| Issue |
A&A
Volume 515, June 2010
|
|
|---|---|---|
| Article Number | A74 | |
| Number of page(s) | 26 | |
| Section | Astronomical instrumentation | |
| DOI | https://doi.org/10.1051/0004-6361/200911956 | |
| Published online | 10 June 2010 | |
Spectroscopic determination of the fundamental parameters of 66 B-type stars in the field-of-view of the CoRoT satellite
K. Lefever1,2
- J. Puls3 - T. Morel1,4
- C. Aerts1,5 - L. Decin1,
- M. Briquet1,![]()
1 - Instituut voor Sterrenkunde, K.U. Leuven, Celestijnenlaan 200D,
3001 Leuven, Belgium
2 - BIRA-IASB, Ringlaan 3, 1180 Brussel, Belgium
3 - Universitätssternwarte München, Scheinerstr. 1, 81679 München,
Germany
4 - Institut d'Astrophysique et de Géophysique, Université de Liège,
Allée
du 6 Août 17, Bât B5c, 4000 Liège, Belgium
5 - Departement Astrofysica, IMAPP, Radboud Universiteit
Nijmegen, PO Box 9010, 6500 GL Nijmegen, The Netherlands
Received 26 February 2009 / Accepted 11 October 2009
Abstract
Aims. We determine the fundamental parameters of a
sample of B stars with apparent visual magnitudes brighter than 8 in
the field-of-view of the CoRoT space mission, from high-resolution
spectroscopy.
Methods. We developed an automatic procedure for the
spectroscopic analysis of B-type stars with winds, based on an
extensive grid of FASTWIND model atmospheres. We use the equivalent
widths and/or the line profile shapes of continuum normalized hydrogen,
helium, and silicon line profiles to determine the fundamental
properties of these stars in an automated way.
Results. After thorough tests, on both synthetic
datasets and very high-quality, high-resolution spectra of B stars for
which we already had accurate values of physical properties from
alternative analyses, we applied our method to 66 B-type
stars contained in the ground-based archive of the CoRoT space mission.
We discuss the statistical properties of the sample and compare them
with those predicted by evolutionary models of B stars.
Conclusions. Our spectroscopic results provide a
valuable starting point for any future seismic modelling of the stars,
should they be observed by CoRoT.
Key words: stars: atmospheres - stars: early-type - stars: fundamental parameters - methods: data analysis - techniques: spectroscopic - line: profiles
1 Introduction
The detailed spectroscopic analysis of B-type stars has for a long time been restricted to a limited number of targets. The reasons for this are the a priori need for a realistic atmosphere model, the lack of large samples with high-quality spectra, and the laborious process of line-profile fitting, since the multitude of photospheric and wind parameters require a large parameter space to be explored.
The advent of high-resolution, high signal-to-noise spectroscopy led to renewed interest in spectroscopic research, and in particular the relatively poorly understood massive stars. The establishment of continuously superior instrumentation and the improvement in quality of the spectroscopic data obtained triggered a series of studies, which led to a rapid enhancement in our knowledge of massive stars. In this respect, it is not surprising to note that this is exactly the period where several groups started to upgrade their atmosphere prediction code for these stars (see, e.g., CMFGEN - Hillier & Miller 1998, PHOENIX - Hauschildt & Baron 1999, WM-Basic - Pauldrach et al. 2001, POWR - Gräfener et al. 2002, and FASTWIND - Santolaya-Rey et al. 1997, Puls et al. 2005). Initially, much attention was devoted to the establishment of a realistic atmosphere model (i.e. improvement of atomic data, inclusion of line blanketing and clumping), rather than analyzing large samples of stars.
In addition to improvements in the atmosphere predictions, the
available amount
of high-quality data has increased rapidly, mainly because of the
advent of multi-object spectroscopy. At the time of writing, the
largest
survey is the VLT-FLAMES survey of massive stars (Evans et al. 2005),
which contains over 600 Galactic, SMC, and LMC B-type
spectra
(in seven different
clusters),
gathered over more than 100 h of VLT time. The survey has not
only allowed
us to derive the stellar parameters and rotational velocities of
hundreds of stars (Dufton
et al. 2006; Hunter et al. 2008b),
but also to study the evolution of surface N abundances and
the effective temperature scales in the Galaxy and Magellanic Clouds (Hunter
et al. 2007; Trundle et al. 2007; Hunter
et al. 2008a).
In preparation for the CoRoT space mission, and almost contemporary with the FLAMES setup, another large database was constructed: Ground-based Asteroseismology Uniform Database Interface (GAUDI) (Solano et al. 2005). It gathers ground-based observations of more than 1500 objects, including high-resolution spectra of about 250 massive B-type stars, with the goal of determining their fundamental parameters as input to seismic modeling (see Sect. 3).
The availability of these large samples of B-type stars enables different types of studies to be performed, e.g., leading to a significant improvement in the fundamental parameter calibration for this temperature range and to a confrontation with and evaluation of stellar evolution models (e.g., Hunter et al. 2008b). The drawback of this enormous amount of data, however, is, as mentioned before, the large parameter space that must be explored, a time-consuming process, if no adequate method is available. It requires a method that is able to derive the complete set of parameters of stars with a wide variety of physical properties in an objective way.
To deal with the large GAUDI dataset, we investigated the possibility of automated spectral line fitting and opted for a grid-based fitting method: AnalyseBstar. In Sect. 2, we justify our choice of a grid-based method, present the setup and discuss several tests which were applied to check the performance of the routine. A more detailed description of our methodology can be found in the appendix. Section 3 illustrates the first application of AnalyseBstar to the sample of CoRoT candidate targets in the GAUDI database and Sect. 4 deals with the physical interpretation and some statistical properties of the resulting parameters. Section 5 summarizes the main results obtained in this paper.
2 Automated fitting using a grid-based method
Spectral line fitting is a clear example of an optimization problem. To determine the optimal fit for a given observed stellar spectrum among a set of theoretically predicted spectra from stellar atmosphere models, we scan the space defined by the free parameters of the stellar atmosphere model. Because of the size of this parameter space and in terms of analyzing large samples, it is clear that performing the parameter scan by means of fit-by-eye is inappropriate. The ``subjective'' eye should be replaced by an ``intelligent'' algorithm, in such way that the procedure of finding the optimum fit becomes automatic, objective, fast, and reproducible, even though human intervention can never be excluded completely.
2.1 General description of our grid-based method
In contrast to the case for O stars (e.g., Mokiem et al. 2005), treating the entire spectral range B with a single approach requires additional diagnostic lines besides H and He. In this region, Si (in its different ionization stages), rather than He, becomes the most appropriate temperature indicator. With this in mind, we chose to develop an automatic procedure based on an extensive and refined grid of FASTWIND models. This offers a good compromise between effort, time, and precision if an appropriate grid has been set up. The grid should be comprehensive, as dense as possible, and representative of the kind of objects one wishes to analyze. As for the fit-by-eye method, a grid-based algorithm will follow an iterative scheme, but in a reproducible way using a goodness-of-fit parameter. Starting from a first guess for the fundamental parameters, based on spectral type and/or published information, improved solutions are derived by comparing line profiles resulting from well-chosen existing (i.e., pre-calculated) grid models to the observed line profiles. The algorithm terminates once the fit quality cannot be improved anymore by modifying the model parameters.
We are aware of the limitations inherent to this method. When
a new
version/update of the atmosphere or line synthesis code is released
(e.g.,
due to improved atomic data), the grid needs to be updated as well.
An advantage, on the other hand, is that the line-profile fitting
method itself
remains unchanged and the revision involves only the computation of a
new grid.
This is an enormous amount of work (e.g., seven months were needed to
compute
and check the grid in Lefever et al. 2007a),
but because of the efficient performance of the FASTWIND code, this
should not be an insurmountable problem.
A grid-based method fully relies on a static grid and no additional models are computed to derive the most likely parameters. Consequently, the quality of the final best fit and the precision of the final physical parameters are fully determined by the density of the grid. This underlines, again, the necessity of having a grid that is as dense as possible, allowing for interpolation. On the other hand, the grid method has a plus-point: it is fast. Whereas the analysis with, e.g., a genetic algorithm approach (e.g., Mokiem et al. 2005) needs parallel processors and several days of CPU to model one target star, our grid method will, on average, require less than half an hour on one computer, because no additional model computations are required.
2.2 The code AnalyseBstar
Our grid-based code, called AnalyseBstar, was developed for the
spectroscopic analysis of B stars with winds. It is written in
the Interactive
Data Language (IDL),
which allows for interactive manipulation
and visualization of data. It fully relies on the extensive grid of
NLTE model
atmospheres and the emerging line profiles presented in
Lefever et al. (2007a,
see also Appendix B.8 for a
brief overview of
the considered parameter set) and
is developed to treat large samples of stars in a homogeneous way. We
use
continuum-normalized H, He, and Si lines to derive the
photospheric properties
of
the star and the characteristics of its wind. This automated method is
not
only homogeneous, but also objective and robust. A full description of
the
design of AnalyseBstar, including the preparation of the input, the
iteration
cycle for the determination of each physical parameter, and the
inherent
assumptions, is given in Appendix B
.
The intrinsic nature of our procedure allows us to derive estimates of the true parameters of the star, which in most cases are in-between those of two model grid points. In what follows, we refer to them as ``interpolated values''. The corresponding grid values are the parameters corresponding to the grid model lying closest to these interpolated values.
Furthermore, we denote the surface gravity as being derived
from fitting the
Balmer line wings as
,
while the gravity corrected for centrifugal
terms (required, e.g., to estimate consistent masses) will be denoted
by
.
The (approximate) correction itself is obtained by adding the term
to the uncorrected gravity (Repolust
et al. 2005, and references
therein), with
the projected rotational velocity.
2.3 Testing the method
2.3.1 Convergence tests for synthetic FASTWIND spectra
Before applying AnalyseBstar to observed stellar spectra, we tested
whether the method was able to recover the parameters of synthetic
FASTWIND
input spectra. To this end, we created several synthetic datasets in
various regions of parameter space, with properties representative of a
``typical'' GAUDI spectrum. For more details of the setup of this test
dataset
and the results of the convergence tests, we refer to
Appendix A.
In all cases, the input parameters were recovered well and no
convergence
problems were encountered. Minor deviations from the input parameters
were found
to be as
expected and within the errorbars. Also the derived
-values,
which are
difficult to differentiate from potential macroturbulent velocities (
),
agreed very well with the inserted values, irrespective of
.
This shows that the Fourier transform method of Gray (1975,1973),
whose implementation by Simón-Díaz
& Herrero (2007) we used, indeed allows us to
separate both effects (but see below). Altogether, this provides us
with enough
confidence to believe that our procedure will also be able to recover
the
physical parameters from real spectral data.
2.3.2 FASTWIND versus Tlusty: profile comparison and analysis of Tlusty spectra
As an additional test, we compared line profiles based on FASTWIND
models with
negligible mass loss with their corresponding counterpart in the grid
computed
with the NLTE model atmosphere code Tlusty (Hubeny
& Lanz 2000),
which also incorporates a fully consistent NLTE metal line blanketing.
This resulted in overall good agreement, except for low gravity stars,
where
differences arise. It concerns differences in the forbidden
He
I components (which are quire strong in
FASTWIND, but almost absent in Tlusty), the Balmer line wings (which
are slightly stronger in FASTWIND than in Tlusty,
yielding slightly lower
values) and the Si II/ III
EW ratio
for effective temperatures
kK
(which is higher for FASTWIND than
for Tlusty - due to both stronger Si II
and weaker Si III lines -,
yielding higher
values).
The reason that FASTWIND predicts stronger Balmer line wings is
differences in
the broadening functions and an underestimated photospheric
line pressure, which can affect the photospheric structure of
low-gravity
objects. Differences are about or below 0.1 dex, and become
negligible
for dwarf stars. Apart from a the problem with the forbidden
components, the
profiles of the cooler models (
kK)
compare very well.
To check the uncertainty in the synthetic profiles, we applied
AnalyseBstar
to profiles of six prototypical Tlusty models at 3 different
temperature points
(15 000, 20 000, and 25 000 K) and
at a high and a low gravity.
We added artificial noise to the data to obtain a typical SNR of
150 and artificially broadened the profiles with a fixed projected
rotational
velocity of
km s-1.
The results of the comparison can be
found in Table 1.
The input and output fundamental parameters agree very well within the
resulting errors, with only one exception, which is the model with high
and
higher
,
where the temperature is off by 2000 K.
Around 20 kK, we experience similar difficulties in
retrieving a unique
temperature as in the cool B star domain, i.e., depending on the
gravity, we
may have only one stage of Si available, in this case Si
III. Indeed, whereas
the Si
II lines are clearly visible in the higher
gravity test case (
),
they are no longer detectable in the lower gravity case (
).
At this
,
there are (unfortunately) no obvious Si
IV lines yet, which
complicates the analysis. Even though, AnalyseBstar is still able to
retrieve
the correct effective temperature, albeit with larger
errors, using the same alternative method developed for late B type
stars when
only Si II is available (see
``method 2'' in Sect. B.3).
Table 1: Result of applying AnalyseBstar to synthetic Tlusty profiles.
2.3.3 Comparison with fit-by-eye results for well-studied pulsators
Having thoroughly tested that AnalyseBstar indeed converges towards the
optimal solution and that it is able to recover the input parameters of
synthetic spectra, we performed an additional test on real spectra.
We tested our method on a selected sample of high-quality,
high-resolution
spectra of pulsating B stars (
Cephei and slowly pulsating B
stars (SPB)). The (mean) spectra of these stars have a very high
signal-to-noise ratio (SNR), attained by the addition of a large number
of
individual exposures (see Morel
et al. 2007). Given that we excluded binaries
from our GAUDI sample (see Sect. 3.1),
we also ignored
Oph and
Cru for the test sample. Moreover,
V2052 Oph is chemically peculiar and was thus excluded, as
well as V836 Cen
for which only one spectrum is available. Thus, we limited our test
sample to those single stars in Morel et al. (2007)
for which numerous high-quality spectra were available.
Because of the high quality of these spectral time series,
they are ideally suited to testing AnalyseBstar.
Table 2a:
Fundamental parameters of well-studied
Cephei stars (spectral types
from SIMBAD), as derived from AnalyseBstar
(values from the closest grid model are listed).
Table 2b: Same as for Table 2a, but now for some well-studied SPBs.
Table 2c: Same as for Table 2a, but now for some well-studied hot B stars.
|
Figure 1:
Comparison of the effective temperatures
( left) and surface gravities ( right)
derived with FASTWIND (AnalyseBstar) with
those found by Morel
et al. (2006,2008) and Briquet & Morel (2007)
using
DETAIL/SURFACE, for the |
| Open with DEXTER | |
The
Cephei
stars and
two of the SPB stars were analyzed in detail by
Morel
et al. (2006,2008) and Briquet & Morel (2007),
respectively. These authors used the latest version of the NLTE line
formation codes
DETAIL and SURFACE (Butler
& Giddings 1985; Giddings 1981), in
combination with
plane-parallel, fully line-blanketed LTE Kurucz atmospheric models
(ATLAS9, Kurucz 1993),
to determine (by eye) the atmospheric
parameters and element abundances of low-luminosity class objects with
negligible winds.
The outcome of the comparison with their results are summarized in
Tables 2a
to 2c,
and in
Figs. 1
and 2.
Typical errors for
and
are, respectively, 1000 K and 0.15
for the comparison data sets of Morel et al. (2006,2008)
and
Briquet & Morel (2007),
which is somewhat more conservative than the
errors adopted in this study. We adopt typical 1-
errors of 0.10 dex for
,
1000 K for
and
,
and 500 K for
.
The error in the derived Si-abundance,
,
was estimated to be 0.15 and 0.20 dex for objects above and
below
15 000 K, respectively (see also Sect. B.3).
Although the effective temperatures derived from FASTWIND tend
to
be, on average, slightly below the ones derived from DETAIL/SURFACE, it
is clear that, within the errorbars, FASTWIND and DETAIL/SURFACE
provide
consistent results for
and
(Fig. 1)
as
well as for
(Fig. 2),
On the other hand, the
values derived by Morel
et al. (2008) are typically slightly above those
derived
by us. This is readily understood because their values implicitly
include the
macroturbulent velocity, which has not been taken into account as a
separate
broadening component. In those cases where we derive a vanishing
,
the
values are in perfect agreement.
Aerts et al. (2009)
suggested that macroturbulence might be explained in
terms of collective pulsational velocity broadening caused by the
superposition
of
a multitude of gravity modes with low amplitudes (see also
Appendix B.4).
In this respect, we expect stars for which
differs
from zero to be pulsators.
|
Figure 2:
Comparison between the Si abundances derived from
AnalyseBstar and those derived from DETAIL/SURFACE for the set of
photometric
targets, used to evaluate the performance of AnalyseBstar. The black
dotted
lines represent the solar Si abundance (
|
| Open with DEXTER | |
For a few overlapping objects, we could also compare our results with those from independent studies by Mokiem et al. (2005), based on FASTWIND predictions for H and He lines and using a genetic algorithm approach, and by Przybilla et al. (2008), using ATLAS9/DETAIL/SURFACE, allowing for a comparison of H, He, and Si. The consistency with both studies is quite good, except for the Si abundance of HD 36591 determined by Przybilla et al. For this object, Hubrig et al. (2008) obtained a value close to ours, using the same ATLAS9/DETAIL/SURFACE code. Ad hoc, we cannot judge the origin of this discrepancy.
For two targets, HD 85953 and
Sco,
somewhat larger differences between the derived microturbulence are
found. For HD 85953, this difference is compensated by an
opposite difference in
the derived Si abundance. For
Sco, on the other hand, the derived microturbulence (and also
the Si abundance) is in perfect agreement with the values provided by
Hubrig et al. (2008)
and Przybilla et al.
(2008)
within the defined errorbars, whereas
the value for the microturbulence derived by Mokiem
et al. (2005) differs
substantially. As they did not derive the Si abundance, we cannot
assess on the
difference in Si abundance this would have caused.
An even more detailed test can be completed for stars with
seismically
determined values of the fundamental parameters. 12 Lac is
such a star. It is known to be a non-radial pulsator with at least
11 independent oscillation frequencies
(Handler et al. 2006).
That 12 Lac is a rich pulsator clearly shows up in
the line profiles, which are strongly asymmetric. In particular, the
Si III triplets (Si III 4552-4567-4574
and Si III 4813-4819-4829)
are skew.
Figure 3
shows the observed spectrum (black), which is a
combination of 31 exposures.
Using the Fourier transform method, we find the
projected rotational velocity to be 44 km s-1,
which is slightly above the
36 km s-1 derived from
modelling the line profile variations
(Desmet et al. 2009).
Including macroturbulence in the spectral line fitting, we deduce the
following
parameters:
= 23 000 K
1000 K,
=
3.6
0.1,
km s-1,
and solar He and Si abundances
(solid grey lines in Fig. 3). The
derived surface gravity is in perfect agreement with the seismically
determined value of
(3.64-3.70) determined by Desmet
et al. (2009).
Apart from the Si abundance, our results are also
in agreement with Morel
et al. (2006, see
Table 2a#,
who derived
=
24 500 K
1000 K,
= 3.65
0.15,
km s-1,
and depleted Si abundances as seem to be typical of B dwarfs in the
solar
neighborhood. To account for the pulsational broadening, we needed to
include a macroturbulence of 37 km s-1.
Forcing the
macroturbulence to be zero while keeping the derived value of
leaves
the main physical parameters (
,
and
He abundance) unaltered, while the microturbulent velocity
and the Si
abundance change to compensate for the change in profile shape:
the microturbulence becomes larger (12 km s-1,
broader lines) and the Si
abundance becomes lower (depleted,
). As
expected, this
depleted Si abundance is
in agreement with Morel
et al. (2006), who did not include
in their
analysis. When evaluating the fit quality, we
find, besides the expected mismatch in the Si line wings, also a
discrepancy in
the line cores of He (dashed grey lines in Fig. 3). Following
Aerts et al. (2009),
this might be improved by accounting for the pulsational
broadening introduced by the collective set of detected oscillations in
12 Lac,
as this would result in a shape intermediate between a rotation and a
Gaussian
profile. However, the only way one can account for this, is by using an
appropriate time series of spectra. The above example illustrates that
we need
to account for pulsational broadening to correctly assess the Si
abundance and
microturbulence. In this sense, it is advisable to work with ``
''
as a
substitute for the time-dependent broadening in the case of
``snapshot''
spectra.
|
Figure 3:
Illustration of the effects of time-independent
broadening on the derived parameters for 12 Lac
(B2 III). The
observed line profiles (solid black lines) are fitted using
AnalyseBstar.
Inclusion of time-independent broadening (by means of
macroturbulence) yields the solid grey fit, with optimum values of
|
| Open with DEXTER | |
3 Application to the GAUDI B star sample
3.1 CoRoT & GAUDI
The French-led European space mission CoRoT (Convection, Rotation, and
planetary Transits;
see ``the CoRoT Book'', Fridlund
et al. 2006) was
launched successfully on December 27th, 2006. The
observational setup of the CoRoT
seismology programme (observations of a small number of bright stars
over a very
long period) made target selection a crucial issue. Because of the
acute
shortage
of available information about the potential CoRoT targets, the need
for
additional
data was high. Therefore, an ambitious ground-based observing program
of more
than 1500 objects was set up, under the leadership of C. Catala at
Meudon, to
obtain Strömgren photometry (
)
as well as high-resolution
spectroscopy (FEROS, ELODIE, SARG, CORALIE, GIRAFFE, coudé spectrograph
at the 2 m telescope in Tautenburg, CATANIA). These data were
collected in an extensive
catalogue, maintained at LAEFF (Laboratorio
de Astrofísica
Espacial y Física Fundamental) and baptized GAUDI:
Ground-based
Asteroseismology Uniform Database Interface (Solano et al. 2005).
The Be stars within the GAUDI database were studied by Frémat et al. (2006) and Neiner et al. (2005) and are omitted here, since the FASTWIND code is not developed to treat stars with a circumstellar disc. Also double-lined spectroscopic binaries (SB2) were omitted from our sample, as their combined spectra ensure that an accurate fundamental parameter estimation is impossible as long as their flux ratios are not known. Among the GAUDI sample, we discovered a few candidate spectroscopic binaries, which were not known to be SB2s. It concerns HD 173003 (B5), HD 181474 (B5), HD 42959 (B8), HD 50982 (B8, variable star), HD 51150 (B8, clearly asymmetric profiles), HD 181761 (B8), HD 45953 (B9, variable star), and HD 46165 (B9).
For the few available SARG data, only the default normalized
spectra were
inserted into the database and we failed to place our hands on the raw
data,
which
would be needed for a careful re-rectification. The poor continuum
rectification is particularly clear from H
,
but also shows up in other
line profiles. Moreover, the spectral coverage of the SARG
spectra is too small to deduce any useful information. Therefore, we
excluded
all SARG spectra from our sample. The same accounts for the CATANIA
spectra,
for which the spectral quality was too poor for a detailed spectral
analysis,
so these spectra were also omitted. We thus restrict this paper to
FEROS and ELODIE spectra, having a
resolution of 48 000 and 50 000, respectively.
The standard FITS data of the FEROS and ELODIE spectra in the
GAUDI
database contain information about both the normalized spectrum,
resulting from
the pipeline reduction, and the unnormalized spectrum. Since
the quality of normalization turned out to be insufficient for our
detailed
analyses, one of us (TM) redid the normalization for all spectral
ranges around
the diagnostic lines in a uniform way using
IRAF
to ensure a homogeneous
treatment of the sample.
Among the GAUDI sample, we find, as expected, a large number
of rapid rotators.
Their spectra usually contain insufficient line information because of
their
high projected rotational velocities. Often, only the Balmer lines and
the
strongest He I lines (i.e.
He I 4026, 4471 and
4922) can be
detected, while all Si lines are
lost. The stars that were discarded for this reason are
HD 182519 (B5, >300 km s-1),
HD 50751 (B8, >200 km s-1),
HD 56006 (B8, >150 km s-1),
HD 45515 (B8 V, >190 km s-1),
HD 182786 (B8,
>160 km s-1),
HD 50252 (B9 V, >140 km s-1),
HD 169225 (B9,
>160 km s-1),
HD 171931 (B9, >250 km s-1),
HD 174836 (B9,
>140 km s-1), 176258
(B9 V, >160 km s-1),
HD 179124 (B9 V,
>270 km s-1), and
HD 45760 (B9.5 V, >190 km s-1).
For some of the GAUDI stars, we were able to fit the spectrum despite
the high
projected rotational velocity, but their resulting parameters cannot be
very
reliable.
This concerns HD 51507 (B3 V, 148 km s-1),
HD 45418 (B5, 237
km s-1),
HD 46487 (B5 Vn, 265 km s-1),
HD 178744 (B5 Vn, 224 km s-1),
HD 43461 (B6 V, 210 km s-1),
HD 44720 (B8,
160 km s-1), HD 49643
(B8 IIIn, 296 km s-1),
HD 173370 (B9V, 282 km s-1,
double-peaked
profile), HD 179124 (B9 V, 278 km s-1),
and HD 181690
(B9 V, 189 km s-1).
Their parameters can be found in
Table 3.
For other targets, we have only spectra of insufficient quality that cannot be used for spectral line-fitting purposes. It concerns HD 48691 (B0.5 IV), HD 168797 (B3 Ve), HD 178129 (B3 Ia), HD 57608 (B8 III, possible instrumental problem), HD 44654 (B9), HD 45257 (B9), and HD 53204 (B9).
For a few stars, we have both an ELODIE and a FEROS spectrum,
e.g.,
for HD 174069. From inspection of the spectra, it is
immediately clear that
there are differences between the line profiles, the wings
of the Balmer lines in particular being far less pronounced in the
ELODIE
spectra (see
Fig. 4).
Other stars, for which we have both a FEROS and
an ELODIE spectrum available, also show the same discrepancy, so there
seems to
be a systematic effect. We fitted both spectra and derived a different
set of parameters. The difference in
is large (>0.5 dex)
and certainly worrisome.
To investigate this problem, we searched for spectra
in the FEROS and ELODIE archives and realized that the coaddition of
the ELODIE spectra by the pipeline is far less accurate than for the
FEROS spectra. This is because of an inaccurate
correction for the blaze function by the ELODIE pipeline. Due to
this, we also repeated the merging of the orders for the ELODIE
spectra,
before the normalization.
This led to a much closer agreement with the available FEROS spectra.
We thus advise future users against working with the merged and
normalized
spectra from GAUDI, but rather to return to the original spectra in the
FEROS
and ELODIE archives, and not only redo the normalization but even the
merging in
the case of the ELODIE spectra.
Unfortunately, not all stars had a spectrum available in the ELODIE
archives
though, e.g., for HD 47887 (B2 III), HD 52559 (B2
IV-V), HD 48977 (B2.5 V),
HD 50228 (B5), HD 57291 (B5), HD 51892 (B7
III), HD 52206 (B8), and HD 53202
(B9), we could not find the original spectrum, so we removed these
stars
from our analysis. For HD 43317 (B3 IV), the archival spectrum
was not usable.
Table 3: Stellar parameters of the analyzed GAUDI B type stars as derived from the best-fit model to the observations found by AnalyseBstar.
Finally, for 17 of the remaining stars, we could not find a satisfactory fit, and we decided to leave them out of the sample. One possible explanation might be that they are single-lined binaries (see also Massey et al. 2009 who encountered similar problems when analyzing a large sample of LMC/SMC O-stars).
Altogether, this, unfortunately, reduces our sample dramatically, and we are left only with a little more than a third of the initial targets in the database: 66 out of 187 objects. Moreover, most of the objects are late B-type stars. Figure 5 shows a histogram of the breakdown of the sample in terms of spectral subtype. The ratio given above each bin indicates the number of analyzed targets to the total amount available before the selection procedure.
3.2 Analysis results
3.2.1 Example fits
To illustrate the obtained quality of the final fits, we show in
Figs. 6
to 8 some
examples of the resulting spectral
fits for three very different stars included in GAUDI: a ``cool''
giant, a hot supergiant, and a middle type dwarf.
The corresponding physical parameters are listed in
Table 3,
which summarizes the derived stellar
parameters of the analysed GAUDI B type stars
.
|
Figure 4: HD 174069: Significant (and apparently systematic) discrepancies are observed between the line profiles of the FEROS (solid black line) and the ELODIE (dashed black line) spectrum from the GAUDI database. This leads to considerable discrepancies in the derived stellar parameters. In grey, we show the normalized ELODIE spectrum obtained from the ELODIE archives, which shows a much better agreement with the available FEROS spectra. |
| Open with DEXTER | |
| Figure 5: Histogram of the analyzed stars within the GAUDI B star sample. The ratio marked above each bin indicates the number of analyzed targets compared to the total amount that was available before the selection procedure, e.g., 1/5 means that there were 5 objects with this spectral type in the database, but that, for certain reasons, we were only able to analyze 1 of them. In total, 66 out of 187 objects could be analyzed. |
|
| Open with DEXTER | |
3.2.2 Comments on individual stars
In what follows, we discuss a few of the sample stars individually, because of certain particularities.
HD 45284.
The derived effective temperature is in complete agreement with what was found by Hubrig et al. (2006). This star is an SPB exhibiting a magnetic field. The combination of effective temperature and gravity derived from Geneva photometry (Hubrig et al. 2006) infers that the star is just outside the main sequence towards the high-gravity side. With our newly derived
|
Figure 6: Example of the line profile fits for a ``cool'' giant which has, meanwhile, been observed by CoRoT (Miglio et al., in preparation): HD 181440 (B9 III). Despite the low quality of the data, and the fact that we have no more Si III left in this temperature region, we are still able to obtain a satisfying solution. |
| Open with DEXTER | |
|
Figure 7:
Example of the line profile fits for the
only hot supergiant in our sample:
HD 52382 (B1Ib).
While the peak of |
| Open with DEXTER | |
HD 46616 (B8).
Is a clear example of a He-weak star: all He I-lines have extremely low equivalent widths compared to ``normal'' B stars. Even though the hydrogen and Si lines are reproduced well, the He lines are predicted to be too strong in our grid modelsHD 48106 (B8).
Is oxygen poor based on the non-detection of the O I 7771-7775 triplet and is either He weak or Si strong. We were unable to fit both the He and Si lines at the same time.For HD 46340 (B8).
Only He I 4471 and Si II 5041-5056 are visible. This was only sufficient to make a very rough estimate of the fundamental parameters:On the hot side of the B-type domain, the analysis of the early-type stars (e.g., HD 172488 (B0.5 V), HD 52918 (B1 V), and HD 173198 (B1 V)) show similar difficulties. The iterative procedure tends to yield too low temperatures because of the lower weight of the Si IV and He II lines as we have only one weak line. Since only Si III is reliable and He I is not affected much by the effective temperature in this range, we are unable to derive trustworthy results.
|
Figure 8: Example of the line profile fits for an intermediate hot dwarf: HD 44700 (B3 V). The strong lines on the blue side of Si III 4716 and Si III 4819 are easily mistaken for the Si lines themselves. This is the reason why we always indicate the exact position of the transition during the full preparation process. The poor fits of He I 4010 and 4140 are caused by the incomplete broadening functions of these lines. These lines were not used during the fitting procedure, but only as a double check afterwards (see Appendix B.1). We observe a similar behavior in several other stars. All other lines, even the weakest, fit very well. The shape of He I 4471 is even perfect. |
| Open with DEXTER | |
HD 173370 (B9 V).
Shows a double-peakedWe also found a few chemically peculiar stars among the B stars in the GAUDI database. They are HD 44948 (B8 Vp), HD 45583 (B8), HD 46616 (B8), and HD 44907 (B9). They have a very rich spectrum, with a forest of sharp spectral lines, complicating the continuum determination and the fitting process, since almost all lines are blended. The He lines of HD 45583 are extremely weak and those of HD 46616 even completely vanish. Following Landstreet (2007), HD 45583 is a periodically variable Ap star. The line spectrum is completely distorted, hence too complicated to fit. The Si II lines are very strong, which indeed points towards a B8 or even B9 star.
4 Statistical properties of the sample and physical interpretation
4.1 Effective temperature scale
To derive a reliable calibration of the effective temperature as a
function of
the spectral subclass for B dwarfs, we need enough stars for which we
have
accurate information about both parameters. Unfortunately, this
prerequisite is
not fulfilled for our sample, as can be seen from the very large
scatter around
the existing spectral-type-
-calibrations,
presented in
Fig. 9.
The scatter is caused by uncertain effective temperatures
for some targets and incorrect spectral type designation for others.
Indeed, for
several stars, we encountered problems in the analysis, primarily
because of the absence of Si lines for many rapid-rotating late B type
stars. These stars
are too cool to have Si III
present in their line spectrum, and the
Si II lines are completely
smooth, so that they become hardly
detectable. Even when they remain visible, the two lines of the
Si II 4128-4130 doublet
are so heavily blended that they cannot be used
any
longer. In these cases, the He I
lines are the only lines that can be
used to estimate the effective temperature, which are, therefore, not
reliable
enough to use in the derivation of an accurate temperature calibration.
On
the other hand, several stars for which we were able to derive accurate
values
of the effective temperature were found to have completely wrong
spectral
types. We caution against the use of spectral types as they are quite
often
derived from
low-resolution and low-quality spectra.
Flags and remarks about the fit quality of individual targets were
included in
Table 3.
|
Figure 9: Effective temperature as a function of spectral type. We compare the position of our sample stars to existing temperature scales: for Galactic dwarfs, for spectral types up to B3 (Trundle et al. 2007, solid black line), for dwarfs in the entire B type domain (Crowther 1998, dashed black line), for Galactic B supergiants (Lefever et al. 2007b, dotted grey line), and for Galactic and SMC B supergiants (Markova & Puls 2008, solid grey line). Due to wind blanketing effects, the calibrations of the B supergiants lie at lower temperatures than the calibrations of B dwarfs. The supergiants (l.c. I) are indicated by diamonds, the (sub)giants (l.c. II and III) by asterisks and the (sub)dwarfs (l.c. IV and V) by squares. Filled circles indicate the stars for which we do not have any a priori information about luminosity class. It can be seen that spectral types taken from the literature can be quite inaccurate (see text). |
| Open with DEXTER | |
4.2 The stars
in the (
,
)-diagram
Figure 10
shows the (
,
)-diagram
of the analyzed
GAUDI stars, along with the position of instability strips. The latter
were
computed with the evolutionary code CLÉS (Scuflaire
et al. 2008) and the
pulsation code MAD (Dupret
et al. 2002), respectively. These strips were
computed for a core-overshoot parameter of 0.2 times the local pressure
scale height (Miglio
et al. 2007a,b). From seismic modeling of B
type stars, it was indeed found that core overshooting occurs, on
average, for
this value (Aerts 2008).
We thus compare the position of the GAUDI stars with the latest models
tuned by asteroseismology.
For 40% of the GAUDI stars (26 out of 66), we have information
about the
luminosity class. All but one (i.e. 9 out of 10) of known
luminosity
class II or III are indeed situated beyond the terminal age main
sequence (TAMS hereafter),
so we confirm them to be giants. The only exception
is HD 49643, a star of spectral type B8 IIIn, i.e.,
with spectroscopic lines
that may originate from nebulosity. The star is a rapid rotator with
a
of almost 300 km s-1. The
absence of Si lines because of the
high rotation implies that its estimates of
and
are less
reliable than for the bulk of the sample stars. Thus, its derived
gravity of
3.70 dex might be compatible with its previous classification
as a giant.
Three of the 14 stars with luminosity class IV or V were found
to be giants,
i.e., they have - within the errorbars - a surface gravity
that is
lower than 3.5, i.e., the stars HD 43461 (B6V),
HD 50251 (B8V), and
HD 182198 (B9V), of
which HD 43461 is a rapid rotator and has, therefore, less
reliable parameters
because of the absence of Si lines. For the other two stars,
it is possible that they are rapid rotators, observed almost pole-on.
Because of centrifugal effects, the stellar surface would become
distorted, and
effective temperature (due to gravity darkening) and surface gravity
would increase towards the pole. If observed pole-on, both quantities
might be
underestimated with respect to their average values.
On the other hand, the main sequence also becomes extended
compared to standard models when rotation is taken into account
(e.g., Maeder & Meynet 2000).
Similar results to ours were obtained by Hempel
& Holweger (2003), who found that 6
out of their 27 sample stars with spectral type between B6V
and B9V have a
below 3.5.
Depending on the input physics, stellar evolution theory shows
that
roughly 10-20% of the B8-B9 stars are in the giant phase, but only 2 to
5% of B0-B3 stars (e.g., Scuflaire et al. 2008;
Prialnik
2000).
From the 40 stars without luminosity class treated by us, 11
are found to be
outside the main sequence. From the 14 dwarfs, 3 turn
out to be giants as well,
and from the 10 giants, one was instead found to be a dwarf.
Thus our
sample contains 23 giants, 19 of which have spectral type
B8-B9. Since our
sample contains in total 51 stars of spectral type B8-B9, this
means
that the percentage of late type giants in our sample (37%) is about
twice
the expected amount. Only five stars in our sample have spectral types
earlier
than B3, one of which is a giant, which provide too low number
statistics to
verify the expected percentage.
We found that 20 of the 40 stars without luminosity class have
above
90 km s-1, and for 8 of them
even
km s-1.
This rapid
rotation may again explain why we observe twice the number of expected
giants
when comparing with standard models. Rotation was also found to be a
necessary
ingredient of evolutionary models when explaining the number of
observed
giants in the well-studied open clusters h and
Per
(Vrancken et al. 2000,
in particular their Fig. 3).
|
Figure 10:
(
|
| Open with DEXTER | |
4.3 The macroturbulent and rotational velocities
When comparing the rotational broadening with macroturbulence, we
observe
a systematic trend of increasing
with increasing
for those
stars for
which some pulsational behavior may be expected, i.e., for the stars
where
cannot be neglected (filled circles in Fig. 11).
This is consistent with Markova
& Puls (2008, and references therein), who found
that, in almost all cases, the size of the macroturbulent velocity was
similar
to the size of the rotational velocity. On the other hand, they also
found
and
to decrease towards later subtypes, being about a factor
of two lower at B9 than at B0.5, and that, in none of their
sample stars,
rotation alone was able to reproduce the observed line profiles. We
cannot confirm either of both statements, because, in contrast, we have
found many cases of
zero macroturbulence, and many late B type stars with very high
macroturbulent
velocities. The trend connecting
and
suggests that it is
challenging to differentiate between the effects of both
broadening mechanisms. All
``
''-values
seem to be
at least one third of
,
as can be inferred from the position of the
filled circles above the dashed line in Fig. 11. From a
certain
projected rotational velocity (i.e., around
km s-1,
dotted vertical line) to larger values, it is impossible to distinguish
between
both effects, since the pulsational behavior (represented by
)
completely disappears in the projected rotational broadening. Following
the
earlier argumentation that stars that have a non-negligible
macroturbulent
velocity may have the largest pulsational amplitudes, we investigated
the
behavior of
in the (
,
)-plane
(see
Fig. 12).
On a global scale, the
-values
exhibit a
random spread. The position of some individual cases is intriguing,
e.g., the
supergiant HD 52382 (log
,
).
The
star's position is compatible with the occurrence of
gravity modes excited by the opacity mechanism in evolved stars and may
belong
to a particular class of pulsating B-type supergiants
(Lefever et al. 2007b).
As pointed out by Aerts
et al. (2009), these gravity-mode
oscillations may result in pulsational line broadening, hence the high
-value
we find. In addition, HD 48807 (B7 Iab) and
HD 48434 (B0 III)
show macroturbulence and may belong to the same class. Some of the
dwarfs in
the sample show macroturbulence, e.g., HD 48215
(B5 V), HD 177880 (B5 V), and
HD 50251 (B8 V) might be g-mode pulsators in the SPB
instability domain. Many
stars with
below 3.5 have a reasonable to large
,
which may
imply that they are pulsators. It is noteworthy that all instability
computations for mid to late B stars so far have been computed
for non-rotating models and
were stopped artificially at the TAMS from the argument that no star is
expected to be found in the Hertzsprung gap. However, B8 to
B9 stars transverse this gap
at a far lower rate than stars of spectral type earlier than B7 and our
observational spectroscopic results point out that it would be
worthwhile to
extend the instability strip computations beyond the TAMS.
Finally, the magnitude of the microturbulence seems to be
randomly distributed
in the (
,
)-diagram,
and related neither to the effective
temperature nor the surface gravity (see Fig. 13).
|
Figure 11:
Comparison between the macroturbulence and the
projected rotational velocity |
| Open with DEXTER | |
|
Figure 12:
Same as Fig. 10,
but
representing the values of |
| Open with DEXTER | |
|
Figure 13:
Same as Fig. 12,
but
the size of the symbols is now proportional to the microturbulent
velocity |
| Open with DEXTER | |
5 Future use of our results
The GAUDI database was compiled during the preparation of the CoRoT
space
mission. We applied our developed automated tool to determine the
fundamental parameters to numerous B stars in this database.
An independent study used the same database to determine the abundances
of the
89 B6-B9 stars in GAUDI, using a different approach based on LTE
atmosphere
models without wind and LTE occupation numbers. We refer to Niemczura et al. (2009)
for the underlying
assumptions, but mention here that a mild depletion of both Fe and Si,
with average values of the iron and silicon abundances of
dex
and
dex, respectively,
was found for their sample. This result was
obtained by spectrum synthesis with the LTE approximation, by fixing
the effective temperatures from photometric calibrations, the
microturbulence to be 2 km s-1,
and ignoring any macroturbulence in the
line profile fits. The mild Si depletion agrees with our results for
the Si abundance of the late B stars analyzed by ourselves.
The first set of CoRoT data have been released to the public. Two of our sample stars have already been observed by the satellite, i.e., HD 181440 (B9 III) and HD 182198 (B9 V). The spectra of these stars were available in the GAUDI database and their parameters are listed in Table 3. Their seismic analysis is under way (Miglio et al., in preparation).
We emphasize that one of the primary targets of CoRoT is
HD 180642
(B1.5 II-III), which is a mildly N-enriched, apparently slowly
rotating
Cephei
star, discovered by Aerts (2000).
Morel & Aerts (2007)
determined
its fundamental parameters from high-resolution spectroscopy and
derived
K,
,
and
km s-1.
By applying AnalyseBstar, we found that the model with
K,
logg =
,
and
km s-1
is the closest fitting, so our results agree very well with
theirs. We thus classify this star as a pulsator very close to the
TAMS. It
will be very interesting to see whether this spectroscopic result is
confirmed by the seismic modeling of oscillation frequencies derived
from the
CoRoT space photometry, because this would imply that one of the few
Cephei stars
is very close to the end of the core-hydrogen burning
stage.
At the time of launch, the CoRoT space mission was nominally approved to operate only until 2009, but, given its excellent performance, the operation time will probably be extended. It is therefore to be expected that several more B-type stars in GAUDI will be observed by the mission in the near future.
AcknowledgementsThe research leading to these results has received funding from the European Research Council under the European Community's Seventh Framework Programme (FP7/2007-2013)/ERC grant agreement no 227224 (PROSPERITY), as well as from the Research Council of K.U. Leuven grant agreement GOA/2008/04. The authors wish to thank Alex de Koter cordially for insightful discussions and helpful comments throughout the project. The authors would like to thank the anonymous referee for valuable comments and suggestions on how to improve this paper.
Appendix A: Formal convergence tests for synthetic FASTWIND spectra - some details
Before applying AnalyseBstar to real, observed spectra, we first tested whether the method is able to recover the input parameters of synthetic spectra. For this purpose, we created several synthetic datasets in various regions of parameter space. We do not discuss all of them here, but we chose three specific examples (lying exactly on a grid point), each representative of a different type of star:
- Dataset A: a B0.5 I star with a rather dense stellar wind
and a strongly
enhanced helium abundance.
- Dataset B: a B3 III star with a weak stellar wind and a
depleted Si
abundance.
- Dataset C: a B8 V with a very thin stellar wind.
Table A.1: Input parameters for nine synthetic models (IN) are compared to the actual (interpolated and best-fit model) output parameters (OUT) obtained through the application of AnalyseBstar to these synthetic data (see text for further explanation and notes to this table for the meaning of the symbols).
Finally, we prepared the spectra as if they were real data, i.e., defining the EW of all available lines, measuring the SNR to account for the errors in the EW and fixing the projected rotational velocity. Since we analyze synthetic data, obviously no normalization was required.Table A.1 lists the input parameters of the three synthetic datasets as well as the output parameters, obtained applying AnalyseBstar. For each dataset, the second column gives the derived ``interpolated'' values, while the third column lists the parameters of the closest (best-fit) grid model. In the ideal case, both should be exactly the same as the input parameters. This depends, however, on how well the equivalent widths were measured and minor deviations occur as expected.
Besides these three cases, in which we started from a synthetic model given by one of the grid points, we additionally created three synthetic datasets in which the parameters lie in-between different grid points. In analogy to datasets A to C, their profiles were convolved with both a rotational and macroturbulent broadening profile and artificial noise was added. The input parameters and the results of the analysis were added to Table A.1 as datasets D, E, and F.
|
Figure A.1:
Example of the fit quality for dataset E. The slight
discrepancy in the cores of the Si lines arises from the difference in
Si
abundance between the interpolated value (
|
| Open with DEXTER | |
A third set of models (G, H, I) consists of models computed for parameters not included in the grid, but within the grid limits, and this time without noise, with the aim of testing the predictive power of our method, independent of the source of errors introduced by the noise. The rotational velocity applied to these test models is 30 km s-1, and the macroturbulent velocity is 15 km s-1. We find an overall very good agreement between the closest fitting grid model and the interpolated values, and the input parameters.
Although the models given in Table A.1 were
selected to be the best fitting models, the program additionally came
up with some other
models, which agree with the input model within the errors, introduced
by the
artificial noise and the errors in the determination of the equivalent
widths
(datasets A to F) and/or the various interpolations
(datasets D to I). For
instance, for dataset I, AnalyseBstar came up with a second
possibility with
slightly different parameters, even closer to the input data:
,
km s-1,
km s-1,
N(He)/N(H)
= 0.12,
but with
(the other parameters are the same as those for the
model in the table). Since the Si abundance is overestimated
compared to its
input value, the Si lines are overall a bit too strong and the
final fit is
slightly poorer than for the model in the table.
In all nine cases, the input parameters are well recovered.
Typically 10 to 150 models are selected and considered during
the analysis
cycle. The number depends not only on the choice of the initial
parameters, but
also on the accuracy of the measured quantities and the procedure
applied
(hence, the temperature domain, see below). The longer computation
times for the cooler models are caused by the different method applied
in this range.
We considered numerous other test cases, which are not included in
this text, but for which the input parameters were equally well
recovered.
Slight deviations from the input parameters are as expected. In the
cool temperature domain (datasets C, F, and I), where
our alternative
optimization ``method 2'' is required (see Sect. B.3), we are
also still able to deduce reliable parameter estimates, at least for
the
synthetic models. The results for the Si abundance in
datasets F clearly show
the problem for estimating the abundances when only one ion is present:
the
estimation of the Si abundance was, for this particular test
case, not equal to
the input value. When we have only Si II
lines, the results cannot be as secure as when we have two ionisation
stages of Si. This problem was
accounted for by adopting somewhat larger errors in the derived
parameters, for
objects with
(see Table 3).
When the observed object is close to one of the borders of the grid, the method assumes ``the border'' to be the closest match. This will, consequently, lead to larger errors in some of the other parameters.
The derived
-value,
which is difficult to distinguish from the
macroturbulent velocity, agrees very well with the inserted values,
irrespective of
.
This shows that the Fourier transform method indeed allows us to
separate both effects.
Altogether, this provides us with confidence that our method is working
reliably and that the procedure will also be able to recover the true
physical
parameters from real spectra.
The macroturbulent velocity is the only fit parameter for
which significant
deviations arise, if
is low (<30 km s-1).
However, larger
macroturbulences are recovered well. For datasets C, E, and I,
where
is
only 10-15 km s-1, the
deviation is particularly large (of the order of
between 15 and 30 km s-1).
To understand this discrepancy, we first
considered the line profiles, which show that the fit is almost perfect
for this
(see Fig. A.1).
After verifying the fit quality, we also verified that the
discrepancies do not
arise from our applied procedure, by performing several tests on
simulated
spectra, in which we left only
as
a free parameter. In all
cases, the macroturbulent velocity was recovered very well, with
deviations
within 5 km s-1. The
(sometimes significant) deviations in
can be understood
as a compensation for differences between the interpolated values of
the ``observed'' line profiles and the closest grid model. Indeed, as
shown by Aerts et al. (2009),
small deviations in the wings of the Si profiles can result in wrong
estimates of
and
, because these two velocity fields are difficult to differnetiate
between whenever one of them is small.
Thus, the values derived for
should be treated with caution.
This does not affect the derivation of the other parameters,
however, since a convolution with the
-profile
preserves the EW of the
lines. It is the EW, and not the line profile shape, that is used in
the
derivation of
,
,
and
.
The other parameters (gravity, mass-loss rate, and wind velocity law)
remain
unaffected because they are inferred from the Balmer lines, which are
not
very sensitive to the
values due to the dominance of the Stark broadening. Thus, we find a
very good agreement between their input and output values
(Table A.1).
Appendix B: Methodology of AnalyseBstar
In what follows, we provide a detailed description of AnalyseBstar. In Fig. B.1, a flowchart of the full program is drawn schematically. The reader is advised to follow this context diagram throughout the additional description of AnalyseBstar.
B.1 Preparation of the input
No automatic method can fully replace the ``by-eye'' procedure, and this is also true for AnalyseBstar. A few steps still require human intervention, in particular the preparation of the spectra and the input to the main program, as we show in the following.
Observation of peculiarities.
The first required step when starting the analysis is to inspect the spectrum for any ``abnormalities'', such as line behavior resulting from nebulae, disks, binarity, or other peculiarities. Special features can and should be detected by eye inspection.
|
Figure B.1: Context diagram of AnalyseBstar. For a detailed explanation, see text. |
| Open with DEXTER | |
Merging and normalization of the spectra.
When dealing with échelle spectra, such as the ELODIE and FEROS spectra in the GAUDI database, we first need to merge the spectral orders before the spectrum can be normalized. This is a very delicate and non-trivial process. The edges of the orders are often noisy, due to the decrease in sensitivity of the CCD near its edges, and are therefore removed. Spectral lines falling inconveniently at the edge of one spectral order or in the overlap region of two consecutive orders, thus producing a cut-off to the spectral line, are not reliable for deriving accurate stellar information. They can, in the best case, only be used afterwards as a consistency check. After the spectra have been merged, they are normalized by interactive interpolation of continuum regions. This is performed over a wide wavelength coverage, where sufficient continuum regions are present, to avoid line corruption that can propagate into measurement of the fundamental parameters. The normalization is particularly important to the determination of the gravity, which depends sensitively on the shape of the Balmer line wings.Radial velocity correction.
The spectra need to be corrected for radial velocity shifts. Shifting the spectrum to restframe wavelengths automatically has not yet been included in the current version.Line selection.
As a standard procedure, we infer a number of line profiles in the optical from the underlying model atmospheres. These standard line profiles can be used directly. Computing additional line profiles is, however, straightforward. The selection of lines to be used during the spectral analysis in AnalyseBstar is gathered from a file that contains a default (but easily editable) list of currently used optical lines (see below). We distinguish between optical lines that will be used to predict the physical parameters during the spectral line fitting procedure, and those that will not be used explicitly for reasons of uncertainties, either in the theoretical predictions or in the observed spectrum (due to problems in merging or normalization). The goodness-of-fit of the latter set of lines is checked only to investigate systematic differences between theory and observations, which can be useful when considering additional improvements to the atomic data and/or atmospheric models. These lines are HSignal-to-noise measurement.
To estimate the error in the equivalent width as accurately as possible, we need to determine the SNR. Since the SNR can vary a lot with wavelength, we chose to calculate the local SNR of each line separately, by using a continuum region close to the line. This is performed manually by indicating the left and right edges of the continuum interval. The SNR is then given by the mean flux
Observed equivalent widths and their errors.
(cf. Fig. B.2). The equivalent widths of most He and Si lines can be measured by a Gaussian non-linear least squares fit to the observed line profiles, using the Levenberg-Marquardt algorithm (Marquardt 1963; Levenberg 1944). We thoroughly tested whether this was a justifiable approach by comparing, for multiple line profiles of stars with completely different properties, the equivalent widths computed from a Gaussian fit to the observed line profiles with those computed from a proper integration of the line pixel values. This comparison resulted in a minimal difference between both approaches. Some lines obviously cannot be fitted by a Gaussian, e.g., the He lines with a strong forbidden component in their blue wing or Stark-broadened lines such as those from hydrogen. The EW of these lines are determined by proper integration. In all other cases, where the line profile is represented well by a Gaussian fit, the observed EW is given by the integral of the Gaussian profile.The main source of uncertainty in the EW
determination is
introduced by the noise and its influence on the exact position of the
continuum within the noise. To account for this, we multiplied the
continuum by
a factor (1
1/SNR), performed a new Gaussian fit to both shifted profiles
and measured the difference between the EWs. Note that, by
considering a constant factor over the full line profiles (using the
signal at
continuum level), we implicitly place equal weight on each wavelength
point,
even though, in reality, 1/SNR may be slightly higher in the cores,
since it is
proportional to
,
where S is the obtained signal at these
wavelengths. When the user deems it necessary, (s)he can apply a
correction to the continuum level using a local rerectification, e.g.,
in the case that the
normalization performed over a wide wavelength range is locally a
little offset.
If the offset is different on the blue and red side of the line, then
the factor
should be wavelength dependent. Therefore, we allow for a linear
re-rectification
by a factor
.
Another source of uncertainty in the EW is
introduced by using a Gaussian fit to estimate the EW. Each of the
above factors
were included in the total error budget of the EW.
|
Figure B.2: Illustration of the EW determination for He I 4026. After the manual identification of the wavelength interval of the spectral line (thick black profile), a Gaussian fit to the observed line profile is made to determine the EW of the line (thick grey profile). Also indicated are: the center of the line (vertical line) and the ``shift'' in flux, upwards and downwards (dashed line profiles), used to account for the noise level in the determination of the EW. A Gaussian fit was made also to these line profiles , but these are omitted here for the sake of clarity. |
| Open with DEXTER | |
Determination
of
.
(See Fig. B.3).
The determination of the projected rotational velocity is the last step
in the preparation
of the input for AnalyseBstar. We use the semi-automatic tool developed
by
Simón-Díaz & Herrero
(2007) to derive the projected rotational velocities (see
Fig. B.3).
We refer
to their paper for a thorough discussion.
We use the following, least blended, metallic lines for the
determination
of
|
Figure B.3:
Illustration of the determination of
|
| Open with DEXTER | |
B.2 Fit parameters and their starting values
Once all preparation is finished, the automatic procedure to obtain
accurate
values of all physical fit parameters can be started. This procedure
follows an
iterative scheme as outlined in Fig. B.1. In each
iteration, the
fundamental parameters are improved in
the following order. First of all, the effects of the effective
temperature, the
Si abundance, and the microturbulence on the Si lines are separated.
The He
abundance is then fixed using all available He lines. Next, the
macroturbulent
velocity is determined from well-chosen, user-supplied Si lines. The
surface gravity is then determined from the wings of
,
,
and, in the
case of weak winds, also
,
after which the wind strength
(Q =
,
where
is the mass loss,
is the terminal wind velocity, and
is the stellar
radius) and the wind velocity exponent
are determined in parallel using
.
Obviously, to begin the iterative procedure, we need an initial guess
of each
of these parameters. This initial value can either
be user supplied or standard. If no value is set by the user, then the
following
initial values are considered. The initial effective temperature will
be
determined from the spectral type of the star. Immediately after the
rotational
and macroturbulent velocities have been determined, a start value for
the
surface gravity is derived by running the subprocedure for the
determination of the gravity (see Sect. B.5). For the He
and the Si abundance, we have taken the lowest value as a start value.
We initialize the wind parameters at their lowest possible values,
which corresponds to negligible wind, at
and
.
These are reasonable assumptions for dwarfs, which represent the
largest part of
our sample. These starting values can easily be adapted when samples of
stars
with different stellar properties are targeted. The macroturbulent
velocity is
initially zero, whereas for the microturbulent velocity we assume a
medium
value of all considered possibilities, i.e., 10 km s-1.
The convergence speed depends on how far away the initial values are
from the
final solution.
B.3 Determination of the effective temperature, microturbulence, and abundances
The use of Si lines has multiple purposes. By using a well-defined scheme (somewhat similar to the conventional ``curve of growth'' method (Gray 1976) and described, e.g., by Urbaneja 2004), we are able to separate the effects of the effective temperature, the Si abundance, and the microturbulence on the line profiles, and derive an accurate value for them. Our method automatically determines from the observed spectrum which lines will be used for this purpose. The lines should be clearly visible (i.e., clearly distinguishable from the noise in the continuum) and the relative error in their equivalent width is typically below 10 to 15%, depending on the combination of the temperature and the specific line considered. Whenever the relative error in its equivalent width exceeds 75%, the spectral line is excluded in the following procedures. Such large errors are a rare exception and only occur for the weakest lines, which are indistinguishable from the noise level.
|
Figure B.4:
Synthetic simulation of the effect of the microturbulence ( top)
and the
Si abundance ( bottom) on the logarithmic EW ratios
of Si lines of different ionization stages. This example gives the
(synthetic) EW ratio of Si III 5739
to Si II 4130 against a
selected range of effective
temperatures, for a fixed surface gravity (
|
| Open with DEXTER | |
We can basically discern two separate cases, namely when multiple and consecutive ionization stages of Si are available, or when there is only one ionization stage of Si. Each needs a different approach, as we now explain.
Method 1: When multiple ionization stages of Si are available.
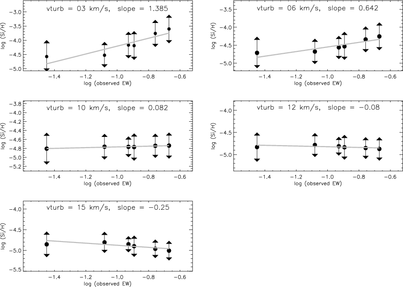
We can, to first order, put aside the effect of the Si abundance by considering the EW ratios of two different Si ionization stages, since the Si abundance affects all Si lines in the same direction. For each effective temperature point in the grid, the ratios of the observed equivalent widths of Si IV to Si III and/or Si III to Si II are compared to those obtained from the model grid, given a certain
|
Figure B.5:
Step 1 (for each |
| Open with DEXTER | |
Once we have a list of acceptable temperatures, we can derive for each temperature the most suitable microturbulent velocity and Si abundance, by analyzing the variation in equivalentwidth of different lines as a function of these quantities. In what follows, we describe the full process, step by step:
|
Figure B.6: Step 2 (for each microturbulence): we plot the Si abundances and their uncertainties for all 6 lines for which we derived values in step 1, as a function of the observed EW. The least squares fit to the abundances are shown in grey. The microturbulent velocity for which the slope of this fit is zero (i.e., equal abundance from each line) gives an estimate of the ``interpolated'' microturbulent velocity. The displayed example is a synthetic simulation. |
| Open with DEXTER | |
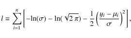
- Step 1: Deriving the abundances for each
microturbulence, line
by line
In this first step, the observed EW of each Si line is compared to the set of theoretically predicted EWs corresponding to the available combinations of Si abundance and microturbulence in the grid (see Fig. B.5). For each microturbulent velocity (and for each Si line), we search for the range of Si abundances that reproduce the observed EW, within the observed errors. This is performed by linear interpolation. We note that this provides only an approximative estimate of the Si abundance. Indeed, as can be seen in Fig. B.5, the change in EW with increasing microturbulence is marginal for weak lines, but increases for stronger spectral lines, indicating that we may no longer be in the linear part of the curve of growth.
- Step 2: Deriving the mean abundance for each
microturbulence and
the slope of the best fit
In a second step, we compare, for each microturbulence, the abundances (with the derived uncertainties) found in step 1 to the observed EW of each line (see Fig. B.6). Since a star can have only one Si abundance, we should infer the same Si abundance from all the different Si lines, i.e., the slope of the best-fit relation to all the lines should be zero. From the different abundances derived from each line, we can calculate the mean abundance for each value of the microturbulence.
- Step 3: Deriving the ``interpolated''
microturbulent velocity
In a third step, we investigate the change in slope when varying the microturbulence (see upper panel Fig. B.7). By linear interpolation, we find the microturbulence for which the slope would be zero (i.e., for which the Si abundance derived from each line separately would be the same). This is the estimated ``interpolated'' microturbulence.
- Step 4: Deriving the ``interpolated'' abundance
Using now the relation between the microturbulence and the mean abundance derived in step 2, we interpolate to find the estimated ``interpolated'' Si abundance at the estimated ``interpolated'' microturbulence found in step 3 (see lower panel Fig. B.7).
- Step 5: Deriving the ``interpolated''
effective temperature
After obtaining the estimated ``interpolated'' values of the microturbulence and Si abundance, we can return to Fig. B.4 and interpolate in two dimensions to derive a value of the effective temperature, which reproduces the observed EW. The mean of the effective temperatures from each line ratio is then accepted as the value of the ``interpolated'' effective temperature of the star.
- Step 6: Determination of the ``closest'' grid
values
For the subsequent steps in the automatic procedure, we need the closest grid values to these estimated ``interpolated'' values rather than the true values themselves. These closest values constitute a new entry in the list of possibilities. If the true value of the Si abundance or microturbulence falls exactly between two grid points, both grid values are added to the list.
|
Figure B.7: Steps 3 & 4: the ``interpolated'' microturbulent velocity and the accompanying ``interpolated'' Si abundance (indicated in grey) are derived from the position where the slope of the best fit (step 2) is zero. The Si abundances, given in the lower panel, are the mean abundances derived in step 2. The displayed example is a synthetic simulation. |
| Open with DEXTER | |
|
Figure B.8: For each He line, the most suited He abundance is derived through interpolation. The theoretically predicted values are shown as filled circles, the interpolated values as crosses. The horizontal lines indicate the observed equivalent width and the observed errors. The displayed example is a synthetic simulation. |
| Open with DEXTER | |
Method 2: When data of only one ionization stage of Si is available.
(Mostly for late B-type stars, for which we only have Si II, but also for a few hotter objects aroundFor each of the derived plausible
values, we need to identify
the corresponding Si (from the Si lines) and He abundances (from
the He lines) and the microturbulence (from the Si and/or He lines).
Since the He lines are affected by Stark broadening, we use
only Si lines to
derive the microturbulent broadening. This means that we have to
derive only three unknown parameters from data of two known parameters:
two from
the Si lines (
and
), and one
more from the He lines
(n(He)/n(H), assuming that the
microturbulence in Si and He is
similar), which still leaves us with one free parameter that we
have to assume to be able to fix the other two. We chose to ``fix'' the
Si
abundance, since it has no direct influence on the He lines.
However, we
do consider each of the three possibilities for
the Si abundance in the grid, i.e., we consecutively consider
the three cases in
which Si is depleted, solar, and enhanced. This also allows us to
determine the microturbulent velocity, which is consequently used to
fix the He abundance
from the He lines.
To finally decide which of the various combinations matches the observations the most closely, a twofold check is applied: (i) all profile-sets are inspected by eye (this, again, excludes a fully automatic procedure), since parameter combinations leading to obviously poor fits can be clearly excluded on this basis; (ii) a log-likelihood procedure is again used to find the most closely matching model among the list of final solutions, combining the likelihoods of the EWs of the Si/He lines and the profile shapes of all lines, respectively (see Lefever 2007).
Even though, with this procedure, we are able to derive reasonably good estimates of most of the stellar/wind parameters, we have no means of restricting the Si abundance in a reliable way as it is possible within ``method 1''. The outcome of maximizing the log-likelihood can only give us a general idea of the abundance, but still leaves us with a larger uncertainty, which has been accounted for in the adopted error budget (see Table 3).
B.3 Macroturbulence
The macroturbulence considered is characterized by a radial-tangential
model
(Gray 1975). In this model,
a time-independent velocity field is
assumed to be active and modeled by assuming that a fraction (
)
of the
material is moving radially while the complementary
fraction moves tangentially (
). In our model for
,
we use the
standard assumption that the radial and the tangential components are
equal
proportionally. Assuming in addition that the distribution of the
velocities
in the radial and the tangential directions are Gaussian, the effect of
macroturbulence can be introduced in the synthetic line profiles by
means of a
convolution with a function, which consists of a Gaussian and an
additional
term proportional to the error function (see Eq. (4) in
Gray 1975). It changes the
shape of the line profile, but leaves
the equivalent width untouched.
|
Figure B.9: The finally provided He abundance is calculated as the mean over all lines. The abundance derived from each line separately is represented by the filled circles, while the arrows show the derived errors. The best linear fit is indicated as the dotted line, while the horizontal solid line shows the mean value. The displayed example is a synthetic simulation. |
| Open with DEXTER | |
|
Figure B.10:
Once a set of possible effective temperatures is
fixed from the joint
predictive power of He I and
Si II (see text), we can
determine
for each of these temperatures (in this case: 10 500 and
11 000 K) the correct
microturbulence, under the assumption that we know the Si abundance.
Resulting
combinations are shown for |
| Open with DEXTER | |
|
Figure B.11:
Determination of the macroturbulent velocity of |
| Open with DEXTER | |
Only weak lines should be used to determine
.
For B-type
stars, Si lines are the most suitable, since they most obviously show
the
presence of
in their wings. The user decides which Si lines should be used
throughout the full process. To determine the strength of
,
we convolve
the Si profiles of the (at that instant) best-fit model with different
values of ![]()
.
The consecutive values considered in the convolution are chosen using a
bisection method, in initial steps of 10 km s-1.
The bisection continues as long as the stepsize is greater than or
equal to
0.1 km s-1, which will be the
final precision of the
determination.
For each considered
-value, we
compute its log-likelihood to quantify the difference between the
obtained synthetic profile and the observed line profile, as follows:
where n is the considered number of wavelength points within the line profile, yi is the flux at wavelength point i of the observed line profile,
The same procedure is repeated for all considered line
profiles, and the mean,
derived from the different lines, infers the final
.
The error is set
by the maximal deviation of the derived
-values
from the final
value. From Fig. B.11,
it is clear that the shape of the
log-likelihood distribution close to the maximum can be quite broad,
which indicates that the errors in
with respect to the log-likelihood are significant.
A warning is necessary here. Aerts
et al. (2009) showed that
time-dependent line profile variations due to non-radial gravity-mode
oscillations, which are expected in B stars, offer a natural physical
explanation of macroturbulence. These oscillations affect the estimate
of
,
both from the Fourier method and from a
goodness-of-fit approach. The only way to assess the effect of
oscillations on
the
determination is by taking an appropriate time series of line
profile variations (e.g., Aerts
& De Cat 2003). Luckily, an inappropriate
estimate, accompanying a line profile fit in terms of
,
does
not have a serious effect on the determination of the other parameters
of the
star from snapshot spectra, such that the approach implemented in
AnalyseBstar is valid as long as the values of
and
are not used for
physical interpretations. A large value of the macroturbulence is an
indication that time-dependent pulsational broadening may occur in the
star
being investigated.
B.4 Surface gravity
The surface gravity
is the result of fitting the Balmer lines. We mainly
use H
and H
,
possibly complemented with
H
in the case of weak winds (i.e., if
).
Since H
is somewhat blended, and the merging is not always reliable
for this region (see above), this line is not used as a primary gravity
determinator, but only serves as an additional check
(together with H
,
in the case of stronger winds). Since we wish to define
the profile only from the extreme wings down to the strongest
curvature (see discussion of the different contributions below), we
exclude
the central part of the line, accounting for several mechanisms, that
affect the core of the Balmer lines to some extent, e.g., rotation,
micro- and macroturbulence and thermal broadening. Once we have removed
the
inner part of the line profile, we compare the observed Balmer lines
with the
synthetic line profiles, by considering all possible values of
available
at this given effective temperature gridpoint. We decide which value of
gravity
is the best, by maximizing its log-likelihood (see
Eq. (B.1)),
calculated over all Balmer lines. With this
procedure, we encountered the following problem: H
and H
(our main
gravity indicators) can sometimes be seriously affected by a large
amount of blends. Ignoring them can lead to a serious overestimate of
the
gravity, since the log-likelihood function will take all these blends
into
account (see Fig. B.12).
Therefore, we developed a procedure to
find the ``line continuum'', by cutting away the blends. The procedure
is
basically a sigma-clipping algorithm that retains only those points
that have
a flux higher than both neighboring points (the so-called ``high
points'')
and where, at the same time, the difference is less than 1/SNR. After
removing all other flux points, only the ``line continuum'' is left
(see
middle panel Fig. B.12).
We interpolate this continuum to obtain
the flux at all original wavelength points, and the inner part of the
line is added again (i.e., the part between the last blend in the blue
wing
and the first blend in the red wing, but obviously still without the
central
core).
All original flux points that deviate by less than 1/SNR from
the interpolated ``line continuum'' are also included again. In this
way, we
keep only the flux points that really determine the shape of the wing
to fit
the synthetic Balmer wings, and we are able to determine an accurate
value of
(see
right panel Fig. B.12).
We realize that some points
that may be marked as local continuum in this way, may still be lower
than the
true local continuum level, because of the transition of
one blend into another. However, this will only be the case for very
few
points, which will have no significant weight in the log-likelihood.
The finally accepted surface gravity is the value of
that provides the
best fit to all selected Balmer lines
simultaneously. Half the
gridstep in
could
thus be considered a good error estimate. However, to
account for the coupling with
,
we consider 0.1 dex as a more appropriate
error. This gravity should be corrected for centrifugal acceleration
(
)
due to
stellar rotation by a factor
,
when calculating, e.g., the
mass of a star (Repolust
et al. 2005, and references therein).
| Figure B.12:
Illustration of the effect of blends on the
determination of |
|
| Open with DEXTER | |
|
Figure B.13:
(Synthetic simulation) For each
different wind strength parameter |
| Open with DEXTER | |
B.6 Wind parameters
A change in mass-loss rate will mainly affect the shape of
.
For
cool objects and weak winds,
is nearly ``photospheric'' and will, in
essence, be an absorption profile, with more or less symmetric
components,
since the ``re-filling'' by the wind is low. In the case of stronger
winds,
will take the shape of a typical P Cygni profile.
For hot objects, where
is dominated by recombination processes,
and high mass-loss rates, the profile may even appear in full emission.
The wind parameter
determines the velocity law, which directly
influences the density. The red wing of
is well suited to determining
,
since it is formed by emission processes alone, averaged over the
receding part of the (almost) complete wind.
For a fixed mass-loss, a ``slower'' velocity law (i.e., a higher
value)
will result in higher densities in the lower
atmosphere, close to the star. This enlarges the number of emitted
photons
with velocities close to the line center, resulting in more emission.
Around
the central wavelength, the absorption component of the line profile
refills
and the emission component becomes stronger. Therefore, the slope of
the red
wing of the P Cygni profile becomes steeper. In this sense, the
steepness of the
red wing is a measure of the value of
.
We estimate the wind parameters
and
by comparing
the observed H
profile with the different synthetic H
profiles
by making combinations of
and
.
We decided to ensure that the determination of the wind parameters was
not too
sophisticated, by simply using the best-fit values for
and
available in
the grid, without interpolation and further refinement.
Once we have selected for each
the most suitable
,
we decide on
the best combination by considering the best fit to the entire profile.
B.7 Some final remarks
At the end of this iteration cycle, an acceptance test is performed. When the method can run through the entire cycle without any of the fit parameters needing to be updated, the model is accepted as a good model, and obtains the flag ``2''. If a closer fitting model was found (i.e., when one or more parameters are changed), the initial model is rejected and receives flag ``0'', whereas the improved model is added to the list of possibilities, and receives flag ``1'' (cf. ``models to check'' in the flowchart diagram, Fig. B.1). As long as the list with possibilities with flag ``1'' is not empty, the parameters for the next possibility are taken as new starting values.
Line profile fits are always performed allowing for a small shift in wavelength, or radial velocity (5 wavelength points in either direction, corresponding to typically 5 km s-1), to prevent flux differences adding up in the case of a small radial velocity displacement.
B.8 The underlying FASTWIND BSTAR06 grid
Even though the majority of the CoRoT targets consisted of late B-type stars, we nevertheless invested in a grid that covers the complete parameter space of B-type stars. In this way, we hoped to establish a good starting point for future (follow-up) detailed spectroscopic analysis of massive stars. The grid has been constructed to be as representative and dense as possible to provide a wide variety of stellar properties within a reasonable computation time. Hereafter, we give a short summary of the considered parameters. For a more detailed description, we refer to Lefever et al. (2007a):
- 33 effective temperature (
): from
10 000 K to
32 000 K, in steps of 500 K below
20 000 K and in steps of 1000 K
above it.
- On average 28 surface gravities (
)
at each
effective temperature point: from
down to 80% of the Eddington
limit.
- One ``typical'' value of radius (R*)
for each
(
,
)-gridpoint:
approximate value obtained by interpolating
between evolutionary tracks, recalling that a rescaling to the ``real''
value is required when analyzing specific objects. Indeed, the real
radius can
then, in most cases, be determined from the visual magnitude, the
distance of
the star and its reddening, and from the theoretical fluxes of the
best-fit
model.
- Three values to fix the chemical composition:
n(He)/n(H) =
0.10, 0.15, and 0.20, and
,
-4.49, and -4.79 (i.e., enhanced,
solar, and depleted). The background elements (responsible, e.g., for
radiation
pressure and line-blanketing) were assumed to be of solar composition.
- Seven values of the wind-strength
parameter
.
- One ``typical'' value of the terminal wind
velocity
(
):
estimated from the relation between observed terminal velocity and
photospheric escape velocity (Kudritzki
& Puls 2000, and references
therein), where the latter quantity had been calculated from
the actual grid parameters (
and
).
References
- Aerts, C. 2000, A&A, 361, 245 [NASA ADS] [Google Scholar]
- Aerts, C. 2008, in IAU Symp., 250, 237 [Google Scholar]
- Aerts, C., & De Cat, P. 2003, Space Sci. Rev., 105, 453 [CrossRef] [Google Scholar]
- Aerts, C., Puls, J., Godart, M., et al. 2009, A&A, 508, 409 [NASA ADS] [CrossRef] [EDP Sciences] [Google Scholar]
- Briquet, M., & Morel, T. 2007, Commun. Asteroseismol., 150, 183 [NASA ADS] [CrossRef] [EDP Sciences] [Google Scholar]
- Butler, K., & Giddings, J. R. 1985, in Newsletter on Analysis of Astronomical Spectra, No. 9, Univ. London [Google Scholar]
- Crowther, P. A. 1998, in Fundamental Stellar Properties, ed. T. R. Bedding, A. J. Booth, & J. Davis, IAU Symp., 189, 137 [Google Scholar]
- Decin, L., Hony, S., de Koter, A., et al. 2007, A&A, 475, 233 [NASA ADS] [CrossRef] [EDP Sciences] [Google Scholar]
- Desmet, M., Briquet, M., Thoul, A., et al. 2009, MNRAS, 396, 1460 [NASA ADS] [CrossRef] [MathSciNet] [Google Scholar]
- Dufton, P. L., Smartt, S. J., Lee, J. K., et al. 2006, A&A, 457, 265 [NASA ADS] [CrossRef] [EDP Sciences] [Google Scholar]
- Dupret, M., De Ridder, J., Neuforge, C., Aerts, C., & Scuflaire, R. 2002, A&A, 385, 563 [NASA ADS] [CrossRef] [EDP Sciences] [Google Scholar]
- Evans, C. J., Smartt, S. J., Lee, J.-K., et al. 2005, A&A, 437, 467 [NASA ADS] [CrossRef] [EDP Sciences] [Google Scholar]
- Frémat, Y., Neiner, C., Hubert, A.-M., et al. 2006, A&A, 451, 1053 [NASA ADS] [CrossRef] [EDP Sciences] [Google Scholar]
- Fridlund, M., Baglin, A., Lochard, J., et al. 2006, The CoRoT Mission - Pre-Launch Status - Stellar Seismology and Planet Finding, ESA SP, 1306 [Google Scholar]
- Giddings, J. 1981, Ph.D. Thesis, University of London, UK [Google Scholar]
- Gräfener, G., Koesterke, L., & Hamann, W.-R. 2002, A&A, 387, 244 [NASA ADS] [CrossRef] [EDP Sciences] [Google Scholar]
- Gray, D. F. 1973, ApJ, 184, 461 [NASA ADS] [CrossRef] [Google Scholar]
- Gray, D. F. 1975, ApJ, 202, 148 [NASA ADS] [CrossRef] [Google Scholar]
- Gray, D. F. 1976, The observation and analysis of stellar photospheres (New York: Wiley-Interscience) [Google Scholar]
- Handler, G., Jerzykiewicz, M., Rodríguez, E., et al. 2006, MNRAS, 365, 327 [NASA ADS] [CrossRef] [Google Scholar]
- Hauschildt, P., & Baron, E. 1999, J. Comp. Appl. Math., 109, 41 [Google Scholar]
- Hempel, M., & Holweger, H. 2003, A&A, 408, 1065 [NASA ADS] [CrossRef] [EDP Sciences] [Google Scholar]
- Hillier, D. J., & Miller, D. L. 1998, ApJ, 496, 407 [NASA ADS] [CrossRef] [Google Scholar]
- Hubeny, I., & Lanz, T. 2000, BAAS, 32, 1531 [NASA ADS] [Google Scholar]
- Hubrig, S., Briquet, M., Schöller, M., et al. 2006, MNRAS, 369, L61 [NASA ADS] [CrossRef] [Google Scholar]
- Hubrig, S., Briquet, M., Morel, T., et al. 2008, A&A, 488, 287 [NASA ADS] [CrossRef] [EDP Sciences] [Google Scholar]
- Hunter, I., Dufton, P. L., Smartt, S. J., et al. 2007, A&A, 466, 277 [NASA ADS] [CrossRef] [EDP Sciences] [Google Scholar]
- Hunter, I., Brott, I., Lennon, D. J., et al. 2008a, ApJ, 676, L29 [NASA ADS] [CrossRef] [Google Scholar]
- Hunter, I., Lennon, D. J., Dufton, P. L., et al. 2008b, A&A, 479, 541 [NASA ADS] [CrossRef] [EDP Sciences] [Google Scholar]
- Kudritzki, R., & Puls, J. 2000, ARA&A, 38, 613 [NASA ADS] [CrossRef] [Google Scholar]
- Kurucz, R. L. 1993, CD-ROM 13 (Cambridge: SAO) [Google Scholar]
- Lefever, K. 2007, Ph.D. Thesis, Institute of Astronomy, K.U. Leuven, Belgium [Google Scholar]
- Lefever, K., Puls, J., & Aerts, C. 2007a, in The Future of Photometric, Spectrophotometric and Polarimetric Standardization, ed. C. Sterken, ASP Conf. Ser., 364, 545 [Google Scholar]
- Lefever, K., Puls, J., & Aerts, C. 2007b, A&A, 463, 1093 [NASA ADS] [CrossRef] [EDP Sciences] [Google Scholar]
- Levenberg, K. 1944, The Quarterly of Applied Mathematics, 2, 164 [Google Scholar]
- Maeder, A., & Meynet, G. 2000, ARA&A, 38, 143 [NASA ADS] [CrossRef] [Google Scholar]
- Markova, N., & Puls, J. 2008, A&A, 478, 823 [NASA ADS] [CrossRef] [EDP Sciences] [Google Scholar]
- Marquardt, D. 1963, SIAM J. Appl. Math., 11, 431 [Google Scholar]
- Massey, P., Zangari, A. M., Morrell, N. I., et al. 2009, ApJ, 692, 618 [NASA ADS] [CrossRef] [Google Scholar]
- Mazumdar, A., Briquet, M., Desmet, M., et al. 2006, A&A, 459, 589 [NASA ADS] [CrossRef] [EDP Sciences] [Google Scholar]
- Miglio, A., Montalbán, J., & Dupret, M.-A. 2007a, MNRAS, 375, L21 [NASA ADS] [CrossRef] [Google Scholar]
- Miglio, A., Montalbán, J., & Dupret, M.-A. 2007b, Commun. Asteroseismol., 151, 48 [NASA ADS] [CrossRef] [Google Scholar]
- Mokiem, M. R., de Koter, A., Puls, J., et al. 2005, A&A, 441, 711 [NASA ADS] [CrossRef] [EDP Sciences] [Google Scholar]
- Morel, T., & Aerts, C. 2007, Commun. Asteroseismol., 150, 201 [NASA ADS] [CrossRef] [Google Scholar]
- Morel, T., Butler, K., Aerts, C., Neiner, C., & Briquet, M. 2006, A&A, 457, 651 [NASA ADS] [CrossRef] [EDP Sciences] [Google Scholar]
- Morel, T., Butler, K., Aerts, C., Neiner, C., & Briquet, M. 2007, Commun. Asteroseismol., 150, 199 [NASA ADS] [CrossRef] [Google Scholar]
- Morel, T., Hubrig, S., & Briquet, M. 2008, A&A, 481, 453 [NASA ADS] [CrossRef] [EDP Sciences] [Google Scholar]
- Neiner, C., Hubert, A.-M., & Catala, C. 2005, ApJS, 156, 237 [NASA ADS] [CrossRef] [Google Scholar]
- Niemczura, E., Morel, T., & Aerts, C. 2009, A&A, 506, 213 [NASA ADS] [CrossRef] [EDP Sciences] [Google Scholar]
- Pauldrach, A. W. A., Hoffmann, T. L., & Lennon, M. 2001, A&A, 375, 161 [NASA ADS] [CrossRef] [EDP Sciences] [Google Scholar]
- Prialnik, D. 2000, An Introduction to the Theory of Stellar Structure and Evolution (Cambridge, UK: Cambridge University Press) [Google Scholar]
- Przybilla, N., Nieva, M.-F., & Butler, K. 2008, ApJ, 688, L103 [NASA ADS] [CrossRef] [Google Scholar]
- Puls, J., Urbaneja, M. A., Venero, R., et al. 2005, A&A, 435, 669 [NASA ADS] [CrossRef] [EDP Sciences] [Google Scholar]
- Puls, J., Markova, N., Scuderi, S., et al. 2006, A&A, 454, 625 [NASA ADS] [CrossRef] [EDP Sciences] [Google Scholar]
- Repolust, T., Puls, J., Hanson, M. M., Kudritzki, R.-P., & Mokiem, M. R. 2005, A&A, 440, 261 [NASA ADS] [CrossRef] [EDP Sciences] [Google Scholar]
- Saio, H., Kuschnig, R., Gautschy, A., et al. 2006, ApJ, 650, 1111 [NASA ADS] [CrossRef] [Google Scholar]
- Santolaya-Rey, A. E., Puls, J., & Herrero, A. 1997, A&A, 323, 488 [NASA ADS] [Google Scholar]
- Scuflaire, R., Théado, S., Montalbán, J., et al. 2008, Ap&SS, 316, 83 [NASA ADS] [CrossRef] [Google Scholar]
- Simón-Díaz, S., & Herrero, A. 2007, A&A, 468, 1063 [NASA ADS] [CrossRef] [EDP Sciences] [Google Scholar]
- Solano, E., Catala, C., Garrido, R., et al. 2005, AJ, 129, 547 [NASA ADS] [CrossRef] [Google Scholar]
- Trundle, C., Dufton, P. L., Hunter, I., et al. 2007, A&A, 471, 625 [NASA ADS] [CrossRef] [EDP Sciences] [Google Scholar]
- Urbaneja, M. A. 2004, Ph.D. Thesis, Instituto de Astrofisica de Canarias, Spain [Google Scholar]
- Vrancken, M., Lennon, D. J., Dufton, P. L., et al. 2000, A&A, 358, 639 [NASA ADS] [Google Scholar]
Footnotes
- ...
- Postdoctoral researcher of the Fund for Scientific Research of Flanders (FWO).
- ...
spectra
- Additionally, roughly 90 O-stars have been observed.
- ...
compute
- 180 CPU months were needed to compute the full grid of almost 265 000 models. To reduce the effective computation time, calculations were done on a dedicated Linux cluster of 5 dual-core, dual-processor computers (3800 MHz processors, sharing 4 Gb RAM memory and 8 Gb swap memory), amounting to 20 dedicated CPU processors, in addition to 40 more regularly used institute CPUs (8 of 3800 MHz and 32 of 3400 MHz). The grid filled 60% of a terabyte disk, connected to a Solaris 10 host pc.
- ... Appendix B
- Manual available upon request from the authors.
- ...
IRAF
- IRAF (Image Reduction and Analysis Facility) is distributed by the National Optical Astronomy Observatories, operated by the Association of Universities for Research in Astronomy, Inc., under cooperative agreement with the National Science Foundation, USA.
- ... stars
- All other spectral line fits, and their corresponding parameters, can be found at http://www.ster.kuleuven.be/ karolien/AnalyseBstar/Bstars/
- ... models
- The lowest considered He-abundance in our grid is n(He)/n(H) = 0.1, see Sect. B.8.
- ... III
- See http://www.lsw.uni-heidelberg.de/cgi-bin/websynspec.cgi
- ...

- At this point, the profile has already been convolved with the appropriate rotational and instrumental profiles.
All Tables
Table 1: Result of applying AnalyseBstar to synthetic Tlusty profiles.
Table 2a:
Fundamental parameters of well-studied
Cephei stars (spectral types
from SIMBAD), as derived from AnalyseBstar
(values from the closest grid model are listed).
Table 2b: Same as for Table 2a, but now for some well-studied SPBs.
Table 2c: Same as for Table 2a, but now for some well-studied hot B stars.
Table 3: Stellar parameters of the analyzed GAUDI B type stars as derived from the best-fit model to the observations found by AnalyseBstar.
Table A.1: Input parameters for nine synthetic models (IN) are compared to the actual (interpolated and best-fit model) output parameters (OUT) obtained through the application of AnalyseBstar to these synthetic data (see text for further explanation and notes to this table for the meaning of the symbols).
All Figures
|
Figure 1:
Comparison of the effective temperatures
( left) and surface gravities ( right)
derived with FASTWIND (AnalyseBstar) with
those found by Morel
et al. (2006,2008) and Briquet & Morel (2007)
using
DETAIL/SURFACE, for the |
| Open with DEXTER | |
| In the text | |
|
Figure 2:
Comparison between the Si abundances derived from
AnalyseBstar and those derived from DETAIL/SURFACE for the set of
photometric
targets, used to evaluate the performance of AnalyseBstar. The black
dotted
lines represent the solar Si abundance (
|
| Open with DEXTER | |
| In the text | |
|
Figure 3:
Illustration of the effects of time-independent
broadening on the derived parameters for 12 Lac
(B2 III). The
observed line profiles (solid black lines) are fitted using
AnalyseBstar.
Inclusion of time-independent broadening (by means of
macroturbulence) yields the solid grey fit, with optimum values of
|
| Open with DEXTER | |
| In the text | |
|
Figure 4: HD 174069: Significant (and apparently systematic) discrepancies are observed between the line profiles of the FEROS (solid black line) and the ELODIE (dashed black line) spectrum from the GAUDI database. This leads to considerable discrepancies in the derived stellar parameters. In grey, we show the normalized ELODIE spectrum obtained from the ELODIE archives, which shows a much better agreement with the available FEROS spectra. |
| Open with DEXTER | |
| In the text | |
| |
Figure 5: Histogram of the analyzed stars within the GAUDI B star sample. The ratio marked above each bin indicates the number of analyzed targets compared to the total amount that was available before the selection procedure, e.g., 1/5 means that there were 5 objects with this spectral type in the database, but that, for certain reasons, we were only able to analyze 1 of them. In total, 66 out of 187 objects could be analyzed. |
| Open with DEXTER | |
| In the text | |
|
Figure 6: Example of the line profile fits for a ``cool'' giant which has, meanwhile, been observed by CoRoT (Miglio et al., in preparation): HD 181440 (B9 III). Despite the low quality of the data, and the fact that we have no more Si III left in this temperature region, we are still able to obtain a satisfying solution. |
| Open with DEXTER | |
| In the text | |
|
Figure 7:
Example of the line profile fits for the
only hot supergiant in our sample:
HD 52382 (B1Ib).
While the peak of |
| Open with DEXTER | |
| In the text | |
|
Figure 8: Example of the line profile fits for an intermediate hot dwarf: HD 44700 (B3 V). The strong lines on the blue side of Si III 4716 and Si III 4819 are easily mistaken for the Si lines themselves. This is the reason why we always indicate the exact position of the transition during the full preparation process. The poor fits of He I 4010 and 4140 are caused by the incomplete broadening functions of these lines. These lines were not used during the fitting procedure, but only as a double check afterwards (see Appendix B.1). We observe a similar behavior in several other stars. All other lines, even the weakest, fit very well. The shape of He I 4471 is even perfect. |
| Open with DEXTER | |
| In the text | |
|
Figure 9: Effective temperature as a function of spectral type. We compare the position of our sample stars to existing temperature scales: for Galactic dwarfs, for spectral types up to B3 (Trundle et al. 2007, solid black line), for dwarfs in the entire B type domain (Crowther 1998, dashed black line), for Galactic B supergiants (Lefever et al. 2007b, dotted grey line), and for Galactic and SMC B supergiants (Markova & Puls 2008, solid grey line). Due to wind blanketing effects, the calibrations of the B supergiants lie at lower temperatures than the calibrations of B dwarfs. The supergiants (l.c. I) are indicated by diamonds, the (sub)giants (l.c. II and III) by asterisks and the (sub)dwarfs (l.c. IV and V) by squares. Filled circles indicate the stars for which we do not have any a priori information about luminosity class. It can be seen that spectral types taken from the literature can be quite inaccurate (see text). |
| Open with DEXTER | |
| In the text | |
|
Figure 10:
(
|
| Open with DEXTER | |
| In the text | |
|
Figure 11:
Comparison between the macroturbulence and the
projected rotational velocity |
| Open with DEXTER | |
| In the text | |
|
Figure 12:
Same as Fig. 10,
but
representing the values of |
| Open with DEXTER | |
| In the text | |
|
Figure 13:
Same as Fig. 12,
but
the size of the symbols is now proportional to the microturbulent
velocity |
| Open with DEXTER | |
| In the text | |
|
Figure A.1:
Example of the fit quality for dataset E. The slight
discrepancy in the cores of the Si lines arises from the difference in
Si
abundance between the interpolated value (
|
| Open with DEXTER | |
| In the text | |
|
Figure B.1: Context diagram of AnalyseBstar. For a detailed explanation, see text. |
| Open with DEXTER | |
| In the text | |
|
Figure B.2: Illustration of the EW determination for He I 4026. After the manual identification of the wavelength interval of the spectral line (thick black profile), a Gaussian fit to the observed line profile is made to determine the EW of the line (thick grey profile). Also indicated are: the center of the line (vertical line) and the ``shift'' in flux, upwards and downwards (dashed line profiles), used to account for the noise level in the determination of the EW. A Gaussian fit was made also to these line profiles , but these are omitted here for the sake of clarity. |
| Open with DEXTER | |
| In the text | |
|
Figure B.3:
Illustration of the determination of
|
| Open with DEXTER | |
| In the text | |
|
Figure B.4:
Synthetic simulation of the effect of the microturbulence ( top)
and the
Si abundance ( bottom) on the logarithmic EW ratios
of Si lines of different ionization stages. This example gives the
(synthetic) EW ratio of Si III 5739
to Si II 4130 against a
selected range of effective
temperatures, for a fixed surface gravity (
|
| Open with DEXTER | |
| In the text | |
|
Figure B.5:
Step 1 (for each |
| Open with DEXTER | |
| In the text | |
|
Figure B.6: Step 2 (for each microturbulence): we plot the Si abundances and their uncertainties for all 6 lines for which we derived values in step 1, as a function of the observed EW. The least squares fit to the abundances are shown in grey. The microturbulent velocity for which the slope of this fit is zero (i.e., equal abundance from each line) gives an estimate of the ``interpolated'' microturbulent velocity. The displayed example is a synthetic simulation. |
| Open with DEXTER | |
| In the text | |
|
Figure B.7: Steps 3 & 4: the ``interpolated'' microturbulent velocity and the accompanying ``interpolated'' Si abundance (indicated in grey) are derived from the position where the slope of the best fit (step 2) is zero. The Si abundances, given in the lower panel, are the mean abundances derived in step 2. The displayed example is a synthetic simulation. |
| Open with DEXTER | |
| In the text | |
|
Figure B.8: For each He line, the most suited He abundance is derived through interpolation. The theoretically predicted values are shown as filled circles, the interpolated values as crosses. The horizontal lines indicate the observed equivalent width and the observed errors. The displayed example is a synthetic simulation. |
| Open with DEXTER | |
| In the text | |
|
Figure B.9: The finally provided He abundance is calculated as the mean over all lines. The abundance derived from each line separately is represented by the filled circles, while the arrows show the derived errors. The best linear fit is indicated as the dotted line, while the horizontal solid line shows the mean value. The displayed example is a synthetic simulation. |
| Open with DEXTER | |
| In the text | |
|
Figure B.10:
Once a set of possible effective temperatures is
fixed from the joint
predictive power of He I and
Si II (see text), we can
determine
for each of these temperatures (in this case: 10 500 and
11 000 K) the correct
microturbulence, under the assumption that we know the Si abundance.
Resulting
combinations are shown for |
| Open with DEXTER | |
| In the text | |
|
Figure B.11:
Determination of the macroturbulent velocity of |
| Open with DEXTER | |
| In the text | |
| |
Figure B.12:
Illustration of the effect of blends on the
determination of |
| Open with DEXTER | |
| In the text | |
|
Figure B.13:
(Synthetic simulation) For each
different wind strength parameter |
| Open with DEXTER | |
| In the text | |
Copyright ESO 2010
Current usage metrics show cumulative count of Article Views (full-text article views including HTML views, PDF and ePub downloads, according to the available data) and Abstracts Views on Vision4Press platform.
Data correspond to usage on the plateform after 2015. The current usage metrics is available 48-96 hours after online publication and is updated daily on week days.
Initial download of the metrics may take a while.
![\begin{figure}
\par\includegraphics[width=8.5cm,clip]{11956fg1a.ps}\includegraphics[width=8.67cm,clip]{11956fg1b.ps}
\end{figure}](/articles/aa/full_html/2010/07/aa11956-09/Timg64.png)
![\begin{figure}
\par\includegraphics[width=8.5cm,clip]{11956fg2.ps}
\end{figure}](/articles/aa/full_html/2010/07/aa11956-09/Timg68.png)
![\begin{figure}
\par\includegraphics[width=16cm,clip]{11956fg3.ps}
\end{figure}](/articles/aa/full_html/2010/07/aa11956-09/Timg72.png)
![\begin{figure}
\par\includegraphics[width=8.5cm,clip]{11956fg4.ps}
\end{figure}](/articles/aa/full_html/2010/07/aa11956-09/Timg82.png)
![\begin{figure}
\par\includegraphics[width=17cm,clip]{11956fg6a.ps}\\
\includegraphics[width=17cm,clip]{11956fg6b.ps}
\end{figure}](/articles/aa/full_html/2010/07/aa11956-09/Timg84.png)
![\begin{figure}
\par\includegraphics[width=16.5cm,clip]{11956fg7.ps}
\vspace*{2.5mm}
\end{figure}](/articles/aa/full_html/2010/07/aa11956-09/Timg87.png)
![\begin{figure}
\par\includegraphics[width=16cm,clip]{11956fg8a.ps}\par\includegraphics[width=16cm,clip]{11956fg8b.ps}
\end{figure}](/articles/aa/full_html/2010/07/aa11956-09/Timg89.png)
![\begin{figure}
\par\includegraphics[width=8.5cm,clip]{11956fg9.ps}
\end{figure}](/articles/aa/full_html/2010/07/aa11956-09/Timg91.png)
![\begin{figure}
\par\includegraphics[width=8.5cm,clip]{11956fg10.ps}
\end{figure}](/articles/aa/full_html/2010/07/aa11956-09/Timg95.png)
![\begin{figure}
\par\includegraphics[width=8.5cm,clip]{11956fg11.ps}
\end{figure}](/articles/aa/full_html/2010/07/aa11956-09/Timg100.png)
![\begin{figure}
\par\includegraphics[width=8.5cm,clip]{11956fg12.ps}
\end{figure}](/articles/aa/full_html/2010/07/aa11956-09/Timg101.png)
![\begin{figure}
\par\includegraphics[width=8.5cm,clip]{11956fg13.ps}
\end{figure}](/articles/aa/full_html/2010/07/aa11956-09/Timg102.png)


![\begin{figure}
\par\includegraphics[width=8cm,clip]{11956fgB2.ps}
\end{figure}](/articles/aa/full_html/2010/07/aa11956-09/Timg125.png)
![\begin{figure}
\par\includegraphics[width=8cm,clip]{11956fgB3.ps}
\end{figure}](/articles/aa/full_html/2010/07/aa11956-09/Timg126.png)
![\begin{figure}
\par\includegraphics[width=8cm,clip]{11956fgB4a.ps}\par\includegraphics[width=8cm,clip]{11956fgB4b.ps}
\end{figure}](/articles/aa/full_html/2010/07/aa11956-09/Timg136.png)
![\begin{figure}
\par\includegraphics[width=15cm,clip]{11956fgB5.ps}
\end{figure}](/articles/aa/full_html/2010/07/aa11956-09/Timg137.png)
![\begin{figure}
\par\includegraphics[width=14cm,clip]{11956fgB6.ps}
\end{figure}](/articles/aa/full_html/2010/07/aa11956-09/Timg138.png)
![\begin{figure}
\par\includegraphics[width=8cm,clip]{11956fgB7.ps}
\end{figure}](/articles/aa/full_html/2010/07/aa11956-09/Timg140.png)
![\begin{figure}
\par\includegraphics[width=14cm,clip]{11956fgB8.ps}
\end{figure}](/articles/aa/full_html/2010/07/aa11956-09/Timg141.png)
![\begin{figure}
\par\includegraphics[width=8cm,clip]{11956fgB9.ps}
\end{figure}](/articles/aa/full_html/2010/07/aa11956-09/Timg145.png)
![\begin{figure}
\par\includegraphics[width=8.5cm,clip]{11956fgB10.ps}
\end{figure}](/articles/aa/full_html/2010/07/aa11956-09/Timg147.png)
![\begin{figure}
\par\includegraphics[width=8.5cm,clip]{11956fgB11.ps}
\end{figure}](/articles/aa/full_html/2010/07/aa11956-09/Timg148.png)
![\begin{figure}
\par\includegraphics[width=8.5cm,clip]{11956fgB13.ps}
\end{figure}](/articles/aa/full_html/2010/07/aa11956-09/Timg155.png)