| Issue |
A&A
Volume 515, June 2010
|
|
|---|---|---|
| Article Number | A97 | |
| Number of page(s) | 11 | |
| Section | Cosmology (including clusters of galaxies) | |
| DOI | https://doi.org/10.1051/0004-6361/200912109 | |
| Published online | 15 June 2010 | |
Limits on the luminosity function of Ly
emitters at z = 7.7![[*]](/icons/foot_motif.png)
P. Hibon1,2 - J.-G. Cuby1 - J. Willis4 - B. Clément1 - C. Lidman3 - S. Arnouts5,1 - J.-P. Kneib1 - C. J. Willott6 - C. Marmo7 - H. McCracken7
1 - Laboratoire d'Astrophysique de Marseille, OAMP,
Université Aix-Marseille & CNRS, 38 rue Frédéric Joliot Curie,
13388 Marseille Cedex 13, France
2 -
Korean Institute for Advanced Study, Dongdaemun-gu, Seoul 130-722, Korea
3 -
European Southern Observatory, Alonso de Cordova 3107, Vitacura, Casilla 19001, Santiago 19, Chile
4 -
Department of Physics and Astronomy, University of Victoria, Elliot Building, 3800 Finnerty Road, Victoria, BC, V8P 5C2, Canada
5 -
Canada France Hawaii Telescope Corporation, Kamuela, HI 96743, USA
6 -
Herzberg Institute of Astrophysics, National Research Council, 5071 West Saanich Rd, Victoria, BC V9E 2E7, Canada
7 -
Institut d'Astrophysique de Paris, Université Pierre et Marie Curie, 98bis boulevard d'Arago, 75014 Paris, France
Received 19 March 2009 / Accepted 13 January 2010
Abstract
Aims. The Ly
luminosity function (LF) of high-redshift Ly
emitters (LAEs) is one of the few observables of the re-ionization
epoch accessible with 8-10 m class telescopes. The evolution of
the LAE LF with redshift is dependent upon the physical evolution of
LAEs and the ionisation state of the Universe towards the end of the
Dark Ages.
Methods. We performed a narrow-band imaging program at 1.06
m using CFHT/WIRCam. The observations target Ly
emitters at redshift
in the CFHT-LS D1 field. From these observations we derived a photometric sample of 7 LAE candidates at
.
Results. We derive luminosity functions for the full sample of
seven objects and for subsamples of four objects. Assuming the
brightest objects in our sample are real, we find that the resulting
luminosity function is not consistent with previous work at lower
redshifts. More definitive conclusions will require spectroscopic
confirmation.
Key words: early Universe - galaxies: luminosity function, mass function - galaxies: high-redshift
1 Introduction
Searching for high-redshift galaxies is one of the most active fields
in observational cosmology. The most distant galaxies provide a
direct probe of the early stages of galaxy formation, in addition to
revealing the effects of cosmic re-ionization (Fan et al. 2006). The
brightest galaxies at
(Eyles et al. 2007)
indicate that star formation commenced at significantly higher
redshifts and that such galaxies are likely to contribute
significantly to re-ionization. Conversely, detection of z > 7galaxies is still rare, in large part because of the complete
absorption of their restframe UV emission below the Ly
line which is
redshifted beyond the 1
m cutoff wavelength of silicon. The
deployment of large format IR arrays at many telescopes now makes
these observations possible. From z = 6.5 to z
= 7.7, light dimming due to luminosity distance is 30% and the age of
the Universe decreases by 150 Myr, leading to further dimming due
to age, probably moderate considering the relatively short time span.
Observations of z > 7 objects should therefore remain
within reach of the current generation of telescopes.
One prime tracer of high-redshift galaxies is the Ly
line. The
determination of the Ly
luminosity function (LF)
with infrared arrays is being actively pursued by several
groups, either through narrow-band imaging (e.g Cuby et al. 2007; Willis et al. 2008) or through blind spectroscopy along the critical lines of
galaxy clusters used as gravitational telescopes (Bouwens et al. 2008; Richard et al. 2006; Stark et al. 2007). High-z galaxies are also being
discovered using the dropout technique between the optical and near
infrared domains, either in the field (see e.g. Bouwens et al. 2009) or
behind galaxy clusters (see e.g. Richard et al. 2008). The dropout
method is primarily sensitive to the UV continuum emission of the
galaxies and therefore allows to determine their UV luminosity
function (UVLF).
The UVLF of LAEs is a direct tracer of galaxy evolution and it is not
affected by the amount of neutral hydrogen in the intergalactic medium
(IGM), while the Ly
emission (and therefore the Ly
LF) may be
affected. A rapid change in the ionization state of the Universe could
lead to a decline in the Ly
luminosity density at high
redshift, while the UVLF should have a milder evolution. Evidence
of such rapid change of the neutral fraction of the
IGM between redshifts 6 and 7 includes the observation of
LAEs in narrow-band imaging at z = 6.5 (Kashikawa et al. 2006) and at z =
7 (Ota et al. 2008) and in spectroscopy at z > 7 (Richard et al. 2008). The
patchy structure of a partially ionized Universe should also affect
the apparent clustering of LAEs at high redshifts; see
Mesinger & Furlanetto (2008) for an analysis of this effect at
.
More observations of LAEs at high redshifts are needed to
better characterize the re-ionization epoch, and in particular
observations in the near-IR domain to probe redshifts
7. Willis & Courbin (2005), Willis et al. (2008) and Cuby et al. (2007) have
performed narrow-band surveys at z = 8.8 that yielded only
upper limits of the Ly
LF of LAEs at this redshift. In this paper we
present the results of a narrow-band imaging survey at z = 7.7representing a factor of 10 improvement in area at approximately the
same detection limit compared to our previous survey at z = 8.8.
These observations were made with the Wide Field near-IR Camera
(WIRCam) operating at CFHT
.
In Sect. 2, we describe the narrow-band observations and other data
used in this paper. In Sect. 3, we discuss the construction of our
sample of Ly
emitters. In Sect. 4, we compute the Ly
luminosity function of z = 7.7 LAEs and compare it to the results of
other surveys and to simulations.
Unless explicitly stated otherwise, we use AB magnitudes throughout
the paper. We assume a flat,
CDM model with
and H = 70 km s-1 Mpc-1.
2 Observational data
The CFHT-LS D1 field provides imaging data from X-ray to near-IR
wavelengths, including extremely deep optical data from the CFHT
Legacy Survey. For the purpose of this study, we originally made use
of the T0004 catalog release of the CFHT-LS survey, and later of the
T0005 release when it became available (November 2008). The CFHT-LS
data products are available from the CADC archive to CFHT users and
take the form of image stacks in the
filters and of
ancillary data, such as weight maps, quality checks, catalogs,
etc. The
,
g', r', i', z' filters have spectral
curves similar to the SDSS filters.
The core data relevant to this paper are deep (
40 h) near-IR
Narrow Band (NB) observations of a
area of the CFHT-LS D1 field. In addition to the narrow-band near-IR
data we employed broad band J, H and
data of the same field
acquired as part of another program carried out with WIRCam Deep
Survey (WIRDS; PIs Willott & Kneib). We also used near-IR
Spitzer/IRAC data from the SWIRE survey (Lonsdale et al. 2003).
A summary of the observational data used in this paper is provided in Table 1. Figure 1 shows the transmission curves of the filters corresponding to the multi-band data used in this paper.
|
Figure 1: Transmission curves of the filters corresponding to the data used in this paper. All transmissions are normalized to 100% at maximum. |
| Open with DEXTER | |
Table 1: Observational data.
2.1 WIRCam narrow-band data
WIRCam is a
imager installed at the
CFHT prime focus. It is equipped with 4 Hawaii2-RG arrays with a
pixel scale of 0.3
.
The four
arrays are separated by a
15
gap. We used the Low-OH1
filter centered at 1.06
m (hereafter referred to as NB1060)
with a full width at half maximum of 0.01
m (
1%). The
wavelength response of this filter is located within a spectral region
of low night sky OH emission.
The data were acquired in queue mode over several months in two
different semesters in 2005B and 2006B with each epoch totalling
approximately
20 h of integration time. A detector
integration time of 630 s per frame was selected to provide
background limited performance. The sky background was measured to be
4 e- s-1 pixel-1, corresponding to a sky
brightness
17.7 mag arcsec-2 (Vega). Our first
observations started shortly after the commissioning of the camera.
At this time the detector was experiencing variable readout noise and
significant electronic crosstalk, both issues that were progressively
solved in the subsequent months of operations. The 2005B data were
therefore the most significantly affected. We discuss the potential
effects of the electronic cross-talk as a source of contamination in
Sect. 3.3.1.
When observing with WIRCam telescope guiding is achieved through the on-chip guiding capability implemented in the detector controller. This is performed by clocking small detector windows around bright stars for fast readout and rapid guiding. This feature does also leave some residuals on the images along the detector lines where the windows are located.
The narrow-band data were pre-processed at CFHT (dark subtraction and
flat fielding). The pre-processed images were then stacked together at
the Terapix data processing center at Institut d'Astrophysique de
Paris (IAP). The data reduction steps include double pass sky
subtraction, astrometric and photometric calibration and final
stacking of the images. Two separate stacks were produced for each of
the one-year datasets. Details of the data reduction are presented in
Marmo (2007). We combined these two stacks into a single stack
corresponding to the entire dataset. The area of the final stacked
image after removal of the edges was 390 arcmin2 and the FWHM of
stellar sources was measured to be
0.76
.
2.2 WIRCam Broad band data
The broad band J, H and
WIRCam data were acquired in
2006B and 2007B and were processed in a manner similar to the
narrow-band data. Moderately deep SOFI (ESO-NTT) J and
band images were also available, covering one quarter of the
WIRCam field (Iovino et al. 2005). The SOFI data increased the limiting
magnitude of the survey by 0.1 to 0.2 mag in the J and
bands for the corresponding quadrant. We did not use
data from the UKIDSS Deep Extragalactic Survey (UKIDSS-DXS;
Lawrence et al. 2007) J, H and
images as these data
are less deep than those acquired by our program. The image quality
measured in the J and
images is comparable to that
of the NB1060 image.
We emphasize at this point that the spectral response of the NB1060and J WIRCam filters do not overlap. The wavelengths of the blue and
red ends of the full width at half maximum of the J filter are 1175
and 1333 nm. The J filter can therefore be used to trace the UV
continuum above the Ly
line without being contaminated by line
emission.
2.3 Photometric calibration
Photometric calibration of the NB data set is complicated by the fact
that photometric reference sources do not currently exist for the
NB1060 filter and no spectrophotometric standard stars were observed
as part of the program. We therefore employed spectral fitting of
stars identified in the science image to determine the NB zero point.
For consistency we applied identical procedures for the photometric
calibration of the entire MegaCam and WIRCam datasets. We selected
stars as morphologically unresolved, non-saturated sources from the
source catalogues. Some 75 of these sources were matched with sources
present in the 2MASS catalog.
We determined the zero points of the WIRCam broad band data (J and
)
by minimizing the difference between the WIRCam and
2MASS magnitudes of this stellar sample. This procedure
generated rms residuals of 0.07 and 0.15 mag in the
J and
bands respectively.
For the MegaCam data, we applied zero point offsets up to 0.06 magnitudes to the photometric catalog distributed as part of the T0004 CFHT-LS release. These offsets were determined by Ilbert et al. (2006) when fitting the original CFHT-LS photometry to synthetic colors of galaxies derived from SED models as part of a photometric redshift analysis. These offsets were originally determined for the T0003 release, and we used slightly modified ones corresponding to the T0004 release (Ilbert et al. 2006; Coupon et al. 2009).
In addition to the above approach, we generated synthetic colors for
the MegaCam and WIRCam filters of a variety of stellar spectra models
of various temperatures and metallicities (Marigo et al. 2008, and
http://stev.oapd.inaf.it/ lgirardi/cgi-bin/cmd). The WIRCam J and
magnitudes of the stellar sample provided a satisfactory match to
the synthetic color tracks. However, the CFHT-LS magnitudes had to be
modified by offsets of similar magnitude to those mentioned above to
provide a better match to the color tracks. This suggests that there
are systematic offsets between the CFHT-LS photometry and synthetic
colors of stars and galaxies. It is not surprising that the
photometric offsets for stars and galaxies are similar as synthetic
SED modeling of galaxies makes direct use of stellar spectra. It is
perhaps more interesting that these offsets do not appear to depend
upon the models considered (as noted by Ilbert et al. 2006) a fact which
is supported by our analysis using completely different synthetic
stellar libraries.
We performed a final check using the stellar library of Pickles (1998). This library consists of observed stellar spectra in the optical and parts of the near-IR domain with interpolated points computed in unobserved spectral regions. Once again the MegaCam color tracks computed using the Pickles library match the observed colors of our stellar sample after applying the same offsets as above.
From the color tracks we determined that the stars of the stellar
sample used for calibration have spectral types from G to M5.
Then, from the calibrated
,
g', r', i', z', J, H and
data, we performed an ad hoc polynomial fitting of the fluxes of
all objects in the stellar sample, from which we derived for each star
the NB1060 magnitude at 1.06
m. This simple method is
justified in view of the large number of photometric datapoints (7)
available, of the smooth spectral energy distribution of stars, and of
the absence of features at the wavelength of the NB1060 filter in
the infrared spectra of stars of spectral types earlier than M5.
The computed stellar reference magnitudes were applied to determine the zero point of the NB1060 image. The zero point magnitude in each quadrant was computed individually as each displays a slightly different electronic gain. The typical rms residual in each quadrant after this last step was 0.04 mag.
Making provision for additional sources of errors, e.g. the accuracy of the 2MASS photometry, possible biases from the selected sample of stars, etc., we estimate our final photometric accuracy to be on the order of 0.1 mag rms and we adopt this value in the rest of this paper.
2.4 Catalog generation and detection limits
We used SExtractor (Bertin & Arnouts 1996) in single image mode for object
detection and photometry in the
NB1060, J, H and
WIRCam images.
The magnitudes were computed in apertures 5 pixels (1.5
)
in
diameter. We used the CFHT-LS public images of the field for the
optical
bands, photometrically corrected as
explained in the previous section.
The limiting magnitude of the NB1060, J, H and
WIRCam
observations was estimated as follows: we added 200 artificial
star-like objects per bin of 0.1 mag onto the stacked NB1060 image
in carefully selected blank regions. We then ran SExtractor on this
image using the same parameters as previously used for object
detection. Counting the number of artificial stars retrieved in each
magnitude bin provided a direct measure of our completeness limit.
The limiting magnitude that we report in this paper corresponds
to the 50% completeness limit.
When analysing the optical data we re-binned the original CFHT-LS
images with a pixel scale 0.19
to
the 0.3
scale of the WIRCam
images. We then ran SExtractor with the same parameters used with the
WIRCam data. We checked that the photometry before and after
re-binning was preserved. We then computed the 50% completeness
limit for the CFHT-LS images using the approach that was applied to the
WIRCam images.
In order to estimate the signal to noise ratio (SNR) of our candidates
and the SNR corresponding to our 50% completeness limit
we used the noise image (BACKGROUND_RMS) produced by SExtractor.
This image details the local noise
per pixel. The SNR
of an object with F counts in an aperture of A pixels is given by
with the error on the magnitude m given by:
The limiting magnitude at 50% completeness of the NB1060 image computed using the above method is 25.2. This magnitude corresponds to a source of
A similar procedure was used to derive the limiting magnitudes of all CFHT-LS and WIRCam images. They are reported in Table 1.
3 Sample construction
3.1 Initial candidate selection
We created a catalog of multi-band photometry for detected sources by
matching sources detected in individual bands to those detected in the
NB1060 image using a matching tolerance of 0.7
.
Our initial selection of Ly
candidates was based on the following
criteria:
- 1.
- We selected objects detected in the NB1060 image yet absent in
all optical images (
,
g', r', i', z'), assuming that
no flux will be detected blueward of the Ly
line. Negligible
amounts of radiation are expected to escape the galaxy and to be
transmitted by the IGM below the z = 7.7 Lyman limit at
790 nm. This means no flux in the
,
g' and r' bands. All
the radiation between the Ly
and Ly
lines at z = 7.7 is
entirely redshifted beyond the Gunn-Peterson (GP) trough at
850 nm observed in the spectra of high-redshift quasars
(Fan et al. 2006), and which corresponds to Ly
absorption by the
partially neutral IGM above
.
There should therefore be
no detectable flux in the z' band and limited flux in i' band
with a very strong color break
(Becker et al. 2001).
- 2.
- We required that the NB1060 objects detected in the combined image were also detected in each of the NB1060 stacks corresponding to each observing semester. While each half-stack is at lower SNR than the combined image used for generating the master NB1060 catalog, this criterion permits the removal of variable (in flux or in position) objects and reduces considerably the number of low SNR detections.
- 3.
- We required a signal to noise ratio of
5 or higher on the
combined image, corresponding to a
in half stack
images.
Table 2: Table of the
LAE and T-dwarf candidates.
Figure 2: Thumbnail images of all candidates listed in Table 2. Object TDW#1 is displayed for reference but is not part of the LAE sample (see text for details). Objects names and passbands are located above and to the left of the thumbnails, respectively.
Open with DEXTER
Taken altogether, the color break between the optical and NB1060filters is extremely high and covers a wide spectral range. For the CFHT-LS, the Terapix data center generated deep
We remark that this color break is significantly stronger than what has been usually in previous high-z LAEs or LBGs searches, although with a slight gap in wavelength between the optical red end and the NB1060 filter.
Having applied these criteria, careful visual inspection of the candidates allowed us to remove a few obvious fake candidates in the form of electronic ghosts or artifacts around bright stars. A couple of objects of dubious quality in one or more of the images, or those with unusual morphologies, were also removed.
Finally, three bright
band sources with
were flagged as Extremely Red Objects (EROs)
(see also Sect. 3.3.6) and were discarded. This corresponds
to an additional color selection criterion for the candidates:
Application of these criteria generated an initial list of 8 objects, none of them are resolved at the level of the image quality of the NB1060 image (0.76
Finally, we note that none of the objects in our list have
counterparts in the Spitzer/IRAC SWIRE data of the same
field. Even if the H
line was
100 times brighter
than the Ly
line, it would remain undetected in the 5.8
m IRAC
band SWIRE data.
3.2 The sample
Our sample consists of 8 objects listed in Table 2 and
shown in Fig. 2. Five objects have
NB1060 - J <0 and are flagged as candidate emission line objects. One has
and therefore does not qualify as an emission line
object. It is instead identified as a T-dwarf candidate (see
Sect. 3.3.5). The two remaining objects are NB-only
detections and cannot be unambiguously identified as line emitting
objects.
Therefore, from the six brightest objects of the original sample of eight selected without using the J magnitudes, five appear to be line emitters. With the same success rate of 5/6 the two faintest objects should therefore also be line emitters and it is therefore reasonable to keep them in the final sample - although noting that the identification is less secure than the other candidates.
We also report in Table 2 the lower limits of the restframe
equivalent widths (EW) derived from the photometric data, defined as:
where
Samples of emission line selected galaxies are normally defined in
terms of the equivalent width sampled by a particular survey. For
example, Taniguchi et al. (2005) present a sample of 9 spectroscopically
confirmed LAEs at z = 6.5 with EW values
or
.
In our sample of candidate z
= 7.7 LAEs, the faintest line emitter (LAE#5) presents
NB1060 -J <
-0.3 which corresponds to an EW limit
or
.
Considering that, in all but one
case, the EW values are lower limits, the lower range of EWs
sampled by our observations is comparable to that of other studies.
Within the practical limitation of matching the selection criteria of
two different surveys, the two populations of LAEs revealed by
Taniguchi et al. (2005) and the current study are therefore approximately
equivalent in terms of the EW sampled. However, the z = 7.7 LAEs
presented in this paper are selected to be NB1060 excess sources at
a lower significance level than the Taniguchi et al. (2005) LAEs. Moreover,
our sources are not confirmed spectroscopically. Therefore, when
comparing the LF properties of the z = 7.7 LAE candidates to
confirmed LAE sources at z = 6.5, we must include an assessment of
the unknown sample contamination.
3.3 Possible sources of contamination
Known astronomical objects such as extremely red objects or T-dwarfs can potentially satisfy the optical dropout selection and therefore contribute to our sample. We examine various such examples of contamination in this section, in addition to contamination from instrumental sources.
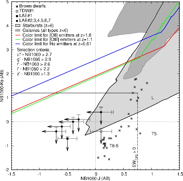
In the discussion that follows we will make use of
Fig. 3, which shows the
versus
NB1060 - J colors of the candidate LAEs together with the
colours of possible contaminating sources.
We used the template spectra (without emission lines) described in
Ilbert et al. (2009). Spectra were redshifted over the interval
0<z<8 and reddened according to a range of E(B-V) values over the
interval
0<E(B-V)<5. This process generated approximately 100,000
spectra. We then applied our selection criteria
(Eq. (3)) to this spectral sample and computed
NB1060 - J and
colors. The envelope of points
corresponding to galaxies at redshifts z<6 (z>6) is indicated by
the dark (light) grey zone in Fig. 3.
|
Figure 3:
NB1060 - J and
|
| Open with DEXTER | |
3.3.1 Electronic crosstalk
The WIRCam detectors suffer from relatively strong electronic cross-talk. The effect is manifest as the appearance of ghost images every 32 rows or columns around bright and saturated stars. Three types of electronic ghosts have been identified: positive, negative and ``edge'' ghosts, the latter consisting of spot images positive on one edge and negative on the other edge. The pattern of these electronic ghosts follows the pattern of objects on each image, as the effect is caused by (bright) objects. Only the positive ghosts are likely to generate false candidates. They are however easily recognizable as they are distributed along columns with a fixed pattern originating from the brightest stars. Median filtering over every 32nd row (which corresponds to the number of amplifiers) allows one to identify and reject the ghosts while retaining the astronomical objects. Having applied this procedure, the data were careful inspected and 2 additional objects were subsequently discarded as electronic ghosts as they presented several similarities with the appearance of brighter ghosts.
3.3.2 Persistence
Pixels illuminated by bright stars in one image continue to release electrons long after the illumination has stopped. This generates fake objects at the positions once illuminated by these stars. These fake sources remain fixed on the detector and therefore do not follow the objects during the dithering pattern. In principle, they are removed by sigma or min-max clipping when the images are stacked, however faint residuals may remain. Indeed, a pattern of faint objects reproducing the pattern of telescope offsets was observed around the brightest stars in the image, generating false candidates which could be easily identified and removed.
3.3.3 Noise
Following the approach outlined in Iye et al. (2006), we estimate that
there are
106 1.5
(diameter) circular apertures
in our NB data.
Assuming a Gaussian distribution, the corresponding number of
false alarm events above 5sigma is
0.3.
This is admittedly an analysis that
does not take into account the fact that the noise properties of the
stacked and resampled NB image deviate from a Gaussian
distribution. While contamination from noise might take
place close to the detection limit, noise is not a
plausible source of contamination for higher SNR objects.
3.3.4 Transient objects
At the flux limit of the survey, distant supernovae can be visible for
several weeks, and are therefore a potential source of contamination.
We computed the expected number of type Ia and type II supernovae that
would be visible in our narrow-band WIRCam images by using the
method presented in Cuby et al. (2007). For a limiting magnitude of
24.8, which corresponds to the depths reached in the one-year
stacked images (see Table 1), we find that
3
supernovae would have occurred in the area covered by our data. While
contamination by SNe is probable in the individual one-year
stacks, such objects are automatically removed from our final list of
candidates because of the constraint that they be present in both
one-year images. Similarly, stacking of data acquired over long
time spans automatically removes slowly moving solar-system objects.
3.3.5 T-dwarfs
Using the Tinney et al. (2003) spectral type vs. absolute magnitude
relations, we calculate that we could detect T-dwarfs
up to distances of 300 to 1000 pc, depending on spectral type,
from the coolest to the warmest. Considering the high galactic
latitude of our field, this extends our sensitivity to T-dwarfs far
beyond the scale height of the Galactic disk. Truncating to a
height of 350 pc, which is the scale height that is applicable
to T-dwarfs (Ryan et al. 2005), we estimate a sample volume of
400 pc3. Considering a volume density of T-dwarfs of a few 10-3 pc-3, we expect no more than one T-dwarf in our field.
At a couple of hundreds of parsecs from the Sun, the proper
motion of these objects would not be detected over a one year timescale.
We used the public library of L and T-dwarfs spectra compiled by Burgasser
(http://web.mit.edu/ajb/www/tdwarf) to compute the
NB1060 - J colors expected
for these objects. Including T-dwarfs as late as T8 (for which NIRC
spectra are available), the colours satisfy (see Fig. 3):
One of the brightest candidates detected in the J band has NB1060 - J colors satisfying this criterion and is therefore classified as a late-type T-dwarf (TDW#1). LAE#6 and #7 have NB1060 - Jupper limits consistent with late-type T-dwarfs. However, because (i) these are only upper limits; (ii) we are not expecting many T-dwarfs in our data (see Sect. 3.3.5); and (iii) these two objects are likely to be line emitters (see Sect. 3.2), we assume, for the rest of this paper, that only TDW#1 is a T-dwarf. We show in Sect. 3.3.8 that TDW#1 could, in principle, be a high-redshift Lyman Break Galaxy, but this is less likely.
3.3.6 Extremely red objects
Extremely red objects (EROs) are usually defined by their R - K
color, e.g.
,
possibly with additional color criteria
(Cimatti et al. 2002).
They are generally identified as either old, passively evolving,
elliptical galaxies or dusty starburst galaxies (Bergström & Wiklind 2004; Pierini et al. 2004).
Despite their faintness in the optical bands, the vast majority of the ERO
population present in our data are detected in the r', i' or z' bands,
and are therefore not selected as LAE candidates. Only 3 objects
that passed our initial selection criteria were identified as EROs based
on their bright red
colors. All three are
spatially resolved.
Their
magnitudes and sizes are given in Table 3.
After removing these 3 objects from our sample,
none of the remaining candidates are detected in the
band.
The
-band data, although of limited depth, do provide a
reasonably robust way of discriminating EROs from LAE
candidates.
Table 3: Extremely red objects.
3.3.7 Low redshift emitters
Our candidates exhibit a very strong color break of about three
magnitudes between the optical part of the spectrum and 1.06
m
(Eq. (4)). Contamination could occur from
strongly star-forming low-metallicity galaxies that have an
emission line redshifted into the bandpass of the NB filter and
an underlying continuum so faint that it would remain undetected in
any of the optical broadband filters. The most likely sources of low
redshift contamination are from H
emitters at z = 0.61,
[O III] emitters at z = 1.1 and [O II]
emitters at z = 1.8. We first make use of Fig. 3 to
evaluate the EW of the emission lines required at these redshifts to
contaminate our sample. Such emission line galaxies are located above
the colored lines. For their near-IR colors to be consistent
with our data (to the extreme left of the plot), the contribution of
the emission lines to the NB1060 flux is equivalent to
restframe equivalent widths of several hundreds or thousands of
Angstroms. We now discuss each source of contamination in turn.
To estimate the number of H
Using the Ilbert et al. (2005) luminosity functions in the
restframe UBV filters and in the redshift bin [0.60-0.8] we estimate
the limiting magnitude providing 300 objects in the comoving volume
sampled by the H
line through the NB1060 filter. We obtain
magnitudes of 25.8, 26 and 25.6 corresponding approximately to the
r'i'z' filters at redshift 0.6, i.e. more than 1.5 mag
brighter than the limiting magnitudes of the CFHT-LS in the r'and i' filters. No normal z = 0.61 galaxy spectral energy
distribution can therefore contaminate our sample.
In the extreme case of a pure emission line spectrum, the
sensitivity limits in the r' and i' bands correspond to
[O II] and [O III] flux limits of
and
,
respectively. Assuming an intrinsic Balmer decrement of 2.8 for case B
recombination, these flux limits correspond to upper limits
on the [O II]/H
and [O III]/H
line ratios of 1.0
and 0.71, respectively. In the sample of galaxies between
redshifts 0.4 and 3 presented in Maier et al. (2006), no objects meet these
criteria simultaneously. All objects with low [O III]/H
ratios
have high [O II]/[O III] ratios, so at least one of the two
lines, [O II] or [O III], should therefore be detected.
In conclusion of this analysis, we argue that contamination by z = 0.61 galaxies is unlikely to bias our sample significantly.
[O III] emitters at z = 1.1
At redshift 1.12, similar to the case above, the vast majority of the [O III] emitters in the comoving volume sampled by the NB filter will be detected in the optical bands. We use Fig. 13 of Kakazu et al. (2007) to estimate the number of [O III] emitters in our NB image to be around 100, assuming that the evolution in the [O III] LF between redshifts 0.83 and 1.1 is not dramatic, and considering that the line emission dominates the NB1060 flux. Contamination in our sample can only come from low luminosity, high EW [O III] emitters, unlikely to represent more than a handful of objects. Even so, for [O II] to remain undetected in the i' filter, a [O III]/[O II] ratio of 4 or higher is required at the detection limits of the i'and NB images. In the data presented in Maier et al. (2006) at redshifts between 0.4 and 3, no more than 5% of the galaxies have such high values. It is therefore unlikely that our sample is contaminated by [O III] emitters.
[O II] emitters at z = 1.8
Using the [O II] luminosity function of Rigopoulou et al. (2005), we estimate the
number of [O II] emitters in our NB image to be
300 objects.
The [O III] and H
lines at redshift 1.84 fall between the
atmospheric windows that define the J, H and
bands, and therefore do
not contribute to the near-IR fluxes in these bands.
Using the Kennicutt (1998) relations between the UV continuum and
[O II] luminosity, we derive a rough estimate of the optical
magnitudes expected for [O II] emitters at 1.06
m. At the flux
limit of our data, we get
,
which is 2 to 3 mag brighter than the limiting magnitude of our
optical data. Even with a large scatter around this value, we expect
that the vast majority of [O II] emitters should be readily detected in
the optical bands. Dusty starbursts may obviously have much fainter
optical magnitudes, but such objects fall into the category of
Extremely Red Objects, which, as explained above, can be discarded
from their brightness in the
band. Very strong and unusual
[O II] EWs would be required for dusty [O II] emitters to be selected
as candidates without being detected in the
band, and such
objects are likely to be spatially resolved.
We remark that Taniguchi et al. (2005) suggest that the few line
emitters in their sample of z = 6.5 LAE candidates resisting a
definitive identification as LAEs could be [O II] emitters. Some, if
not all, of these [O II] emitters would probably be detected in the
band with the same detection limit as ours. We therefore argue
that contamination by [O II] emitters in our survey is likely to be low
and unlikely to contaminate a large fraction of our sample.
3.3.8 High-redshift LBGs
Bright high-redshift Lyman Break Galaxies (LBGs) can be detected in the
NB1060 filter through their UV continuum. For this to happen, the redshift
needs to be smaller than our target value of 7.7, but high enough for these
objects to escape detection in the optical images, irrespective of the presence
of Ly
emission. See Cuby et al. (2003) for such an example.
To estimate the level of contamination by these bright,
high-redshift UV sources, we use the Bouwens et al. (2009) UVLFs
at
and
7. As a worst case scenario, we
consider two redshift ranges: the [6.0-7.0] range for which we use
the z = 5.9 UVLF and the [7.0-7.7] range for which we use the
z = 7.3 UVLF. I band dropouts may fail detection in the z band while
being detected in the NB1060 filter. While the number of objects is
much less than one in the second redshift range, it is
3
in the first redshift range. We consider this number to be
significantly overestimated, because our simple calculation uses
the luminosity function at z = 5.9, which applies to the lower bound
of the redshift range and for which the luminosity is brighter. Had we
used the z = 7.3 UVLF to match the [6.0-7.0] range, we would
have found 0.2 objects.
We note that these objects would - but for their possible detection in the z' band - pass all of our selection criteria, but could be mistaken as late type T-dwarfs (see Sect. 3.3.5). Interestingly, one of the brightest candidates in our sample (TDW#1), although primarily thought to be a T-dwarf, could also be a bright LBG.
3.3.9 Conclusion
We have analyzed various possible sources of contamination for our
sample. We remark that the magnitudes of our candidates are
well distributed, and do not cluster towards the faint end of the
luminosity range probed by our survey. This is in itself a sanity
check demonstrating that we are not sensitive to a sudden increase of
the false alarm rate towards faint fluxes. We note that we have
made use of very robust selection criteria to select our candidates,
consisting of very strong color breaks between the optical and the
near-IR (
3 mag) together with additional near-IR
criteria to reject EROs. We argue that our selection criteria are
comparable to the criteria used in other LAE or LBG studies and we are
therefore confident in the reliability of our sample. However, we
cannot completely rule out contamination by one of the sources
identified above, in particular artifacts and/or [O II] emitters. In
the following, we will evaluate the impact on our conclusions from
contamination of our sample, at the level of a couple of objects.
4 Discussion
4.1 Variance
The variance in the number of objects in our sample is due to
Poisson errors and to fluctuations in the large scale distribution of
galaxies. Various models to account for the effects of cosmic
variance exist in the literature. Trenti & Stiavelli (2008) have developed
a model that is offered as an on-line calculator. From this
model and assuming a one-to-one correspondence between dark halos
and LAEs, we obtain a value of
28% for the cosmic variance.
This result, however, strongly depends on the assumptions used
to compute the level of completeness and contamination in our
sample. In view of the limited number of objects in our sample and
the large comoving volume (
Mpc3), our
results are probably limited more by Poisson noise -
38%
for 7 objects - than by clustering. We note, however, that
variance due to clumpy re-ionization is ignored and may also
contribute to the total variance.
4.2 On the Ly
Luminosity function at z = 7.7
Before deriving constraints on the Ly
luminosity function of z
= 7.7 LAEs, we first apply a correction factor when converting
NB1060 magnitudes to Ly
fluxes. From the J magnitude of object
LAE#1, we infer that
70% of the NB1060 flux comes
from the Ly
line, a value similar to the average value observed for
the z = 6.5 LAEs of Taniguchi et al. (2005), which corresponds to
an
of
110
in the observer
frame. We adopt this ratio when deriving Ly
fluxes
from NB1060 magnitudes, and add a 0.1 magnitude rms error to
account for the dispersion of this ratio between objects. This
is consistent with the dispersion of the EW values of
Taniguchi et al. (2005). Clearly, deeper J band imaging or spectroscopy
would be required to estimate this fraction on a case by case basis.
|
Figure 4:
Cumulative Luminosity Functions (LFs) with
|
| Open with DEXTER | |
We fit the Ly
luminosity function of our sample with
a Schechter function,
,
given by
|
(8) |
Considering the scarcity of datapoints in our sample, we do not fit all three parameters of the Schechter function simultaneously. Following Ouchi et al. (2008) and Kashikawa et al. (2006), we set the faint end slope of the luminosity function,
We initially assume that all 7 candidates, i.e., the full sample, are true z = 7.7 LAEs, and derive the parameters of the corresponding LF. To evaluate the impact of sample contamination on the results, we then consider situations where only 4 of the 7 candidates are real. As discussed earlier in this paper, despite the robustness of our sample, we cannot completely rule out contamination from instrumental artifacts or peculiar low-redshift objects. We therefore conjecture that at least 4 objects in our sample are real z = 7.7 LAEs, and evaluate the impact this conjecture has on the LF. To do this, we consider all possible subsamples consisting of 4 objects, and compute, for each subsample, the best fit parameters. The results of the fits for the full sample and the 35 subsamples are shown in Fig. 4.
Figure 4 shows that the fits of the 35 subsamples naturally divide into 3 different categories:
- a bright category of 20 samples containing the brightest object (LAE#1);
- an intermediate category of 10 samples that do not contain the brightest object but do contain the second brightest object (LAE#2);
- a faint category of 5 samples containing neither the brightest object nor the second brightest object.
|
Figure 5:
Error ellipses for the best-fit Schechter parameters
|
| Open with DEXTER | |
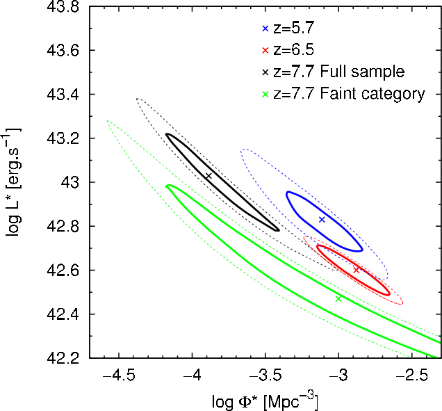
Table 4:
Best fit Schechter LF parameters for
.
To further illustrate our results in the light of the LAE LF at lower
redshifts, we plot in Fig. 5 the error ellipses
for the full sample and the faint category. Also
plotted are the z = 6.5 and z = 5.7 LFs from Kashikawa et al. (2006)
and Ouchi et al. (2008). The errors for the faint category are
dominated by the fitting errors for each of the five LFs in the
category. To account for the dispersion between samples we
simply add the difference between the two most extreme LFs in
the sample to the fitting error. The full sample LF
indicates that the evolution in L* and
between z = 7.7 and z = 6.5 is opposite to the evolution
between z = 6.5 and z = 5.7 at the 2
confidence level.
Conversely, the faint category LF is consistent with
evolution between z = 6.5 and z = 5.7 and with the z = 6.96datapoint of Iye et al. (2006). In other words, for our data to be
consistent with other work we require that the two
brightest objects in our sample are not real LAEs.
Only spectroscopic confirmation will allow one to draw firmer conclusions, which will still be based on small numbers and therefore subject to large uncertainties. Finally, we note that the results remain qualitatively and quantitatively similar had we assumed that only 3 of our candidates were real instead of 4.
4.3 Implications
We used the model from Kobayashi et al. (2007) and our constraints on
the LAE LF to estimate the ionization fraction of the IGM at z =
7.7. This model predicts the LAE LF as a function of the
transmission to Ly
photons by the IGM, (
), which is used as a global parameter. The Ly
attenuation by the IGM is a complex process
involving the neutral fraction of hydrogen
and the
dynamics of the local IGM infall towards the LAEs
(Dijkstra et al. 2007; Santos 2004). Within this model, the conversion
factor from
to
is
therefore highly sensitive to the local density and dynamics of
the IGM, and may not be representative of the average IGM.
Using this model to fit our LFs within the range of observed
luminosities, we derive values for
ranging from
0.7 for the faint category to 1.0 for
the full sample.
corresponds to
in the model of Santos (2004)
for a given redshift of the Ly
line with respect to the systemic
velocity of the galaxy. This
value is similar to
the one derived from the LAE Ly
LF at z = 6.5 (Kobayashi et al. 2007).
Considering the high level of uncertainty of the z = 7.7 LF
derived from our results and of re-ionization models, we simply
note here, in parallel to our earlier conclusions on the LF, that if
one or both of our brightest objects is real, a low fraction of
neutral hydrogen (
0) is inferred, in contradiction with
earlier reports of an increasing fraction above
.
This
conclusion still holds even if both of the brightest objects are not
real, as long as a reasonable number of objects in our faint sample
are real.
Finally, we note that other models that predict the evolution of the LF of high-z LAEs are available in the literature (Mao et al. 2007; Thommes & Meisenheimer 2005; Baugh et al. 2005; Cole et al. 2000; Mesinger & Furlanetto 2008; Le Delliou et al. 2006), see also Nilsson et al. (2007) for a comparison of some of these models. These models add various ingredients into the simulations, and discussing our results in the light of each of these models is beyond the scope of this paper. For the sake of visual comparison, we plot in Fig. 6 our results corresponding to the extreme full sample and faint category compared to some of these models.
|
Figure 6:
Cumulative luminosity functions corresponding to
the full sample (plain thick red line) and
the faint category (long-dashed thick blue line).
The range of luminosities sampled by the data for both samples are
indicated by the arrows. Thin lines are |
| Open with DEXTER | |
5 Conclusions
We used a deep 1.06
m narrow-band image obtained with WIRCam
at CFHT to search for z = 7.7 LAEs down to a Ly
luminosity
limit of
.
The
image totalled 40 hr of integration time, covered 390 arcmin2 and sampled a comoving volume of
Mpc3.
Using deep visible data of the field, we selected objects with a strong color break of up to 3 mag between the visible data and the NB1060 filter as LAE candidates. We obtained a sample of seven carefully selected candidates. We analyzed several sources of contamination, and argued that contamination is unlikely to affect all of our candidates.
We found that the Ly
LAE luminosity functions derived from our
photometric sample, within the limitations of the Schechter formalism
and with a fixed slope parameter
,
would contradict the
evolution in luminosity found by Kashikawa et al. (2006) between z = 5.7and z = 6.5 at the 1
to 2
confidence level if
either of the two brightest objects are real. To confirm these
candidates as LAE, spectroscopic observations will be necessary.
Using models of Ly
LAE LFs available in the literature and our
limits on the z=7.7 LAE LF we infer that the fraction of neutral
hydrogen at z = 7.7 is within the range [0.0-0.3].
The authors would like to thank the anonymous referee for constructive comments, which helped us to improve the precision and clarity of the paper; R. Ellis for granting us observing time at the Keck Observatory to attempt spectroscopy on an early candidate (which was later detected in the optical in a subsequent data release from the CFHTLS) and J. Richard for performing these Keck observations. We also thank J. Mao, A. Lapi, C. Baugh, A. Orsi, M. Kobayashi, E. Thommes, for providing their model data and M.Trenti and T. Totani for helpful discussions. We acknowledge support from the French Agence Nationale de la Recherche, grant number ANR-07-BLAN-0228.
References
- Baugh, C. M., Lacey, C. G., Frenk, C. S., et al. 2005, MNRAS, 356, 1191 [NASA ADS] [CrossRef] [Google Scholar]
- Becker, R. H., Fan, X., White, R. L., et al. 2001, AJ, 122, 2850 [NASA ADS] [CrossRef] [Google Scholar]
- Bergström, S., & Wiklind, T. 2004, A&A, 414, 95 [NASA ADS] [CrossRef] [EDP Sciences] [Google Scholar]
- Bertin, E., & Arnouts, S. 1996, A&AS, 117, 393 [NASA ADS] [CrossRef] [EDP Sciences] [Google Scholar]
- Bouwens, R. J., Illingworth, G. D., Bradley, L. D., et al. 2009, ApJ, 690, 1764 [NASA ADS] [CrossRef] [Google Scholar]
- Bouwens, R. J., Illingworth, G. D., Franx, M., & Ford, H. 2008, ApJ, 686, 230 [NASA ADS] [CrossRef] [Google Scholar]
- Cimatti, A., Daddi, E., Mignoli, M., et al. 2002, A&A, 381, L68 [NASA ADS] [CrossRef] [EDP Sciences] [Google Scholar]
- Cole, S., Lacey, C. G., Baugh, C. M., & Frenk, C. S. 2000, MNRAS, 319, 168 [NASA ADS] [CrossRef] [Google Scholar]
- Coupon, J., Ilbert, O., Kilbinger, M., et al. 2009, A&A, 500, 981 [NASA ADS] [CrossRef] [EDP Sciences] [Google Scholar]
- Cuby, J.-G., Le Fèvre, O., McCracken, H., et al. 2003, A&A, 405, L19 [NASA ADS] [CrossRef] [EDP Sciences] [Google Scholar]
- Cuby, J.-G., Hibon, P., Lidman, C., et al. 2007, A&A, 461, 911 [NASA ADS] [CrossRef] [EDP Sciences] [Google Scholar]
- Dijkstra, M., Lidz, A., & Wyithe, J. S. B. 2007, MNRAS, 377, 1175 [NASA ADS] [CrossRef] [Google Scholar]
- Eyles, L. P., Bunker, A. J., Ellis, R. S., et al. 2007, MNRAS, 374, 910 [NASA ADS] [CrossRef] [Google Scholar]
- Fan, X., Carilli, C. L., & Keating, B. 2006, ARA&A, 44, 415 [NASA ADS] [CrossRef] [Google Scholar]
- Ilbert, O., Tresse, L., Zucca, E., et al. 2005, A&A, 439, 863 [NASA ADS] [CrossRef] [EDP Sciences] [Google Scholar]
- Ilbert, O., Arnouts, S., McCracken, H. J., et al. 2006, A&A, 457, 841 [NASA ADS] [CrossRef] [EDP Sciences] [Google Scholar]
- Ilbert, O., Capak, P., Salvato, M., et al. 2009, ApJ, 690, 1236 [NASA ADS] [CrossRef] [Google Scholar]
- Iovino, A., McCracken, H. J., Garilli, B., et al. 2005, A&A, 442, 423 [NASA ADS] [CrossRef] [EDP Sciences] [Google Scholar]
- Iye, M., Ota, K., Kashikawa, N., et al. 2006, Nature, 443, 186 [NASA ADS] [CrossRef] [PubMed] [Google Scholar]
- Kakazu, Y., Cowie, L. L., & Hu, E. M. 2007, ApJ, 668, 853 [NASA ADS] [CrossRef] [Google Scholar]
- Kashikawa, N., Shimasaku, K., Malkan, M. A., et al. 2006, ApJ, 648, 7 [NASA ADS] [CrossRef] [Google Scholar]
- Kennicutt, Jr., R. C. 1998, ARA&A, 36, 189 [Google Scholar]
- Kobayashi, M. A. R., Totani, T., & Nagashima, M. 2007, ApJ, 670, 919 [NASA ADS] [CrossRef] [Google Scholar]
- Lawrence, A., Warren, S. J., Almaini, O., et al. 2007, MNRAS, 379, 1599 [NASA ADS] [CrossRef] [MathSciNet] [Google Scholar]
- Le Delliou, M., Lacey, C. G., Baugh, C. M., & Morris, S. L. 2006, MNRAS, 365, 712 [NASA ADS] [CrossRef] [Google Scholar]
- Lonsdale, C. J., Smith, H. E., Rowan-Robinson, M., et al. 2003, PASP, 115, 897 [NASA ADS] [CrossRef] [Google Scholar]
- Maier, C., Lilly, S. J., Carollo, C. M., et al. 2006, ApJ, 639, 858 [NASA ADS] [CrossRef] [Google Scholar]
- Mao, J., Lapi, A., Granato, G. L., de Zotti, G., & Danese, L. 2007, ApJ, 667, 655 [NASA ADS] [CrossRef] [Google Scholar]
- Marigo, P., Girardi, L., Bressan, A., et al. 2008, A&A, 482, 883 [NASA ADS] [CrossRef] [EDP Sciences] [Google Scholar]
- Marmo, C. 2007, in Astronomical Data Analysis Software and Systems XVI, ed. R. A. Shaw, F. Hill, & D. J. Bell, ASP Conf. Ser., 376, 285 [Google Scholar]
- Mesinger, A., & Furlanetto, S. R. 2008, MNRAS, 386, 1990 [NASA ADS] [CrossRef] [Google Scholar]
- Nilsson, K. K., Orsi, A., Lacey, C. G., Baugh, C. M., & Thommes, E. 2007, A&A, 474, 385 [NASA ADS] [CrossRef] [EDP Sciences] [Google Scholar]
- Ota, K., Iye, M., Kashikawa, N., et al. 2008, ApJ, 677, 12 [NASA ADS] [CrossRef] [Google Scholar]
- Ouchi, M., Shimasaku, K., Akiyama, M., et al. 2008, ApJS, 176, 301 [NASA ADS] [CrossRef] [Google Scholar]
- Pickles, A. J. 1998, PASP, 110, 863 [CrossRef] [Google Scholar]
- Pierini, D., Gordon, K. D., Witt, A. N., & Madsen, G. J. 2004, ApJ, 617, 1022 [NASA ADS] [CrossRef] [Google Scholar]
- Richard, J., Pelló, R., Schaerer, D., Le Borgne, J.-F., & Kneib, J.-P. 2006, A&A, 456, 861 [NASA ADS] [CrossRef] [EDP Sciences] [Google Scholar]
- Richard, J., Stark, D. P., Ellis, R. S., et al. 2008, ApJ, 685, 705 [NASA ADS] [CrossRef] [Google Scholar]
- Rigopoulou, D., Vacca, W. D., Berta, S., Franceschini, A., & Aussel, H. 2005, A&A, 440, 61 [NASA ADS] [CrossRef] [EDP Sciences] [Google Scholar]
- Ryan, Jr., R. E., Hathi, N. P., Cohen, S. H., & Windhorst, R. A. 2005, ApJ, 631, L159 [NASA ADS] [CrossRef] [Google Scholar]
- Santos, M. R. 2004, MNRAS, 349, 1137 [NASA ADS] [CrossRef] [Google Scholar]
- Stark, D. P., Ellis, R. S., Richard, J., et al. 2007, ApJ, 663, 10 [NASA ADS] [CrossRef] [Google Scholar]
- Taniguchi, Y., Ajiki, M., Nagao, T., et al. 2005, PASJ, 57, 165 [NASA ADS] [Google Scholar]
- Thommes, E., & Meisenheimer, K. 2005, A&A, 430, 877 [NASA ADS] [CrossRef] [EDP Sciences] [Google Scholar]
- Tinney, C. G., Burgasser, A. J., & Kirkpatrick, J. D. 2003, AJ, 126, 975 [NASA ADS] [CrossRef] [Google Scholar]
- Trenti, M., & Stiavelli, M. 2008, ApJ, 676, 767 [Google Scholar]
- Tresse, L., Maddox, S. J., Le Fèvre, O., & Cuby, J.-G. 2002, MNRAS, 337, 369 [NASA ADS] [CrossRef] [Google Scholar]
- Willis, J. P., & Courbin, F. 2005, MNRAS, 357, 1348 [NASA ADS] [CrossRef] [Google Scholar]
- Willis, J. P., Courbin, F., Kneib, J.-P., & Minniti, D. 2008, MNRAS, 384, 1039 [NASA ADS] [CrossRef] [Google Scholar]
Footnotes
- ... 7.7
- Based on observations obtained at the Canada-France-Hawaii Telescope (CFHT), which is operated by the National Research Council (NRC) of Canada, the Institut National des Sciences de l'Univers of the Centre National de la Recherche Scientifique of France (CNRS), and the University of Hawaii. This work is based in part on observations obtained with MegaPrime/MegaCam, a joint project of CFHT and CEA/DAPNIA and in part on data products produced at TERAPIX and the Canadian Astronomy Data Centre as part of the Canada-France-Hawaii Telescope Legacy Survey, a collaborative project of NRC and CNRS.
- ... CFHT
- See http://www.cfht.hawaii.edu/Instruments/Imaging/WIRCam/
- ...

- Taking a constant
flux density in
would lead to EW values that are
approximately twice as large.
All Tables
Table 1: Observational data.
Table 2:
Table of the
LAE and T-dwarf candidates.
Table 3: Extremely red objects.
Table 4:
Best fit Schechter LF parameters for
.
All Figures
|
Figure 1: Transmission curves of the filters corresponding to the data used in this paper. All transmissions are normalized to 100% at maximum. |
| Open with DEXTER | |
| In the text | |
|
Figure 2: Thumbnail images of all candidates listed in Table 2. Object TDW#1 is displayed for reference but is not part of the LAE sample (see text for details). Objects names and passbands are located above and to the left of the thumbnails, respectively. |
| Open with DEXTER | |
| In the text | |
|
Figure 3:
NB1060 - J and
|
| Open with DEXTER | |
| In the text | |
|
Figure 4:
Cumulative Luminosity Functions (LFs) with
|
| Open with DEXTER | |
| In the text | |
|
Figure 5:
Error ellipses for the best-fit Schechter parameters
|
| Open with DEXTER | |
| In the text | |
|
Figure 6:
Cumulative luminosity functions corresponding to
the full sample (plain thick red line) and
the faint category (long-dashed thick blue line).
The range of luminosities sampled by the data for both samples are
indicated by the arrows. Thin lines are |
| Open with DEXTER | |
| In the text | |
Copyright ESO 2010
Current usage metrics show cumulative count of Article Views (full-text article views including HTML views, PDF and ePub downloads, according to the available data) and Abstracts Views on Vision4Press platform.
Data correspond to usage on the plateform after 2015. The current usage metrics is available 48-96 hours after online publication and is updated daily on week days.
Initial download of the metrics may take a while.
![\begin{figure}
\par\includegraphics[width=9cm,clip]{12109f1.ps}
\end{figure}](/articles/aa/full_html/2010/07/aa12109-09/Timg19.png)
![\begin{figure}
\par\includegraphics[width=9cm,clip]{12109f3.ps}
\end{figure}](/articles/aa/full_html/2010/07/aa12109-09/Timg48.png)
![\begin{figure}
\par\vspace*{1.5mm}
\includegraphics[width=7.95cm,clip]{12109f4a....
...m}
\includegraphics[width=7.95cm,clip]{12109f4b.ps}\vspace*{2mm}
%
\end{figure}](/articles/aa/full_html/2010/07/aa12109-09/Timg58.png)
![\begin{figure}
\par\includegraphics[width=9cm,clip]{12109f5.ps} \vspace*{3mm}
\end{figure}](/articles/aa/full_html/2010/07/aa12109-09/Timg62.png)
![\begin{figure}
\par\includegraphics[width=8.5cm,clip]{12109f6.ps}\vspace*{3mm}
\end{figure}](/articles/aa/full_html/2010/07/aa12109-09/Timg82.png)