growth method
![]() |
Figure A.1: Calculated curve-of-growth for the CO2 ice (left) and the CO ice (right). These plots are used to convert measured equivalent widths to column densities. The uncertainties of derived column densities increased for deeper absorptions. |
Open with DEXTER |
We calculated column densities of unresolved ice features by using the
equivalent width. This calculation technique is called the
``curve-of-growth'' method, and it is traditionally used to study
gaseous absorption lines (Shore 2002). Since the optical depth is the logarithm conversion of the normalized flux (
/
),
the peak optical depth derived from unresolved features is not a
true value. Thus, in case of our low-resolution spectra, we will
significantly underestimate a column density if it is derived from the
simple integration of the optical depth as expressedin Eq. (1),
and this is why we need to use the curve-of-growth method. This method
was applied for the first time to absorption features of ices in Shimonishi et al. (2008), but we overestimate the uncertainties and a detailed description of the method was not given because of space limitations.
In this appendix, we describe our improved treatment of the curve-of-growth method.
First, we convert the measured equivalent width into a column density.
To do this, we need to assume intrinsic absorption profiles of
target ice features. Here, they are the 4.27 m CO2 ice and 4.67
m CO ice feature. For CO2, we considered the typical compositions and temperature of the interstellar CO2 ice and chose an appropriate laboratory spectrum as shown in Table A.1 (Ehrenfreund et al. 1996,
data taken from the Leiden molecular astrophysics database).
For CO, it is reported that several combinations of
laboratory ice profiles can account for the same observed spectrum and
the fitting degenerates (Pontoppidan et al. 2003).
We therefore used a single Gaussian profile that is close to the
typically observed CO ice feature around massive YSOs (Chiar et al. 1998).
The assumed profiles of the CO2 and CO ices features are summarized in Table A.1.
By using these profiles, we calculated both equivalent widths and
column densities for the various optical depths. The plot of the
derived equivalent widths vs. column densities is shown in
Fig. A.1, and this is called the
curve-of-growth. The equivalent widths can be measured from
observations, and these plots are used to derive column densities of
ices; however, the uncertainty becomes larger for the higher column
densities owing to the saturation effect of the curve-of-growth.
![]() |
Figure A.2: Comparison of the CO2 and CO ice column densities derived from the low-resolution spectra by the curve-of-growth and those derived from the high-resolution ISO-SWS spectra by the laboratory ice fitting (Gerakines et al. 1995; Gibb et al. 2004). The axes are expressed in units of 1017 cm-2. Solid and dashed lines indicate the result of the linear fit and its one sigma error. The labeled numbers in the figure correspond to the name of the objects that are used in this analysis as follows; 1. Mon R2 IRS3, 2. Orion IRC2, 3. S140, 4. Elias 29, 5. AFGL 2136, 6. W33A, 7. NGC 7538 IRS9. |
Open with DEXTER |
It is known that the actual profile of the observed ices in star-forming regions is not uniform since they vary depending on the compositions and temperature of ices (Gerakines et al. 1999; Gibb et al. 2004). The derived column densities depend on the assumed profiles, so we need to check the validity of our method and to evaluate the uncertainties caused by the method.
We first prepared 2-5 m ISO-SWS spectra of embedded massive YSOs
(Sloan et al. 2003), whose ice column densities are already presented in Gibb et al. (2004). The spectral resolution of these data is high enough to resolve narrow ice features (R
500-1000). Then their spectral resolution was degraded to the resolution of the AKARI IRC NG mode (R
80) by convolving the point spread function of the IRC. Next, we derived column densities of the CO2
and CO ice by these converted spectra using the same method as
that described in Sect. 4.2.2. The derived column densities and
the results of Gibb et al. (2004) are plotted in Fig. A.2.
Table A.1: Ice profiles used for calculating the curve-of-growth.
The figure indicates that the column densities derived from our
curve-of-growth method are basically in good agreement with the results
of Gibb et al. (2004),
which derived the column densities from the high-resolution spectra.
But a systematic difference and scatter are also seen in the figure.
These are mainly caused by the difference between the observed and
assumed ice profiles. The presence of weak emission or absorption
features may also be responsible for these differences. We obtained the
following equations from a straight-line fit to the data points in
Fig. A.2.
![]() |
(A.1) |
and
![]() |
(A.2) |
where



References
- Aguirre, J. E., Bezaire, J. J., Cheng, E. S., et al. 2003, ApJ, 596, 273 [NASA ADS] [CrossRef] [Google Scholar]
- Alves, D. R. 2004, New Astron. Rev., 48, 659 [NASA ADS] [CrossRef] [Google Scholar]
- Bernstein, M. P., Sandford, S. A., & Allamandola, L. J. 2000, ApJ, 542, 894 [NASA ADS] [CrossRef] [Google Scholar]
- Boogert, A. C. A., & Ehrenfreund, P. 2004, in Astrophysics of Dust, ed. A. N. Witt, G. C. Clayton, & B. T. Draine, ASP Conf. Ser., 309, 547 [Google Scholar]
- Boogert, A. C. A., Ehrenfreund, P., Gerakines, P. A., et al. 2000, A&A, 353, 349 [NASA ADS] [Google Scholar]
- Boogert, A. C. A., Pontoppidan, K. M., Knez, C., et al. 2008, ApJ, 678, 985 [NASA ADS] [CrossRef] [Google Scholar]
- Chiar, J. E., Gerakines, P. A., Whittet, D. C. B., et al. 1998, ApJ, 498, 716 [NASA ADS] [CrossRef] [PubMed] [Google Scholar]
- Dartois, E., Schutte, W., Geballe, T. R., et al. 1999, A&A, 342, L32 [NASA ADS] [Google Scholar]
- D'Hendecourt, L. B., & Allamandola, L. J. 1986, A&AS, 64, 453 [NASA ADS] [Google Scholar]
- Ehrenfreund, P., & Schutte, W. A. 2000, Adv. Space Res., 25, 2177 [NASA ADS] [CrossRef] [Google Scholar]
- Ehrenfreund, P., Boogert, A. C. A., Gerakines, P. A., et al. 1996, A&A, 315, L341 [NASA ADS] [Google Scholar]
- Gerakines, P. A., Schutte, W. A., Greenberg, J. M., & van Dishoeck, E. F. 1995, A&A, 296, 810 [NASA ADS] [Google Scholar]
- Gerakines, P. A., Schutte, W. A., & Ehrenfreund, P. 1996, A&A, 312, 289 [NASA ADS] [Google Scholar]
- Gerakines, P. A., Whittet, D. C. B., Ehrenfreund, P., et al. 1999, ApJ, 522, 357 [NASA ADS] [CrossRef] [Google Scholar]
- Gibb, E. L., Whittet, D. C. B., Schutte, W. A., et al. 2000, ApJ, 536, 347 [NASA ADS] [CrossRef] [Google Scholar]
- Gibb, E. L., Whittet, D. C. B., Boogert, A. C. A., & Tielens, A. G. G. M. 2004, ApJS, 151, 35 [NASA ADS] [CrossRef] [PubMed] [Google Scholar]
- Gruendl, R. A., & Chu, Y. 2009, ApJS, 184, 172 [Google Scholar]
- Houck, J. R., Roellig, T. L., van Cleve, J., et al. 2004, ApJS, 154, 18 [NASA ADS] [CrossRef] [Google Scholar]
- Israel, F. P., de Graauw, T., van de Stadt, H., & de Vries, C. P. 1986, ApJ, 303, 186 [NASA ADS] [CrossRef] [Google Scholar]
- Ita, Y., Onaka, T., Kato, D., et al. 2008, PASJ, 60, 435 [Google Scholar]
- Kato, D., Nagashima, C., Nagayama, T., et al. 2007, PASJ, 59, 615 [NASA ADS] [Google Scholar]
- Lee, D., Pak, S., Dixon, W. V. D., & van Dishoeck, E. F. 2007, ApJ, 655, 940 [NASA ADS] [CrossRef] [Google Scholar]
- Luck, R. E., Moffett, T. J., Barnes, III, T. G., & Gieren, W. P. 1998, AJ, 115, 605 [NASA ADS] [CrossRef] [Google Scholar]
- Meixner, M., Gordon, K. D., Indebetouw, R., et al. 2006, AJ, 132, 2268 [NASA ADS] [CrossRef] [Google Scholar]
- Millar, T. J., Bennett, A., Rawlings, J. M. C., Brown, P. D., & Charnley, S. B. 1991, A&AS, 87, 585 [NASA ADS] [Google Scholar]
- Murakami, H., Baba, H., Barthel, P., et al. 2007, PASJ, 59, 369 [Google Scholar]
- Nummelin, A., Whittet, D. C. B., Gibb, E. L., Gerakines, P. A., & Chiar, J. E. 2001, ApJ, 558, 185 [NASA ADS] [CrossRef] [Google Scholar]
- Öberg, K. I., Fraser, H. J., Boogert, A. C. A., et al. 2007, A&A, 462, 1187 [NASA ADS] [CrossRef] [EDP Sciences] [Google Scholar]
- Ohyama, Y., Onaka, T., Matsuhara, H., et al. 2007, PASJ, 59, 411 [NASA ADS] [Google Scholar]
- Oliveira, J. M., van Loon, J. T., Chen, C., et al. 2009, ApJ, 707, 1269 [NASA ADS] [CrossRef] [Google Scholar]
- Onaka, T., Matsuhara, H., Wada, T., et al. 2007, PASJ, 59, 401 [NASA ADS] [Google Scholar]
- Pendleton, Y. J., Tielens, A. G. G. M., Tokunaga, A. T., & Bernstein, M. P. 1999, ApJ, 513, 294 [NASA ADS] [CrossRef] [PubMed] [Google Scholar]
- Pontoppidan, K. M., Fraser, H. J., Dartois, E., et al. 2003, A&A, 408, 981 [NASA ADS] [CrossRef] [EDP Sciences] [Google Scholar]
- Pontoppidan, K. M., Boogert, A. C. A., Fraser, H. J., et al. 2008, ApJ, 678, 1005 [NASA ADS] [CrossRef] [Google Scholar]
- Robitaille, T. P., Whitney, B. A., Indebetouw, R., & Wood, K. 2007, ApJS, 169, 328 [NASA ADS] [CrossRef] [Google Scholar]
- Ruffle, D. P., & Herbst, E. 2001, MNRAS, 324, 1054 [NASA ADS] [CrossRef] [Google Scholar]
- Sakon, I., Onaka, T., Kaneda, H., et al. 2006, ApJ, 651, 174 [NASA ADS] [CrossRef] [Google Scholar]
- Schutte, W. A., & Greenberg, J. M. 1997, A&A, 317, L43 [NASA ADS] [Google Scholar]
- Seale, J. P., Looney, L. W., Chu, Y., et al. 2009, ApJ, 699, 150 [NASA ADS] [CrossRef] [Google Scholar]
- Shimonishi, T., Onaka, T., Kato, D., et al. 2008, ApJ, 686, L99 [NASA ADS] [CrossRef] [Google Scholar]
- Shore, S. N. 2002, The Tapestry of Modern Astrophysics, ed. S. N. Shore, 201, 478 [Google Scholar]
- Sloan, G. C., Kraemer, K. E., Price, S. D., & Shipman, R. F. 2003, ApJS, 147, 379 [NASA ADS] [CrossRef] [Google Scholar]
- Spoon, H. W. W., Moorwood, A. F. M., Pontoppidan, K. M., et al. 2003, A&A, 402, 499 [NASA ADS] [CrossRef] [EDP Sciences] [Google Scholar]
- Thi, W., van Dishoeck, E. F., Dartois, E., et al. 2006, A&A, 449, 251 [NASA ADS] [CrossRef] [EDP Sciences] [Google Scholar]
- Tielens, A. G. G. M. 2005, The Physics and Chemistry of the Interstellar Medium [Google Scholar]
- van den Ancker, M. E., Tielens, A. G. G. M., & Wesselius, P. R. 2000, A&A, 358, 1035 [NASA ADS] [Google Scholar]
- van der Marel, R. P. & Cioni, M. 2001, AJ, 122, 1807 [NASA ADS] [CrossRef] [Google Scholar]
- van Dishoeck, E. F., & Blake, G. A. 1998, ARA&A, 36, 317 [NASA ADS] [CrossRef] [Google Scholar]
- van Loon, J. T., Oliveira, J. M., Wood, P. R., et al. 2005, MNRAS, 364, L71 [NASA ADS] [CrossRef] [Google Scholar]
- van Loon, J. T., Oliveira, J. M., Gordon, K. D., et al. 2010a, AJ, 139, 68 [NASA ADS] [CrossRef] [Google Scholar]
- van Loon, J. T., Oliveira, J. M., Gordon, K. D., Sloan, G. C., & Engelbracht, C. W. 2010b, AJ, 139, 1553 [NASA ADS] [CrossRef] [Google Scholar]
- Watanabe, N., Mouri, O., Nagaoka, A., et al. 2007, ApJ, 668, 1001 [NASA ADS] [CrossRef] [Google Scholar]
- Werner, M. W., Roellig, T. L., Low, F. J., et al. 2004, ApJS, 154, 1 [Google Scholar]
- Whitney, B. A., Sewilo, M., Indebetouw, R., et al. 2008, AJ, 136, 18 [NASA ADS] [CrossRef] [Google Scholar]
- Whittet, D. C. B., Gerakines, P. A., Tielens, A. G. G. M., et al. 1998, ApJ, 498, L159 [NASA ADS] [CrossRef] [Google Scholar]
- Whittet, D. C. B., Shenoy, S. S., Bergin, E. A., et al. 2007, ApJ, 655, 332 [NASA ADS] [CrossRef] [Google Scholar]
- Zaritsky, D., Harris, J., Thompson, I. B., & Grebel, E. K. 2004, AJ, 128, 1606 [NASA ADS] [CrossRef] [Google Scholar]
- Zasowski, G., Kemper, F., Watson, D. M., et al. 2009, ApJ, 694, 459 [NASA ADS] [CrossRef] [Google Scholar]
Footnotes
- ... Fitter
- The Online SED Fitter is available at http://caravan.astro.wisc.edu/protostars/sedfitter.php
- ... database
- Data available at http://www.strw.leidenuniv.nl/lab
- ... abundance
- The ``abundance'' of a given ice is generally defined as the ratio of the column density relative to the H2O ice since it is the most abundant ice species.
- ... YSOs
- Data taken from http://isc.astro.cornell.edu/sloan/library/swsatlas/atlas.html
All Tables
Table 1: Targets of the present observations.
Table 2: Details of detected ice features.
Table 3: Detection of ice features in our YSO spectra.
Table 4: Column density of ices and properties of YSOs.
Table A.1: Ice profiles used for calculating the curve-of-growth.
All Figures
![]() |
Figure 1:
AKARI IRC NG 2.5-5 |
Open with DEXTER | |
In the text |
![]() |
Figure 2:
Observed spectra of sample YSOs after the continuumd subtraction.
A vertical axis represents the optical depth. The positions of the detected features are labeled.
( Left) 2.6-3.8 |
Open with DEXTER | |
In the text |
![]() |
Figure 2: continued. |
Open with DEXTER | |
In the text |
![]() |
Figure 2: continued. |
Open with DEXTER | |
In the text |
![]() |
Figure 3:
CO2 ice vs. H2O ice column density in units of 1017 cm-2.
Open squares with error bars represent the results of this study.
Filled squares represent those of Galactic massive YSOs (Gerakines et al. 1999; Gibb et al. 2004). An average CO2/H2O ice ratio of our samples (0.36) is plotted as a solid line. Dotted and dashed lines represent CO2/H2O ratio |
Open with DEXTER | |
In the text |
![]() |
Figure 4:
The equivalent width of the hydrogen recombination line (Br |
Open with DEXTER | |
In the text |
![]() |
Figure A.1: Calculated curve-of-growth for the CO2 ice (left) and the CO ice (right). These plots are used to convert measured equivalent widths to column densities. The uncertainties of derived column densities increased for deeper absorptions. |
Open with DEXTER | |
In the text |
![]() |
Figure A.2: Comparison of the CO2 and CO ice column densities derived from the low-resolution spectra by the curve-of-growth and those derived from the high-resolution ISO-SWS spectra by the laboratory ice fitting (Gerakines et al. 1995; Gibb et al. 2004). The axes are expressed in units of 1017 cm-2. Solid and dashed lines indicate the result of the linear fit and its one sigma error. The labeled numbers in the figure correspond to the name of the objects that are used in this analysis as follows; 1. Mon R2 IRS3, 2. Orion IRC2, 3. S140, 4. Elias 29, 5. AFGL 2136, 6. W33A, 7. NGC 7538 IRS9. |
Open with DEXTER | |
In the text |
Copyright ESO 2010
Current usage metrics show cumulative count of Article Views (full-text article views including HTML views, PDF and ePub downloads, according to the available data) and Abstracts Views on Vision4Press platform.
Data correspond to usage on the plateform after 2015. The current usage metrics is available 48-96 hours after online publication and is updated daily on week days.
Initial download of the metrics may take a while.