Issue |
A&A
Volume 514, May 2010
|
|
---|---|---|
Article Number | L6 | |
Number of page(s) | 4 | |
Section | Letters | |
DOI | https://doi.org/10.1051/0004-6361/201014398 | |
Published online | 27 May 2010 |
LETTER TO THE EDITOR
Spectroscopic parameters and rest frequencies of isotopic methylidynium, CH+
H. S. P. Müller
I. Physikalisches Institut, Universität zu Köln, Zülpicher Str. 77, 50937 Köln, Germany
Received 10 March 2010 / Accepted 26 April 2010
Abstract
Context. Astronomical observations toward
Sagittarius B2(M) as well as other sources with APEX have recently
suggested that the rest frequency of the J = 1-0 transitions of 13CH+ is too low by about 80 MHz.
Aims. Improved rest frequencies of isotopologs of methylidynium
should be derived to support analyses of spectral recording obtained
with the ongoing Herschel mission or the upcoming SOFIA.
Methods. Laboratory electronic spectra of four isotopologs of CH+ have been subjected to one global least-squares fit. Laboratory data for the
J = 1-0 ground state rotational transitions of CH+, 13CH+, and CD+, which became available during the refereeing process, have been included in the fit as well.
Results. An accurate set of spectroscopic parameters has been
obtained together with equilibrium bond lengths and accurate rest
frequencies for six CH+ isotopologs: CH+, 13CH+, 13CD+, CD+, 14CH+, and CT+.
Conclusions. The present data will be useful for the analyses of Herschel or SOFIA observations of methylidynium isotopic species.
Key words: molecular data - radio lines: ISM - submillimeter: ISM - ISM: molecules
1 Introduction
The first three molecules detected in space in the 1930s were methylidynium, CH+, methylidyne, CH, and cyanogen, CN. Douglas & Herzberg (1941) identified three absorption lines, which had been observed
toward several stars, as belonging to the
electronic transition of CH+. They were assigned to the R(0) (
)
transitions of the
,
1-0, and 2-0 vibrational bands.
The J = 2-1, 3-2, and 4-3 rotational transitions were identified by Cernicharo et al. (1997) in spectra recorded with the Long Wavelength Spectrometer of the Infrared Space Observatory toward the planetary nebula NGC 7027. The observation of the J = 1-0 rotational transitions at 835 137.5 MHz (Amano 2010) is hampered by a telluric line of molecular oxygen close by Drouin et al. (2010, and references therein) and thus requires observations from space, e.g. with the recently launched Herschel satellite or with the Stratospheric Observatory For Infrared Astronomy (SOFIA).
Recently, Falgarone et al. (2005) reported on the observation of the J = 1-0 transition of 13CH+ in absorption toward the star-forming region G10.6-0.4. They deduced 830 132 (3) MHz as the prefered rest frequency based on scaling from the CH+ laboratory rest frequency. Alternative rest frequencies of 830 107 (1) or 830 193 (4) MHz were excluded. Very recently, Menten et al. (2010) carried out an absorption study with the Atacama Pathfinder EXperiment (APEX) of light hydride species toward the evolved massive star-forming region Sagittarius (Sgr for short) B2(M). They detected low-lying rotational transitions of 13CH+, H35Cl, H37Cl, and, for the first time, of SH+. Similar studies have been carried out toward additional sources (F. Wyrowski, private communication). A comparison of the line profiles among these species together with observations of additional species at lower frequencies suggested a rest frequency of about 830 210 MHz, approximately 80 MHz higher than the prefered rest frequency from Falgarone et al. (2005), but in reasonable agreement with an alternative rest frequency of 830 193 (4) MHz they had dismissed.
Pearson & Drouin (2006) obtained a value of 835 078.950 (75) MHz as the J = 1-0
transition frequency of CH+, about 5 MHz lower than they deduced from
analyses of the
electronic spectra of four
isotopologs (Carrington & Ramsay 1982; Bembenek 1997a; Bembenek et al. 1987; Bembenek 1997b).
During the refereeing process of this manuscript I received
J = 1-0 transition frequencies for CH+, 13CH+, and CD+,
very recently obtained by Amano (2010).
While the latter two frequencies (830 216 and 453 522 MHz)
were rather close to predictions made from the spectroscopic parameters
of the respective isotopolog (Bembenek et al. 1987; Bembenek 1997a),
the CH+ frequency (835 137.5 MHz) was almost 40 MHz higher
than that deduced from a more recent analysis of the CH+
electronic spectrum (Hakalla et al. 2006), but almost 70 MHz higher
than measurements by Pearson & Drouin (2006) indicated.
Because no further rotational data and no infrared transitions
have been reported thus far, determinations of methylidynium rest
frequencies still rely quite heavily on the electronic spectra.
In the current work, I present a combined reanalysis of the
electronic spectra of four isotopic species
of CH+ together with the available rotational transitions
to derive reliable rest frequencies for CH+ isotopologs.
2 Analysis and discussion
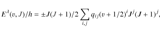
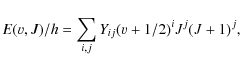
The ro-vibrational energy levels of a diatomic molecule AB
can be represented by the Dunham expression
where the Yij are the Dunham parameters. In electronic states different from








The energy levels in a
electronic state are modified by
a
-doubling which can be expressed as
where the


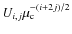
Watson (1973,1980) has shown that several
isotopic species of AB can be fit jointly by constraining the Yij to
where Ui,j is isotope invariant,










A specific transition of the
electronic spectrum
of CH+ is well described by the isotopolog, the vibrational quantum
numbers in the upper and lower electronic states, the lower state rotational
quantum number J and whether the transition belongs to the R, Q, or
P-branch in which the upper state rotational quantum number is J + 1, J,
and J- 1, respectively; J is commonly given in parentheses.
Table 1:
Experimentally determined spectroscopic parametersa
(cm-1, MHz) of methylidynium, 12CH+ in its
and
electronic states from a global fit
involving four isotopologs.
None of the investigations of the A-X electronic spectrum of CH+ and its isotopologs provided uncertainties for individual lines, only estimates of average precision and accuracy. In the present work the initial uncertainties were estimated for each isotopolog and each vibronic band separately based on average residuals between observed frequencies and those calculated from the spectroscopic parameters. During the analysis, the uncertainties were adjusted to yield an rms error very close to the theoretical value of 1.0, usually slightly lower. Transitions with residuals between observed and calculated frequencies much higher than the average were omitted from the fit. These may have been weak lines with very low or very high values of J or accidentally overlapped lines. For each isotopolog and each vibronic band the finally ascribed uncertainty will be given below in parentheses in units of 0.001 cm-1 together with the lines from the original literature, which have been omitted from the fit. Lines already discarded in the original analyses were usually omitted here as well; these lines will not be mentioned specifically.
The fit was started with the CH+ data from Carrington & Ramsay (1982) and
Hakalla et al. (2006), and the initial parameters were taken from the latter work.
As the Y0i got smaller by factors of -10 000, Y04 was
estimated as -0.4 Hz.
Hakalla et al. (2006) measured the
(5 (
cm-1),
R(17)), 0- 1 (5, -), and 2-1 (9, P(14)) bands,
while Carrington & Ramsay (1982) obtained data for the
(5, P(6)),
0-1 (6, Q(14)), 1-0 (12, R(3)), 1 - 1 (7, P(7,8)),
1-2 (6, P(7)), 1-3 (4, R(5)), 2-1 (5, -), and
3- 1 (7, Q(9), P(2)) bands.
The CH+ J = 1-0 rotational transition predicted from this data
set is
MHz, almost exactly 10 MHz higher than what
Pearson & Drouin (2006) obtained and about 14.5 MHz higher than the line these authors
measured in the laboratory.
Inclusion of data from three additional isotopologs, as described below,
shifted the prediction to somewhat higher frequencies,
835 112 MHz
being the highest as long the the weights of the CH+ data were not reduced.
Scaling these parameters directly with
yields 830 146.97 MHz for
the 13CH+, J = 1-0 transition. In contrast, predictions from
Bembenek (1997a) yield a value approximately 80 MHz higher, suggesting
a large BOB term for Y01 will be necessary at least in the ground
electronic state. Inclusion of data from the
(4, -) band
confirmed this. These data also required a BOB term for Y01 as well as for the term value
T of the excited electronic A state, though the latter value appeared to
be too high to be considered a BOB term in the usual sense.
The J = 1-0 ground state rotational transition was now predicted at
MHz, 60 MHz higher than from direct scaling as a result
of large effects caused by the breakdown of the Born-Oppenheimer
approximation. The
(4, -), 2-0 (8, R(8))
and 2-1 (12, -) bands were included without much difficulty.
In the
(6, -) band, in which already several lines
were not used in the original fits, the R(5,9) and P(3,4,10) lines
were omitted in addition in the present work. In the
(9, -) band, R(6,7) are in fact R(7,8), similarly the J values have to be revised one up for Q(7,8).
Moreover, R(7,9,10) were omitted from the fit. With more vibronic bands included, a correction term for Y10 was also employed in the fit.
The CD+ data from Bembenek et al. (1987) proved to be much more difficult
to reproduce. Not only were BOB terms required for the Y01 and
Y10, as for 13CH+, but also for Y20, Y11, and
Y02 in both electronic states. The correction term to T turned out
to be very large again. The
(4, -), 0 - 1 (4, R(12)),
1-0 (3, R(11)), P(2,6,12,13)), 1-2 (9, -), 2-1 (6, -),
and 3 - 1 (5, Q(1), P(6,11)) bands were used in the fit.
The
band was measured but not used in the fit by
Bembenek et al. (1987), it is on average about 0.09 cm-1 too low.
In addition,
was also not used in the present fit as
it was about 0.03 cm-1 too low. Its inclusion in the fit would have
afforded both
and
to be omitted
from the fit.
Table 2:
Derived spectroscopic parametersa (cm-1, MHz, unitless)
of methylidynium, 12CH+ in its
and
electronic states from a global fit involving four isotopologs.
Lastly, 13CD+ data from Bembenek (1997b) were included
in the fit, namely the
(6, P(12,13,14)) and 1-0
(4, -) bands. The band origins were not quite compatible with the other
data. In combination with the considerable corrections required for T,
this was interpreted as a sign of the perturbation of the A electronic state.
Therefore, separate term values as well as Yi0 were used for CH+ and
CD+. In addition, different carbon BOB terms were required for T
and Y10.
The referee of this manuscript pointed out new laboratory measurements
of the J = 1-0 rotational transitions of CH+, 13CH+, and
CD+ which I received soon thereafter from the author (Amano 2010).
The 13CH+ and CD+ frequencies were close to the predictions based
on parameters from Bembenek et al. (1987); Bembenek (1997a) as well as predictions
from present fits which only included data from the electronic spectra.
In contrast, the CH+ frequency was higher than predictions from the
current fits by between 25 and 45 MHz.
The CH+ and 13CH+ lines showed large Zeeman
splitting in a magnetic field, which, as already mentioned by
Amano (2010), requires a high gJ-value for
a
molecule. This in turn leads to high
BOB terms for CH+ in the ground electronic state, see below.
The large gJ-value is also compatible with the large 13C nuclear
spin-rotation splitting of 1.6 MHz in the J = 1-0 transition
of 13CH+, as already pointed out by Amano (2010).
The fit easily accomodated these rotational data; the rms error of the
fit only slightly increased from 0.944 to 0.991. This rather small
deterioration of the fit may indicate unfavorable correlation of the
parameters, which is reduced by the inclusion of the pure rotational
data in the fit. Weighting two vibronic bands of CH+ each from Hakalla et al. (2006); Carrington & Ramsay (1982) slightly lower (25%) yielded rms errors of all vibronic bands very close to 1.0 and an overall rms error of 0.945.
The inclusion of the rotational data caused the 13C BOB correction
value to
in the ground electronic state to be reduced
by almost half, similar changes in magnitude occured in the excited A
state 13C BOB term. These changes were mostly compensated by changes
in
,
to a much lesser extent by the BOB term for H.
Changes considerably outside the uncertainties also occured for
and Y02 in the X and A state, respectively.
All other changes were mostly well within the uncertainties.
The final spectroscopic parameters are given in Table 1;
further spectroscopic parameters, which were derived from these parameters,
are given in Table 2. Predictions of the J = 1-0
and 2-1 transitions of six isotopologs are given in Table 3
together with the measured ones;
these should be useful for astronomical observations
as well as for laboratory spectroscopic investigations.
The three laboratory rotational transitions (Amano 2010) determine
three parameters related to U01. In addition, the weight of each line
in the fit is much larger than that of a rovibronic transition. Therefore,
it is not surprising that in these cases predicted frequencies and
their uncertainties are essentially identical to laboratory values
(Amano 2010).
More extensive predictions, including those of rovibrational spectra,
as well as details of the fit file will be available in the
Cologne Database for Molecular Spectroscopy,
CDMS,
(Müller et al. 2005,2001).
Extrapolations beyond J = 1-0 should be viewed with some caution,
meaning the actually measured transition frequency may be more than three
times the predicted uncertainty away from the calculated position,
especially for the CH+ main isotopolog because the rotational transition
was rather far away from prediction absed on electronic spectra.
Predictions with
should be viewed with great caution.
Table 3: Measured (Amano 2010) and calculated low-J rotational transition frequenciesa (MHz) of six isotopic species of CH+.
In contrast to e.g. Carrington & Ramsay (1982), but in agreement with
Hakalla et al. (2006), the excited A electronic state could be reproduced
in a rather satisfactorily manner using power series in
besides
J(J + 1) - 1 for each isotopolog individually and,
with the exception of the term value and the vibrational spacings,
also for the combined data set of four isotopic species.
The fact that separate parameters had to be used for CH+ and
CD+ may be explained by a perturbation of the A state.
Essentially all parameters Yij with j > 0 or related parameters
in Table 1
as well as the BOB terms in Table 2
appear to be reasonable.
The Yij or related parameters for the X ground electronic state
in Table 1 again appear rather reasonable.
The BOB terms
in Table 2 are
negative and their magnitudes are normal
(Drouin et al. 2001; Müller et al. 2005; Watson 1973,1980; Müller et al. 2007).
The BOB terms
,
however, are rather large,
but of similar magnitude.
Watson (1973) has shown that
has one
contribution
,
where gJ is the rotational g-factor
and
is the mass of the proton, which may get big for
low-lying electronic states of the same multiplicity, i.e.
singlet states in the case of CH+. Because Y11 is the first
vibrational correction term to Y01 it is probably reasonable that
is large in magnitude also.
Gauss & Puzzarini (2010) have shown that
can be calculated
ab initio and presented results which were compared with experimental
data for SiS (Müller et al. 2007), HCl, and HF.
Calculations for CH+ will be very welcome.
Equilibrium structural parameters of 112.77543 (16) and 123.45370 (106) pm have been derived for the X and A electronic state, respectively, in the BO approximation which are very different from 113.08026 (33) and 123.50991 (50) pm obtained for the CH+ isotopolog under consideration of the breakdown of the BO approximation. The latter values agree fairly well with 113.08843 (30) and 123.5053 (37) pm obtained by Hakalla et al. (2006).
3 Conclusion
The
electronic spectra of four isotopologs
plus the rotational data for three species have been reproduced
rather well with one set of spectroscopic parameters and
with only comparatively few transitions omitted from the fit.
Considering that the A electronic state has been judged to be
perturbed by an unidentified state, the spectroscopic parameters show
few peculiarities.
The predicted J = 1-0 transition frequencies of the three remaining isotopologs as well as higher-J predictions for all species will be useful for future astronomical observations or laboratory spectroscopic investigations. The data for 14CH+ and CT+ may be useful for determining if 14C or T play a significant role in certain (circumstellar) environments.
AcknowledgementsI thank Karl M. Menten for comments on the manuscript, the referee for pointing out very new laboratory measurements on CH+ isotopologs, and Takayoshi Amano for providing these prior to submission. I am also very grateful to the Bundesministerium für Bildung und Forschung (BMBF) for financial support aimed at maintaining the Cologne Database for Molecular Spectroscopy, CDMS. This support has been administered by the Deutsches Zentrum für Luft- und Raumfahrt (DLR).
References
- Amano, T. 2010, ApJ, submitted [Google Scholar]
- Bembenek, Z. 1997a, J. Mol. Spectrosc., 181, 136 [NASA ADS] [CrossRef] [Google Scholar]
- Bembenek, Z. 1997b, J. Mol. Spectrosc., 182, 439 [NASA ADS] [CrossRef] [PubMed] [Google Scholar]
- Bembenek, Z., Cisak, H., & Kepa, R. 1987, J. Phys. B, 20, 6197 [NASA ADS] [CrossRef] [Google Scholar]
- Brown, J. M., Colbourn, E. A., Watson, J. K. G., & Wayne, F. D. 1979, J. Mol. Spectrosc., 74, 294 [NASA ADS] [CrossRef] [Google Scholar]
- Carrington, A., & Ramsay, D. A. 1982, Phys. Scr., 25, 272 [NASA ADS] [CrossRef] [Google Scholar]
- Cernicharo, J., Liu, X.-W., Gonzalez-Alfonso, E., et al. 1997, ApJ, 483, L65 [NASA ADS] [CrossRef] [Google Scholar]
- Douglas, A. E., & Herzberg, G. 1941, ApJ, 94, 381 [Google Scholar]
- Drouin, B. J., Miller, C. E., Müller, H. S. P., & Cohen, E. A. 2001, J. Mol. Spectrosc., 205, 128 [NASA ADS] [CrossRef] [PubMed] [Google Scholar]
- Drouin, B. J., Yu, S., Miller, C. E., et al. 2010, J. Quant. Spec. Radiat. Transf., 111, 1167 [Google Scholar]
- Falgarone, E., Phillips, T. G., & Pearson, J. C. 2005, ApJ, 634, L149 [NASA ADS] [CrossRef] [Google Scholar]
- Gauss, J., & Puzzarini, C. 2010, Mol. Phys., 108, 269 [CrossRef] [Google Scholar]
- Hakalla, R., Kepa, R., Szajna, W., & Zachwieja, M. 2006, Eur. Phys. J. D, 38, 481 [NASA ADS] [CrossRef] [EDP Sciences] [Google Scholar]
- Menten, K. M., Wyrowski, F., Belloche, A., et al. 2010, A&A, submitted [Google Scholar]
- Müller, H. S. P., Thorwirth, S., Roth, D. A., & Winnewisser, G. 2001, A&A, 370, L49 [NASA ADS] [CrossRef] [EDP Sciences] [Google Scholar]
- Müller, H. S. P., Schlöder, F., Stutzki, J., & Winnewisser, G. 2005, J. Mol. Struct, 742, 215 [CrossRef] [Google Scholar]
- Müller, H. S. P., McCarthy, M. C., Bizzocchi, L., et al. 2007, Phys. Chem. Chem. Phys., 9, 1579 [CrossRef] [PubMed] [Google Scholar]
- Pearson, J. C., & Drouin, B. J. 2006, ApJ, 647, L83 [NASA ADS] [CrossRef] [Google Scholar]
- Watson, J. K. G. 1973, J. Mol. Spectrosc., 45, 99 [NASA ADS] [CrossRef] [Google Scholar]
- Watson, J. K. G. 1980, J. Mol. Spectrosc., 80, 411 [Google Scholar]
Footnotes
- ...
CDMS,
- website: http://www.astro.uni-koeln.de/cdms/
All Tables
Table 1:
Experimentally determined spectroscopic parametersa
(cm-1, MHz) of methylidynium, 12CH+ in its
and
electronic states from a global fit
involving four isotopologs.
Table 2:
Derived spectroscopic parametersa (cm-1, MHz, unitless)
of methylidynium, 12CH+ in its
and
electronic states from a global fit involving four isotopologs.
Table 3: Measured (Amano 2010) and calculated low-J rotational transition frequenciesa (MHz) of six isotopic species of CH+.
Copyright ESO 2010
Current usage metrics show cumulative count of Article Views (full-text article views including HTML views, PDF and ePub downloads, according to the available data) and Abstracts Views on Vision4Press platform.
Data correspond to usage on the plateform after 2015. The current usage metrics is available 48-96 hours after online publication and is updated daily on week days.
Initial download of the metrics may take a while.