Issue |
A&A
Volume 514, May 2010
|
|
---|---|---|
Article Number | A94 | |
Number of page(s) | 13 | |
Section | Stellar atmospheres | |
DOI | https://doi.org/10.1051/0004-6361/201014012 | |
Published online | 27 May 2010 |
Multiwavelength observations of a giant
flare on CN Leonis![[*]](/icons/foot_motif.png)
III. Temporal evolution of coronal properties
C. Liefke1,2 - B. Fuhrmeister1 - J. H. M. M. Schmitt1
1 - Hamburger Sternwarte, Universät Hamburg, Gojenbergsweg 112, 21029
Hamburg, Germany
2 - Zentrum für Astronomie, Mönchhofstraße 12-14, 69120 Heidelberg,
Germany
Received 7 January 2010 / Accepted 18 March 2010
Abstract
Context. Stellar flares affect all atmospheric
layers from the photosphere over chromosphere and transition region up
into the corona. Simultaneous observations in different spectral bands
allow to obtain a comprehensive picture of the environmental conditions
and the physical processes going on during different phases of the
flare.
Aims. We investigate the properties of the coronal
plasma during a giant flare on the active M dwarf CN Leo
observed simultaneously with the UVES spectrograph at the VLT and XMM-Newton.
Methods. From the X-ray data, we analyze the
temporal evolution of the coronal temperature and emission measure, and
investigate variations in electron density and coronal abundances
during the flare. Optical Fe ,,xiii line emission traces the cooler
quiescent corona.
Results. Although of rather short duration
(exponential decay time min),
the X-ray flux at flare peak exceeds the quiescent level by a factor of
100. The
electron density averaged over the whole flare is greater than
cm-3.
The flare plasma shows an enhancement of iron by a factor of
2 during the
rise and peak phase of the flare. We derive a size of
<9000 km for the flaring structure from the evolution
of the the emitting plasma during flare rise, peak, and decay.
Conclusions. The characteristics of the flare plasma
suggest that the flare originates from a compact arcade instead of a
single loop. The combined results from X-ray and optical data further
confine the plasma properties and the geometry of the flaring structure
in different atmospheric layers.
Key words: stars: abundances - stars: activity - stars: coronae - stars: flare - stars: individual: CN Leonis - X-rays: stars
1 Introduction
Flares are among the most prominent signs of stellar activity. They can be observed over the entire electromagnetic spectrum from X-ray to radio wavelengths, demonstrating that all layers of the stellar atmosphere are affected, with a wide range of plasma temperatures and densities involved. A flare is a highly dynamic event, revealing the complex behavior of the stellar atmosphere with rapidly changing physical conditions, i.e. its interplay with varying magnetic fields in time and its response to the sudden release of large amounts of energy. In the commonly accepted picture of a stellar flare (Priest & Forbes 2002; Haisch et al. 1991), a magnetic reconnection event in the corona drives the acceleration of particles that radiate in nonthermal hard X-rays and radio gyrosynchrotron emission as they spiral down along the magnetic field lines. Lower atmospheric layers are strongly heated by the impact of these particles and immediately start cooling by radiation in the optical and UV continuum as well as in chromospheric and transition region emission lines. Chromospheric evaporation then brings ``fresh material'', emitting soft thermal X-ray emission, into the corona. The strong X-ray and UV radiation field finally induces further chromospheric emission (Hawley & Fisher 1992).Flares on the Sun and on stars show a wide variety of amplitudes, from the smallest micro/nanoflares to giant flares with luminosity increases by orders of magnitude, and timescales ranging from a few seconds up to several days. Depending on energy budget, decay time and shape of the lightcurve, impulsive and gradual flares can be discerned. On the Sun, the former have been associated with compact emission regions, i.e., single loops, while the latter typically involve a series of eruptions in a whole arcade of loops (so-called two-ribbon flares, see Pallavicini et al. 1977). For stellar flares, the loop geometry can usually not be observed directly, but scaling laws based on the hydrostatic case, relating the loop temperature and pressure with the size of the loop, as derived and tested for the quiet Sun (Rosner et al. 1978) can be adapted to stellar flares to give an estimate of the dimensions of the involved coronal structures (Aschwanden et al. 2008). Additionally, hydrodynamic loop modeling approaches allow to assess the loop length from the analysis of the decay of the flare in X-rays and to estimate the amount of additional heating (Reale et al. 1997; Serio et al. 1991). This approach has recently been extended to an analysis of the rise phase of the flare (Reale 2007). Individual flare events can thus be characterized with respect to to the physical properties of the flaring structure from observational quantities also available for stellar events. The greater the spectral coverage and the better the spectral and temporal resolution, the more information can be gained and the better are the constraints on the physical properties of the flare plasma and the geometry of the flaring active region. Simultaneous observations in multiwavelength bands allow to study the flare throughout all atmospheric layers from the photosphere into the corona.
Strong flares dominate the overall flux level in all wavelength bands; the X-ray luminosity can increase by more than two orders of magnitude during the strongest events (e.g. Favata et al. 2000; Favata & Schmitt 1999; Schmitt & Favata 1999), which allows the strongest events even on relatively faint targets to be investigated in great detail. For outstanding flares like the long-lasting giant flare observed on Proxima Cen with XMM-Newton, the temporal evolution of plasma temperatures, densities and abundances during different flare phases could be observed directly (Güdel et al. 2002,2004); detailed and specific hydrodynamic loop modeling revealed a complex flare geometry with two loop populations and differing heating mechanisms (Reale et al. 2004).
Even for much smaller flares, low- and intermediate-resolution X-ray spectroscopy makes it possible to follow the evolution of plasma temperature and emission measure during flare rise and decay. The temperature of the flare plasma is typically observed to peak before the maximum emission measure is reached, verifying the overall framework of initial heating, evaporation, and conductive and radiative cooling as predicted by hydrodynamic loop models (e.g. Reale 2007). High-resolution spectroscopy is needed to directly measure coronal densities during flares and thus to obtain the weights of changes in plasma density or volume. In general, coronal densities deduced from the ratio of the forbidden and intercombination lines in He-like triplets, especially from O VII and Ne IX at formation temperatures of 2 MK and 3.5 MK, respectively, during smaller flares are consistent with the quiescent value within the errors but tend to be higher (see e.g. Mitra-Kraev & Ness 2006); unambiguously increased coronal densities have so far only been measured during the giant flare on Proxima Centauri (Güdel et al. 2002).
Another aspect of the evaporation scenario is the observation of abundance changes during flares, leading directly to the question to what extent flares influence the overall coronal abundance pattern. Nordon & Behar (2008,2007) systematically analyzed abundance trends in a sample of flares observed with Chandra and XMM-Newton and found that the most active stars with a pronounced inverse FIP effect during quiescence compared to solar photospheric values showing a shift to a FIP effect compared to the corresponding quiescent values, and vice versa for the less active stars showing the solar-like FIP effect during quiescence. This confirms the existence of the inverse FIP effect and of strong discontinuities in the abundance patterns of corona and chromosphere/photosphere also for stars where photospheric abundances are difficult to measure, however, the question what causes this bias is left unanswered .
We present the observation of a giant flare on the active M dwarf CN Leo with XMM-Newton and the UVES spectrograph at the VLT. An extremely short impulsive outburst at the beginning of the flare has already been discussed by Schmitt et al. (2008). This paper is the concluding third paper of a series analyzing the whole flare event in greater detail. Paper I (Fuhrmeister et al. 2008) reports the observational results on the chromospheric emission as diagnosed by the UVES spectra, while Paper II (Fuhrmeister et al. 2010) describe model chromospheres and synthetic spectra obtained with the atmospheric code PHOENIX. Here we focus on the temporal evolution of the coronal plasma temperature, emission measure and abundances determined by the X-ray data and their implications on the geometry of the flaring structure, on the physical conditions dominating the flare environment, and on the abundance patterns predominating in different atmospheric layers.
2 The active M dwarf CN Leo
CN Leo (GJ 406, Wolf 359) is, after the








Nevertheless, CN Leo is well-known to show several
signs of activity. Lacy
et al. (1976) and Gershberg
& Shakhovskaia (1983) found high optical flare rates,
however, at the lowest flare energies in their samples of
UV Ceti stars. Robinson
et al. (1995) analyzed UV flare events on
CN Leo down to the microflare scale observed with the High
Speed Photometer onboard HST.
From 6 cm and 20 cm VLA observations, O'Dea & McKinnon (1987)
could only specify a
upper limit on its radio flux, thus CN Leo is underluminous in
this wavelength regime compared to other active M dwarfs. Güdel et al. (1993)
were able to detect CN Leo in the 3.5 cm and
6 cm bands during a flare in a simultaneous observing campaign
with the VLA at radio wavelengths and with the ROSAT
PSPC in X-rays. During quiescence, however, again only upper limits
were found at radio wavelengths. Reale
& Micela (1998) discussed the X-ray data of the flare
and derived a loop half-length of
cm
from the analysis of the flare decay. The first X-ray detections of
CN Leo have already been reported from Einstein
data (Golub
1983; Vaiana
et al. 1981), and even during quiescence, it is a
relatively strong X-ray source with
and 27.01 in the ROSAT All-Sky survey and a
second pointed PSPC observation, respectively (Schmitt
& Liefke 2004). CN Leo is the only star
where persistent but variable optical coronal Fe XIII
emission has been confirmed (Fuhrmeister et al. 2004;
Schmitt
& Wichmann 2001). Fe XIII
is an indicator for cool coronal plasma (
1.5 MK),
while typical coronal emission measure distributions of earlier
M dwarfs peak around 7-8 MK (e.g. Robrade & Schmitt 2005),
i.e., temperatures where the ionization equilibrium is shifted towards
Fe XVII. Fuhrmeister
et al. (2007) found significant amounts of cooler
plasma in the corona of CN Leo from X-ray spectra obtained
with XMM-Newton, consistent with the Fe XIII
line fluxes from simultaneous optical spectroscopy.
In addition to its high X-ray luminosity, CN Leo shows strong H
emission (
or -3.39: Reiners
& Basri 2007; Mohanty & Basri 2003)
and a multitude of other chromospheric emission lines (Fuhrmeister et al. 2004).
Reiners & Basri
(2007) measured an integrated magnetic surface flux of
2.4 kG, that varies by
100 G on timescales
ranging from hours to days (Reiners
et al. 2007).
3 Observations and data analysis
The giant flare on CN Leo discussed in this series of papers has been observed during a multiwavelength campaign on this star in X-rays and in the optical. This campaign consisted of six half nights of optical high-resolution spectroscopy monitoring with UVES at the VLT, and simultaneous XMM-Newton observations. The first three observations have been performed on 19/20 May 2004, and 12 and 13 December 2005; they are discussed in detail by Fuhrmeister et al. (2007). The last set of observations has been performed on 19/20, 21/22, and 23/24 May 2006; here we focus on the giant flare that occurred in the first of these three nights.XMM-Newton consists of three co-aligned
X-ray telescopes, accompanied by the Optical Monitor OM, an optical/UV
telescope that can be used with different filters in imaging or fast
readout mode. The OM data of the flare, obtained in fast mode with the
U band filter, has already been discussed by Fuhrmeister et al. (2008)
in conjunction with the behavior of the optical chromospheric emission
lines.
XMM's X-ray telescopes are equipped with EPIC
(European Photon Imaging Camera) detectors, X-ray CCDs providing
medium-resolution imaging spectroscopy with -50
and timing analysis with a time resolution at the subsecond level.
There are two identical EPIC MOS detectors (MOS 1 and
MOS 2), operating in the energy range of
0.2-12.0 keV, and one EPIC PN detector, which covers the
energy range of 0.2-15.0 keV. The PN has a higher sensitivity,
while the MOS detectors provide better angular and spectral resolution;
several filters and operating modes are available for these
instruments. The two X-ray telescopes with the MOS detectors are
additionally equipped with reflective gratings and their corresponding
CCD detectors. The Reflection Grating Spectrometers (RGS1 and RGS2)
provide high-resolution spectroscopy in the energy range of
0.35-2.5 keV (5-38 Å) with
ranging between 200 and 800 and a spectral resolution of
0.06 Å
FWHM which allows to resolve individual emission
lines. All instruments are usually operated simultaneously
.
In the XMM-Newton observation of 19/20 May 2006 (ObsID 0200530501), the EPIC detectors were operated in Full Frame (MOS) and Large Window mode (PN) with the medium filter. All X-ray data were reduced with the XMM-Newton Science Analysis System (SAS) software, version 7.0. Spectral analysis of the EPIC data was carried out with XSPEC V12.3 (Dorman & Arnaud 2001), making use of multi-temperature component models with coupled abundances for each component. The plasma models assume a collisionally-ionized, low-density optically-thin plasma as calculated with the APEC code (Smith et al. 2001b,a). Abundances are calculated relative to solar photospheric values from Anders & Grevesse (1989). Individual line fluxes in the RGS spectra have been measured with the CORA program (Ness & Wichmann 2002) using Lorentzian line profiles with a fixed line width of 0.06 Å.
UVES (Ultra-violet and Visible Echelle Spectrograph) is one of
the high-dispersion spectrographs of the VLT, operating from 3000 to
11 000 Å with a maximum spectral resolution of
110 000.
It was used in a non-standard setup using dichroic beam splitter
No. 2 (DIC2), with spectral coverage from 3050 Å to
3860 Å in the blue arm and from 6400 Å to
8190 Å and 8400 Å to 10 080 Å in
the red arm at a spectral resolution of
40 000. Exposure
times were 1000 s in the blue arm and 200 s
in the red arm. Here we discuss only the temporal behavior of the
optical coronal Fe XIII line at
3388 Å during the flare, which is covered by the blue arm
spectra. The UVES spectra were reduced using the IDL-based REDUCE
package (Piskunov & Valenti 2002).
The wavelength calibration was carried out using Thorium-Argon spectra
and resulted in an accuracy of
0.03 Å in
the blue arm and
0.05 Å
in the red arm. Absolute flux calibration was carried out using the
UVES master response curves and extinction files provided by ESO. The
flux in the Fe XIII line has been measured
with CORA.
4 The flare
4.1 Timing analysis
The XMM-Newton observation of CN Leo
from 19/20 May 2006 covers the giant flare discussed here, and two
additional larger flares. The quasi-quiescent X-ray emission
surrounding the three flares sums up to 20 ks, while the giant
flare lasted 1.4 ks.
The countrate increased from quiescent values of
0.7 cts/s in the PN
and
0.14 cts/s
in the two MOS detectors to
65 cts/s and
14 cts/s,
respectively, at the flare peak. Due to the long frame times of the
EPIC imaging modes used, not only the spectral response but also the
shape of the lightcurve is heavily affected by pileup. From the ratio
of countrates during flare and quiescence from circular and annular
shaped extraction regions (the latter excluding the innermost part of
the point spread function PSF), we determined that the amount of pileup
reached values up to 30% for the PN at the time of maximum
countrate. The effect on the two MOS detectors is even stronger.
Figure 1
shows the EPIC PN lightcurve extracted from an annular
extraction region with the innermost 150 pixels (corresponding
to the innermost 7.5'' of the PSF) excluded. The lightcurve
has been scaled by the ratio of the quiescent countrates in circular
and annular extraction regions in order to visualize the true
countrates.
![]() |
Figure 1: EPIC PN lightcurve of large flare, corrected for pileup as described in the text. Time bin sizes are chosen to contain 100 counts per bin before scaling the annular region to the total level. Time intervals used for spectroscopic analysis are marked. |
Open with DEXTER |
The initial rise of the few-second outburst at the beginning of the
flare at 23:46:40 UT discussed by Schmitt
et al. (2008) was very steep, after its short decay,
the main flare continued to rise less steeply. However, still within
less than two minutes, the maximum countrate was reached. Even with the
effects of pileup eliminated, the flare peak is flattened, resulting in
a kind of plateau of about 3 min duration. The subsequent
decay phase can be fitted with an exponential decay time
of
s,
however, it shows slight deviations from an exponential shape.
Especially, during the first two minutes after the plateau phase, the
decay seems to have been faster, and an additional bump peaked at
0:00 UT. Less than 25 min after the initial outburst,
CN Leo has returned to the quiescent level before the flare
event. Stellar X-ray flares of that amplitude typically last much
longer, i.e. from several hours up to days (see e.g. Favata
et al. 2000; Kürster & Schmitt 1996;
Schmitt
& Favata 1999; Güdel et al. 2004).
Integrating the total energy flux in the 0.2-10.0 keV band,
yields a radiative loss in the X-ray regime of
erg,
which can be considered to represent the major contribution of the
total radiative loss. Though very energetic, the short dynamical time
scales already suggest a very compact structure. The large flare is
followed by a much smaller one at 0:10 UT (X-ray amplitude
2, duration
3 min),
that is also visible in the optical (see Fig. 1 in
Paper I).
![]() |
Figure 2: Temporal evolution of the hardness ratio. Time bin sizes are chosen to contain 400 counts per bin in the total = H+S band. |
Open with DEXTER |
In Fig. 2
we show the temporal evolution of the spectral hardness during the
flare. We define the hardness ratio HR as ,
with the hard and soft bands ranging from 1.0-15.0 keV and
0.15-1.0 keV, respectively. To avoid pileup effects, the
annular extraction region has been used for both spectral bands. The
shape of the HR lightcurve is fairly different from the normal
lightcurve. Before the flare, the hardness ratio is
,
well consistent with what Fuhrmeister
et al. (2007) found for the low-activity state of
CN Leo on 19 May 2004. With the flare rise, the hardness ratio
steeply increases, peaking at a value of
about one minute before the plateau phase of the lightcurve is reached.
At the maximum of the HR lightcurve, the contribution from
X-ray photons above the dividing line of 1 keV therefore
almost equalled the amount of photons below, while during quiescence,
the spectral energy distribution is by far dominated by lower energies.
Güdel et al.
(2004) found a very similar behavior for the large flare on
Proxima Cen. The decay of the hardness ratio is interrupted by
a new rise, peaking at 23:56 UT, approximately the time when
the small bump in the lightcurve starts to emerge.
4.2 Plasma temperature and emission measure
![]() |
Figure 3: EPIC PN spectra of the quiescent state before the flare (black), of the rise phase (red, time intervals 1 and 2), of the flare peak (green, time intervals 3 and 4), and of the decay phase (blue, time intervals 5 to 11). |
Open with DEXTER |
The striking changes of the spectral energy distribution are clearly visible in the X-ray spectra. Figure 3 compares the EPIC PN spectra of the quiescent state before the flare, of the flare rise, plateau phase and decay. The quiescent spectrum is very soft, even somewhat softer than the spectrum from 19 May 2004. Fuhrmeister et al. (2007) found CN Leo to show three different quasi-quiescent X-ray flux levels in May 2004 and on 11 and 13 December 2006, and assumed that the two enhanced states in December 2006 reflect the decay phases of one or two long-duration flares. Our new observations now confirm the low-level quiescent state, which is also consistent with the previous ROSAT and Einstein data.
We fitted the quiescent spectra before and after the flare with two-temperature component APEC models. While the temperatures and emission measures proved to be stable, rather large uncertainties for the individual elemental abundances occurred with the abundances treated as free parameters. We therefore chose to adopt the values of Fuhrmeister et al. (2007), i.e. C/H = 1.49, N/H = 1.28, O/H = 0.62, Ne/H = 1.20, Mg/H = 0.85, Si/H = 0.78, S/H = 1.41, and Fe/H = 0.59 relative to the solar photospheric values of Anders & Grevesse (1989). The properties of the two quiescent spectra are very similar, however, for the second quiescent phase the fit quality can be improved with a three-temperature component model. In Table 1 we summarize the properties of the two spectra and their associated fit parameters.
Table 1: Fit parameters to the quiescent spectra before and after the flare.
Schmitt et al. (2008) already showed that the flare plasma of the initial short-duration outburst is thermal and consistent with that of the following rise phase of the main flare. The large increase in temperature and emission measure during the flare rise compared to the quiescent state is obvious from Fig. 3; the iron K complex clearly emerges. Enhanced line emission between 0.6 and 1.1 keV sets in, when the plateau phase of the flare peak is reached, while during the decay both emission measure and temperatures slowly decrease.
![]() |
Figure 4: Temporal evolution of flare temperature ( left) and total emission measure ( right) of the flare plasma obtained from a two-temperature component fit with variable Fe abundance. |
Open with DEXTER |
Table 2: Model parameters for the flare spectra with variable Fe abundance.
We divided the flare into eleven time intervals, the first six lasting 60 s, followed by two intervals of 120 s, and three intervals of 180 s, 240 s, and 300 s each. The first two intervals cover the flare rise, the next two the flattened peak, and the following seven intervals the different phases of the decay until the small flare at 0:10 UT sets in. We created spectra for each time interval and fitted them with various combinations of APEC models, using different numbers of temperature components and sets of variable elemental abundances as described in the following. Our models always include the quiescent emission, i.e. the parameters of the first two temperature components are fixed to the plasma properties of the quiescent spectrum before the flare as listed in Table 1. With this approach, we account for the contribution of the quiescent corona to the overall X-ray emission and neglect only the quiescent emission of the active region (flaring loop or arcade), where the flare takes place. This affects primarily the analysis of the last phases of the decay where the plasma properties have almost returned to the quiescent state, while the contribution of the quiescent emission is negligible from the flare rise to the middle of the decay.
The eleven flare spectra have then been fitted with one, two,
and three additional temperature components. The last spectrum however
contains very few counts, considering the resulting few degrees of
freedom, only a one-temperature component fit is appropriate. In order
to compare the plasma properties of the different sets of models with n
additional temperature components, we make use of the total the
emission measure EM, i.e. the sum of the emission
measures of each temperature component i
![]() |
(1) |
and the flare temperature T,
![]() |
(2) |
defined as an emission measure weighted sum of the temperatures from each flare component.
In a first approach, we fixed the elemental abundances for the
flare plasma at the values listed above. One additional temperature
component turns out to fit the last two spectra at the end of the decay
well, while rather large residuals remain until the middle of the
decay. However, already two temperature components give a reasonable
fit for these phases of the flare. Even for the well-exposed rise and
peak spectra, the addition of a third component does not provide an
improvement in terms of ,
and models with two and three temperature components provide consistent
flare temperatures and total emission measures.
The flare temperature peaks sharply at 35 MK in the second
spectrum, and immediately starts to decay. For the first six spectra,
the flare-temperature lightcurve resembles the hardness-ratio
lightcurve very well, which reflects the high-temperature continuum
enhancement at higher energies. In the later phases of the flare, line
emission becomes more important, disturbing the direct relationship
between hardness ratio and temperature. The total emission measure
shows the flat top already known from the lightcurve, and also the bump
at 0:00 UT. Compared to the flare temperature, the decay is
delayed by about two minutes.
When using two additional temperature components to fit the flare plasma, T3 varies between 6 and 11 MK, while the hotter component T4 covers a temperature range between 15 and 45 MK, with both temperature components decreasing starting with the second time interval. The ratio of the two corresponding emission measures EM3/EM4, however, continuously increases until and including the seventh time interval; the growing fraction of lower-temperature plasma shows the cooling of the flaring material. The smaller secondary peak in the hardness ratio lightcurve covered by the eighth spectrum makes EM3/EM4 temporarily decrease again.
4.3 Abundance variations
Even with two and three additional temperature components, residuals
remain between 0.8-1.1 keV and and also at 2 keV,
where many emission lines are located. This can be confirmed from the
RGS spectra: Separating the RGS data into flare and quiescence, not
only the continuum enhancement but also the flux increase in many
emission lines in the wavelength range of 10-17 Å becomes
clearly visible. Since many of the lines located at these wavelengths
originate from highly-ionized iron, this may however also be a
temperature effect. In order to improve the fit and to disentangle
temperature and abundance variations, we introduced single elemental
abundances as additional free parameters to the sequence of fits.
Particularly, we tested iron, neon, silicon and oxygen.
With the iron abundance as a free parameter, the maximum flare temperature is reduced to 32 MK; a strong enhancement in iron during the flare compensates part of the flux of the iron K complex, which serves as a major temperature indicator. The total emission measure only slightly decreases. However, the general behavior of the one-, two-, and three-temperature component fits remains unchanged, so the shape of both the flare temperature and the total emission measure lightcurves is preserved, as shown in Fig. 4. With the iron abundance as a free parameter, the fit quality clearly improves. Table 2 lists the fit parameters for the optimum combination of two flare components for the first ten spectra and one component for the last spectrum.
Figure 5
shows the corresponding time series of the iron abundance relative to Anders & Grevesse (1989)
with the
confidence range of the quiescent abundance found by Fuhrmeister et al. (2007)
marked as a shaded area. The Fe abundance increases from a clearly
subsolar level of
during quiescence by more than a factor of two to a maximum value of
,
when the flare peak is reached. It then decays even faster than the
flare temperature; consistency with the quiescent value is reached
again with the 6th spectrum. A re-increase at 23:55 UT in the
eighth spectrum may not be significant, however, it coincides with the
second rise of the hardness ratio lightcurve. By the end of the decay,
the iron abundance has eventually dropped to the quiescent value again.
A very similar behavior has been found by Favata
& Schmitt (1999) for the overall metallicity during a
long-duration giant flare on Algol observed with BeppoSAX.
![]() |
Figure 5:
Temporal evolution of the iron abundance (relative to Anders & Grevesse 1989).
The quiescent value of |
Open with DEXTER |




Iron therefore seems to be the only element, where a clear variation of the elemental abundance during the flare and compared to the quiescent state can be observed. In the common picture of stellar flares, the evidence of changes in the iron abundance indicates that the flare plasma, i.e. fresh material evaporated from photosphere and chromosphere, shows a different composition with a higher iron abundance compared to the ordinary coronal plasma. Since CN Leo's quiescent corona shows the inverse FIP effect (Fuhrmeister et al. 2007), this confirms the finding of Nordon & Behar (2008) that IFIP-biased coronae tend to show a FIP bias during flares compared to their quiescent state. However, the Fe abundance seems to decrease much faster than temperature and emission measure of the flare plasma, and the iron abundance has returned to values consistent with the quiescent level when the X-ray emission of CN Leo is still by far dominated by the flare. The time-resolved evolution of the iron abundance in the flare plasma suggests either the existence of some kind of iron-depleting mechanism in the flare plasma, which would be rather difficult to explain, or the possibility that different parts of the lower atmosphere with different abundance levels were affected during the early and later stages of the evaporation process.
Finally we would like to address the possibility that
systematic errors in our fit models actually mimic an enhanced iron
abundance. At the very hot plasma temperatures as encountered during a
flare, the iron abundance fit is affected by the flux of iron lines
from lower ionization stages around 0.8-1.2 keV and - more
importantly - by the flux of the emission complex at 6.7 keV,
mainly originating from iron in ionization stages from Fe XXIII
to Fe XXV. An incorrect temperature model
would lead to an incorrect prediction of the
emission both in the 0.8-1.2 keV energy range and in the
6.7 keV line complex, which would then have to be compensated
by changing the iron abundance. Whether this is the case or not is hard
to tell, yet a detailed study undertaken by (Favata
& Schmitt 1999) suggests that this is unlikely to
happen.
Further, Fe K
fluorescence at 6.4 keV, excited in the neutral photospheric
material by intense high-energy radiation >7.1 keV from
the flare plasma, may also contribute. Fe K
fluorescence has been observed during strong stellar flares (e.g. Osten
et al. 2007; Testa et al. 2008).
The K
excitation depends on the photospheric iron abundance and on the
inclination angle and height of the X-ray emitting flare plasma above
the photosphere (Testa et al. 2008;
Drake
et al. 2008; Ercolano et al. 2008).
A compact loop structure as probably responsible for the short decay
time of the flare on CN Leo is expected to produce rather
strong fluorescence,
yet no excess emission at 6.4 keV is visible, especially
during the second and third time intervals, where the spectral fits
yield the largest Fe abundance values. All eleven spectra are well
consistent with models without any Fe K
fluorescence emission at 6.4 keV. A possible explanation for
this finding is an unfavorable viewing angle.
At any rate, the expected Fe K
line features are relatively weak, they can be spectrally separated
from the 6.7 keV complex and should therefore not lead to
incorrect Fe abundance estimates. Deviations from ionization
equilibrium may also affect the strength of the 6.7 keV
complex; Reale &
Orlando (2008) have shown that the effect is significant for
flares with heat pulse durations less than a minute. However, it is
difficult to quantify this effect for the CN Leo flare, also
such deviations from ionization equilibrium are strongest at flare
onset, while ionization equilibrium is established rather quickly with
time in a high density environment as encountered with the flaring
plasma in CN Leo, so non-equilibrium effects appear to be an
unlikely cause for the observed changes in iron abundance. Thus in
summary, no clear systematic effects are known that would mimic an
enhanced iron abundance during the
flare evolution.
4.4 Densities
The RGS spectra allow to investigate the electron densities of the coronal plasma from the density-sensitive ratio of the forbidden and intercombination lines of helium-like triplets. With this method, Güdel et al. (2002) found the density of the coronal plasma as traced by the O VII and Ne IX triplets to vary by more than an order of magnitude during a giant flare on Proxima Centauri, which is the only unambiguous measurement of increased coronal densities during a stellar flare. While the two flares were comparable in maximum countrate, the duration of the CN Leo flare was much shorter, so that, in contrast to the Proxima Centauri flare and to the CN Leo EPIC data, the CN Leo RGS data can only be separated into quiescent state and flare; the RGS signal is too low for further sub-division.
![]() |
Figure 6: The O VII triplet in the RGS spectra of CN Leo during quiescent ( top) and flaring ( bottom) state. The flare spectrum covers the same time interval as the eleven EPIC spectra, the quiescent data include the time intervals before and after the giant flare, with two further flares excluded. |
Open with DEXTER |
Table 3: Measured line counts, f/i ratios and deduced coronal densities from the O VII triplet in the RGS spectra of quiescence and giant flare in Fig. 6.
In Fig. 6
we show the RGS1 spectrum centered on the O VII triplet
during the 20 ks of accumulated quiescence and during the
flare together with the best fits to the three triplet lines r (resonance),
i (intercombination), and f (forbidden)
provided by the CORA program. The measured line counts, deduced f/i ratios
and electron densities are listed in Table 3. In order to
convert the measured f/i ratios
to densities, we used the relation
![]() |
(3) |
with the critical density






f/i ratio and electron
density obtained from the RGS flare spectrum represent mean values for
the whole flare. In order to give a rough estimate of the peak flare
density, one can derive a modifying scaling factor of 1.2 based on
the square root of the maximum and mean total emission measure values
from the EPIC data and assuming a constant plasma volume during the
flare. The flux in the forbidden and intercombination lines measured
during the whole flare is therefore dominated by the high countrates at
the flare peak, and with a lower limit of
cm-3
the maximum density is only slightly larger than the average value.
With a peak formation temperature of 2 MK, the O VII triplet
traces only the cooler component of the coronal and flare plasma, and
the density sensitivity of its f/i
ratio is optimal between 1010 and 1011 cm-3.
As the O VII triplet suggests
densities probably even higher than 1012 cm-3,
it would be desirable to probe higher densities and the
higher-temperature plasma with the helium-like triplets of heavier
ions. Unfortunately, the flux in the RGS2 spectrum in the Ne IX
triplet, where the density-sensitive range has shifted to 1011-1012 cm-3
and the peak formation temperature has increased to
4 MK,
is too low and its contamination with highly-ionized iron during the
flare is too strong to give any conclusive result. Mg XI
and Si XIII cover even higher densities up
to 1014 cm-3 and
temperatures up to 10 MK, but in the two RGS spectra, the
resonance lines of both triplets are only barely visible. A density
survey of the flare at different plasma temperatures is therefore not
possible.
4.5 The optical coronal Fe XIII line
With the RGS, the wavelength range 6-37 Å can be
observed; including individual emission lines with peak formation
temperatures from
1.5-2 MK
in the low-temperature range (C VI, O
VII) up to 15 MK (Si XIV).
The optical coronal Fe XIII line
at 3388 Å included in the blue-arm UVES spectra provides
additional time-resolved information on the lowest coronal temperatures
(peak formation temperature
1.5 MK).
Compared to the previous observations in December 2005, the Fe XIII line is rather weak in all three observations in May 2006. The measured line fluxes have large uncertainties, sometimes the line is not even clearly detected. The measured FWHM is also smaller than previously observed. Unfortunately, no Fe XIII line data is available for comparison from the observation in May 2004, where CN Leo's quiescent X-ray emission was at a lower level, similar to the quiescent phase outside the large flare. However, it is reasonable to assume that the overall reduction in emission measure, which affects the lower temperatures where Fe XIII is formed as well, is responsible for the lower line fluxes.
The most significant detections are obtained after the giant flare and after a second larger X-ray flare. A third larger X-ray flare is not covered by the optical observations anymore. The Fe XIII line is not visible in the pre-flare spectrum and in the two flare spectra; but during the flare, a chromospheric Co I line emerges at the same wavelength position.
Even during quiescence, the bulk of iron in the coronal plasma should exist in the form of neon-like Fe XVII, with only minor contributions of the cooler Fe XIII. With the onset of the flare, the temperature of the X-ray emitting plasma shifts to even higher values, and therefore the ionization balance should be dominated by far by higher ionization stages. Even with an increased iron abundance, Fe XIII can be expected to be depleted until the end of the decay, when the plasma has cooled down again. The excess emission measure then allows the detection of the Fe XIII, which is consistent with the observations.
5 Loop modeling
Direct imaging demonstrates the great complexity of flaring active regions on the Sun. In order to obtain a consistent model describing the physical properties and evolution of the involved structures, a stellar flare can be reduced to a sequence of processes taking place in a simplified geometry. Such a generalized description starts with an initial heat pulse in a single coronal loop and efficient conduction until the whole loop has reached the maximum temperature. Lower atmospheric layers are strongly heated and chromospheric evaporation fills the loop with denser material. Conductive cooling sets in while the filling of the loop may still go on. Radiative cooling dominates as soon as the maximum density is reached, and loop depletion is initiated. Cooling and loop depletion may be decelerated by potential residual heating. The transitions between these processes can be described in terms of equilibrium conditions, but their possible overlap and interplay complicate the modeling. However, over the last decades, model approaches for flares have evolved from scaling laws valid only for (quasi)static conditions or simple analytical estimates to complex hydrodynamic loop models taking into account various initial conditions. These models have been successfully applied to a wide variety of solar and stellar flares.5.1 The decay phase
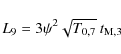
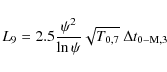
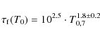
A basic finding for solar and stellar flares is that the decay time of a flare scales with the length of the flaring loop. In order to quantify this effect, Serio et al. (1991) developed an analytic approximation relating the thermodynamic decay time
![]() |
(4) |
where


In their models, Reale
et al. (1993) also consider the effect of a
gradually decaying heating function, and finally, for loops smaller
than the pressure scale height, Reale
et al. (1997) derived and tested an empirical
expression to determine the flaring loop length including the effect of
sustained heating during the decay that uses the slope
of the flare decay in the density-temperature plane to evaluate the
amount of sustained heating during the decay:
where

The term
describes the ratio of observed and thermodynamic decay time
as a function of the ratio of temperature and density decay
.
The higher
,
the larger is the amount of prolonged heating during the decay, while
would indicate the absence of additional heating.
is monotonically decreasing and can be approximated with analytical
functions; here we use the hyperbolic form
![]() |
(6) |
The coefficients







in order to obtain the true




Figure 7
shows the evolution of the giant flare in the density-temperature
plane, where we use
as a proxy for the density. We fitted the slope
of the decay, i.e. with the data from first three spectra excluded, to
.
This value is rather small, and on a
level consistent with the minimum value of 0.35, which means
that the limit of validity for this method is reached. For very small
,
the corrective term
that accounts for the presence of heating during the decay becomes very
high and also rather uncertain, as the hyperbola approaches infinity.
For
,
we obtain a formal value of
;
the thermodynamic decay time would therefore lie in the range of
25 s,
which is extremely short and hints to very effective cooling. The size
of the involved loop structure is thus very small, the resulting loop
half length is
km.
The uncertainty in L is dominated by far by the
uncertainty in
in this flat part of the hyperbola of
.
Effectively, we can therefore only give an upper limit for L,
which can be set to
9000 km
using the 1
error.
The original approach of Reale
et al. (1997) is based on hydrostatic and energy
equilibrium at the beginning of the decay. This would result in a
simultaneous onset of the decay of temperature and density, which is
apparently not the case for the giant flare on CN Leo. In
order to account for this, the flare temperature at the time of maximum
density
should be used instead of
according to Reale (2007),
otherwise the loop length will be overestimated. However, considering
that the dependency of L on the square root
of
is comparably weak, we keep at the original value for the upper limit.
Additionally, the exact point in time of maximum density is difficult
to assess from flat top of the emission measure lightcurve, while the
temperature already decreases significantly.
![]() |
Figure 7: Flare evolution in the density-temperature plane. |
Open with DEXTER |
5.2 Flare rise and peak
Following the approach of Reale (2007), the duration of the flare rise and a possible delay between the decay of temperature and density can also be used to characterize the dimensions of a flaring loop. Both time scales can be traced back to equilibrium states of heat input and cooling. The occurrence of such a delay, as it is also observed for the giant flare on CN Leo, indicates an initial heat pulse too short to bring the flare plasma to equilibrium conditions, again pointing toward short time scales and a compact structure.The maximum density is reached when conductive and radiative
cooling equal. This gives
as an estimate for the loop length from time




![]() |
(9) |
From the time

adopting the conductive cooling time.
These two independent approaches are particularly useful, if only the earlier phases of the flare are observed, i.e. Eq. (8) can be applied if the complete rise phase of the flare is available until the density maximum is reached, while bigger parts of the decay are not required. Equation (10) can be used if additionally the quiescent phase before the flare and the flare onset itself are missing. When the flare is completely covered by the observations, the two methods yield independent estimates of the loop half length which can be cross-checked.
Both Eqs. (8)
and (10)
depend strongly on
and also on the two onset times of the temperature and density decay,
which have to be determined as accurately as possible. Using the time
intervals from Sect. 4.2,
the temperature maximum occurs during the second spectrum, which would
result in
s,
i.e. a rather large uncertainty due to the length of the time interval
compared with the rise time itself. It is, however, not reasonable to
divide the sequence any further. The hardness ratio lightcurve from
Fig. 2
provides a better time resolution, assuming that especially during the
early phases of the flare, the hardness ratio represents a good
temperature indicator. The hardness ratio lightcurve undergoes major
changes during the first time interval; it peaks already at
s,
earlier than the spectral fit sequence, that provides only the average
temperature of each interval. We would therefore prefer to use the
hardness ratio as a temperature tracer, but subsequently, the true
maximum temperature
will be larger than the 56 MK derived from the flare
temperature of the second time interval, and it is difficult to give an
accurate estimate. The difference between the two possibilities to
choose for
will at any rate strongly affect the results of the loop length
estimate.
It is even more difficult to define the maximum of the
density. The emission measure, which we have used as the density
indicator in Sect. 5.1,
peaks in the third time interval. However, due to the flattened shape
of the emission measure lightcurve, the uncertainty in
is probably even larger than the corresponding value of
s.
Consistent results are obtained when using a smoothed version of the
countrate lightcurve, which would nevertheless result in an
underestimate of
according to Reale (2007).
is therefore determined from the flare temperature in the third time
interval.
Using the numbers obtained from the analysis of the time
intervals only, we obtain km
from Eq. (10).
When sticking to
from the second time interval but in combination with
from the hardness ratio lightcurve, L increases to
km,
and a higher value for
would even result in a further increase, with the corresponding value
being unknown.
Equation (8)
gives
km,
closer to the value from the upper limit from the analysis of the
decay. Considering the large error bars, the results from
Eqs. (5), (10), and (8) are consistent
at least on the 2
level. The overall uncertainties are dominated by the uncertainties of
the two time scales
and
:
for the results obtained from the flare rise from Eq. (8), the uncertainty
in
makes up 53% of the uncertainty in L, while
and
share 33% and 13% respectively. When the time intervals are used to
determine
in Eq. (10),
accounts even for 91% of the uncertainty in L.
Using
from the hardness ratio lightcurve, this reduces to 63%. As
Eq. (10)
yields indeterminate results, Eq. (8) should be
preferred.
6 Discussion
6.1 Implications of the modeling
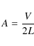
The giant flare on CN Leo has a very short exponential decay time of only a few minutes compared to other flares with similar amplitudes in X-rays, which typically last for hours. This holds even if one considers only flares on active M dwarfs (e.g. Favata et al. 2000; Güdel et al. 2002). Such flares mostly originate from large loop structures with dimensions of at least a significant fraction of the size of the star itself. The short duration of the CN Leo flare on the other hand points at short cooling times and therefore a rather compact involved structure. Respective estimates assuming a single flaring loop have confirmed this picture, the resulting loop half length is of the order of about a tenth of the stellar radius or even smaller.
We can assess the emitting plasma volume V
via
![]() |
(11) |
and obtain the area A of the loop footpoint on the stellar surface
![]() |
(12) |
approximating the loop with an unbent tube with a circular base area and constant cross-section over the loop length. In order to compute V and A, we can use the electron density derived from the helium-like O VII triplet of the flare spectrum in Sect. 4.4, and the total emission measure averaged over the eleven time intervals from Sect. 4.2,









Another possibility to estimate
independently from the emission measure is to make use of the scaling
laws of Rosner et al. (1978)
![]() |
(13) |
which assume equilibrium conditions and the plasma equation of state

![]() |
(14) |
This results in density values between





In order to model the short initial burst, Schmitt et al. (2008)
assumed a single loop with a half length of
20 000 km. Along the loop, they obtain densities of cm-3
after it is filled with evaporated material. The temperature in the
loop model reaches maximum values around
K,
both numbers are well consistent with what we obtain also for the major
flare event.
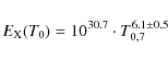
Aschwanden
et al. (2008) compiled statistical correlations
between peak temperature T0,
peak emission measure EM, X-ray luminosity ,
total X-ray-radiated energy
,
and flare duration
for a large sample of observed stellar flares. They find the following
relations as a function of the maximum temperature T0,
however, the correlation between


6.2 Single loop or arcade?
The Sun shows us that the model of an accumulation of isolated single loops oversimplifies a stellar corona. Instead, loops of different sizes often group to complex structures of arcades, especially in the active regions where flares originate. Such loop structures are non-static; individual loops resize, their footpoints move, and they realign in magnetic reconnection events. Unfortunately, we cannot even resolve individual active regions directly on stars other than the Sun. Doppler imaging is a common indirect method to reconstruct photospheric spots or prominences in the chromosphere of fast rotators spectroscopically in the optical (see e.g. Strassmeier 2009). Lightcurve-based eclipse mapping techniques provide an additional approach, as successfully demonstrated by Wolter et al. (2009). However, the solutions of such image reconstruction methods are usually not unique, becoming more and more ambiguous the better the targeted spatial resolution is. Additionally, such observations are very rare in the X-ray regime, cf. Güdel et al. (2003,2001), and Schmitt et al. (2003).There are however other clear indications for the substructuring of active regions in stellar coronae. Flare lightcurves often deviate from the simple scheme of rise and exponential decay, and instead show multiple peaks or variations in the decay time, like a double exponential decay (e.g. Wargelin et al. 2008). The lightcurve of the giant flare on CN Leo shows several irregularities like the initial outburst and the flat peak. Its decay deviates from an exponential shape, and there is the small bump in the lightcurve which is apparently related to a second peak in the hardness ratio lightcurve. This event obviously interrupts the otherwise continuous cooling of the flare plasma. Such features suggest that multiple components of the active region from which the whole flare event originates are successively involved, each of them with its own properties like shape and size, temperature and density, and hence cooling time.
Further evidence for flare substructure can be obtained from
the spectral analysis of the flaring plasma. A strong
correction ,
i.e. when heating dominates the decay of the flare, points to an arcade
of loops involved, as observed for two-ribbon flares on the Sun; this
was first pointed out by Reale
(2002). For the giant flare,
is very high. We therefore interpret the whole event in terms of a
flaring arcade. In this scenario, the flat top of the lightcurve can be
explained by the superposition of several loops flaring consecutively.
Later during the global decay, further loops not affected so far became
involved and caused the small bump. This flare series was triggered by
the short initial outburst, which could be localized in an almost
isolated single loop (Schmitt
et al. 2008). If we assume that the flat peak of the
main flare is composed of a sequence of unresolved individual peaks
with similar luminosity, the true values of
and in particular
would be lower while
will stay roughly the same, which would in turn reduce L
from Eqs. (8)
and (10),
i.e. bring the results from the analysis of rise and peak closer to the
upper limit obtained from the decay.
A theoretical model framework for solar two-ribbon flares has
been developed by Kopp &
Poletto (1984) and - with restrictions - successfully applied
also to stellar flares, see e.g. Poletto
et al. (1988) for the modeling of two long-duration
flares on the active M dwarfs EQ Peg and Proxima Centauri
observed with Einstein and EXOSAT.
The single-loop model approach of Reale
et al. (1997) can be extended to multi-loop
structures if different phases of the flare are analyzed separately. Reale et al. (2004)
investigated the evolution of the long-duration giant flare on Proxima
Cen observed with XMM-Newton. In their best-fit
model, the X-ray emission is dominated by a single loop for the first
part of the flare, while later on during the decay an additional arcade
of loops with approximately the same length as the initial single loop
emerges. This picture is supported by the analysis of spatially
resolved observations of strong solar two-ribbon flares (e.g. Aschwanden & Alexander
2001). For the giant flare on CN Leo, the primary
single loop was causing the 2-s initial outburst. Due to its short
duration it is impossible to analyze this very first part of the flare
in more detail in order to obtain flare temperature and loop length. We
can, however, conclude that even if the whole flare event is treated as
originating from an arcade-like structure, it would be very compact,
probably even smaller in terms of loop length than a single loop. Reale et al. (2004)
found a loop length larger by 30% if the flare on Proxima Cen is
interpreted with Eqs. (5)-(7) instead of
with detailed hydrodynamic loop modeling. For a single loop, the
flaring volume scales with L, while an arcade of
loops implicates .
For solar flares, an empirical correlation
is obtained (Aschwanden
et al. 2008), reflecting the observation that
arcades are not uniformly filled but consist of individual loops.
6.3 The multiwavelength context
Plasma temperature, density, and optical thickness of the stellar atmosphere change by orders of magnitude, when going from the photosphere via chromosphere and transition region up into the corona. According to its spectral type, i.e. the effective temperature, the major contribution to the photospheric spectrum of an M dwarf like CN Leo is emitted the infrared, with a much smaller proportion observed in the optical. The chromosphere adds line emission, mainly in the UV and in the optical. Line formation at these wavelengths is a complex process. Photospheric absorption lines may turn into emission in the chromosphere, and the strength and shape of chromospheric lines is extremely sensitive to the atmospheric conditions. A sophisticated modeling of M dwarf chromospheres is challenging, and current models are still far from providing a complete description (see e.g. Fuhrmeister et al. 2005). Nevertheless, as for each line the formation takes place under specific physical conditions which basically translate into certain heights above the the ``surface'', different lines probe the structure of the stellar atmosphere. Transition region and corona emit mainly in X-rays and in the EUV. Complemented by non-thermal processes like e.g. radio gyrosynchrotron emission, the different atmospheric layers can therefore be studied over a broad wavelength range.Solar and stellar flares can affect all parts of the atmosphere, with the strongest impact observed on chromosphere and corona. However, as on M dwarfs the quiescent photospheric continuum is low in the optical, photospheric flare continuum emission, that accompanies strong events like the giant flare on CN Leo discussed in our series of papers, is much more obvious compared to the Sun, where white light flares are rarely observed. When integrating over the full disk, they would go unnoticed in optical broad band measurements. In Paper I, we analyzed the observed optical continuum emission during the CN Leo flare. We found that the photospheric material was rapidly heated to temperatures probably exceeding 20 000 K at the onset of the flare and rapidly cooling afterwards. The size of the affected region in the photosphere agrees very well with the area derived in Sect. 6.1. Our chromospheric modeling in Paper II confirmed the strong heating of the lower atmospheric layers, during the flare the chromosphere is shifted towards higher column masses, i.e. deep into the photosphere. In Paper I we presented a detailed list of emission lines observed in the optical flare spectra; the included lines provide good indicators for the structure of chromosphere and transition region. However, as shown in Paper II, a self-consistent model of the flare and especially of its early phases would require to consider also non-equilibrium conditions. Additionally, the flare plasma is non-static, line shifts and asymmetries are tracers of mass motions, i.e. chromospheric evaporation into the corona and later on material that has cooled down and falls back towards the surface. Unfortunately, the limited spectral resolution of the X-ray data does not allow to verify this for the hot plasma in the corona.
Nevertheless, our multiwavelength study has revealed a very detailed picture of the flare. We were able to determine plasma temperatures, densities and abundances, apart from the latter not only in the corona but also in photosphere and chromosphere. We learned that the active region and its associated coronal loop structure where the flare originated were rather compact but probably also much more complex than a simple single loop with two footpoints. Multiwavelength observations can provide a comprehensive picture of stellar activity phenomena. Wolter et al. (2008) have complemented their X-ray observations of the fast rotator Speedy Mic with Doppler imaging information, which allowed to localize not only spots on the stellar surface but also prominences and a flare. As theoretical models become more and more complex, with both stellar atmosphere codes and hydrodynamic simulations approaching the non-static 3D domain, including magnetic fields or further physical conditions, only detailed observing data can provide complementary information. For stellar flares, this requires good spectral and temporal resolution over a wavelength range as broad as possible.
7 Summary and conclusion
We have analyzed simultaneous X-ray and optical data covering a giant flare on the active M dwarf CN Leo with regard to the plasma properties in the corona and the geometry of the flaring structure. As it could be expected from other events of similar strength observed in X-rays, temperature and density are enhanced by more than an order of magnitude compared to the quiescent corona at the flare peak. The flare plasma, which can be considered to consist mostly of material evaporated from chromosphere or photosphere, shows a different composition. Despite its high amplitude, the flare was only of short duration, indicating a rather compact flaring structure, which is also comfirmed by simple loop modeling. Sustained heating during the decay as well as substructure in the lightcurve and hardness ratio however suggest an arcade-like structure much more complex than a single flaring loop. Broad multiwavelength coverage allowed us to characterize this exceptional event in great detail.
AcknowledgementsWe would like to thank our referee, Fabio Reale, for his valueable suggestions that helped to improve the Paper. C.L. and B.F. acknowledge financial support by the DLR under 50OR0105.
References
- Anders, E., & Grevesse, N. 1989, Geochim. Cosmochim. Acta, 53, 197 [Google Scholar]
- Aschwanden, M. J., & Alexander, D. 2001, Sol. Phys., 204, 91 [Google Scholar]
- Aschwanden, M. J., Stern, R. A., & Güdel, M. 2008, ApJ, 672, 659 [NASA ADS] [CrossRef] [Google Scholar]
- Delfosse, X., Forveille, T., Perrier, C., & Mayor, M. 1998, A&A, 331, 581 [NASA ADS] [Google Scholar]
- Dorman, B., & Arnaud, K. A. 2001, in Astronomical Data Analysis Software and Systems X, ed. F. R. Harnden, Jr., F. A. Primini, & H. E. Payne, ASP Conf. Ser., 238, 415 [Google Scholar]
- Drake, J. J., Ercolano, B., & Swartz, D. A. 2008, ApJ, 678, 385 [NASA ADS] [CrossRef] [Google Scholar]
- Ercolano, B., Drake, J. J., Reale, F., Testa, P., & Miller, J. M. 2008, ApJ, 688, 1315 [NASA ADS] [CrossRef] [Google Scholar]
- Favata, F., & Schmitt, J. H. M. M. 1999, A&A, 350, 900 [NASA ADS] [Google Scholar]
- Favata, F., Reale, F., Micela, G., et al. 2000, A&A, 353, 987 [NASA ADS] [Google Scholar]
- Fuhrmeister, B., Schmitt, J. H. M. M., & Wichmann, R. 2004, A&A, 417, 701 [NASA ADS] [CrossRef] [EDP Sciences] [Google Scholar]
- Fuhrmeister, B., Schmitt, J. H. M. M., & Hauschildt, P. H. 2005, A&A, 439, 1137 [NASA ADS] [CrossRef] [EDP Sciences] [Google Scholar]
- Fuhrmeister, B., Liefke, C., & Schmitt, J. H. M. M. 2007, A&A, 468, 221 [NASA ADS] [CrossRef] [EDP Sciences] [Google Scholar]
- Fuhrmeister, B., Liefke, C., Schmitt, J. H. M. M., & Reiners, A. 2008, A&A, 487, 293 [NASA ADS] [CrossRef] [EDP Sciences] [Google Scholar]
- Fuhrmeister, B., Schmitt, J. H. M. M., & Hauschildt, P. H. 2010, A&A, 511, A83 [NASA ADS] [CrossRef] [EDP Sciences] [Google Scholar]
- Güdel, M., Schmitt, J. H. M. M., Bookbinder, J. A., & Fleming, T. A. 1993, ApJ, 415, 236 [NASA ADS] [CrossRef] [Google Scholar]
- Gershberg, R. E., & Shakhovskaia, N. I. 1983, Ap&SS, 95, 235 [NASA ADS] [CrossRef] [Google Scholar]
- Golub, L. 1983, in Activity in Red-Dwarf Stars, ed. P. B. Byrne, & M. Rodono, Astrophysics and Space Science Library, 102, IAU Colloq., 71, 83 [Google Scholar]
- Güdel, M., Audard, M., Magee, H., et al. 2001, A&A, 365, L344 [NASA ADS] [CrossRef] [EDP Sciences] [Google Scholar]
- Güdel, M., Audard, M., Skinner, S. L., & Horvath, M. I. 2002, ApJ, 580, L73 [NASA ADS] [CrossRef] [Google Scholar]
- Güdel, M., Arzner, K., Audard, M., & Mewe, R. 2003, A&A, 403, 155 [NASA ADS] [CrossRef] [EDP Sciences] [Google Scholar]
- Güdel, M., Audard, M., Reale, F., Skinner, S. L., & Linsky, J. L. 2004, A&A, 416, 713 [NASA ADS] [CrossRef] [EDP Sciences] [Google Scholar]
- Haisch, B., Strong, K. T., & Rodono, M. 1991, ARA&A, 29, 275 [NASA ADS] [CrossRef] [Google Scholar]
- Hawley, S. L., & Fisher, G. H. 1992, ApJS, 78, 565 [NASA ADS] [CrossRef] [Google Scholar]
- Kirkpatrick, J. D., Henry, T. J., & McCarthy, Jr., D. W. 1991, ApJS, 77, 417 [NASA ADS] [CrossRef] [Google Scholar]
- Kopp, R. A., & Poletto, G. 1984, Sol. Phys., 93, 351 [NASA ADS] [CrossRef] [Google Scholar]
- Kürster, M., & Schmitt, J. H. M. M. 1996, A&A, 311, 211 [NASA ADS] [Google Scholar]
- Lacy, C. H., Moffett, T. J., & Evans, D. S. 1976, ApJS, 30, 85 [NASA ADS] [CrossRef] [Google Scholar]
- Magazzu, A., Martin, E. L., & Rebolo, R. 1993, ApJ, 404, L17 [NASA ADS] [CrossRef] [Google Scholar]
- Mitra-Kraev, U., & Ness, J.-U. 2006, in High Resolution X-ray Spectroscopy: towards XEUS and Con-X [Google Scholar]
- Mohanty, S., & Basri, G. 2003, ApJ, 583, 451 [NASA ADS] [CrossRef] [Google Scholar]
- Ness, J.-U., & Wichmann, R. 2002, Astron. Nachr., 323, 129 [NASA ADS] [CrossRef] [Google Scholar]
- Nordon, R., & Behar, E. 2007, A&A, 464, 309 [NASA ADS] [CrossRef] [EDP Sciences] [Google Scholar]
- Nordon, R., & Behar, E. 2008, A&A, 482, 639 [NASA ADS] [CrossRef] [EDP Sciences] [Google Scholar]
- O'Dea, C. P., & McKinnon, W. B. 1987, PASP, 99, 1039 [NASA ADS] [CrossRef] [Google Scholar]
- Osten, R. A., Drake, S., Tueller, J., et al. 2007, ApJ, 654, 1052 [NASA ADS] [CrossRef] [Google Scholar]
- Pallavicini, R., Serio, S., & Vaiana, G. S. 1977, ApJ, 216, 108 [NASA ADS] [CrossRef] [Google Scholar]
- Pavlenko, Y. V., Jones, H. R. A., Lyubchik, Y., Tennyson, J., & Pinfield, D. J. 2006, A&A, 447, 709 [NASA ADS] [CrossRef] [EDP Sciences] [Google Scholar]
- Piskunov, N. E., & Valenti, J. A. 2002, A&A, 385, 1095 [NASA ADS] [CrossRef] [EDP Sciences] [Google Scholar]
- Poletto, G., Pallavicini, R., & Kopp, R. A. 1988, A&A, 201, 93 [NASA ADS] [Google Scholar]
- Pradhan, A. K., & Shull, J. M. 1981, ApJ, 249, 821 [NASA ADS] [CrossRef] [Google Scholar]
- Priest, E. R., & Forbes, T. G. 2002, A&AR, 10, 313 [Google Scholar]
- Reale, F. 2002, in Stellar Coronae in the Chandra and XMM-NEWTON Era, ed. F. Favata, & J. J. Drake, ASP Conf. Ser., 277, 103 [Google Scholar]
- Reale, F. 2007, A&A, 471, 271 [NASA ADS] [CrossRef] [EDP Sciences] [Google Scholar]
- Reale, F., & Micela, G. 1998, A&A, 334, 1028 [NASA ADS] [Google Scholar]
- Reale, F., & Orlando, S. 2008, ApJ, 684, 715 [NASA ADS] [CrossRef] [Google Scholar]
- Reale, F., Serio, S., & Peres, G. 1993, A&A, 272, 486 [NASA ADS] [Google Scholar]
- Reale, F., Betta, R., Peres, G., Serio, S., & McTiernan, J. 1997, A&A, 325, 782 [NASA ADS] [Google Scholar]
- Reale, F., Güdel, M., Peres, G., & Audard, M. 2004, A&A, 416, 733 [NASA ADS] [CrossRef] [EDP Sciences] [Google Scholar]
- Reid, I. N., Hawley, S. L., & Gizis, J. E. 1995, AJ, 110, 1838 [NASA ADS] [CrossRef] [Google Scholar]
- Reiners, A., & Basri, G. 2007, ApJ, 656, 1121 [NASA ADS] [CrossRef] [Google Scholar]
- Reiners, A., Schmitt, J. H. M. M., & Liefke, C. 2007, A&A, 466, L13 [NASA ADS] [CrossRef] [EDP Sciences] [Google Scholar]
- Robinson, R. D., Carpenter, K. G., Percival, J. W., & Bookbinder, J. A. 1995, ApJ, 451, 795 [NASA ADS] [CrossRef] [Google Scholar]
- Robrade, J., & Schmitt, J. H. M. M. 2005, A&A, 435, 1073 [NASA ADS] [CrossRef] [EDP Sciences] [Google Scholar]
- Rosner, R., Tucker, W. H., & Vaiana, G. S. 1978, ApJ, 220, 643 [NASA ADS] [CrossRef] [Google Scholar]
- Schmitt, J. H. M. M., & Favata, F. 1999, Nature, 401, 44 [NASA ADS] [CrossRef] [Google Scholar]
- Schmitt, J. H. M. M., & Liefke, C. 2004, A&A, 417, 651 [NASA ADS] [CrossRef] [EDP Sciences] [Google Scholar]
- Schmitt, J. H. M. M., & Wichmann, R. 2001, Nature, 412, 508 [NASA ADS] [CrossRef] [PubMed] [Google Scholar]
- Schmitt, J. H. M. M., Ness, J.-U., & Franco, G. 2003, A&A, 412, 849 [NASA ADS] [CrossRef] [EDP Sciences] [Google Scholar]
- Schmitt, J. H. M. M., Reale, F., Liefke, C., et al. 2008, A&A, 481, 799 [NASA ADS] [CrossRef] [EDP Sciences] [Google Scholar]
- Serio, S., Reale, F., Jakimiec, J., Sylwester, B., & Sylwester, J. 1991, A&A, 241, 197 [NASA ADS] [Google Scholar]
- Smith, R. K., Brickhouse, N. S., Liedahl, D. A., & Raymond, J. C. 2001a, ApJ, 556, L91 [NASA ADS] [CrossRef] [Google Scholar]
- Smith, R. K., Brickhouse, N. S., Liedahl, D. A., & Raymond, J. C. 2001b, in Spectroscopic Challenges of Photoionized Plasmas, ed. G. Ferland, & D. W. Savin, ASP Conf. Ser., 247, 161 [Google Scholar]
- Strassmeier, K. G. 2009, A&AR, 17, 251 [Google Scholar]
- Testa, P., Drake, J. J., Ercolano, B., et al. 2008, ApJ, 675, L97 [NASA ADS] [CrossRef] [Google Scholar]
- Vaiana, G. S., Cassinelli, J. P., Fabbiano, G., et al. 1981, ApJ, 245, 163 [NASA ADS] [CrossRef] [Google Scholar]
- Wargelin, B. J., Kashyap, V. L., Drake, J. J., García-Alvarez, D., & Ratzlaff, P. W. 2008, ApJ, 676, 610 [NASA ADS] [CrossRef] [Google Scholar]
- Wolter, U., Robrade, J., Schmitt, J. H. M. M., & Ness, J. U. 2008, A&A, 478, L11 [NASA ADS] [CrossRef] [EDP Sciences] [Google Scholar]
- Wolter, U., Schmitt, J. H. M. M., Huber, K. F., et al. 2009, A&A, 504, 561 [NASA ADS] [CrossRef] [EDP Sciences] [Google Scholar]
Footnotes
- ... CN Leonis
- Based on observations collected at the European Southern Observatory, Paranal, Chile, 077.D-0011(A) and on observations obtained with XMM-Newton, an ESA science mission with instruments and contributions directly funded by ESA Member States and NASA.
- ... simultaneously
- Further details on the instruments onboard XMM-Newton can be found in the XMM-Newton Users' Handbook, available at http://xmm.vilspa.esa.es/external/xmm_user_support/documentation/ uhb/index.html
- ... 110 000
- A detailed description of the UVES spectrograph is available under http://www.eso.org/instruments/uves/doc/
All Tables
Table 1: Fit parameters to the quiescent spectra before and after the flare.
Table 2: Model parameters for the flare spectra with variable Fe abundance.
Table 3: Measured line counts, f/i ratios and deduced coronal densities from the O VII triplet in the RGS spectra of quiescence and giant flare in Fig. 6.
All Figures
![]() |
Figure 1: EPIC PN lightcurve of large flare, corrected for pileup as described in the text. Time bin sizes are chosen to contain 100 counts per bin before scaling the annular region to the total level. Time intervals used for spectroscopic analysis are marked. |
Open with DEXTER | |
In the text |
![]() |
Figure 2: Temporal evolution of the hardness ratio. Time bin sizes are chosen to contain 400 counts per bin in the total = H+S band. |
Open with DEXTER | |
In the text |
![]() |
Figure 3: EPIC PN spectra of the quiescent state before the flare (black), of the rise phase (red, time intervals 1 and 2), of the flare peak (green, time intervals 3 and 4), and of the decay phase (blue, time intervals 5 to 11). |
Open with DEXTER | |
In the text |
![]() |
Figure 4: Temporal evolution of flare temperature ( left) and total emission measure ( right) of the flare plasma obtained from a two-temperature component fit with variable Fe abundance. |
Open with DEXTER | |
In the text |
![]() |
Figure 5:
Temporal evolution of the iron abundance (relative to Anders & Grevesse 1989).
The quiescent value of |
Open with DEXTER | |
In the text |
![]() |
Figure 6: The O VII triplet in the RGS spectra of CN Leo during quiescent ( top) and flaring ( bottom) state. The flare spectrum covers the same time interval as the eleven EPIC spectra, the quiescent data include the time intervals before and after the giant flare, with two further flares excluded. |
Open with DEXTER | |
In the text |
![]() |
Figure 7: Flare evolution in the density-temperature plane. |
Open with DEXTER | |
In the text |
Copyright ESO 2010
Current usage metrics show cumulative count of Article Views (full-text article views including HTML views, PDF and ePub downloads, according to the available data) and Abstracts Views on Vision4Press platform.
Data correspond to usage on the plateform after 2015. The current usage metrics is available 48-96 hours after online publication and is updated daily on week days.
Initial download of the metrics may take a while.